Home The Role of Technology in an Endogenous Timing Game with Corporate Social Responsibility
Article
Licensed
Unlicensed Requires Authentication

The Role of Technology in an Endogenous Timing Game with Corporate Social Responsibility

  • Domenico Buccella ORCID logo , Luciano Fanti and Luca Gori ORCID logo EMAIL logo
Published/Copyright: June 3, 2025

Abstract

This research studies the endogenous choice of simultaneous (Cournot) or sequential (Stackelberg) moves in a quantity-setting duopoly in which firms have social concerns and convex technologies. A parsimonious non-cooperative endogenous timing game (ETG) is developed to determine the sub-game perfect Nash equilibrium (SPNE). The article shows that the market structure strictly depends on the (endogenous) adoption of the available technology. In detail, when costs are convex, the sequential move equilibrium can emerge as the SPNE of the ETG. Results contrast the SPNE emerging in a duopoly – with or without CSR – in which firms produce with constant returns to scale technologies (linear costs), where only simultaneous competition occurs. The article also discusses the welfare outcomes corresponding to the SPNE. The main findings also offer empirical and policy implications. The paper finally considers a mixed duopoly and shows that the results of Amir and De Feo (2014. “Endogenous Timing in a Mixed Duopoly.” International Journal of Game Theory 43: 629–58) – sequential move equilibrium – are confirmed. Still, it pinpoints new results about the private firm’s degree of social concern in determining the market leadership when goods are strategic substitutes.

JEL Classification: L1; D4

Corresponding author: Luca Gori, Department of Law, University of Pisa, Via Collegio Ricci, 10, I – 56126 Pisa, PI, Italy, E-mail:

Acknowledgments

The authors gratefully acknowledge an anonymous journal reviewer for her/his valuable comments on an earlier manuscript draft. The authors are also indebted to Maria Alipranti, Michael Kopel and participants of the conference entitled “Oligo Workshop 2024,” held at the University of Crete (June 2024), Greece, and seminar participants at the University of Pisa, Italy.

  1. Disclosure of potential conflict of interest: The authors declare that they have no conflict of interest.

  2. Research funding: The authors declare that this study was funded by no institutions.

  3. Declarations of interest: None declared.

Appendix A: The ETG with CSR-Oriented Firms and Linear Costs

This appendix presents the symmetric version of the model developed in the main text by assuming that firm i and firm j adopt constant-return-to-scale technologies. To do this, we assume that w i  = 0 and w j  = 0, and study the cases of symmetric (w 0,i  = w 0,j  = w 0) and asymmetric (w 0,i w 0,j ) linear technologies.

The analysis developed in this appendix represents a simplified version of the model of Hamilton and Slutsky (1990) and serves as a basis for comparison with the model in which at least one firm adopts a convex technology.

Assuming symmetric constant marginal costs, and following the notation introduced at the beginning of Section 3 in the main text, the cost functions of firm i and firm j become C i  = w 0 q i and C j  = w 0 q j , where 0 ≤ w 0 < 1 is the marginal cost.

Tables A.1 and A.2 summarise the equilibrium output and profits emerging in the simultaneous and sequential sub-games.

The SPNE outcomes of the ETG with CSR-oriented firms and linear technologies are reported in Proposition A.1. Results confirm the main finding pinpointed by the endogenous timing model of Hamilton and Slutsky (1990) under profit-maximising (instead of CSR-oriented) firms, linear demand and equal constant average and marginal costs: the simultaneous-move equilibrium is the only competition mode that can be observed endogenously.

Table A.1:

Output.

Firm j L F
Firm i
L q i * C / C , q j * C / C q i * L / F , q j * L / F
F q i * F / L , q j * F / L q i * C / C , q j * C / C
Table A.2:

Profits (payoff matrix) and the ETG.

Firm j L F
Firm i
L Π i * C / C , Π j * C / C Π i * L / F , Π j * L / F
F Π i * F / L , Π j * F / L Π i * C / C , Π j * C / C

The entries of the tables are reported below:

(A.1) q i * C / C = q j * C / C = 1 w 0 3 2 b ,

(A.2) q i * L / F = q j * F / L = 1 w 0 1 + 1 b 2 4 3 b ,

(A.3) q j * L / F = q i * F / L = 1 w 0 1 + b 1 b 4 3 b ,

and

(A.4) Π i * C / C = Π j * C / C = 1 w 0 2 1 2 b 3 2 b 2 ,

(A.5) Π i * L / F = Π j * F / L = 1 w 0 2 1 2 b 1 + 1 b 2 4 3 b 2 ,

(A.6) Π j * L / F = Π i * F / L = 1 w 0 2 1 2 b 1 + b 1 b 4 3 b 2 .

The technical condition that must be satisfied to have well-defined equilibria in pure strategies for every strategic profile (one for each player) in this kind of ETG is b < 1 2 . Then, to derive all possible SPNE of the ETG, one must study the sign of the following two profit differentials for i = 1,2 , i j , that is:

(A.7) Δ Π A : = Π i * L / F Π i * F / F = 2 1 w 0 2 1 b 1 2 b 1 8 b + 8 b 2 2 b 3 3 2 b 2 4 3 b 2 ,

and

(A.8) Δ Π B : = Π i * F / L Π i * L / L = 1 w 0 2 1 b 1 2 b 7 + 14 b 12 b 2 + 4 b 3 3 2 b 2 4 3 b 2 ,

where Π i * F / F = Π i * L / L = Π i * C / C . The meaning of the thresholds in (A.7) and (A.8) is the same as those defined in the main text.

The analysis of the expression in (A.7) reveals that the sign of ΔΠ A changes once (irrespective of w 0) at b = 0.1453, representing the threshold values of the firm social concern such that ΔΠ A  = 0. Then, ΔΠ A > 0 if b < 0.1453 and ΔΠ A < 0 if b > 0.1453.

The analysis of the expression in (A.8) reveals that the sign of ΔΠ B never changes and ΔΠ B < 0 for any 0 b < 1 2 irrespective of w 0.

We can now state the proposition (Proposition A.1) clarifying the endogenous market configuration of the ETG with CSR-oriented firms and linear costs (see also Figure A.1 for a geometrical portrait of the analytical results).

Proposition A.1.

The endogenous market structure of the ETG with CSR-oriented firms and (symmetric) linear costs is the following for any 0 ≤ w 0 < 1.

  1. If 0 b < 0.1453 the SPNE of the ETG is the simultaneous-move outcome (Cournot competition), in which both firms prefer to be the leader, L , L .

  2. If 0.1453 < b < 0.5 the SPNE of the ETG is the simultaneous-move outcome (Cournot competition), in which both firms prefer to be the leader or the follower, L , L and F , F .

Proof.

Let 0 ≤ w 0 < 1 hold. Then, ΔΠ A > 0 and ΔΠ B < 0 for any 0 ≤ b < 0.1453; ΔΠ A < 0 and ΔΠ B < 0 for any 0.1453 < b < 0.5. Q.E.D.

  1. Area A: SPNE L , L , Cournot competition. The ETG with symmetric marginal costs is a simultaneous-move game in which both firms prefer to be the leader (first-mover advantage, Π i * L / F > Π i * C / C > Π i * F / L and Π j * F / L > Π j * C / C > Π J * L / F ).

  2. Area B: SPNE L , L and F , F , Cournot competition. The ETG with symmetric marginal costs is a simultaneous-move game in which both firms prefer to be the leader or the follower (the first-mover advantage and the second-mover advantage coexist, Π i * C / C > Π i * L / F > Π i * F / L and Π j * C / C > Π j * F / L > Π J * L / F ).

Figure A.1: 
The ETG with CSR-oriented firms and (symmetric) linear costs: SPNE in the space 




b
,


w


0






$\left(b,{w}_{0}\right)$



. The figure depicts only the feasible region bounded at b = 0.5. The ETG is a simultaneous-move game irrespective of the values of b and w
0.
Figure A.1:

The ETG with CSR-oriented firms and (symmetric) linear costs: SPNE in the space b , w 0 . The figure depicts only the feasible region bounded at b = 0.5. The ETG is a simultaneous-move game irrespective of the values of b and w 0.

We pinpoint that the results studied and discussed in this appendix (Cournot competition) under the assumption of symmetric linear technologies hold also under the assumption of asymmetric linear technologies of the two CSR-oriented firms. In this case, the cost functions are C i  = w 0,i q i and C j  = w 0,j q j , where 0 ≤ w 0,i  < 1 and 0 ≤ w 0,j  < 1 are the marginal costs of firm i and firm j. We do not report the equilibrium results to avoid lengthening the paper further. In addition, assuming different degrees of social concerns of the two firms under linear technologies does not alter the SPNE results of the model, which continue to boil down to the simultaneous-move competition outcome.

Appendix B: The ETG with CSR-Oriented Firms and Mixed Technologies

This appendix considers a version of the ETG in which firms adopt mixed technologies. This implies that one firm (firm i) uses a decreasing-return-to-scale production function implying quadratic costs (increasing marginal costs), C i = w i 2 q i 2 (w i  ≥ 0), and the rival (firm j) uses a constant-return-to-scale production function implying linear costs (constant marginal costs), C j  = w 0,j q j (0 ≤ w 0,j  < 1).

Results of this appendix (i.e. existence of simultaneous-move equilibrium and sequential-move equilibrium in which the leader is the firm with quadratic costs) resemble those in which both firms have convex technologies and are in line with Amir and Grilo (1999), who show that the firm with positive marginal costs becomes the leader if the rival has no cost.

The profit function of firms i and j are respectively Π i = p q i w i 2 q i 2 and Π i = p w 0 , j q i .

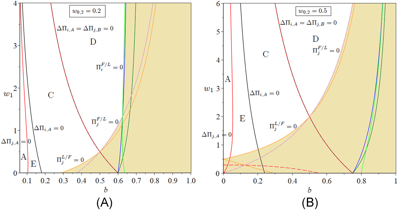
The Nash equilibrium outcomes of the ETG with mixed technologies are summarised in Figure B.1, depicting the SPNE configurations in the space b , w i for two different values of the marginal cost of firm j, w 0,j  = 0.2 and w 0,j  = 0.5.

The case w 0,j  = 0 exactly replicates the results of Figure 5 (Panel A) according to which Areas A, B, C and D prevail depending on the sign the profit differentials. The general outcome emerging under mixed technologies for any value of w 0,j ≠ 0 resembles this one, but with minor differences (about the shape and position of the loci of points such that ΔΠ i,A  = 0 and ΔΠ j,A  = 0). These differences are outlined in Figure B.1 (Panels A and B).

Results resemble those outlined in the main body of the text with one exception: the Stackelberg equilibrium emerges only with a configuration in which the leader is the firm with quadratic costs (firm i in our example). More specifically, this outcome (resembling one of the results of Amir and Grilo 1999) holds when the extent of increase in marginal costs of the firm adopting the convex technology is sufficiently high. Indeed, for a given value of b, an increase in w i causes a reduction in the production of firm i and an increase in the production of the rival, firm j. The market configuration implies that firm i becomes the leader because L is a dominant strategy, whereas firm j is the follower because F is a dominant strategy. However, given the reaction of the price, there is a reduction in profits such that the profit of the leader is smaller than that of the follower.

  1. Area A: SPNE L , L , Cournot competition. The ETG with mixed technologies is a simultaneous-move game in which both firms prefer to be the leader (first-mover advantage, Π i * L / F > Π i * C / C > Π i * F / L and Π j * F / L > Π j * C / C > Π J * L / F ). The sign of the profit differentials is the following: ΔΠ i,A > 0, ΔΠ i,B  < 0, ΔΠ j,A > 0 and ΔΠ j,B  < 0.

  2. Area E: SPNE L , L , Cournot competition. The ETG with mixed technologies is a simultaneous-move game in which both firms prefer to be the leader (first-mover advantage, Π i * L / F > Π i * C / C > Π i * F / L and Π j * C / C > Π j * F / L > Π J * L / F ). The sign of the profit differentials is the following: ΔΠ i,A > 0, ΔΠ i,B  < 0, ΔΠ j,A < 0 and ΔΠ j,B  < 0.

  3. Area C: SPNE L , L and F , F , Cournot competition. The ETG with mixed technologies is a simultaneous-move game in which both firms prefer to be the leader or the follower (the first-mover advantage and the second-mover advantage coexist, Π i * C / C > Π i * L / F > Π i * F / L and Π j * C / C > Π j * F / L > Π J * L / F ). The sign of the profit differentials is the following: ΔΠ i,A < 0, ΔΠ i,B  < 0, ΔΠ j,A < 0 and ΔΠ j,B  < 0.

  4. Area D: SPNE L , F , Stackelberg competition. The ETG with mixed technologies is a sequential-move game in which the leader is the firm with quadratic costs (firm i). The firm with linear costs (firm j) has the second-mover advantage ( Π i * L / F > Π i * C / C > Π i * F / L and Π j * L / F > Π j * C / C > Π J * F / L ). The sign of the profit differentials is the following: ΔΠ i,A > 0, ΔΠ i,B  < 0, ΔΠ j,A < 0 and ΔΠ j,B  > 0.

Figure B.1: 
The ETG with CSR-oriented firms and mixed technologies: SPNE in the space 




b
,


w


i






$\left(b,{w}_{i}\right)$



 for different values of w
0,j
. Panel A: w
0,j
 = 0.2. Panel B: w
0,j
 = 0.5. The white (sand-coloured) region represents the feasible (unfeasible) parameter space.
Figure B.1:

The ETG with CSR-oriented firms and mixed technologies: SPNE in the space b , w i for different values of w 0,j . Panel A: w 0,j  = 0.2. Panel B: w 0,j  = 0.5. The white (sand-coloured) region represents the feasible (unfeasible) parameter space.

References

Amir, R., and G. De Feo. 2014. “Endogenous Timing in a Mixed Duopoly.” International Journal of Game Theory 43: 629–58.10.1007/s00182-013-0401-ySearch in Google Scholar

Amir, R., and I. Grilo. 1999. “Stackelberg versus Cournot Equilibrium.” Games and Economic Behavior 26: 1–21. https://doi.org/10.1006/game.1998.0650.Search in Google Scholar

Amir, R., P. Erickson, and J. Jin. 2017. “On the Microeconomic Foundations of Linear Demand for Differentiated Products.” Journal of Economic Theory 169: 641–65. https://doi.org/10.1016/j.jet.2017.03.005.Search in Google Scholar

Bárcena-Ruiz, J. C. 2013. “Endogenous Timing of Incentive Contracts in Mixed Markets under Bertrand Competition.” The Manchester School 81: 340–55. https://doi.org/10.1111/j.1467-9957.2011.02284.x.Search in Google Scholar

Becchetti, L., N. Solferino, and M. E. Tessitore. 2016. “Corporate Social Responsibility and Profit Volatility: Theory and Empirical Evidence.” Industrial and Corporate Change 25: 49–89. https://doi.org/10.1093/icc/dtu039.Search in Google Scholar

Buccella, D., L. Fanti, L. Gori, and M. Sodini. 2024. “Corporate Social Responsibility and Network Externalities: A Game-Theoretic Approach.” Annals of Operations Research 337: 835–71. https://doi.org/10.1007/s10479-023-05601-1.Search in Google Scholar

Chakravorty, U., and J. Roumasset. 1990. “Competitive Oil Prices and Scarcity Rents when the Extraction Cost Function Is Convex.” Resources and Energy 12: 311–20. https://doi.org/10.1016/0165-0572(90)90025-e.Search in Google Scholar

Chen, J., and S. H. Lee. 2022. “R&D Rivalry with the Interaction of Output Subsidies in an Extensive Endogenous Timing Game.” Economics Bulletin 42: 1621–30.Search in Google Scholar

Chevron. 2021. Operational Excellence Management System. https://www.chevron.com/-/media/shared-media/documents/OEMS_Overview.pdf.Search in Google Scholar

Cho, S., S. H. Lee, and X. T. Hoang. 2019. “Corporate Social Responsibility and Strategic Trade Policy: An Endogenous Timing Game and its Policy Implications.” Australian Economic Papers 58: 480–97. https://doi.org/10.1111/1467-8454.12164.Search in Google Scholar

Choné, P., and L. Linnemer. 2020. “Linear Demand Systems for Differentiated Goods: Overview and User’s Guide.” International Journal of Industrial Organization 73: 102663. https://doi.org/10.1016/j.ijindorg.2020.102663.Search in Google Scholar

Dawson, G., and J. Metha. 2006. “Innovation, Markets and Industrial Change.” In Economics and Economic Change, Microeconomics, edited by G. Dawson, M. Mackintosh, and P. Anand. Open University.Search in Google Scholar

Exxon Mobile. 2024. Sustainability Report 2023. https://corporate.exxonmobil.com/sustainability-and-reports/sustainability.Search in Google Scholar

Fanti, L. 2016. “Endogenous Timing under Price Competition and Unions.” International Journal of Economic Theory 12: 401–13. https://doi.org/10.1111/ijet.12102.Search in Google Scholar

Fanti, L. 2017. “An Observable Delay Game with Unionised Managerial Firms.” Scottish Journal of Political Economy 64: 50–69. https://doi.org/10.1111/sjpe.12117.Search in Google Scholar

Fanti, L., and D. Buccella. 2017a. “Corporate Social Responsibility in a Game-Theoretic Context.” Journal of Industrial and Business Economics 44: 371–90. https://doi.org/10.1007/s40812-016-0064-3.Search in Google Scholar

Fanti, L., and D. Buccella. 2017b. “Corporate Social Responsibility, Profits and Welfare with Managerial Firms.” International Review of Economics 64: 341–56. https://doi.org/10.1007/s12232-017-0276-5.Search in Google Scholar

Fanti, L., and D. Buccella. 2018. “Corporate Social Responsibility and Managerial Bonus Systems.” Italian Economic Journal 4: 349–65. https://doi.org/10.1007/s40797-018-0074-6.Search in Google Scholar

Fanti, L., and D. Buccella. 2020. “Social Responsibility in a Bilateral Monopoly with Downstream Convex Technology.” Journal of Industry, Competition and Trade 20: 761–76. https://doi.org/10.1007/s10842-020-00343-3.Search in Google Scholar

Fanti, L., and N. Meccheri. 2011. “The Cournot-Bertrand Profit Differential in a Differentiated Duopoly with Unions and Labour Decreasing Returns.” Economics Bulletin 31: 233–44.Search in Google Scholar

Fanti, L., and N. Meccheri. 2016. “Non-rigid Wages and Merger Profitability Reversal under Convex Costs and Centralized Unionization.” Bulletin of Economic Research 68: 383–95. https://doi.org/10.1111/boer.12020.Search in Google Scholar

Fanti, L., and N. Meccheri. 2017. “A Note on Managerial Delegation with Asymmetric and Convex Costs.” Managerial and Decision Economics 38: 279–84. https://doi.org/10.1002/mde.2773.Search in Google Scholar

Fernández-Kranz, D., and J. Santaló. 2010. “When Necessity Becomes a Virtue: The Effect of Product Market Competition on Corporate Social Responsibility.” Journal of Economics and Management Strategy 19: 453–87. https://doi.org/10.1111/j.1530-9134.2010.00258.x.Search in Google Scholar

Fleurbaey, M., and G. Ponthière. 2023. “The Stakeholder Corporation and Social Welfare.” Journal of Political Economy 131: 2556–94. https://doi.org/10.1086/724318.Search in Google Scholar

García, A., M. Leal, and S. H. Lee. 2018a. “Social Responsibility in a Bilateral Monopoly with R&D.” Economics Bulletin 38: 1467–75.Search in Google Scholar

García, A., M. Leal, and S. H. Lee. 2018b. “Optimal Policy Mix in an Endogenous Timing with a Consumer-Friendly Public Firm.” Economics Bulletin 38: 1438–45.Search in Google Scholar

García, A., M. Leal, and S. H. Lee. 2019. “Endogenous Timing with a Socially Responsible Firm.” Korean Economic Review 35: 345–70.Search in Google Scholar

Goering, G. E. 2007. “The Strategic Use of Managerial Incentives in a Non-profit Firm Mixed Duopoly.” Managerial and Decision Economics 28: 83–91. https://doi.org/10.1002/mde.1307.Search in Google Scholar

Goering, G. E. 2008. “Welfare Impacts of a Non-profit Firm in Mixed Commercial Markets.” Economic Systems 32: 326–34. https://doi.org/10.1016/j.ecosys.2008.06.002.Search in Google Scholar

Grandmont, J.-M., P. Pintus, and R. de Vilder. 1998. “Capital Labor Substitution and Competitive Nonlinear Endogenous Business Cycles.” Journal of Economic Theory 80: 14–59. https://doi.org/10.1006/jeth.1997.2383.Search in Google Scholar

Hamilton, J. H., and S. M. Slutsky. 1990. “Endogenous Timing in Duopoly Games: Stackelberg or Cournot Equilibria.” Games and Economic Behavior 2: 29–46. https://doi.org/10.1016/0899-8256(90)90012-j.Search in Google Scholar

Hanweck, G. A., and A. B. Hogan. 1996. “The Structure of the Property/casualty Insurance Industry.” Journal of Economics and Business 48: 141–55. https://doi.org/10.1016/0148-6195(95)00073-9.Search in Google Scholar

Heywood, J. S., and M. McGinty. 2007. “Convex Costs and the Merger Paradox Revisited.” Economic Inquiry 45: 342–9. https://doi.org/10.1111/j.1465-7295.2006.00010.x.Search in Google Scholar

International Congress and Convention Association (ICCA). 2010. Statistics Report 2010. https://www.iccaworld.com/dcps/doc.cfm?docid=1246.Search in Google Scholar

Katz, M., and C. Shapiro. 1985. “Network Externalities, Competition, and Compatibility.” The American Economic Review 75: 424–40.Search in Google Scholar

Kim, S.-L., S.-H. Lee, and T. Matsumura. 2019. “Corporate Social Responsibility and Privatization Policy in a Mixed Oligopoly.” Journal of Economics 128: 67–89. https://doi.org/10.1007/s00712-018-00651-7.Search in Google Scholar

Kopel, M., and B. Brand. 2012. “Socially Responsible Firms and Endogenous Choice of Strategic Incentives.” Economic Modelling 29: 982–9. https://doi.org/10.1016/j.econmod.2012.02.008.Search in Google Scholar

Kopel, M., and F. Lamantia. 2018. “The Persistence of Social Strategies under Increasing Competitive Pressure.” Journal of Economic Dynamics and Control 91: 71–83. https://doi.org/10.1016/j.jedc.2018.03.005.Search in Google Scholar

Kopel, M., F. Lamantia, and F. Szidarovszky. 2014. “Evolutionary Competition in a Mixed Market with Socially Concerned Firms.” Journal of Economic Dynamics and Control 48: 394–409. https://doi.org/10.1016/j.jedc.2014.06.001.Search in Google Scholar

KPMG. 2005. KPMG International Survey of Corporate Responsibility Reporting 2005. https://commdev.org/userfiles/files/1274_file_D2.pdf.Search in Google Scholar

KPMG. 2011. KPMG International Survey of Corporate Responsibility Reporting 2011. https://www.kpmg.com/PT/pt/IssuesAndInsights/Documents/corporate-responsibility2011.pdf.Search in Google Scholar

KPMG. 2013. KPMG Survey of Corporate Responsibility Reporting 2013. https://assets.kpmg.com/content/dam/kpmg/pdf/2015/08/kpmg-survey-of-corporate-responsibility-reporting-2013.pdf.Search in Google Scholar

KPMG. 2016a. Corporate Responsibility Reporting in the Technology, Media & Telecommunications Sector. https://assets.kpmg.com/content/dam/kpmg/pdf/2016/06/survey-sector-supplement-tmt.pdf (accessed April, 2016).Search in Google Scholar

KPMG. 2016b. Corporate Responsibility Reporting in the Telecom Sector. https://assets.kpmg.com/content/dam/kpmg/xx/pdf/2016/08/corporate-responsibility-reporting-telecom-sector.pdf (accessed July, 2016).Search in Google Scholar

KPMG. 2022. Big Shifts, Small Steps. Survey of Corporate Responsibility Reporting 2022. https://assets.kpmg.com/content/dam/kpmg/xx/pdf/2023/04/big-shifts-small-steps.pdf (accessed October, 2022).Search in Google Scholar

Lambertini, L. 2000. “Extended Games Played by Managerial Firms.” The Japanese Economic Review 51: 274–83. https://doi.org/10.1111/1468-5876.00152.Search in Google Scholar

Lambertini, L., and A. Tampieri. 2010. Corporate Social Responsibility in a Mixed Oligopoly. Department of Economics, University of Bologna. Working Paper No. 723.10.2139/ssrn.1729130Search in Google Scholar

Lambertini, L., and A. Tampieri. 2015. “Incentives, Performance and Desirability of Socially Responsible Firms in a Cournot Oligopoly.” Economic Modelling 50: 40–8. https://doi.org/10.1016/j.econmod.2015.05.016.Search in Google Scholar

Lambertini, L., A. Palestini, and A. Tampieri. 2016. “CSR in an Asymmetric Duopoly with Environmental Externality.” Southern Economic Journal 83: 236–52. https://doi.org/10.1002/soej.12140.Search in Google Scholar

Leal, M., A. García, and S. H. Lee. 2021. “Sequencing R&D Decisions with a Consumer-Friendly Firm and Spillovers.” The Japanese Economic Review 72: 243–60.10.1007/s42973-019-00028-5Search in Google Scholar

Lee, S. H., and T. Muminov. 2021. “Endogenous Timing of R&D Decisions and Privatization Policy with Research Spillovers.” Journal of Industry, Competition and Trade 21: 505–25.10.1007/s10842-021-00365-5Search in Google Scholar

Lee, S. H., and L. Xu. 2018. “Endogenous Timing in Private and Mixed Duopolies with Emission Taxes.” Journal of Economics 124: 175–201. https://doi.org/10.1007/s00712-017-0565-1.Search in Google Scholar

Marini, M. A., M. L. Petit, and R. Sestini. 2014. “Strategic Timing in R&D Agreements.” Economics of Innovation and New Technology 23: 274–303.10.1080/10438599.2013.830905Search in Google Scholar

Masuyama, R. 2024 In preparation. “Endogenous Timing with Upstream Corporate Social Responsibility.” Asia-Pacific Journal of Accounting & Economics 1–22, https://doi.org/10.1080/16081625.2024.2361668.Search in Google Scholar

Matsumura, T. 2003. “Stackelberg Mixed Duopoly with a Foreign Competitor.” Bulletin of Economic Research 55: 275–87.10.1111/1467-8586.00175Search in Google Scholar

Matsumura, T., and A. Ogawa. 2014. “Corporate Social Responsibility or Payoff Asymmetry? A Study of an Endogenous Timing Game.” Southern Economic Journal 81: 457–73. https://doi.org/10.4284/0038-4038-2012.182.Search in Google Scholar

Matsumura, T., and A. Ogawa. 2017. “Endogenous Timing in Mixed Duopolies with Externality.” Australian Economic Papers 56: 304–27. https://doi.org/10.1111/1467-8454.12104.Search in Google Scholar

Mukherjee, A. 2007. “Irrelevance of Productivity Difference: A Case with Labor Union.” Economics Bulletin 10: 1–8.Search in Google Scholar

Nakamura, Y., and T. Inoue. 2009. “Endogenous Timing in a Mixed Duopoly: Price Competition with Managerial Delegation.” Managerial and Decision Economics 30: 325–33. https://doi.org/10.1002/mde.1455.Search in Google Scholar

Pal, D. 1998. “Endogenous Timing in a Mixed Oligopoly.” Economics Letters 61: 181–5. https://doi.org/10.1016/s0165-1765(98)00115-3.Search in Google Scholar

Perry, M., and R. H. Porter. 1985. “Oligopoly and Incentive for Horizontal Merger.” The American Economic Review 75: 219–27.Search in Google Scholar

Pickering, A. 2008. “The Oil Reserves Production Relationship.” Energy Economics 30: 352–70. https://doi.org/10.1016/j.eneco.2007.01.014.Search in Google Scholar

Planer-Friedrich, L., and M. Sahm. 2020. “Strategic Corporate Social Responsibility, Imperfect Competition, and Market Concentration.” Journal of Economics 129: 79–101. https://doi.org/10.1007/s00712-019-00663-x.Search in Google Scholar

Planer-Friedrich, L., and M. Sahm. 2021. “Strategic CSR in Asymmetric Cournot Duopoly.” Journal of Industry, Competition and Trade 21: 33–42. https://doi.org/10.1007/s10842-020-00335-3.Search in Google Scholar

Roller, L. H. 1990. “Proper Quadratic Cost Functions with an Application to the Bell System.” The Review of Economics and Statistics 72: 202–10. https://doi.org/10.2307/2109709.Search in Google Scholar

Roumasset, J., D. Isaak, and F. Fesharaki. 1983. “Oil Prices without OPEC: A Walk on the Supply-Side.” Energy Economics 5: 164–70. https://doi.org/10.1016/0140-9883(83)90057-9.Search in Google Scholar

Siegel, D. S., and D. F. Vitaliano. 2007. “An Empirical Analysis of the Strategic Use of Corporate Social Responsibility.” Journal of Economics and Management Strategy 16: 773–92. https://doi.org/10.1111/j.1530-9134.2007.00157.x.Search in Google Scholar

Singh, N., and X. Vives. 1984. “Price and Quantity Competition in a Differentiated Duopoly.” The RAND Journal of Economics 15: 546–54. https://doi.org/10.2307/2555525.Search in Google Scholar

Slade, M. E. 1982. “Trends in Natural-Resource Commodity Prices: An Analysis of the Time Domain.” Journal of Environmental Economics and Management 9: 122–37. https://doi.org/10.1016/0095-0696(82)90017-1.Search in Google Scholar

Spitzeck, H., and E. G. Hansen. 2010. “Stakeholder Governance: How Stakeholders Influence Corporate Decision Making. Corporate Governance.” The International Journal of Business in Society 10: 378–91. https://doi.org/10.1108/14720701011069623.Search in Google Scholar

Statista. 2025. Leading Oil and Gas Companies Based on Revenue in the United States as of 2024. https://www.statista.com/statistics/257417/top-10-oil-and-gas-companies-worldwide-based-on-revenue/.Search in Google Scholar

Tomaru, Y., and K. Kiyono. 2010. “Endogenous Timing in Mixed Duopoly with Increasing Marginal Costs.” Journal of Institutional and Theoretical Economics 166: 591–613. https://doi.org/10.1628/093245610793524893.Search in Google Scholar

Tomaru, Y., and M. Saito. 2010. “Mixed Duopoly, Privatization and Subsidization in an Endogenous Timing Framework.” The Manchester School 78: 41–59. https://doi.org/10.1111/j.1467-9957.2009.02127.x.Search in Google Scholar

Wang, X., and L. F. S. Wang. 2024. “Corporate Social Responsibility and Tariff Policy in a Differentiated Mixed Duopoly.” Bulletin of Economic Research 76: 470–87. https://doi.org/10.1111/boer.12432.Search in Google Scholar

White, M. D. 1996. “Mixed Oligopoly, Privatization and Subsidization.” Economics Letters 53: 189–95. https://doi.org/10.1016/s0165-1765(96)00916-0.Search in Google Scholar

Xu, L., Q. Zhao, Y. Chen, and S. H. Lee. 2023. “Post Privatization of High-Speed Rail with CSR in an International Transportation Market: Mandatory versus Voluntary CSR.” Economics of Transportation 35: 100323. https://doi.org/10.1016/j.ecotra.2023.100323.Search in Google Scholar

Zhang, Q., and L. F. S. Wang. 2022. “Corporate Social Responsibility, Entry and Optimal Privatization in an International Mixed Market.” International Review of Economics & Finance 77: 14–24. https://doi.org/10.1016/j.iref.2021.09.001.Search in Google Scholar

Received: 2024-11-05
Accepted: 2025-03-11
Published Online: 2025-06-03

© 2025 Walter de Gruyter GmbH, Berlin/Boston

Downloaded on 15.10.2025 from https://www.degruyterbrill.com/document/doi/10.1515/bejte-2024-0122/html
Scroll to top button