Abstract
Background and Objective
While highly effective hepatitis C virus (HCV) therapies exist, gaps in the cascade of care remain. Disparities in the HCV cascade are prominent among underserved safety-net populations. We aim to evaluate the HCV cascade among an urban safety-net cohort of HCV patients.
Methods
We retrospectively evaluated adults with chronic HCV to determine rates of linkage to care (LTC), retention to care, and receiving HCV treatment from 2002 to 2018. Comparisons between groups utilized Chi-square testing; comparisons of median time to LTC and HCV treatment were evaluated with Student’s t-test and analysis of variance.
Results
Among 600 chronic HCV patients (60.7% male, 20.7% non-Hispanic white, 49.2% African American, 92.5% treatment naïve, 26.8% cirrhosis), successful LTC within one year of HCV diagnosis was 57.7%, among which, 91.6% were successfully retained into care. In those with successful LTC, 72.6% received HCV treatment, 91.8% completed treatment, and 89% achieved SVR12. Women with HCV experienced longer delays from LTC to HCV treatment (331 vs. 206 days in men, P < 0.05), as did African Americans (280 vs. 165 days in non-Hispanic whites, P < 0.05). Compared to the non-Hispanic whites, HCV treatment was lower in African Americans (70.4% vs. 74.4%, P < 0.05).
Conclusion
Women with HCV experienced significant delays along the HCV cascade, with median time of over 2 years from diagnosis to treatment. African Americans also experienced significant delays along the HCV cascade of care. However, sex and race/ethnicity were not found to be significant predictors of overall LTC or treatment.
Introduction
Despite the availability of highly effective curative treatment options, hepatitis C virus (HCV) remains a leading cause of liver-related morbidity and mortality in the United States. From 2013–2016, the Centers for Disease Control and Prevention estimated a total of 2.4 million adults with chronic HCV in the United States.[1] The epidemiology of chronic HCV in the United States is further complicated by the rise in incident of acute HCV infections resulting from the growing opioid epidemic observed in persons younger than 39 years of age in the Appalachia regions.[2] In California, the number of new chronic HCV infections increased 14 percent from 2014 to 2016 (from 86 to 98.2 per 100,000 population), which may be attributed to increases in injection drug use particularly among adolescents and young adults.[3] In 2016, the World Health Organization estimated 399,000 people died from HCV-related cirrhosis and hepatocellular carcinoma.
Existing data demonstrates that HCV treatment, particularly with highly-effective direct-acting antivirals, reduces overall mortality,[4, 5] ameliorates portal hypertension,[6] and reduces progression to HCC[7] in persons with chronic HCV infection. Given the accessibility of curative DAA, HCV eradication hinges on timely diagnosis, linkage to care and treatment implementation, and achieving sustained virologic response (SVR). Delays in access to treatment persist, especially among vulnerable safety-net populations. [8, 9] Safety-net populations are enriched in ethnic minorities and are predominantly insured by Medicaid or indigent care insurance programs and safety-net health systems that care for these populations are defined by the Institute of Medicine as “those providers that organize and deliver a significant level of healthcare and other needed services to uninsured, Medicaid, and other vulnerable patients.”[10, 11, 12] Better understanding of the gaps and disparities in the HCV cascade of care is needed to guide the development of targeted interventions to improve micro-elimination goals. Existing studies have reported on race/ethnicity-specific disparities in access to HCV treatment.[13, 14, 15] For example, Jung et al. evaluated 281,810 Medicare patients with chronic HCV and observed significantly higher odds of HCV therapy in African Americans compared to non-Hispanic whites (adjusted OR 1.24, 95% CI 1.22–1.27), but no significant differences in Hispanics.[15] However, Spradling et al. evaluated the Chronic Hepatitis Cohort Study from 2014–2015 and observed 30% lower odds of treatment in African Americans compared to non-Hispanic whites; Wong et al. evaluated 29,544 chronic HCV patients across four community-based healthcare systems and observed significantly lower odds of HCV treatment in Hispanics compared to non-Hispanic whites (adjusted odds ratio 0.48, 95% CI 0.39–0.60).[8, 14] We aim to evaluate the overall rates of HCV linkage to care (LTC), retention to care, and access to treatment in an ethnically diverse safety-net population with a specific focus on sex-specific and race/ ethnicity-specific disparities.
Methods
We retrospectively evaluated adults (age > 18 years) with chronic HCV among a single-center safety-net health system from 2002 to 2018. Chronic HCV was confirmed with positive HCV RNA. Successful LTC was defined as completion of first clinic visit with a HCV provider following HCV diagnosis, and retention to care was defined as successful completion of two subsequent HCV clinic visits following initial linkage. In our health system, majority of HCV care and treatment was provided by the gastroenterology and hepatology clinics, with the exception of 3 primary care providers that were specifically trained to provide HCV care and treatment. Thus, it was feasible for us to accurately determine whether successful LTC with an HCV provider was present by reviewing the electronic health records. Safety-net patients are underinsured and therefore cannot be seen at other healthcare sites easily. While emergency care might be provided elsewhere, routine HCV care, including disease assessment and treatment (non-acute events) are not performed in the emergency care setting.[12,16,17] Due to health insurance limitations, most patients at safety-net systems are unlikely to receive HCV care outside of our health system, unlike tertiary care settings, and thus, our cohort focusing on safety-net patients is a strength to ensure accurate assessment of the HCV cascade of care.
HCV liver disease severity was evaluated using fibrosis-4 scores (FIB-4, a commonly used non-invasive serology based algorithm to predict probability of advanced fibrosis. FIB-4 > 3.25 has 97% specificity and positive predictive value of 65% for identifying advanced fibrosis [F3 or greater]),[18] and the presence of cirrhosis, ascites, and HCC at the time of diagnosis based on the review of laboratory, imaging data, and electronic health record documentation. Overall rates of LTC, retention to care, and receipt of HCV treatment between groups were compared using Chi-square testing, and median time to achieve successful LTC and retention was assessed with Student’s t-test or analysis of variance. We additionally performed multivariate logistic regression modeling to evaluate for independent predictors of overall successful LTC. Variables selected for the multivariate model were determined a priori based on what was hypothesized to significantly affect probability of successful LTC, and the final model included adjustments for age, sex, race/ethnicity, housing status, primary care provider status, alcohol use, and drug use. Statistical analyses were performed using STATA version 14.0 (StataCorp, College Station, TX). Statistical significance was met using two-tailed P-value < 0.05. The analysis of this study was performed consistent with STROBE (STrengthening the Reporting of OBservational studies in Epidemiology) guidelines.[19] This study was approved by the Institutional Review Board at the institution of the study conduct.
Results
Description of the Study Cohort
Among 600 chronic HCV patients, mean age was 53.9 ± 9.9 years, 60.7% were male, 49.2% were African American, 1.8% were Hispanic, 8.8% were Asian, 19.5% were “other” race. HCV genotype distributions were: 54.7% genotype 1a, 20.4% genotype 1b, 8.3% genotype 2, 9.9% genotype 3, 3.3% genotype 4, 0.2% genotype 5, and 3.2% genotype 6. Overall 92.5% of patients were treatment naïve. At the time of HCV diagnosis, median FIB-4 was 1.86 (IQR 1.23–3.35), 26.8% had cirrhosis, and 2.4% had hepatocellular carcinoma (Table 1). Overall, 65.0% had Medicaid or indigent care insurance, 5.9% were homeless, 5.4% had active alcohol use, and 55.6% had history of intravenous drug use.
Characteristics of the study cohort
| Characteristics | No (%) |
|---|---|
| Sex | |
| Male | 364 (60.67%) |
| Female | 236 (39.33%) |
| Race/Ethnicity | |
| White | 124 (20.67%) |
| African American | 295 (49.17%) |
| Hispanic | 11 (1.83%) |
| Asian | 53 (8.83%) |
| Other | 117 (19.5%) |
| Age at HCV diagnosis (mean ± SD) | 53.9 +/- 9.9 |
| Housing | |
| Homeless | 35 (5.85%) |
| Housed | 563 (94.15%) |
| Established with primary care provider | |
| Yes | 510 (88.24%) |
| No | 68 (11.76%) |
| Alcohol use | |
| Never | 284 (49.13%) |
| Former | 204 (35.29%) |
| Current | 90 (15.57%) |
| IV drug use | |
| Never | 253 (44.31%) |
| Former | 287 (50.26%) |
| Current | 31 (5.43%) |
| Prior HCV treatment | |
| Yes | 45 (7.51%) |
| No | 554 (92.49%) |
| Co-morbidities at diagnosis | |
| Cirrhosis | |
| Yes | 134 (26.8%) |
| No | 366 (73.2%) |
| HCC | |
| Yes | 12 (2.44%) |
| No | 479 (97.56%) |
| Ascites | |
| Yes | 27 (5.2%) |
| No | 492 (94.8%) |
| HIV | |
| Yes | 24 (4.01%) |
| No | 574 (95.99%) |
Overall Outcomes
Overall LTC was 57.7% within one year of HCV diagnosis, among which, 91.6% achieved successful retention to care. Among those with successful LTC, 72.6% received HCV treatment (38.4% within one year of HCV linkage), among which, 91.8% completed treatment, and 89.0% achieved SVR at 12 weeks post treatment (SVR12) (Table 2). Median time from HCV diagnosis to LTC was 146 (IQR 30–780) days, and median time from LTC to receipt of HCV treatment was 221 (IQR 109–840) days.
HCV linkage, retention, and treatment rates overall and among males and Females
| Male | Female | Total | |
|---|---|---|---|
| Overall linkage to care | 83.75% | 92.49% | 87.11% |
| Linkage to care within 1 year of HCV diagnosis | 58.86% | 55.94 % | 57.72% |
| Overall retention* | 90.52% | 93.13 % | 91.58% |
| Treatment initiated* | 71.95% | 78.02 % | 72.62% |
| Treatment completed# | 90.18% | 93.90 % | 91.75% |
| SVR12# | 87.80% | 90.67 % | 89.01% |
*Among HCV patients with successful LTC; #Among HCV patients who received HCV treatment
Sex-Specific Outcomes
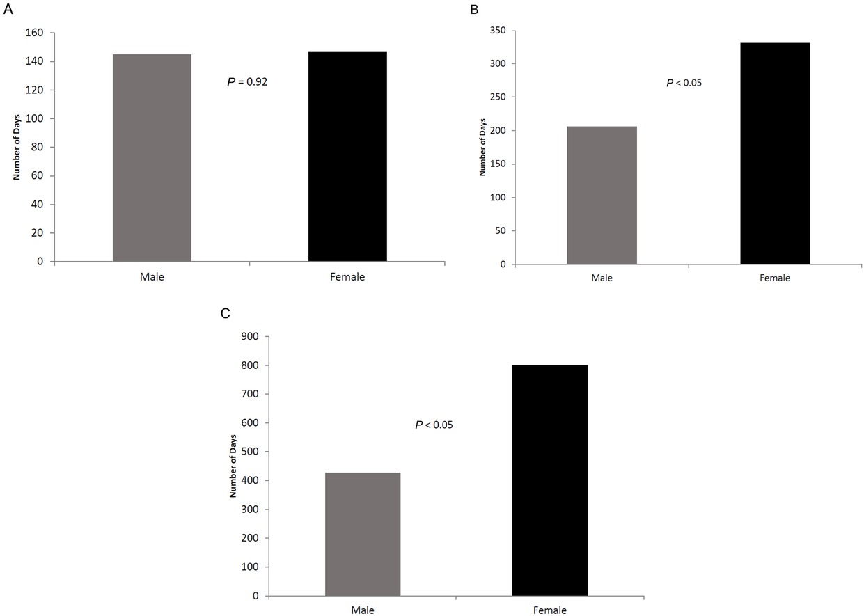
While median time from HCV diagnosis to LTC was similar between men and women (147 days vs. 145 days, P = 0.92) (Figure 1A), women with HCV experienced significantly longer delays in the receipt of HCV treatment after initial LTC (331 days in women vs. 206 days in men, P < 0.05) (Figure 1B). When looking at the overall cascade of care from median time of HCV diagnosis to the receipt of HCV treatment, women experienced significantly longer delays compared to men (800 days vs. 427 days, P < 0.05) (Figure 1C). On multivariate logistic regression analyses, sex was not identified to be an independent predictor of overall successful LTC.

Median time from: A) HCV diagnosis to LTC, B) LTC to HCV treatment, and C) HCV diagnosis to HCV treatment among males and females with chronic HCV
Race/Ethnicity-Specific Outcomes
When evaluating by race/ethnicity, no significant differences in LTC and retention to care rates were observed in our HCV cohort (Table 3). However, among HCV patients with successful LTC, HCV treatment was significantly lower in the African Americans compared to the non-Hispanic whites (70.4% vs. 74.4%, P < 0.05), whereas SVR12 was similar among those that were successfully treated (90.1% vs. 87.7% in non-Hispanic whites, P = 0.83). When evaluating median time progressing through the HCV care cascade, significantly longer delays from LTC to the receipt of HCV treatment was observed in the African Americans compared to the non-Hispanic whites (280 days vs. 165 days, P < 0.05). On multivariate logistic regression analyses, race/ethnicity was not identified to be an independent predictor of overall successful LTC.
HCV linkage, retention, and treatment rates by race/ethnicity
| Non-Hispanic White | African American | Other | |
|---|---|---|---|
| Overall Linkage to care | 90.32% | 85.59% | 87.60% |
| Linkage to care within 1 year of HCV diagnosis | 65.09% | 53.21% | 60.54% |
| Overall retention* | 91.67% | 92.08% | 90.57% |
| Treatment initiated* | 74.38% | 70.28% | 80.90% |
| Treatment completed# | 96.10% | 87.50% | 94.81% |
| SVR12# | 87.67% | 90.13% | 88.46% |
*Among HCV patients with successful LTC; # Among HCV patients who received HCV treatment.
Discussion
Overall, among our safety cohort of HCV patients, when evaluating the time from HCV diagnosis to LTC and receipt of treatment, we observed that women (vs. men), and African Americans (vs. non-Hispanic whites) experienced significant delays in progressing through the HCV cascade of care. However, on adjusted multivariate model, both sex and race/ethnicity were not observed to be independent predictors of successful LTC or successful receipt of HCV treatment.
Disparities in the HCV cascade of care persist.[9,20, 21, 22] While significant improvements in risk-based and birth cohort-based HCV screening have occurred, timely referral and successful LTC remain significant gaps in the cascade of care. Notably, for our safety-net cohort, over 40% of confirmed chronic HCV patients did not achieve successful LTC within 1-year of diagnosis, which is significantly lower than LTC rates reported in comparable safety-net populations.[23] However, it is important to note the high-risk characteristics of our safety-net HCV cohort including 5.9% homeless, 11.8% without established primary care, 50.9% with current or prior alcohol use, and 55.7% with current or prior drug use. While likely involvement of a complex interplay of patient, provider, and system level factors, these delays in timely LTC are reflected in the observation that nearly 27% of HCV patients had evidence of cirrhosis at presentation. Our study continues to highlight gaps in the HCV cascade of care that persist after chronic HCV diagnosis, especially as it relates to linkage and retention to care. Given the retrospective nature of our study design, we could not specifically identify what the causal factors were that led to suboptimal linkage and disparities observed. However, our findings and others highlight the need for more patient-centered methods to improve HCV linkage to care such as patient navigators.[24, 25, 26]
The optimistic part of our observations demonstrates that once patient achieve successful LTC, progression through the remainder of the cascade seems to be fairly intact, albeit still with some room for improvements. Specifically, nearly 92% of LTC patients were successfully retained or engaged into care, with nearly 73% making it to HCV treatment. The gaps from the receipt of HCV treatment to achieving SVR have been closed with highly effective direct acting antiviral therapies, but our data and others continue to emphasize the need for greater improvement among gaps earlier in the HCV cascade of care, particularly for vulnerable safety-net populations.[21]
Delays or failures in successful LTC and HCV treatment can also be attributed to poor health literacy and insurance-specific barriers. For instance, patients report that due to lack of symptoms and perception that HCV is a benign disease, they failed to seek treatment. Prior studies also note fear of side effects from interferon-based therapies, even in the era of highly effective direct acting antivirals, were common patient reported attitudes. In terms of insurance, multiple analyses[20,21,27,28] observed that Medicaid insurance status posed a significant barrier to treatment approval, which continues to improve with advocacy aimed at minimizing insurance based restrictions across the United States.
Similar to prior studies, our cohort observed that African Americans experience disproportionately greater delays in progressing through the HCV cascade of care compared to non-Hispanic whites.[29] While our study observed relatively similar rates of HCV treatment once LTC was achieved, other studies have observed lower rates of HCV treatment in African Americans and Hispanics.[9] Language barriers, cultural stigma, and health literacy may play critical roles in these marginalized populations that affect their continued engagement into HCV care.[30, 31, 32] Recognizing these trends was particularly important in our geographic region where African Americans comprise 6% of the population but represent 10% of newly reported chronic HCV infections according to the California Department of Public Health 2016 data.[3]
Contrary to the findings of Bourgi et al., who noted that men had increased rates of HCV screening but lower rates of treatment,[22] women with HCV in our cohort experienced significantly longer delays in access to treatment after HCV diagnosis. This finding was supported by Zuckerman et al.,[21] who noted that women in their cohort were three times less likely to complete an evaluation for HCV treatment compared to men. This association is likely multi-factorial and may reflect aspects of social stigma (i.e., women may be less forthcoming with providers about risky behaviors predisposing to HCV), leading to delays in diagnosis and linkage to care.[33, 34] Combined with the 22% rise in HCV infections among women of child-bearing age between 2011–2014, and a parallel rise in vertical transmission,[35] increased emphasis should be placed on targeting women with chronic HCV to improve engagement into care and treatment. Finally, Papatheodoridis et al., in evaluating barriers to the prevention, diagnosis, and treatment of HCV in the face of persisting fiscal constraints in Europe, identified a few key barriers in the European region.[36] These barriers include lack of evidence-based knowledge of HCV, limited access to prevention, diagnosis, and treatment services with poor patient pathways, declining resources, and the presence of social stigma and discrimination.
Certain limitations of a retrospective cohort study should be acknowledged. A major limitation stems from the retrospective nature of the study design that only allows one to observe trends and associations, but specific comments on potential causality can only be hypothesized. While single center studies may have potential limitations in assessing loss to follow up given the possibility that patients utilize other healthcare systems that may not be captured, it is important to note that safety-net patients are underinsured and less commonly seen at other healthcare sites easily for routine outpatient care. While acute care or emergency care might be provided elsewhere, routine HCV care, including disease assessment and treatment (non-acute events) are not performed in the emergency care setting,[12,16,17] and thus, our cohort focusing on safety-net patients may be a strength to ensure accurate assessment of the HCV cascade of care compared to tertiary care settings. Furthermore, while our unadjusted univariate analyses identified important disparities by sex and race/ethnicity, our adjusted multivariate analyses did not identify significant predictors of successful LTC. This is likely due to limitations of our relatively smaller sample size that was even smaller when specifically evaluating by subgroups. Furthermore, when evaluating the overall demographics of our healthcare system and comparing with the demographics of our cohort, the low prevalence of categorized Hispanics in our cohort suggests that a majority of the “other” race/ethnicity patients may in fact represent Hispanic patients. As such, while we report some race/ethnicity differences, trends in Hispanic and Asian populations in our cohort were likely not well captured. Thus, while we report results for patients with “other” race as listed in the medical records, we acknowledge these limitations and thus our study sample only allowed us to calculate reliable estimates of HCV linkage and retention among non-Hispanic whites and African Americans. With regards to liver disease severity, we utilized FIB-4 score as this is the more accurate of the currently available noninvasive serology based tests to assess risk of advanced fibrosis. Few patients received liver biopsy or transient elastography assessment during the study period, and thus, these data were not available for inclusion in our study. However, it is important to note that FIB-4 is not perfectly accurate and is subject to heterogeneity. Thus, in our cohort, we also performed manual chart review to determine the presence of cirrhosis based on the presence of cirrhosis complications of the clinician’s assessment of cirrhosis, which is likely more accurate in our cohort. Finally, progressing through the HCV cascade from diagnosis to treatment is complex, and involves an interplay between patients, providers, and system level factors, and certain factors such as attitudes and perceptions of HCV therapies amongst both patients and providers could not be assessed in our current study.[20, 37] Despite these limitations, we believe that our data provide important observations regarding the HCV cascade of care within an urban safety-net health system and continue to raise awareness of the need to develop novel interventions to improve the HCV cascade of care, particularly among underserved safety-net populations. For example, better integrating patient navigators into the patient HCV pathway, or better utilizing and implementing electronic health record based alert systems to reduce lost to follow up are potential ways to improve HCV linkage to care among those that are at high risk of lost to follow up.
Conclusion
With the availability of highly effective antiviral therapies for the treatment of chronic HCV, renewed attention and research is needed to better address disparities among patients progressing through the HCV cascade of care, from improved diagnosis, more effective linkage to care, and ultimately, helping patients receive treatment in a timely manner.
Financial Support Statement
This study was supported by an investigator-initiated research grant from Abbvie.
Conflict of Interest
Robert Wong: Advisory board, speaker’s bureau, and research grants – Gilead Sciences; Research Grant – Abbvie; Chantal Gomes and Dina Ginzberg: None.
Authors Contribution
Gomes C: study concept and design, analysis and interpretation of data, writing of article, critical revision of the manuscript; Ginzberg D: analysis and interpretation of data, critical revision of the manuscript; Wong R: study concept and design, analysis and interpretation of data, statistical analysis, critical revision of the manuscript, study supervision; Dr. Robert Wong had full access to all the data in the study and took responsibility for the integrity of the data and accuracy of the data analysis. This manuscript has been read and approved by all authors, the requirements for authorship have been met, and each author believes that the manuscript represents honest work.
References
1 Hofmeister MG, Rosenthal EM, Barker LK, Rosenberg ES, Barranco MA, Hall EW, et al. Estimating Prevalence of Hepatitis C Virus Infection in the United States, 2013–2016. Hepatology 2019; 69: 1020–31.10.1002/hep.30297Search in Google Scholar PubMed PubMed Central
2 Zibbell JE, Asher AK, Patel RC, Kupronis B, Iqbal K, Ward JW, et al. Increases in Acute Hepatitis C Virus Infection Related to a Growing Opioid Epidemic and Associated Injection Drug Use, United States, 2004 to 2014. Am J Public Health 2018; 108: 175–81.10.2105/AJPH.2017.304132Search in Google Scholar PubMed PubMed Central
3 Office of Viral Hepatitis CDoPH, Sexually Transmitted Diseases (STD) Control Branch. Chronic Hepatitis C in California, 2016 Executive Summary. Sacramento, California; 2016.Search in Google Scholar
4 Nahon P, Bourcier V, Layese R, Audureau E, Cagnot C, Marcellin P, et al. Eradication of Hepatitis C Virus Infection in Patients With Cirrhosis Reduces Risk of Liver and Non-Liver Complications. Gastroenterology 2017; 152: 142–56.e2.10.1053/j.gastro.2016.09.009Search in Google Scholar PubMed
5 Singal AG, Rich NE, Mehta N, Branch AD, Pillai A, Hoteit M, et al. Direct-Acting Antiviral Therapy for Hepatitis C Virus Infection Is Associated With Increased Survival in Patients With a History of Hepatocellular Carcinoma. Gastroenterology 2019; 157: 1253–63.e2.10.1053/j.gastro.2019.07.040Search in Google Scholar PubMed PubMed Central
6 Mandorfer M, Kozbial K, Schwabl P, Freissmuth C, Schwarzer R, Stern R, et al. Sustained virologic response to interferon-free therapies ameliorates HCV-induced portal hypertension. J Hepatol 2016; 65: 692–9.10.1016/j.jhep.2016.05.027Search in Google Scholar PubMed
7 Ioannou GN, Green PK, Berry K. HCV eradication induced by direct-acting antiviral agents reduces the risk of hepatocellular carcinoma. J Hepatol 2018; 68: 25–32.10.1016/j.jhep.2017.08.030Search in Google Scholar PubMed PubMed Central
8 Wong RJ, Jain MK, Therapondos G, Shiffman ML, Kshirsagar O, Clark C, et al. Race/ethnicity and insurance status disparities in access to direct acting antivirals for hepatitis C virus treatment. Am J Gastroenterol 2018; 113: 1329–38.10.1038/s41395-018-0033-8Search in Google Scholar PubMed
9 Lin M, Kramer J, White D, Cao Y, Tavakoli-Tabasi S, Madu S, et al. Barriers to hepatitis C treatment in the era of direct-acting anti-viral agents. Aliment Pharmacol Ther 2017; 46: 992–1000.10.1111/apt.14328Search in Google Scholar PubMed PubMed Central
10 Lewin ME AS. America’s health care safety net: intact but endangered. Washington, DC: National Academy Press; 2000. Available at: http://books.nap.edu/catalog/9612.htmlSearch in Google Scholar
11 Becker G. Deadly inequality in the health care “safety net”: uninsured ethnic minorities’ struggle to live with life-threatening illnesses. Med Anthropol Q 2004; 18: 258–75.10.1525/maq.2004.18.2.258Search in Google Scholar PubMed
12 Mobley L, Kuo TM, Bazzoli GJ. Erosion in the Healthcare Safety Net: Impacts on Different Population Groups. Open Health Serv Policy J 2011; 4: 1–14.10.2174/1874924001104010001Search in Google Scholar PubMed PubMed Central
13 Wong RJ, Jain M, Therapondos G, Shiffman ML, Kshirsagar O, Clark C, Thamer M. Race/Ethnicity and Insurance Status Disparities in Access to Direct Acting Antivirals for Hepatitis C Virus Treatment. Am J Gastroenterol 2018; 113:1329–38.10.1038/s41395-018-0033-8Search in Google Scholar PubMed
14 Spradling PR, Xing J, Rupp LB, Moorman AC, Gordon SC, Lu M, et al. Uptake of and Factors Associated With Direct-acting Antiviral Therapy Among Patients in the Chronic Hepatitis Cohort Study, 2014 to 2015. J Clin Gastroenterol 2018; 52: 641–7.10.1097/MCG.0000000000000857Search in Google Scholar PubMed PubMed Central
15 Jung J, Du P, Feldman R, Kong L, Riley T, 3rd. Racial/Ethnic and Socioeconomic Disparities in Use of Direct-Acting Antivirals Among Medicare Beneficiaries with Chronic Hepatitis C, 2014-2016. J Manag Care Spec Pharm 2019; 25: 1236–42.10.18553/jmcp.2019.25.11.1236Search in Google Scholar PubMed PubMed Central
16 Mokdad AA, Murphy CC, Pruitt SL, Mansour JC, Marrero JA, Singal AG, et al. Effect of hospital safety net designation on treatment use and survival in hepatocellular carcinoma. Cancer 2018; 124: 743–51.10.1002/cncr.31066Search in Google Scholar PubMed
17 Genther DJ, Gourin CG. The effect of hospital safety-net burden status on short-term outcomes and cost of care after head and neck cancer surgery. Arch Otolaryngol Head Neck Surg 2012; 138: 1015–22.10.1001/jamaoto.2013.611Search in Google Scholar PubMed
18 Vallet-Pichard A, Mallet V, Nalpas B, Verkarre V, Nalpas A, Dhalluin-Venier V, et al. FIB-4: an inexpensive and accurate marker of fibrosis in HCV infection. comparison with liver biopsy and fibrotest. Hepatology 2007; 46: 32–6.10.1002/hep.21669Search in Google Scholar PubMed
19 von Elm E, Altman DG, Egger M, Pocock SJ, Gotzsche PC, Vandenbroucke JP, et al. The Strengthening the Reporting of Observational Studies in Epidemiology (STROBE) statement: guidelines for reporting observational studies. Ann Intern Med 2007; 147: 573–7.10.7326/0003-4819-147-8-200710160-00010Search in Google Scholar PubMed
20 Jonas MC, Rodriguez CV, Redd J, Sloane DA, Winston BJ, Loftus BC. Streamlining Screening to Treatment: The Hepatitis C Cascade of Care at Kaiser Permanente Mid-Atlantic States. Clin Infect Dis 2016; 62: 1290–6.10.1093/cid/ciw086Search in Google Scholar PubMed
21 Zuckerman A, Douglas A, Nwosu S, Choi L, Chastain C. Increasing success and evolving barriers in the hepatitis C cascade of care during the direct acting antiviral era. PLoS One 2018; 13: e0199174.10.1371/journal.pone.0199174Search in Google Scholar PubMed PubMed Central
22 Bourgi K, Brar I, Baker-Genaw K. Health Disparities in Hepatitis C Screening and Linkage to Care at an Integrated Health System in Southeast Michigan. PloS One 2016; 11: e0161241-e.10.1371/journal.pone.0161241Search in Google Scholar PubMed PubMed Central
23 Turner BJ, Taylor BS, Hanson JT, Perez ME, Hernandez L, Villarreal R, et al. Implementing hospital-based baby boomer hepatitis C virus screening and linkage to care: Strategies, results, and costs. J Hosp Med 2015; 10: 510–6.10.1002/jhm.2376Search in Google Scholar PubMed
24 Ford MM, Johnson N, Desai P, Rude E, Laraque F. From Care to Cure: Demonstrating a Model of Clinical Patient Navigation for Hepatitis C Care and Treatment in High-Need Patients. Clin Infect Dis 2017; 64: 685–91.10.1093/cid/ciw806Search in Google Scholar PubMed
25 Trooskin SB, Poceta J, Towey CM, Yolken A, Rose JS, Luqman NL, et al. Results from a Geographically Focused, Community-Based HCV Screening, Linkage-to-Care and Patient Navigation Program. J Gen Intern Med 2015; 30: 950–7.10.1007/s11606-015-3209-6Search in Google Scholar PubMed PubMed Central
26 Perumalswami PV, Factor SH, Kapelusznik L, Friedman SL, Pan CQ, Chang C, et al. Hepatitis Outreach Network: a practical strategy for hepatitis screening with linkage to care in foreign-born communities. J Hepatol 2013; 58: 890–7.10.1016/j.jhep.2013.01.004Search in Google Scholar PubMed
27 Re VL, Gowda C, Urick PN, Halladay J, Binkley A, Carbonari D, et al. Incidence and Determinants of Denial of DAA Treatment for Chronic HCV Infection by Insurance Type During the First 6 Months of the Modern HCV Treatment Era. Hepatology 2015; 62: 1382A.Search in Google Scholar
28 Lo Re V, 3rd, Gowda C, Urick PN, Halladay JT, Binkley A, Carbonari DM, et al. Disparities in Absolute Denial of Modern Hepatitis C Therapy by Type of Insurance. Clin Gastroenterol Hepatol 2016; 14: 1035–43.10.1016/j.cgh.2016.03.040Search in Google Scholar PubMed PubMed Central
29 Forde KA, Tanapanpanit O, Reddy KR. Hepatitis B and C in African Americans: current status and continued challenges. Clin Gastroenterol Hepatol 2014; 12: 738–48.10.1016/j.cgh.2013.06.006Search in Google Scholar PubMed PubMed Central
30 Giordano C, Druyts EF, Garber G, Cooper C. Evaluation of immigration status, race and language barriers on chronic hepatitis C virus infection management and treatment outcomes. Eur J Gastroenterol Hepatol 2009; 21: 963–8.10.1097/MEG.0b013e328326f598Search in Google Scholar PubMed
31 Hernandez D, Castellon PC, Fernandez Y, Torres-Cardona FA, Parish C, Gorshein D, et al. When “the Cure” Is the Risk: Understanding How Substance Use Affects HIV and HCV in a Layered Risk Environment in San Juan, Puerto Rico. Health Educ Behav 2017; 44: 748–57.10.1177/1090198117728547Search in Google Scholar PubMed PubMed Central
32 Milne R, Price M, Wallace B, Drost A, Haigh-Gidora I, Nezil FA, et al. From principles to practice: Description of a novel equity-based HCV primary care treatment model for PWID. Int J Drug Policy 2015; 26: 1020–7.10.1016/j.drugpo.2015.07.009Search in Google Scholar PubMed
33 Harris M, Rhodes T. Hepatitis C treatment access and uptake for people who inject drugs: a review mapping the role of social factors. Harm Reduc J 2013; 10: 7.10.1186/1477-7517-10-7Search in Google Scholar PubMed PubMed Central
34 Grundy G, Beeching N. Understanding social stigma in women with hepatitis C. Nurs Stand 2004; 19: 35–9.10.7748/ns.19.4.35.s62Search in Google Scholar
35 Koneru A, Nelson N, Hariri S, Canary L, Sanders KJ, Maxwell JF, et al. Increased Hepatitis C Virus (HCV) Detection in Women of Childbearing Age and Potential Risk for Vertical Transmission-United States and Kentucky, 2011–2014. MMWR Morb Mortal Wkly Rep 2016; 65: 705–10.10.15585/mmwr.mm6528a2Search in Google Scholar
36 Papatheodoridis G, Thomas HC, Golna C, Bernardi M, Carballo M, Cornberg M, et al. Addressing barriers to the prevention, diagnosis and treatment of hepatitis B and C in the face of persisting fiscal constraints in Europe: report from a high level conference. J Viral Hepat 2016; 23 Suppl 1:1–12.10.1111/jvh.12493Search in Google Scholar
37 Manns MP, McHutchison JG, Gordon SC, Rustgi VK, Shiffman M, Reindollar R, et al. Peginterferon alfa-2b plus ribavirin compared with interferon alfa-2b plus ribavirin for initial treatment of chronic hepatitis C: a randomised trial. Lancet 2001; 358: 958–65.10.1016/S0140-6736(01)06102-5Search in Google Scholar
© 2020 Chantal Gomes, Dina Ginzberg, Robert J. Wong, published by Sciendo
This work is licensed under the Creative Commons Attribution-NonCommercial-NoDerivatives 4.0 International License.
Articles in the same Issue
- Editorial
- Early prediction of acute kidney injury by machine learning: Should we add the urine output criterion to improve this new tool?
- Commentary
- The application of traditional Chinese medicine against the tumor immune escape
- Perspective
- Pathogenesis and damage targets of hypertensive kidney injury
- Review Articles
- Hepatic encephalopathy: Diagnosis and management
- Optimal management of cirrhotic ascites: A review for internal medicine physicians
- Progress in endoscopic treatment of hemorrhoids
- Shengxuening versus oral iron supplementation for the treatment of renal anemia: A systematic review
- Original Articles
- Significance of hypernatremia due to SARS-CoV-2 associated ARDS in critically ill patients
- Delays and gaps in progressing through the hepatitis C virus cascade of care: An underserved safety-net hospital experience
- Factor V Leiden mutation frequency and geographical distribution in Turkish population
- Letter to Editor
- Quandary surrounding COVID19 transmission
Articles in the same Issue
- Editorial
- Early prediction of acute kidney injury by machine learning: Should we add the urine output criterion to improve this new tool?
- Commentary
- The application of traditional Chinese medicine against the tumor immune escape
- Perspective
- Pathogenesis and damage targets of hypertensive kidney injury
- Review Articles
- Hepatic encephalopathy: Diagnosis and management
- Optimal management of cirrhotic ascites: A review for internal medicine physicians
- Progress in endoscopic treatment of hemorrhoids
- Shengxuening versus oral iron supplementation for the treatment of renal anemia: A systematic review
- Original Articles
- Significance of hypernatremia due to SARS-CoV-2 associated ARDS in critically ill patients
- Delays and gaps in progressing through the hepatitis C virus cascade of care: An underserved safety-net hospital experience
- Factor V Leiden mutation frequency and geographical distribution in Turkish population
- Letter to Editor
- Quandary surrounding COVID19 transmission