Home Simple experiments with immobilized enzymes as a contribution to green and sustainable chemistry education in the high school laboratory
Article Open Access

Simple experiments with immobilized enzymes as a contribution to green and sustainable chemistry education in the high school laboratory

  • Michael Linkwitz and Ingo Eilks EMAIL logo
Published/Copyright: October 20, 2021
Become an author with De Gruyter Brill

Abstract

Green chemistry became an eminent trend in chemical research and industry since the 1990s, and thus green chemistry is also increasingly suggested to become an issue in chemistry education. One of the principles of green chemistry is to use effective catalysis in general, and enzymatic catalysis under mild conditions in particular. This article presents a set of experiments under catalysis by immobilized lipase that were developed and tested in an action research project for developing a green organic chemistry curriculum for the senior secondary schooling level in Germany.

Introduction

Green chemistry is increasingly demanded to become a more prominent issue in chemistry education (Zuin, Eilks, Elschami, & Kümmerer, 2021). The United Nations Environment Program (UNEP) suggests implementing education in green and sustainable chemistry at all educational levels, from early chemistry education in schools, towards graduate education and lifelong learning (UNEP, 2019).

A better integration of school chemistry education with green chemistry and education for sustainable development is also suggested in the chemistry education literature (Burmeister, Rauch, & Eilks, 2012). It is, however, that school curriculum change always is a slow process. There is a growing number of research literature in the field of green and sustainable chemistry education, but it seems that many of the publications more focus the tertiary than the secondary educational level (Zuin et al., 2020).

This analysis led to the initiative of a practicing science teacher to start implementing green chemistry into his curriculum bottom-up (Linkwitz & Eilks, 2020), before waiting for top-down materials to be delivered by textbook publishers or educational authorities. The project aims at changing teaching practices step-by-step within the given governmental syllabus.

The project is based on participatory action research as suggested by Eilks and Ralle (2002). In a stepwise process innovations are implemented, evaluated, reflected and revised. The project aims at three ways to integrate chemistry education with education for sustainable development as identified by Burmeister et al. (2012). It aims at (a) adopting green chemistry principles to the practice of science education lab work, (b) adding sustainability strategies as content in chemistry education, and (c) using controversial sustainability issues for socio-scientific issues which drive chemistry education. With focus on model (c) learning is embedded into the issue of how to produce sustainable plastics from renewable resources. Concerning model (b) students learn about the principles of green chemistry and how to evaluate products from chemistry in terms of sustainability. In connection with models (a) and (b), new school-type experiments are designed to both change the practice of doing laboratory work and to illustrate principles of green chemistry as suggested by Anastas and Warner (1998).

Enzymatic catalysis is suggested as one of the promising strategies for green chemistry in the fields of organic chemistry (Sheldon & Woodlay, 2018) and the chemistry of polymers (Kobayashi, 2010). This paper presents five simple organic and polymer chemistry experiments based on enzymatic catalysis with connection to the green chemistry principles 9 (catalysis) and 6 (design for energy efficiency) (Anastas & Warner, 1998). The experiments focus the use of enzymatic catalysis in general, and the use of immobilized enzymes in particular. The case is lipase (Novozyme 435).

Hazards

In order to prevent chemicals from coming into contact with students’ skin or eyes, participants should wear appropriate personal protective equipment such as gloves and lab goggles. All of the carboxylic and dicarboxylic acids in the experiments can be corrosive in concentrated solution and are irritants in the case of prolonged exposure. All of the alcohols and dialcohols used are flammable. Therefore, contact with any ignition sources should be avoided. 1-octanol may be absorbed through the skin. Prolonged or repeated contact may dry the skin and cause irritation. ε-caprolacton causes eye irritation. Polylactic acid may cause eye irritation and may also be harmful if inhaled, absorbed through the skin, or swallowed.

Disposal

The solutions have to be disposed as organic waste.

Simple experiments with immobilized enzymes for high school classroom

Synthesis of fruit esters with lipase

Chemicals: acetic acid, isoamyl alcohol (3-methyl-1-butanol), lipase (Novozyme 435)

Materials: beaker with top cover, water bath, stirrer

Time required: approx. 20 min

Methods: Fill similar amounts of acetic acid (e.g., 1 g; 0.017 mol) and isoamyl alcohol (e.g., 1.5 g; 0.017 mol) into a test tube. Add 0.2 g Novozym 435. Heat in a water bath at about 65 °C for about 5 min until a banana smell can be protected. For a more systematic lab approach, fill 3 g (0.05 mol) acetic acid and 4.4 g isoamyl alcohol (0.05 mol) into the beaker. The beaker is covered and placed in a water bath with a temperature of 65 °C (Figure 1). The reaction mixture is stirred for about 5 min until it reaches the temperature of 65 °C. The esterification process is started by adding 0.6 g Novozym 435. The reaction is finished when an intense distinct banana aroma can be smelled. Other carboxylic acids (e.g., propanoic acid or benzoic acid) or alcohols (e.g., 1-octanol or 1-butanol) can be used as well. A blank test may be added to see the effect of the enzyme.

Figure 1: 
Basic set-up for the synthesis of a fruit ester with lipase.
Figure 1:

Basic set-up for the synthesis of a fruit ester with lipase.

Result: An intense distinct banana aroma can be smelled. The carboxylic acid reacts with the alkanol to form a fruit ester:

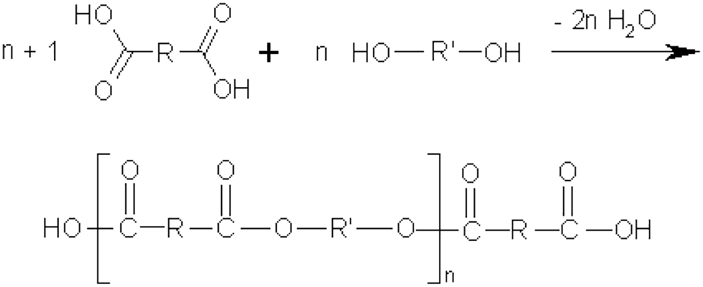
Synthesis of polyesters with lipase

Chemicals: adipic acid, octanediol or hexanediol, lipase (Novozym 435).

Materials: beaker, water bath, stirrer, digital pH-meter

Time required: approx. 30 min

Methods: Weigh 7.3 g (0.05 mol) adipic acid and 7.3 g octanediol (0.05 mol) or 5.9 g hexanediol (0.05 mol) into a beaker. Place the beaker into the water bath with a temperature of 65 °C. Let the reaction mixture stir for about 5 min until alcohol the octanediol is melted and the adipic acid is dissoluted in octandiol. The esterification process is started by adding 0.1 g Novozym 435. The pH-value is measured every 3 min for half an hour (pH paper cannot be used because the pH-change is slowly and can only be followed in detail with pH-meter). A raise in the pH-value indicates the formation of the polyester.

Result: The pH value usually changes from about pH 3 to about 5. The dicarboxylic acid reacts with the dialcohol to form a polyester.

Microwave-assisted ester synthesis catalyzed by lipase

Chemicals: acetic acid, 1-octanol, lipase (Novozym 435)

Materials: kitchen microwave, PTFE beaker (100 mL) with top cover

Time required: approx. 5 min

Method: 1 mL acetic acid, 2 mL 1-octanol and a micro-spoon spatula portion of lipase are mixed in a PTFE beaker (100 mL). The beaker is covered and heated in the microwave at 80 W for 60 s. The beaker is removed from the microwave. 1-Octyl acetate can be identified by an intense fruity odor, which is slightly masked by acetic acid. After a second sequence (80 W, 60 s), 1-octyl acetate can be identified by a pure fruity odor. If the time interval is shortened to 30 s, three sequences have to be run through before a pure, intense odor is perceived.

Result: The carboxylic acid reacts with the alkanol to form a fruit ester. For the reaction equation, see above.

Ring opening polymerization (ROP) with lipase

Chemicals: ɛ-caprolactone, lipase (Novozym 435)

Materials: beaker with top cover, drying oven

Time required: ca. 48 h in a drying oven at 40–50°C

Methods: 50 mg lipase is suspended in 10 mL of ɛ-caprolactone. The beaker is covered and heated for several hours in a drying oven at 40–50 °C After a few days drying at mild temperatures an amazingly hard polymer is obtained (Figure 2). The polymer is very hard and transparent and resembles acrylic glass in appearance. For example, the product cannot be cut with a knife or other any sharp object.

Figure 2: 
Product of the ROP with ε-caprolactone and lipase.
Figure 2:

Product of the ROP with ε-caprolactone and lipase.

Result: ε-Caprolactone is linked via ring opening polymerization to a linear polyester.

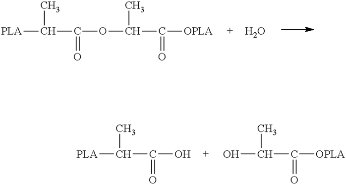
Hydrolysis of polyesters with lipase

Chemicals: PLA granules, lipase (Novozym 435)

Materials: beaker, drying oven, digital pH-meter

Time required: approx. 24 h in a drying oven at 50°C

Methods: Ca. 5–10 g PLA granules are given in a buffer solution at pH 7 (e.g. commercially available buffer solution for aquariums). 50 mg Lipase is added and the mixture is placed in a drying oven at 50 °C for 24–48 h (depending on the size of the granules). Smaller amounts should not be taken, as otherwise the pH-change can hardly be detected.

Result: Due to the cleavage of the ester groups a change in pH from 7 to a value of 6–6.5 should occur (after the buffer is exhausted), which can be detected with a digital pH-meter. pH-paper cannot be used because the pH change can only be measured in tenths. The pH-change results from the cleavage of the polymer to lactic acid, which is acidic due to the carboxyl group.

(from: http://patentimages.storage.googleapis.com/US20110275520A1/US20110275520A1-20111110-C00001.png).

Discussion

The experiments presented in this paper were designed for a course on organic chemistry named “From sugar beets via lactic acid to polylactic acid and biodegradable materials” (Linkwitz & Eilks, 2020). The course is located in the first year of upper secondary education in German grammar schools (age range 15–16). All experiments were easy to handle by the students. Already Duangpummet, Chaiyen, and Chenprakhon (2019) discussed how to use enzyme-catalized ester synthesis on high school level to reflect on green chemistry. This was a similar road as taken in this project. This project even added the aspect of microwave-assisted synthesis with lipase (inspired by Yadav & Thorat, 2012) into the comparison of traditional ester synthesis with sulfuric acid. The experiments demonstrate that enzymatic catalysis has potential to enrich the practice of organic chemistry laboratory work already on high school level. It provokes discussion about the reasons for using catalysis in general, and enzymatic catalysis in particular. This discussion can directly be connected to a discussion about the principles of green chemistry, and the philosophy of green and sustainable chemistry as a whole starting from high school level.


Corresponding author: Ingo Eilks, Department of Biology and Chemistry, University of Bremen, Leobener Str. NW2, 28359 Bremen, Germany, E-mail:

  1. Author contributions: All authors have accepted responsibility for the entire content of this manuscript and approved its submission.

  2. Research funding: None declared.

  3. Conflict of interest statement: Authors state no conflict of interest.

References

Anastas, P., & Warner, J. C. (1998). Green chemistry: Theory and practice. New York: Oxford University Press.Search in Google Scholar

Burmeister, M., Rauch, F., & Eilks, I. (2012). Education for sustainable development (ESD) and secondary chemistry education. Chemistry Education Research and Practice, 13(2), 59–68. https://doi.org/10.1039/c1rp90060a.Search in Google Scholar

Duangpummet, P., Chaiyen, P., & Chenprakhon, O. (2019). Lipase-catalyzed esterification: An inquiry-based laboratory activity to promote high school students’ understanding and positive perceptions of green chemistry. Journal of Chemical Education, 96, 1205–1211. https://doi.org/10.1021/acs.jchemed.8b00855.Search in Google Scholar

Eilks, I., & Ralle, B. (2002). Participatory action research in chemical education. In B. Ralle & I. Eilks (Eds.), Research in chemical education - what does this mean? (pp. 87–98). Aachen: Shaker.Search in Google Scholar

Kobayashi, S. (2010). Lipase-catalyzed polyester synthesis – A green polymer chemistry. Proceedings of the Japan Academy. Series B, Physical and Biological Sciences, 86(4), 338–365. https://doi.org/10.2183/pjab.86.338.Search in Google Scholar PubMed PubMed Central

Linkwitz, M., & Eilks, I. (2020). Greening the senior high school chemistry curriculum: An action research initiative. In S. Obare, K. Peterman, & C. Middlecamp (Eds.), Chemistry education for a sustainable society volume 1: High school, outreach, & global perspectives (pp. 55–68). Washington: ACS.10.1021/bk-2020-1344.ch005Search in Google Scholar

Sheldon, R. A., & Woodley, J. M. (2018). Role of biocatalysis in sustainable chemistry. Chemical Reviews, 118(2), 801–838. https://doi.org/10.1021/acs.chemrev.7b00203.Search in Google Scholar PubMed

UNEP. (Ed.) (2019). Global chemicals outlook II. UN. Retrieved from https://www.unep.org/resources/report/global-chemicals-outlook-ii-legacies-innovative-solutions.Search in Google Scholar

Yadav, G. D., & Thorat, P. A. (2012). Microwave assisted lipase catalyzed synthesis of isoamyl myristate in solvent-free system. Journal of Molecualr Catalysis B: Enzym, 83, 16–22. https://doi.org/10.1016/j.molcatb.2012.06.011.Search in Google Scholar

Zuin, V. G., Eilks, I., Elschami, M., & Kümmerer, K. (2021). Education in green chemistry and in sustainable chemistry: Perspectives towards sustainability. Green Chemistry, 23, 1594–1608. https://doi.org/10.1039/d0gc03313h.Search in Google Scholar

Received: 2021-07-12
Accepted: 2021-10-04
Published Online: 2021-10-20

© 2021 Michael Linkwitz and Ingo Eilks, published by De Gruyter, Berlin/Boston

This work is licensed under the Creative Commons Attribution-NonCommercial-NoDerivatives 4.0 International License.

Downloaded on 22.11.2025 from https://www.degruyterbrill.com/document/doi/10.1515/cti-2021-0019/html
Scroll to top button