Abstract
We study Markovian continuos-time random walk models for Lévy flights and we show an example in which the convergence to stable densities is not guaranteed when jumps follow a bi-modal power-law distribution that is equal to zero in zero. The significance of this result is two-fold: i) with regard to the probabilistic derivation of the fractional diffusion equation and also ii) with regard to the concept of site fidelity in the framework of Lévy-like motion for wild animals.
1 Introduction
This research is motivated by the fact that, in the literature dedicated to random walks for anomalous diffusion, the specific value of the frequency of the jumps with zero-size is disregarded as if it does not affect the motion of the walker, e.g., [50, 65, 6, 70, 62, 46, 2, 47, 63, 44, 16, 18, 23, 33, 45, 71, 36]. Actually, in the literature it is disregarded if the walker does not move in the majority of the iterations because the most frequent jump-size is zero (i.e., the jump-size distribution is unimodal with mode located in zero) or, in opposition, if the walker always moves because the jumps with zero-size never occur (i.e., the jump-size distribution is bi-modal and equal to zero in zero). As a matter of fact, in the large-time limit, this irrelevance holds true for random-walk models of the Brownian motion when the corresponding jump-processes follow a Gaussian law or a coin-flipping rule. On the other side, anomalous diffusion is explained by Lévy flights, rather than by the Brownian motion, and Lévy flights are defined as Markovian random walks that converge to stable densities because of power-law distributed jumps [65, 6].
Before starting, we declare that we are more confident in using terminology, notions and notation adopted in physics. Hence, we do not refer to the considered diffusion processes as random-walk models with Lebesgue measure when they satisfy the Central Limit Theorem or as long-jump processes with Hausdorff measure when they satisfy the generalised Central Limit Theorem in the sense of Lévy, but we term the processes according to the resulting probability density function (pdf), namely we call Brownian motion the processes whose walker’s distribution converges to a Gaussian law and we term Lévy flights the processes whose walker’s distribution converges to a stable law.
The evolution in time of Lévy flights emerges to be governed by a fractional diffusion equation [66, 46, 47, 71]. A number of properties of Lévy flights has been studied, e.g., [10, 11, 13, 57, 55, 54]. However, in the probabilistic derivation of the fractional diffusion equation, the distinctive singularity of the fractional Laplacian is obtained, with a constant time-step, when the distribution of jumps is bi-modal and equal to zero in zero [68], see also Appendix B. Hence, the frequency of jumps with zero-size is expected to play a key role in modelling fractional anomalous diffusion.
Here we analyse this literature inconsistency between the apparent irrelevance of the frequency of zero-size jumps, as promoted by random-walk models for Lévy flights, and the link between the jump distribution and the distinctive singularity of the fractional Laplacian, as established by probability arguments for deriving the fractional diffusion equation [68]. In particular, in this paper we provide an example to show that it is not guaranteed that a Markovian continuous-time random walk (CTRW), with jump-sizes uncoupled from the waiting-times and displaying power-law tails, converges to a stable density when the jumps follow a bi-modal distribution equal to zero in zero, that is the one in agreement with the probabilistic derivation [68], and, moreover, the resulting diffusive process can be non self-similar.
The consequence of this loss of self-similarity is the emergence of a time-scale for realizing the large-time limit. Such time-scale results to be dependent on the stability parameter by spanning from zero to infinity. Hence, the large-time limit could not be reached in real systems.
Even if this can be considered a second order effect, in diffusion processes the maximum of the walker’s distribution stays located in the starting site at all elapsed times and, in the large-time limit, the scaling-law in time of the distribution around its maximum is important for determining the properties of recurrence and transience of the random walk [1]. Therefore, attaining the large-time limit together with the scaling-law in time of the walker’s distribution maximum have a fundamental role on determining the suitability of the CTRW approach for modelling Lévy flights, because of a failing performance or a compatible performance by a CTRW model for reproducing recurrence and transience of the many observed signatures of Lévy flights. Since Lévy flights can be modelled, for example, also through stochastic differential equations driven by Lévy-noise [14, 46, 11], through parametric subordination [26, 24, 25] or through other methods [21, 20, 22, 69], this result establishes a criterion for the selection of proper modelling approaches for Lévy flights.
In particular, in the spirit of Pólya’s theorem [60, 52], recurrence and transience are of paramount importance on the way home. The motion of wild animals has been associated many times to power-law distributions both in the view of the celebrated, and criticised, Lévy flights foraging hypothesis [15, 32, 58, 72, 4, 61, 34], and also in the view of the concept of site fidelity [19, 17]: the recurrent visit of an animal to a previously occupied location [28, 3, 7, 5]. The fact that the large-time limit for determining the recurrence or transience of the process could not be realistically reached clashes against the concept of site fidelity, which is straightforwardly related to recurrence, and this provides a further weakness of the power-law hypothesis for animal behaviour.
To conclude, our result highlights the need to investigate more deeply the role of zero-size jumps in random walks with power-law distributed jumps.
In Section 2, we call the attention to the small wavelength expansion of the characteristic function of jumps that are power-law distributed and we derive the conditions for the loss of self-similarity in the resulting process. In Section 3, we discuss the significance of the derived result both i) in the framework of the probabilistic derivation of the fractional diffusion equation, as far as the relation between zero-size jumps and the distinctive singularity of the fractional Laplacian is concerned, and ii) in the framework of animal behaviour, as far as the concept of site fidelity and the Lévy flights foraging hypothesis are concerned, and we furtherly highlight the effect due to zero-size jumps for reaching the large-time limit. In Section 4, we provide summary and conclusions in the perspective of future research.
2 Power-law tails, zero-size jumps and self-similarity
We denote by ρ(x; t) the distribution of the walker’s displacement x at time t, with x = (x1, …, xN) ∈ ℝN and t > 0, such that
Moreover, we assume as initial datum ρ(x; 0) = δ(x). In a CTRW model, the distribution ρ(x; t) is governed by the Montroll–Weiss equation [50, 64] that, in the Markovian case with jump-sizes uncoupled from waiting-times, reads
where ρ̂(κ; t) and φ̂(κ) = φ̂(ℓκ) are the characteristic functions of ρ(x; t) and of the jump pdfφ(x) = φ(x/ℓ)/ℓN, respectively, with ℓ as the length-unit of the jumps and τ as the time-unit - and also the mean value - of the waiting-times that are exponentially distributed.
Here, we are interested in establishing an observable that allows for discriminating between the case “Should I stay?”: when the walker does not move in the majority of the iterations because the most frequent jump-size is zero, i.e., φ(x) is an unimodal jump pdf such that φ(0) = sup{φ(x) : x ∈ ℝN}; and the opposite case “Should I go?”: when the walker always moves because the jumps with zero-size never occur, i.e., φ(x) is a bi-modal jump pdf such that φ(0) = inf{φ(x) : x ∈ ℝN} = 0. We say that jump-sizes in the “Should I go?” condition follow a rule à la coin-flipping.
By applying in one single step the analog of the Kramers–Moyal expansion and of the Pawula theorem, whatever the jump pdfφ(x) is such that it holds [46, 47, 45, 71, 36]
then, if in the small wavelength expansion (2.3) we set α = 2, from equation (2.2) we obtain that ρ(x; t) solves the evolution problem
where 𝓓 = ℓ2/τ is the diffusion coefficient and, actually, ρ(x; t) is a Gaussian density:
so we say that this CTRW is a model for the Brownian motion, with variance
On the contrary, if in the small wavelength expansion (2.3) we consider the interval 0 < α < 2, from equation (2.2) we obtain that ρ(x; t) solves the fractional evolution problem
where 𝓓α = ℓα/τ is the fractional diffusion coefficient, therefore 𝓓2 = 𝓓, and (−Δ)α/2, α ∈ (0, 2), is the fractional Laplacian [8, 37, 38] such that, actually, ρ(x; t) is a Lévy stable density [29], i.e.,
and we say that this CTRW is a model for Lévy flights [71], with fractional absolute moments [46, 48]
Here we do not specify any particular definition of the fractional Laplacian, because we consider only processes in an unbounded domain and in this case there are at least ten equivalent definitions [37]. In bounded domains, the spectral representation results to be favourite, with respect others, for diffusion problems because it is based on the heat kernel, namely the Brownian motion [12]. Mathematical and physical interpretations of the fractional Laplacian are provided by Hilfer [30, 31] and a number of physical systems governed by space fractional kinetics are reported, for example, by Uchaikin & Sibatov [67]. A noteworthy case of diffusion problem (2.7) is the special case α = 1 that leads to the Cauchy (Lorentz) distribution [29, 1]
where 𝓝 is the normalization factor.
Whenever the derivation of CTRW models for the Brownian motion and for Lévy flights is strictly based on the small wavelength expansion of the characteristic function of jumps (2.3), the difference between the conditions “Should I stay?” and “Should I go?” is neglected because this limit provides the behaviour of the tails of the resulting walker’s distribution ρ(x; t) and then, in this respect, the distribution of small jump-sizes is irrelevant. Actually, the application of this method could mislead to the undeclared statement - on the back of the mind - that the small wavelength expansion of the characteristic function of the jump pdf should be a series with alternating signs, namely an alternating series, like the Taylor expansion of a completely monotonic function is, but this is not always true for stable densities. Here we investigate the effect of this non-alternation of signs in the resulting random walk.
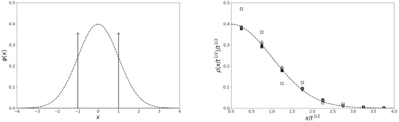
In the case of the CTRW model for the Brownian motion, this undeclared statement is true both in the “Should I stay?” and “Should I go?” conditions, see Figure 1, in fact, in the isotropic case, it holds

Left: plots of the one-dimensional (N = 1) jump pdfs(2.11a) and (2.12a) corresponding to the Should I stay? and Should I go? conditions, respectively, for the generation of the Brownian motion from CTRW models. Right: plots of the Gaussian walker’s distribution ρ(x; t) (2.5) of the CTRW models for the Brownian motion as generated by using the one-dimensional (N = 1) jump pdfs(2.11a) (filled symbols) and (2.12a) (empty symbols) at t = 10τ, 100τ, 1000τ represented by squares, diamons and triangles, respectively: the short-time effects of the coin-flipping rule (2.12a) is visible.
and also
where ê is the basis vector (ê ⋅ ê = 1) with isotropic symmetry so x = |x| ê =
Conversely, in the case of CTRW models for Lévy flights, although this undeclared statement is true in the “Should I stay?” condition and in fact, with 0 < α < 2, it holds
and ρ(x; t) solves (2.7), unfortunately, the alternating sign expansion (2.13b) is not always true in the “Should I go?” condition.
For mathematical convenience, we provide an example, in the one-dimensional (N = 1) case, of a jump pdf whose small wavelength expansion of the characteristic function is not an alternating series.
In order to arrange the “Should I go?” condition within the framework of power-law distributed jumps, we consider the one-sided (extremal) Lévy densities
We observe that the Brownian coin-flipping rule (2.12a) is recovered from both the Lévy coin-flipping rules (2.14a) and (2.14b) when α = 1, while the special case of the Cauchy distribution (2.10) is not achievable. A study of the considered Lévy coin-flipping rules (2.14a, 2.14b) is moved in Appendix A where formulae useful for the following analysis are derived.
See plots of the one-dimensional (N = 1) jump pdfs(2.13a) and (2.14a, 2.14b) in Figure 2.
![Figure 2 Plots of the one-dimensional (N = 1) jump pdfs(2.13a) - left column - and (2.14a, 2.14b) - right column - corresponding to the Should I stay? and Should I go? conditions, respectively. Left column: solid lines decrease as |x|−(α+1) and dashed lines as |x|−(2α+1) with 0 < α < 1. Right column: solid lines decrease as |x|−(α+1) and dashed lines as |x|−[(α+1)+1] with 0 < α < 1.](/document/doi/10.1515/fca-2021-0007/asset/graphic/j_fca-2021-0007_fig_002.jpg)
Plots of the one-dimensional (N = 1) jump pdfs(2.13a) - left column - and (2.14a, 2.14b) - right column - corresponding to the Should I stay? and Should I go? conditions, respectively. Left column: solid lines decrease as |x|−(α+1) and dashed lines as |x|−(2α+1) with 0 < α < 1. Right column: solid lines decrease as |x|−(α+1) and dashed lines as |x|−[(α+1)+1] with 0 < α < 1.
From the Lévy coin-flipping rule (2.14a), we have that for κ ∈ ℝ the characteristic function is
hence expansion (2.15) is an alternating series if 0 < α ≤ 1/2 such that ρ(x; t) solves (2.7), but if 1/2 < α < 1 then we have
and expansion (2.15) is not a series with alternating signs. In this case, from equation (2.2) it follows that
with
and therefore ρ(x; t) solves the fractional evolution problem
where
and
such that ρ(x; t) is a convolution of Lévy stable densities:
with fractional absolute moments [9, 56]
From the characteristic function (2.17), we have that the tails of the distribution ρ(x; t) (2.22) follow the same power-law of the tails of a stable density of stability parameter α, see Figures 3 and 4, namely

Plots of the tails of the walker’s distribution ρ(x; t) obtained with jump pdf(2.14a) at times t = 10 τ, 100τ, 1000τ marked by squares, triangles and diamonds, respectively. The dashed lines represent the power-law decaying |x|−(α+1).

Plots of the central part of the walker’s distribution ρ(x; t) obtained with jump pdf(2.14a) at times t = 10 τ, 100τ, 1000τ marked by squares, triangles and diamonds, respectively. The dotted lines represent Lévy stable densities of index α and the dashed lines the power-law decaying |x|−(α+1). The loss of self-similarity in the interval 1/2 < α < 1 is evident.
Convolution integral (2.22) has been studied in a number of papers as fundamental solution of double-order space-fractional diffusion equation [9], as generalised Voigt function [40, 56], or as a sum of two independent stable random variables [53, 51].
From the Lévy coin-flipping rule (2.14b), we have that
since 0 < α < 1, expansion (2.25) is an alternating series and ρ(x; t) solves (2.7) by replacing α → (α + 1) and
![Figure 5 Plots of the walker’s distribution ρ(x; t) obtained with jump pdf(2.14b) at times t = 10 τ, 100τ, 1000τ marked by squares, triangles and diamonds, respectively. The dotted lines represent Lévy stable densities of index (α +1) and the dashed lines the power-law decaying |x|−[(α+1)+1].](/document/doi/10.1515/fca-2021-0007/asset/graphic/j_fca-2021-0007_fig_005.jpg)
Plots of the walker’s distribution ρ(x; t) obtained with jump pdf(2.14b) at times t = 10 τ, 100τ, 1000τ marked by squares, triangles and diamonds, respectively. The dotted lines represent Lévy stable densities of index (α +1) and the dashed lines the power-law decaying |x|−[(α+1)+1].
Before ending this section, we want to highlight that both jump pdfs (2.14a) and (2.14b) tend to the coin-flipping rule (2.12a) when α → 1 and so both the resulting processes tend to the Brownian motion. However, from series expansions (2.15) and (2.25) it emerges that they tend to the Brownian motion in a very different way. In fact, we observe that series expansion (2.15) reduces to (2.12b) through the third term ∝ |κ|2α because the coefficient of the second term goes to 0, while series expansion (2.25) reduces to (2.12b) through the second term ∝ |κ|α+1 because the coefficient of the third term goes to 0.
3 Discussion and significance
3.1 Jump pdf and fractional Laplacian singularity
Our first remark on the above results concerns the comparison with the probabilistic derivation of the fractional diffusion equation (2.7) provided by Valdinoci [68], see Appendix B for a short reminder. In fact, from a generic probabilistic framework where the walker’s distribution function ρ(x; t) is updated at each fixed time-step Δ t through a symmetric jump pdfφ(Δ x), i.e.,
fractional diffusion equation (2.7) is obtained only if φ(Δ x) ∝ |Δ x|−N−α with φ(0) = 0, namely only if the distribution of the jumps follows a rule à la coin-flipping. As a matter of fact, condition φ(0) = 0 turns out to be straightforwardly related to the singularity of the fractional Laplacian at 0 and for this reason the “Should I go?” condition emerges to be of paramount importance for fractional diffusion modelling, see Appendix B.
Fractional diffusion equation (2.7) can be derived on the basis of (3.1) also by considering formula (3.1) in the domain of the characteristic functions and by applying the small wavelength expansion [33]. However, the previous discussion about the small wavelength expansion of the characteristic function of jumps and the consequence due to alternating and non-alternating series holds also for this derivation method. This procedure does not catch the peculiar role of the “Should I go?” condition that is mapped through the jump rule à la coin-flipping - namely φ(0) = 0 - into the distinctive singularity of the fractional Laplacian, see Appendix B.
As it follows from the previous analysis, a Markovian CTRW converges always to a density function that solves the fractional diffusion equation (2.7) only if the jump pdf has its maximum in 0, i.e., in the “Should I stay?” condition, and indeed when the jumps follow a rule à la coin-flipping, i.e., the “Should I go?” condition, that is the one compatible with the probabilistic derivation [68], it is not guaranteed that the resulting density function solves (2.7).
Hence, concerning the significance of the previous analysis, we state that when the small wavelength expansion of the characteristic function of the jump pdf is not an alternating series then the process is not self-similar and it is not governed by the fractional diffusion equation (2.7). More concretely, in the studied example, the jump rule à la coin-flipping (2.14a), when 1/2 < α < 1, generates a process that converges to a Voigt-like distribution [40, 56], it is not self-similar and is governed by the double-order fractional diffusion equation (2.19). Besides the many fields where the Voigt profile emerges, we report here that recently it has been highlighted that the Voigt profile is a good descriptor of the processes occurring in protein folding and in the native state [14].
3.2 Indetermined homecoming: the effect of the Lévy coin-flipping rule on transience (and recurrence) of anomalous diffusion processes
Our second remark on the above results concerns the problem of transience (and recurrence) for power-law processes and its relation with the concept of site fidelity in animal behaviour [28, 3, 7, 5, 19, 17] and with the Lévy flights foraging hypothesis [15, 32, 58, 72, 4, 61, 34]. Affili, Dipierro & Valdinoci [1] developed an approach for deriving the conditions for transience and recurrence of Markovian random processes that is based on the decaying in time of the walker’s distribution in the starting site, i.e., ρ(0;t). We briefly report that approach [1] in Appendix C, where we have re-arranged it accordingly to the present aims.
Actually, diffusive processes, whose walker’s distribution converges to a stable density with stable parameter 0 < α < 2, are always transient except in the one-dimensional (N = 1) case when 1 ≤ α < 2 [1, 49], see Appendix C.
We observe that distribution ρ(x; t) (2.22) in the Should I go? condition (2.14a) with 1/2 < α < 1 is not self-similar, on the contrary ρ(x; t) is self-similar in the same Should I go? condition (2.14a) but with 0 < α ≤ 1/2 or in the Should I go? condition (2.14b) with 0 < α < 1, and in the Should I stay? condition (2.13a) with 0 < α < 2. As a consequence, in the considered case study, the loss of self-similarity introduces a time-scale T necessary for defining the large-time limit and so for attaining the scaling law in time of ρ(0; t) and determining transience and recurrence. This time-scale T emerges to be dependent on α and tending to infinity when α → 1 and this makes the large-time limit unattainable in real systems. In fact, by starting from the formula
we have that when ℓ |κ| ≪ 1 the expansion (2.17) holds and then (3.2) can be approximated by
and, after the change of variable ℓαkαt/τ = ξ, it becomes
that in the limit t/τ → ∞ reduces to
where Dp(z), with Re p < 0, is the parabolic cylinder function, see [27, 3.462(1) p. 365 and 9.24-9.25 (9.246) p. 1028] with asymptotic behaviour
To conclude, we obtain that, when the following large-time limit is reached
it holds
However T → ∞ when α → 1, see Figure 6, that poses an issue on the attainability of such large-time limit in real systems.

Plot of the time-scale T as defined in formula (3.7).
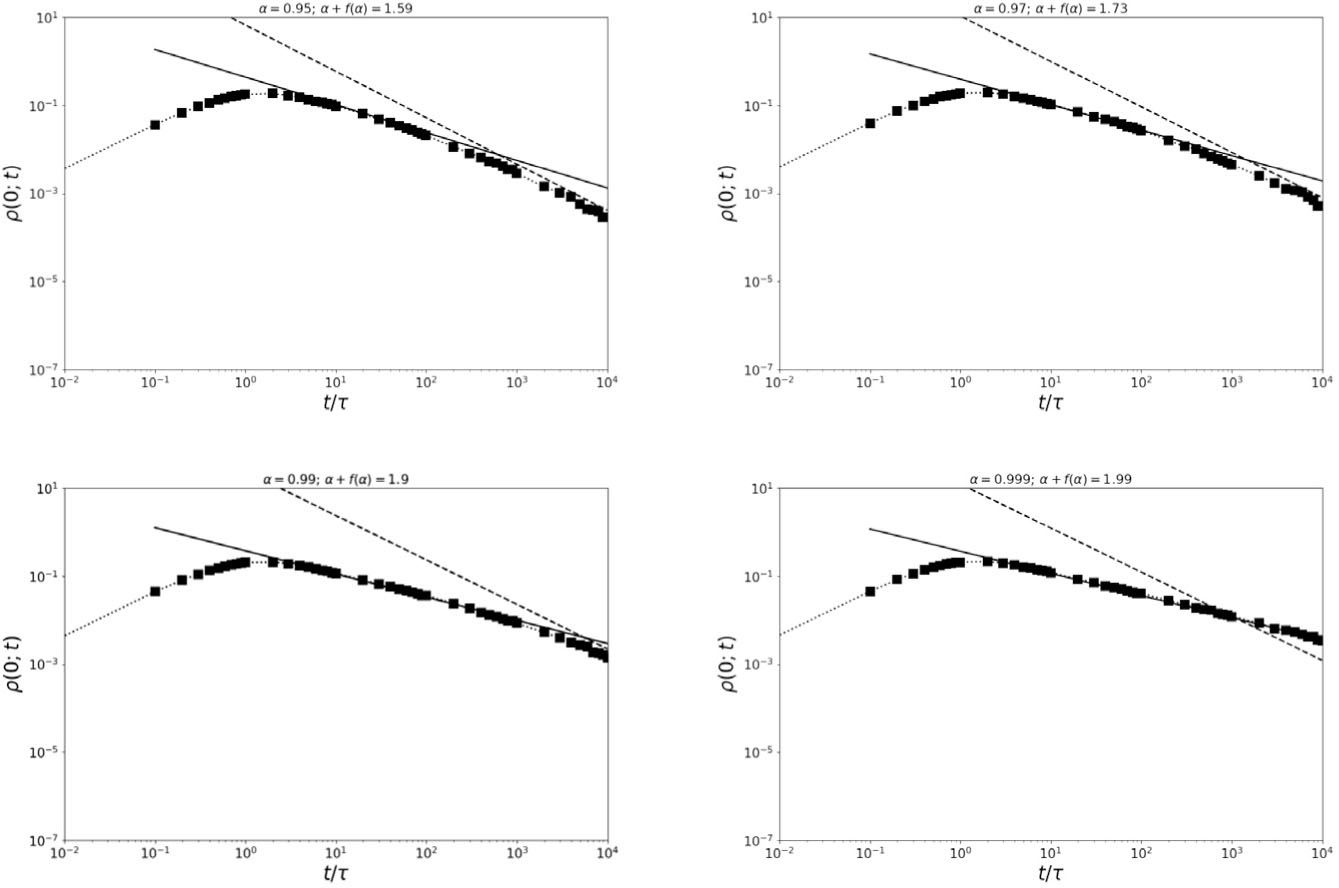
We have simulated the process that converges to ρ(x; t) (2.22) and the decaying in time of ρ(0; t) is shown in Figures 7 and 8. By using a fitting procedure, we have estimated the scaling-law in the transient regime τ ≪ t ≪ T and we found that it is a not power-law, see Figure 9. In particular, we have approximated it with the easy-to-read formula
 and the dashed line is the large-time decaying-law t−α(3.8). The plots show the duration of the intermediate regime τ ≪ t ≪ T and its enlarging as α → 1.](/document/doi/10.1515/fca-2021-0007/asset/graphic/j_fca-2021-0007_fig_007.jpg)
Plots of the decreasing in time of the maximum of the walker’s distribution ρ(0; t) generated through the jump pdf(2.14a) with α = 0.6, 0.7, 0.8, 0.9. The solid line represent the decaying-law t−[α+f(α)](3.9) and the dashed line is the large-time decaying-law t−α(3.8). The plots show the duration of the intermediate regime τ ≪ t ≪ T and its enlarging as α → 1.
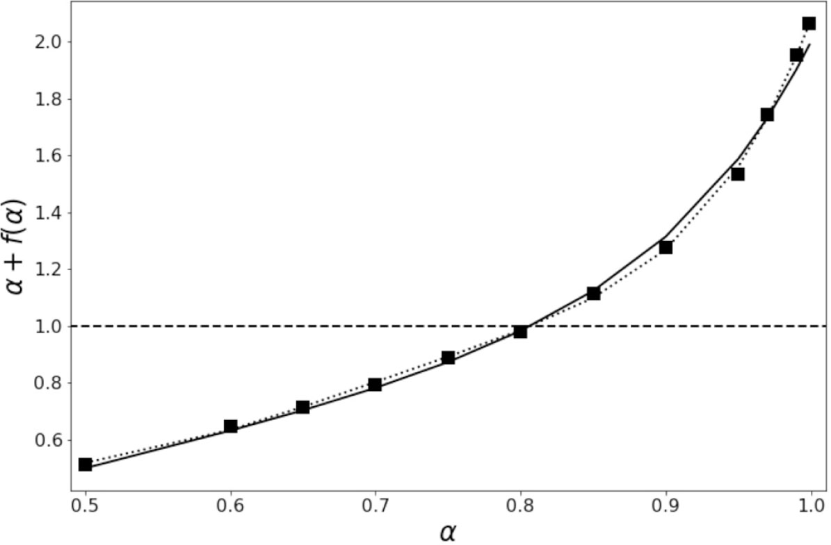
that meets the constraints f(1/2) = 0 and f(1) = 1 in order to recover the limit scaling-laws ρ(0; t) ∼ t−2, when α = 1/2, and ρ(0; t) ∼ t−1/2, when α = 1, as expected from (2.15).
Simulations show that, during the intermediate regime τ ≪ t ≪ T, when α → 1 it holds α + f(α) > 1 (see also Figures 7, 8 and 9). Moreover, if α → 1 then T → ∞ and this makes unattainable the large-time limit t ≫ T whenever the studied Markovian CTRW model with jumps following a rule à la coin-flipping corresponds to a real system. In particular, this means that, a recurrence-like scaling, i.e., ρ(0; t) ∼ t−β with 1 ≤ β < 2, could be observed for a very extended temporal interval because T → ∞, in spite of the transient theoretical scaling ρ(0; t) ∼ t−1/α, with 1/2 < α < 1.
Therefore, since recurrence can be understood as homecoming probability and power-law distributions are used for explaining animal behaviour, the significance of this apparent recurrence - in spite of the actual transience - lays into an indetermined homecoming. This indetermination provides a further weakness of the hypothesis of Lévy-like motions for animal behaviour that can be overcome, for example, in the framework of truncated Lévy flights [42, 35].

The same as in Figure 7 but with α = 0.95, 0.97, 0.99, 0.999 for highlithing the delay in attaining the large-time limit t ≫ T.

Plot of the decaying-law of ρ(0; t) as estimated by simulations (black squares). The dotted line corresponds to the formula α + c2α2 + … + c6α6 as provided by the fitting routine scipy.optimize.curve_fit while the solid line corresponds to the formula α + f(α) (3.9) and the dashed line is the reference-line indicating the transient-to-recurrence conversion at α+f(α) = 1.
4 Summary and conclusions
In this paper we have analysed random walks and we have discussed the role of a jump rule à la coin-flipping, namely jumps with a bi-modal distribution that is equal to zero in zero. In particular, we have studied an example of jump process that displays tails decaying with a power-law and we found that, within the framework of Markovian CTRW models for Lévy flights, i.e., the walkers’s distribution converges to a stable density, the self-similarity of the diffusive process is lost for a certain interval of the stability parameter 0 < α < 2: in the particular case of our example the self-similarity is lost when 1/2 < α < 1.
In the derivation of Lévy flights from the CTRW, the key role is played by the asymptotic limit for small wavelength of the characteristic function of jumps and this leaves open the specific form of the full characteristic function of the jump pdf. This asymptotic limit re-phrases in a single step the Kramers–Moyal expansion and the Pawula theorem by reducing the so-called Montroll–Weiss equation, that governs the walker’s distribution in the CTRW approach, to the fractional diffusion equation in the domain of the wavelength. Actually, this procedure is an example for showing the Central Limit Theorem in the sense of Lévy. As a matter of fact, when the jump-sizes follow a rule à la coin-flipping, the small wavelength expansion of their characteristic function is not always a series with alternating signs and this fact causes the loss of self-similarity. In the framework of the studied example, the resulting diffusive process converges to a generalised Voigt profile that is given by the convolution of two stable densities.
We have highlighted that this loss of self-similarity has a double significance. At the mathematical level, the use of a jump pdf corresponding to a rule à la coin-flipping makes the model for Lévy flights consistent with the probabilistic derivation of the fractional diffusion equation where the distinctive singularity of the fractional Laplacian is a consequence of the jump-rule à la coin-flipping, but the resulting evolution equation is indeed a double fractional-order equation in the stability interval 1/2 < α < 1. At the application level, the loss of self-similarity generates an intermediate temporal regime which defines a time-scale for large-time limit. This time-scale results to be depended on α and it tends to infinite when α tends to 1: this means that, whenever the studied process is a reliable model for a physical system, the large-time limit could not be observed in real measurements. This unattainability of the large-time limit has an effect on the transience and recurrence of the process: actually, in spite of the expected transience of the process, the long-extended intermediate regime could display a recurrence-like scaling that leads to an indetermined situation in real cases. This apparent recurrence because of the unattainability of the large-time limit is a property of the studied CTRW model that deserves attention in the future. In fact, if animal movement is modelled through Lévy-like motions then the searching for food, and also the searching for home, can be affected by the adopted jump rule: the searching for food could lead to a double-order equation and the searching for home to an indetermined homecoming in real systems.
To conclude, we state that the research on the derivation of random walks models for Lévy flights and fractional diffusion is not concluded yet, that a further deep investigation on the role of jump-rules à la coin-flipping is necessary. This calls for a generalisation of the present results both in terms of the choice of the jump pdf and in terms of the considered random walk model characterised by power-law tails as, for example, Lévy walks. Moreover, this distinguishible effect due to the jump-rule, i.e., it is à la coin-flipping or not, turns into a distinguishible feature of the motion of animals: namely if they stand in the majority of the iterations or if they always move.
Definitively, the difference between the “Should I stay?” and “Should I go?” conditions cannot be disregarded.
Appendix A
We report here the main steps related to the calculations concerning the jump pdfs (2.14a) and (2.14b) providing the Lévy coin-flipping rules for the “Should I go?” condition.
Since the considered jump pdfs are symmetric, the corresponding characteristic functions are defined by
that are symmetric as well, i.e., φ̂(κ) = φ̂(−κ), and they can be expressed through their Mellin transform [39, see from (2.26) to (2.31)], i.e.,
where L is the integration path in the sense of the Mellin–Barnes integrals and φ*(s), with s ∈ ℂ, is the Mellin transform of φ(x), with x > 0:
For further details on the Mellin transform and Mellin–Barnes integrals we refer the reader to, for example, the textbook by Marichev [43].
By reminding the Mellin–Barnes integral representation of extremal Lévy densities [39, 40]
and then the Mellin transform
where the two formulae are related by the property Γ(1 + ξ) = ξΓ(ξ) such that the normalization condition when s = 1 is straightforwardly checked, for the jump pdf(2.14a) it holds
and by applying the residue theorem for κ → 0 formula (2.15) is obtained, and analogously for the jump pdf(2.14b) it holds
and by applying the residue theorem for κ → 0 formula (2.25) is obtained.
Appendix B
We briefly report the probabilistic derivation of the fractional diffusion equation (2.7) due to Valdinoci [68]. If ρ(x; t) is the walker’s distribution function and φ(Δ x) is the symmetric jump pdf, then the generic update of ρ(x; t) at any constant time-step Δ t is given by
We discretise the jump pdf in a lattice h ℤN, where ℤN is a regular lattice with unitary grid-size and h > 0, such that Δ x = hz and z ∈ ℤN, then (B.1) reads
If we assume a power-law jump pdf up to a normalizing constant, i.e.,
then, by using the normalization condition
the evolution in time of ρ(x; t) results to be governed by
where 𝓓α = hα/Δ t and φ(z) = |z|−N−α. By applying the change of variable y = hz, the rhs of (B.5) is the sum approximation of a Riemann integral, and in the limits h → 0 and Δ t → 0, it holds
To conclude, by applying in (B.6) the shift x - y → y, we finally obtain
where we used the following definition, up to a normalizing constant, of the fractional Laplacian [68]
Appendix C
We briefly report here an analytical approach due to Affili, Dipierro & Valdinoci [1] for the determination of recurrence and transience of random processes. That approach [1] is based on the partial differential equation that governs the evolution in time of the walker’s distribution ρ(x; t), and we re-arrange it according to the present aim by remembering that we assume as initial datum ρ(x; 0) = δ(x).
We introduce a ball of radius r > 0 that we denote by Br and we center it in the starting point x = 0, then we consider the probability for a walker to be outside of the ball Br at time t, i.e.,
or equivalently
and then it holds
where the normalization condition (2.1) is used.
At any instant t, the probability for the walker to step from some position Xt into the ball Br is the probability to make a jump of the necessary size: ℙ(XB ∈ Br|Xt) = ℙ(Δ X = XB − Xt). If the jumps are statistically independent, at each instant t, the probability to step into Br is the probability of an independent drawing, so the probability to step into Br during the whole random walk is given by the product of the probabilities of the necessary jumps at all instants, that is, at any fixed time-step in a discrete time framework [1]. Since we are considering a Markovian CTRW with exponentially distributed waiting-times with mean value τ, we replace the time-step with τ and we consider the probabilities at any integer multiples of τ:
and the recurrence or the transience of the process in the starting point x = 0 is determined by the limit
We assume that, inside the ball Br, the distribution ρ(x; t) follows a self-similarity law of the form
where the dimensional issues covered in the main text by the diffusion coefficients are now disregarded for lighting the notation, and thus from (C.2) and (C.6) we have
Since ρ(x; t) is the distribution function of a diffusion process with initial datum ρ(x; 0) = δ(x), it holds
and therefore we have that
where
and
By using properties of logarithmic function, it follows that
and then (C.9) becomes
Since Q(r, t) ∈ [0, 1], from (C.9) it results that also
and then from the approximation rule log(1 + z) ≃ z when |z| < 1 we obtain
and finally
that converges if Nβ > 1. To conclude, from (C.13) and (C.16) it results that
and then from the convergence rule of (C.16) it follows that
which turns into
In conclusion the recurrence/transience criterium is
and, by applying the self-similarity law (C.6), we recover the well-known result for the Brownian motion [60, 52] (i.e., β = 1/2)
and for Lévy-distributed processes [1, 49] (i.e., β = 1/α)
Acknowledgements
We are very grateful to Professor Francesco Mainardi for an endless list of personal merits and best practices that motivate us, and we would also like to acknowledge Enrico Scalas for valuable remarks on a draft version of this paper.
This research is supported by the Basque Government through the BERC 2018–2021 program and also funded by the Spanish Ministry of Economy and Competitiveness MINECO via the BCAM Severo Ochoa SEV-2017-0718 accreditation.
The code is available at: https://gitlab.bcamath.org/svitali/should-i-stay-or-should-i-go
References
[1] E. Affili, S. Dipierro, E. Valdinoci, Decay estimates in time for classical and anomalous diffusion. In: 2018 MATRIX Annals (D. Wood, J. de Gier, C. Praeger, T. Tao, Eds.), MATRIX Book Series, Vol. 3, Springer, Cham (2020), 167–182.10.1007/978-3-030-38230-8_12Suche in Google Scholar
[2] E. Barkai, CTRW pathways to the fractional diffusion equation. Chem. Phys. 284, No 1-2 (2002), 13–27.10.1016/S0301-0104(02)00533-5Suche in Google Scholar
[3] S. Benhamou, How many animals really do the Lévy walk? Ecology88, No 8 (2007), 1962–1969.10.1890/06-1769.1Suche in Google Scholar
[4] S. Benhamou, J. Collet, Ultimate failure of the Lévy foraging hypothesis: two-scale searching strategies outperform scale-free ones even when prey are scarce and cryptic. J. Theor. Biol. 387 (2015), 221–227.10.1016/j.jtbi.2015.09.034Suche in Google Scholar
[5] G. Berthelot, S. Saïd, V. Bansaye, How to use random walks for modeling the movement of wild animals. bioRxiv Preprint (2020); 10.1101/2020.03.11.986885.Suche in Google Scholar
[6] J.-P. Bouchaud, A. Georges, Anomalous diffusion in disordered media: Statistical mechanisms, models and physical applications. Phys. Rep. 195, No 4-5 (1990), 127–293.10.1016/0370-1573(90)90099-NSuche in Google Scholar
[7] D. Boyer, C. Solis–Salas, Random walks with preferential relocations to places visited in the past and their application to biology. Phys. Rev. Lett. 112, No 24 (2014), 240601.10.1103/PhysRevLett.112.240601Suche in Google Scholar PubMed
[8] C. Bucur, E. Valdinoci, Nonlocal Diffusion and Applications. Lecture Notes of the Unione Matematica Italiana, Vol. 20, Springer (2016).10.1007/978-3-319-28739-3Suche in Google Scholar
[9] A. V. Chechkin, R. Gorenflo, I. M. Sokolov, Retarding subdiffusion and accelerating superdiffusion governed by distributed-order fractional diffusion equations. Phys. Rev. E66, No 4 (2002), Art. 046129.10.1103/PhysRevE.66.046129Suche in Google Scholar PubMed
[10] A. V. Chechkin, R. Metzler, V. Y. Gonchar, J. Klafter, L. V. Tanatarov, First passage and arrival time densities for Lévy flights and the failure of the method of images. J. Phys. A: Math. Gen. 36, No 41 (2003), L537–L544.10.1088/0305-4470/36/41/L01Suche in Google Scholar
[11] A. V. Chechkin, R. Metzler, J. Klafter, V. Yu. Gonchar, Introduction to the theory of Lévy flights. In: Anomalous Transport:Foundations and Applications (R. Klages, G. Radons, I. M. Sokolov, Eds.), Wiley–VCH Verlag GmbH & Co. KGaA, Weinheim (2008), 129–162.10.1002/9783527622979.ch5Suche in Google Scholar
[12] N. Cusimano, F. Del Teso, L. Gerardo-Giorda, G. Pagnini, Discretizations of the spectral fractional Laplacian on general domains with Dirichlet, Neumann, and Robin boundary conditions. SIAM J. Numer. Anal. 56, No 3 (2018), 1243–1272.10.1137/17M1128010Suche in Google Scholar
[13] B. Dybiec, E. Gudowska-Nowak, E. Barkai, A. A. Dubkov, Lévy flights versus Lévy walks in bounded domains. Phys. Rev. E95, No 5 (2017), Art. 052102.10.1103/PhysRevE.95.052102Suche in Google Scholar
[14] H. C. Fogedby, Langevin equations for continuous time Lévy flights. Phys. Rev. E50, No 2 (1994), 1657–1660.10.1103/PhysRevE.50.1657Suche in Google Scholar
[15] H. Fritz, S. Said, H. Weimerskirch, Scale-dependent hierarchical adjustments of movement patterns in a long-range foraging seabird. Proc. R. Soc. Lond. B270, No 1520 (2003), 1143–1148.10.1098/rspb.2003.2350Suche in Google Scholar
[16] D. Fulger, E. Scalas, G. Germano, Monte Carlo simulation of uncoupled continuous-time random walks yielding a stochastic solution of the space-time fractional diffusion equation. Phys. Rev. E77, No 2 (2008), Art. 021122.10.1103/PhysRevE.77.021122Suche in Google Scholar
[17] A. O. Gautestad, A. Mysterud, The Lévy flight foraging hypothesis: forgetting about memory may lead to false verification of Brownian motion. Mov. Ecol. 1 (2013), Art. 9.10.1186/2051-3933-1-9Suche in Google Scholar
[18] G. Germano, M. Politi, E. Scalas, R. L. Schilling, Stochastic calculus for uncoupled continuous-time random walks. Phys. Rev. E79, No 6 (2009), Art. 066102.10.1103/PhysRevE.79.066102Suche in Google Scholar
[19] L. Giuggioli, F. Bartumeus, Linking animal movement to site fidelity. J. Math. Biol. 64 (2012), 647–656.10.1007/s00285-011-0431-7Suche in Google Scholar
[20] R. Gorenflo, G. De Fabritiis, F. Mainardi, Discrete random walk models for symmetric Lévy–Feller diffusion processes. Physica A269, No 1 (1999), 79–89.10.1016/S0378-4371(99)00082-5Suche in Google Scholar
[21] R. Gorenflo, F. Mainardi, Random walk models for space-fractional diffusion processes. Fract. Calc. Appl. Anal. 1, No 2 (1998), 167–191.Suche in Google Scholar
[22] R. Gorenflo, F. Mainardi, Approximation of Lévy–Feller diffusion by random walk. Z. Anal. Anwend. 18, No 2 (1999), 231–246.10.4171/ZAA/879Suche in Google Scholar
[23] R. Gorenflo, F. Mainardi, Some recent advances in theory and simulation of fractional diffusion processes. J. Comput. Appl. Math. 229, No 2 (2009), 400–415.10.1016/j.cam.2008.04.005Suche in Google Scholar
[24] R. Gorenflo, F. Mainardi, Subordination pathways to fractional diffusion. Eur. Phys. J.–Spec. Top. 193 (2011), 119–132.10.1140/epjst/e2011-01386-2Suche in Google Scholar
[25] R. Gorenflo, F. Mainardi, Parametric subordination in fractional diffusion processes. In: Fractional Dynamics. Recent Advances (J. Klafter, S. C. Lim, R. Metzler, Eds.), World Scientific, Singapore (2012), 227–261.10.1142/9789814340595_0010Suche in Google Scholar
[26] R. Gorenflo, F. Mainardi, A. Vivoli, Continuous-time random walk and parametric subordination in fractional diffusion. Chaos Solitons Fract. 34, No 1 (2007), 87–103.10.1016/j.chaos.2007.01.052Suche in Google Scholar
[27] I. S. Gradshteyn, I. M. Ryzhik, Table of Integrals, Series, and Products, Academic Press (1980).Suche in Google Scholar
[28] P. J. Greenwood, Mating systems, philopatry and dispersal in birds and mammals. Anim. Behav. 28 (1980), 1140–1162.10.1016/S0003-3472(80)80103-5Suche in Google Scholar
[29] A. Hanyga, Multidimensional solutions of space-fractional diffusion equations. Proc. R. Soc. Lond. A457 (2001), 2993–3005.10.1098/rspa.2001.0849Suche in Google Scholar
[30] R. Hilfer, Experimental implications of Bochner–Lévy–Riesz diffusion. Fract. Calc. Appl. Anal. 18, No 2 (2015), 333–341; 10.1515/fca-2015-0022; https://www.degruyter.com/view/journals/fca/18/2/fca.18.issue-2.xml.Suche in Google Scholar
[31] R. Hilfer, Mathematical and physical interpretations of fractional derivatives and integrals. In: Handbook of Fractional Calculus with Applications. Vol. 1: Basic Theory. (A. Kochubei, Y. Luchko, Eds.), Walter de Gruyter GmbH, Berlin-Munich-Boston (2019), % eISBN:9783110571622, 47–85.Suche in Google Scholar
[32] N. E. Humphries, H. Weimerskirch, N. Queiroz, E. J. Southall, D. W. Sims, Foraging success of biological Lévy flights recorded in situ. Proc. Natl. Acad. Sci. USA109 (2012), 7169–7174.10.1073/pnas.1121201109Suche in Google Scholar PubMed PubMed Central
[33] J. Klafter, I. M. Sokolov, First Steps in Random Walks. From Tools to Applications, Oxford University Press (2011).10.1093/acprof:oso/9780199234868.001.0001Suche in Google Scholar
[34] R. Klages, Search for food of birds, fish and insects. In: Diffusive Spreading in Nature, Technology and Society (A. Bunde, J. Caro, J. Kaerger, G. Vogl, Eds.), Springer, Cham (2018), 49–69.10.1007/978-3-319-67798-9_4Suche in Google Scholar
[35] I. Koponen, Analytic approach to the problem of convergence of truncated Lévy flights towards the Gaussian stochastic process. Phys. Rev. E52, No 1 (1995), 1197–1199.10.1103/PhysRevE.52.1197Suche in Google Scholar
[36] R. Kutner, J. Masoliver, The continuous time random walk, still trendy: fifty-year history, state of art and outlook. Eur. Phys. J. B90 (2017), Art. 50.10.1140/epjb/e2016-70578-3Suche in Google Scholar
[37] M. Kwásnicki, Ten equivalent definitions of the fractional Laplace operator. Fract. Calc. Appl. Anal. 20, No 1 (2017), 7–51; 10.1515/fca-2017-0002; https://www.degruyter.com/view/journals/fca/20/1/fca.20.issue-1.xml.Suche in Google Scholar
[38] M. Kwásnicki, Fractional Laplace operator and its properties. In: Handbook of Fractional Calculus with Applications. Vol. 1: Basic Theory. (A. Kochubei and Y. Luchko, Eds.), Walter de Gruyter GmbH, Berlin-Munich-Boston (2019), 159–194.10.1515/9783110571622-007Suche in Google Scholar
[39] F. Mainardi, Yu. Luchko, G. Pagnini, The fundamental solution of the space-time fractional diffusion equation. Fract. Calc. Appl. Anal. 4, No 2 (2001), 153–192.Suche in Google Scholar
[40] F. Mainardi, G. Pagnini, Mellin–Barnes integrals for stable distributions and their convolutions. Fract. Calc. Appl. Anal. 11, No 4 (2008), 443–456; at http://www.math.bas.bg/complan/fcaa.Suche in Google Scholar
[41] L. Maisuradze, G. G. Maisuradze, How useful can the Voigt profile be in protein folding processes? Protein J. (2021); 10.1007/s10930-020-09954-5.Suche in Google Scholar
[42] R. N. Mantegna, H. E. Stanley, Stochastic process with ultraslow convergence to a Gaussian: The truncated Lévy flight. Phys. Rev. Lett. 73, No 22 (1994), 2946–2949.10.1103/PhysRevLett.73.2946Suche in Google Scholar
[43] O. I. Marichev, Handbook of Integral Transforms of Higher Trascendental Functions: Theory and Algorithmic Tables. Ellis Horwood, Chichester (1983).Suche in Google Scholar
[44] M. M. Meerschaert, H.-P. Scheffler, Limit theorems for continuous-time random walks with infinite mean waiting times. J. Appl. Prob. 41, No 3 (2004), 623–638.10.1239/jap/1091543414Suche in Google Scholar
[45] M. M. Meerschaert, A. Sikorskii, Stochastic Models for Fractional Calculus. De Gruyter (2012).10.1515/9783110258165Suche in Google Scholar
[46] R. Metzler, J. Klafter, The random walk’s guide to anomalous diffusion: a fractional dynamics approach. Phys. Rep. 339, No 1 (2000), 1–77.10.1016/S0370-1573(00)00070-3Suche in Google Scholar
[47] R. Metzler, J. Klafter, The restaurant at the end of the random walk: recent developments in fractional dynamics descriptions of anomalous dynamical processes. J. Phys. A: Math. Theor. 37, No 31 (2004), R161–R208.10.1088/0305-4470/37/31/R01Suche in Google Scholar
[48] R. Metzler, T. F. Nonnenmacher, Space- and time-fractional diffusion and wave equations, fractional fokker-planck equations, and physical motivation. Chem. Phys. 284, No 1-2 (2002), 67–90.10.1016/S0301-0104(02)00537-2Suche in Google Scholar
[49] T. M. Michelitsch, B. A. Collet, A. P. Riascos, A. F. Nowakowski, F. C. G. A. Nicolleau, Recurrence of random walks with long-range steps generated by fractional Laplacian matrices on regular networks and simple cubic lattices. J. Phys. A50, No 50 (2017), Art. 505004.10.1088/1751-8121/aa9008Suche in Google Scholar
[50] E. W. Montroll, G. H. Weiss, Random walks on lattices. II. J. Math. Phys. 6, No 2 (1965), 167–181.10.1063/1.1704269Suche in Google Scholar
[51] S. Nadarajah, S. Chan, The exact distribution of the sum of stable random variables. J. Comput. Appl. Math. 349 (2019), 187–196.10.1016/j.cam.2018.09.044Suche in Google Scholar
[52] J. Novak, Pólya’s random walk theorem. Amer. Math. Mon. 121, No 8 (2014), 711–716.10.4169/amer.math.monthly.121.08.711Suche in Google Scholar
[53] C. E. G. Otiniano, T. R. Sousa, P. N. Rathie, Stable random variables: Convolution and reliability. J. Comput. Appl. Math. 242 (2013), 1–11.10.1016/j.cam.2012.10.013Suche in Google Scholar
[54] A. Padash, A. V. Chechkin, B. Dybiec, M. Magdziarz, B. Shokri, R. Metzler, First passage time moments of asymmetric Lévy flights. J. Phys. A: Math. Theor. 53, No 27 (2020), Art. 275002.10.1088/1751-8121/ab9030Suche in Google Scholar
[55] A. Padash, A. V. Chechkin, B. Dybiec, I. Pavlyukevich, B. Shokri, R. Metzler, First-passage properties of asymmetric Lévy flights. J. Phys. A: Math. Theor. 52, No 45 (2019), Art. 454004.10.1088/1751-8121/ab493eSuche in Google Scholar
[56] G. Pagnini, F. Mainardi, Evolution equations for the probabilistic generalization of the voigt profile function. J. Comput. Appl. Math. 233, No 6 (2010), 1590–1595.10.1016/j.cam.2008.04.040Suche in Google Scholar
[57] V. V. Palyulin, G. Blackburn, M. A. Lomholt, N. W. Watkins, R. Metzler, R. Klages, A. V. Chechkin, First passage and first hitting times of Lévy flights and Lévy walks. New J. Phys. 21 (2019), Art. 103028.10.1088/1367-2630/ab41bbSuche in Google Scholar
[58] V. V. Palyulin, A. V. Chechkin, R. Metzler, Lévy flights do not always optimize random blind search for sparse targets. Proc. Natl. Acad. Sci. USA111 (2014), 2931–2936.10.1073/pnas.1320424111Suche in Google Scholar
[59] K. A. Penson, K. Górska, Exact and explicit probability densities for one-sided Lévy stable distributions. Phys. Rev. Lett. 105, No 21 (2010), Art. 210604.10.1103/PhysRevLett.105.210604Suche in Google Scholar
[60] G. Pólya, Uber eine Aufgabe der Wahrscheinlichkeitsrechnung betreffend die Irrfahrt im Strassennetz. Math. Ann. 84 (1921), 149–160.10.1007/BF01458701Suche in Google Scholar
[61] G. H. Pyke, Understanding movements of organisms: it’s time to abandon the Lévy foraging hypothesis. Methods Ecol. Evol. 6, No 1 (2015), 1–16.10.1111/2041-210X.12298Suche in Google Scholar
[62] E. Scalas, R. Gorenflo, F. Mainardi, Fractional calculus and continuous-time finance. Physica A284, No 1-4 (2000), 376–384.10.1016/S0378-4371(00)00255-7Suche in Google Scholar
[63] E. Scalas, R. Gorenflo, F. Mainardi, Uncoupled continuous-time random walks: Solution and limiting behavior of the master equation. Phys. Rev. E69, No 1 (2004), Art. 011107.10.1103/PhysRevE.69.011107Suche in Google Scholar PubMed
[64] M. F. Shlesinger, Origins and applications of the Montroll–Weiss continuous time random walk. Eur. Phys. J. B90, (2017), Art. 93.10.1140/epjb/e2017-80008-9Suche in Google Scholar
[65] M. F. Shlesinger, J. Klafter, Y. M. Wong, Random walks with infinite spatial and temporal moments. J. Stat. Phys. 27, No 3 (1982), 499–512.10.1007/BF01011089Suche in Google Scholar
[66] V. V. Uchaikin, Montroll–Weiss problem, fractional equations and stable distributions. Int. J. Theor. Phys. 39, No 8 (2000), 2087–2105.10.1023/A:1003670023058Suche in Google Scholar
[67] V. V. Uchaikin, R. Sibatov, Fractional Kinetics in Space: Anomalous Transport Models. World Scientific Publ. Co. Pte Ltd., Singapore (2018).10.1142/10581Suche in Google Scholar
[68] E. Valdinoci, From the long jump random walk to the fractional Laplacian. Bol. Soc. Esp. Mat. Apl. 49 (2009), 33–44.Suche in Google Scholar
[69] S. Vitali, V. Sposini, O. Sliusarenko, P. Paradisi, G. Castellani, G. Pagnini, Langevin equation in complex media and anomalous diffusion. J. R. Soc. Interface15 (2018), Art. 20180282.10.1098/rsif.2018.0282Suche in Google Scholar PubMed PubMed Central
[70] G. H. Weiss, Aspects and Applications of the Random Walk. North–Holland, Amsterdam (1994).Suche in Google Scholar
[71] V. Zaburdaev, S. Denisov, J. Klafter, Lévy walks. Rev. Mod. Phys. 87, No 2 (2015), 843–530.10.1103/RevModPhys.87.483Suche in Google Scholar
[72] C. Zeng, Y.Q. Chen, Optimal random search, fractional dynamics and fractional calculus. Fract. Calc. Appl. Anal. 17, No 2 (2014), 321–332; 10.2478/s13540-014-0171-7; https://www.degruyter.com/view/journals/fca/17/2/fca.17.issue-2.xml.Suche in Google Scholar
© 2021 Diogenes Co., Sofia
Artikel in diesem Heft
- Frontmatter
- Editorial Note
- FCAA related news, events and books (FCAA–volume 24–1–2021)
- Survey Paper
- Renormalization group and fractional calculus methods in a complex world: A review
- On the asymptotics of wright functions of the second kind
- Research Paper
- On fractional heat equation
- Completely monotone multinomial mittag-leffler type functions and diffusion equations with multiple time-derivatives
- A fractional generalization of the dirichlet distribution and related distributions
- Should i stay or should i go? zero-size jumps in random walks for lévy flights
- Well-posedness for weak and strong solutions of non-homogeneous initial boundary value problems for fractional diffusion equations
- Error analysis of nonlinear time fractional mobile/immobile advection-diffusion equation with weakly singular solutions
- Exact stability and instability regions for two-dimensional linear autonomous multi-order systems of fractional-order differential equations
- On a method of solution of systems of fractional pseudo-differential equations
- Monte carlo estimation of the solution of fractional partial differential equations
- Stability analysis for discrete time abstract fractional differential equations
- Short Paper
- Existence of local solutions for fractional difference equations with left focal boundary conditions
Artikel in diesem Heft
- Frontmatter
- Editorial Note
- FCAA related news, events and books (FCAA–volume 24–1–2021)
- Survey Paper
- Renormalization group and fractional calculus methods in a complex world: A review
- On the asymptotics of wright functions of the second kind
- Research Paper
- On fractional heat equation
- Completely monotone multinomial mittag-leffler type functions and diffusion equations with multiple time-derivatives
- A fractional generalization of the dirichlet distribution and related distributions
- Should i stay or should i go? zero-size jumps in random walks for lévy flights
- Well-posedness for weak and strong solutions of non-homogeneous initial boundary value problems for fractional diffusion equations
- Error analysis of nonlinear time fractional mobile/immobile advection-diffusion equation with weakly singular solutions
- Exact stability and instability regions for two-dimensional linear autonomous multi-order systems of fractional-order differential equations
- On a method of solution of systems of fractional pseudo-differential equations
- Monte carlo estimation of the solution of fractional partial differential equations
- Stability analysis for discrete time abstract fractional differential equations
- Short Paper
- Existence of local solutions for fractional difference equations with left focal boundary conditions