Abstract
Background:
Pneumatic tube system (PTS) is a widely used method of transporting blood samples in hospitals. The aim of this study was to evaluate the effects of the PTS transport in certain routine laboratory parameters as it has been implicated with hemolysis.
Methods:
A systematic review and a meta-analysis were conducted. PubMed and Scopus databases were searched (up until November 2016) to identify prospective studies evaluating the impact of PTS transport in hematological, biochemical and coagulation measurements. The random-effects model was used in the meta-analysis utilizing the mean difference (MD). Heterogeneity was quantitatively assessed using the Cohran’s Q and the I2 index. Subgroup analysis, meta-regression analysis, sensitivity analysis, cumulative meta-analysis and assessment of publication bias were performed for all outcomes.
Results:
From a total of 282 studies identified by the searching procedure, 24 were finally included in the meta-analysis. The meta-analysis yielded statistically significant results for potassium (K) [MD=0.04 mmol/L; 95% confidence interval (CI)=0.015–0.065; p=0.002], lactate dehydrogenase (LDH) (MD=10.343 U/L; 95% CI=6.132–14.554; p<10−4) and aspartate aminotransferase (AST) (MD=1.023 IU/L; 95% CI=0.344–1.702; p=0.003). Subgroup analysis and random-effects meta-regression analysis according to the speed and distance of the samples traveled via the PTS revealed that there is relation between the rate and the distance of PTS with the measurements of K, LDH, white blood cells and red blood cells.
Conclusions:
This meta-analysis suggests that PTS may be associated with alterations in K, LDH and AST measurements. Although these findings may not have any significant clinical effect on laboratory results, it is wise that each hospital validates their PTS.
Introduction
Hospital pneumatic tube systems (PTSs) are becoming frequently used method of transport in hospitals. PTSs are rapid automated delivery systems that can efficiently transport drugs, medical and patient’s reports, X-ray films, tissue samples and blood specimens to and from laboratories, pharmacies, nurse’s stations, blood banks and the emergency department [1]. However, the transport of blood samples from the phlebotomy site to the core laboratory still remains the most common use of PTS. PTS has the advantage of eliminating wait times and reducing manual labor. In particular, it reduces laboratory turnaround time, which is the total time taken between the blood collection and the return of the completed report of final analytical results to the doctor or the clinic [2]. In addition, the hospital staff is freed from the pressure of work as there is no need of courier transport and can be focused on patient-care activities, improving in this way the service quality of the hospitals. However, the transported samples, depending on the system configuration and the speed, are subject to forces of pressure such as such as sudden accelerations/decelerations, high speeds, changes in air pressure generated by the vacuum system, movement of blood in test tubes and vibrations. These forces can potentially lead to a very common error in the preanalytical phase of the testing process known as hemolysis.
Hemolysis designates the release of hemoglobin and other intracellular components from erythrocytes to the surrounding plasma following damage or disruption of the cell membrane [3]. In vitro hemolysis, caused by PTS, has been reported to alter the blood specimen’s quality and potentially affects clinical laboratory measurements such as biochemical, most notably potassium (K), lactate dehydrogenase (LDH) [4], hematology and coagulation parameters. Moreover, these strong forces can potentially affect blood gas measurements [5] and spectrophotometric analysis of cerebrospinal fluid [6]. Most recently, the transportation of blood samples through the PTS has been shown to affect in vitro platelet function [7].
Many studies have been performed on the effect of pneumatic tube transport system on blood specimens in order to determine its association to hemolysis. However, conflicting outcomes did not result in any firm conclusion; thus, the effect of PTS on blood samples is still debated. Therefore, in order to resolve this uncertainty, a comprehensive quantitative synthesis of the published literature is needed. The aim of this systematic review and meta-analysis is to evaluate the effect of PTS transport on routine laboratory samples such as hematological, biochemical and coagulations’ parameters and to give a firmer estimate on the relation of hemolysis and pneumatic tube transportation. The analysis was conducted by comparing the results measured when the sample was transported manually to the core laboratory, to those obtained when the paired samples were transported via the PTS.
Materials and methods
Search strategy
The methods used were in accordance with the preferred reporting items for systematic reviews and meta-analyses (PRISMA) guidelines [8]. A systematic electronic search of MEDLINE and SCOPUS bibliographical databases was performed, without language restrictions, up to November 2016 using the following search terms: “Pneumatic tube system” OR “Pneumatic tube transport” OR “Pneumatic tube transportation” OR “Pneumatic tube transport systems” OR “Pneumatic tube delivery system”. We also performed manual check of the reference list of included papers and related reviews to complement our electronic search as well as e-mail correspondences with authors for additional data, where relevant.
Study selection and data extraction
The outcome of interest was changes to laboratory measurements subsequent to transportation of blood samples via the PTS. Studies that prospectively evaluated the effect of PTS transport on routine laboratory measurements, including hematology, biochemical and coagulations parameters, by comparing the results of hand delivered samples and samples transported via the PTS, were included for meta-analysis. The inclusion and exclusion criteria applied during selection of eligible studies and data extraction were as follow: (i) the blood sample collection had to be performed from a single venipucture. Studies were excluded if stated otherwise, (ii) in order to minimize the sources of variation, the present meta-analysis focused on paired samples that were processed and analyzed at the same time. Studies that evaluated the PTS in different periods or extracted data from the laboratory information system were excluded, (iii) studies that were performed with blood samples collected in primary tubes and not separated in aliquots were only included and (iv) studies that did not provide mean (or median) serum or plasma concentrations of our interested outcomes, and no other estimate that could be used, were excluded from meta-analysis.
Two reviewers worked independently, searching the literature, reviewing full manuscripts of eligible studies and extracting data into an electronic database. These data included first author’s name, publication year, country where the study was conducted, number of subjects, characteristic of the participants (healthy or patients) and the distance and the speed of the PTS. For the hematological parameters, the hematology analyzer was also recorded (Table 1). Any disagreement was resolved by discussion and consensus with a third reviewer.
Characteristics of the 24 studies included in systematic review and meta-analysis.
| First author | Year | Country | No. of participants | Population | Distance, m | Speed, min/s | Variables provided |
|---|---|---|---|---|---|---|---|
| McClellan [9] | 1964 | USA | 18 | Patines | 8.0 | K, LDH | |
| Delbruck [10] | 1968 | Germany | 21a | Healthy | 600 | 3.0 | WBC, RBC, PLT, K, LDH, AST |
| Steige H [11] | 1971 | USA | 30 | Both | 1423 | 9.75 | K, LDH |
| 24 | 711.5 | ||||||
| Pragay [12] | 1974 | USA | 20 | Healthy | 636 | 6.1 | |
| Nosanchuk [13] | 1977 | USA | 20 | Both | 311 | 13.7 | LDH, AST |
| 20 | 7.62 | aPTT | |||||
| Weaver [14] | 1978 | USA | 124a | Healthy | 253 | 7.6 | WBC, RBC, HGB, HCT, PT, aPTT |
| Poznanski [15] | 1978 | Canada | 35 | Patients | 485 | 3.6 | K, LDH |
| 56 | 67 | 5.6 | |||||
| Pragay [16] | 1980 | USA | 20 | Patients | 280 | 8.0 | K, LDH |
| 12 | 230 | ||||||
| Keshgegian [17] | 1992 | USA | 50a | Healthy | 74.7 | 7.6 | WBC, RBC, HGB, HCT, MCV, MCH, MCHC, RDW, PLT |
| 11 | Neonatal | 42.6 | |||||
| Zanner [18] | 2006 | Germany | 54 | Patients | 4.0 | HGB, HCT, K | |
| Cui [19] | 2006 | China | 18 | Healthy | 450 | 60 | K, LDH |
| Kratz [20] | 2007 | USA | 33 | Healthy | 305 | 7.6 | WBC, RBC, HGB, HCT, MCV, MCH, MCHC, RDW, PLT, MPV, NEUT, LYM, EOS, BASO, MONO, PT, aPTT, ESR |
| Wallin [21] | 2008 | Sweden | 28 | Healthy | 500 | 6.0 | WBC, RBC, HGB, HCT, MCV, MCH, MCHC, RDW, PLT, MPV, NEUT, LYM, EOS, BASO, MONO, Retic, aPTT |
| Koessler [22] | 2011 | Germany | 33 | Healthy | WBC, RBC, HGB, HCT, MCV, MCH, MCHC, PLT, NEUT, LYM, EOS, BASO, MONO, aPTT | ||
| Tiwari [23] | 2011 | India | 52 | Healthy | 115 | 2.0 | K, LDH |
| Evliyaoglu [24] | 2012 | Turkey | 40 | Healthy | 500 | 3.1 | WBC, RBC, HGB, PT, aPTT |
| Sari [25] | 2012 | Turkey | 26 | Healthy | 50 | WBC, RBC, HGB, HCT, MCV, MCH, MCHC, RDW, PLT, MPV, NEUT, LYM, EOS, BASO, MONO | |
| Lima-Oliveira [26] | 2013 | Italy | 50 | Healthy | 3.0 | WBC, RBC, HGB, HCT, MCV, RDW, PLT, MPV, NEUT, LYM, EOS, BASO, MONO, Retic, ESR | |
| Al-Riyami [27] | 2013 | Oman | 59 | Healthy | 447 | 3.0 | WBC, RBC, HGB, HCT, MCV, MCHC, RDW, PLT, NEUT, LYM, EOS, BASO, MONO, Retic |
| 56 | Patients | ||||||
| Kocak [28] | 2013 | Turkey | 45 | Healthy | 6.0 | WBC, RBC, HGB, HCT, MCV, MCH, MCHC, PLT, MPV, PT, aPTT, ESR | |
| Toth [29] | 2014 | Hungary | 9 | Healthy | 3.0 | K, LDH | |
| Boss [30] | 2015 | Holland | 20 | Healthy | 250 | 4.0 | PLT, PT, aPTT |
| 9 | Patients | ||||||
| Kapoula [31] | 2015 | Greece | 100 | Both | 6.0 | K, LDH, AST | |
| Koroglu [32] | 2016 | Turkey | 58 | Patients | 185 | 6.0 | WBC, RBC, HGB, HCT, MCV, MCH, MCHC, PLT, MPV |
WBC, white blood cells; RBC, red blood cells; HGB, hemoglobin; HCT, hematocrit; MCV, mean corpuscular volume; MCH, mean corpuscular hemoglobin; MCHC, mean corpuscular hemoglobin concentration; RDW, red cell distribution width; PLT, platelets; MPV, mean platelet volume; NEU, neutrophils; LYM, lymphocytes; EOS, eosinophils; BASO, basophils; MONO, monocytes; Retic, reticulocytes; K, potassium; LDH, lactate dehydrogenase; AST, aspartate aminotransferase; PT, prothrombin time; aPTT, partial thromboplastin time; ESR, erythrocyte sedimentation rate. aNo. of participants represents the maximum number of paired samples used in each study. For some parameters analyzed, the number of paired samples may be less than what is recorded here.
Statistical analysis
The mean difference (MD) weighted by its standard error (SE) was used as the effect size for the continuous data meta-analysis, along with the 95% CIs, to evaluate the effect of PTS on laboratory measurements. The mean and the standard error of the mean were calculated for both the manual and PTS transport. MD was calculated as follows:
where
For n>25, the median itself was used, as it is considered to be better estimator of the mean. Concerning the SD, for small sample sizes (n<15), we used the formula
For data sets of medium size (15<n<70), we used the formula
whereas for larger data sets (n>70), we used the same formula but with 6 in the denominator (R/6), as previously advised [33].
If the outcome measures were reported as median (M) and interquartile range (IQR), mean and SD values were estimated according to the recommendations of the Cochrane Handbook [34]. In that case, the median was used as an estimator of the mean, whereas the SD was calculated using
In case the standard error of the difference was not reported, it was calculated using SE=SD/√n, where SD is the standard deviation of the difference and n is the number of paired samples. The standard deviation of the difference was estimated according to the recommendations of the Cochrane Handbook using the formula for the calculation of the standard deviation when comparing dependent (paired) samples [35]:
Based on the data given in each study, standard deviation of the difference could also be calculated using
In case the t statistic was not given, it was calculated from the p-values reported in the studies, obtained from Student’s t-test (two tailed) or from the Wilcoxon signed-rank test. Exceptionally, if SD was not reported in a measurement, it was imputed using the largest SD reported for the same measure and the same population, i.e. healthy or patients. Both Spearman and Pearson correlation coefficients were used for this task. If correlation coefficient was not reported as an outcome measure, it was estimated using Eq. (6). Finally, if the standard deviation of the difference could not be calculated from any of the above statistical tests mentioned, a meta-analysis of correlation coefficients [36] was conducted and the overall correlation coefficient was used to estimate the SD of the difference, using Eq (6).
For the quantification of data synthesis, a meta-analysis was performed using the random-effects model proposed by DerSimonian and Laird [37]. Heterogeneity among studies was assessed using Cochrane’s Q and I2 tests [38]. Subgroup analyses were performed as a mean of investigating heterogeneous results, based on (i) the type of participants (healthy vs. patients), (ii) the different hematology analyzers, where the samples were tested, (iii) the speed of the PTS for each study and (iv) the distance traveled by the PTS samples. Meta-regression analysis was further used to determine the influence of potential effect modifiers (speed and distance of PTS) [39]. Sensitivity analysis was conducted by removing one study each time and repeating the analysis, in order to investigate the influence of each study on the overall effect size. Cumulative meta-analysis was also performed in order toinvestigate whether the summary effect size changed considerably over time as more data accumulated, by visual inspection of cumulative plot. Possible publication bias was examined using the visual inspection of funnel plot asymmetry, as well as the rank correlation method of Begg [7], the Egger’s [40] regression method and it’s random-effects analogue [41]. The statistical analyses were performed with the statistical software package STATA 13.1. Results were considered statistically significant for p<0.05.
Results
Studies identified
A total of 287 publications were identified through the search criteria of which 185 remained after removal of duplicates. After a screen on title and abstract, a total of 29 articles remained for further evaluation, five of which were excluded as they did not meet the inclusion criteria. More specific, four studies were excluded from the meta-analysis because of the fact that they studied independent samples, that is, different group of people in different period of time, and one study was excluded as blood samples were not obtained from single venipucture but rather from both hands. As a result, 24 studies met the inclusion criteria and were included in the meta-analysis (see Figure 1).

PRISMA flow chart for the studies selection.
Characteristics of the included studies
The descriptive and quality data of the included studies are summarized in Table 1. From the 24 eligible studies, 14 investigated the 16 hematological parameters, with a total number of 691 participants. Eighteen studies analyzed measured biochemical parameters such as K with a total of 788 paired samples, LDH with a total of 919 paired samples and aspartate aminotransferase (AST) with a total number of 439 participants. Among the eight studies that examined coagulation parameters, five articles included prothrombin time measurements and eight partial thromboplastin time measurements. Finally, three studies examined the erythrocyte sedimentation rate. Of note, two studies with hematological measurements reported data for two independent populations (i.e. groups of healthy individuals and patients), whereas four studies with biochemical measurements reported data for two independent populations measured under different distance or speed of the PTS. Because the individuals in these populations were different, the estimates are statistically independent, and thus they were treated as different studies in the meta-analysis.
Data synthesis-meta-analysis
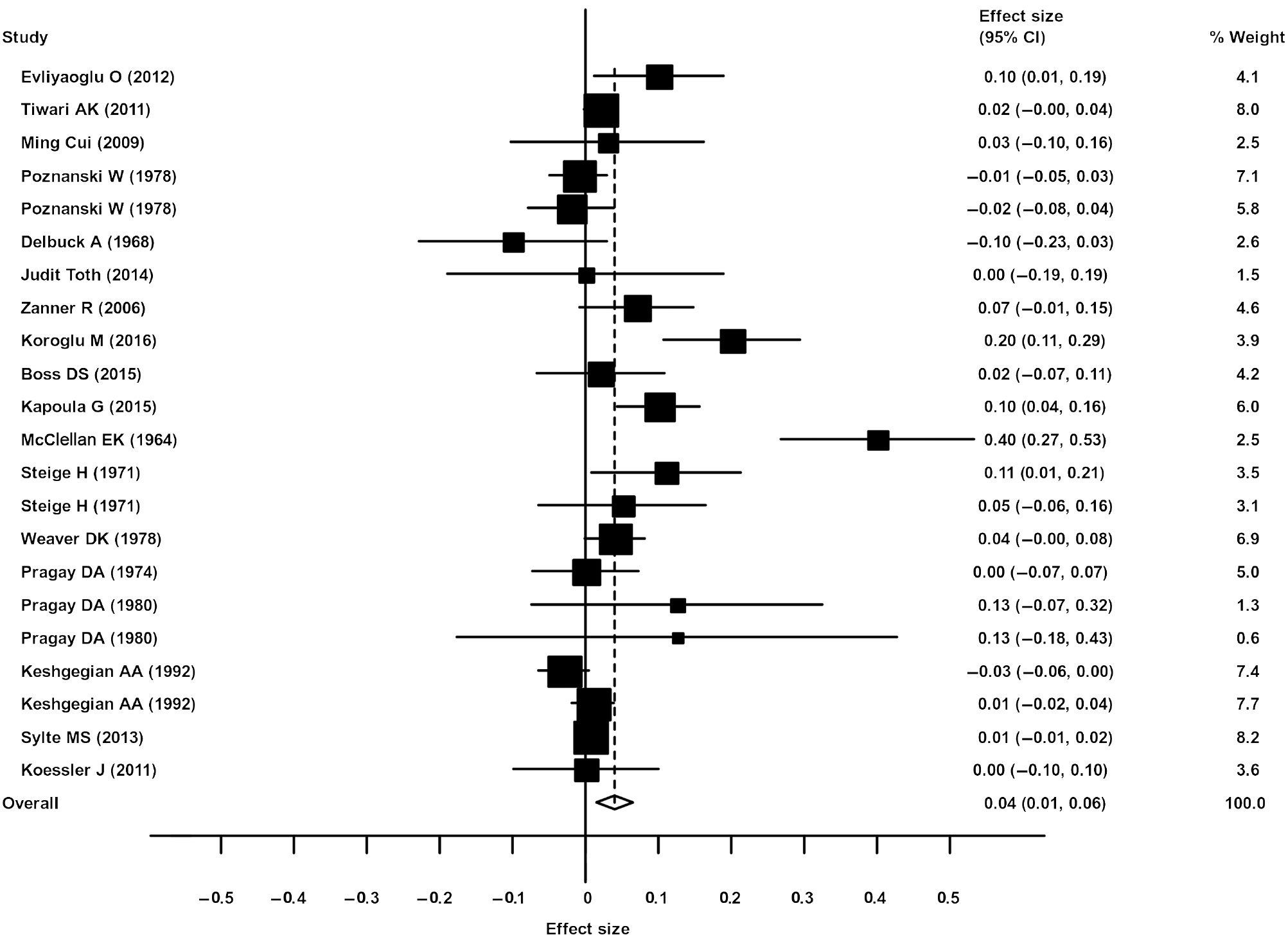
No statistically significant differences between the PTS samples and the hand-carried samples were observed in complete blood cell counts (CBC) and reticulocytes (Retic) (p-values from 0.122 to 0.951). Similarly, no statistically significant difference was found between the manual and the pneumatic tube transport system for the coagulation parameters and the ESR. However, a statistically significant difference between the two delivery methods was found for the biochemical parameters K, LDH and AST. Analytically, the overall meta-analysis results yielded MD values of 0.04 mmol/L for K (95% CI=0.015–0.065; p=0.002), 10.343 U/L for LDH (95% CI=6.132–14.554; p<10−4) and 1.023 IU/L for AST (95% CI=0.344–1.702; p=0.003). For the majority of the parameters used in the meta-analysis, the between-study heterogeneity was high with I2>75%. Table 2 provides information about the pooled effect sizes with 95% confidence intervals of the 21 variables studied along with the number of studies and subjects involved for each parameter, the p-value of each meta-analysis, the I2 and p-value of heterogeneity tests and the presence or not of publication bias and time trend. It should be noted, that other biochemical parameters were not included in the meta-analysis, as the studies did not provide adequate data in order to calculate the effect sizes. Figures 2 and 3 represent the forest plot of K and LDH data set, respectively.
Effect sizes, heterogeneity statistics and results for publications bias and time trend for all laboratory parameters analyzed.
| Test | No. of studies | No. of paired blood samples | Mean difference | 95% CI | p-Value of meta-analysis | p-value of heterogeneity | Inconsistency index I2, % | Time trend | Publication bias |
|---|---|---|---|---|---|---|---|---|---|
| K, mmol/L | 22 | 788 | 0.040 | 0.015, 0.065 | 0.002 | <10−4 | 74.5 | Y | N |
| LDH, U/L | 22 | 919 | 10.343 | 6.132, 14.553 | <10−4 | <10−4 | 83.9 | Y | N |
| AST, IU/L | 9 | 439 | 0.707 | 0.187, 1.226 | 0.003 | <10−4 | 74.1 | N | N |
| WBC, K/μLa | 13 | 550 | 0.054 | 0.002, 0.106 | 0.043 | <10−4 | 85.7 | Y | N |
| RBC, M/μL | 14 | 608 | −0.034 | −0.083, 0.015 | 0.656 | <10−4 | 98.6 | Y | N |
| HGB, g/dL | 13 | 608 | 0.005 | −0.049, 0.058 | 0.866 | <10−4 | 76.6 | N | N |
| HCT, % | 13 | 608 | 0.142 | −0.237, 0.522 | 0.866 | <10−4 | 99.7 | Y | N |
| MCV, fL | 10 | 374 | −0.091 | −0.226, 0.044 | 0.186 | <10−4 | 79.3 | N | N |
| MCH, pg | 10 | 374 | −0.130 | −0.298, 0.038 | 0.130 | <10−4 | 89.1 | N | N |
| MCHC, g/dL | 8 | 259 | −0.130 | −0.603, 0.338 | 0.580 | <10−4 | 98.9 | N | N |
| RDW, % | 9 | 288 | 0.000 | −0.016, 0.023 | 0.742 | 0.939 | 0.0 | Y | N |
| NEUT, K/μL | 7 | 285 | −0.010 | −0.060, 0.035 | 0.610 | 0.058 | 50.7 | N | N |
| LYM, K/μL | 7 | 285 | 0.050 | −0.028, 0.117 | 0.224 | <10−4 | 89.4 | N | N |
| EOS, K/μL | 7 | 285 | 0.000 | −0.006, 0.008 | 0.795 | 0.169 | 34.0 | N | N |
| BASO, K/μL | 7 | 285 | −0.000 | −0.008, 0.003 | 0.348 | <10−4 | 89.6 | N | N |
| MONO, K/μL | 7 | 285 | 0.000 | −0.007, 0.006 | 0.951 | 0.799 | 0.0 | N | N |
| PLT, K/μL | 15 | 455 | 1.208 | −2.470, 4.917 | 0.510 | <10−4 | 92.9 | Y | N |
| MPV, fL | 5 | 214 | 0.027 | −0.014, 0.069 | 0.199 | 0.539 | 0.0 | N | N |
| RETIC, % | 4 | 193 | 0.000 | −0.054, 0.055 | 0.938 | 0.010 | 73.8 | N | N |
| PT, s | 6 | 210 | 0.006 | −0.058, 0.070 | 0.850 | <10−4 | 0.0 | N | N |
| aPTT, s | 9 | 268 | −0.116 | −0.327, 0.096 | 0.284 | 0.008 | 61.3 | Y | N |
aThe results of the meta-analysis for the WBC data set correspond to 13 studies, excluding the study of Koroglou and coworkers. The bold values denote a statistically significant result (p<0.05).

Forest plot of the impact of PTS in the K data set.
The effect estimate of each study is represented by a square and the 95% confidence interval (CI) by a horizontal line. The diamond represents the overall result of the meta-analysis.

Forest plot of the impact of PTS in the LDH data set.
The effect estimate of each study is represented by a square and the 95% confidence interval (CI) by a horizontal line. The diamond represents the overall result of the meta-analysis.
Subgroup analysis
Subgroup analysis was performed for all parameters according to the distance and the speed of the PTS. Specifically, for the set of hematological data, the analyzer used for measuring the tests and the population tested were also examined in order to compare the mean effect across subgroups. Meta-analysis according to population did not yield any significant finding. For the subgroup analysis according to the hematology analyzer, there was a high degree of heterogeneity (p<10−4) between the four groups of hematology analyzers (Cell-Dynn, Beckman Coulter, Sysmex and Advia) for almost all hematology parameters, except for mean corpuscular volume (MCV), HGB, MPV and RDW. Statistically significant heterogeneity was found in the data set of the white blood cells (WBC) with respect to the methods of transport because samples measured with the technology of Cell-Dyn (MD=0.04 K/μL; 95% CI=0.01–0.06) and Beckman Coulter (MD=0.11 K/μL; 95% CI=0.01–0.21) hematology analyzer yield significant difference and the former giving consistently larger difference. Similar result was found for the Platelets (PLT) data set when samples were measured using the technology of Sysmex hematology analyzer (MD=−2.05 K/μL; 95% CI=−3.28 to −0.82). Moreover, the subgroup analysis based on the length of PTS showed that: (a) in the longest distance traveled by the samples via PTS (400–600 m) there was alterations in the results of WBC (MD=0.15 mmol/L; 95% CI=0.09–0.22; p<10−4) and (b) there were alterations in the data set of LDH, particularly for the two longest distances of 200–400 m (MD=15.76 U/L; 95% CI=10.0–21.42; p=<10−4) and 400–600 m (MD=5.97 U/L; 95% CI=0.75–11.19; p=0.025). Finally, the subgroup analysis according to the speed of PTS yielded a statistically significant difference in the results of LDH and K, for all groups, regardless of speed range.
Meta-regression analysis
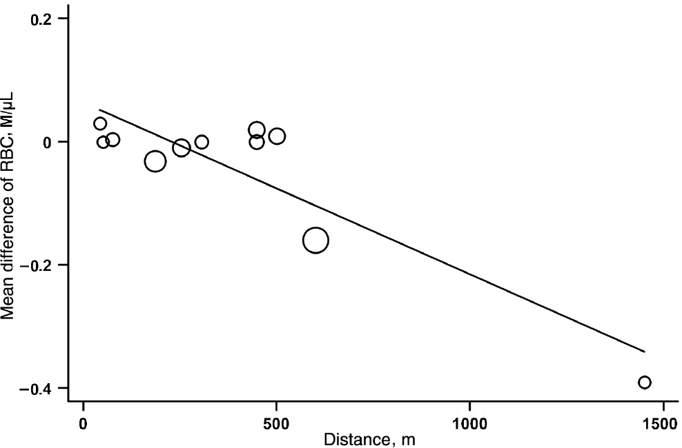
A random-effects meta-regression analysis for the WBC data set revealed a positive linear relationship between the MD of WBC and the distance of PTS (p=0.007; β=0.0002912). A negative linear relationship resulted from the meta-regression analysis of red blood cells (RBC) data set and the distance of PTS (p=<10−4; β=−0.000279) (Figure 4). Finally, the product of the distance over speed was used as a variable in the meta-regression analysis for the LDH data set and yielded a statistically significant result (p=0.015; β=−0.00254942) (Figure 5).

Graphical representation of the meta-regression analysis of MDs of RBC with the distance in which the samples travel via PTS.

Graphical representation of the meta-regression analysis of the MDs of LDH data set with the product of distance over speed of PTS.
Sensitivity analysis
In the leave-one-out sensitivity analyses, the results showed that no individual study influenced the overall effect estimate of all included studies. However, it is worth mentioning that we excluded the study of Koroglu and coworkers, from the meta-analysis of the WBC data set only, because it was conducted in a population with very low number of WBC and reestimated the overall effect size. The result of the meta-analysis yielded a statistical significant p-value of 0.043 with a MD of 0.05 K/μL (95% CI=0.00–0.11).
Cumulative meta-analysis
The results of the cumulative analysis for each laboratory parameter are shown in Table 2. Y or N denotes the presence or not of time trend and as shown in Table 2. In half of the variables analyzed, there was a temporal evolution of the effect size present.
Publication bias
A small indication of publication bias was found, only in the meta-analysis for the RBC values. This finding was observed visually in the funnel plot graph and validated statistically using Begg’s and Egger’s test (p=0.029, p<10−4, respectively). However, because in the presence of heterogeneity the results of these tests are questionable, we applied the random-effects analogue of the regression method of Egger’s. The random-effects analysis excluded the possibility of publication bias (p=0.924).
Discussion
The present meta-analysis is the first effort to synthesize the published evidence and evaluate the effect of the PTS on blood specimens. Our attempt was to quantify the level of in vitro hemolysis by evaluating, at the same time, the role of transport speed and distance as well as the impact of the technology of the analyzers used in the measurement of the samples, specifically in the hematology parameters.
Our findings point toward a statistically significant effect of PTS on K, LDH and AST and may lead to the conclusion that the pneumatic tube transport system is associated with a mild degree of hemolysis in the transported blood samples, as these three tests, according to the literature, are first altered when hemolysis is present [4]. It should be noted that when a study was excluded from the meta-analysis of the WBC data set only, a statistically significant result emerged for WBC parameters also. This particular study was conducted exclusively, in a population with acute leukemia (leucopenia) and hence with mean WBC <0.8 K/μL, which means that there is a less risk of cell disruption occurring by the PTS as the WBC cell count is small. At this point, it is important to note that except for RBCs, WBCs have been implicated as a source of excess K in the patient serum. Many studies suggest that a false elevated serum or plasma concentration of K is associated with some hematological disorders, particularly in leukemic patients that have high amounts of WBCs and fragile cell membrane, in which the leukemic cells are more susceptible to disruption (lysis) when exposed to even mild mechanical trauma [42, 43].
In all analyses reported here, there was a strong evidence for between-study heterogeneity, and there are many factors that contribute to this. Some of them include the PTS configuration and type, the different carriers, the technology of the analyzer used to test the blood samples, the speed and distance traveled by the samples via PTS, the sample collection tubes, as well as the pressure and the intensity of the gravitational force caused by the sudden accelerations and decelerations in which samples are subjected during transport. Some of these factors were investigated in our meta-analysis in order to account for the sources of heterogeneity. Subgroup analysis, according to the hematology analyzer, showed large heterogeneity between the four different hematology analyzers. This finding may be due to the fact that different methodologies are used by the analyzer in order to determine the complete blood count, or it may be related to other study-level characteristic (such as the speed of the PTS used in the particular hospital). Subgroup analysis according to the speed of PTS showed statistically significant higher values of K and LDH when samples were delivered by PTS compared to hand-delivered samples, regardless of the rate. Subgroup analysis based on the length of PTS yielded similar results for the data set of WBCs and LDH. These findings give a first indication of the positive correlation between speed and distance of PTS samples and hemolysis.
Meta-regression analysis confirmed quantitatively the above findings. Specifically, for the WBC data set, meta-regression analysis revealed that the greater the distance, the higher the MD of WBCs. In most cases, heterogeneity was reduced by 20% (for WBCs) to 40% (for RBCs) when these covariates were used in a meta-regression. Moreover, it is worth mentioning, although the result was not statistical significant, that the overall effect size for the RBC data set was negative, meaning that the values obtained by the hand delivered samples were higher than those obtained by the PTS samples. Accordingly, a reverse relationship was found for the RBC MD and the distance of PTS, that is, the greater the distance traveled in a PTS the more the decrease of the MD of RBCs. This can be explained by the fact that the longer the PTS, the more the switches and bends that samples have to suffer and the higher the mechanical trauma, i.e. the extent to which samples suffer cell (erythrocyte) damage during transport. Finally, meta-regression analysis of the product of distance over speed of PTS, in the LDH data set, showed that the higher the speed and the longer the distance, the higher the MD of the LDH between the two methods of transport. This finding can be explained considering the fact that acceleration is not the only factor responsible for hemolysis because blood samples during regular centrifugation (with a force ≅2.500–3.500 for 10 min) are not subjected to hemolysis. As Streichert and coworkers showed in their work [44], rapid and large acceleration changes and sudden deceleration or shock forces (three-axis acceleration) may lead to hemolysis during transportation. Moreover, Mullins and coworkers reported [45] that plasma LDH had a positive linear relationship with the number of shock forces (>3 g) experienced during transport through the PTS as recorded using a Smartphone.
Publication bias was found using the standard tests, only for the analysis of RBC, but it can be attributed mainly to the large heterogeneity because the application of the random-effects regression method for detecting the bias yields no evidence for it. In the cumulative meta-analysis, the studies are accumulated in chronological order, and this allows evaluating the consistency of the results of studies and identifying the point at which no further studies are necessary. The presence of time trend identified in some variables examined in this meta-analysis suggests that an early, overestimated or extreme oppose finding occurred in the first studies investigated. This problem is common in clinical studies and may be explained by the age of the methodologies and the technology of the PTS that evolves over time. A factor that may explain these discrepancies is the fact that older studies reported higher speed of the PTS and greater distance traveled (correlation coefficients for speed and distance vs. time equal to −0.51 and −0.41, respectively).
The overall results of this meta-analysis suggest a statistically significant difference for the samples transported by PTS compared to those transported by hand. This difference, however, is small and may not have a significant clinical effect on laboratory results. Nevertheless, considering the fact that hemolysis is a major preanalytical factor that interferes with laboratory measurements, it is suggested that hospitals should validate their PTS and investigate their blood specimen’s susceptibility to hemolysis. In order to reduce this preanalytical error, some interventions can be applied such as shortening transport times, if possible, or reducing the speed of transportation. As the method of parallel processing for sample analysis is inconvenient and time consuming, the use of data loggers or even smartphones have been applied recently in order to monitor the forces encountered in a PTS and probably as a replacement of blood sampling and laboratory testing.
Acknowledgments
The authors would like to thank the associate editor and the anonymous reviewers for their valuable comments and suggestions to improve the quality of the paper.
Author contributions: All the authors have accepted responsibility for the entire content of this submitted manuscript and approved submission.
Research funding: None declared.
Employment or leadership: None declared.
Honorarium: None declared.
Competing interests: The funding organization(s) played no role in the study design; in the collection, analysis and interpretation of data; in the writing of the report; or in the decision to submit the report for publication.
References
1. Shibani W, Zulkafli M, Basuno B, editors. Methods of transport technologies: a review on using tube/tunnel systems. IOP Conference Series: Materials Science and Engineering. IOP Publishing, 2016.Search in Google Scholar
2. Guss DA, Chan TC, Killeen JP. The impact of a pneumatic tube and computerized physician order management on laboratory turnaround time. Ann Emerg Med 2008;51:181–5.10.1016/j.annemergmed.2007.03.010Search in Google Scholar PubMed
3. Lippi G, Blanckaert N, Bonini P, Green S, Kitchen S, Palicka V, et al. Haemolysis: an overview of the leading cause of unsuitable specimens in clinical laboratories. Clin Chem Lab Med 2008;46:764–72.10.1515/CCLM.2008.170Search in Google Scholar PubMed
4. Lippi G, Plebani M, Di Somma S, Cervellin G. Hemolyzed specimens: a major challenge for emergency departments and clinical laboratories. Crit Rev Clin Lab Sci 2011;48:143–53.10.3109/10408363.2011.600228Search in Google Scholar PubMed
5. Collinson PO, John CM, Gaze DC, Ferrigan LF, Cramp DG. Changes in blood gas samples produced by a pneumatic tube system. J Clin Pathol 2002;55:105–7.10.1136/jcp.55.2.105Search in Google Scholar PubMed PubMed Central
6. Wenham PR, Hanson T, Ashby JP. Interference in spectrophotometric analysis of cerebrospinal fluid by haemolysis induced by transport through a pneumatic tube system. Ann Clin Biochem 2001;38(Pt 4):371–5.10.1258/0004563011900687Search in Google Scholar PubMed
7. Dyszkiewicz-Korpanty A, Quinton R, Yassine J, Sarode R. The effect of a pneumatic tube transport system on PFA-100 trade mark closure time and whole blood platelet aggregation. J Thromb Haemost 2004;2:354–6.10.1111/j.1538-7836.2004.0584e.xSearch in Google Scholar PubMed
8. Liberati A, Altman DG, Tetzlaff J, Mulrow C, Gotzsche PC, Ioannidis JP, et al. The PRISMA statement for reporting systematic reviews and meta-analyses of studies that evaluate health care interventions: explanation and elaboration. J Clin Epidemiol 2009;62:e1–34.10.1016/j.jclinepi.2009.06.006Search in Google Scholar PubMed
9. McClellan EK, Nakamura RM, Haas W, Moyer DL, Kunitake GM. Effect of pneumatic tube transport system on the validity of determinations in blood chemistry. Am J Clin Pathol 1964;42:152–5.10.1093/ajcp/42.2.152Search in Google Scholar PubMed
10. Delbruck A, Poschmann H. On the influence of pneumatic post transport on clinical investigation material under different operating conditions. Z Klin Chem Klin Biochem 1968;6:211–6.Search in Google Scholar PubMed
11. Steige H, Jones JD. Evaluation of pneumatic-tube system for delivery of blood specimens. Clin Chem 1971;17:1160–4.10.1093/clinchem/17.12.1160Search in Google Scholar PubMed
12. Pragay DA, Edwards L, Toppin M, Palmer RR, Chilcote ME. Evaluation of an improved pneumatic-tube system suitable for transportation of blood specimens. Clin Chem 1974;20:57–60.10.1093/clinchem/20.1.57Search in Google Scholar PubMed
13. Nosanchuk JS, Salvatore JD. Improved pneumatic tube system shortens stat turnaround time. LabMedicine 1977;8:21–5.10.1093/labmed/8.11.21Search in Google Scholar
14. Weaver DK, Miller D, Leventhal EA, Tropeano V. Evaluation of a computer-directed pneumatic-tube system for pneumatic transport of blood specimens. Am J Clin Pathol 1978;70:400–5.10.1093/ajcp/70.3.400Search in Google Scholar PubMed
15. Poznanski W, Smith F, Bodley F. Implementation of a pneumatic-tube system for transport of blood specimens. Am J Clin Pathol 1978;70:291–5.10.1093/ajcp/70.2.291Search in Google Scholar PubMed
16. Pragay DA, Fan P, Brinkley S, Chilcote ME. A computer directed pneumatic tube system: its effects on specimens. Clin Biochem 1980;13:259–61.10.1016/S0009-9120(80)80005-1Search in Google Scholar PubMed
17. Keshgegian AA, Bull GE. Evaluation of a soft-handling computerized pneumatic tube specimen delivery system. Effects on analytical results and turnaround time. Am J Clin Pathol 1992;97:535–40.10.1093/ajcp/97.4.535Search in Google Scholar PubMed
18. Zanner R, Moser N, Blobner M, Luppa PB. Transport of blood gas samples: is the pneumatic tube system safe? Anaesthesist 2006;55:1099–104.10.1007/s00101-006-1069-5Search in Google Scholar PubMed
19. Cui M JRaWH. Changes in lactate dehydrogenase and porassium levels produced by a pneumatic tube system. LabMedicine 2009;40:728–31.Search in Google Scholar
20. Kratz A, Salem RO, Van Cott EM. Effects of a pneumatic tube system on routine and novel hematology and coagulation parameters in healthy volunteers. Arch Pathol Lab Med 2007;131:293–6.10.5858/2007-131-293-EOAPTSSearch in Google Scholar PubMed
21. Wallin O, Soderberg J, Grankvist K, Jonsson PA, Hultdin J. Preanalytical effects of pneumatic tube transport on routine haematology, coagulation parameters, platelet function and global coagulation. Clin Chem Lab Med 2008;46:1443–9.10.1515/CCLM.2008.288Search in Google Scholar PubMed
22. Koessler J, Kobsar AL, Brunner K, Stolz H, Dossler B, Walter U, et al. The preanalytical influence of two different mechanical transport systems on laboratory analysis. Clin Chem Lab Med 2011;49:1379–82.10.1515/CCLM.2011.198Search in Google Scholar PubMed
23. Tiwari AK, Pandey P, Dixit S, Raina V. Speed of sample transportation by a pneumatic tube system can influence the degree of hemolysis. Clin Chem Lab Med 2011;50:471–4.10.1515/cclm.2011.779Search in Google Scholar PubMed
24. Evliyaoglu O, Toprak G, Tekin A, Basarali MK, Kilinc C, Colpan L. Effect of pneumatic tube delivery system rate and distance on hemolysis of blood specimens. J Clin Lab Anal 2012;26:66–9.10.1002/jcla.21484Search in Google Scholar PubMed PubMed Central
25. Sari I, Arslan A, Ozlu C, Hacioglu S, Dogu MH, Isler K, et al. The effect of pneumatic tube system on complete blood count parameters and thrombocyte donation in healthy donors. Transfus Apher Sci 2012;47:81–3.10.1016/j.transci.2012.05.005Search in Google Scholar PubMed
26. Lima-Oliveira G, Lippi G, Salvagno GL, Dima F, Brocco G, Picheth G, et al. Management of preanalytical phase for routine hematological testing: is the pneumatic tube system a source of laboratory variability or an important facility tool? Int J Lab Hematol 2014;36:e37–40.10.1111/ijlh.12143Search in Google Scholar PubMed
27. Al-Riyami AZ, Al-Khabori M, Al-Hadhrami RM, Al-Azwani IS, Davis HM, Al-Farsi KS, et al. The pneumatic tube system does not affect complete blood count results; a validation study at a tertiary care hospital. Int J Lab Hematol 2014;36:514–20.10.1111/ijlh.12180Search in Google Scholar PubMed
28. Kocak FE, Yontem M, Yucel O, Cilo M, Genc O, Meral A. The effects of transport by pneumatic tube system on blood cell count, erythrocyte sedimentation and coagulation tests. Biochem Med (Zagreb) 2013;23:206–10.10.11613/BM.2013.024Search in Google Scholar PubMed PubMed Central
29. Toth J, Lenkey A, A VO, Koteles J, Kissne Sziraki V, Kerenyi A, et al. Pneumatic tube system for transport of laboratory samples: preanalytical aspects. Orv Hetil 2014;155:1113–20.10.1556/OH.2014.29895Search in Google Scholar PubMed
30. Boss DS, Hackeng CM, Vlot EA, van Loon D. Het effect van buizenpost op stolling-en hemolyseparameters: “To walk or not to walk”. Ned Tijdschr Klin Chem Labgeneesk 2015;40:234–8.Search in Google Scholar
31. Kapoula G, Filntisis I, Karampousli E, Kalivas M, Pagioulas K, Parcharidis P. Pneumatic tube transport system for blood samples: evaluation of its effect on hemolysis. Scientific Chronicles [Epistimonika Chronika] 2015;20:194–8.Search in Google Scholar
32. Koroglu M, Erkurt MA, Kuku I, Kaya E, Berber I, Nizam I, et al. Assessing safety of pneumatic tube system (PTS) for patients with very low hematologic parameters. Med Sci Monit 2016;22:1329–33.10.12659/MSM.898164Search in Google Scholar PubMed
33. Hozo SP, Djulbegovic B, Hozo I. Estimating the mean and variance from the median, range, and the size of a sample. BMC Med Res Methodol 2005;5:13.10.1186/1471-2288-5-13Search in Google Scholar PubMed PubMed Central
34. Higgins JP, Deeks JJ. Selecting studies and collecting data. In: Higgins JP, Green S, editors. Cochrane handbook for systematic reviews of interventions. Version 5.0.1 [updated September 2008], ed2011.Search in Google Scholar
35. Higgins JP, Deeks JJ, Altman DG. Special topics in statistics. In: Higgins JP, Green S, editors. Cochrane handbook for systematic reviews of interventions. Version 5.0.1 [updated September 2008], ed2011.Search in Google Scholar
36. Prevost AT, Mason D, Griffin S, Kinmonth AL, Sutton S, Spiegelhalter D. Allowing for correlations between correlations in random-effects meta-analysis of correlation matrices. Psychol Methods 2007;12:434–50.10.1037/1082-989X.12.4.434Search in Google Scholar PubMed
37. DerSimonian R, Laird N. Meta-analysis in clinical trials revisited. Contemp Clin Trials 2015;45(Pt A):139–45.10.1016/j.cct.2015.09.002Search in Google Scholar PubMed PubMed Central
38. Higgins JP, Thompson SG, Deeks JJ, Altman DG. Measuring inconsistency in meta-analyses. Br Med J 2003;327:557–60.10.1136/bmj.327.7414.557Search in Google Scholar
39. Borenstein M, Higgins JP, Rothstein HR. Introduction to meta-analysis. Chichester, UK: John Wiley & Sons, Ltd, 2009.10.1002/9780470743386Search in Google Scholar
40. Egger M, Davey Smith G, Schneider M, Minder C. Bias in meta-analysis detected by a simple, graphical test. Br Med J 1997;315:629–34.10.1136/bmj.315.7109.629Search in Google Scholar
41. Thompson SG, Sharp SJ. Explaining heterogeneity in meta-analysis: a comparison of methods. Stat Med 1999;18:2693–708.10.1002/(SICI)1097-0258(19991030)18:20<2693::AID-SIM235>3.0.CO;2-VSearch in Google Scholar PubMed
42. Dickinson H, Webb NJ, Chaloner C, Wynn RF, Bonney DK. Pseudohyperkalaemia associated with leukaemic cell lysis during pneumatic tube transport of blood samples. Pediatr Nephrol 2012;27:1029–31.10.1007/s00467-012-2102-3Search in Google Scholar PubMed
43. Ku AS, Chen RH, Law RL. Pseudohyperkalaemia with acute leukaemia: association with pneumatic tube transport of blood specimens. Hong Kong Med J 2014;20:158–60.10.12809/hkmj133881Search in Google Scholar PubMed
44. Streichert T, Otto B, Schnabel C, Nordholt G, Haddad M, Maric M, et al. Determination of hemolysis thresholds by the use of data loggers in pneumatic tube systems. Clin Chem 2011;57:1390–7.10.1373/clinchem.2011.167932Search in Google Scholar
45. Mullins GR, Harrison JH, Bruns DE. Smartphone monitoring of pneumatic tube system-induced sample hemolysis. Clin Chim Acta 2016;462:1–5.10.1016/j.cca.2016.08.011Search in Google Scholar PubMed
©2017 Walter de Gruyter GmbH, Berlin/Boston
Articles in the same Issue
- Frontmatter
- Editorial
- Tumor microenvironment and systemic disease: a dual target in medical oncology (also in the case of biomarkers)
- Reviews
- Sample types applied for molecular diagnosis of therapeutic management of advanced non-small cell lung cancer in the precision medicine
- The impact of pneumatic tube system on routine laboratory parameters: a systematic review and meta-analysis
- Opinion Paper
- How to reduce scientific irreproducibility: the 5-year reflection
- EFLM Paper
- Strategies to define performance specifications in laboratory medicine: 3 years on from the Milan Strategic Conference
- General Clinical Chemistry and Laboratory Medicine
- Intensive educational efforts combined with external quality assessment improve the preanalytical phase in general practitioner offices and nursing homes
- Separate patient serum sodium medians from males and females provide independent information on analytical bias
- Are admission procalcitonin levels universal mortality predictors across different medical emergency patient populations? Results from the multi-national, prospective, observational TRIAGE study
- Biochemical testing in a laboratory tent and semi-intensive care of Ebola patients on-site in a remote part of Guinea: a paradigm shift based on a bleach-sensitive point-of-care device
- Efficient reporting of the estimated glomerular filtration rate without height in pediatric patients with cancer
- Evaluation of thyroid test utilization through analysis of population-level data
- Relation of serum γ-glutamyl transferase activity with copper in an adult population
- Impact of a single oral dose of 100,000 IU vitamin D3 on profiles of serum 25(OH)D3 and its metabolites 24,25(OH)2D3, 3-epi-25(OH)D3, and 1,25(OH)2D3 in adults with vitamin D insufficiency
- Automated antinuclear immunofluorescence antibody analysis is a reliable approach in routine clinical laboratories
- Infrared analyzers for breast milk analysis: fat levels can influence the accuracy of protein measurements
- Hematology and Coagulation
- A new approach to define acceptance limits for hematology in external quality assessment schemes
- The effects of transport by car on coagulation tests
- Combined measurement of factor XIII and D-dimer is helpful for differential diagnosis in patients with suspected pulmonary embolism
- Reference Values and Biological Variations
- Influence of age, gender and body mass index on late-night salivary cortisol in healthy adults
- Cancer Diagnostics
- Assessment of real-time PCR method for detection of EGFR mutation using both supernatant and cell pellet of malignant pleural effusion samples from non-small-cell lung cancer patients
- Detection of EGFR mutations in patients with non-small cell lung cancer by high resolution melting. Comparison with other methods
- Predicting outcomes of EGFR-targeted therapy in non-small cell lung cancer patients using pleural effusions samples and peptide nucleic acid probe assay
- Analytical and clinical performance of thyroglobulin autoantibody assays in thyroid cancer follow-up
- Thyroglobulin autoantibodies before radioiodine ablation predict differentiated thyroid cancer outcome
- Cardiovascular Diseases
- Real life dabigatran and metabolite concentrations, focused on inter-patient variability and assay differences in patients with atrial fibrillation
- Infectious Diseases
- HIV avidity index performance using a modified fourth-generation immunoassay to detect recent HIV infections
- Letters to the Editor
- Effect of age on serum prostate-specific antigen in women
- Falsely elevated thyroid-stimulating hormone value due to anti-ruthenium antibodies in a patient with primary hypothyroidism: a case report
- High titers of anti-infliximab antibody do not interfere with Abbott immunoassays
- Extraordinarily elevated serum CA19-9 in a patient with posterior mediastinum cyst: a case report
- Low levels of 25-OH vitamin D in women with endometriosis and associated pelvic pain
- Evaluation of serum cortisol biological variation in the evening withdrawal
- Distinction between urine crystals by automated urine analyzer SediMAX conTRUST is specific but lacks sensitivity
- Impact of heat-inactivation on anti-Toxoplasma IgM antibody levels
Articles in the same Issue
- Frontmatter
- Editorial
- Tumor microenvironment and systemic disease: a dual target in medical oncology (also in the case of biomarkers)
- Reviews
- Sample types applied for molecular diagnosis of therapeutic management of advanced non-small cell lung cancer in the precision medicine
- The impact of pneumatic tube system on routine laboratory parameters: a systematic review and meta-analysis
- Opinion Paper
- How to reduce scientific irreproducibility: the 5-year reflection
- EFLM Paper
- Strategies to define performance specifications in laboratory medicine: 3 years on from the Milan Strategic Conference
- General Clinical Chemistry and Laboratory Medicine
- Intensive educational efforts combined with external quality assessment improve the preanalytical phase in general practitioner offices and nursing homes
- Separate patient serum sodium medians from males and females provide independent information on analytical bias
- Are admission procalcitonin levels universal mortality predictors across different medical emergency patient populations? Results from the multi-national, prospective, observational TRIAGE study
- Biochemical testing in a laboratory tent and semi-intensive care of Ebola patients on-site in a remote part of Guinea: a paradigm shift based on a bleach-sensitive point-of-care device
- Efficient reporting of the estimated glomerular filtration rate without height in pediatric patients with cancer
- Evaluation of thyroid test utilization through analysis of population-level data
- Relation of serum γ-glutamyl transferase activity with copper in an adult population
- Impact of a single oral dose of 100,000 IU vitamin D3 on profiles of serum 25(OH)D3 and its metabolites 24,25(OH)2D3, 3-epi-25(OH)D3, and 1,25(OH)2D3 in adults with vitamin D insufficiency
- Automated antinuclear immunofluorescence antibody analysis is a reliable approach in routine clinical laboratories
- Infrared analyzers for breast milk analysis: fat levels can influence the accuracy of protein measurements
- Hematology and Coagulation
- A new approach to define acceptance limits for hematology in external quality assessment schemes
- The effects of transport by car on coagulation tests
- Combined measurement of factor XIII and D-dimer is helpful for differential diagnosis in patients with suspected pulmonary embolism
- Reference Values and Biological Variations
- Influence of age, gender and body mass index on late-night salivary cortisol in healthy adults
- Cancer Diagnostics
- Assessment of real-time PCR method for detection of EGFR mutation using both supernatant and cell pellet of malignant pleural effusion samples from non-small-cell lung cancer patients
- Detection of EGFR mutations in patients with non-small cell lung cancer by high resolution melting. Comparison with other methods
- Predicting outcomes of EGFR-targeted therapy in non-small cell lung cancer patients using pleural effusions samples and peptide nucleic acid probe assay
- Analytical and clinical performance of thyroglobulin autoantibody assays in thyroid cancer follow-up
- Thyroglobulin autoantibodies before radioiodine ablation predict differentiated thyroid cancer outcome
- Cardiovascular Diseases
- Real life dabigatran and metabolite concentrations, focused on inter-patient variability and assay differences in patients with atrial fibrillation
- Infectious Diseases
- HIV avidity index performance using a modified fourth-generation immunoassay to detect recent HIV infections
- Letters to the Editor
- Effect of age on serum prostate-specific antigen in women
- Falsely elevated thyroid-stimulating hormone value due to anti-ruthenium antibodies in a patient with primary hypothyroidism: a case report
- High titers of anti-infliximab antibody do not interfere with Abbott immunoassays
- Extraordinarily elevated serum CA19-9 in a patient with posterior mediastinum cyst: a case report
- Low levels of 25-OH vitamin D in women with endometriosis and associated pelvic pain
- Evaluation of serum cortisol biological variation in the evening withdrawal
- Distinction between urine crystals by automated urine analyzer SediMAX conTRUST is specific but lacks sensitivity
- Impact of heat-inactivation on anti-Toxoplasma IgM antibody levels