Abstract
Twelve novel aminoalkyl derivatives 3a-3f, 4a-4f and four novel amino acid derivatives 5a, 5b, 6a and 6b of polymethoxyflavones 1 and 2 were synthesized through regioselective demethylation, etherification, amination, EDCl-mediated amide condensation and alkaline hydrolysis, using tangeretin and nobiletin as starting materials. Their antiproliferative activities against four different human cancer cell lines (Aspc-1, SUN5, HepG-2 and HCT116) were evaluated by in vitro CCK-8 assay. The results show that the majority of the synthetic compounds exhibited moderate to good antiproliferative activity. In particular, the antiproliferative activity of compound 5b against HepG-2 cells (IC50 0.057 μM) was equal to the positive control drug Staurosporine (IC50 0.0575 μM).
Introduction
Polymethoxyflavonids (PMFs) are a class of natural products, which widely exist in Citrus plants possessing high anticancer activity [1, 2, 3, 4, 5], however, their bioavailability is low. The biological interest to develop structural analogs of anticancer agents possessing basic nitrogen atoms seemed highly desirable. It is reported that the introduction of an aminoalkyl side chain leads to a significant increase in biological activity and potency of the parent molecule [6, 7, 8]. The amino acid derivatives, such as tricin-amino acid derivatives, demonstrate favorable cell permeability and excellent bioavailability [9]. Quercetinamino acid derivatives are safe cancer multidrug resistance (MDR) modulators [10,11]. The results of these studies suggested that flavonoid conjugation with aminoalkyl groups or amino acids was the most promising approach to enhance its bioactivity and improve bioavailability.
As part of our screening program dedicated to the search for derivatives of natural flavonoids with anticancer properties[12, 13, 14, 15], we herein synthesized two series of PMFs derivatives by attaching aminoakyl or amino acid moiety through a linking spacer to the free hydroxyl groups at the C-5 position. Furthermore, their antiproliferative activities in vitro against four different human cancer cell lines including Aspc-1 (human pancreatic cancer), SUN-5 (human gastric cancer), HepG-2 (human hepatocellular carcinoma) and HCT-116 (human colon cancer) were evaluated by CCK-8 (cell counting kit-8) assay using Staurosporine as the positive control drug.
Result and discussion
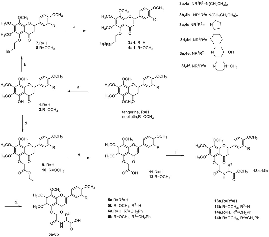
The synthesis of novel PMF derivatives 3a-3f, 4a-4f, 5a, 5b, 6a and 6b was performed according to the reaction pathways illustrated in Scheme 1. The inexpensive and easily accessible natural products tangeretin and nobiletin were used as the starting materials. Due to the neighboring-group participation of the C-4 carboxyl oxygen, tangeretin or nobiletin undergo regioselective demethylation of the C-5 methoxy group after treatment with a Lewis acids such as boron trichloride or aluminum chloride to give 5-demethyl tangeretin (1) or 5-demethyl nobiletin (2), respectively. We obtained compounds 1 and 2 with high yields of 93% and 90% respectively. PMFs 1 or 2 reacted with 1,2-diobromoethane in the presence of anhydrous K2CO3 in dry acetone to give compounds 7 or 8. The two latter reacted with various amines in the presence of K2CO3 and KI, to give compounds 3a-3f and 4a-4f. These compounds are extending alkoxyl side chain at the 5-position, and introducing amine hydrogen bond receptor at the end of the side chain. Compounds 9 and 10 were usually prepared from etherification of the 5-OH group by using methyl chloroacetate in the presence of a base. Two key intermediates 5-O-carboxyalkylated polymethoxy flavones 11 and 12 were synthesized by basic hydrolysis of 9 and 10 respectively.

Synthetic route of aminoalkyl and amino derivatives of polymethoxyflavones
Reagents and conditions: a. AlCl3, CH3CO2C2H5, reflux, then 5% HCl(aq), reflux; b.BrCH2CH2Br, K2CO3, DMF, heat; c. HNR1R2, K2CO3, CH3CN, reflux; d. ClCH2CO2C2H5, K2CO3, DMF, heat; e. 10% NaOH (aq.), CH3OH, r.t; f. H2NCH(R3)CO2CH3, EDCl, DMAP, CH2Cl2, r.t; g. 10% NaOH (aq), CH3OH, r.t, then 1 M HCl(aq), r.t.
Two amino acids, glycine (Gly) and phenylalanine (Phe) were attached to the 5-position of the PMFs ring via a non-hydrolysable linker. 5-O-carboxyalkylated PMFs 11 or 12 were condensed with glycine methyl ester hydrochloride or phenylalanine methyl ester hydrochloride, respectively, using 1-ethyl-3-(3-dimethylaminopropyl) carbodiimide hydrochloride (EDCl), N-hydroxybenzotriazole (HOBt) and 4-dimethylaminopyridine (DMAP) as efficient coupling reagents. The corresponding PMF glycine or phenlyamine derivatives 5a, 5b, 6a and 6b were obtained by hydrolysis of 13a, 13b, 14a and 14b. All the new compounds were purified by recrystallization or chromatography, and their structures were confirmed by means of 1HNMR, 13CNMR, and MS spectra.
The antiproliferative activities of the synthesized polymethoxyflavones 1 and 2 and their aminoalkyl and amino acid derivatives 3a-3f, 4a-4f, 5a, 5b, 6a and 6b against four different human cancer cell lines (Aspc-1, SUN-5, HepG-2 and HCT-116) were evaluated by CCK-8 method. Based on this procedure, a dose-response curve was obtained for the four cell lines. Each test compound and the concentration that caused 50% cell growth inhibition (IC50, corresponding to the concentration of compound that inhibition 50% of net cell growth) was determined as described elsewhere.
As shown in Table 1, the majority of the synthetic compounds exhibited moderate to potent antiproliferative activity. This shows that the introduction of aminoalkyl or amino acid moiety at 5-O-position of PMFs 1 or 2 produces the desired effect of increasing the antiproliferation activities. In particular, compound 5b clearly demonstrated the best results (IC50 0.057 μM) in the HepG-2 cell line studied. In fact, by comparing the structures 2 and 5b, it can be concluded that the presence of phenylalanine amide moiety on 5-position of 5-demethyl nobiletin was associated with a remarkable increase in the growth inhibitory effect on HepG-2 cells. The benzyl function group between amido and carboxyl structure has more affinity to biological cells, so the biological activity is better than Gly derivative. It is suggested that the importance of this molecular modification is responsible for the activity when compared with the corresponding polymethoxy flavones. The clarification of the structural determinants for the potency would guide the design of novel potent drug molecules for future development.
Antiproliferative activities [IC50(μM)][a] of synthetic compounds on four human cancer lines
| Compound | Aspc-I | SNU5 | HepG2 | HCT116 |
| 1 | >50 | >50 | >50 | >50 |
| 2 | >50 | >50 | >50 | >50 |
| 3a | >50 | >50 | 33.48±2.53 | 26.58±7.67 |
| 3b | 23.01±3.61 | >50 | 11.51±4.62 | 12.68±2.59 |
| 3c | 49.71±2.10 | >50 | 33.08±8.41 | 29.89±5.11 |
| 3d | 45.60±3.20 | 34.97±6.60 | 26.36±5.34 | 17.90±3.39 |
| 3e | >50 | >50 | 38.21±3.50 | >50 |
| 3f | >50 | >50 | 32.62±7.34 | 31.04±1.56 |
| 4a | >50 | >50 | >50 | 39.03±2.72 |
| 4b | 43.24±5.62 | >50 | 16.63±1.72 | 18.24±5.86 |
| 4c | >50 | >50 | >50 | >50 |
| 4d | 42.59±2.43 | >50 | 39.57±2.22 | 34.62±6.05 |
| 4e | >50 | >50 | >50 | >50 |
| 4f | >50 | >50 | >50 | >50 |
| 5a | >50 | >50 | >50 | >50 |
| 5b | >50 | >50 | 0.057±4.9E-05 | >50 |
| 6a | >50 | >50 | >50 | >50 |
| 6b | >50 | >50 | >50 | >50 |
| Staurosporine | 0.0052±1.21E-06 | 0.0208±2.5E-07 | 0.0575±2.03E-05 | 0.02±1.0E-06 |
Conclusion
Twelve novel aminoalkyl derivatives 3a-3f, 4a-4f and four novel amino acid derivatives 5a, 5b, 6a and 6b of polymethoxyflavones were synthesized. Their antiproliferative activities in vitro results show that the majority of them exhibited moderate to good antiproliferative activity against four different human cancer cell lines (Aspc-1, SUN5, HepG-2 and HCT116). Among them, PMFs amino acid derivative 5b against HepG-2 cells (IC50 0.057 μM) was equal to the positive control drug Staurosporine ((IC50 0.0575 μM) deserving further investigation.
Experimental
Melting points were determined via an XRC-1 apparatus and are uncorrected. 1HNMR and 13CNMR spectra were recorded on a Bruker-AV 400 spectrometer at 400 and 100MHz, respectively, with TMS as an internal standard in CDCl3 or DMSO-d6. Mass spectra (MS) and high-resolution mass spectra (HRMS) were determined on a VG Autospec-3000 or Mat 95 XP Spectrometer by the EI or ESI method. Column chromatography was carried out on silica gel 200-300 mesh (Qingdao Ocean Chemical Products of China). Commercially available AR or chemically pure reagents were used, and anhydrous solvents were dried and redistilled using standard experimental procedures.
5-Demethyl tangeretin (1) and 5-demethyl nobiletin (2) were prepared form tangeretin and noliletin according to previously published procedures [16].
General procedure for synthesis of bromoethanated polymethoxyflavones (7 and 8)
1,2-Dibromoethane (11.5 mmol) was added to a solution of PMFs 1 or 2 (1.4 mmol) and K2CO3 (14.5 mmol) in acetone (50 mL), and the mixture was refluxed for 4h. The progress of the reaction was monitored by TLC. After cooling to room temperature, the mixture was filtered, the solvent was evaporated, and the residue was recrystallized from EtOH to yield compound 7 or 8.
5-(2-Bromoethoxy)-4’,6,7,8-tetramethoxyflavone (7) yellow solid; 76% yield; m.p. 122-124 oC; 1H NMR (400 MHz, CDCl3): δ 7.79 (d, J = 8.3 Hz, 2H, 2’-H and 6’-H), 6.94 (d, J = 8.3 Hz, 2H, 3’-H and 5’-H), 6.49 (s, 1H, 3-H), 4.27 (t, J = 6.5 Hz, 2H, 5-OCH2), 4.03, 3.95 , 3.88, 3.80 (s/each, 12H, 4OCH3), 3.70 (t, J = 6.5 Hz, 2H, CH2Br). 13C NMR (101 MHz, CDCl3): δ 177.24, 162.36, 161.37, 151.41, 147.77, 146.45, 144.19, 138.4, 127.74, 123.66, 114.80, 114.53, 106.56, 74.44, 62.12, 61.69, 55.52, 30.13.
5-(2-Bromoethoxy)-3’,4’,6,7,8-pentamethoxyflavone (8) yellow solid; 79% yield; m.p.116-118 oC; 1H NMR (400 MHz, CDCl3): δ 7.50 (d, J = 8.4 Hz, 1H, 6’-H), 7.34 (s, 1H, 2’-H), 6.93 (d, J = 8.4 Hz, 1H, 5’-H), 6.53 (s, 1H, 3-H), 4.28 (t, J = 6.5 Hz, 2H, 3-OCH2), 4.04, 3.96, 3.90 (s/each, 15H, 5OCH3), 3.71 (t, J = 6.5 Hz, 2H, CH2Br). 13C NMR (101 MHz, CDCl3): δ 177.27, 161.26, 152.02, 151.48, 149.31, 147.77, 146.52, 144.23, 138.41, 123.89, 119.71, 114.79, 111.25, 108.57, 106.79, 74.47, 62.11, 61.73, 56.05, 30.08.
General procedure for synthesis of aminalkyl-substitued polymethoxyflavone derivatives 3a-3f and 4a-4f
To a suspension of compounds 7 or 8 (0.43 mmol) and K2CO3 (7.2 mmol) in acetonitrile (20.0 mL), the amine (14.5 mmol) and a catalytic amount of KI (0.07 mmol) were added. The resulting mixture was refluxed for 6-12h. After filtering, the resulting filtrate was evaporated to dryness under reduced pressure. The residue was suspended in water (10.0 mL) and extracted with dichloromethane (3×30 mL). The combined organic layers were evaporated under reduced pressure, and the residue was recrystallized from EtOH to yield compounds 3a-3f or 4a-4f.
5-(2-Diethylaminoethoxy)-4’,6,7,8-tetramethoxyflavone (3a) yellow solid; 80% yield; m.p. 110-112 oC; 1H NMR (400 MHz, CDCl3): δ 7.79 (d, J = 7.8 Hz, 2H, 2’-H and 6’-H), 6.95 (d, J = 7.8 Hz, 2H, 3’-H and 5’-H), 6.50 (s, 1H, 3-H), 4.13 (t, J = 5.7 Hz, 2H, 5-OCH2), 4.03, 3.95, 3.87, 3.81 (s/each, 12H, 4OCH3), 3.08 (t, J = 5.7 Hz, 2H, CH2), 2.72 (q, J = 6.8 Hz, 4H, 2NCH2), 1.06 (t, J = 6.9 Hz, 6H, 2CH3). 13C NMR (101 MHz, CDCl3): δ 177.49, 162.37, 161.43, 151.52, 147.74, 146.96, 144.13, 138.22, 127.74, 123.62, 114.6, 106.48, 71.89, 61.98, 61.65, 55.52, 52.20, 47.67, 11.29. ESI- MS: m/z 458 [M+H]+.calc:458.21.
5-(2-Dipropylaminoethoxy)-4’,6,7,8-tetramethoxyflavone (3b): yellow solid; 77% yield; m.p. 88-90 oC; 1H NMR (400 MHz, CDCl3): δ 7.77 (d, J = 8.1 Hz, 2H, 2’-H and 6’-H), 6.91 (d, J = 8.2 Hz, 2H, 3’-H and 5’-H), 6.48 (s, 1H, 3-H), 4.06 (t, J = 6.7 Hz, 2H, 5-OCH2), 4.00, 3.93, 3.85, 3.77 (s/each, 12H, 4OCH3) , 2.95 (t, J = 6.7 Hz, 2H, CH2), 2.42-2.27 (m, 4H, 2NCH2), 1.46-1.36 (m, 4H, 2CH2), 0.78 (t, J = 7.2 Hz, 6H, 2CH3). 13C NMR (101MHz, CDCl3): δ 177.21, 162.21, 161.02, 151.29, 147.58, 144.05, 137.90, 127.61, 123.72, 114.93, 114.44, 106.52, 73.20, 61.89, 61.58, 56.77, 55.44, 53.71, 20.41, 11.89. ESI-MS: m/z 486[M+H]+. calc:486.24.
5-(2-Pyrrolidinylethoxy)-4’,6,7,8-tetramethoxyflavone (3c) yellow solid; 87% yield; m.p. 98-100 oC; 1H NMR (400 MHz, CDCl3): δ 7.87 (d, J = 8.0 Hz, 2H, 2’-H and 6’-H), 7.02 (d, J = 8.1 Hz, 2H, 3’-H and 5’-H), 6.57 (s, 1H, 3-H), 4.20 (t, J = 6.0 Hz, 2H, 5-OCH2), 4.10, 4.03, 3.95, 3.89 (s/each, 12H, 4OCH3), 3.07 (t, J = 6.0 Hz, 2H, CH2), 2.722.63 (m, 4H, 2NCH2), 1.83-1.75 (m, 4H, 2CH2). 13C NMR (101 MHz, CDCl3): δ 177.25, 162.26, 161.12, 151.35, 147.70, 147.37, 144.17, 138.06, 127.68, 123.79, 114.99, 114.49, 106.58, 73.43, 61.94, 61.61, 55.55, 54.38, 23.55. ESI-MS: m/z 478 [M+Na]+. calc:478.19.
5-(2-Piperidinylethoxy)-4’,6,7,8-tetramethoxyflavone (3d) yellow solid; 86% yield; m.p. 106-108 oC; 1H NMR (400 MHz, CDCl3): δ 7.78 (d, J = 8.0 Hz, 2H, 2’-H and 6’-H), 6.93 (d, J = 8.0 Hz, 2H, 3’-H and 5’-H), 6.49 (s, 1H, 3-H), 4.10 (t, J = 6.0 Hz, 2H, 5-OCH2), 4.01, 3.94, 3.86, 3.79 (s/each, 12H, 4OCH3), 2.82 (t, J = 5.9 Hz, 2H, CH2), 2.47-2.41 (m, 4H, 2NCH2), 1.59-1.46 (m, 4H, 2CH2), 1.36-1.29 (m, 2H, CH2). 13C NMR (101MHz, CDCl3): δ 177.12, 162.20, 161.05, 151.24, 147.66, 147.27, 144.04, 138.04, 127.59, 123.63, 114.99, 114.42, 106.45, 71.60, 66.95, 61.97, 61.84, 61.56, 58.45, 55.41, 53.78. ESI-MS: m/z 508 [M+K]+. calc:508.21.
5-(2-(4-Hydroxypiperidinyl)ethoxy)-4’,6,7,8-tetramethoxyflavone (3e) yellow solid; 77% yield; m.p. 108-110 oC; 1H NMR (400 MHz, CDCl3):δ 7.77 (d, J = 7.7 Hz, 2H, 2’-H and 6’-H), 6.92 (d, J = 7.8 Hz, 2H, 3’-H and 5’-H), 6.48 (s, 1H, 3-H), 4.09 (t, J = 5.2 Hz, 2H, 5-OCH2), 4.01, 3.93, 3.85 , 3.78 (s/each, 12H, 4OCH3), 3.65-3.78 (m, 1H, CH), 2.96-2.84 (m, 4H, 2NCH2), 2.27(t, J = 5.2 Hz, 2H, NCH2), 1.85-1.76 (m, 2H, CH2), 1.62-1.53 (m, 2H, CH2). 13C NMR (101MHz, CDCl3): δ 177.36, 162.25, 161.22, 151.35, 147.69, 147.24, 144.07, 138.01, 127.68, 123.60, 114.84, 114.45, 106.43, 72.12, 67.43, 61.96, 61.62, 57.71, 55.47, 51.31, 34.29, 31.53, 22.61, 14.11. ESI-MS: m/z 508 [M+Na]+. calc:508.20.
5-(2-(1-Methylhexahydropyrazinyl)ethoxy)4’,6,7,8-tetramethoxyflavone (3f) yellow solid; 86% yield; m.p. 104-106 oC; 1H NMR (400 MHz, CDCl3): δ 7.78 (d, J = 8.5 Hz, 2H, 2’-H and 6’-H), 6.93 (d, J = 8.5 Hz, 2H, 3’-H and 5’-H), 6.49 (s, 1H, 3-H), 4.09 (t, J = 5.7 Hz, 2H, 5-OCH2), 4.01, 3.94, 3.86, 3.79 (s/each, 12H, 4OCH3), 2.84 (t, J = 5.7 Hz, 2H, CH2), 2.58-2.52 (m, 4H, 2NCH2), 2.41-2.32 (m, 4H, 2CH2), 2.20 (s, 3H, CH3). 13C NMR (101MHz, CDCl3): δ 176.1, 161.22, 160.06, 150.27, 146.69, 146.40, 143.10, 137.02, 126.64, 122.76, 114.04, 113.46, 105.55, 71.08, 60.95, 60.61, 56.92, 54.46, 54.13, 52.32, 45.07. ESI-MS: m/z 507 [M+Na]+. calc:507.22.
5-(2-Diethylaminoethoxy)-3’,4’,6,7,8-pentamethoxyflavone(4a) yellow solid; 78% yield; m.p. 142-144 oC; 1H NMR (400 MHz, CDCl3): δ 7.48 (d, J = 8.3 Hz, 1H, 6’-H), 7.33 (s, 1H, 2’-H), 6.91 (d, J = 8.3 Hz, 1H, 5’-H), 6.51 (s, 1H, 3-H), 4.06 (t, J = 6.3 Hz, 2H, 5-OCH2), 4.02, 3.95, 3.91-3.86 (s/each, 15H, 5OCH3), 2.98 (t, J = 6.3 Hz, 2H, CH2), 2.62 (q, J =6.7 Hz, 4H, 2NCH2), 1.01 (t, J = 6.9 Hz, 6H, 2CH3). 13C NMR (101MHz, CDCl3): δ 177.28, 160.97, 151.86, 151.40, 149.20, 147.68, 147.42, 144.09, 137.91, 123.90, 119.58, 114.89, 111.18, 108.44, 106.71, 72.87, 61.90, 61.63, 55.98, 52.37, 47.49, 11.75. ESI-MS: m/z 488 [M+H]+. calc:488.22.
5-(2-(Dipropylaminoethoxy)-3’,4’,6,7,8-pentamethoxyflavone (4b) yellow solid; 75% yield; m.p. 160-162 oC; 1H NMR (400 MHz, CDCl3): δ 7.46 (d, J = 8.2 Hz, 1H, 6’-H), 7.31 (s, 1H, 2’-H), 6.90 (d, J = 8.2 Hz, 1H, 5’-H), 6.50 (s, 1H, 3-H), 4.02 (t, J = 6.1 Hz, 2H, 5-OCH2), 4.02, 3.94, 3.86 (s/each, 15H, 5OCH3), 2.94 (t, J = 6.1 Hz, 2H, CH2), 2.41-2.32 (m, 4H, 2NCH2), 1.40-1.34 (m, 4H, 2CH2), 0.78 (t, J = 6.9 Hz, 6H, 2CH3). 13C NMR (101MHz, CDCl3): δ 177.16, 160.82, 151.78, 151.31, 149.15, 147.64, 147.54, 144.04, 137.79, 123.90, 119.51, 114.90, 111.13, 108.36, 106.70, 73.22, 61.89, 61.80, 61.59, 56.74, 56.00, 55.84, 53.64, 20.39, 11.89. ESI-MS: m/z 516 [M+H]+. calc: 516.25.
5-(2-(Pyrrolidinylethoxy)-3’,4’,6,7,8-pentamethoxyflavone (4c) yellow solid; 89% yield; m.p. 124-126 oC; 1H NMR (400 MHz, CDCl3): δ 7.47 (d, J = 8.3 Hz, 1H, 6’-H), 7.32 (s, 1H, 2’-H), 6.91 (d, J = 8.4 Hz, 1H, 5’-H), 6.50 (s, 1H, 3-H), 4.13 (t, J = 5.4 Hz, 2H, 5-OCH2), 4.02, 3.95, 3.88 (s/each, 15H, 5OCH3), 3.01 (t, J = 5.4 Hz, 2H, CH2), 2.67-2.59 (m, 4H, 2NCH2), 1.76-1.71 (m, 4H, 2CH2). 13C NMR (101 MHz, CDCl3): δ 177.24, 160.97, 151.87, 151.39, 149.21, 147.33, 144.15, 137.97, 123.91, 119.58, 114.89, 111.19, 108.47, 106.71, 78.98, 73.30, 67.76 , 64.67, 54.35, 23.51. ESI-MS: m/z 508 [M+Na]+. calc:508.20.
5-(2-(Piperidinylethoxy)-3’,4’,6,7,8-pentamethoxyflavone (4d) yellow solid; 88% yield; m.p. 148-150 oC;1H NMR (400 MHz, CDCl3): δ 7.49 (d, J = 7.3 Hz, 1H, 6’-H), 7.33 (s, 1H, 2’-H), 6.92 (d, J = 8.1 Hz, 1H, 5’-H), 6.51 (s, 1H, 3-H), 4.15 (t, J = 5.1 Hz, 2H, 5-OCH2), 4.02,3.95, 3.91,3.86 (s/ each, 15H, 5OCH3), 2.95 (t, J = 5.1 Hz, 2H, CH2), 2.64-2.58 (m, 4H, 2NCH2), 1.60-1.53 (m, 4H, 2CH2), 1.42-1.38 (m, 2H, CH2). 13C NMR (101MHz, CDCl3): δ 177.37, 161.13, 151.93, 151.47, 149.23, 147.70, 147.19, 144.11, 138.04, 123.86, 119.65, 114.81, 111.20, 108.48, 106.71, 71.75, 61.94, 61.65, 58.36, 56.01, 54.56, 25.47, 23.89. ESI-MS: m/z 500 [M+H]+. calc:500.22.
5-(2-(4-Hydroxypiperidinyl) ethoxy)-3’,4’,6,7,8-pentamethoxyflavone (4e) yellow solid; 74% yield; m.p. 195-197 oC; 1H NMR (400 MHz, CDCl3): δ 7.47 (d, J = 8.2 Hz, 1H, 6’-H), 7.32 (s, 1H, 2’-H), 6.90 (d, J = 8.4 Hz, 1H, 5’-H), 6.50 (s, 1H, 3-H), 4.09 (t, J = 5.3 Hz, 2H, 5-OCH2), 4.02, 3.94, 3.87 (s/each, 15H, 5OCH3), 3.65-3.61 (m, 1H, CH), 2.90-2.83 (m, 4H, 2NCH2), 2.27 (t, J = 5.3 Hz, 2H, NCH2), 1.85-1.76 (m, 2H, CH2), 1.57-1.51 (m, 2H, CH2). 13C NMR (101MHz, CDCl3): δ 177.31, 161.07, 151.89, 151.40, 149.20, 147.67, 147.29, 144.10, 137.95, 123.84, 119.63, 114.84, 111.20, 108.48, 106.65, 72.14, 67.38, 61.91, 61.62, 57.73, 55.98, 51.28, 34.30. ESI-MS: m/z 516 [M+H]+. calc:516.22.
5-(2-(1-Methylhexahydropyrazinyl)ethoxy)-3’,4’,6,7,8-pentamethoxyflavone (4f) yellow solid; 85% yield; m.p. 138-140 oC; 1H NMR (400 MHz, CDCl3): δ 7.48 (d, J = 8.4 Hz, 1H, 6’-H), 7.32 (s, 1H, 2’-H), 6.91 (d, J = 8.4 Hz, 1H, 5’-H), 6.50 (s, 1H, 3-H), 4.09 (t, J = 5.3 Hz, 2H, 5-OCH2), 4.02, 3.95, 3.88 (s/each, 15H, 5OCH3), 2.83 (t, J = 5.3 Hz, 2H, CH2), 2.57-2.49 (m, 4H, 2NCH2), 2.41-2.34 (m, 4H, 2CH2), 2.20 (s, 3H, CH3). 13C NMR (101 MHz, CDCl3): δ 177.16, 160.90, 151.84, 151.31, 149.20, 147.66, 147.42, 144.11, 137.93, 123.93, 119.55, 115.00, 111.17, 108.44, 106.73, 72.04, 61.91, 61.62, 57.92, 55.96, 55.12, 53.32, 46.07. ESI-MS: m/z 537 [M+Na]+. calc: 537.23.
General procedure for synthesis of carboxylic acid derivatives of polymethoxyflavonoids 11 and 12
A mixture of 1 or 2 (1.3 mmol) and potassium carbonate (1.6 mmol) were dissolved in 40 ml DMF and added into a 100 ml three-necked round-bottomed flask. The reaction mixture was heated to 40 oC, then ethyl chloroacetate (9.07 mmol) was added dropwise into the mixture. The reaction mixture was stirred for 6h at 40 oC and then cooled to room temperature. A total of 500 ml of cold water was added to the mixture. The solid that separated was filtered, washed with water and dried to obtain 0.48 g of compound 9 or 10.
A mixture of 9 or 10 (1.13 mmol) was dissolved in 40 ml methanol and added into a 100 ml three-necked round-bottomed flask equipped and stirred at room temperature. 10 mL of 10% NaOH aqueous solution was added dropwise into the mixture. The reaction mixture was stirred for 2h at room temperature and then was concentrated under reduced pressure to obtain a white liquid. The pH of the mixture was adjusted to be between 2 and 3 using 6 mol/L hydrochloric acid, The mixture was extracted with dichloromethane, the organic layer was dried over anhydrous magnesium sulfate, and concentrated under reduced pressure to obtain white powder, which was recrystallized with ethanol and filtered to obtain 0.38 g compound 11 or 12.
5-(O-Ethoxyacetyl)-4’,6,7,8-tetramethoxyflavone (9) yellow solid; 80% yield; m.p.110-112 oC; 1H NMR (400 MHz, CDCl3): δ 7.78 (d, J = 8.0 Hz, 2H, 2’-H and 6’-H), 6.94 (d, J = 8.0 Hz, 2H, 3’-H and 5’-H), 6.50 (s, 1H, 3-H), 4.61 (s, 2H, 3-OCH2), 4.22 (q, J = 6.9 Hz, 2H, CH2), 4.02, 3.95, 3.89, 3.80 (4s, 12H, 4OCH3), 1.25 (t, J = 7.0 Hz, 3H, CH3) ; 13C NMR (101MHz, CDCl3): δ175.99, 168.00, 161.29, 160.27, 150.28, 146.58, 145.02, 142.87, 137.51, 126.68, 122.63, 113.71, 113.48, 105.53, 70.08, 61.11, 61.03, 60.63, 59.95, 54.47, 13.21.
5-(O-Ethoxyacetyl)-3’,4’,6,7,8-pentamethoxyflavone (10) yellow solid; 78% yield; m.p.112-114 oC; 1H NMR (400 MHz, CDCl3): δ 7.47 (d, J = 8.4 Hz, 1H, 6’-H), 7.31 (s, 1H, 2’-H), 6.91 (d, J = 8.4 Hz, 1H, 5’-H), 6.51 (s, 1H, 3-H), 4.61 (s, 2H, 5-OCH2), 4.22 (q, J = 6.9 Hz, 2H, CH2), 4.02, 3.95 (2s, 6H, 2OCH3), 3.89(s, 6H, 2OCH3), 3.87 (s, H, OCH3), 1.24 (t, J = 7.0 Hz, 3H, CH3); 13C NMR (101MHz, CDCl3): δ 175.95, 167.97, 160.11, 150.93, 150.33, 148.23, 146.56, 145.07, 142.88, 137.44, 122.83, 118.62, 113.69, 110.21, 107.49, 105.72, 70.09, 61.10, 60.95, 60.64, 59.95, 55.06, 54.92, 13.21.
5-(O-Carboxymethyl)-4’,6,7,8-tetramethoxyflavone (11) yellow solid; 76% yield; m.p.138-140 oC; 1H NMR (400 MHz, CDCl3): δ 13.93 (s, 1H, COOH), 7.83 (d, J = 8.1 Hz, 2H, 2’-H and 6’-H), 6.98 (d, J = 8.2 Hz, 2H, 3’-H and 5’-H), 6.63 (s, 1H, 3-H), 4.75 (s, 2H, 5-OCH2), 4.07, 3.97 (2s, 6H, 2OCH3), 3.83 (s, 6H, 2OCH3); 13C NMR (101 MHz, CDCl3): δ 177.75, 169.79, 162.07, 161.92, 151.38, 146.65, 145.38, 141.69, 137.27, 127.07, 121.91, 113.72, 111.09, 105.04, 71.23, 61.21, 60.72, 60.36, 54.57. ESI-MS: m/z 455[M+K]+. calc: 455.11.
5-(O-Carboxymethyl)-3’,4’,6,7,8-pentamethoxyflavone (12) yellow solid; 76% yield; m.p. 212-214 oC; 1H NMR (400 MHz, CDCl3): δ 7.53 (d, J = 8.4 Hz, 1H, 6’-H), 7.35 (s, 1H, 2’-H), 6.95 (d, J = 8.5 Hz, 1H, 5’-H), 6.66 (s, 1H, 3-H), 4.76 (s, 2H, 5-OCH2), 4.07, 3.97 (2s, 6H, 2OCH3), 3.91 (s, 6H, 2OCH3), 3.83 (s, H, OCH3); 13C NMR (101 MHz, CDCl3): δ 178.78, 170.80, 162.98, 152.67, 152.47, 149.48, 147.68, 146.44, 142.76, 138.24, 123.12, 120.20, 112.12, 111.36, 108.67, 106.29, 72.26, 62.16, 61.76, 61.41, 56.18, 56.03. ESI-MS: m/z 485[M+K]+. calc:485.12.
General procedure for synthesis of amino acid ester derivatives of polymethoxyflavonoids 13a, 13b, 14a and 14b
A mixture of 11 or 12 (0.48 mmol), EDCl (0.72 mmol), 4-N,N-dimethylaminopyridine (DMAP, 0.96 mmol) and glycine methyl ester hydrochloride or L-phenylalanine methyl ester hydrochloride (0.58 mmol) were dissolved in 20 mL dichloromethane, and the reaction was carried out at room temperature. The progress of the reaction was followed by TLC. After the reaction was completed, the solvent was removed, and the residue was poured into 50 mL of HCl (1 mol/L), and extracted with CH2Cl2 (3×20 mL). The organic phases were combined and dried over anhydrous Na2SO4. After filtration, the solvent was evaporated to give a crude material. Purification by silica gel column chromatography [V (petroleum ether): V (ethyl acetate) = 2:1] afforded compounds 13a, 13b, 14a and 14b.
5-(O-Acetylglycine methyl ester)-4’,6,7,8-tetramethoxyflavone (13a) yellow solid; 90% yield; m.p.164-166 oC; 1H NMR (400 MHz, CDCl3): δ 10.02 (s, 1H, CONH), 7.81 (d, J = 8.2 Hz, 2H, 2′-H and 6′-H), 6.96 (d, J = 8.3 Hz, 2H, 3′-H and 5′-H), 6.56 (s, 1H, 3-H), 4.74 (s, 2H, 5-OCH2), 4.13 (d, J = 5.8 Hz, 2H, CH2CO), 4.05, 3.95, 3.82, 3.81 (4s, 12H, 4OCH3), 3.68 (s, 3H, CH3). 13C NMR (101MHz, CDCl3): δ 178.12, 170.22, 170.07, 162.60, 161.88, 152.05, 147.90, 146.84, 142.29, 137.79, 127.85, 123.37, 114.64, 112.93, 106.54, 73.65, 62.15, 61.68, 61.45, 55.55, 52.15, 40.81.
5-(O-Acetylglycine methyl ester)-3’,4’,6,7,8-pentamethoxyflavone (13b) yellow solid; 87% yield; m.p.140-142 oC; 1H NMR (400 MHz, CDCl3): δ 10.02 (s, 1H, CONH), 7.48 (d, J = 8.4 Hz, 1H, 6’-H), 7.31 (s, 1H, 2’-H), 6.91 (d, J = 8.5 Hz, 1H, 5’-H), 6.55 (s, 1H, 3-H), 4.72 (s, 2H, 5-OCH2), 4.11 (d, J = 5.7 Hz, 2H, CH2CO), 4.04, 3.94 (2s, 6H, 2OCH3), 3.87 (s, 6H, 2OCH3), 3.80 (s, 3H, OCH3), 3.67 (s, 3H, CH3). 13C NMR (101MHz, CDCl3): δ 177.04, 169.19, 169.06, 160.69, 151.25, 151.05, 148.32, 146.83, 145.75, 141.25, 136.67, 122.41, 118.81, 111.80, 110.30, 107.52, 105.60, 72.58, 61.03, 60.65, 60.41, 55.08, 54.92, 51.12, 39.76.
5-(O-Acetylphenylalanine methyl)-4’,6,7,8-tetramethoxyflavone (14a) yellow solid; 87% yield; m.p.104-106 oC; 1H NMR (400 MHz, CDCl3): δ 9.94 (d, J = 7.8 Hz, 1H, CONH), 7.68 (d, J = 8.6 Hz, 2H, 2’-H and 6’-H), 7.17-6.97 (m, 5H, C6H5), 6.80 (d, J = 8.6 Hz, 2H, 3’-H and 5’-H), 6.46 (s, 1H, 3-H), 4.76-4.70 (m, 1H, CH), 4.56 (s, 2H, 5-OCH2), 3.94, 3.85, 3.67, 3.66 (4s, 12H, 4OCH3), 3.54 (s, 3H), 3.16 (d, J = 9.7 Hz, 2H, CH2Ar). 13C NMR (101 MHz, CDCl3): δ 177.54, 172.12, 169.41, 162.44, 161.43, 151.75, 147.69, 146.60, 142.04, 137.66, 137.18, 129.20, 128.23, 127.65, 126.55, 123.12, 114.50, 112.82, 106.44, 73.50, 61.99, 61.52, 61.28, 55.42, 53.76, 52.05, 37.63.
5-(O-Acetylphenylalanine methyl)-3’,4’,6,7,8-pentamethoxyflavone (14b) yellow solid; 84% yield; m.p.110-112 oC;1H NMR (400 MHz, CDCl3): δ 9.92 (d, J = 7.9 Hz, 1H, CONH), 7.52 (d, J = 8.4 Hz, 1H, 6’-H), 7.34 (s, 1H, 2’-H), 7.227.06 (m, 5H, C6H5), 6.93 (d, J = 8.5 Hz, 1H, 5’-H), 6.59 (s, 1H, 3-H), 4.83-4.77 (m, 1H, CH), 4.64 (s, 2H, 5-OCH2), 4.03, 3.95, 3.91, 3.89, 3.76 (5s, 15H, 5OCH3), 3.61 (s, 3H, CH3), 3.21 (d, J = 16.2 Hz, 2H, CH2Ar). 13C NMR (101 MHz, CDCl3): δ 176.76, 171.21, 168.36, 160.46, 151.20, 150.95, 148.35, 146.81, 145.86, 141.19, 136.66, 136.14, 128.25, 127.26, 125.56, 122.58, 118.77, 111.96, 110.29, 107.54, 105.81, 72.56, 61.03, 60.64, 60.37, 55.10, 54.98, 52.69, 51.13, 36.81.
Synthesis of polymethylflavones amino acid derivatives 5a, 5b, 6a and 6b
The solid of 13 or 14 (0.21 mmol) was dissolved in 10 mL methanol, in a 100 mL round bottom flask, and 4 mL of NaOH (1 mol/L) solution were added dropwise. The reaction was carried out at room temperature and the reaction progress was tracked by TLC. After the reaction was complete, the solvent of the reaction solution was removed and water was added followed by HCl (1 mol/L) to adjust the pH to 2-3, The mixture was then placed in a refrigerator and allowed to stand for filtration. The filter cake was dried and recrystallized from anhydrous C2H5OH to give a yellow solid.
5-(O-Acetylglycine)-4’,6,7,8-tetramethoxyflavone (5a) yellow solid; 89% yield; m.p. 180-182 oC; 1H NMR (400 MHz, DMSO-d6): δ 9.69 (t, J = 5.6 Hz, 1H, CONH), 7.94 (d, J = 8.5 Hz, 2H, 2’-H and 6’-H), 7.07 (d, J = 8.5 Hz, 2H, 3’-H and 5’-H), 6.79 (s, 1H, 3-H), 4.62 (s, 2H, 5-OCH2), 4.06 (s, 3H, OCH3), 3.98 (d, J = 8.6 Hz, 2H, CH2COOH), 3.96, 3.86, 3.83 (3s, 9H, 3OCH3). 13C NMR (101MHz, DMSO-d6): δ 177.30, 171.45, 169.27, 162.58, 161.37, 151.85, 147.60, 146.18, 142.57, 137.89, 128.25, 123.12, 115.04, 112.95, 106.36, 73.53, 62.33, 61.86, 61.77, 55.92, 40.85; ESI-MS: m/z 473 [M]+. calc:473.13.
5-(O-Acetylglycine)-3’,4’,6,7,8-tetramethoxyflavone (5b) yellow solid; 85% yield; m.p.110-112 oC; 1H NMR (400 MHz, DMSO-d6): δ 9.71 (t, J = 5.7 Hz, 1H, CONH), 7.63 (d, J = 8.5 Hz, 1H, 6’-H), 7.51 (s, 1H, 2’-H), 7.13 (d, J = 8.6 Hz, 1H, 5’-H), 6.94 (s, 1H, 3-H), 4.63 (s, 2H, 5-OCH2), 4.07, 3.98 (2s, 6H, 2OCH3), 3.96 (d, J = 5.8 Hz, 2H, CH2COOH), 3.87, 3.86, 3.84 (3s, 9H, 3OCH3). 13C NMR (101MHz, DMSO-d6) δ 177.41, 171.40, 169.28, 161.35, 152.41, 151.90, 149.45, 147.64, 146.22, 142.59, 137.84, 123.20, 119.95, 112.95, 112.24, 109.30, 106.62, 73.55, 62.32, 61.90, 61.78, 56.15, 56.09, 40.81. ESI-MS:m/z 503 [M]+. calc:503.14.
5-(O-Acetylphenylalanine)-4’,6,7,8-tetramethoxyflavone (6a) yellow solid; 82% yield; m.p.106-108 oC; 1H NMR (400 MHz, DMSO-d6): δ 9.74 (d, J = 8.0 Hz, 1H, CONH), 8.04 (d, J = 8.4 Hz, 2H, 2′-H and 6′-H), 7.35-7.16 (m, 5H,C6H5), 7.13 (d, J = 8.5 Hz, 2H, 3′-H and 5′-H), 6.93 (s, 1H, 3-H), 4.58 (d, J = 9.0 Hz, 2H, 5-OCH2), 4.07, 3.99, 3.86, 3.80 (4s, 12H, 4OCH3), 3.19 (d, J = 4.8 Hz, 2H, CH2Ar). 13C NMR (101 MHz, DMSO-d6): δ 177.48, 173.19, 168.85, 162.67, 161.48, 151.94, 147.65, 146.29, 142.42, 138.11, 137.85, 129.52, 128.65, 128.41, 126.89, 123.20, 115.15, 112.84, 106.53, 73.52, 62.39, 61.91, 61.71, 55.99, 53.90, 37.24. ESI-MS: m/z 563 [M]+., calc:563.18.
5-(O-Acetylphenylalanine)-3’,4’,6,7,8-pentamethoxyflavone (6b) yellow solid; 82% yield; m.p.106-108 oC; 1H NMR (400 MHz, DMSO-d6): δ 9.74 (d, J = 8.0 Hz, 1H, CONH), 8.04 (d, J = 8.4 Hz, 2H, 2’-H and 6’-H), 7.35-7.16 (m, 5H,C6H5), 7.13 (d, J = 8.5 Hz, 2H, 3’-H and 5’-H), 6.93 (s, 1H, 3-H), 4.58 (d, J = 9.0 Hz, 2H, 5-OCH2), 4.07, 3.99, 3.86, 3.80 (4s, 12H, 4OCH3), 3.19 (d, J = 4.8 Hz, 2H, CH2Ar). 13C NMR (101 MHz, DMSO-d6): δ 177.48, 173.19, 168.85, 162.67, 161.48, 151.94, 147.65, 146.29, 142.42, 138.11, 137.85, 129.52, 128.65, 128.41, 126.89, 123.20, 115.15, 112.84, 106.53, 73.52, 62.39, 61.91, 61.71, 55.99, 53.90, 37.24. ESI-MS: m/z 593 [M]+. calc:593.19.
Antiproliferative Activity
The antiproliferative activities of synthetic compounds against four human cancer cell lines (Aspc-1, SUN5, HepG-2 and HCT116) were evaluated by CCK-8 assay in vitro using Staurosporine as the positive control drug. All the cells were cultured in an RPMI 1640 medium containing 10% FBS, incubated at 37 oC in a 5% CO2 humidified incubator to keep the cells growing in the exponential phase. Briefly, Aspc-1, SUN5, HepG-2 and HCT116 cells in a 100 μL culture medium were plated into a 96-well plate at 4000-5000 cells per well, respectively, and subsequently cultured in the RPMI 1640 medium containing 10% FBS, incubated at 37 oC for 24h prior to drug exposure. The selected compounds were weighed and dissolved in DMSO and then diluted with medium to the needed concentrations. Cells were treated with the final concentrations of 100, 50, 25, 12.5, 6.25 and 3.125 μmol/L of the tested compounds and incubated for 48h and then 20μL of 0.5% MTT solution was added to each well simultaneously and incubated at 37 oC for 4h. The formed formazan crystals were dissolved by adding 150 μL of DMSO. The optical density at 570 nm was determined on a microtiter plate reader. According to the inhibition ratios, the IC50 value was obtained.
Conflict of interest: The authors confirm that this article content has no conflict of interest.
Acknowledgments
We thank the Hunan Provincial Natural Science Foundation of China (NO.2018JJ2034) for financial support.
References
[1] Miyata Y, Oshitari T, Okuyama Y, Shimada A, Takahashi H, Natsugari H, et al. Polymethoxyflavones as agents that prevent formation of cataract: nobiletin congeners show potent growth inhibitory effects in human lens epithelial cells. Bioorg Med Chem Lett. 2013;23:183–7.10.1016/j.bmcl.2012.10.133Search in Google Scholar PubMed
[2] Guy L, Alexandre M, Sylviane T, Geneviève A, Joëlle D, Thierry C. Semisynthesis of natural flavones inhibiting tubulin polymerization, from Hesperidin. J Nat Prod. 2010;73:702–6.10.1021/np100065vSearch in Google Scholar PubMed
[3] Tetsuta O, Yuji O, Yoshiki M, Hiroshi K, Hideyo T. Hideaki, N. Nobiletin metabolites: synthesis and inhibitory activity against matrix metalloproteinase-9 production. Bioorg Med Chem Lett. 2011;21:4540–4.10.1016/j.bmcl.2011.05.121Search in Google Scholar PubMed
[4] Li S, Pan MH, Lai CS, Lo CY, Dushenkov S, Ho CT. Isolation and syntheses of polymethoxy flavones and hydroxylated polymethoxyflavones as inhibitors of HL-60 cell lines. Bioorg Med Chem. 2007;15:3381–9.10.1016/j.bmc.2007.03.021Search in Google Scholar PubMed
[5] Demetrio R, Benedetta M, Maria VR, Fabiana P, Giuseppe D. Recent discoveries of anticancer flavonoids. Eur J Med Chem. 2017;142:213–28.10.1016/j.ejmech.2017.07.034Search in Google Scholar PubMed
[6] Marco B, Rosa T. Brigitte, D.; Monica, R. L.; Federica, M.; Francois, T. Francesco Menichini, In vitro biological evaluation of novel 7-O-dialkylaminoalkyl cytotoxic pectolinarigenin derivatives against a panel of human cancer cell lines. Bioorg Med Chem Lett. 2008;18:5431–4.10.1016/j.bmcl.2008.09.037Search in Google Scholar PubMed
[7] Young HL, Hyoung JK, Ho Y, Seo YJ, Bong JK, Nam JK, et al. Synthesis of (2-amino)ethyl derivatives of quercetin 3-O-methyl ether and their antioxidant and neuroprotective effects. Bioorg Med Chem. 2015;23:4970–9.10.1016/j.bmc.2015.05.023Search in Google Scholar PubMed
[8] Lv XH, Liu H, Ren ZL, Wang W, Tang F, Cao HQ. Design, synthesis and biological evaluation of novel flavone Mannich base derivatives as potential antibacterial agents. Mol Divers. 2019;23:299–306.10.1007/s11030-018-9873-9Search in Google Scholar PubMed
[9] Masayuki N, Kaori T, Yuzo T, Yoshinori M, Mamoru K, Kunitomo W. Increased bioavailability of tricin-amino acid derivatives via a prodrug approach. J Med Chem. 2011;54:1529–36.10.1021/jm1015457Search in Google Scholar PubMed
[10] Kim MK, Park KS, Yeo WS, Choo H, Chong Y. In vitro solubility, stability and permeability of novel quercetin-amino acid conjugates. Bioorg Med Chem. 2009;17:1164–71.10.1016/j.bmc.2008.12.043Search in Google Scholar PubMed
[11] Kim MK, Kim Y, Choo H. Quercetin-glutamic acid conjugate with a non-hydrolysable linker; a novel scaffold for multidrug resistance reversal agents through inhibition of p-glycoprotein. Bioorg Med Chem. 2017;25:1219–26.10.1016/j.bmc.2016.12.034Search in Google Scholar PubMed
[12] Nguyen VS, Li W, Li Y, Wang QA. Synthesis of citrus polymethoxyflavonoids and their antiproliferative activities on hela cells. Med Chem Res. 2017;26:1585–92.10.1007/s00044-017-1871-4Search in Google Scholar
[13] Cai SL, Kong YY, Xiao D, Chen Y, Wang QA. Primary aminomethyl derivatives of kaempferol: hydrogen bond-assisted synthesis, anticancer activity and spectral properties. Org Biomol Chem. 2018;16:1921–31.10.1039/C7OB02927FSearch in Google Scholar PubMed
[14] Nguyen VS, Shi L, Wang SC, Wang QA. Synthesis of Icaritin and β-anhydroicaritin Mannich base derivatives and their cytotoxic activities on three Human cancer cell lines. Anticancer Agents Med Chem. 2017;17:137–42.10.2174/1871520616666160404111210Search in Google Scholar PubMed
[15] Wang GQ, Yan LL, Wang QA. Synthesis and antiproliferative activity of flavonoid triazolyl glycosides. Heterocycl Commun. 2018;24:119–24.10.1515/hc-2017-0241Search in Google Scholar
[16] Zheng JK, Fang X, Cao Y, Xiao H, He LL. Monitoring the chemical production of citrus-derived bioactive 5-demethylnobiletin using surface-enhanced raman spectroscopy. J Agric Food Chem. 2013;61:8079–83.10.1021/jf4027475Search in Google Scholar PubMed PubMed Central
© 2019 Ran et al., published by De Gruyter
This work is licensed under the Creative Commons Attribution 4.0 International License.
Articles in the same Issue
- Research Article
- Synthesis of 2-aryl-benzothiazoles via Ni-catalyzed coupling of benzothiazoles and aryl sulfamates
- Synthesis and characterization of a new series of thiadiazole derivatives as potential anticancer agents
- Isatin as a simple, highly selective and sensitive colorimetric sensor for fluoride anion
- The oxidative coupling between benzaldehyde derivatives and phenylacetylene catalyzed by rhodium complexes via C-H bond activation
- A Facile and Catalyst-free Synthesis of Hexahydroacridine-1,8(2H,5H )-dione and Octahydroacridin-10(1H )-yl)thiourea Derivatives: Inter- and Intramolecular Aza-Michael addition
- Reactivity of 1-allylsilatrane in ruthenium-catalyzed silylative coupling with olefins – mechanistic considerations
- Ball-Type Dioxy-o-Carborane Bridged Cobaltphthalocyanine: Synthesis, Characterization and DFT Studies For Dye-Sensitized Solar Cells as Photosensitizer
- Coumarin sulfonamide derivatives: An emerging class of therapeutic agents
- Synthesis and characterization of novel biological tetracoumarin derivatives bearing ether moieties
- Synthesis and antiproliferative activities of polymethoxyflavones aminoalkyl and amino acid derivatives
- Synthesis and biological evaluation of novel 4-oxo-5-cyano thiouracil derivatives as SecA inhibitors
- Synthesis, antibacterial activities, and sustained perfume release properties of optically active5-hydroxy- and 5-acetoxyalkanethioamide analogues
- Some topological indices of dendrimers determined by their Banhatti polynomials
- Synthesis, Characterization, and Antioxidant Activity of Some 2-Methoxyphenols derivatives
- Isatin-3-thiosemicarbazone as Chromogenic Sensor for the Selective Detection of Fluoride Anion
- Fluorescence properties in different solvents and synthesis of axially substituted silicon phthalocyanine bearing bis-4-tritylphenoxy units
- Design, Synthesis and Study of Antibacterial and Antitubercular Activity of Quinoline Hydrazone Hybrids
- Synthesis and optical characterization of bipod carbazole derivatives
- Synthesis and Biological Evaluation of Benzodioxole Derivatives as Potential Anticancer and Antioxidant agents
- Communication
- Visible light mediated aerobic oxidative hydroxylation of 2-oxindole-3-carboxylate esters: an alternative approach to 3-hydroxy-2-oxindoles
- Research Article
- Synthesis and Activity of New Schiff Bases of Furocoumarin
- Design, Synthesis and Biological Evaluation of N-((2-phenyloxazol-4-yl)methyl) Pyrimidine Carboxamide Derivatives as Potential Fungicidal Agents
- Anticancer activity of novel Schiff bases and azo dyes derived from 3-amino-4-hydroxy-2H-pyrano[3,2-c]quinoline-2,5(6H)-dione
Articles in the same Issue
- Research Article
- Synthesis of 2-aryl-benzothiazoles via Ni-catalyzed coupling of benzothiazoles and aryl sulfamates
- Synthesis and characterization of a new series of thiadiazole derivatives as potential anticancer agents
- Isatin as a simple, highly selective and sensitive colorimetric sensor for fluoride anion
- The oxidative coupling between benzaldehyde derivatives and phenylacetylene catalyzed by rhodium complexes via C-H bond activation
- A Facile and Catalyst-free Synthesis of Hexahydroacridine-1,8(2H,5H )-dione and Octahydroacridin-10(1H )-yl)thiourea Derivatives: Inter- and Intramolecular Aza-Michael addition
- Reactivity of 1-allylsilatrane in ruthenium-catalyzed silylative coupling with olefins – mechanistic considerations
- Ball-Type Dioxy-o-Carborane Bridged Cobaltphthalocyanine: Synthesis, Characterization and DFT Studies For Dye-Sensitized Solar Cells as Photosensitizer
- Coumarin sulfonamide derivatives: An emerging class of therapeutic agents
- Synthesis and characterization of novel biological tetracoumarin derivatives bearing ether moieties
- Synthesis and antiproliferative activities of polymethoxyflavones aminoalkyl and amino acid derivatives
- Synthesis and biological evaluation of novel 4-oxo-5-cyano thiouracil derivatives as SecA inhibitors
- Synthesis, antibacterial activities, and sustained perfume release properties of optically active5-hydroxy- and 5-acetoxyalkanethioamide analogues
- Some topological indices of dendrimers determined by their Banhatti polynomials
- Synthesis, Characterization, and Antioxidant Activity of Some 2-Methoxyphenols derivatives
- Isatin-3-thiosemicarbazone as Chromogenic Sensor for the Selective Detection of Fluoride Anion
- Fluorescence properties in different solvents and synthesis of axially substituted silicon phthalocyanine bearing bis-4-tritylphenoxy units
- Design, Synthesis and Study of Antibacterial and Antitubercular Activity of Quinoline Hydrazone Hybrids
- Synthesis and optical characterization of bipod carbazole derivatives
- Synthesis and Biological Evaluation of Benzodioxole Derivatives as Potential Anticancer and Antioxidant agents
- Communication
- Visible light mediated aerobic oxidative hydroxylation of 2-oxindole-3-carboxylate esters: an alternative approach to 3-hydroxy-2-oxindoles
- Research Article
- Synthesis and Activity of New Schiff Bases of Furocoumarin
- Design, Synthesis and Biological Evaluation of N-((2-phenyloxazol-4-yl)methyl) Pyrimidine Carboxamide Derivatives as Potential Fungicidal Agents
- Anticancer activity of novel Schiff bases and azo dyes derived from 3-amino-4-hydroxy-2H-pyrano[3,2-c]quinoline-2,5(6H)-dione