Home Health insurance coverage and health care utilization: Evidence from the Affordable Care Act’s dependent coverage mandate
Article
Licensed
Unlicensed Requires Authentication

Health insurance coverage and health care utilization: Evidence from the Affordable Care Act’s dependent coverage mandate

  • Barış K. Yörük EMAIL logo
Published/Copyright: April 3, 2019

Abstract

This paper investigates the impact of the Affordable Care Act’s (ACA’s) dependent coverage mandate on health insurance coverage rates and health care utilization among young adults. Using data from the Medical Panel Expenditure Survey, I exploit the discontinuity in health insurance coverage rates at age 26, the new dependent coverage age cutoff enforced by the ACA. Under alternative regression discontinuity design models, I find that 2.5 to 5.3 percent of young adults lose their health insurance coverage once they turn 26. This effect is mainly driven by those who lose their private health insurance plan coverage and those who lose their health insurance plan coverage, whose main holder resides outside of the household. I also find that the discrete change in health insurance coverage rates at age 26 is associated with up to a 3.6 percentage point decrease in office-based physician and and up to a 2.1 percentage point decrease in dental visits, but does not have a significant impact on the utilization of outpatient or emergency department services. Furthermore, the effects of the ACA’s dependent coverage mandate on health care spending and out-of-pocket costs are insignificant. These results are robust under alternative model specifications.

JEL Classification: I12; I13; I18

Acknowledgements

I thank Marcus Dillender and session participants at the 6th biennial conference of American Society of Health Economists (2016) and the Annual Meeting of the American Economic Association (2017) for helpful comments. All errors remain mine.

Appendix A

Table 13:

Placebo test: RD models with alternative age cutoffs.

Age cutoff
2527
Any insurance0.0050.001
(0.010)(0.010)
Private insurance−0.001−0.003
(0.009)(0.010)
Public insurance0.0100.003
(0.007)(0.007)
Holder outside of RU0.009***−0.004
(0.003)(0.005)
No. of obs.7317073842
  1. All regressions contain a quadratic polynomial of the forcing variable which is fully interacted with the treatment. In all regressions, sample weights are used and standard errors are clustered by the forcing variable. Standard errors are reported in parentheses. The sign *** denote statistical significance at 1 percent.

Figure 6: Distribution of the Number of Observations by Month. Notes: Number of observations for each month three years before and after the 26th birthday is plotted.
Figure 6:

Distribution of the Number of Observations by Month. Notes: Number of observations for each month three years before and after the 26th birthday is plotted.

Figure 7: The Change in Selected Control Variables at the 26th Birthday.(A) Excellent health, (B) Ln (Family income), (C) Family size, (D) Advanced degree, (E) Married, and (F) Female. Notes: Mean of the selected control variables for 1 month intervals two years before and after the 26th birthday are plotted. The solid lines are the first and second order polynomials fitted on individual observations on both sides of the age-26 cutoff.
Figure 7:

The Change in Selected Control Variables at the 26th Birthday.

(A) Excellent health, (B) Ln (Family income), (C) Family size, (D) Advanced degree, (E) Married, and (F) Female. Notes: Mean of the selected control variables for 1 month intervals two years before and after the 26th birthday are plotted. The solid lines are the first and second order polynomials fitted on individual observations on both sides of the age-26 cutoff.

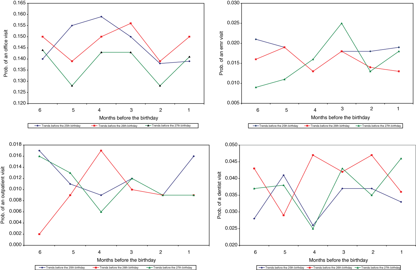
Figure 8: Probability of Using Health Care Up to Six Months before the 25th, 26th, and 27th Birthdays.(A) Office, (B) Emergency department, (C) Outpatient, and (D) Dentist.
Figure 8:

Probability of Using Health Care Up to Six Months before the 25th, 26th, and 27th Birthdays.

(A) Office, (B) Emergency department, (C) Outpatient, and (D) Dentist.

References

Anderson, M., C. Dobkin, and T. Gross. 2012. “The Effect of Health Insurance Coverage on the Use of Medical Services.” American Economic Journal: Economic Policy 4: 1–27.10.3386/w15823Search in Google Scholar

Anderson, M., C. Dobkin, and T. Gross. 2014. “The Effect of Health Insurance on Emergency Department Visits: Evidence from an Age-Based Eligibility Threshold.” Review of Economics and Statistics 96: 189–195.10.1162/REST_a_00378Search in Google Scholar

Antwi, Y. A., A. Moriya, and K. Simon. 2013. “Effects of Federal Policy to Insure Young Adults: Evidence from the 2010 Affordable Care Act’s Dependent-Coverage Mandate.” American Economic Journal: Economic Policy 5: 1–28.10.1257/pol.5.4.1Search in Google Scholar

Antwi, Y. A., A. Moriya, and K. Simon. 2015. “Access to Health Insurance and the Use of Inpatient Medical Care: Evidence from the Affordable Care Act Young Adult Mandate.” Journal of Health Economics 39: 171–187.10.1016/j.jhealeco.2014.11.007Search in Google Scholar PubMed

Ayanian, J. Z., J. S. Weissman, E. C. Schneider, J. A. Ginsburg, and A. M. Zaslavsky. 2000. “Unmet Health Needs of Uninsured Adults in the United States.” Journal of the American Medical Association 284: 2061–2069.10.1001/jama.284.16.2061Search in Google Scholar

Barbaresco, S., C. J. Courtemanche, and Y. Qi. 2015. “Impacts of the Affordable Care Act Dependent Coverage Provision on Health-Related Outcomes of Young Adults.” Journal of Health Economics 40: 54–68.10.1016/j.jhealeco.2014.12.004Search in Google Scholar PubMed

Booth, A. L., and P. Nolen. 2012. “Gender Differences in Risk Behavior: Does Nurture Matter?” Economic Journal 122: 56–78.10.1111/j.1468-0297.2011.02480.xSearch in Google Scholar

Braveman, P., V. M. Schaaf, S. Egerter, T. Bennett, and W. Schecter. 1994. “Insurance-Related Differences in the Risk of Ruptured Appendix.” New England Journal of Medicine 331: 444–449.10.1056/NEJM199408183310706Search in Google Scholar

Brook, R. H., J. E. Ware Jr, W. H. Rogers, E. B. Keeler, A. R. Davies, C. A. Donald, G. A. Goldberg, K. N. Lohr, P. C. Masthay, and J. P. Newhouse. 1983. “Does Free Care Improve Adults’ Health? Results from a Randomized Controlled Trial.” New England Journal of Medicine 309: 1426–1434.10.1056/NEJM198312083092305Search in Google Scholar

Brook, R. H., J. E. Ware, W. H. Rogers, E. B. Keeler, A. R. Davies, C. D. Sherbourne, G. A. Goldberg, K. N. Lohr, P. Camp, and J. P. Newhouse. 1984. The Effect of Coinsurance on the Health of Adults: Results from the RAND Health Insurance Experiment. RAND Corporation, Report R-3055-HHS.Search in Google Scholar

Card, D., C. Dobkin, and N. Maestas. 2008. “The Impact of Nearly Universal Insurance Coverage on Health Care Utilization: Evidence from Medicare.” American Economic Review 98: 2242–2258.10.1257/aer.98.5.2242Search in Google Scholar

Card, D., C. Dobkin, and N. Maestas. 2009. “Does Medicare Save Lives?” Quarterly Journal of Economics 124: 597–636.10.1162/qjec.2009.124.2.597Search in Google Scholar

Cantor, J. C., A. C. Monheit, D. DeLia, and K. Lloyd. 2012. “Early Impact of the Affordable Care Act on Health Insurance Coverage of Young Adults.” Health Services Research 47: 1773–1790.10.1111/j.1475-6773.2012.01458.xSearch in Google Scholar PubMed

Cardella, E., and B. Depew. 2014. “The Effect of Health Insurance Coverage on the Reported Health of Young Adults.” Economics Letters 124: 406–410.10.1016/j.econlet.2014.06.036Search in Google Scholar

Cheng, M. Y., J. Fan, and J. S. Marron. 1997. “On Automatic Boundary Correction.” Annals of Statistics 25: 1691–1708.10.1214/aos/1031594737Search in Google Scholar

Chua, K. P., and B. D. Sommers. 2014. “Changes in Health and Medical Spending Among Young Adults Under Health Reform.” Journal of the American Medical Association 311: 2437–2439.10.1001/jama.2014.2202Search in Google Scholar

Currie, J., S. Decker, and W. Lin. 2008. “Has Public Health Insurance for Older Children Reduced Disparities in Access to Care and Health Outcomes?” Journal of Health Economics 27: 1567–1581.10.1016/j.jhealeco.2008.07.002Search in Google Scholar PubMed

Dafny, L., and J. Gruber. 2005. “Public Insurance and Child Hospitalizations: Access and Efficiency Effects.” Journal of Public Economics 89: 109–129.10.1016/j.jpubeco.2003.05.004Search in Google Scholar

Dillender, M. 2015. “The Effect of Health Insurance on Workers’ Compensation Filing: Evidence from the Affordable Care Act’s Age-Based Threshold for Dependent Coverage.” Journal of Health Economics 43: 204–228.10.1016/j.jhealeco.2015.07.004Search in Google Scholar PubMed

Finkelstein, E., S. Taubman, B. Wright, M. Bernstein, J. Gruber, J. P. Newhouse, H. Allen, K. Baicker, and The Oregon Health Study Group. 2012. “The Oregon Health Insurance Experiment: Evidence from the First Year.” Quarterly Journal of Economics 127: 1057–1106.10.1093/qje/qjs020Search in Google Scholar

Gross, T. 2010. “Using Insurance before you Lose it: Health Care Consumption at the End of Coverage, Unpublished Manuscript.”Search in Google Scholar

Hahn, J., P. Todd, and W. van der Klaauw. 2001. “Identification and Estimation of Treatment Effects with a Regression-Discontinuity Design.” Econometrica 69: 201–209.10.1111/1468-0262.00183Search in Google Scholar

Hoffman, C., and J. Paradise. 2008. “Health Insurance and Access to Health Care in the United States.” Annals of the New York Academy of Sciences 1136: 149–160.10.1196/annals.1425.007Search in Google Scholar PubMed

Imbens, G., and T. Lemieux. 2008. “Regression Discontinuity Designs: A Guide to Practice.” Journal of Econometrics 142: 615–635.10.1016/j.jeconom.2007.05.001Search in Google Scholar

Imbens, G., and K. Kalyanaraman. 2012. “Optimal Bandwidth Choice for the Regression Discontinuity Estimator.” Review of Economic Studies 79: 933–959.10.1093/restud/rdr043Search in Google Scholar

Keeler, E. B. 1992. “Effects of Cost Sharing on Use of Medical Services and Health.” Journal of Medical Practice Management 8: 317–321.Search in Google Scholar

Kirzinger, W. K., R. A. Cohen, and R. M. Gindi. 2013. “Trends in Insurance Coverage and Source of Private Coverage Among Young Adults Aged 19–25: United States, 2008–2012.” NCHS Data Brief 137: 1–7.Search in Google Scholar

Lee, D. S., and T. Lemieux. 2009. “Regression Discontinuity Designs in Economics.” NBER Working Paper No. 02138.10.3386/w14723Search in Google Scholar

Levine, P. B., R. McKnight, and S. Heep. 2011. “How Effective are Public Policies to Increase Health Insurance Coverage Among Young Adults?” American Economic Journal: Economic Policy 3: 129–156.10.1257/pol.3.1.129Search in Google Scholar

Long, S. H., M. S. Marquis, and J. Rodgers. 1998. “Do people Shift Their Use of Health Services Over Time to Take Advantage of insurance?” Journal of Health Economics 17: 105–115.10.1016/S0167-6296(97)00014-3Search in Google Scholar PubMed

McWilliams, J. M., A. M. Zaslavsky, E. Meara, and J. Z. Ayanian. 2003. “Impact of Medicare Coverage on Basic Clinical Services for Previously Uninsured Adults.” Journal of the American Medical Association 290: 757–764.10.1001/jama.290.6.757Search in Google Scholar

Newhouse, J. P. 2004. “Consumer-Directed Health Plans And The RAND Health Insurance Experiment.” Health Affairs 23: 107–113.10.1377/hlthaff.23.6.107Search in Google Scholar

Newton, M. F., C. C. Keirns, R. Cunningham, R. A. Hayward, and R. Stanley. 2008. “Uninsured Adults Presenting to US Emergency Departments: Assumptions Versus Data.” Journal of the American Medical Association 300: 1914–1924.10.1001/jama.300.16.1914Search in Google Scholar

Porter, J. 2003. Estimation in the Regression Discontinuity Model. Unpublished Manuscript, Harvard University, Department of Economics.Search in Google Scholar

Powell, M., and D. Ansic. 1997. “Gender Differences in Risk Behavior in Financial Decision Making: An Experimental Analysis.” Journal of Economic Psychology 18: 605–628.10.1016/S0167-4870(97)00026-3Search in Google Scholar

Slusky, D. J. G. 2017. “Significant Placebo Results in Difference-in-Differences Analysis: The Case of the ACA’s Parental Mandate.” Eastern Economic Journal 43: 580–603.10.1057/eej.2015.49Search in Google Scholar

Sommers, B. D., and R. Kronick. 2012. “The Affordable Care Act and Insurance Coverage for Young Adults.” Journal of the American Medical Association 307: 913–914.10.1001/jama.307.9.913Search in Google Scholar

Sommers, B. D., T. Buchmueller, S. L. Decker, C. Carey, and R. Kronick. 2013. “The Affordable Care Act has Led to Significant Gains in Health Insurance and Access to Care for Young Adults.” Health Affairs 32: 165–174.10.1377/hlthaff.2012.0552Search in Google Scholar

Timmins, L. 2012. How Much Does Health Insurance Matter for Young Adults?: Its Role on Primary Medical Care Consumption, Unpublished Manuscript. Department of Economics, University of British Columbia.Search in Google Scholar

Wallace, J., and B. D. Sommers. 2015. “Effect of Dependent Coverage Expansion of the Affordable Care Act on Health and Access to Care for Young Adults.” Journal of the American Medical Association Pediatrics 169: 495–497.10.1001/jamapediatrics.2014.3574Search in Google Scholar

Weissman, J. S., C. Gatsonis, and A. M. Epstein. 1992. “Rates of Avoidable Hospitalization by Insurance Status in Massachusetts and Maryland.” Journal of the American Medical Association 268: 2388–2394.10.1001/jama.1992.03490170060026Search in Google Scholar

Yörük, B. K. 2017. “Health Insurance Coverage and Risky Health Behaviors Among Young Adults.” B.E. Journal of Economic Analysis and Policy 17: 1–21.10.1515/bejeap-2016-0282Search in Google Scholar

Published Online: 2019-04-03

©2019 Walter de Gruyter GmbH, Berlin/Boston

Downloaded on 5.11.2025 from https://www.degruyterbrill.com/document/doi/10.1515/fhep-2017-0032/html
Scroll to top button