Home Recent advances in corrosion resistant superhydrophobic coatings
Article Publicly Available

Recent advances in corrosion resistant superhydrophobic coatings

  • Ahmed Bahgat Radwan

    Ahmed Bahgat Radwan obtained his BS and MSc degrees in inorganic chemistry from Zagazig University, Zagazig, Al-Sharqiya, Egypt, in 2004 and 2013, respectively. Since 2014, he has been working as a research assistant in the Centre for Advanced Materials at Qatar University. His research interests focus on material science and physical chemistry.

    , Aboubakr M. Abdullah

    Aboubakr M. Abdullah has more than 24 years of experience in chemistry and materials science since 1993. During his career, he has published more than 100 peer-reviewed and conference proceedings articles in addition to one patent and one book chapter. He has managed many projects awarded by different funding agencies inside and outside Qatar. Also, Dr. Aboubakr offered many consultations to different local and international companies in corrosion. Furthermore, he has supervised and co-supervised many young professionals at the Master and PhD levels.

    EMAIL logo
    and Nasser A. Alnuaimi

    Nasser A. Alnuaimi, Director of the Center for Advanced Materials since 2016, was awarded his PhD from The University of Arizona in 2004 in civil engineering. Since then, he actively participated in research at Qatar University. He was also the Head of the Civil Engineering Department, Qatar University, between 2006 and 2010. He has co-authored many publications since 2004 in well-reputed journals and conferences. In addition, he has supervised and co-supervised many Master and PhD students.

Published/Copyright: June 28, 2017

Abstract

Extreme water-repellent (superhydrophobic) coatings with water contact angle higher than 150° have caught the attention of corrosion researchers in the last decade as they can be used to protect metals and alloys against corrosion. The latter is a serious problem, as it can threaten human lives in addition to its deleterious effects on the economy and environment. Superhydrophobic coatings (SHCs) can be achieved by lowering the surface energy of a certain coating through combining some of its surface features at the microscale and nanoscales. Although SHCs can be prepared using many different easy techniques, none, to the best of our knowledge, has been applied, so far, on an industrial scale for protection against corrosion of metals and alloys. The present work explains the different models of superhydrophobic surfaces (SHSs) and reviews their fabrication and processing methods with a focus on the recent advances in the corrosion protection of the SHC.

1 Introduction

Many approaches have been employed to reduce and prevent the corrosion of metals and their alloys, such as organic and inorganic coatings (Shen et al., 2005). Although coatings are commonly used for corrosion protection, they may cause some environmental problems as they could contain some of the hazardous elements, e.g. cadmium, arsenic, and chromium. Also some of them do not last for enough time, so maintenance efforts are required to remedy the degradation and peel-off continuously. The inorganic chromate-based coatings protect the metal by repairing the oxide film of the underneath metal/alloy and acting as a physical barrier against aggressive species (Zhao et al., 1998; Chidambaram et al., 2004). They effectively prevent the transport of ions because they form bipolar membranes with negatively charged outer layers and positively charged inner ones. These types of coatings can also heal themselves when damaged. Electrolytes that fill the defect produce Cr(IV) from the hydrolysis of Cr(III)-O-Cr(IV) from the porous Cr(OH)3 networks; then, Cr(IV) ions are reduced to Cr(III) hydroxide and adsorbed on the defect sites. However, the disadvantage of the chromate-based coatings is their toxicity and carcinogenicity. Hydrophobic self-assembled monolayers (SAM) (Hintze & Calle, 2006) of surfactant species have also been suggested as corrosion inhibitors. Nevertheless, this option has several disadvantages; the adsorbed layers have low stability and molecule-sized defects that enable water molecules to reach the substrate. Recently, a novel approach for the prevention of metal corrosions has been proposed, using superhydrophobic coatings (SHCs). As already seen in nature (lotus leaves), micro- or nanostructured surfaces coated with low-surface-energy materials, so-called superhydrophobic surfaces (SHSs), can create an interface with liquid by retaining air within the distortion of the rough surface, which reduces the contact with water droplets, resulting in highly non-wetting and antiadherent surfaces. In corrosion applications, the trapped air in such SHSs can prevent the aggressive ions, e.g. chloride ions from reaching the metal surface, offering a new efficient mechanism for protection against corrosion (Weng et al., 2011; Gao et al., 2015; Yu & Guo, 2015; Jie et al., 2016; Khorsand et al., 2016; Qing et al., 2016; Wang et al., 2016b,c; Xu et al., 2016; Zhang et al., 2016c; Tang et al., 2017). Although SHSs, as a protective layer, are promising as a new efficient corrosion prevention technique, it should be noticed that all the tested SHSs used irregular coatings resulting in a random surface roughness on a scale of microns. This microscale surface roughness with a poor controllability of the structural dimensions and shapes is a critical drawback, precluding the comprehensive understanding of the effect of superhydrophobic surface parameters on the corrosion resistance as well as controlled practical applications.

In this work, an overview regarding the progress in the SHCs field in the recent years will be summarized and discussed with a focus on the techniques that can be easily applied on a large scale for industrial applications and, at the same time, were used to develop SHSs for corrosion protection applications.

2 Models of superhydrophobic states

2.1 Wettability on smooth surfaces

In order to quantify the expected macroscopic contact angle of a liquid droplet interacting with a real surface of a certain material, it is necessary to first understand how this droplet interacts with an ideal smooth substrate of the same material. The intrinsic contact angle formed between a small liquid droplet and a perfectly smooth surface is calculated by Young’s equation (de Gennes, 1985; Kim, 2008):

(1) cos θ Y = γ SV γ SL γ LV 

where θ is the apparent contact angle in the Young’s mode; γSV, γSL, and γLV are the surface energies associated with the solid-vapor, solid-liquid, and liquid-vapor interfaces, respectively. Surface energy and surface tension are often used interchangeably, as the work required to create a unit of surface area is equal to the force applied per unit length. Therefore, Young’s equation balances surface tension forces at the contact line and also minimizes the total surface energy of all three interfaces. If the liquid used is water, then the surfaces with θ<90° are hydrophilic, while surfaces with θ>90° are hydrophobic.

2.2 Surface models of wetting on rough surfaces

All real surfaces are rough in nature to different extents. This enhances their natural wetting properties, making mildly hydrophobic surfaces more hydrophobic and mildly hydrophilic surfaces more hydrophilic. The manner in which a liquid droplet interacts with a rough hydrophobic surface can broadly be classified into either Wenzel or Cassie-Baxter state. The Wenzel state occurs when a liquid droplet fully penetrates the rough features on a surface, thereby increasing the amount of solid-liquid interfacial area over what would be experienced by a droplet with the same base area on a smooth surface. Sometimes, Wenzel state refers to “homogeneous” wetting because the resulting interface consists only of a liquid-solid contact.

Alternatively, in Cassie-Baxter state, a liquid droplet rests on the top of a rough structure, trapping air within the grooves forming “heterogeneous” interfaces of liquid-solid and liquid-gas underneath the droplet. The two primary wetting states are illustrated in Figure 1.

Figure 1: 
						Liquid droplet in Wenzel vs. Cassie-Baxter wetting state.
Figure 1:

Liquid droplet in Wenzel vs. Cassie-Baxter wetting state.

The so-called Cassie droplets are substantially more mobile than their Wenzel counterparts, where the liquid that has penetrated the roughness features causes contact line pinning (Leng et al., 2009; Qian et al., 2009). This distinction between Cassie and Wenzel droplets is important in understanding the “superhydrophobic” behavior of certain surfaces. To be considered superhydrophobic, a surface must exhibit both a water contact angle greater than 150° and a contact angle hysteresis less than 5° (Nosonovsky & Bhushan, 2009). A surface that interacts with water in the Wenzel state, although it may demonstrate a high contact angle, is not truly superhydrophobic because it will exhibit significant contact angle hysteresis caused by pinning of the contact line. Only the Cassie-Baxter state allows droplets to freely roll off the surface (Lin & Yang, 2009; Ling et al., 2009; Karunakaran et al., 2011; Wu & Zhang, 2013; Zhang & Lv, 2015). The highest possible water contact angle for hydrophobic smooth surfaces is approximately 115° (Kim, 2008); therefore, some degree of roughness is required to amplify the hydrophobic nature of a material and make it truly superhydrophobic. Proposed in 1936, the Wenzel model (Wenzel, 1936) was the first method developed to calculate the theoretical macroscopic contact angle formed between a liquid droplet and a rough surface. In the case of the liquid droplet fully penetrating the roughness features on a solid, Wenzel derived the apparent contact angle to be:

(2) cos θ w = r cos θ y ,

where θw is the apparent macroscopic contact angle. The roughness factor, r, modifies the intrinsic contact angle θy and is defined by:

(3) r = actual surface area planar area beneath droplet

Note that for a perfectly smooth surface, r=1 and Young equation is recovered.

For any real surface with some degree of roughness, r will always be greater than unity. The Wenzel model performs well for surfaces with moderate roughness; however, it is clear that for an intrinsically hydrophobic surface (θw >90°), if the roughness factor is large enough, the cosine of the contact angle as defined by Equation (2) can exceed −1. This result is mathematically impossible, indicating that another model is required to describe the wetting behavior on this type of surface. The Cassie-Baxter model (Cassie & Baxter, 1944) considered an alternate scenario in which air pockets are trapped underneath a droplet, and the energetic contributions of both the solid-liquid interface and liquid-air interface beneath the droplet must be considered. Cassie and Baxter derived the relation for the apparent contact angle, θCB, of a droplet resting on a heterogeneous interface:

(4) cos θ C B = f cos θ y + f 1

In this model, the area fraction, f, is the key geometric parameter that modifies Young’s contact angle and determines the macroscopic contact angle. The area fraction, always less than unity, is defined as:

(5) f =  surface area wetted by liquid planar area below the droplet

Again, for the special case of a smooth surface, f=1, the Young equation is recovered.

One limitation of these models is that they only predict an equilibrium angle assuming the wetting occurs either solely in the Wenzel or in the Cassie-Baxter mode and do not provide a quantitative assessment regarding which is thermodynamically favorable.

While the Wenzel and Cassie-Baxter equations are widely accepted among surface researchers, there have been some discussions and disagreements over their validity. In 2007, Gao and McCarthy (2007) proposed that the contact angle behavior is determined by the interactions at the three-phase contact line alone and that the area-based arguments used by Wenzel and Cassie-Baxter to derive their models are unsuitable. The claim was supported through experimental observations of composite surfaces that contain “spots” in a surrounding field: a hydrophilic spot in a hydrophobic field, a rough spot in a smooth field, and a smooth spot in a rough field. The results indicated that the spots (no matter how rough/smooth or hydrophobic/hydrophilic) trapped in the three-phase contact line have no impact on the apparent contact angle (Gao & McCarthy, 2007). In response to this study, there is another discussion that focused on the range of applicability of the original Wenzel and Cassie-Baxter models. Shirtcliffe et al. (2005) pointed out that Gao and McCarthy’s experimental results were fundamentally local and restricted only to the position where the droplets are located. However, Wenzel and Cassie-Baxter models were derived assuming and therefore only applicable for the surface that is similar and isotropic everywhere, rather than a “trapped spot” structure. Nosonovsky and Bhushan (2008) also argued that the Wenzel and Cassie-Baxter equations could be modified to involve local heterogeneity for surfaces such as the ones tested by Gao and McCarthy (2007). Additionally, Vedantam and Panchagnula (2007) referred to the importance of the behavior in the vicinity of the three-phase contact line and suggested that for “spotted” surfaces, the area fraction, f, must be calculated locally near the contact line to obtain meaningful results.

2.3 Contact angle hysteresis

The existence of chemical heterogeneity and roughness on a surface has a significant role on its wettability. First, it influences the contact angle (as discussed above); secondly, it allows contact line to pin on these imperfections of the surface, resulting in multiple values for contact angle (a range of apparent contact angle instead of a single value) (Quéré, 2005). The difference between the upper and lower limit values of this range is referred to the contact angle hysteresis (CAH) and typically is quantified by two methods: variations on the sessile-drop method and the sliding plate procedure (Strobel & Lyons, 2011). The variation on the sessile-drop approach, as shown in Figure 2, is based on the growth/shrinkage of a sessile drop. By adding liquid to a sessile drop, the volume of the droplet gradually increases, causing the contact line to advance (advancing CA). However, reduction of the droplet volume causes the droplet to retract/recede (receding CA). The difference between the minimum receding and the maximum advancing CAs is defined as the contact angle hysteresis (CAH) (Nosonovsky & Bhushan, 2008).

Figure 2: 
						A schematic for the variations of the sessile-drop method to measure water contact angle hysteresis (WCAH).
Figure 2:

A schematic for the variations of the sessile-drop method to measure water contact angle hysteresis (WCAH).

In the tilting plate method, the surface is set at a certain inclination angle in order to cause rolling of the droplet. The contact angle (CA) of droplet in the moving direction (at the front of droplet) is itemed as the advancing angle (θAdv), and the CA in the opposite direction (at the back of the droplet) is known as the receding angle (θRec) (see Figure 3). Both definitions (sessile drop variation and tilting plate) are equivalent in spite of some debate in the literature (Krasovitski & Marmur, 2005). Increasing the difference between the advancing (θAdv) and receding (θRec) contact angle increases the tilting angle, which, in turn, increases the adhesion between the liquid and the substrate.

Figure 3: 
						An illustration of some of the parameters influencing the force needed for a drop to start sliding down a tilted surface.
Figure 3:

An illustration of some of the parameters influencing the force needed for a drop to start sliding down a tilted surface.

Equation 6 describes the force needed for a drop to start sliding over a solid surface. In this equation, α is the sliding angle, γlv, is the surface tension of the liquid, and θR/θA is the receding/advancing contact angle, respectively. d is the width of the droplet perpendicular to the direction of motion, m is the mass of the droplet, and g is the gravitational acceleration (Chen et al., 1999). An illustration of some of these parameters can be seen in Figure 3. The equation implies that a surface with very low hysteresis also will have a very low sliding angle, regardless of the magnitudes of the different contact angles (Youngblood & McCarthy, 1999).

(6) F = m g sin α d = γ l v ( cos θ R cos θ A )

The value of the static CA always lies between those of the advancing and receding CAs. It must be mentioned that reported CA and the CAH values in the literature are sensitive to the experimental techniques used for their measurement (Decker et al., 1999; Bormashenko et al., 2008). To advance, the front molecules of the droplet simply need to descend onto the immediate surface ahead of it. To recede, on the other hand, the molecules at the back must disjoin from the surface, something that requires a lot more energy. This energy imbalance is believed to explain the CAH of droplets in the Cassie-Baxter theory. It also explains why droplets in the Cassie-Baxter state on rough surfaces have a smaller contact angle hysteresis than do droplets on smooth surfaces where, according to the case of Cassie-Baxter state, the solid-liquid contact area is smaller and therefore the energy barrier for receding is lower. Water droplets in the Wenzel state usually have a high water CAH, which can be explained by water droplets getting trapped in the surface texture. The droplets thus stick much better to the substrate than do droplets in the Cassie-Baxter state (Kim, 2008). Generally, a decrease in surface roughness Rf will decrease the CAH for droplets in the Wenzel state, while a smaller CAH value can be achieved for droplets in the Cassie-Baxter state by minimizing the liquid-solid fractional interface (Bhushan et al., 2009).

For water-repellent surfaces, the tilt angle should be as low as possible. Theoretically, if the CAH is equal to zero, the droplet will just slid without dissipating energy as soon as the surface is tilted just a little. In practice, however, there will always be some hysteresis due to friction caused by roughness and heterogeneity of the surface, but by carefully controlling the roughness on the microscale and nanoscale, it is possible to achieve CAHs as low as 1° (Bhushan et al., 2009).

3 Techniques for fabricating SHCs

3.1 Sol-gel processing methods

In the 1960s, the sol-gel method was developed in order to meet the new synthesis approaches in the nuclear plants. The sol-gel procedure can be described as a structuration of an oxide network by poly-condensation reactions of molecular precursors in a liquid. A sol is typically a stable suspension with colloidal particles or polymers in it. Gels are three-dimensional networks. They are a combination of agglomerated colloidal particles with liquid molecules. These particles interact typically through either van der Waals forces or hydrogen bonds. Sol-gel is a simple and cheap approach. Nevertheless, the method is slow and may require several hours and may be extended to few days.

Sol-gel technique has been vastly utilized for manufacturing SHCs (Zheng & Li, 2010; Mahadik et al., 2012; Wang et al., 2012; Latthe et al., 2014; Zhang et al., 2014, 2016a; Lee & Hwang, 2016). Wang and Xiong (2014) prepared an SH membrane with different morphologies after the addition of variable concentrations of tetraethyl orthosilicate (TEOS) and trimethylethoxysilane (TMES) to a mixture consisting of ammonium hydroxide (NH4OH) and ethanol (EtOH). Briefly, the mixture was stirred at 60°C for a few hours and then left for aging at ambient temperature for 12 h. The prepared silica sol was coated on the pre-treated 080M46 steel sheet by the spray-deposition route and desiccated in an oven for 1 h. The designed SHC displayed a high corrosion protection efficiency in 3.5 wt% NaCl aqueous solution, as shown in the Tafel plots in Figure 4A. However, the authors argued that potentiodynamic polarization could evaluate the corrosion behavior of SHS in a more accurate way. It was observed that only one composition (T2) maintained its WCA at 158°, as well as T2 composition showed a better corrosion resistance at relative humidity of 90% at 30°C for 24 h, see Figure 4B. It was presumed that the chemical composition and the surface topology of SHS play an important role in the corrosion protection. Therefore, it is not necessary that high WCA means high corrosion resistance.

Figure 4: 
						Tafel plots (A) of 080M46 steel coupons without and with three coatings (T1, T2 and T3) of different TEOS and TMES compositional ratios and (B) their WCA and optical micrographs (Wang and Xiong, 2014). Copyright © 2014 Elsevier B.V. All rights reserved.
Figure 4:

Tafel plots (A) of 080M46 steel coupons without and with three coatings (T1, T2 and T3) of different TEOS and TMES compositional ratios and (B) their WCA and optical micrographs (Wang and Xiong, 2014). Copyright © 2014 Elsevier B.V. All rights reserved.

In this article, it would have been better if the authors have measured the actual surface area rather than the apparent one for the coated specimens and then use it in the Tafel analysis in order to calculate the corrosion protection efficiency accurately. In addition, the authors should have used the EIS technique to increase the confidence of the measured polarization data. Liang et al. (2014) carried out a systematic sol-gel study to fabricate SHS on aluminum substrate, exploring the effect of the molar ratio among NH4OH and EtOH on the surface topology and water-repellent property using the sol-gel process. Briefly, the hydrolysis of the precursor TEOS molecules led to the formation of Si-OH group, which was self-assembled by condensation and polymerization with the adjacent Si-OH on the Al substrata as follows:

Hydrolysis reaction of TEOS:

(7) Si(OCH 2 CH 3 ) 4 H 2 O NH 3 H 2 O Si(OH) 4 + 4 CH 3 OH

Water condensation

(8)  Si(OH) 4 + Si(OH) 4 SiO 2 –OH

A strawberry-like hierarchical micro/nano pattern composed of vinylsiloxane nanoparticles was obtained as a result of the interaction between the yield of the hydrolysis and the condensation polymerization of the co-precursor vinyltriethoxysilane (VTES) and the formed hydroxyl group on the silica nanoparticles. The authors found out that the highest water CA was 154.9° as a result of formation of densely packed hierarchical micro-nanoparticles on the Al substrate. The anticorrosion ability of the fabricated coating on Al metal was investigated by potentiodynamic polarization in 3.5 wt% NaCl solution at a scanning rate of 10 mV s−1 from −400 to +500 mV versus open circuit potential (OCP). The corrosion current density (icorr) decreased from 4.08×10−7 for the untreated aluminum substrate to 2.79×10−9 A cm−2 of the SHC (Liang et al., 2014).

3.2 Electrospinning approach

Electrospinning is a facile and effective pathway to fabricate continual polymeric nanofibers. This method is used to yield fibrous polymer mats with enhanced surface properties. Electrospinning uses a high electric field to produce fibers from polymeric materials (Al-Qadhi et al., 2015); it became a common technique to fabricate uninterrupted ultrathin fibers with nanometer diameters and porous nanofiber matrix, which are useful for the preparation of super water-repellent surfaces (Zhu et al., 2006; Ding et al., 2008; Han & Steckl, 2009; Asmatulu et al., 2011; Hardman et al., 2011; Wang et al., 2011; Liu et al., 2016b). However, the strength of the obtained electrospun fibers is quite low. Additionally, the adhesion between the electrospun nanofibers and the substrates has to be enhanced.

Grignard et al. (2011) used a mixture of poly(heptadecafluorodecylacrylate-co-acrylic acid) (PFDA-co-AA) and polyacrylonitrile (PAN) to design an adhesive SHC with microfibers structure on the aluminum substrate. The enhancement in the adhesion of the SHCs could be credited to the formation of interfacial carboxylate complexes as a result of the interaction between the carboxylic acid groups of the P(FDA-co-AA) and the hydroxyl group (OH) of aluminum substrate throughout the annealing step. Interestingly, the structuration and the superhydrophobicity of the annealed electrospun P(FDA-co-AA)-b-PAN diblock copolymer remain unchanged as a result of the addition of PAN. It was revealed that the structuration of the thick electrospun polymer is independent on the electrospinning processing time. Moreover, superhydrophobicity may increase with increasing the electrospun polymer thickness. The annealed electrospun P(FDA-co-AA)-b-PAN diblock copolymer exhibited high corrosion resistance after being subjected to acetic acid salt spray (5% NaCl, 1–3% HAc, pH 3.1–3.3, 35°±3°) for 100–200 h. Visually, there is no corrosion products observed on the supehydrophobic surface, which indicates the anticorrosion ability of the prepared SHC.

Bahgat Radwan et al. (2016) synthesized a superhydrophobic nanocomposite coating via one-step electrospinning technique. The highly porous PVDF/ZnO nanocomposite coating with beaded fiber structuration had a high WCA of ~155°±2° and low roll-off angle of ~4.5°±2°. The processing parameters of the electrospinning, e.g. the distance between the needle and substrate, the applied voltage, temperature, and flow rate, were kept constant during the coating process. The charge transfer resistance (Rct) of the SH nanocomposite coating (PVDF/ZnO) was significantly increased in comparison to (i) the hydrophobic PVDF one and (ii) the bare aluminum substrate. The calculated protection efficiency of the SHC, based on the EIS measurements, was found to be 97% compared to 99%, which was based on the Tafel analysis (see Figure 5). The match between the two protection efficiencies is attributed to the high porosity of the SHC.

Figure 5: 
						EIS spectra for (A) Al substrate, (B) pure PVDF, and (C) PVDF-ZnO composite coatings, after exposure to 3.5 wt% NaCl at OCP. Dotted lines are the real measurements, while the solid lines are the fitted ones. Tafel plots for (D) Al, (E) PVDF coating, and (F) PVDF-ZnO nanocomposite coating in 3.5% NaCl solution. Scan rate is 0.167 mV s−1. SEM micrographs for (G) pure PVDF and (H) PVDF-ZnO composite after Tafel polarization in 3.5 wt% NaCl using a scan rate of 0.167 mV s−1 (Bahgat Radwan et al., 2016). Copyright © 2016 Elsevier B.V. All rights reserved.
Figure 5:

EIS spectra for (A) Al substrate, (B) pure PVDF, and (C) PVDF-ZnO composite coatings, after exposure to 3.5 wt% NaCl at OCP. Dotted lines are the real measurements, while the solid lines are the fitted ones. Tafel plots for (D) Al, (E) PVDF coating, and (F) PVDF-ZnO nanocomposite coating in 3.5% NaCl solution. Scan rate is 0.167 mV s−1. SEM micrographs for (G) pure PVDF and (H) PVDF-ZnO composite after Tafel polarization in 3.5 wt% NaCl using a scan rate of 0.167 mV s−1 (Bahgat Radwan et al., 2016). Copyright © 2016 Elsevier B.V. All rights reserved.

3.3 Etching

Etching is a simple and low-cost process that is normally utilized in the construction of heterogeneous surface with high surface roughness. Depending on the nature of the metal, etching methods can be classified into the following types: acid and base etching (Choi et al., 2015; Rezayi & Entezari, 2016), metal-assisted chemical etching (Chen et al., 2012), electrochemical etching (Zhilei et al., 2013), plasma etching (Huang et al., 2015; Xie et al., 2015), ion etching (Ebert & Bhushan, 2016), and others.

Wang et al. (2015b) constructed microscale/nanoscale hierarchical pattern on 1045 steel surface by etching through a combination of different volume ratio of hydrogen peroxide (H2O2) and hydrochloric acid (HCl) or nitric acid (HNO3) and subsequently fluorinated by 1H,1H,2H,2H-perfluorodecyltriethoxysilane (i.e. FAS-17). The results revealed that the increase of the H2O2 amount in the presence of HNO3 energetically promoted the grafting of FAS-17 to the metal surface.

However, at certain concentration of H2O2, the liberated Fe3+ from the following reactions (Wang et al., 2015b),

(9) 2Fe+3H 2 O 2 H + Fe 2 O 3 +3H 2 O
(10) Fe 2 O 3 +6H + 2Fe 3+ +3H 2 O

reached its critical concentration, which catalyzes the decomposition of H2O2 into H2O and O2, as shown in the following equation:

(11) 2H 2 O 2 Fe 3+ 2H 2 O+O 2

and thereby there was no sufficient amount of the H2O2 left for the newly generated surface, which resulted in a reduction of the fluorine content. The fabricated water-repellent surface dramatically increased the anticorrosion capability of the 1045 steel. The as-prepared SHC significantly decreased the corrosion current density (icorr) from 6.6 of the bare steel to 1.8 A cm−2. The disadvantage of this method is that the etched metallic ions from the metals or alloys and the remaining etchants cannot be reused and cause a significant ecological contamination.

Interestingly, Liu et al. (2013) fabricated SHS on the Al foil after treatment with stearic acid. The generated aluminum ions from the etching process were the raw material for the subsequent growth of the bayerite microneedles on the aluminum foil, as displayed in Figure 6.

Figure 6: 
						Schematic (A) and SEM micrograph (B) for the growth mechanism and final shape of the bayerite β-Al(OH)3 array on the Al foil created by etching method. Reprinted with permission from Liu et al. (2013). Copyright (2013) American Chemical Society.
Figure 6:

Schematic (A) and SEM micrograph (B) for the growth mechanism and final shape of the bayerite β-Al(OH)3 array on the Al foil created by etching method. Reprinted with permission from Liu et al. (2013). Copyright (2013) American Chemical Society.

The etching process by NaOH continued for 3 min to generate Al(OH)4, which reacts with carbon dioxide in air, producing β-Al(OH)3, as shown in the following equation.

(12) Al(OH) 4 +CO 2 2 β -Al(OH) 3 +CO 3 2 +H 2 O

The authors also demonstrated the effect of NaOH concentration on the surface morphology. It was found that intercrossed tiny nano-platelets were constructed at low concentration of NaOH (50 mm). The formation of this tiny nano-platelets could be attributed to tremendously low formation rate of the β-Al(OH)3. However, increasing the NaOH concentration up to 0.5 m resulted in increasing the etching rate on the Al foil and formation of etched holes with large micrometer size leading to loss of its superhydrophobicity. Therefore, the moderate concentration of NaOH is the optimum to favor the construction of the well-patterned micro/nano hierarchical structure on Al foil. The as-received water-repellent surface with high WCA (167°) and low tilting angle of ~3° displayed high anticorrosion ability in 3.5 wt% NaCl solution. The corrosion current density (icorr) was decreases by three orders of magnitude from 3.1×10−5 for the untreated substrate to 6.3×10−8 A cm−2 for the SH coated one, as shown in Figure 7.

Figure 7: 
						Potentiodynamic polarization curves of the uncoated Al foil and superhydrophobic surface in saline water. Inset is the corrosion protection regime of the SHC/Al substrate. Reprinted with permission from Liu et al. (2013). Copyright (2013) American Chemical Society.
Figure 7:

Potentiodynamic polarization curves of the uncoated Al foil and superhydrophobic surface in saline water. Inset is the corrosion protection regime of the SHC/Al substrate. Reprinted with permission from Liu et al. (2013). Copyright (2013) American Chemical Society.

Moreover, Feng et al. (2014) patterned a flower-like clusters structure on the etched Al surface using boiling water and thereafter etched surface modified with 5 mm of stearic acid for 24 h at ambient temperature.

It was found that increasing the treatment time in boiling water for periods of time more than 30 s results in decreasing the WCA. Additionally, increasing the stearic acid concentration more than 5 mm decreased the WCA as a result of the grafted stearic acid on Al alloy reached its maximum. It is worth mentioning that prolonging exposure to the stearic acid beyond 24 h had no effect on the water contact angle, see Figure 8.

Figure 8: 
						Points out the influence of the (A) treatment time in boiling H2O, (B) STA concentration, and (C) treatment time in STA on the measured static WCAs (Feng et al., 2014). Copyright © 2013 Elsevier B.V. All rights reserved.
Figure 8:

Points out the influence of the (A) treatment time in boiling H2O, (B) STA concentration, and (C) treatment time in STA on the measured static WCAs (Feng et al., 2014). Copyright © 2013 Elsevier B.V. All rights reserved.

The authors inspected the corrosion protection of the as-prepared SHS that had a WCA of 154.1° by potentiodynamic polarization in 3.5 wt% NaCl solution. The corrosion rate was decreased from 7.3×10−4 for the untreated Al metal to 5.0×10−5 A cm−2 for SHC.

3.4 Electrodeposition

Superhydrophobic films can be also fabricated by the electrochemical deposition pathway. Because it is cheap, fast, and easy in operation at low temperatures, the electrochemistry is widely utilized for the structuration of nano-patterned surfaces, either by applying certain external potential between two electrodes or simply by making use of the galvanic ion exchange reaction between a substrate and ions.

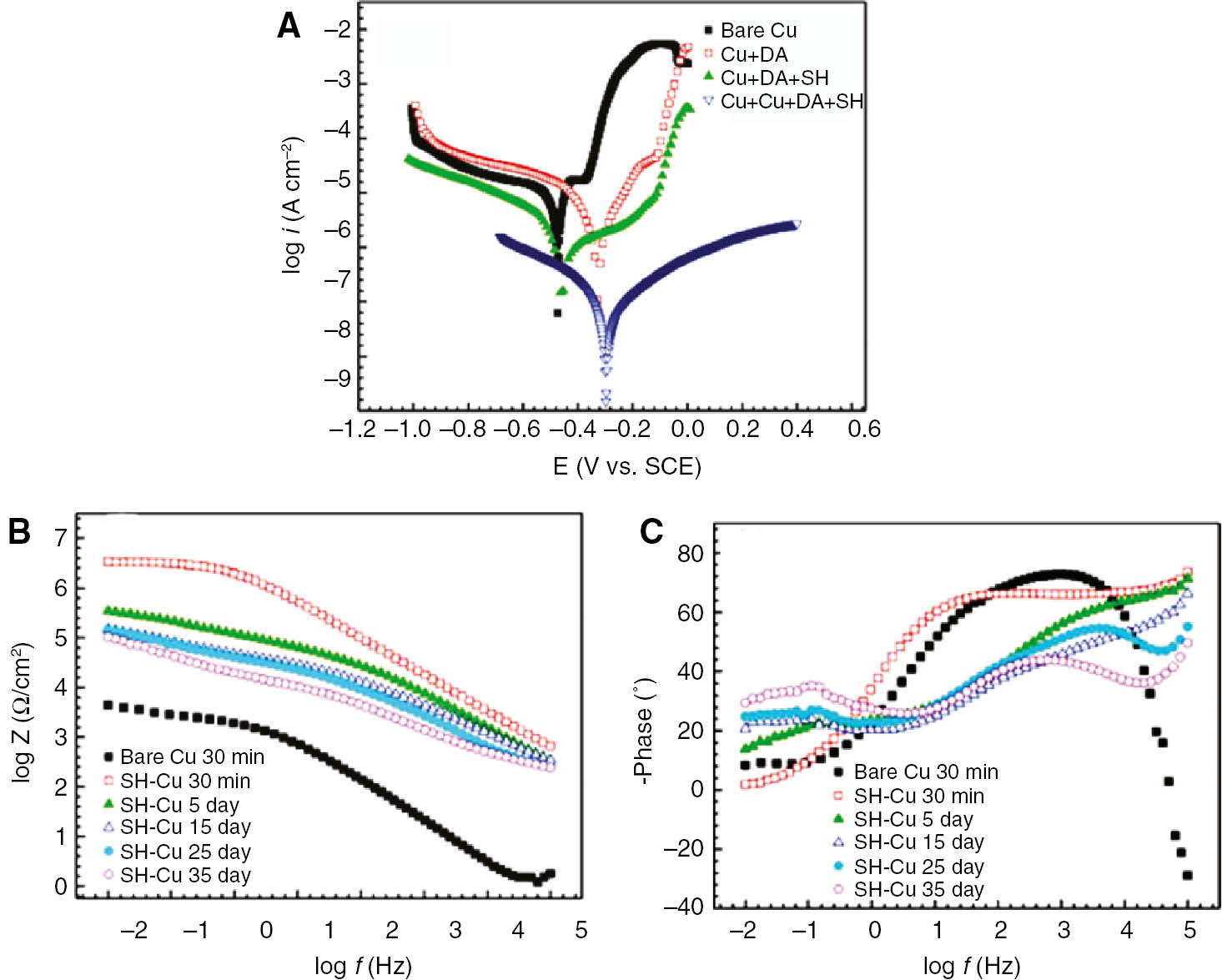
Liu et al. (2016a) created micro/nanostructure a SHC by depositing of 1-dodecanethiol/polydopamine multilayer films (DA) on the modified copper substrate. The WCA of the deposited SHS reaches 154° compared to 71° of the polished copper substrate. The new modified SHCs by polydopamine (DA) and 1-dodecanethiol (SH) displayed a high corrosion protection efficiency of 99.89% and 96.065 in 3.5 wt% NaCl solution, as shown in Figure 9.

Figure 9: 
						Potentiodynamic polarization curves (A) for several copper substrates in saline water (3.5 wt% NaCl) after immersion for 30 min in addition to Bode (B) and phase angle (C) plots in the same solution at OCP (Liu et al., 2016a). Copyright © 2015, Royal Society of Chemistry.
Figure 9:

Potentiodynamic polarization curves (A) for several copper substrates in saline water (3.5 wt% NaCl) after immersion for 30 min in addition to Bode (B) and phase angle (C) plots in the same solution at OCP (Liu et al., 2016a). Copyright © 2015, Royal Society of Chemistry.

By keeping the distance between the anodic platinum plate and cathodic aluminum substrate at 2 cm, Zhang et al. (2015a) interestingly increase the WCA of aluminum alloy up to 162.1° using facile and low-cost one-step electrodeposition procedure as shown in Figure 10.

The electrodeposition bath was composed of 0.05 m cerium (III) nitrate hexahydrate and 0.2 m myristic acid in ethanol EtOH. It was noticed that by keeping the electrodeposition time between 5 and 180 min, the water contact angle remained higher as 154° and the slipping angle is lower than 3°. However, by increasing the electrodeposition time to 210 and 240 min, the WCA decreased to 139.9° and 132.2°, respectively. This could be attributed to the change of the surface morphology from heterogeneous to homogenous structure as a result of an agglomeration of larger particle size of monomer papillae.

Moreover, the WCA decreased by increasing the electrodeposition applied voltage at a constant electrodeposition time. As can be seen from Figure 10, the highest attained WCA (153°) was found at 20 V, due to the formation of well-constructed hierarchical micro/nanopapillae on Al surface. However, by increasing the applied voltage to 50 and 60 V, the WCA decreases to 103.5 and 102.2°, respectively. This was ascribed to the formation of large particle size as a result of agglomeration of papillae on the AA surface.

Figure 10: 
						 Effect of (A) time and (B) potential of deposition on the WCA (A and B) and sliding angle (A) (Zhang et al., 2015a). Copyright © 2015, Royal Society of Chemistry.
Figure 10:

Effect of (A) time and (B) potential of deposition on the WCA (A and B) and sliding angle (A) (Zhang et al., 2015a). Copyright © 2015, Royal Society of Chemistry.

The potentiodynamic polarization test in saline water showed a considerable decrease in the corrosion current density (icorr) for the as-prepared SHS by more than three orders of magnitude, as displayed in Figure 11.

Figure 11: 
						(A) Polarization and (B) EIS curves of Al with and without SHS in 3.5% NaCl solution (Zhang et al., 2015a). Copyright © 2015, Royal Society of Chemistry.
Figure 11:

(A) Polarization and (B) EIS curves of Al with and without SHS in 3.5% NaCl solution (Zhang et al., 2015a). Copyright © 2015, Royal Society of Chemistry.

Hierarchical cauliflower-like morphology was attained by Wang et al. (2016d) by electrodeposition method, as shown in Figure 12. They reported a novel route to electrodeposit (Zn)/polydopamine (pDop)/n-dodecyl mercaptan (NDM) on various metals and alloys such as Al, steel, and copper. The self-polymerization of the integrated dopamine occurred simultaneously during the co-deposition of Zn, which exhibited a synergistic effect. The as-prepared coatings on the different metals showed a high WCA after heat treatment, see Figure 12.

Figure 12: 
						The SEM photographs on the left side show the (A) polished steel, coated steel substratum with a Zn/pDop coating (B) before and (C, D) after heat treatment. Insert (D): an optical photograph of a cauliflower. On the right side is the measured CAs of water and glycol on different metal (Wang et al., 2016d). © 2016 Elsevier B.V. All rights reserved.
Figure 12:

The SEM photographs on the left side show the (A) polished steel, coated steel substratum with a Zn/pDop coating (B) before and (C, D) after heat treatment. Insert (D): an optical photograph of a cauliflower. On the right side is the measured CAs of water and glycol on different metal (Wang et al., 2016d). © 2016 Elsevier B.V. All rights reserved.

It was demonstrated that the optimum electrodeposition voltage and time were 1.5 V and 30 min, respectively. The as-prepared SHCs on different metal surfaces exhibited different anticorrosion ability in corrosive medium, see Figure 13. It was observed that the as-prepared SHC on Cu substrate achieved a considerable corrosion protection efficiency of 98%. On the other hand, the corrosion protection efficiency of steel and AA was 86% and 89%, respectively. It is assumed that applying the same hydrophobic coating on different metals is not necessary to exhibit the same degree of corrosion protection as it is relying on the kind of metal as well as the hydrophobic material in addition to the corrosive medium, surface morphology, etc.

Figure 13: 
						The Tafel plots for the pure substrates and Zn/pDop/NDM coatings on the (A) steel substrate, (B) Al sheet, and (C) Cu sheet (Wang et al., 2016d). © 2016 Elsevier B.V. All rights reserved.
Figure 13:

The Tafel plots for the pure substrates and Zn/pDop/NDM coatings on the (A) steel substrate, (B) Al sheet, and (C) Cu sheet (Wang et al., 2016d). © 2016 Elsevier B.V. All rights reserved.

3.5 Anodization

SHC with a micro or nanostructure can be easily obtained by anodization as a result of formation of an oxide film on metals and its alloys. AA is a popular metal to design water-repellent surfaces by anodization. Inspired by nature, Liu et al. (2015) successfully designed SHS on AA by one-step anodization route. Briefly, after polishing and rinsing in a mixture consisting of a distilled water, ethanol, and acetone for 10 min, two Al substrates were placed into an electrolyte composed of 0.1 myristic acid and 0.2 m aluminum nitrate. The well-designed micro/nano structure of anodized Al alloy exhibited a high WCA of 170° at an anodization voltage of 20 V. The optimum anodization time was found to be 120 min, see Figure 14.

Figure 14: 
						Variation in the static WCAs of the anodized Al samples with variable (A) voltages and (B) anodization time (Liu et al., 2015). Copyright © 2014 Elsevier B.V. All rights reserved.
Figure 14:

Variation in the static WCAs of the anodized Al samples with variable (A) voltages and (B) anodization time (Liu et al., 2015). Copyright © 2014 Elsevier B.V. All rights reserved.

The corrosion behaviors of the bare and coated AA were investigated by potentiodynamic polarization at scan rate 10 mV/s in 3.5% NaCl aqueous solution. The corrosion current density decreased by more than one order of magnitude from 8.2×10−4 for untreated Al metal to 5.7×10−5 mA cm−2 for the SHS, see Figure 15.

Figure 15: 
						Potentiodynamic polarization curves of (A) uncoated aluminum substrata and (B) a SHC on AA at scan rate 10 mV/s in 3.5% NaCl aqueous solution (Liu et al., 2015). Copyright © 2014 Elsevier B.V. All rights reserved.
Figure 15:

Potentiodynamic polarization curves of (A) uncoated aluminum substrata and (B) a SHC on AA at scan rate 10 mV/s in 3.5% NaCl aqueous solution (Liu et al., 2015). Copyright © 2014 Elsevier B.V. All rights reserved.

Interestingly, Liu et al. (2014) increased significantly the corrosion protection of AA 35 times through controlled construction of robust SHC by anodic oxidation. They grafted (heptadecafluoro-1,1,2,2-tetradecyl) triethoxysilane (AC-FAS) to the anodized AA, as shown in Figure 16.

Figure 16: 
						Formation of a self assembled AC-FAS SHS on top of an anodized Al substrate (Liu et al., 2014). Copyright © 2014, Royal Society of Chemistry.
Figure 16:

Formation of a self assembled AC-FAS SHS on top of an anodized Al substrate (Liu et al., 2014). Copyright © 2014, Royal Society of Chemistry.

The WCA increases from 97.9° for pure Al alloy to 157.5° for SHS. It was noticed that 9 min was the optimum anodization time for the formation of SHS with a high WCA of 157.5° and low tilting angle of 3° (Liu et al., 2014). The hierarchical micro-nanostructure exhibited high corrosion protection efficiency of 98% after the treatment with AC-FAS layer, see Figure 17.

Figure 17: 
						Potentiodynamic polarization curves (A), Nyquist plots (B), and Bode plots (C) of the bare Al alloy substrate and the as-prepared superhydrophobic surface in 3.5 wt% NaCl solution (Liu et al., 2014). Copyright © 2014, Royal Society of Chemistry.
Figure 17:

Potentiodynamic polarization curves (A), Nyquist plots (B), and Bode plots (C) of the bare Al alloy substrate and the as-prepared superhydrophobic surface in 3.5 wt% NaCl solution (Liu et al., 2014). Copyright © 2014, Royal Society of Chemistry.

Xiao et al. (2015) reported a controllable and simple approach to obtain SHS on a copper surface through subsequent fluorosilanization of the grown CuO nanoneedle array (NNA) layer on its surface, as shown in Figure 18.

Figure 18: 
						On the left side, a schematic explanation of the two-step fabrication method of super water-repellent CuO-NNA-FAS surface and on the right side SEM of the anodized CuO NNA with different magnification at variable time (A and B) 5 min, (C and D) 25 min, and (E and F) 40 min (Xiao et al., 2015). Copyright © 2015, Royal Society of Chemistry.
Figure 18:

On the left side, a schematic explanation of the two-step fabrication method of super water-repellent CuO-NNA-FAS surface and on the right side SEM of the anodized CuO NNA with different magnification at variable time (A and B) 5 min, (C and D) 25 min, and (E and F) 40 min (Xiao et al., 2015). Copyright © 2015, Royal Society of Chemistry.

The as-prepared CuO-NNA-FAS SHS displayed a WCA of 169° and a low incline angle of 5°. The authors revealed that the optimum anodization parameters required for the growth of the CuO nano-needle array film on the substratum are 2 m potassium hydroxide (KOH) at 15±1°C and a current density of 2.0 mA cm−2. It was shown that extending the anodization time up to 40 min increased the surface roughness and thereby increased the WCA and reduced the sliding angle, as shown in Figure 19.

Figure 19: 
						Effect of anodization time on (A) the surface roughness and WCA and (B) WCAH of the CuO-NNA-FAS coatings (Xiao et al., 2015). Copyright © 2015, Royal Society of Chemistry.
Figure 19:

Effect of anodization time on (A) the surface roughness and WCA and (B) WCAH of the CuO-NNA-FAS coatings (Xiao et al., 2015). Copyright © 2015, Royal Society of Chemistry.

This could be attributed to the air trapped between the disparities of the well-designed structure of CuO-NNA, which is in agreement with the Cassie-Baxter regime. The as-prepared CuO-NNA-FAS SHC showed high corrosion protection efficiency in 3.5 wt% NaCl solution to 90%.

Although anodization is a facile and fast route and can be easily applied for other metals with large scale, the fabricated SHCs by anodic oxidation are often non-homogenous and possess several defects. The anodizing process normally forms two-dimensional (2D) hexagonal pore structures. Such 2D and planar pore patterns significantly limit superhydrophobicity and its applications. As well, anodization process did not show a high corrosion protection in comparison with other techniques. Thus, it is desirable to design and develop hybrid or hierarchical porous structures that can combine both the features of superior dewetting stability and superhydrophobicity.

3.6 Hydrothermal

Hydrothermal reaction is recognized as an efficient method for the production of SH materials simply with a variety of patterns and morphologies on a large scale with low cost. It has been used on a variety of metal surface because it affords high temperatures and pressures control of the reaction (Ming et al., 2012). The process usually results in a high level of surface hydrophobicity and WCAs of more than 150° on specific substrata such as aluminum, titanium, zinc, and magnesium (Fan et al., 2014; Li et al., 2014a,b; Myint et al., 2014; Wang et al., 2014; Shi et al., 2015; Zhou et al., 2015). These surfaces can be simply developed by promoting the formation of metal hydroxides with porous nanostructure on the substratum and consequently treated by a hydrophobic material. Zhang et al. (2015b) successfully produced SHCs on AZ31 magnesium alloy that exhibited a WCA as high as 157.6°. Prior to the hydrothermal treatment at 120°C in Teflon-lined autoclave for 8 h, the Mg alloy was immersed in 5.66 wt% NaOH solution. Subsequently, the generated Mg(OH)2 was surface treated with stearic acid to obtain SHS that had many petal-like clusters on the metal surface. The replicated SHS exhibited high corrosion protection efficiency in 3.5 wt% NaCl solution. The corrosion current density decreased from 31.72 for the bare AZ31 alloy to 1.715 μA·cm−2 for SHS, see Figure 20.

Figure 20: 
						Tafel polarization curves in saline water (3.5 wt% NaCl solution) of (A) the pure magnesium alloy, (B) the hydrothermal treated sample, and (C) the superhydrophobic sample with a sweep rate of 2 mV/s (Zhang et al., 2015b). Copyright © 2015 Published by Elsevier Ltd.
Figure 20:

Tafel polarization curves in saline water (3.5 wt% NaCl solution) of (A) the pure magnesium alloy, (B) the hydrothermal treated sample, and (C) the superhydrophobic sample with a sweep rate of 2 mV/s (Zhang et al., 2015b). Copyright © 2015 Published by Elsevier Ltd.

Wang et al. (2015a) investigated the anti-corrosion properties in Hank’s solution on the as-fabricated SHS using a different Mg alloy (AZ91D), achieving a corrosion protection efficiency of 99%. They hydrothermally treated the polished Mg substrate before and after immersion in 2 m NaOH at 60°C and 160°C, respectively. The modified bar-like structure with 0.01 m ethanolic stearic acid showed a high WCA (155°) and low tilting angle (2°), as shown in Figure 21.

Figure 21: 
						SEM micrographs of the magnesium alloy before (A) and after (B) treatment with stearic acid, (C) cross-section graph of the sample with superhydrophobic layer, (D) CA optical image of the superhydrophilic layers, (E) CA and (F) SA image of the superhydrophobic film (Wang et al., 2015a). Copyright © 2014 Elsevier Inc. All rights reserved.
Figure 21:

SEM micrographs of the magnesium alloy before (A) and after (B) treatment with stearic acid, (C) cross-section graph of the sample with superhydrophobic layer, (D) CA optical image of the superhydrophilic layers, (E) CA and (F) SA image of the superhydrophobic film (Wang et al., 2015a). Copyright © 2014 Elsevier Inc. All rights reserved.

On the other hand, the constructed nanopetals of CuO layers on copper substrate increased the measured WCA from 85° for pure copper to 157° for the modified CuO with 2.0 wt% stearic acid (Fan et al., 2014), see Figure 22. This generated CuO layer was formed as a result of immersion of Cu coupons in a mixture of 30 ml of 0.01 m copper acetate solution and 30 ml of 0.01 m hexamethylenetetramine (HMTA) and followed by hydrothermally treating it at 90°C for 24 h in a Teflon-lined autoclave. The stearic acid adapted CuO layer showed high corrosion protection in 3.5 wt% NaCl. The corrosion current density was decreased from 51.65 for pure Cu metal to 0.915 μA·cm−2 of the superhydrophobic copper.

Figure 22: 
						SEM micrographs of (A) Cu substrate, (B) the CuO film, (C) the STA-modified CuO film, (D) a photograph of water droplets on STA-modified CuO film, (E) the STA-modified Cu film, (F) TEM image of single CuO nanoparticle (the carambola section was in the inset) (Fan et al., 2014). Copyright © 2014 Elsevier B.V. All rights reserved.
Figure 22:

SEM micrographs of (A) Cu substrate, (B) the CuO film, (C) the STA-modified CuO film, (D) a photograph of water droplets on STA-modified CuO film, (E) the STA-modified Cu film, (F) TEM image of single CuO nanoparticle (the carambola section was in the inset) (Fan et al., 2014). Copyright © 2014 Elsevier B.V. All rights reserved.

Nickel has the potential to be applied in numerous applications such as chemical and electrochemical catalysis applications and batteries. However, nickel can be easily corroded. Therefore, many efforts have been done to enhance its anticorrosion ability. Liu et al. (2017) successfully fabricated Co3O4 SHC on nickel foam with a high corrosion protection efficiency in 3.5 wt% NaCl. It was revealed that different hydrothermal temperatures have a considerable impact on the surface topology and consequently on its non-wettability and corrosion protection efficiency, see Figure 23.

Figure 23: 
						Schematic diagram illustrates the influence of the temperature on the surface topology (Liu et al., 2017). © 2016 Published by Elsevier B.V. All rights reserved.
Figure 23:

Schematic diagram illustrates the influence of the temperature on the surface topology (Liu et al., 2017). © 2016 Published by Elsevier B.V. All rights reserved.

The loaded Co3O4 on nickel foam significantly reduced the surface energy and thereby increased the WCA to be higher than 150° after treatment with the perfluorinated alkyl silane reagent (PFAS).

3.7 Spray coating

Spray coating is a cheap and very simple pathway that does not require neither exceptional conditions nor extra equipment (e.g. vacuum conditions or high temperature) and appropriate for large-scale production of SHCs. The parameters that affect the formation of SHC are the distance between the spray gun and the substrate, viscosity of the solution, diameter of the head size, and pressure of the compressed air. Throughout the chemical reaction between sodium stearate (NaSA) aqueous solution and different inorganic salt, Li et al. (2015b) successfully fabricated colored SHCs on stainless steel (SS) substrates via one-step spray coating pathway. The colored water-repellent surfaces were obtained by the chemical reaction in hot water between different concentrations of NaSA and a definite concentration of different inorganic salts, whereas addition of 8 mmol of NaSA aqueous solution to 4 mmol of each of cupric acetate, cobaltous (II) sulfate heptahydrate, and 4 mmol of zinc chloride yielded blue, purple, and white colorful hydrophobic coatings, respectively. Nevertheless, addition of 12 ml of NaSA aqueous solution to 4 mmol of each of iron (III) chloride hexahydrate and chromium (III) chloride hexahydrate resulted in aurantium and cinerous colored water-repellent coatings. Thereafter, the suspension and homogenous hydrophobic particles, which yielded from dissolving 0.2 g of the colored hydrophobic coatings in 20 ml of ethanol, were sprayed onto SS substrates under pressure of the compressed air gas (0.2 MPa), using 0.8-mm head size of the spray gun at a 15-cm distance between the spray gun and SS substrates. The heterogeneous micro-sized structure allowed air to be trapped in furrows and channels of the colored SHCs and therefore exhibited a high WCA (160°) and low WCAH (≤5°). The authors evaluated the corrosion protection efficiency of the as-prepared coatings on Al alloy in saline water at different immersion times using potentiodynamic polarization with a sweep rate of 5 mV s−1, see Figure 24. The corrosion current density decreased from 2.416×10−6 for bare Al alloy to 6.019×10−9 and 3.274×10−8 A cm−2 after immersion for 6 h and 30 days, respectively.

Figure 24: 
						Potentiodynamic polarization curves of bare Al alloy after immersion in a 3.5 wt% NaCl aqueous solution for 2 h and a superhydrophobic copper stearate (CuSA2) coating formed on an aluminum substrate after immersion in 3.5 wt% NaCl aqueous solution for 6 h and 30 days, respectively. Reprinted with permission from Li et al. (2015b). Copyright (2015) American Chemical Society.
Figure 24:

Potentiodynamic polarization curves of bare Al alloy after immersion in a 3.5 wt% NaCl aqueous solution for 2 h and a superhydrophobic copper stearate (CuSA2) coating formed on an aluminum substrate after immersion in 3.5 wt% NaCl aqueous solution for 6 h and 30 days, respectively. Reprinted with permission from Li et al. (2015b). Copyright (2015) American Chemical Society.

Wang et al. (2016a) fabricated a highly effective anticorrosion superhydrophobic polysulfone (PSU)/poly(vinylidene fluoride) (PVDF)/montmorillonite (MMT)-polydimethylsiloxane (PDMS) nanocomposite coating via spray coating on Al alloy, as shown in Figure 25, whereas the hydrophobized MMT nanoparticles by PDMS were added to the PSU/PVDF and then sprayed onto the AA by an air spray gun under a pressure of three bar.

Figure 25: 
						Schematic of MMT modified with PDMS and the fabrication process for the superhydrophobic coating (Wang et al., 2016a). Copyright © 2016, Royal Society of Chemistry.
Figure 25:

Schematic of MMT modified with PDMS and the fabrication process for the superhydrophobic coating (Wang et al., 2016a). Copyright © 2016, Royal Society of Chemistry.

Inclusion of the MMT nanoparticles led to the construction of a heterogeneous surface with micro/nano hierarchical structure, which resulted in a high WCA of 159° and CAH of 3.5°. The authors attributed this high WCA and the low CAH to the large amount of air trapped in fissures of the rough surface, as a result of the tractive influence of the MMT nanoparticles, which can hamper the migration of polymer molecular chains. The anticorrosive property of the as-synthesized SHC was evaluated in 3.5 wt% NaCl solution by Tafel polarization. The corrosion current density decreased from 10−0.9 μA cm−2 for uncoated Al to 10−3.6 μA cm−2 of the superhydrophobic PSU/PVDF/MMT-PDMS nanocomposite coating.

Nine et al. (2015) prepared three different formulations of SHS on Cu substrate with WCA more than 150° after modification by PDMS. The first coating consisted of crushed diatomaceous earth (DE) which composed of silica of micro/nano-sized particles with a WCA of 159°±1°. The second one consisted of crushed-DE (1.5 g) and TiO2 nanoparticles (0.5 g) mixed in 10 g of THF solution which led to a WCA of 170°±2°. The third coating (DE/TiO2/rGO), was synthesized by mixing 60 mg of reduced graphene oxide (rGO), crushed-DE (1.5 g), and TiO2 (0.5 g) into 10 g of tetrahydrofuran (THF) solution which resulted in a WCA of 154°±1°. Inclusion of TiO2 nanoparticles enhanced the non-wettability in comparison with the other formulations owing to the structuration of hierarchical nanotexture on the metal surface. However, the third formulation exhibited the highest corrosion protection in saline water owing to the rGO from a barrier film that restrained electronic and ionic conductivity. Therefore, the surface chemistry of SHS played an important role in the corrosion resistance rather than the high WCA. Motlagh et al. (2013) designed a superamphiphobic coating that can repel both water and oil on carbon steel with CAs of 170°, 159.7°, and 124° and low slipping angles of 1°, 4°, and 10° for deionized water (H2O), ethylene glycol (EG), and fuel oil droplets, respectively. The formed hierarchical structure on the carbon steel was achieved by spraying multilayer of silica followed by lowering the surface energy using perfluorodecyltriethoxysilane (PFDTES). However, this multilayer SHC resulted in relatively low corrosion protection efficiency (94.23%) in saline water, as was revealed by potentiodynamic polarization tests at a scanning rate of 9 mV s−1. Interestingly, Ramachandran and Nosonovsky (2015) decreased the corrosion current density several orders of magnitude through imparting hydrophobization by applying four coats on the cast iron using stearic acid and commercial liquid for water-repelling treatment (Rust-Oleums NeverWets). It was explored that thicker coating has an important role in the corrosion protection of SHS, as it affords a sinuous pathway for the corrosive agents. The potentiodynamic polarization test revealed a significant decrease in the icorr from 5.81 for uncoated metal to a 3×10−14 μA cm−2 of the SC with WCA 158.5° and negligible WCAH, see Figure 26.

Figure 26: 
						Potentiodynamic polarization curves of different samples (P1 is the cast iron and P2, R2, and S2 are the modified surfaces with stearic acid. However, P3, R3, and S3 were spray coated with a commercial hydrophobic liquid (Rust-Oleums®NeverWets)). Rendering the surface superhydrophobic is seen to reduce the corrosion current density as well as shift the corrosion potential closer to the reference electrode potential (Ramachandran & Nosonovsky, 2015). Published by The Royal Society of Chemistry.
Figure 26:

Potentiodynamic polarization curves of different samples (P1 is the cast iron and P2, R2, and S2 are the modified surfaces with stearic acid. However, P3, R3, and S3 were spray coated with a commercial hydrophobic liquid (Rust-Oleums®NeverWets)). Rendering the surface superhydrophobic is seen to reduce the corrosion current density as well as shift the corrosion potential closer to the reference electrode potential (Ramachandran & Nosonovsky, 2015). Published by The Royal Society of Chemistry.

4 Challenges for using SHCs

Transition from Cassie-Baxter to Wenzel state dramatically influences the corrosion protection efficiency of the SHC under the exposure to different environmental effects, e.g. ultraviolet radiations (UV). As discussed previously, most approaches to fabricate SHCs are based on achieving certain roughness and surface that was covered by low surface energy material. Also the adhesion of the coating to the substrate is usually weak. The mechanical stability of SHCs is another serious problem. For some applications, thermal stability is also quite important. Many SHCs are polymer based. Polymers change their surface morphology when the temperature reaches the glass transition temperature, and the polymer starts to melt. Also at higher temperatures, the polymer structure even starts to degrade, and superhydrophobicity will be lost. Hence, fabrication of a robust SHS that can function well in harsh environmental conditions is crucial for the protection of metals and alloys prone to corrosive media. According to the abovementioned reasons, many efforts are directed to explore the factors that severely decrease the wettability of SHCs with time.

4.1 Effect of ultraviolet radiation

Exposure to UV may cause a significant degradation of SHCs leading to the formation of wetting defects and therefore increasing the corrosion rate of SHS and limiting its applications. The generated radicals resulted from the photooxidative degradation process due to an exposure to UV irradiation, which interacted with oxygen to produce hydroperoxides and consequently decrease the surface wettability of the super water-repellent coating (Yousif & Haddad, 2013). Yao et al. (2012) fabricated SHS of stearic modified ZnO nanoflakes layer on an aluminum substrate that SHS was converted later to Wenzel state upon exposure to UV illumination (λ=254) for 5 h. The WCA decreased from 157° to less than 90°. This was attributed to the following:

  1. the formation of alkoxy groups as a result of the interaction between the photogenerated atomic oxygen from air and the alkyl radicals of stearic acid. Then the decomposition and reduction of the carbon chain length occurred as a result of the photodecomposition of the generated carbonyl group via oxidation of alkoxy group.

  2. the photocatalytic behavior of the ZnO induced the excitation of the electrons existing in the valence to the conduction band when exposed to UV illumination with photo energy higher than or equivalent to the ZnO band gap energy, leaving holes in the valence band. These generated holes act as active sites for initiation of redox reactions with oxygen and water (H2O) on the ZnO nanoflakes, resulting in a decomposition of the alkyl chain of the stearic acid species.

Additionally, Li et al. (2015a) reported a fabrication of stable biomimetic SHC on Al 2024 alloy via hydrothermal approach in La(NO3)3 aqueous solution. The static WCA increases to 160° after modifying the surface of the alloy with dodecafluoroheptyl-propyl-trimethoxylsilane (Actyflon-G502). The WCA remained unchanged (160°) under UV illumination for 24 h owing to the formation of stable and strong bond between the yielded La(OH)3 and Actyflon-G502 species. It is worth mentioning that the manufactured super water-repellent coating UV-proof by Li et al. (2015a) retained its Cassie-Baxter state after exposure to UV light (λ=350±50 nm) for 50 h. This could be ascribed to the strong and high bond energy (485 kJ mol−1) of the C–F bond existing in the long chain of FAS-17, which cannot be easily broken upon exposure to UV illumination (314–419 kJ mol−1).

4.2 Chemical stability

4.2.1 pH

Liu et al. (2016e) explored the chemical stability of their electroplated superamphiphobic coating, which can repel both oil and water at different pH values. The cauliflower-like clusters retain its superhydrophobicity over pH range from 2 to 12 with a WCA higher than 150°. However, the WCA decreased to 138° when the pH value of the solution was decreased to one. Hsu et al. (2013) synthesized a robust super water-repellant film of poly(isobutylene)-amine/CNTs epoxy that can potentially be applied in variable industries. The as-fabricated film showed long-term stability under exposure to solutions of different pH values from 2 to 12 with a WCA more than 150°. Furthermore, de Leon et al. (2012) produced a SHC that retained its Cassie-Baxter state at variable pH values and temperature through electrodeposition of polystyrene nanoparticles on SS followed by electropolymerization of polythiophene monomer. The corrosion protection efficiency of the as-fabricated SHS can be seen in the potentiodynamic polarization curves of Figure 27. It was noticed that the protection efficiency of the SHS at pH 1 after 1-day and 7-day immersion was 96.6% and 87.4%, respectively. In neutral medium at pH 7, the protection efficiency was still high (96.9% and 94.7%) after immersion of SHS for 1 day and 7 days, respectively. Moreover, by increasing the pH to pH 14 by adding NaOH, the corrosion protection efficiency slightly decreased to negligible values of 96.2% and 93.1% after 1-day and 7-day immersion, respectively. In addition, the corrosion protection efficiency of the SHS was evaluated at high temperature (T=60°) achieving high protection efficiency of 95.8% and 93.9% after 1-day and 7-day immersion in saline water. However, the authors did not mention the variation of the WCA after each corrosion test in order to investigate the correlation between the high corrosion protection efficiency and the non-wettability of the SHS.

Figure 27: 
							Potentiodynamic polarization curves of (A, D) bare stainless steel, (B, E) Hsteel, and (C, F) SHsteel measured after 1 day and 7 days of immersion, respectively, in 3.5 m NaCl solution of varying pH (kept at 25°C) and at high temperature (60°C, pH 7). Reprinted with permission from de Leon et al. (2012), Copyright (2012) American Chemical Society.
Figure 27:

Potentiodynamic polarization curves of (A, D) bare stainless steel, (B, E) Hsteel, and (C, F) SHsteel measured after 1 day and 7 days of immersion, respectively, in 3.5 m NaCl solution of varying pH (kept at 25°C) and at high temperature (60°C, pH 7). Reprinted with permission from de Leon et al. (2012), Copyright (2012) American Chemical Society.

Liu et al. (2016d) sprayed gold layer into the anodized Al alloy, which was subsequently followed by modification with two different terminated thiol groups to produce reversibly switchable super water-repellant coating. Gold can chemically interact with thiol ligand through formation stable coordinate bond (Au-S). The fabricated SHS with 70% HS(CH2)10COOH and 30% HS(CH2)11CH3 exhibited transition from Cassie-Baxter state to Wenzel state with basic water droplet. When pH of the water droplet is ≥7, the carboxy group of HS(CH2)10COOH was deprotonated, and the methyl group of the HS(CH2)11CH3 became dominant, resulting in hydrophilic coating. Nevertheless, when exposed to pH≤7, the carboxy groups were mostly protonated and covered with hydrate layers, consequently resulting in a surface that is highly superhydrophobic, as shown in Figure 28.

Figure 28: 
							Effect of pH on the water contact angle of an Al substrate modified with a solution of 70% HS(CH2)10COOH and 30% HS(CH2)11CH3 (Liu et al., 2016d). © 2016 Elsevier B.V. All rights reserved.
Figure 28:

Effect of pH on the water contact angle of an Al substrate modified with a solution of 70% HS(CH2)10COOH and 30% HS(CH2)11CH3 (Liu et al., 2016d). © 2016 Elsevier B.V. All rights reserved.

4.2.2 Long-term immersion in saline water

The stability of the SHCs is always analyzed by immersing the surfaces in certain corrosive, e.g. NaCl followed by measuring the WCA. In a study by Liu et al. (2016a), the stability of superhydrophobic copper surface was investigated in saline water using contact angle measurements. It was found that the WCA of the electrodeposited SHC on Cu substrate decreased from 154° to 150°, 144°, and 138° after immersion in saline water for 5, 10, and 35 days, respectively. This diminution in the WCA with the immersion could be ascribed to the reduction in the volume of the trapped air in the valleys between the hills due to the replacement by water inside the heterogeneous structure of the Cu substrate. The corrosion protection efficiency of this coating was explored by EIS after immersion in 3.5 wt% NaCl solution for many days. The authors proposed different equivalent circuits in order to fit the EIS data of the submerged SHC, as depicted in Figure 29.

Figure 29: 
							Equivalent circuit models for (A) uncoated copper substrate, (B) SHC after immersion in saline water solution for a half hour, (C) superhydrophobic coating after immersion in saline water solution after long immersion (Liu et al., 2016a). Copyright © 2015, Royal Society of Chemistry.
Figure 29:

Equivalent circuit models for (A) uncoated copper substrate, (B) SHC after immersion in saline water solution for a half hour, (C) superhydrophobic coating after immersion in saline water solution after long immersion (Liu et al., 2016a). Copyright © 2015, Royal Society of Chemistry.

Generally, the low capacitance and the high charge transfer resistance (Rct) values indicate a high corrosion protection. However, the authors did not refer to the charge transfer of the metal surface in their proposed circuits. It was noted that after 30-min immersion of the SHS in saline water, the Rct of the film increased to 3391 kΩ cm2 in comparison with pure substratum, as shown in Figure 9. On the other hand, after 15-day immersion, the equivalent circuit model was adjusted from two times constant to three times constant by adding Rpit and CPEpit, which correspond to the resistance and the constant phase element of the oxidation corrosion product film, respectively. Therefore, the Rct value mightily decreased to 15.3 kΩ cm2 owing to the destruction of the supehydrophobic film features by the deposition of a corrosion product layer on the underlying Cu substrate. Liang et al. (2014) speculated that long immersion in saline water damaged the surface topology of their manufactured SHC on Al alloy where the WCA decreased from 153° to 138° after immersion in 3.5 wt% NaCl for 1440 min. The charge transfer resistance (Rct) of the submerged SHC in saline water for 30 min reduced from 29.18 to 3.795 kΩ cm2 after immersion for 1440 min. Interestingly, water droplet restores its spherical shape with WCA (168.6°) after the immersion of the created SHS on Al for 240 h alloy in 0.5 m NaCl aqueous solution using intensive laser treatment (Boinovich et al., 2015). At the same time, the polarization resistance (Rp) of the modified superhydrophobic non-textured Al alloy increased by more than four orders of magnitude (2.4×108 Ω cm2) after 10 days of immersion in a saline water in comparison with the Rp value of the unmodified non-textured Al alloy (6.8×104 Ω cm2).

4.3 Mechanical durability

Most of the manufactured super water-repellent surfaces are fragile and can easily lose their superhydrophobicty. Therefore, the mechanical durability was always questioned. Any slight mechanical contact with SHC can destroy the surface topology of the inhomogeneous surface and thereby decrease the amount of air trapped in the cavities of the rough surface. The presence of these wetting defects as a result of wear acts as active sites for initiation of corrosion and thereafter decaying of the underlying metal surface. Moreover, this mechanical contact can leave a contamination on the SHS, which may limit its application as a self-cleaning material. Simovich et al. (2015) created an SHC with high mechanical durability by combining bottom-up and top-down pathways that can be applied on different substrates. The manufactured super water-repellent epoxy coating resists the abrasion up to 6H hardness using ASTM pencil hardness standard (Standard Test Method for Film Hardness by Pencil Test D3363, ASTM International, West Conshohocken, 2005). The WCA decreased from 153.8°±0.8° to 149.8°±1.5°. This mechanical durability of this SHS could be accredited to the protection of the hierarchical structure by the hard-wearing morphology of the epoxy. Additionally, the combination of silica nano-particles and amines improves the stress resistance of the coating bulk. The SHC designed by spraying the dispersed fluorinated silica nanoparticles in PDMS on Cu surface exhibited good mechanical stability with WCA more than 150° (Zhang et al., 2016e) as the surface topology and topography did not exhibit remarkable change after abrasion test, as shown in Figure 30. It was noticed that water droplet rolled off the coated surface after exposure to 200 abrasion cycles in one direction with a speed of 3 cm s−1, abrasion length of 1.5 cm using sandpaper (1000 mesh), and a pressure of 25 kPa. Chen et al. (2015) reported the fabrication of SHC on variable substrates that exhibited better anti-wear performance as the SHS restored its Cassie-Baxter regime with WCA ~150° after scratching for 1 cm utilizing 800 grit Al2O3 sandpaper under a pressure 2.5 kPa with sliding velocity of 3 cm s−1.

Figure 30: 
						The variation of the WCA after abrasion cycles under 25 kPa (Zhang et al., 2016e). Copyright © 2015 Elsevier B.V. All rights reserved.
Figure 30:

The variation of the WCA after abrasion cycles under 25 kPa (Zhang et al., 2016e). Copyright © 2015 Elsevier B.V. All rights reserved.

Cheng et al. (2015) prepared adhesive SH coating on Au-Zn alloy with micro-/nano-binary architectures via thermal treatment that retains its non-wettability after abrasion test with load less than 10 N. Unfortunately, the authors did not mention the WCA and WSA after the scratching test, which is very important. Zhang et al. (2016b) constructed a SHS with micro-papillae pattern via electrodeposition of cerium hexadecanoateon aluminum alloy. The water droplet beads up to spherical shape with WCA more than 150° on the as-received SHS after abrasion for 500 mm in one direction under a pressure of 1.3 kPa on 1000 grit SiC sandpaper.

5 Corrosion mechanism of SHC

The inhomogeneity of the super water-repellant coatings allows air to be trapped easily within the holes between the protrusions of the rough surface. Consequently, the aggressive Cl ions can rarely attack the underlying metal surface owing to the obstructive influence of the trapped gas (Ishizaki et al., 2011; Boinovich et al., 2012; Zhou et al., 2013; Liu et al., 2016c; Zhang et al., 2016d). The structure of the anti-water coatings has been essentially simulated and elementarily to the interface model, see Figure 31. Moreover, capillarity is another important reason that explains why the adapted surface can enhance the corrosion resistance of metals (Liu et al., 2007). The height of the water column within the tube can be calculated by the following equation (Liu et al., 2007):

Figure 31: 
					Schematic diagram of interface models of the bare substrate, the samples with superhydrophilic film and superhydrophobic film in Hank’s solution, and the electrochemical equivalent circuits (Wang et al., 2015a). Copyright © 2014 Elsevier Inc. All rights reserved.
Figure 31:

Schematic diagram of interface models of the bare substrate, the samples with superhydrophilic film and superhydrophobic film in Hank’s solution, and the electrochemical equivalent circuits (Wang et al., 2015a). Copyright © 2014 Elsevier Inc. All rights reserved.

(13) h = 2 γ cos θ p g R

where R is the radius of the cylindrical tube, θ, is the contact angle, γ, is the surface tension, g is the gravity, and p is the density of liquid. The liquid in the capillary descend (h<0) is very obvious when the pore diameter (R) is shorter than 3 μm and contact angle is 158°, as shown by Liu et al. (2007). Thus, saline water can be pushed out from the porous structure and beads up to ball shape on the SHC. On the other hand, Yu and Tian (2014) argued that SHCs are always showing better corrosion protection in comparison with hydrophobic one due to the cavities inside the SHS connected to each other to form sub-channel, permitting the aggressive ions to penetrate through and corrode the metal surface.

Moreover, Table 1 illustrates the relationship between the WCA and WCAH on the corrosion protection efficiency of the SHCs fabricated by different techniques. Some notices that can be withdrawn from this table are listed below:

  1. Applying the same hydrophobic coating on variable substrates showed different corrosion protection efficiencies, as shown by Wang et al. (Zhang et al., 2016d). Therefore, this kind of substrate has a significant influence on the corrosion resistance of SHC.

  2. Spray coating route exhibited high anti-corrosion performance on different kinds of metals.

  3. Unfortunately, many of the authors have used high scan rates during the corrosion investigations using the potentiodynamic measurements. In general, higher scan rates do not allow sufficient time for the system to reach steady-state conditions. In addition, most of the articles ignore measuring the WCA and WCAH after the corrosion tests in order to investigate the SHC stability.

  4. Moreover, most of the authors avoided to mention whether the tested SHCs were exposed to the electrolyte before testing or how many replicates they have run, which is a major point to be considered.

  5. In most of the cases, the high WCA did not necessarily mean high corrosion protection efficiency.

Table 1:

The variation of the WCA and WCAH using variable techniques and their corresponding corrosion protection efficiency based on potentiodynamic polarization measurements.

Technique Kind of substrate Hydrophobic material WCA WCAH Corrosive medium Scan rate (mV s−1) i corr (A·cm−2) i corr of SHS (A·cm−2) Corrosion protection efficiency (PE%) Reference
Sol-gel 080M46 steel Tetraethyl orthosilicate and trimethylethoxysilane 158° NA 3.5 wt% NaCl NA 6.3×10−6 0.7×10−6 88 (Wang et al., 2014)
Al alloy Tetraethyl orthosilicate and vinyltriethoxysilane 155° NA 3.5 wt% NaCl 10 4.08×10−7 2.8×10−9 99 (Liang et al., 2014)
Electrospinning Al alloy Poly(vinylidene fluoride) (PVDF)/ZnO 155° 4.5° 3.5 wt% NaCl 0.167 7.1×10−6 0.09×10−6 99 (Bahgat Radwan et al., 2016)
Etching 1045 steel 1H,1H,2H,2H-perfluorodecyltriethoxysilane (i.e. FAS-17) 160° 3.5 wt% NaCl 1 2.64×10−6 1.8×10−6 30 (Wang et al., 2015b)
Al foil Stearic acid 167° 3.5 wt% NaCl 1 3.1×10−5 6.3×10−8 99.7 (Liu et al., 2013)
Al alloy Stearic acid 154° NA 3.5 wt% NaCl 10 7.26×10−4 5.01×10−5 93 (Feng et al., 2014)
Electrodeposition Cu Dodecanethiol/polydopamine and 1-dodecanethiol 154° NA 3.5 wt% NaCl NA 9.3×10−6 0.0102×10−6 99.8 (Liu et al., 2016a)
Al alloy Myristic acid 162° 3.5 wt% NaCl 1 7.16×10−8 8.76×10−11 99.8 (Zhang et al., 2015a)
Steel (Zn)/polydopamine (pDop)/n-dodecyl mercaptan (NDM) 167° ≤3° NA NA 0.36 0.048 86.6 (Wang et al., 2016d)
AA (Zn)/polydopamine (pDop)/n-dodecyl mercaptan (NDM) 166.5° ≤3° NA NA 0.05 0.0055 89 (Wang et al., 2016d)
Cu (Zn)/polydopamine (pDop)/n-dodecyl mercaptan (NDM) 164° ≤3 NA NA 0.07 0.012 98 (Wang et al., 2016d)
Anodization Al alloy Myristic acid 171.9° 6.2° 3.5 wt% NaCl 10 8.18×10−7 5.735×10−7 92 (Liu et al., 2015)
Al alloy (Heptadecafluoro-1,1,2,2-tetradecyl) triethoxysilane (AC-FAS) 157° 3.5 wt% NaCl 0.5 2.11×10−5 4.18×10−7 98 (Liu et al., 2014)
Cu 1H,1H,2H,2H-Per- fluorodecyltriethoxysilane (FAS-17, 97%) 169° 3.5 wt% NaCl 1 19.58×10−6 0.66×10−6 96 (Xiao et al., 2015)
Hydrothermal AZ31 magnesium alloy Stearic acid 157.6° NA 3.5 wt% NaCl 2 31.72×10−6 1.715×10−6 94.5 (Zhang et al., 2015b)
Mg alloy Stearic acid 155° Hank’s solution 1 4.59×10−6 2.49×10−8 99 (Wang et al., 2015a)
Cu Stearic acid 157° NA 3.5 wt% NaCl 10 51.65×10−6 0.915×10−6 98 (Fan et al., 2014)
Spray coating Al alloy Stearic salts 160° ≤5° 3.5 wt% NaCl 5 2.416×10−6 6.019×10−9 99.5 (Li et al., 2015b)
Al alloy polysulfone (PSU)/Poly(vinylidene fluoride) (PVDF)/montmorillonite (MMT)-PDMS 159° 3.5° 3.5 wt% NaCl NA 1.3×10−7 2.5×10−10 99.8 (Wang et al., 2016a)
Cu polydimethylsiloxane 154° NA 3.5 wt% NaCl 10 4.963×10−6 0.159×10−6 96.7 (Nine et al., 2015)
Carbon steel perfluorodecyltriethoxysilane 170° 1 3.5 wt% NaCl 9 4.79×10−5 2.76×10−7 94.23 (Motlagh et al., 2013)
Cast iron stearic acid and commercial liquid repelling treatment (Rust-Oleums NeverWets) 158° NA 3.5 wt% NaCl 0.116 5.81×10−6 3×10−14 100 (Ramachandran & Nosonovsky, 2015)

6 Conclusion

The precise control of the surface construction has opened new avenues to fabricate SHCs with different morphologies. Many approaches were employed to fabricate such SHCs. Nevertheless, most of the used methods to fabricate such micro/nano structures contain harsh conditions, such as expensive materials, tedious chemical treatments, and complex multi-step processing, which limit their practical applications. In our review, we have sorted out variable scalable and simple strategies to produce SHCs. Fabrication of UV durable anti-water coatings could be achieved through the formation of strong and high bond energy on the coated surface that cannot be broken upon exposure to UV light. The structuration of wetting defects on the SHC/droplet interface resulted in mass transfer of the electrolyte gradients within the porous coating and consequently decreased its robustness after long time of immersion in saline water. Fabrication of mechanical durable SHS can be achieved through avoiding the usage of a hydrophilic bulk material, which prevented the formation of wetting defects on SHS surface. Additionally, use of metallic coating can provide a high anti-wear performance of SHS as it can maintain the morphology and the topography unchanged after the abrasion test. Therefore, the necessity of fabricating mechanically durable SHCs that can bear harsh conditions increases, as it can extend their potential applications in different industries. The increase of the WCA values is not an indication of increase in the corrosion protection. The surface chemistry, as well, plays an important role in corrosion protection of SHC.

About the authors

Ahmed Bahgat Radwan

Ahmed Bahgat Radwan obtained his BS and MSc degrees in inorganic chemistry from Zagazig University, Zagazig, Al-Sharqiya, Egypt, in 2004 and 2013, respectively. Since 2014, he has been working as a research assistant in the Centre for Advanced Materials at Qatar University. His research interests focus on material science and physical chemistry.

Aboubakr M. Abdullah

Aboubakr M. Abdullah has more than 24 years of experience in chemistry and materials science since 1993. During his career, he has published more than 100 peer-reviewed and conference proceedings articles in addition to one patent and one book chapter. He has managed many projects awarded by different funding agencies inside and outside Qatar. Also, Dr. Aboubakr offered many consultations to different local and international companies in corrosion. Furthermore, he has supervised and co-supervised many young professionals at the Master and PhD levels.

Nasser A. Alnuaimi

Nasser A. Alnuaimi, Director of the Center for Advanced Materials since 2016, was awarded his PhD from The University of Arizona in 2004 in civil engineering. Since then, he actively participated in research at Qatar University. He was also the Head of the Civil Engineering Department, Qatar University, between 2006 and 2010. He has co-authored many publications since 2004 in well-reputed journals and conferences. In addition, he has supervised and co-supervised many Master and PhD students.

Acknowledgments

The authors gratefully thank the Center for Advanced Materials at Qatar University for the financial support.

References

Al-Qadhi M, Merah N, Matin A, Abu-Dheir N, Khaled M, Youcef-Toumi K. Preparation of superhydrophobic and self-cleaning polysulfone non-wovens by electrospinning: influence of process parameters on morphology and hydrophobicity. J Polym Res 2015; 22: 207.10.1007/s10965-015-0844-xSearch in Google Scholar

Asmatulu R, Ceylan M, Nuraje N. Study of superhydrophobic electrospun nanocomposite fibers for energy systems. Langmuir 2011; 27: 504–507.10.1021/la103661cSearch in Google Scholar PubMed

Bahgat Radwan A, Mohamed AMA, Abdullaha AM, Al-Maadeed MA. Corrosion protection of electrospun PVDF–ZnO superhydrophobic coating. Surf Coat Technol 2016; 289: 136–143.10.1016/j.surfcoat.2015.12.087Search in Google Scholar

Bhushan B, Jung YC, Koch K. Micro-, nano- and hierarchical structures for superhydrophobicity, self-cleaning and low adhesion. Philosophical Trans Royal Soc A Math Phys Eng Sci 2009; 367: 1631–1672.10.1098/rsta.2009.0014Search in Google Scholar PubMed

Boinovich LB, Gnedenkov SV, AlpysbaevaDA, Egorkin VS, Emelyanenko AM, Sinebryukhov SL, Zaretskaya AK. Corrosion resistance of composite coatings on low-carbon steel containing hydrophobic and superhydrophobic layers in combination with oxide sublayers. Corros Sci 2012; 55: 238–245.10.1016/j.corsci.2011.10.023Search in Google Scholar

Boinovich LB, Emelyanenko AM, Modestov AD, Domantovsky AG, Emelyanenko KA. Synergistic effect of superhydrophobicity and oxidized layers on corrosion resistance of aluminum alloy surface textured by nanosecond laser treatment. ACS Appl Mater Interfaces 2015; 7: 19500–19508.10.1021/acsami.5b06217Search in Google Scholar PubMed

Bormashenko E, Bormashenko Y, Whyman G, Pogreb R, Musin A, Jager R, Barkay Z. Contact angle hysteresis on polymer substrates established with various experimental techniques, its interpretation, and quantitative characterization. Langmuir 2008; 24: 4020–4025.10.1021/la703875bSearch in Google Scholar PubMed

Cassie ABD, Baxter S. Wettability of porous surfaces. Trans Faraday Soc 1944; 40: 546–551.10.1039/tf9444000546Search in Google Scholar

Chen W, Fadeev AY, Hsieh MC, Öner D, Youngblood J, McCarthy TJ. Ultrahydrophobic and ultralyophobic surfaces: some comments and examples. Langmuir 1999; 15: 3395–3399.10.1021/la990074sSearch in Google Scholar

Chen Y, Guo Z, Xu J, Shi L, Li J, Zhang Y. Inspired superhydrophobic surfaces by a double-metal-assisted chemical etching route. Mater Res Bull 2012; 47: 1687–1692.10.1016/j.materresbull.2012.03.049Search in Google Scholar

Chen X, Gong Y, Suo X, Huang Y, Liu Y, Li H. Construction of mechanically durable superhydrophobic surfaces by thermal spray deposition and further surface modification. Appl Surf Sci 2015; 356: 639–644.10.1016/j.apsusc.2015.08.156Search in Google Scholar

Cheng Y, Lu S, Xu W, Wen H, Wang J. Fabrication of superhydrophobic Au-Zn alloy surface on a zinc substrate for roll-down, self-cleaning and anti-corrosion properties. J Mater Chem A 2015; 3: 16774–16784.10.1039/C5TA03979GSearch in Google Scholar

Chidambaram D, Clyton CR, Halada GP. Interactions of the components of chromate conversion coating with the constituents of aluminum alloy AA2024-T3. J Electrochem Soc 2004; 151: B151–B159.10.1149/1.1644602Search in Google Scholar

Choi H-J, Shin J-H, Choo S, Ryu S-W, Kim Y-D, Lee H. Fabrication of superhydrophobic and oleophobic Al surfaces by chemical etching and surface fluorination. Thin Solid Films 2015; 585: 76–80.10.1016/j.tsf.2015.03.046Search in Google Scholar

Decker EL, Frank B, Suo Y, Garoff S. Physics of contact angle measurement. Colloids Surf A Physicochemical Eng Aspects 1999; 156: 177–189.10.1016/S0927-7757(99)00069-2Search in Google Scholar

de Gennes PG. Wetting: statics and dynamics. Rev Mod Phys 1985; 57: 827–863.10.1103/RevModPhys.57.827Search in Google Scholar

de Leon AC, Pernites RB, Advincula RC. Superhydrophobic colloidally textured polythiophene film as superior anticorrosion coating. ACS Appl Mater Interfaces 2012; 4: 3169–3176.10.1021/am300513eSearch in Google Scholar PubMed

Ding B, Ogawaa T, Kim J, Fujimoto K, Shiratori S. Fabrication of a super-hydrophobic nanofibrous zinc oxide film surface by electrospinning. Thin Solid Films 2008; 516: 2495–2501.10.1016/j.tsf.2007.04.086Search in Google Scholar

Ebert D, Bhushan B. Transparent, superhydrophobic, and wear-resistant surfaces using deep reactive ion etching on PDMS substrates. J Colloid Interface Sci 2016; 481: 82–90.10.1016/j.jcis.2016.07.035Search in Google Scholar PubMed

Fan Y, Chen Z, Liang J, Wang Y, Chen H. Preparation of superhydrophobic films on copper substrate for corrosion protection. Surf Coat Technol 2014; 244: 1–8.10.1016/j.surfcoat.2014.01.005Search in Google Scholar

Feng L, Zhang H, Wang Z, Liu Y. Superhydrophobic aluminum alloy surface: fabrication, structure, and corrosion resistance. Colloids Surf A Physicochemical Eng Aspects 2014; 441: 319–325.10.1016/j.colsurfa.2013.09.014Search in Google Scholar

Gao L, McCarthy TJ. How Wenzel and Cassie were wrong. Langmuir 2007; 23: 3762–3765.10.1021/la062634aSearch in Google Scholar PubMed

Gao X, Tong W, Ouyang X, Wang X. Facile fabrication of a superhydrophobic titanium surface with mechanical durability by chemical etching. RSC Adv 2015; 5: 84666–84672.10.1039/C5RA15293CSearch in Google Scholar

Grignard B, Vaillant A, de Coninck J, Piens M, Jonas AM, Detrembleur C, Jerome C. Electrospinning of a functional perfluorinated block copolymer as a powerful route for imparting superhydrophobicity and corrosion resistance to aluminum substrates. Langmuir 2011; 27: 335–342.10.1021/la102808wSearch in Google Scholar PubMed

Han D, Steckl AJ. Superhydrophobic and oleophobic fibers by coaxial electrospinning. Langmuir 2009; 25: 9454–9462.10.1021/la900660vSearch in Google Scholar PubMed

Hardman S, Muhamad-Sarih N, Riggs HJ, Thompson RL, Rigby J, Bergius WNA, Hutchings LR. Electrospinning superhydrophobic fibers using surface segregating end-functionalized polymer additives. Macromolecules 2011; 44: 6461–6470.10.1021/ma200852zSearch in Google Scholar

Hintze PE, Calle LM. Electrochemical properties and corrosion protection of organosilane self-assembled monolayers on aluminum 2024-T3. Electrochim Acta 2006; 51: 1761–1766.10.1016/j.electacta.2005.02.147Search in Google Scholar

Hsu CP, Chang LY, Chiu CW, Lee PT, Lin JJ. Facile Fabrication of robust superhydrophobic epoxy film with polyamine dispersed carbon nanotubes. ACS Appl Mater Interfaces 2013; 5: 538–545.10.1021/am400132pSearch in Google Scholar PubMed

Huang Y, Sarkar DK, Grant Chen X. Superhydrophobic aluminum alloy surfaces prepared by chemical etching process and their corrosion resistance properties. Appl Surf Sci 2015; 356: 1012–1024.10.1016/j.apsusc.2015.08.166Search in Google Scholar

Ishizaki T, Masuda Y, Sakamoto M. Corrosion resistance and durability of superhydrophobic surface formed on magnesium alloy coated with nanostructured cerium oxide film and fluoroalkylsilane molecules in corrosive nacl aqueous solution. Langmuir 2011; 27: 4780–4788.10.1021/la2002783Search in Google Scholar PubMed

Jie H, Xu Q, Wie L, Min Y. Etching and heating treatment combined approach for superhydrophobic surface on brass substrates and the consequent corrosion resistance. Corros Sci 2016; 102: 251–258.10.1016/j.corsci.2015.10.013Search in Google Scholar

Karunakaran RG, Lu CH, Zhang Z, Yang S. Highly transparent superhydrophobic surfaces from the coassembly of nanoparticles (≤100 nm). Langmuir 2011; 27: 4594–4602.10.1021/la104067cSearch in Google Scholar PubMed

Khorsand S, Raeissi K, Ashrafizadeh F, Arenas MA, Conde A. Corrosion behaviour of super-hydrophobic electrodeposited nickel–cobalt alloy film. Appl Surf Sci 2016; 364: 349–357.10.1016/j.apsusc.2015.12.122Search in Google Scholar

Kim SH. Fabrication of superhydrophobic surfaces. J Adhesion Sci Technol 2008; 22: 235–250.10.1163/156856108X305156Search in Google Scholar

Krasovitski B, Marmur A. Drops Down the Hill: theoretical study of limiting contact angles and the hysteresis range on a tilted plate. Langmuir 2005; 21: 3881–3885.10.1021/la0474565Search in Google Scholar PubMed

Latthe SS, Terashima C, Nakata K, Sakaib M, Fujishima A. Development of sol-gel processed semi-transparent and self-cleaning superhydrophobic coatings. J Mater Chem A 2014; 2: 5548–5553.10.1039/C3TA15017HSearch in Google Scholar

Lee J-W, Hwang W. Exploiting the silicon content of aluminum alloys to create a superhydrophobic surface using the sol–gel process. Mater Lett 2016; 168: 83–85.10.1016/j.matlet.2015.12.137Search in Google Scholar

Leng B, Shao Z, de With G, Ming W. Superoleophobic cotton textiles. Langmuir 2009; 25: 2456–2460.10.1021/la8031144Search in Google Scholar PubMed

Li L, Zhang Y, Lei J, He J, Lv R, Li N, Pan F. A facile approach to fabricate superhydrophobic Zn surface and its effect on corrosion resistance. Corros Sci 2014a; 85: 174–182.10.1016/j.corsci.2014.04.011Search in Google Scholar

Li J, Jing Z, Yang Y, Wang Q, Lei Z. From Cassie state to Gecko state: a facile hydrothermal process for the fabrication of superhydrophobic surfaces with controlled sliding angles on zinc substrates. Surf Coat Technol 2014b; 258: 973–978.10.1016/j.surfcoat.2014.07.047Search in Google Scholar

Li L, Huang T, Lei J, He J, Qu L, Huang P, Zhou W, Li N, Pan F. Robust biomimetic-structural superhydrophobic surface on aluminum alloy. ACS Appl Mater Interfaces 2015a; 7: 1449–1457.10.1021/am505582jSearch in Google Scholar PubMed

Li J, Wu R, Jing Z, Yan L, Zha F, Lei Z. One-step spray-coating process for the fabrication of colorful superhydrophobic coatings with excellent corrosion resistance. Langmuir 2015b; 31: 10702–10707.10.1021/acs.langmuir.5b02734Search in Google Scholar PubMed

Liang J, Hu Y, Wu Y, Chen H. Facile formation of superhydrophobic silica-based surface on aluminum substrate with tetraethylorthosilicate and vinyltriethoxysilane as co-precursor and its corrosion resistant performance in corrosive NaCl aqueous solution. Surf Coat Technol 2014; 240: 145–153.10.1016/j.surfcoat.2013.12.028Search in Google Scholar

Lin P-C, Yang S. Mechanically switchable wetting on wrinkled elastomers with dual-scale roughness. Soft Matter 2009; 5: 1011–1018.10.1039/b814145bSearch in Google Scholar

Ling XY, Phang IY, Vancso GJ, Huskens J, Reinhoudt DN. Stable and transparent superhydrophobic nanoparticle films. Langmuir 2009; 25: 3260–3263.10.1021/la8040715Search in Google Scholar PubMed

Liu T, Chen S, Cheng S, Tian J, Chang X, Yin Y. Corrosion behavior of super-hydrophobic surface on copper in seawater. Electrochim Acta 2007; 52: 8003–8007.10.1016/j.electacta.2007.06.072Search in Google Scholar

Liu L, Feng X, Guo M. Eco-Friendly fabrication of superhydrophobic bayerite array on Al foil via an etching and growth process. J Phys Chem C 2013; 117: 25519–25525.10.1021/jp408172vSearch in Google Scholar

Liu C, Su F, Liang J. Facile fabrication of a robust and corrosion resistant superhydrophobic aluminum alloy surface by a novel method. RSC Adv 2014; 4: 55556–55564.10.1039/C4RA09390ASearch in Google Scholar

Liu Y, Liu J, Li S, Wang Y, Han Z, Ren L. One-step method for fabrication of biomimetic superhydrophobic surface on aluminum alloy. Colloids Surf A Physicochemical Eng Aspects 2015; 466: 125–131.10.1016/j.colsurfa.2014.11.017Search in Google Scholar

Liu Y, Cao H, Chen Y, Chen S, Wang D. Self-assembled super-hydrophobic multilayer films with corrosion resistance on copper substrate. RSC Adv 2016a; 6: 2379–2386.10.1039/C5RA24008ESearch in Google Scholar

Liu Z, Wang H, Wang E, Zhang X, Yuan R, Zhu Y. Superhydrophobic poly(vinylidene fluoride) membranes with controllable structure and tunable wettability prepared by one-step electrospinning. Polymer 2016b; 82: 105–113.10.1016/j.polymer.2015.11.045Search in Google Scholar

Liu W, Xu Q, Han J, Chen X, Min Y. A novel combination approach for the preparation of superhydrophobic surface on copper and the consequent corrosion resistance. Corros Sci 2016c; 110: 105–113.10.1016/j.corsci.2016.04.015Search in Google Scholar

Liu Y, Yao W, Wang G, Wang W, Moita AS, Han Z, Ren L. Reversibly switchable wettability on aluminum alloy substrate corresponding to different pH droplet and its corrosion resistance. Chem Eng J 2016d; 303: 565–574.10.1016/j.cej.2016.06.038Search in Google Scholar

Liu Y, Li S, Wang Y, Wang H, Gao K, Han Z, Ren L. Superhydrophobic and superoleophobic surface by electrodeposition on magnesium alloy substrate: wettability and corrosion inhibition. J Colloid Interface Sci 2016e; 478: 164–171.10.1016/j.jcis.2016.06.006Search in Google Scholar PubMed

Liu C-J, Feng X-Y, Li N, Luo C-W, Chao Z-S. Super-hydrophobic Co3O4-loaded nickel foam with corrosion-resistant property prepared by combination of hydrothermal synthesis and PFAS modification. Surf Coat Technol 2017; 309: 1111–1118.10.1016/j.surfcoat.2016.06.056Search in Google Scholar

Mahadik SA, Mahadik DB, Kavale MS, Parale VG, Wagh PB, Barshilia HC, Gupta SC, Hegde ND, Rao AV. Thermally stable and transparent superhydrophobic sol–gel coatings by spray method. J Sol-Gel Sci Technol 2012; 63: 580–586.10.1007/s10971-012-2798-3Search in Google Scholar

Ming B, Li J, Kang F, Pang G, Zhang Y, Chen L, Xu J, Wang X. Microwave–hydrothermal synthesis of birnessite-type MnO2 nanospheres as supercapacitor electrode materials. J Power Sources 2012; 198: 428–431.10.1016/j.jpowsour.2011.10.003Search in Google Scholar

Motlagh NV, Sargolzaei J, Shahtahmassebi N. Super-liquid-repellent coating on the carbon steel surface. Surf Coat Technol 2013; 235: 241–249.10.1016/j.surfcoat.2013.07.039Search in Google Scholar

Myint MTZ, Hornyak GL, Dutta J. One pot synthesis of opposing ‘rose petal’ and ‘lotus leaf’ superhydrophobic materials with zinc oxide nanorods. J Colloid Interface Sci 2014; 415: 32–38.10.1016/j.jcis.2013.10.015Search in Google Scholar PubMed

Nine MJ, Cole MA, Johnson L, Tran DN, Losic D. Robust superhydrophobic graphene-based composite coatings with self-cleaning and corrosion barrier properties. ACS Appl Mater Interfaces 2015; 7: 28482–28493.10.1021/acsami.5b09611Search in Google Scholar PubMed

Nosonovsky M, Bhushan B. Roughness-induced superhydrophobicity: a way to design non-adhesive surfaces. J Phys Condensed Matter 2008; 20: 225009.10.1088/0953-8984/20/22/225009Search in Google Scholar

Nosonovsky M, Bhushan B. Superhydrophobic surfaces and emerging applications: non-adhesion, energy, green engineering. Curr Opin Colloid Interface Sci 2009; 14: 270–280.10.1016/j.cocis.2009.05.004Search in Google Scholar

Qian Z, Zhang Z, Song L, Liu H. A novel approach to raspberry-like particles for superhydrophobic materials. J Mater Chem 2009; 19: 1297–1304.10.1039/b810808kSearch in Google Scholar

Qing Y, Yang C, Yu N, Shang Y, Sun Y, Wang L, Liu C. Superhydrophobic TiO2/polyvinylidene fluoride composite surface with reversible wettability switching and corrosion resistance. Chem Eng J 2016; 290: 37–44.10.1016/j.cej.2016.01.013Search in Google Scholar

Quéré D. Non-sticking drops. Rep Prog Phys 2005; 68: 2495.10.1088/0034-4885/68/11/R01Search in Google Scholar

Ramachandran R, Nosonovsky M. Coupling of surface energy with electric potential makes superhydrophobic surfaces corrosion-resistant. Phys Chem Chem Phys 2015; 17: 24988–24997.10.1039/C5CP04462FSearch in Google Scholar

Rezayi T, Entezari MH. Toward a durable superhydrophobic aluminum surface by etching and ZnO nanoparticle deposition. J Colloid Interface Sci 2016; 463: 37–45.10.1016/j.jcis.2015.10.029Search in Google Scholar PubMed

Shen GX, Chen YC, Lin CJ. Corrosion protection of 316 L stainless steel by a TiO2 nanoparticle coating prepared by sol-gel method. Thin Solid Films 2005; 489: 130–136.10.1016/j.tsf.2005.05.016Search in Google Scholar

Shi Y, Xiao X, Zhang W. Facile fabrication of superhydrophobic surface with needle-like microflower structure on aluminum substrate. J Coat Technol Res 2015; 12: 1143–1151.10.1007/s11998-015-9687-ySearch in Google Scholar

Shirtcliffe NJ, McHale G, Newton MI, Perry CC. Wetting and wetting transitions on copper-based super-hydrophobic surfaces. Langmuir 2005; 21: 937–943.10.1021/la048630sSearch in Google Scholar PubMed

Simovich T, Xu AH, Lamb RN. Hierarchically rough, mechanically durable and superhydrophobic epoxy coatings through rapid evaporation spray method. Thin Solid Films 2015; 589: 472–478.10.1016/j.tsf.2015.05.065Search in Google Scholar

Standard Test Method for Film Hardness by Pencil Test D3363, ASTM International, West Conshohocken. West Conshohocken, PA, 2005.Search in Google Scholar

Strobel M, Lyons CS. An essay on contact angle measurements. Plasma Proc Polym 2011; 8: 8–13.10.1002/ppap.201000041Search in Google Scholar

Tang M-K, Huang X-J, Yu J-G, Li X-W, Zhang Q-X. Simple fabrication of large-area corrosion resistant superhydrophobic surface with high mechanical strength property on TiAl-based composite. J Mater Proc Technol 2017; 239: 178–186.10.1016/j.jmatprotec.2016.08.024Search in Google Scholar

Vedantam S, Panchagnula MV. Phase field modeling of hysteresis in sessile drops. Phys Rev Lett 2007; 99: 176102.10.1103/PhysRevLett.99.176102Search in Google Scholar PubMed

Wang N, Xiong D. Superhydrophobic membranes on metal substrate and their corrosion protection in different corrosive media. Appl Surf Sci 2014; 305: 603–608.10.1016/j.apsusc.2014.03.142Search in Google Scholar

Wang S, Li Y, Fei X, Sun M, Zhang C, Li Y, Yang Q, Hong X. Preparation of a durable superhydrophobic membrane by electrospinning poly (vinylidene fluoride) (PVDF) mixed with epoxy–siloxane modified SiO2 nanoparticles: a possible route to superhydrophobic surfaces with low water sliding angle and high water contact angle. J Colloid Interface Sci 2011; 359: 380–388.10.1016/j.jcis.2011.04.004Search in Google Scholar PubMed

Wang S, Guo X, Xie Y, Liu L, Yang H, Zhu R, Gong J, Peng L, Ding W. Preparation of superhydrophobic silica film on Mg–Nd–Zn–Zr magnesium alloy with enhanced corrosion resistance by combining micro-arc oxidation and sol–gel method. Surf Coat Technol 2012; 213: 192–201.10.1016/j.surfcoat.2012.10.046Search in Google Scholar

Wang Z, Gong J, MA J, Xu J. In situ growth of hierarchical boehmite on 2024 aluminum alloy surface as superhydrophobic materials. RSC Adv 2014; 4: 14708–14714.10.1039/C4RA00160ESearch in Google Scholar

Wang Z, Su Y, Li Q, Liu Y, She Z, Chen F, Lia L, Zhang X, Zhang P. Researching a highly anti-corrosion superhydrophobic film fabricated on AZ91D magnesium alloy and its anti-bacteria adhesion effect. Mater Charact 2015a; 99: 200–209.10.1016/j.matchar.2014.12.004Search in Google Scholar

Wang N, Xiong D, Deng Y, Shi Y, Wang K. Mechanically robust superhydrophobic steel surface with anti-icing, uv-durability, and corrosion resistance properties. ACS Appl Mater Interfaces 2015b; 7: 6260–6272.10.1021/acsami.5b00558Search in Google Scholar PubMed

Wang H, Zhang X, Liu Z, Zhu Y, Wu S, Zhu Y. A superrobust superhydrophobic PSU composite coating with self-cleaning properties, wear resistance and corrosion resistance. RSC Adv 2016a; 6: 10930–10937.10.1039/C5RA22396BSearch in Google Scholar

Wang G, Zeng Z, Chen J, Xu M, Zhu J, Liu S, Ren T, Xue Q. Ultra low water adhesive metal surface for enhanced corrosion protection. RSC Adv 2016b; 6: 40641–40649.10.1039/C6RA03875ASearch in Google Scholar

Wang P, Zhang D, Lu Z, Sun S. Fabrication of slippery lubricant-infused porous surface for inhibition of microbially influenced corrosion. ACS Appl Mater Interfaces 2016c; 8: 1120–1127.10.1021/acsami.5b08452Search in Google Scholar PubMed

Wang H, Zhu Y, Hu Z, Zhang Z, Wu S, Wang R, Zhu Y. A novel electrodeposition route for fabrication of the superhydrophobic surface with unique self-cleaning, mechanical abrasion and corrosion resistance properties. Chem Eng J 2016d; 303: 37–47.10.1016/j.cej.2016.05.133Search in Google Scholar

Weng C-J, Chang C-H, Peng C-W, Chen S-W, Yeh J-M, Hsu C-L, Wei Y. Advanced anticorrosive coatings prepared from the mimicked Xanthosoma Sagittifolium-leaf-like electroactive epoxy with synergistic effects of superhydrophobicity and redox catalytic capability. Chem Mater 2011; 23: 2075–2083.10.1021/cm1030377Search in Google Scholar

Wenzel RN. Resistance of solid surfaces to wetting by water. Ind Eng Chem 1936; 28: 988–994.10.1021/ie50320a024Search in Google Scholar

Wu Z, Zhang C. Analysis of anti-condensation mechanism on superhydrophobic anodic aluminum oxide surface. Appl Thermal Eng 2013; 58: 664–669.10.1016/j.applthermaleng.2013.01.048Search in Google Scholar

Xiao F, Yuan S, Liang B, Li G, Pehkonen SO, Zhang T. Superhydrophobic CuO nanoneedle-covered copper surfaces for anticorrosion. J Mater Chem A 2015; 3: 4374–4388.10.1039/C4TA05730ASearch in Google Scholar

Xie L, Tang Z, Jiang L, Breedveld V, Hess DW. Creation of superhydrophobic wood surfaces by plasma etching and thin-film deposition. Surf Coat Technol 2015; 281: 125–132.10.1016/j.surfcoat.2015.09.052Search in Google Scholar

Xu N, Sarkar DK, Chen X-G, Tong WP. Corrosion performance of superhydrophobic nickel stearate/nickel hydroxide thin films on aluminum alloy by a simple one-step electrodeposition process. Surf Coat Technol 2016; 302: 173–184.10.1016/j.surfcoat.2016.05.050Search in Google Scholar

Yao L, Zheng M, Li C, Ma L, Shen W. Facile synthesis of superhydrophobic surface of ZnO nanoflakes: chemical coating and UV-induced wettability conversion. Nanoscale Res Lett 2012; 7: 216.10.1186/1556-276X-7-216Search in Google Scholar PubMed PubMed Central

Youngblood JP, McCarthy TJ. Ultrahydrophobic polymer surfaces prepared by simultaneous ablation of polypropylene and sputtering of poly(tetrafluoroethylene) using radio frequency plasma. Macromolecules 1999; 32: 6800–6806.10.1021/ma9903456Search in Google Scholar

Yousif E, Haddad R. Photodegradation and photostabilization of polymers, especially polystyrene: review. SpringerPlus 2013; 2: 398.10.1186/2193-1801-2-398Search in Google Scholar PubMed PubMed Central

Yu D, Tian J. Superhydrophobicity: is it really better than hydrophobicity on anti-corrosion? Colloids Surf A Physicochemical Eng Aspects 2014; 445: 75–78.10.1016/j.colsurfa.2014.01.016Search in Google Scholar

Yu S, Guo Z. Superhydrophobic surfaces based on polypyrrole with corrosion resistance and the separation of oil/water mixture properties. RSC Adv 2015; 5: 107880–107888.10.1039/C5RA19632ASearch in Google Scholar

Zhang P, Lv FY. A review of the recent advances in superhydrophobic surfaces and the emerging energy-related applications. Energy 2015; 82: 1068–1087.10.1016/j.energy.2015.01.061Search in Google Scholar

Zhang X, Zheng F, Ye L, Xiong P, Yan L, Yang W, Jiang B. A one-pot sol-gel process to prepare a superhydrophobic and environment-resistant thin film from ORMOSIL nanoparticles. RSC Adv 2014; 4: 9838–9841.10.1039/c3ra47185cSearch in Google Scholar

Zhang B, Li Y, Hou B. One-step electrodeposition fabrication of a superhydrophobic surface on an aluminum substrate with enhanced self-cleaning and anticorrosion properties. RSC Adv 2015a; 5: 100000–100010.10.1039/C5RA21525KSearch in Google Scholar

Zhang F, Zhang C, Song L, Zeng R, Li S, Cui H. Fabrication of the superhydrophobic surface on magnesium alloy and its corrosion resistance. J Mater Sci Technol 2015b; 31: 1139–1143.10.1016/j.jmst.2015.09.003Search in Google Scholar

Zhang X-F, Chen R-J, Liu Y-H, Hu J-M. Electrochemically generated sol-gel films as inhibitor containers of superhydrophobic surfaces for the active corrosion protection of metals. J Mater Chem A 2016a; 4: 649–656.10.1039/C5TA07443FSearch in Google Scholar

Zhang B, Zhao X, Li Y, Hou B. Fabrication of durable anticorrosion superhydrophobic surfaces on aluminum substrates via a facile one-step electrodeposition approach. RSC Adv 2016b; 6: 35455–35465.10.1039/C6RA05484FSearch in Google Scholar

Zhang B, Li J, Zhao X, Hu X, Yang L, Wang L, Li L, Hou B. Biomimetic one step fabrication of manganese stearate superhydrophobic surface as an efficient barrier against marine corrosion and Chlorella vulgaris-induced biofouling. Chem Eng J 2016c; 306: 441–451.10.1016/j.cej.2016.07.062Search in Google Scholar

Zhang B, Feng H, Lin F, Wang Y, Wang L, Dong Y, Li W. Superhydrophobic surface fabricated on iron substrate by black chromium electrodeposition and its corrosion resistance property. Appl Surf Sci 2016d; 378: 388–396.10.1016/j.apsusc.2016.04.004Search in Google Scholar

Zhang Z, Ge B, Men X, Li Y. Mechanically durable, superhydrophobic coatings prepared by dual-layer method for anti-corrosion and self-cleaning. Colloids Surf A Physicochemical Eng Aspects 2016e; 490: 182–188.10.1016/j.colsurfa.2015.11.049Search in Google Scholar

Zhao J, Frankel G, McCreery RL. Corrosion protection of untreated AA-2024-T3 in chloride solution by a chromate conversion coating monitored with raman spectroscopy. J Electrochem Soc 1998; 145: 2258–2264.10.1149/1.1838630Search in Google Scholar

Zheng SX, Li J. Inorganic–organic sol gel hybrid coatings for corrosion protection of metals. J Sol-Gel Sci Technol 2010; 54: 174–187.10.1007/s10971-010-2173-1Search in Google Scholar

Zhilei C, Maobing S, lida W. Cathodic etching for fabrication of super-hydrophobic aluminum coating with micro/nano-hierarchical structure. J Solid State Electrochem 2013; 17: 2661–2669.10.1007/s10008-013-2141-0Search in Google Scholar

Zhou C, Lu X, Xin Z, Liu J. Corrosion resistance of novel silane-functional polybenzoxazine coating on steel. Corros Sci 2013; 70: 145–151.10.1016/j.corsci.2013.01.023Search in Google Scholar

Zhou M, Pang X, Wei L, Gao K. Insitu grown superhydrophobic Zn–Al layered double hydroxides films on magnesium alloy to improve corrosion properties. Appl Surf Sci 2015; 337: 172–177.10.1016/j.apsusc.2015.02.086Search in Google Scholar

Zhu M, Zuo W, Yu H, Yang W, Chen Y. Superhydrophobic surface directly created by electrospinning based on hydrophilic material. J Mater Sci 2006; 41: 3793–3797.10.1007/s10853-005-5910-zSearch in Google Scholar

Received: 2017-01-26
Accepted: 2017-03-24
Published Online: 2017-06-28
Published in Print: 2018-04-25

©2018 Walter de Gruyter GmbH, Berlin/Boston

Downloaded on 18.10.2025 from https://www.degruyterbrill.com/document/doi/10.1515/corrrev-2017-0012/html
Scroll to top button