Vasoactive intestinal peptide (VIP) and pituitary adenylate cyclase-activating polypeptide (PACAP) in the circulation after sumatriptan
-
Jakob Møller Hansen
, Jan Fahrenkrug , Jesper Petersen , Troels Wienecke , Karsten Skovgaard Olsen and Messoud Ashina
Abstract
Background and purpose
The origin of migraine pain is still elusive, but increasingly researchers focus on the neuropeptides in the perivascular space of cranial vessels as important mediators of nociceptive input during migraine attacks. The parasympathetic neurotransmitters, pituitary adenylate cyclase activating peptide-38 (PACAP38) and vasoactive intestinal peptide (VIP) may be released from parasympathetic fibres and activate sensory nerve fibres during migraine attacks. Triptans are effective and well tolerated in acute migraine management but the exact mechanism of action is still debated. Triptans might reduce circulating neuropeptides. To examine this question, we examined the effect of sumatriptan on VIP and PACAP levels in vivo, under conditions without trigeminovascular system activation.
Methods
In 16 healthy volunteers we measured VIP and PACAP levels before and after administration of subcutaneous sumatriptan. We simultaneously collected blood samples from the internal and external jugular, the cubital veins and the radial artery, thereby covering both the cerebral and systemic circulation. VIP and PACAP determinations were assayed blindly with respect to timing and vascular compartments, but with all samples of a patient in the same assay, to minimize the influence of interassay variation.
Results
We found no difference in VIP and PACAP concentrations between the internal and external jugular, the cubital veins and the radial artery, (P>0.05), and the circulating levels of VIP and PACAP did not change over time (P>0.05). We found excellent agreement between neuropeptide levels in the internal and the external jugular system.
Conclusion
Sumatriptan did not change the levels of circulating VIP and PACAP in the intra or extra cerebral circulation in healthy volunteers. Under baseline conditions, without trigeminovascular activation, sumatriptan does not affect the release of neuropeptides VIP and PACAP.
Implications
Our results indicate no effect of 5-HT1B/D receptor activation on circulating levels of VIP and PACAP in humans without trigeminovascular activation. Given that neuropeptides play an important role for migraine it would be interesting to conduct a similar study in a migraine population.
1 Introduction
Neuropeptides are implicated in the pathophysiology of primary headaches. Vasoactive intestinal peptide (VIP) and pituitary adenylate cyclase-activating polypeptide (PACAP) are both vasoactive peptides belonging to a family of structurally related peptides [1]. VIP and PACAP are found in perivascular parasympathetic nerve fibres [2]. PACAP can interact with three subtypes of receptors (PAC1, VPAC1 and VPAC2) of which the latter two are shared with VIP [3]. Increased levels of neuropeptides have been found in cranial venous blood during migraine attacks [4] and in patients with cluster headache [5]. Release of vasoactive peptides (as VIP and PACAP) during attacks could be the result of activation of a brainstem reflex [6] and parasympathetic outflow release neurotransmitters to the cephalic vasculature that might trigger activation and sensitization of perivascular sensory afferents [7] and cause pain.
The triptans, 5-hydroxytryptamine (5-HT1B/D receptor agonist), are effective and well tolerated in acute migraine management [8]. Triptans may lead to a decreased release of neuropeptides such as calcitonin generelated peptide (CGRP) [9], but potentially also other neuropeptides, as VIP and PACAP. It is unknown whether triptans modulate the VIP and PACAP levels in vivo.
We therefore conducted a pharmacological model study to examined VIP and PACAP plasma levels under conditions without trigeminovascular system activation, and we therefore examined healthy volunteers. Sumatriptan causes vasoconstriction of the dural vessels [10] but acts only as a weak vasoconstrictor of the superficial temporal artery [11]. This could reflect a different action of sumatriptan on intra and extracerebral vessels, and we therefore measured peptide levels in the venous outflow from the intra-and extracerebral circulation before and after subcutaneous injection of sumatriptan.
2 Methods
We recruited 17 healthy subjects for the study (12 M/5 F, mean age 27.5 years, range 21-35 years). Inclusion criteria were: age 18-35 years, body weight 50-100 kg. Exclusion criteria were: a personal or a family history of migraine or any other type of headache (except episodic tension type headache less than once a week); headache within 24 h before study start; any daily medication apart from oral contraceptives; pregnancy or breastfeeding; and serious somatic or psychiatric diseases. Human chorionic gonadotropin (hCG) measurements were done in all female patients before start of the experiments. The Ethics Committee of the County of Copenhagen (KA-20060069), Danish Medicines Agency, and the Danish Data Protection Agency approved the study, which was undertaken in accordance with the Helsinki Declaration of 1964, as revised in Edinburgh in 2000. The study was monitored by the unit for Good Clinical Practice at Copenhagen University Hospital and registered on http://www.clinicaltrials.gov. All subjects gave written informed consent to participate in the study.
2.1 Experimental design
All procedures were performed in a quiet room with a constant temperature of 25 °C, and the subjects rested in the supine position for 30 min before baseline measurements. Catheters were inserted in the internal (5Fr 200 mm, BD CareflowTM, Becton Dickinson Ltd., Singapore) and external jugular vein, the cubital vein (16G, Optiva 2, Medex Medical Ltd., Rossendale, Great Britain), and the radial artery (20 G, arterial cannula, Becton Dickinson, Swindon, UK). Procedures were carried out under sterile conditions and sonographic guidance (Side Rite IV Ultrasound Scanner, BARD Access Systems, Inc., Salt Lake City, USA) was used to determine the size and location of the internal jugular catheter, placed at bul-bus jugularis. The correct placement in the internal jugular vein was confirmed by the marked O2 difference between the internal and external jugular veins, as described in [12]. We subcutaneously injected sumatriptan 6 mg (GlaxoSmithKline) in the right thigh to reduce inter-patient variability in pharmacokinetics, and because this formulation yields the highest therapeutic gain in migraine patients.
Blood samples were collected 10min before sumatriptan and then 15, 30, 60 and 90 min after drug administration. Blood samples were collected in ice-chilled tubes containing heparin and aprotinin. Plasma was separated by centrifugation at 4 °C within half an hour and then stored at -20 °C until shipment for analysis. Samples were coded and VIP and PACAP determinations were assayed blindly with respect to timing and vascular compartments, but with all samples of a patient in the same assay, to minimize the influence of interassay variation. All catheters were flushed with isotonic saline 0.9% immediately after sampling and emptied immediately before sampling. The subjects were discharged from the hospital 2 h after injection of sumatriptan.
2.2 Plasma concentration of VIP
Blood samples for VIP measurement were collected in ice-chilled tubes containing 50 IU of heparin and 500 kIU aprotinin (Trasylol, Bayer, Germany) per ml blood. Plasma was separated by centrifugation (1500 × g) at 4°C within half an hour and immediately frozen at -20°C. The VIP radioimmunoassay was performed as previously described using antiserum 5603-6 at a final titre of 1.2 × 106 in a total volume of 0.8 ml/tube [13]. This antiserum recognizes the mid-and C-terminal region of the VIP molecule (sequence 11-24) and displays no cross reactivity with other known gastrointestinal peptides or neuropeptides. The label has a specific radioactivity of 0.92 nCi/fmol (~34 Bq/fmol). The IC50 value (the concentration of VIP giving 50% displacement of label) was 24pmol/l and the assay could detect changes of 3 pmol/l with 95% confidence.
2.3 Plasma concentration of PACAP38
Blood samples for PACAP38 measurements were collected in ice-chilled tubes containing 50IU of heparin and 500 kIU aprotinin (Trasylol, Bayer, Germany) per ml of blood. Plasma was separated by centrifugation (1500 × g) at 4 °C within half an hour and immediately frozen at -20°C. The concentration of PACAP38 in plasma was measured radioimmunochemically using antiserum 733C-5 directed against the sequence PACAP28-38 [14]. The antiserum that was used at a final titre of 1.2 × 105 in a total volume of 0.8 ml/tube does not cross-react with PACAP27, VIP or other structurally related peptides. Synthetic PACAP28-38 labelled to a specific radioactivity of 30 Bq/mol with 125I by the iodogen method was used as tracer and synthetic human PACAP38 was used as standard. The IC50 value (the concentration of PACAP38 giving 50% displacement of the tracer) was 17 pmol/l and the assay could detect changes of 2 pmol/l with 95% confidence. The intra-assay and inter-assay coefficient of variation values at a level of 20 pmol/l were 3.1 and 10.1%, respectively. Since PACAP38 in human plasma is bound to the protein ceruloplasmin [15] the peptide was freed from ceruloplasmin before measurement by the following procedure: 1.2 ml of1% trifluoroacetic acid was added to an equal volume of plasma from each subject and mixed thoroughly for 60 s. After incubation for 10 min on ice-bath the mixture was neutralized by addition of 15 μl of 5 M NaOH. Subsequently 2.5 ml of absolute ethanol was added. After thorough mixing followed by centrifugation at 1500 × g for 20 min at 4°C the supernatant was decanted and dried under vacuum. The dried product was reconstituted to its original volume with assay buffer.
2.4 Data analysis and statistics
ANOVA was used to assess change within groups over time, with catheters as the between subjects factor and time of sample as the within subjects factor. We also compared the area under the curve (AUC) for the peptide concentration between the different vascular compartment. We compared the AUC, baseline values and changes over time in peptide levels within each vascular compartment using one-way ANOVA. We did a post hoc analysis of the difference in peptide concentration between baseline and the time of maximal sumatriptan concentration, Cmax, 15 min after injection, using a Dunnett t-test. We compared the baseline-Cmax difference between compartments using the one-way ANOVA. To determine the agreement between the peptide concentration in the internal and external jugular system, we compared data as described by Bland and Altman [16]. Changes in vascular variables were analyzed using a paired, two-way t-test. Baseline was defined as time -10 min. Plasma half-life was calculated fitting individual curves in a one-phase exponential decay model (Graph-Pad prism 3.0, San Diego, CA, USA). All analyses were performed with SPSS for Windows 17.0 (Chicago, IL, USA). Five percent (P<0.05) was accepted as significance level.
Baseline neuropeptide concentration (mean ± SEM).
| Radial artery (n = 16) | Internal jugular vein (n = 15) | External jugular vein (n = 10/11) | Cubital vein(n =15) | |
|---|---|---|---|---|
| VIP (pmol/l) | 3.5 ± 0.22 | 3.5 ± 0.17 | 2.9 ± 0.25 (n = 10) | 3.4 ± 0.16 |
| PACAP (pmol/l) | 0.54 ± 0.06 | 0.58 ± 0.06 | 0.62 ± 0.08 (n = 11) | 0.46 ± 0.06 |
Relative changes in VIP and PACAP concentration between baseline and Cmax, (mean, 95% CI) (P>0.05 forall).
| Radial artery (n = 16) | Internal jugular vein (n = 15) | External jugular vein (n = 10/11) | Cubital vein (n =15) | |
|---|---|---|---|---|
| VIP | +0.95% (-10.0 to+11.9%) | +2.58% (-12.5 to+17.6%) | -1.44% (-24.8 to +22.0%)(n =10) | +3.45% (-6.5 to+13.4%) |
| PACAP | +2.3% (-14.7 to+19.2%) | +7.2% (-10.3% to +24.7%) | -10.9% (-27.8 to +5.9%) (n =11) | -1.2% (-22.3 to +22.7%) |
2.5 Vital signs
Arterial blood pressure was measured on the radial arterial catheter (GabarithTM, single transducer set, Becton Dickinson Ltd., Singapore), monitored continuously and recorded on paper every 15 min. Heart rate and ECG (Cardiofax V, Nihon-Cohden, Japan) was monitored continuously on an LCD screen and recorded on paper every 15 min.
3 Results
One subject withdrew from the study before any procedures were performed and sixteen subjects completed the study, (12 M/4 F, mean age 27.5 years, range 21-35 years). Due to catheter related problems there were missing values in samples from internal jugular vein (n = 5 out of 80), external jugular vein (n = 26 out of 80) and cubital vein (n = 13 out of 80). The missing values were evenly distributed across time points. There were no differences in baseline neuropeptide concentration between the four catheters (VIP, P =0.15, PACAP, P = 0.21) (Table 1).
3.1 Plasma levels of VIP after sumatriptan
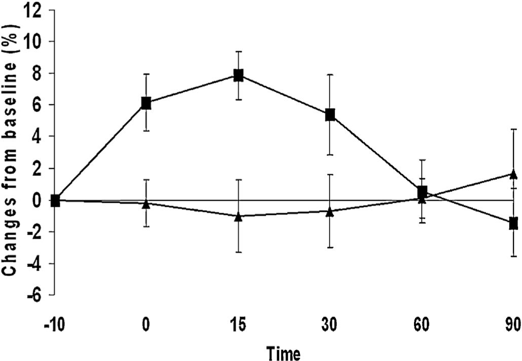
We found no difference in VIP concentration (P = 0.65) (Fig. 1), and AUCVip did not differ between the four vascular compartments (P =0.92). The ANOVA showed that VIP did not change over time in the four compartments (P> 0.05).
There were no difference in VIP concentration between baseline and Cmax; mean 0.11 pmol/l, (95% CI -0.1 to +0.33) (P =0.32) (Table 2).
3.2 Plasma levels of PACAP after sumatriptan
We found no difference in PACAP concentrations (P =0.42) (Fig. 1), and AUCPACAP did not differ between the four vascular compartments (P = 0.36). The ANOVA showed that PACAP did not change over time in the four compartments (P> 0.05).
There were no difference in PACAP concentration between baseline and Cmax; mean -0.008 pmol/l (95% CI -0.07 to +0.06) (P =0.30) (Table 2).
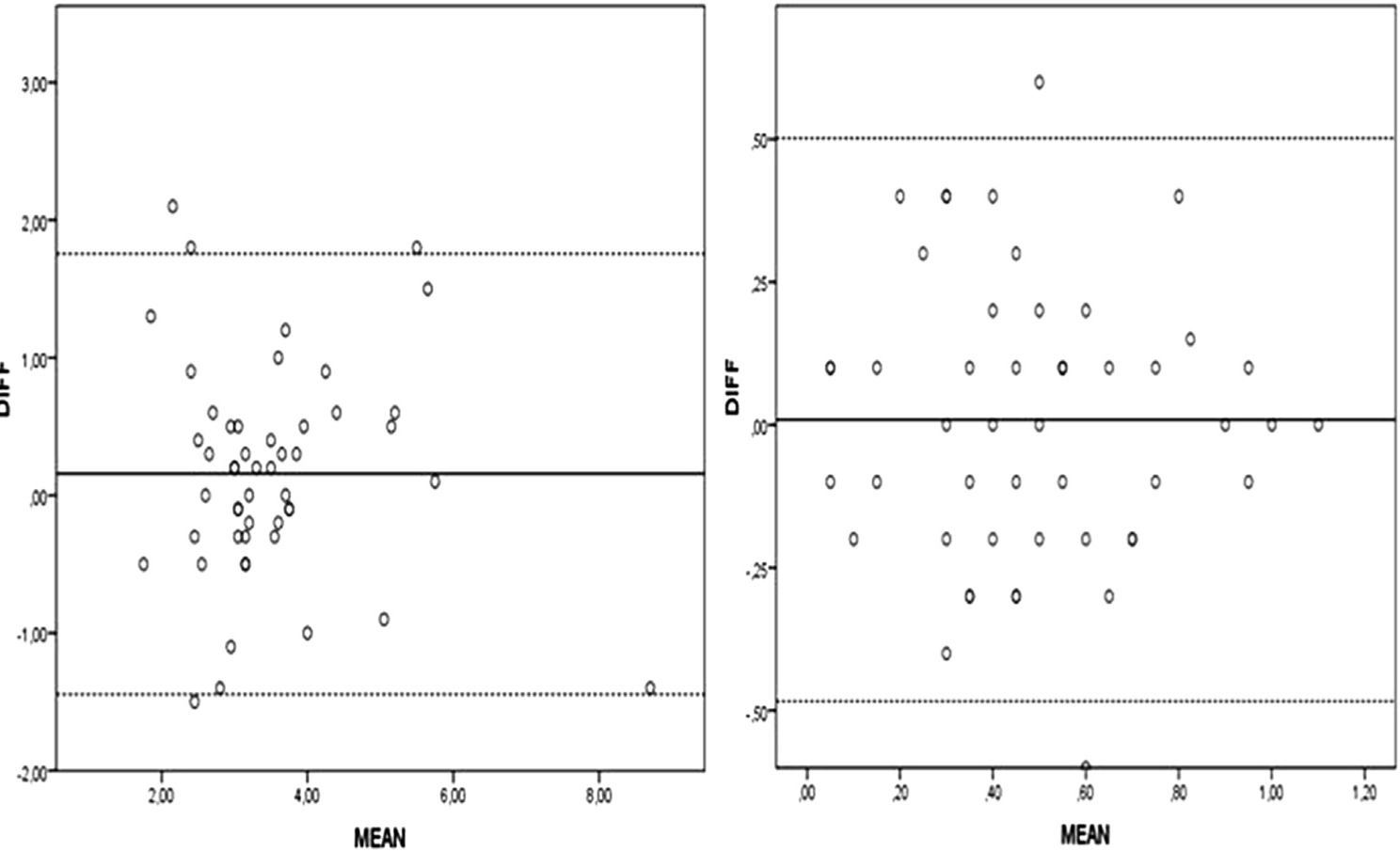
3.3 Variation between internal and external jugular neuropeptide concentration
The mean difference in VIP concentrations was 0.16 pmol/l between the internal and external jugular vein, with a variability of the measurements, also called 95% limits of agreement (1.96 ± SD about the mean) [16] of 1.59 pmol/l (Fig. 2).
The mean difference in PACAP concentrations was 0.009 pmol/l between the internal and external jugular vein, with a variability of the measurements of 0.49 pmol/l (Fig. 2).
3.4 The vascular effects of sumatriptan
Sumatriptan induced a significant increase in mean arterial blood pressure (P<0.001), of 7.9% ± 1.5 relative to baseline at Cmax, but did not change heart rate (P> 0.05) (Fig. 3).
3.5 Adverse events
The following adverse events were reported: tightness and pressure of the neck and body (n = 10), headache (n = 8) and a feeling of warmth (n = 5). These adverse events occurred shortly after administration, and resolved mostly spontaneously within 30 min. No other periprocedural side effects were observed.

VIP and PACAP before and after sumatriptan (median ± SEM). Concentration (pmol/l) of VIP (squares) and PACAP (triangles) before and after 6 mg subcutaneous sumatriptan.

Intra vs. extracerebral levels of VIP and PACAP. Bland-Altman plot of VIP (left) and PACAP (right) concentration in the internal and external jugular vein. Mean difference in VIP concentration between internal and external jugular vein was 0.16 pmol/l with a precision of ±1.59. Mean difference in PACAP concentration between internal and external jugular vein was –0.009 pmol/l with a precision of ±0.49. Lines delineate mean and the 95% limits of agreement (mean ± 2 × SD).

The vascular effects of sumatriptan. Changes in middle arterial blood pressure (squares) and heart rate (triangles) after sumatriptan (mean ± SEM).
4 Discussion
The major outcome of the present study is that sumatriptan did not change the levels of circulating VIP and PACAP in the intra or extracranial circulation in healthy volunteers.
4.1 Localization and function of VIP and PACAP
VIP is present in the parasympathetic nerve fibres surrounding human temporal [17] and middle cerebral artery [18] and VIP receptors are found in the human sphenopalatine and otic ganglia [19]. PACAP immunoreactive nerve fibres surround cerebral vessels in the cat [20], and the trigeminal nucleus caudalis in humans [21]. PACAP receptors can be found on cerebral arteries [22] and the perivascular nerves of both sensory, parasympathetic and sympathetic nerves [22].
Parasympathetic nerve fibres innervating cerebral vessels originate from the sphenopalatine and otic ganglia [23], and VIP, PACAP and their receptors are found in the sphenopalatine ganglion [24]. The activation of postganglionic parasympathetic neurons in the sphenopalatine ganglion, leads to vasodilation and possibly activation of meningeal nociceptors [25]. Blockade of the sphenopalatine ganglion with intranasal lidocaine might be effective in the treatment of migraine attacks [26]. VIP and PACAP are thus present in structures and have physiological effects that are highly relevant in migraine pathophysiology.
4.2 VIP and PACAP in migraine
It is highly debated whether migraine attacks and trigeminovascular activation lead to increased release of neuropeptides [27]. The role of VIP and PACAP in migraine was examined in a series of human experimental studies. When administered to humans, PACAP38 induces sustained cephalic vasodilatation in healthy volunteers and migraine-like headache in patients with migraine without aura [28], whereas VIP induces just a short lasting and mild headache in control subjects [29] and no migraine attacks in patients with migraine without aura [30]. The migraine induction by PACAP-38, in contrast to VIP, suggests that the shared VIP/PACAP receptors (VPAC1 and VPAC2) are unlikely to be causal for induction of migraine, but points towards an important role of the PACAP-selective PAC1 receptor. The exact pronociceptive mechanisms of PACAP are still not mapped out in details, but central sensitization [31] or mast cell degranulation could be involved [32].
4.3 Triptans and VIP/PACAP
The triptans are effective in the acute treatment of migraine pain [8]. The exact mechanisms of action are still unresolved but could include reduced release of vasoactive peptides [9]. It has been suggested that after triptan administration, head pain subsides in parallel with normalization of neuropeptide release [33]. The present results, however, suggest no effect of sumatriptan on levels of circulating VIP and PACAP in healthy volunteers.
4.4 Intra vs. extracerebral levels of VIP and PACAP
It has been suggested that blood from the internal jugular vein specifically reflects intracranial neurotransmitter physiology, whereas the external jugular blood express neurotransmitter and biochemical variations in both intra-and extracranial cerebral structures [34]. As a part of the study we examined whether sumatriptan had different effect on the VIP/PACAP concentration in blood from the internal and the external jugular system. We found excellent agreement between neuropeptide levels in both compartments (Fig. 2), indicating a similar effect of triptans on neuropeptide levels in the two compartments. Sumatriptan is hydrophilic and therefore does not easily penetrate the blood-brain barrier (BBB) however, recent findings support a peripheral site of action for sumatriptan in the dural pain fibres [35].
4.5 Methodological considerations
The objective of our study was to examine the effect of sumatriptan on plasma levels of VIP and PACAP, not to determine whether the drug was effective in migraine treatment. We therefore conducted this experiment as a pharmacological model study in healthy volunteers, knowing that our subjects (mostly males) are not reflective of the migraine population in general. Our results indicate no effect of 5-HT1B/D receptor activation on circulating levels of VIP and PACAP in humans without trigeminovascular activation. Given that neuropeptides play an important role for migraine it would be interesting to conduct a similar study in a migraine population.
4.6 Conclusions
The present study shows that
Baseline levels of VIP and PACAP do not differ between the cephalic and systemic circulation (Table 1).
Sumatriptan, at the clinically maximum dose does not change the circulating levels of VIP and PACAP in vivo, without trigemi-novascular system activation (Fig. 1).
We found excellent agreement between the levels of VIP and PACAP in the internal and the external jugular veins (Fig. 2), suggesting that future studies could use just one of the two.
Sumatriptan affected blood pressure (Fig. 3) indicating that the drug was present in relevant doses, even though we did not measure the blood concentration of sumatriptan.
Highlights
Neuropeptides are important in the pathophysiology of primary headaches.
Triptans, 5-HT1B/D receptor agonist, are effective in acute migraine management.
Triptans might reduce circulating neuropeptides VIP and PACAP.
Baseline VIP and PACAP do not differ between the cephalic and systemic circulation.
Sumatriptan does not change the circulating levels of VIP and PACAP in vivo.
DOI of refers to article: http://dx.doi.org/10.1016/j.sjpain.2013.07.001.
Acknowledgement
The authors thank lab technician Anita Hansen for excellent assistance, and the unit for Good Clinical Practice at Copenhagen University Hospital for monitoring the study. Financial support. This work was supported by grants from The Foundation for Research in Neurology, the Danish Headache Society and The Lundbeck Foundation for Neurovascular Signalling (LUCENS).
-
Conflict of interest
The authors have no conflict of interest to declare.
References
[1] Sherwood NM, Krueckl SL, McRory JE. The origin and function of the pituitary adenylate cyclase-activating polypeptide (PACAP)/glucagon superfamily. Endocr Rev 2000;21:619-70.Search in Google Scholar
[2] Jansen-Olesen I, Gulbenkian S, Engel U, Cunha e Sa M, Edvinsson L. Peptidergic and non-peptidergic innervation and vasomotor responses of human lenticulostriate and posteriorcerebral arteries. Peptides 2004;25:2105-14.Search in Google Scholar
[3] Harmar AJ, Fahrenkrug J, Gozes I, Laburthe M, May V, Pisegna JR, Vaudry D, Vaudry H, Waschek JA, Said SI. Pharmacology and functions of receptors for vasoactive intestinal peptide and pituitary adenylate cyclase-activating polypeptide: IUPHAR review 1. BrJ Pharmacol 2012;166:4-17.Search in Google Scholar
[4] Goadsby PJ, Edvinsson L, Ekman R. Vasoactive peptide release in the extracerebral circulation of humans during migraine headache. Ann Neurol 1990;28:183-7.Search in Google Scholar
[5] Edvinsson L, Goadsby PJ. Neuropeptides in migraine and cluster headache. Cephalalgia 1994;14:320-7.Search in Google Scholar
[6] Edvinsson L, Petersen KA. CGRP-receptor antagonism in migraine treatment. CNS Neurol Disord Drug Targets 2007;6:240-6.Search in Google Scholar
[7] Yarnitsky D, Goor-Aryeh I, Bajwa ZH, Ransil BI, Cutrer FM, Sottile A, Burstein R. 2003 Wolff award: possible parasympathetic contributions to peripheral and central sensitization during migraine. Headache 2003;43: 704-14.Search in Google Scholar
[8] Ferrari M, Melamed E, Gawel MJ, Nappi G, Luben V, Tranchant C, Donoghue S, Durham J, Pilgrim A, Tansey MJB. Treatment of migraine attacks with sumatriptan. The Subcutaneous Sumatriptan International Study Group. N Engl J Med 1991;325:316-21.Search in Google Scholar
[9] Goadsby PJ, Edvinsson L. The trigeminovascular system and migraine: studies characterizing cerebrovascular and neuropeptide changes seen in humans and cats. Ann Neurol 1993;33:48-56.Search in Google Scholar
[10] Henkes H, May A, Kuhne D, Berg-Dammer E, Diener HC. Sumatriptan: vasoactive effect on human dural vessels, demonstrated by subselective angiography. Cephalalgia 1996;16:224-30.Search in Google Scholar
[11] Razzaque Z, Pickard JD, Ma QP, Shaw D, Morrison K, Wang T, Longmore J. 5-HT1B-receptors and vascular reactivity in human isolated blood vessels: assessment of the potential craniovascular selectivity of sumatriptan. BrJ Clin Pharmacol 2002;53:266-74.Search in Google Scholar
[12] Olsen KS, Svendsen LB, Larsen FS. Validation of transcranial near-infrared spectroscopy for evaluation of cerebral blood flow autoregulation. J Neurosurg Anesthesiol 1996;8:280-5.Search in Google Scholar
[13] Fahrenkrug J, Schaffalitzky de Muckadell OV. Radioimmunoassay of vasoactive intestinal polypeptide (VIP) in plasma. J Lab Clin Med 1977;89: 1379-88.Search in Google Scholar
[14] Hannibal J, Mikkelsen JD, Clausen H, Holst JJ, Wulff BS, Fahrenkrug J. Gene expression of pituitary adenylate cyclase activating polypeptide (PACAP) in the rat hypothalamus. Regul Pept 1995;55:133-48.Search in Google Scholar
[15] Tams JW, Johnsen AH, Fahrenkrug J. Identification of pituitary adenylate cyclase-activating polypeptide1-38-binding factor in human plasma, as ceruloplasmin. Biochem J 1999;341:271-6.Search in Google Scholar
[16] Bland JM, Altman DG. Statistical methods for assessing agreement between two methods ofclinical measurement. Lancet 1986;1:307-10.Search in Google Scholar
[17] Jansen I, Uddman R, Hocherman M, Ekman R, Jensen K, Olesen J, Stiernholm P, Edvinsson L. Localization and effects of neuropeptide Y, vasoactive intestinal polypeptide, substance P, and calcitonin generelated peptide in human temporal arteries. Ann Neurol 1986;20:496-501.Search in Google Scholar
[18] Fahrenkrug J, Hannibal J, Tams J, Georg B. Immunohistochemical localization of the VIP1 receptor (VPAC1R) in rat cerebral blood vessels: relation to PACAP and VIP containing nerves. J Cereb Blood Flow Metab 2000;20: 1205-14.Search in Google Scholar
[19] Uddman R, Tajti J, Moller S, Sundler F, Edvinsson L. Neuronal messengers and peptide receptors in the human sphenopalatine and otic ganglia. Brain Res 1999;826:193-9.Search in Google Scholar
[20] Uddman R, Goadsby PJ, Jansen I, Edvinsson L. PACAP, a VIP-like peptide: immunohistochemical localization and effect upon cat pial arteries and cerebral blood flow.J Cereb Blood Flow Metab 1993;13:291-7.Search in Google Scholar
[21] Uddman R, Tajti J, Hou M, Sundler F, Edvinsson L. Neuropeptide expression in the human trigeminal nucleus caudalis and in the cervical spinal cord C1 and C2. Cephalalgia 2002;22:112-6.Search in Google Scholar
[22] Knutsson M, Edvinsson L. Distribution of mRNA for VIP and PACAP receptors in human cerebral arteries and cranial ganglia. Neuroreport 2002;13: 507-9.Search in Google Scholar
[23] Edvinsson L, Elsas T, Suzuki N, Shimizu T, Lee TJ. Origin and co-localization of nitric oxide synthase, CGRP, PACAP, and VIP in the cerebral circulation of the rat. Microsc Res Tech 2001;53:221-8.Search in Google Scholar
[24] Csati A, TajtiJ, Kuris A, Tuka B, Edvinsson L, Warfvinge K. Distribution of vasoactive intestinal peptide, pituitary adenylate cyclase-activating peptide, nitric oxide synthase, and their receptors in human and rat sphenopalatine ganglion. Neuroscience 2012;202:158-68.Search in Google Scholar
[25] Burstein R, Jakubowski M. Unitary hypothesis for multiple triggers of the pain and strain of migraine. J Comp Neurol 2005;493:9-14.Search in Google Scholar
[26] Maizels M, Scott B, Cohen W, Chen W. Intranasal lidocaine for treatment of migraine: a randomized, double-blind, controlled trial. J Am Med Assoc 1996;276:319-21.Search in Google Scholar
[27] Tfelt-Hansen P, Le H. Calcitonin generelated peptide in blood: is it increased in the external jugular vein during migraine and cluster headache? A review. J Headache Pain 2009;10:137-43.Search in Google Scholar
[28] Schytz HW, Birk S, Wienecke T, Kruuse C, Olesen J, Ashina M. PACAP38 induces migraine-like attacks in patients with migraine without aura. Brain 2009;132:16-25.Search in Google Scholar
[29] Hansen JM, Sitarz J, Birk S, Rahmann AM, Oturai PS, Fahrenkrug J, Olesen J, Ashina M. Vasoactive intestinal polypeptide evokes only a minimal headache in healthy volunteers. Cephalalgia 2006;26:992-1003.Search in Google Scholar
[30] Rahmann A, Wienecke T, Hansen JM, Fahrenkrug J, Olesen J, Ashina M. Vasoactive intestinal peptide causes marked cephalic vasodilation, but does not induce migraine. Cephalalgia 2008;28:226-36.Search in Google Scholar
[31] Tuka B, Helyes Z, Markovics A, Bagoly T, Nemeth J, Mark L, Brubel R, Reglodi D, Pardutz A, Szolcsanyi J, Vecsei L, Tajti J. Peripheral and central alterations of pituitary adenylate cyclase activating polypeptide-like immunoreactivity in the rat in response to activation of the trigeminovascular system. Peptides 2012;33:307-16.Search in Google Scholar
[32] Baun M, Pedersen MH, Olesen J, Jansen-Olesen I. Dural mast cell degranulation is a putative mechanism for headache induced by PACAP-38. Cephalalgia 2012;32:337-45.Search in Google Scholar
[33] Edvinsson L. Sensory nerves in man and their role in primary headaches. Cephalalgia 2001;21:761-4.Search in Google Scholar
[34] Sarchielli P, Alberti A, Codini M, Floridi A, Gallai V. Nitric oxide metabolites, prostaglandins and trigeminal vasoactive peptides in internal jugular vein blood during spontaneous migraine attacks. Cephalalgia 2000;20: 907-18.Search in Google Scholar
[35] Baillie LD, Ahn AH, Mulligan SJ. Sumatriptan inhibition of N-type calcium channel mediated signaling in dural CGRP terminal fibres. Neuropharmacology 2012;63:362-7.Search in Google Scholar
© 2013 Scandinavian Association for the Study of Pain
Articles in the same Issue
- Editorial comment
- Chronic pain – The invisible disease? Not anymore!
- Clinical pain research
- New objective findings after whiplash injuries: High blood flow in painful cervical soft tissue: An ultrasound pilot study
- Editorial comment
- Chronic pain is strongly associated with work disability
- Observational studies
- Chronic pain: One year prevalence and associated characteristics (the HUNT pain study)
- Editorial comment
- Pain rehabilitation in general practice in rural areas? It works!
- Clinical pain research
- Effectiveness of multidisciplinary rehabilitation treatment for patients with chronic pain in a primary health care unit
- Editorial comment
- Mirror-therapy: An important tool in the management of Complex Regional Pain Syndrome (CRPS)
- Topical review
- Mirror therapy for Complex Regional Pain Syndrome (CRPS)—A literature review and an illustrative case report
- Editorial comment
- New insight in migraine pathogenesis: Vasoactive intestinal peptide (VIP) and pituitary adenylate cyclase-activating polypeptide (PACAP) in the circulation after sumatriptan
- Original experimental
- Vasoactive intestinal peptide (VIP) and pituitary adenylate cyclase-activating polypeptide (PACAP) in the circulation after sumatriptan
- Editorial comment
- Statistical pearls: Importance of effect-size, blinding, randomization, publication bias, and the overestimated p-values
- Topical review
- Significance tests in clinical research—Challenges and pitfalls
- Editorial comment
- Biomarkers of pain – Zemblanity?
- Topical review
- Mechanistic, translational, quantitative pain assessment tools in profiling of pain patients and for development of new analgesic compounds
- Editorial comment
- Chronic Benign Paroxysmal Positional Vertigo (BPPV): A possible cause of chronic, otherwise unexplained neck-pain, headache, and widespread pain and fatigue, which may respond positively to repeated particle repositioning manoeuvres (PRM)
- Observational studies
- Pain and other symptoms in patients with chronic benign paroxysmal positional vertigo (BPPV)
- Editorial comment
- The most important step forward in modern medicine, “a giant leap for mankind”: Insensibility to pain during surgery and painful procedures
- Topical review
- In praise of anesthesia: Two case studies of pain and suffering during major surgical procedures with and without anesthesia in the United States Civil War-1861–65
- Editorial comment
- Intravenous non-opioids for immediate postop pain relief in day-case programmes: Paracetamol (acetaminophen) and ketorolac are good choices reducing opioid needs and opioid side-effects
- Clinical pain research
- Intravenous acetaminophen vs. ketorolac for postoperative analgesia after ambulatory parathyroidectomy
- Editorial comment
- Scandinavian Association for the Study of Pain 2013—Annual scientific meeting abstracts of pain research presentations and greetings from incoming President
- Abstracts
- Why does the impact of multidisciplinary pain management on quality of life differ so much between chronic pain patients?
- Abstracts
- Health care utilization in chronic pain—A population based study
- Abstracts
- Pain treatment in rural Ghana—A qualitative study
- Abstracts
- Pain psychology specialist training 2012–2014
- Abstracts
- Pain assessment, documentation, and management in a university hospital
- Abstracts
- Promising effects of donepezil when added to patients treated with gabapentin for neuropathic pain
- Abstracts
- A pediatric patients’ pain evaluation in the emergency unit
- Abstracts
- Proteomic analysis of cerebrospinal fluid gives insight into the pain relief of spinal cord stimulation
- Abstracts
- The DQB1(*)03:02 HLA haplotype is associated with increased risk of chronic pain after inguinal hernia surgery and lumbar disc herniation
- Abstracts
- On the pharmacological effects of two lidocaine concentrations tested on spontaneous and evoked pain in human painful neuroma: A new clinical model of neuropathic pain
- Abstracts
- The mineralocorticoid receptor antagonist spironolactone enhances morphine antinociception
- Abstracts
- Expression of calcium/calmodulin-dependent protein kinase II in dorsal root ganglia in diabetic rats 6 months and 1 year after diabetes induction
- Abstracts
- Histamine in the locus coeruleus attenuates neuropathic hypersensitivity
- Abstracts
- Pronociceptive effects of a TRPA1 channel agonist methylglyoxal in healthy control and diabetic animals
- Abstracts
- Human inducible pluripotent stem cell-derived sensory neurons express multiple functional ion channels and GPCRs
Articles in the same Issue
- Editorial comment
- Chronic pain – The invisible disease? Not anymore!
- Clinical pain research
- New objective findings after whiplash injuries: High blood flow in painful cervical soft tissue: An ultrasound pilot study
- Editorial comment
- Chronic pain is strongly associated with work disability
- Observational studies
- Chronic pain: One year prevalence and associated characteristics (the HUNT pain study)
- Editorial comment
- Pain rehabilitation in general practice in rural areas? It works!
- Clinical pain research
- Effectiveness of multidisciplinary rehabilitation treatment for patients with chronic pain in a primary health care unit
- Editorial comment
- Mirror-therapy: An important tool in the management of Complex Regional Pain Syndrome (CRPS)
- Topical review
- Mirror therapy for Complex Regional Pain Syndrome (CRPS)—A literature review and an illustrative case report
- Editorial comment
- New insight in migraine pathogenesis: Vasoactive intestinal peptide (VIP) and pituitary adenylate cyclase-activating polypeptide (PACAP) in the circulation after sumatriptan
- Original experimental
- Vasoactive intestinal peptide (VIP) and pituitary adenylate cyclase-activating polypeptide (PACAP) in the circulation after sumatriptan
- Editorial comment
- Statistical pearls: Importance of effect-size, blinding, randomization, publication bias, and the overestimated p-values
- Topical review
- Significance tests in clinical research—Challenges and pitfalls
- Editorial comment
- Biomarkers of pain – Zemblanity?
- Topical review
- Mechanistic, translational, quantitative pain assessment tools in profiling of pain patients and for development of new analgesic compounds
- Editorial comment
- Chronic Benign Paroxysmal Positional Vertigo (BPPV): A possible cause of chronic, otherwise unexplained neck-pain, headache, and widespread pain and fatigue, which may respond positively to repeated particle repositioning manoeuvres (PRM)
- Observational studies
- Pain and other symptoms in patients with chronic benign paroxysmal positional vertigo (BPPV)
- Editorial comment
- The most important step forward in modern medicine, “a giant leap for mankind”: Insensibility to pain during surgery and painful procedures
- Topical review
- In praise of anesthesia: Two case studies of pain and suffering during major surgical procedures with and without anesthesia in the United States Civil War-1861–65
- Editorial comment
- Intravenous non-opioids for immediate postop pain relief in day-case programmes: Paracetamol (acetaminophen) and ketorolac are good choices reducing opioid needs and opioid side-effects
- Clinical pain research
- Intravenous acetaminophen vs. ketorolac for postoperative analgesia after ambulatory parathyroidectomy
- Editorial comment
- Scandinavian Association for the Study of Pain 2013—Annual scientific meeting abstracts of pain research presentations and greetings from incoming President
- Abstracts
- Why does the impact of multidisciplinary pain management on quality of life differ so much between chronic pain patients?
- Abstracts
- Health care utilization in chronic pain—A population based study
- Abstracts
- Pain treatment in rural Ghana—A qualitative study
- Abstracts
- Pain psychology specialist training 2012–2014
- Abstracts
- Pain assessment, documentation, and management in a university hospital
- Abstracts
- Promising effects of donepezil when added to patients treated with gabapentin for neuropathic pain
- Abstracts
- A pediatric patients’ pain evaluation in the emergency unit
- Abstracts
- Proteomic analysis of cerebrospinal fluid gives insight into the pain relief of spinal cord stimulation
- Abstracts
- The DQB1(*)03:02 HLA haplotype is associated with increased risk of chronic pain after inguinal hernia surgery and lumbar disc herniation
- Abstracts
- On the pharmacological effects of two lidocaine concentrations tested on spontaneous and evoked pain in human painful neuroma: A new clinical model of neuropathic pain
- Abstracts
- The mineralocorticoid receptor antagonist spironolactone enhances morphine antinociception
- Abstracts
- Expression of calcium/calmodulin-dependent protein kinase II in dorsal root ganglia in diabetic rats 6 months and 1 year after diabetes induction
- Abstracts
- Histamine in the locus coeruleus attenuates neuropathic hypersensitivity
- Abstracts
- Pronociceptive effects of a TRPA1 channel agonist methylglyoxal in healthy control and diabetic animals
- Abstracts
- Human inducible pluripotent stem cell-derived sensory neurons express multiple functional ion channels and GPCRs