Abstract
Background and purpose
Fibromyalgia (FM) is a chronic pain syndrome, which affects up to 5% of the general population. The aetiology of FM is unclear. The lack of specific diagnostic laboratory tests or imaging options combined with the severe burden on both patients and society caused by the FM syndrome demands the development of valid instruments able to measure the current health status of the FM patients. The Fibromyalgia Impact Questionnaire (FIQ) is the most widely used of these instruments. Our objective was to translate the Fibromyalgia Impact Questionnaire (FIQ) into Finnish and evaluate its validity in Finnish speaking FM patients.
Methods
FIQ was translated by two bilingual researchers into the Finnish version (Finn-FIQ) and linked to the categories of International Classification of Functioning, Disability and Health (ICF). Finn-FIQ was administered to 162 patients who had prior fibromyalgia diagnoses M79.0 according to ICD-10 year 2006 version. They also filled in the Health Assessment Questionnaire (HAQ), the Rand 36-item Health Survey (RAND-36), the Beck Depression Inventory IA (BDIIA), the Chronic Pain Acceptance Questionnaire (CPAQ), the International Physical Activity Questionnaire Short Form (IPAQ), and they assessed their general well-being on a 0–100 mm visual analogue scale while attending a clinical check-up visit. Internal consistency was estimated according to Cronbach’s alpha internal consistency. An exploratory factor analysis was performed to identify related items and to show construct validity. Correlation coefficients were calculated by the Spearman method.
Results
From the 162 participants 153 were female and 9 male, 119 (73%) had an active job or were students, 21 (13%) were unemployed, 16 (10%) were retired and 6 (4%) were on sick leave.
The mean age was 47 years. The internal consistency value (95% CI) was 0.90 for the overall Finn-FIQ. The factor analysis performed for construct analysis showed that Finn-FIQ was loaded on 4 factors. These factors were loaded on components of ICF and explained 69% of total variance. Significant correlations were obtained between patients own assessments of general well-being and Finn-FIQ total score (r = 0.64 [95% CI 0.53–0.73]) and also between Finn-FIQ total score and HAQ total score (r = 0.56 [95% CI 0.44–0.66]). Finn-FIQ questions had significant correlations with RAND-36 domains.
Conclusion
Finn-FIQ is a valid and feasible instrument to mirror the functioning of FM patients according to its internal consistency, correlation to general well-being, convergent validity and response rate. It covers the main components of the ICF framework hence reflecting the whole spectrum of functioning.
Implications
In our study Finn-FIQ was proven as a valid instrument with Finnish speaking FM patients. Original FIQ and other validated translations have already confirmed their place in fibromyalgia research. After this study Finnish fibromyalgia research can be included in those using the best-known instrument in validated form and native language. Current study showed also Finn-FIQ’s ability to measure functioning of the FM patients, and it had good applicability among Finnish speaking patients. Therefore it can be recommended also for monitoring individual FM patients and their functioning for example during different treatment trials.
1 Introduction
Fibromyalgia (FM) is a chronic pain syndrome, which affects up to 5% of the general population [1]. Characteristic features of patients with FM are widespread musculoskeletal pain, tenderness as well as fatigue without explanatory organic disease [2]. Other usual symptoms are disturbed sleep, cognitive problems and a variety of psychosomatic symptoms [3]. The aetiology of FM is unclear although recent studies have shown that central pain processing plays a pivotal role in the pathogenesis [4]. The lack of specific diagnostic laboratory tests or imaging options [2] combined with the severe burden on both patients and society [5] create demand to valid instrument able to measure the current health status of the patients. The Fibromyalgia Impact Questionnaire (FIQ) is the most widely used of these instruments [6]. It has been translated and validated in several languages including Swedish [7], Hebrew [8], German [9], Turkish [10], Korean [11,12], French [13], Italian [14], Spanish [15], Portuguese [16] and Dutch [17]. It is used in daily clinical practice as well as in research, e.g., in the studies regarding the efficacy and tolerability of milnacipran, duloxetin [18] and pregabalin [19], which are the only drugs approved by the US Food and Drug Administration (FDA) for treatment of FM.
Our objective was to develop a Finnish translation (Finn-FIQ) of FIQ and evaluate its validity in Finnish speaking FM patients.
2 Materials and methods
2.1 Patients
Participants for the study were recruited from the patients with primary FM who had been treated in the outpatient departments of Rheumatology or Physical medicine and rehabilitation of Jyväskylä Central Hospital between 2006 and 2008. Patients were identified using the ICD-10 code M79.0 according to ICD-10 year 2006 version. Based on medical records, patients with severe cognitive impairment or psychiatric disorders, previously diagnosed neuropathic pain, inflammatory arthritis or other systemic connective tissue diseases, or any other unstable disease (e.g., cancer) were excluded. Only patients aged >18 years were included.
The postal survey was sent to 239 patients with primary FM, and 169 patients (71%) replied. There was no significant age or gender distribution difference between the respondents and non-respondents. Only five patients declined the clinical check-up visit. Two patients had filled in questionnaires incorrectly and were excluded. Hence 162 patients who had undergone clinical evaluation and had completed the questionnaires adequately were included in the analyses. The second Finn-FIQ was returned by 123 (76%) patients.
2.2 Fibromyalgia Impact Questionnaire
The original version of FIQ is a multidimensional self-administered questionnaire including 10 questions which evaluate physical functioning, work status, depression, anxiety, sleep, pain, stiffness, fatigue and well-being [6]. Question no. 1 (physical functioning) is divided into ten (a to j) sub-items, which are rated on a four-point Likert scale response set ranging from 3 (“always”) to 0 (“never”). Questions no. 2 (days felt good) and no. 3 (missed work days) use a numeric rating scale 1–7 and 1–5, respectively. Questions from 4 to 10 are anchored on a 10 cm visual analogue scale. The sub-score for question 1 is the mean score from sub-questions a to j, which is standardized between 0 and 10. The sub-score for question 2 is the reversed raw-score (a higher value means greater impairment) which is standardized between 0 and 10. The sub-score for question 3 is the raw-score standardized between 0 and 10. The sub-scores for questions 4-10 are the raw scores ranging from 0 to 10. The total score is the sum of sub-scores ranging from 0 to 100 (0 meaning unimpaired physical functioning). The original FIQ was translated into Finnish by two bilingual researchers aware of the objective of the questionnaire. Minor changes were made to the original questionnaire: question no. 2 (days felt good) was scaled 0–7 as opposed to the original scale of 1–7, and question no. 3 (missed work days) was scaled 0–7 as opposed to the original scale of 1–5. Changes were made because a patient wishing to answer with zero days for either of these questions may not realise that they should leave the question blank when the scale starts with a number one. In question no. 3 of the original version, the scale ends at 5 reflecting the number of working days in a normal week. Numerous FM patients work in the service industry or in healthcare where working weeks are regularly longer than five days. It is also discriminatory regarding those patients who work at home or do household work only. Because of the different scaling, a correction factor was used to reach the original total score, and possible missing values in question no. 1 sub-scales were imputed to the mean score. All Finn-FIQ items were linked to the categories of the International Classification of Functioning, Disability and Health (ICF) [20] divided into three components of functioning: body functions, activities and participation (data not shown). The linking rules of Cieza et al. were applied [21].
2.3 Other questionnaires
The Health Assessment Questionnaire (HAQ) is a 20-item instrument developed to assess the physical functioning of patients with rheumatoid arthritis (RA) [22]. It is not specifically studied when used with FM patients, but it is a widely used questionnaire in rheumatic disease studies. The items are divided into 8 groups of functional limitations in daily living and it has been translated and validated into several languages including Finnish [23]. The Rand 36-item Health Survey (RAND-36) is a self-administered 36- item questionnaire [24]. It measures health status and outcomes of the following 8 health concepts: 1. physical function, 2. limitation in the performance of normal roles because of physical health, 3. bodily pain, 4. social functioning, 5. mental health, 6. limitations in the performance of normal roles because of emotional health, 7. vitality and 8. general health perception. It has been translated and validated into several languages including Finnish [25]. It is not specifically studied when used with FM patients. Similar questionnaire, 36-item Short-Form Health Survey (SF-36) was studied with severe functional somatic syndrome patients including FM-patients. Although SF-36 had limitations with role physical, role emotional and general health, the authors concluded that it is a valuable instrument to assess perceived health [26]. The Beck Depression Inventory IA (BDIIA) is a 21-item questionnaire to assess possible depression [27], which is validated in Finnish [28]. The Chronic Pain Acceptance Questionnaire (CPAQ) is a 20-item instrument to assess the functionality and pain acceptance of the chronic pain patient [29]. The International Physical Activity Questionnaire Short Form (IPAQ) is a 7-item questionnaire to assess the physical activity of the last seven days. Original validation study of IPAQ was multicenter design including Finland and 11 other countries, but IPAQ has not been specifically validated in Finnish language [30]. In addition, patients assessed their general well-being on a 0–100 mm visual analogue scale, 0 meaning very bad general well-being and 100 meaning very good well-being.
2.4 Data collection
The questionnaires and consent form were sent to all traceable patients. In addition to Finn-FIQ, the patients were asked to fill in HAQ, RAND-36 and BDI IA. Those who replied were invited to a clinical visit, where an experienced physician (TH) examined the patients and confirmed the diagnosis of FM according to the criteria of the American College of Rheumatology [31]. During the visit, the patients were asked to fill in CPAQ and IPAQ. Finn-FIQ was resent after 6 months to those patients who came to the clinical checkup visit to evaluate the sustainability of the FM symptoms and the scores of Finn-FIQ.
2.5 Statistical methods
Results are expressed as mean and standard deviation (SD) with 95% confidence intervals (95% CI). The “ceiling value” is defined in this study as the worst possible value of the item or as the minimum total value of the scale, and the “floor value” is the best possible value of the item or the maximum total value of the scale. Internal consistency was estimated by calculating Cronbach’s alpha internal consistency with bias corrected bootstrap 95% confidence intervals. An exploratory factor analysis with a maximum likelihood method for factoring and orthogonal (varimax) and oblique rotations on correlation matrix was performed to indentify related items (construct validity) of Finn-FIQ. Correlation coefficients were calculated by the Spearman method, using Sidak-adjusted probabilities.
2.6 Ethical aspects
The study protocol was approved by The Committee of Research Ethics of Central Finland Health Care District, and the patients gave their informed consent in writing.
3 Results
3.1 Socio-demographics and Finn-FIQ scores
Socio-demographic and clinical characteristics of the 162 patients are shown in Table 1.
Demographic and clinical characteristics of 162 FM patients.
| Variables | Measures |
|---|---|
| Female, n (%) | 153(94) |
| Age, years, mean (SD) | 47(11) |
| Duration of FM, years, mean (range) | 5.7 (1–29) |
| Body mass index, mean (SD) | 28.1 (6.6) |
| Pain (mm), mean (SD) | 54 (23) |
| General well-being (mm), mean (SD) | 48 (21) |
| HAQ, mean (SD) | 0.64 (0.48) |
| BDI IA | 14(9) |
| Active job, n (%) | 114(70) |
| Unemployed, n (%) | 21 (13) |
| Retired, n (%) | 16(10) |
| Sick leave, n (%) | 6 (4) |
| Students, n (%) | 5 (3) |
The mean scores (SD) and response rates on each Finn-FIQ item and valid percentages of the floor and ceiling effects are displayed in Table 2. The mean (SD) Finn-FIQ total score was 49.8 (19.9). The response rate on the ten Finn-FIQ questions varied from 64% to 100%. Floor and ceiling effects varied from 1% to 75% and 0% to 27%, respectively.
Characteristics for the Finn-FIQ items and scales.
| Item/scale | Score[a] Mean (SD) | Response rate (%) | Floor (%) | Ceiling (%) |
|---|---|---|---|---|
| Physical function | 2.03 (1.81) | – | 17 | 0 |
| Do shopping | 1.48(2.10) | 100 | 63 | 0 |
| Do laundry with a washer and dryer | 0.66 (1.44) | 96 | 81 | 0 |
| Prepare meals | 1.31 (2.18) | 99 | 69 | 1 |
| Wash dishes/cooking utensils | 1.77(2.42) | 95 | 59 | 1 |
| Vacuum a rug | 2.99 (2.91) | 91 | 39 | 5 |
| Make beds | 1.31 (2.18) | 99 | 69 | 1 |
| Walk several blocks | 1.93(2.14) | 97 | 50 | 0 |
| Visit friends/relatives | 2.70 (2.81) | 94 | 45 | 2 |
| Do yard work | 4.25 (2.95) | 90 | 22 | 7 |
| Drive a car | 2.11 (2.89) | 84 | 57 | 6 |
| Feel good | 6.36 (3.28) | 91 | 7 | 27 |
| Work missed | 1.18(2.56) | 87 | 75 | 4 |
| Job ability | 4.98 (2.74) | 64 | 6 | 5 |
| Pain | 5.61 (2.56) | 94 | 3 | 4 |
| Fatigue | 6.78 (2.44) | 95 | 1 | 12 |
| Morning tiredness | 6.89 (2.36) | 94 | 1 | 10 |
| Stiffness | 6.67 (2.51) | 94 | 2 | 10 |
| Anxiety | 5.30 (3.14) | 95 | 10 | 7 |
| Depression | 4.12 (2.97) | 95 | 14 | 1 |
| FIQ total score | 4.98 (1.99) | - | 2 | 0 |
- a
Standardized on scale from 0 to 10.
3.2 Internal consistency
Internal consistency value (95% CI) was 0.91 (0.89–0.93) from question no. 1. Internal consistency value (95% CI) from all 10 questions was 0.90 (0.87–0.93).
3.3 Factor analysis and ICF components
Factor analysis performed for construct analysis showed that the Finn-FIQ was loaded on 4 factors. These factors explained 69% of the total variance (Table 3). The first factor was loaded on the two components of the ICF, namely activities and participation in different kinds of activities in domestic life (this factor explained 33% of total variance). The other three factors (2–4) were loaded on different domains of body functions. Factor 2 was loaded on perceptions of body and mind well-being, factor 3 was loaded on emotional factors, and factor 4 on psychomotor functions.
Explanatory factor analysis with varimax factor loadings of the Finn-FIQ function items. Coefficients with values <0.45 not shown.
| Factor 1 | Factor 2 | Factor 3 | Factor 4 | |
|---|---|---|---|---|
| Do shopping | 0.90 | |||
| Do laundry with a washer and dryer | 0.66 | |||
| Prepare meals | 0.78 | |||
| Wash dishes/cooking utensils | 0.80 | |||
| Vacuum a rug | 0.61 | |||
| Make beds | 0.78 | |||
| Walk several blocks | 0.66 | |||
| Visit friends/relatives | 0.63 | |||
| Do yard work | 0.62 | |||
| Drive a car | 0.74 | |||
| Feel good | 0.62 | |||
| Work missed | 0.70 | |||
| Job ability | 0.73 | |||
| Pain | 0.94 | |||
| Fatigue | 0.68 | |||
| Morning tiredness | 0.78 | |||
| Stiffness | 0.53 | |||
| Anxiety | 0.76 | |||
| Depression | 0.98 |
-
Factor 1: participation and activities in domestic life; factor 2: perceptions of body and mind well-being; factor 3: emotional functions; factor 4: psychomotor functions.
3.4 Patient’s assessment of well-being
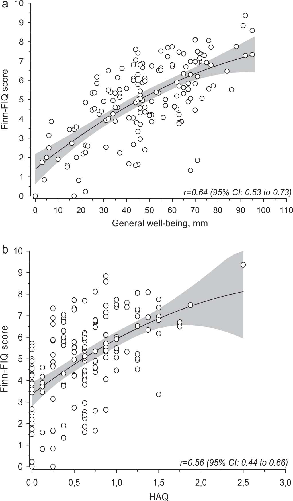
The Finn-FIQ total score and patient’s own assessment of the general well-being had rather good correlation (r = 0.64 [95% CI 0.53–0.73]) (Fig. 1a).

(a) Relationship between Finn-FIQ total score and patient’s own assessment of general well-being. The line shows regression with 95% CI. (b) Relationship between Finn-FIQ total score and HAQ. The line shows regression with 95% CI.
3.5 Convergent validity
Convergent validity in theory signifies assessments relation to what it should be theoretically related to, e.g. two different questionnaires aimed to measure same outcome giving results in line each other. For convergent validity we found rather good correlation between Finn-FIQ questions and RAND-36 domains (Table 4). Finn-FIQ questions also correlated well with demographic and clinical characteristics (Table 5). The Finn-FIQ total score correlated with HAQ total score (r = 0.56 [95% CI 0.44–0.66]) (Fig. 1b).
Correlations between Finn-FIQ questions and RAND-36 domains.
| Finn-FIQ | RAND-36 domain | |||||||
|---|---|---|---|---|---|---|---|---|
|
|
||||||||
| Physical function | Role physical | Role emotional | Mental health | Vitality | Bodily pain | General health | Social function | |
| Physical function | –0.66[***] | –0.48[***] | –0.31[**] | –0.33[***] | –0.44[***] | –0.58[***] | –0.46[***] | –0.56[***] |
| Feel good | –0.52[***] | –0.43[***] | –0.31[**] | –0.36[***] | –0.51[***] | –0.60[***] | –0.50[***] | –0.38[***] |
| Work missed | –0.34[***] | –0.34[***] | –0.15 | –0.22 | –0.28 | –0.41[***] | –0.31[***] | –0.34[***] |
| Job ability | –0.56[***] | –0.46[***] | –0.27 | –0.43[***] | –0.45[***] | –0.73[***] | –0.53[***] | –0.51[***] |
| Pain | –0.50[***] | –0.37[***] | –0.24 | –0.41[***] | –0.42[***] | –0.71[***] | –0.53[***] | –0.44[***] |
| Fatigue | –0.40[***] | –0.49[***] | –0.42[***] | –0.51[***] | –0.73[***] | –0.56[***] | –0.51[***] | –0.51[***] |
| Morning tiredness | –0.22 | –0.33[***] | –0.27 | –0.42[***] | –0.52[***] | –0.43[***] | –0.34[***] | –0.40[***] |
| Stiffness | –0.53[***] | –0.34[***] | –0.22 | –0.28 | –0.30[**] | –0.46[***] | –0.32[**] | –0.34[**] |
| Anxiety | –0.32[***] | –0.36[***] | –0.51[***] | –0.71[***] | –0.54[***] | –0.44[***] | –0.42[***] | –0.48[***] |
| Depression | –0.33[***] | –0.36[***] | –0.52[***] | –0.73[***] | –0.49[***] | –0.37[***] | –0.35[***] | –0.50[***] |
Correlations between Finn-FIQ domains and demographic and clinical characteristics.
| Finn-FIQ | Age | BMI[a] | HAQ[b] | Pain | IPAQ[c] | General well-being[d] | BDI IA[e] |
|---|---|---|---|---|---|---|---|
| Physical function | 0.06 | 0.18 | 0.64[***] | 0.46[***] | –0.17 | 0.45[***] | 0.34[***] |
| Feel good | 0.12 | 0.04 | 0.41[***] | 0.68[***] | –0.10 | 0.66[***] | 0.28[**] |
| Work missed | –0.02 | 0.06 | 0.47[***] | 0.40[***] | –0.11 | 0.33[***] | 0.28[**] |
| Job ability | –0.06 | 0.40 | 0.57[***] | 0.75[***] | –0.02 | 0.68[***] | 0.37[***] |
| Pain | –0.06 | 0.06 | 0.51[***] | 0.82[***] | –0.02 | 0.61[***] | 0.36[***] |
| Fatigue | –0.08 | –0.02 | 0.36[***] | 0.56[***] | –0.17 | 0.61[***] | 0.49[***] |
| Morning tiredness | –0.11 | –0.13 | 0.22 | 0.46[***] | –0.09 | 0.49[***] | 0.39[***] |
| Stiffness | 0.03 | 0.11 | 0.48[***] | 0.65[***] | 0.04 | 0.41[***] | 0.32[**] |
| Anxiety | –0.09 | –0.11 | 0.27[**] | 0.48[***] | –0.17 | 0.43[***] | 0.55[***] |
| Depression | 0.10 | –0.05 | 0.31[**] | 0.44[***] | –0.11 | 0.49[***] | 0.61[***] |
3.6 Finn-FIQ stability
Stability for Finn-FIQ from baseline to 6 months is shown in Fig. 2 (r = 0.60 [95% CI 0.49–0.72]). Stability was comparable in patients with short (<2 years) and long duration of FM.

Stability between Finn-FIQ total score at baseline and at 6 months according to time since diagnosis.
4 Discussion
In our study we found that Finn-FIQ is a valid and feasible instrument according to its internal consistency, correlation to general well-being, convergent validity and response rate. It was easy to use and reflected the functioning of FM patients well. The response rate to our postal survey (71%) was relatively good compared to other studies, e.g. McVeigh et al. [32] and Creavin et al. [33] who got response rates of 51% and 54%, respectively.
Our cohort is one of the largest used in the validation studies of FIQ. Only Zijlstra et al. [17] had a larger cohort (n = 224) in the Dutch validation study. Our cohort is also representative of FM patients in general, as Jyväskylä Central hospital is the only hospital with rheumatologic and physical medicine and rehabilitation services receiving referrals from the area with a population of 270 000. Compared to the cohorts used in randomised controlled drug trials for FM, our sample is most probably closer to a “real life” population. The original FIQ validation was performed for females only [6], but we intentionally included also male patients.
There was some variance in the response rates to our Finn-FIQ sub-items. Three sub-items of question no. 1 received less than a 90% response rate. The response rate to sub question “Drive a car” (84%) could be explained by those patients not having a driver’s licence. However, since participants were not asked whether they held a driver’s licence this remains speculative. Sub-item “Work missed” (87%) was instructed to include household tasks and therefore it is equal to all regardless of the work status. Lower response rate may be explained by the fact that people cannot usually leave all household tasks undone even when they feel inadequate to do them. This could lead to unanswered question. “Job ability” (64%) was instructed to leave unanswered if patient didn’t have an active job, which explains majority of the variance. Other distorting factor may have been a source of variability, e.g. discrepancy between patient’s own and society’s opinion about his/her ability to work.
According to our results, Finn-FIQ covers all the ICF components indicating that the instrument reveals a broad spectrum of the functioning of the patients with FM. The majority of the 10 items in the first question handle categories of household tasks while most of the 8 VAS-anchored questions deal with global and specific mental functions. One important quality of a valid questionnaire is that it examines the target area multi-dimensionally, as is shown in the case of Finn-FIQ.
In our study the correlations were rather good in all questions when compared to the RAND-36 domains. The relationship was strongest between corresponding items such as physical function of Finn-FIQ with physical functioning of RAND-36 and fatigue with vitality suggesting good convergent validity. This is in line with results from Zijlistra et al. [17]. The French validation study got non-significant associations from “work days missed”, “days felt good” and “stiffness” [13]. Our results may be explained by our more representative cohort of FM patients compared to the French university hospital based cohort.
Due to the following limitations, our study should be interpreted with caution. First, the translation of FIQ was made directly to the chosen form without performing back-translation to the original language. However, the original FIQ does not contain any ambiguous terms, and FIQ was translated by two bilingual researchers to avoid wrong interpretations. Second, two of the questionnaires, which were used to validate Finn-FIQ, IPAQ and CPAQ, are not validated in Finnish. Third, our Finn-FIQ validation study sample was recruited by postal survey, which may decrease representativeness of the sample.
In our study we resent Finn-FIQ to those patients who came to clinical visit. Comparison of baseline scores and scores after six months showed stability which did not differentiated between subgroups: FM diagnose more or less than two years. However we did not gather information about possible treatment trials during that six months time period and therefore we do not know how sensitive Finn-FIQ is to individual change of FM symptoms. Further studies are needed to fully assess reliability of Finn-FIQ as well as its sensitivity to change.
5 Conclusion
We have shown that Finn-FIQ is a valid and feasible instrument to mirror the functioning of FM patients. It covers the main components of the ICF framework hence reflecting the whole spectrum of functioning. We conclude that Finn-FIQ can be used to evaluate the current state of functioning in Finnish speaking FM patients. Further studies are needed to judge Finn-FIQ’s sensitivity to change in FM-patients.
DOI of refers to article: 10.1016/j.sjpain.2011.11.006.
-
Conflict of interest: None declared.
Acknowledgements
The study received financial support from the research funds of Rehabilitation Orton and the Social Insurance Institute of Finland. We appreciate their support for this study.
References
[1] White KP, Harth M. Classification, epidemiology and natural history of fibromyalgia. Curr Pain Headache Rep 2001;5:320–9.Search in Google Scholar
[2] Clauw DJ. Fibromyalgia: an overview. Am J Med 2009;122:3–13.Search in Google Scholar
[3] Bigatti SM, Hernandez AM, Cronan TA, Rand KL. Sleep disturbances in fibromyalgia syndrome: relationship to pain and depression. Arthritis Rheum Arthritis Care Res 2008;59:961–7.Search in Google Scholar
[4] Abeles AM, Pilliger MH, Solitar BM, Abeles M. Narrative review: the pathophysiology of fibromyalgia. Ann Intern Med 2007;146:726–34.Search in Google Scholar
[5] Annemans L, Le Lay K, Taïeb C. Societal and patient burden of fibromyalgia syndrome. Pharacoeconomics 2009;27:547–59.Search in Google Scholar
[6] Burckhardt C, Clark S, Bennet R. The Fibromyalgia Impact Questionnaire: development and validation. J Rheumatol 1991;18:728–33.Search in Google Scholar
[7] Hedin PJ, Hamne M, Burckhardt CS, Engström-Laurent A. The Fibromyalgia Impact Questionnaire, a Swedish translation of new tool for evaluation of the fibromyalgia patient. Scand J Rheumatol 1996;24:69–75.Search in Google Scholar
[8] Buskila D, Neumann L. Assessing functional disability and health status of women with fibromyalgia: validation of a Hebrew versions of the Fibromyalgia Impact Questionnaire. J Rheumatol 1996;23:903–6.Search in Google Scholar
[9] Offenbaecher M, Waltz M, Shoeps P. Validation of a German version of the Fibromyalgia Impact Questionnaire (FIQ-G). J Rheumatol 2000;27:1984–8.Search in Google Scholar
[10] Sarmer S, Ergin S, Yavuzer G. The validity and reliability of the Turkish version of the Fibromyalgia Impact Questionnaire. Rheumatol Int 2000;20:9–12.Search in Google Scholar
[11] Kim Y-A, Lee S-S, Park K. Validation of a Korean version of the Fibromyalgia Impact Questionnaire. J Korean Med Sci 2002;17:220–4.Search in Google Scholar
[12] Bae SC, Lee JH. Cross-cultural adaptation and validation of the Korean Fibromyalgia Impact Questionnaire in women patients with fibromyalgia for clinical research. Qual Life Res 2004;13:857–61.Search in Google Scholar
[13] Perrot S, Dumont D, Guilemin F, Pochot J, Coste J. and the French group for quality of life research: quality of life in women with fibromyalgia syndrome: validation of the QIF, the French version of the Fibromyalgia Questionnaire. J Rheumatol 2003;30:1054–9.Search in Google Scholar
[14] Sarzi-Puttini P, Atzeni F, Fiorini T, Panni B, Randisi G, Turiel M, Carrabba M. Validation of an Italian version of the Fibromyalgia Impact Questionnaire (FIQI). Clin Exp Rheumatol 2003;21:459–64.Search in Google Scholar
[15] Rivera J, Gonzales T. The Fibromyalgia Impact Questionnaire: a validated Spanish version to assess the health status in women with fibromyalgia. Clin Exp Rheumatol 2004;22:554–60.Search in Google Scholar
[16] Rosado ML, Pereira JP, daFonseca JP, Branco JC. Cultural adaptation and validation of the Fibromyalgia Impact Questionnaire – Portuguese version. Acta Reumatol Port 2006;31:157–65.Search in Google Scholar
[17] Zijlistra TR, Taal E, vandeLaar MA, Rasker JJ. Validation of a Dutch version of the Fibromyalgia Impact Questionnaire. Rheumatology (Oxford) 2007;46:131–4.Search in Google Scholar
[18] Mease PJ. Further strategies for treating fibromyalgia: the role of serotonin and norepinephrine reuptake inhibitors. Am J Med 2009;122:44–55.Search in Google Scholar
[19] Straube S, Derry S, Moore RA, McQuay HJ. Pregabalin in fibromyalgia: meta-analysis of efficacy and safety from company clinical trial reports. Rheumatology 2010;49:706–15.Search in Google Scholar
[20] WHO, World Health Organization. International classification of functioning, disability and health, ICF. Geneva: World Health Organization; 2001.Search in Google Scholar
[21] Cieza A, Geyh S, Chatterji S, Kostanjek N, Ustün B, Stucki G. ICF linking rules: an update based on lesions learned. J Rehabil Med 2005;17:183–9.Search in Google Scholar
[22] Fries JF, Spitz P, Kraines RG, Holman HR. Measurement of patient outcome in arthritis. Arthritis Rheum 1980;23:137–45.Search in Google Scholar
[23] Hakala M, Nieminen P, Manelius J. Joint impairment is strongly correlated with disability measured by self-report questionnaires. Functional status assessment of individuals with rheumatoid arthritis in a population based series. J Rheumatol 1993;21:64–9.Search in Google Scholar
[24] Hays RD, Sherbourne CD, Mazel R. The RAND 36-item Health Survey 1.0. Health Econ 1993;2:217–77.Search in Google Scholar
[25] Aalto A-M, Aro S, Aro AR, Mähönen, M. RAND 36-item Health Survey 1.0. Suomenkielinen versio terveyteen liityvän elämänlaadun kyselystä. STAKESin Aiheita-sarja 2/1995[RAND36-item Health Survey 1.0 Finnish version of health related quality of life questionnaire] [in Finnish].Search in Google Scholar
[26] Schröder A, Oernboel E, Licht RW, Sharpe M, Fink P. Outcome measurement in functional somatic syndromes: SF-36 summary scores and some scales were not valid. J Clin Epidemiol 2011 [Epub ahead of print].Search in Google Scholar
[27] Beck AT, Steer RA. Manual of the Beck Depression Inventory. San Antonio, TX: Psychology Corporation; 1988.Search in Google Scholar
[28] Viinamäki H, Tanskanen A, Honkalampi K, Koivumaa-Honkanen H, Haatainen K, austio O, Hintikka J. Is the Beck Depression Inventory suitable for screening major depression in different phases of the disease? Nord J Psychiatry 2004;58:49–53.Search in Google Scholar
[29] McCracken LM, Volwes KE, Eccleston C. Acceptance of chronic pain: component analysis and revised assessment method. Pain 2004;107:159–66.Search in Google Scholar
[30] Craig CL, Marshal AL, Sjöström M, Bauman AE, Booth ML, Ainsworth BE, Pratt M, Ekelund U, Yngve A, Sallis JF, Oja P. International Physical Activity Questionnaire: 12-country reliability and validity. Med Sci Sports Exerc 2003;8:1381–95.Search in Google Scholar
[31] Wolfe F, Smythe HA, Yunus MB, Bennett RM, Bombardier C, Goldenberg DL, Tugwell P, Campbell SM, Abeles M, Clark P, Fam AG, Farber SJ, Fiechtner JJ, Franklin CM, Gatter RA, Hamaty D, Lessard J, Lichtbroun AS, Masi AT, Mccain GA, Reynolds WJ, Romano TJ, Russell IJ, Sheon RP. The American College of Rheumatology 1990 criteria for the classification of fibromyalgia. Report of the multicenter criteria committee. Arthritis Rheum 1990;33:160–72.Search in Google Scholar
[32] McVeigh JG, Lucas A, Hurley DA, Basford JR, Baxter GD. Patients’ perception of exercise therapy in the treatment of fibromyalgia syndrome: a survey. Musculoskelet Care 2003;1:98–107.Search in Google Scholar
[33] Creavin ST, Dunn KM, Mallen CD, Nijroder I, van der Windt DA. Co-occurrence and associations of pain and fatigue in a community sample of Dutch adults. Eur J Pain 2010;14:327–34.Search in Google Scholar
© 2011 Scandinavian Association for the Study of Pain
Articles in the same Issue
- Editorial comment
- Keeping an open mind: Achieving balance between too liberal and too restrictive prescription of opioids for chronic non-cancer pain: Using a two-edged sword
- Educational case report
- Chronic non-cancer pain and the long-term efficacy and safety of opioids: Some blind men and an elephant?
- Editorial comment
- National versions of fibromyalgia questionnaire: Translated protocols or validated instruments?
- Original experimental
- Validation of a Finnish version of the Fibromyalgia Impact Questionnaire (Finn-FIQ)
- Editorial comment
- The impact of chronic pain—European patients’ perspective over 12 months
- Original experimental
- The impact of chronic pain—European patients’ perspective over 12 months
- Editorial comment
- Pressure pain algometry — A call for standardisation of methods
- Original experimental
- Experimental pressure-pain assessments: Test-retest reliability, convergence and dimensionality
- Editorial comment
- High prevalence of posttraumatic stress disorder (PTSD) and pain sensitization in two Scandinavian samples of patients referred for pain rehabilitation
- Clinical pain research
- The traumatised chronic pain patient—Prevalence of posttraumatic stress disorder - PTSD and pain sensitisation in two Scandinavian samples referred for pain rehabilitation
- Editorial comment
- Local infiltration analgesia (LIA) and repeated bolus or continuous infusion peripheral nerve blocks for acute postoperative pain: Be ware of local anaesthetic toxicity, especially in elderly patients with cardiac co-morbidities!
- Clinical pain research
- A randomized study comparing plasma concentration of ropivacaine after local infiltration analgesia and femoral block in primary total knee arthroplasty
- Editorial comment
- Computer work can cause deep tissue hyperalgesia: Implications for prevention and treatment
- Original experimental
- Deep tissue hyperalgesia after computer work
Articles in the same Issue
- Editorial comment
- Keeping an open mind: Achieving balance between too liberal and too restrictive prescription of opioids for chronic non-cancer pain: Using a two-edged sword
- Educational case report
- Chronic non-cancer pain and the long-term efficacy and safety of opioids: Some blind men and an elephant?
- Editorial comment
- National versions of fibromyalgia questionnaire: Translated protocols or validated instruments?
- Original experimental
- Validation of a Finnish version of the Fibromyalgia Impact Questionnaire (Finn-FIQ)
- Editorial comment
- The impact of chronic pain—European patients’ perspective over 12 months
- Original experimental
- The impact of chronic pain—European patients’ perspective over 12 months
- Editorial comment
- Pressure pain algometry — A call for standardisation of methods
- Original experimental
- Experimental pressure-pain assessments: Test-retest reliability, convergence and dimensionality
- Editorial comment
- High prevalence of posttraumatic stress disorder (PTSD) and pain sensitization in two Scandinavian samples of patients referred for pain rehabilitation
- Clinical pain research
- The traumatised chronic pain patient—Prevalence of posttraumatic stress disorder - PTSD and pain sensitisation in two Scandinavian samples referred for pain rehabilitation
- Editorial comment
- Local infiltration analgesia (LIA) and repeated bolus or continuous infusion peripheral nerve blocks for acute postoperative pain: Be ware of local anaesthetic toxicity, especially in elderly patients with cardiac co-morbidities!
- Clinical pain research
- A randomized study comparing plasma concentration of ropivacaine after local infiltration analgesia and femoral block in primary total knee arthroplasty
- Editorial comment
- Computer work can cause deep tissue hyperalgesia: Implications for prevention and treatment
- Original experimental
- Deep tissue hyperalgesia after computer work