Abstract
Interface phenomena that occur at the solid–liquid interface, such as wettability, adsorption, and particle aggregation, depend on the kind and magnitude of the solid surface free energy and electrokinetic properties found in water solutions. These phenomena are crucial for textile dyeing, finishing, and care. They characterize the material surface and change with different material pretreatment and finishing. In this paper, electrokinetic potential, isoelectric point, point of zero charge, a specific amount of surface charge and surface free energy of raw, enzymatically scoured, bleached, and finished cotton fabrics were investigated. Electrokinetic potential was measured by a streaming potential method and a specific quantity of surface charge by the back-titration method. For determination of the solid surface free energy components, the thin-layer wicking and contact-angle methods were used. On the basis of these results, components of solid surface free energy were calculated and discussed.
1 Introduction
The most important phases in the textile finishing are adsorption and wettability of textile material. These phenomena occur at the solid–liquid interface, such as textile material and water solutions. Interface phenomena significantly depend on the solid surface free energy and surface electrokinetic properties in water solutions, such as zeta potential (ZP) and a specific amount of surface charge [1,2,3,4,5,6,7,8,9,10,11,12,13,14,15,16,17,18,19,20]. At the interface of electrically charged textile fibers and an aqueous solution of electrolyte, surfactants or dyes, an electric double layer is set up, inducing the electrokinetic potential (ZP). Most of textile fibers show the negative values of the ZP when immersed in water (pH 6.5–7.0). The isoelectric point (IEP) is a numeric value of pH where electrokinetic potential equals zero. The point of zero charge (PZC) represents the necessary amount of surfactant of opposite charge added to the electrolyte solution to achieve zero charge at a constant pH (pH > 9). The ZP gives information about nature and dissociation of functional groups, hydrophilicity, or hydrophobicity of the fiber surface as well as ions or water sorption and the portion of amorphous regions where the adsorption processes take place [2,3,4,5, 8,9,10,11,12]. In general, specific adsorption of ions or dissociation of the surface groups in aqueous solution results with their surface charge, which depends on their molecular and supramolecular structure, swelling capacity, ionogenity, structure, and concentration of adsorbate [5, 13]. These phenomena are crucial for textile dyeing and finishing as well as for textile care. Changing the number of functional fiber surface groups, for example, by blocking in dyeing and finishing processes, and their dissociation affect the distribution of the surface charge, surface free energy, and the thickness and distribution of the electric double layer, resulting in different fabric interface phenomena [3,4,5,6,7,8,9,10,11,12,13,14,15,16,17,18,19,20]. When a drop of liquid is set on a solid surface, it creates a contact angle. By researching the contact angles that different liquids form on textile material, its wettability and surface free energy can be characterized [6, 16,17,18,19,20,21,22,23,24,25,26]. Therefore, the contact angle methods to determine surface free energy of cotton raw, scoured, bleached, and finished cotton fabrics according to the Fowkes, Owens-Wendt, and Wu model were performed. Since textiles are heterogeneous, porous, and mostly hydrophilic material, surface free energy is complicated and sometimes impossible to determine by the contact-angle method [6, 7, 27, 28]. Therefore, in this paper, the Chibowski thin-layer wicking method for the textile surface free energy components determination was performed and compared to contact-angle methods.
2 EXPERIMENTAL
In this paper, the ZP, IEP, and PZC with N–cetylpyridinium chloride, specific amount of surface charge and surface free energy of raw, bio-scoured, bleached, and finished cotton fabrics were investigated to characterize the cotton fabric surface.
2.1 Material
A plain weave fabric of 100% cotton and of surface mass 150 g/m2 was used (sample R). Fabric was desized for 3 h at 60°C in an autoclave (Scholl) by a pad roll using 3 g/l of amilase Beisol LZV (Bezema) and 2 g/l of wetting agent Kemonetzer NI (Kemo). It was bio-scoured for 3 h at 60°C in an autoclave (Scholl) by a pad roll using 3 g/l of pectinase Beisol PRO (Bezema) and 1 g/l of wetting agent Felosan NOG (Bezema) (sample ES). After enzymatic scouring, the fabric was bleached with hydrogen peroxide (HP) in a laboratory for 3 h at 98°C in an autoclave (Scholl) by a pad roll using 20 ml/l of H2O2 (35%), 4 g/l NaOH, 5 ml/l Tinoclarit CBB (Ciba), 15 ml/l of mixture Na2SiO3, Na2Si2O5, 10 ml/l Invatex MD (Ciba), and 0.5 ml/l Fumexol DF (Ciba) (sample EB). Under industrial conditions, the fabric was alkaline scoured for 1 h at 95°C in a bath containing 0.5 g/l of nonionic wetting agent Kemonetzer NI and 5 ml/l NaOH (48%), and HP bleached for 1 h at 90°C in peroxide baths containing 1 g/l of nonionic wetting agent Lavotan TBU (Bezema), 1 g/L of Stabilizator DP (Kemo), 2 ml/l NaOH (48%), and 5 ml/l H2O2 (35%) (sample B).
HP-bleached cotton fabric (Sample B) was then finished (F 1 – F 3) by the pad-dry-cure procedure. Padding was performed twice on foulard (Mathis), with wet pick up Wp ≈ 85% at pH 4. The padding bath for water- and oil-repellent finish (sample F 1) contained: 60 g/l Tubicoat HP 27 (CHT) – fluorocarbon (FC) resin; 15 g/l isopropanol (Sigma Aldrich), 25 g/l Tubicoat HPE conc. (CHT) – extender based on modified melamine resin free from metallic salts; 1 g/l 60% CH3COOH. The bath for easy-care finish (sample F 2) contained 80 g/l Reaknitt B-FF (CHT) – crosslinking agent based on modified di-methylol-di-hydroxy-ethylene urea (DMDHEU); 10 g/l Tubingal SKI (CHT) - silicone containing fatty acid condensation product with special additives, a pseudocationic, multifunctional softener; 15 g/l MgCl2 × 6 H2O. The bath for multifunctional finishing (Water-and oil-repellent + easy-care finish) (sample F 3) contained 25 g/l Tubicoat HPE conc. (CHT), 15 g/l isopropanol (Sigma Aldrich), 60 g/l Tubicoat HP 27 (CHT); 1 g/l 60% CH3COOH; 80 g/l Reaknitt B-FF (CHT); 10 g/l Tubingal SKI (CHT); 15 g/l MgCl2 × 6 H2O. The impregnated fabrics were dried at 100°C for 3 min and cured at 150°C for 2 min. The labels and treatments are listed in Table 1.
Labels and treatments of cotton fabrics
| Fabric | Treatment of cotton fabric |
|---|---|
| R | Raw |
| ES | Bio-scoured under laboratory conditions |
| EB | Bio-scoured and HP bleached under laboratory conditions |
| B | Alkaline scoured and HP bleached under industrial conditions |
| F 1 | Water- and oil-repellent finish (FC resin) |
| F 2 | Easy-care finish (DMDHEU) |
| F 3 | Water- and oil-repellent + easy-care finish |
2.2 Methods
The characterization of surface and chemical composition of cotton fabrics were performed applying instrumental methods: Fourier transform infrared—attenuated total reflectance (FTIR-ATR) spectroscopy, and electrokinetic analysis (EKA). For these purposes, all the fabrics were rinsed to the conductivity of deionized water (2–4 μS/cm).
The cotton fabrics were analyzed by FTIR spectrometer (PerkinElmer, software Spectrum 100). Sixteen scans at a resolution of 4 cm−1 were recorded for each sample between 4000 and 400 cm−1.
Electrokinetic (zeta, ξ, ZP) potential was measured by streaming potential/current method using the Brookhaven-Paar Electrokinetic Analyzer with a stamp cell and calculated according to the Helmholtz-Smoluchowsky equation [4]. It was investigated versus pH and versus cationic surfactant addition. The IEP of textile fabrics was determined as well as the PZC. In this work, PZC was determined using N–cetylpyridinium chloride (N-CPC).
Specific quantity of surface charge was calculated after the back-titration method [5] applying the Titrino 736 (Metrohm) and ionic surfactant electrode 6.0507.120 (Metrohm). N-CPC was used as cationic, and sodium dodecyl sulfate (NDDS) as anionic surfactant polyelectrolyte solution. For the calculation, at least five fabric samples dwelt in the solution, and at least 10 titrations were performed.
The surface free energy of solid substances (γs), according the approach of van Oss et al. [24, 25] considering the surface free energy as the sum of nonpolar Lifshitz-van der Waals (γLW) and polar acid-base (γAB) interactions:
For the interactions between solid S and liquid L, it may be written as
Where ΔGSLLW is the free energy change due to Lifshitz-van der Waals interactions and ΔGSLAB is due to acid–base interactions.
Young-Dupre showed that
which is known as van Oss-Chaudhury-Good (OCG) thermodynamic approach to determine the values of surface free energy components of solids, that is, γSLW, γS−, and γS+. To determine these values, it is necessary to determine contact angles of three different liquids of known properties (γLLW, γL−, and γL+).
Textiles are heterogeneous, porous, and mostly hydrophilic; therefore, sometimes, it is impossible to measure SFE by the contact angle method—in the case that the solid surface is not sufficiently hydrophobic that the liquid droplet stays and forms an angle on the surface. In that case, the thin-layer wicking can be used [6]. For that reason, both the contact-angle method and thin-layer wicking method were applied for determination of SFE components.
The static (equilibrium) contact angles of sessile drops of liquids on all fabrics were measured as a function of time [18] on the FIBRO DAT 500/1100 (Fibro) instrument using three different liquids—distilled water, formamide (p.a. 99.5 %, Fluka), and diiodomethane (p.a. 99 %, Aldrich)—at 23°C. From the image of the drop on the surface, using the Young–Laplace fitting the contact angle was determined. The complete drop contour was evaluated, taking into account the drop deformation caused by liquid weight, which, besides interfacial effects, also contributed to the drop shape. Liquid drops of 4 μl were deposited on different spots of the cotton fabrics to avoid the influence on the drop shape due to gravity and fabric roughness and heterogeneity. The average values of contact angles in 30–60 s from the deposition of the drops were calculated from at least ten measurements on each of the studied fabrics at 20°C and the ambient humidity. From the results of contact-angle measurement, the disperse Lifshitzvan der Waals (γLW) and polar acid–base (γAB) interactions and components of surface free energies (γLTOT, γL− and γL+) were calculated by using the following models:
ACID–BASE Fowkes's model [21] is based on the assumption that the phases that are in contact could behave as electron donors and/or electron acceptors, that is, the surface energy (γi) and interfacial energy (γij) are expressed as follows:
OWENS–WENDT's model
This is one of the most common methods for calculating the SFE of polymeric materials, while water and diiodomethane are being used most frequently as the measuring liquids [24]
where the whole surface energy is a sum of dispersed (d) and polar (p), components, that is,
interfacial free energy (γij) is expressed by geometric mean of the surface energies of two phases that are in contact.
WU's model
where the whole surface energy of a phase as a sum of dispersed (d) and polar (p) components; interfacial free energy (γij) is expressed by the harmonic mean of the surface energies of two phases that are in contact [25].
All these models are adequate if the solid surface is sufficiently hydrophobic that liquid droplets will stay on the surface forming an angle—“contact angle.” Textiles are heterogeneous, porous, and mostly hydrophilic; therefore, surface free energy is complicated, and sometimes it is impossible to measure by the contact-angle method [6].
For the determination of the textile surface free energy components in accordance to thin-layer wicking proposed by Chibowski et al. [27, 28], the rate of the liquid penetration (wicking) into the porous solid can be described with the general form of the Washburn equation for the horizontal capillary. If the wicking experiments are carried out in four wicking systems, four different values of the free energy change occurs, and work of adhesion (WA) can be calculated from the results of the liquid penetration rates using the van Oss approach:
from which nonpolar Lifshitz-van der Waals, γSLW; polar electron donor, γS−; and electron acceptor, γS+, components of the solid surface free energy can be calculated, if the components γLLW, γL−, and γL+ of the liquids are known. In order to determine the solid surface free energy components, at least three liquids, one nonpolar completely spreading liquid and two polar liquids, should be used for wicking.
For the thin-layer wicking experiments, n-heptane as a nonpolar completely spreading liquid, and water and formamide as polar noncompletely wetting liquids, were used. Experiments were carried out in the same way as recommended by Grancarić et al. [7]. For every fabric sample, 10 measurements were made at 20±1°C. From a wicking distance of polar and nonpolar solvents, components of the surface free energy were calculated.
3 RESULTS
The changes in the structure and chemical composition of the cotton fabrics were investigated by FTIR-ATR spectroscopy on a Spectrum GX FT-IR (Perkin-Elmer). The results are shown in Figure 1.

ATR FT-IR spectra of cotton fabrics – a. pretreated (R - raw; ES - enzymatic scoured; EB – enzymatic scoured and HP bleached; B - HP bleached); b. finished (F 1 - Water- and oil-repellent finish, F 2 – Easy-care finish; F 3 - Water- and oil-repellent + easy-care finish)
Some characteristic bands related to the physical and chemical changes can be seen from Figure 1—the hydrogen-bonded OH at 4000–2995 cm−1 (the intramolecular hydrogen bonding of O2-H---O6 and O3-H---O5, and the intermolecular hydrogen bonding of O6-H---O3 in cellulose are generally shown at 3455–3410, 3375–3340, and 3310–3230 cm−1); OH bending of adsorbed water (1615–1645 cm−1); the CH stretching at 2900 cm−1 (overlapping of the stretch asymmetric vibrations of -CH2- generally around 2935–2915 cm cm−1 and -CH3 around 2970–2950 cm−1, and by the overlapping of stretch symmetric vibrations of -CH2- around 2865–2845 cm−1 and -CH3 around 2880–2860 cm−1); the HCH and OCH in-plane bending vibrations at 1425 cm−1, the CH deformation vibration at 1335 cm−1, 1155 cm−1 C–C asymmetric bonds; 1105 cm−1 C–O–C bridges, glycoside bonds; 1050 cm−1 C–OH secondary alcohols; 1025 cm−1 C–OH primary alcohols; 1005 cm−1 and 985 cm−1 –CH– bonds; and the COC, CCO, and CCH deformation modes and stretching vibrations in which the motions of the C-5 and C-6 atoms are at 895 cm−1 and the C–OH out-of-plane bending mode at 660 cm−1 [15, 20, 29].
The ATR spectra revealed spectral changes in the fingerprint area 1800–500 cm−1. The characteristic band of the HOH bending vibrations of adsorbed water molecules occurred in the spectrum of untreated raw (Sample R) and pretreated (Samples ES, EB, and B) cellulose. Removal of the noncellulosic impurities of pectins, oils, waxes, proteins, carbohydrates, and inorganic materials from raw cotton fibers resulted in the shift of the band at 1617 cm−1 to 1642 cm−1 with a significant difference in the intensity, what suggests higher absorptivity of pretreated cotton.
For the finished cellulose, rather weak but characteristic bands appeared at 2845, 1735, 1677, 1550, 1505, 1245, and 815 cm−1. The intense symmetric and asymmetric stretching vibrations of the CH2 groups are observed at 2894 and 2845 cm−1, respectively. It is most probable that these CH2 groups form part of the backbone of the polymer and that the carbonyl group is part of an ester linkage connecting polymer chains to the backbone [30]. For the cellulose finished with FC resin (Samples F1 and F3), the most intense bands in this spectrum are observed at 1735, 1550, and 1245 cm−1. The band at 1735 cm−1 represents the carbonyl C=O group. The band at 1245 cm−1 can be assigned to the CF2 and CF3 symmetric and asymmetric stretching vibration [30], which was expected since the finishing agent contained FC resin. However, it is interesting that the peak of –C=N ring vibration was observed at 1550 cm−1. It can be attributed to the melamine used as an extender [31]. These peaks confirmed that the resin agent has been successfully bonded to the cellulose. For the cellulose finished with DMDHEU, the bands appeared at 1677, 1505, 1235, and 815 cm−1. The band at 1641 cm−1, characteristic of the adsorbed water molecules, is much weaker, and completely overlapped by urea (1677 cm−1) in the spectra of DMDHEU finished cellulose. A strong band at 1505 cm−1 can be attributed to aromatic-, while the band at 1235 cm−1 C-O- can be attributed to stretch vibration. Furthermore, the IR spectra of DMDHEU-treated cellulose showed a significant difference in the intensity and the shape of the band at 900 cm−1, which is very sensitive to conformational changes of the interglucosidal bond [20]. The new peak at 815 cm−1 appeared, proving the presence of crosslinking between DMDHEU and cellulose macromolecules.
The ZP of the cotton fabrics was measured using EKA depending on the pH of the electrolyte solution and cationic surfactant N-CPC addition. The results are given in Figures 2 and 3 and Table 2.

Zeta potential (ζ) of the (a) pretreated and (b) finished cotton fabrics vs. the pH of 0.001 M KCl

Zeta potential (ζ) of the (a) pretreated and (b) finished cotton fabrics vs. the addition of N-CPC in 0.001 M KCl at pH 10
Zeta potential (ζ), Isoelectric point (IEP), point of zero charge (PZC), and specific surface charge (q) of cotton fabrics
| Fabric | ζ at pH 10 [mV] | IEP [pH] | PZC [μg/ml] | q [C/g] |
|---|---|---|---|---|
| R | −12.2 | < 2.5 | 74.45 | −2.45 |
| ES | −13.4 | < 2.5 | 57.86 | −2.36 |
| EB | −14.9 | < 2.5 | 56.51 | −2.32 |
| B | −14.0 | < 2.5 | 54.81 | −2.29 |
| F 1 | −25.2 | 4.63 | 44.10 | −2.05 |
| F 2 | −23.9 | 2.98 | 56.71 | −2.25 |
| F 3 | −21.3 | 4.68 | 45.67 | −1.98 |
It can be seen from Table 2 and Figures 2 and 3 that all studied fabrics are negatively charged, mostly due to the presence of carboxyl and hydroxyl groups. In the case of raw cotton, hydroxyl and carboxyl groups existed, but they were covered by noncellulose compounds. Therefore, raw cotton has the ZP of −12.2 mV. The scouring process results in degradation and removal of practically all noncellulose compounds except waxes, which remain to about 50% on the fiber. It causes interfibrillar swelling, and the active surface is increased, but the number of dissociable groups stays the same. Therefore, the ZP changes from −12.2 mV to −13.4 mV. The oxidation in the bleaching process causes the formation of new surface groups (−CO, −CHO and −COOH) and a second step of hydrolyzation of material, which is observed by the decreased ZP [3, 4, 11, 12, 14]. The ZP of fibers decreases with the swelling and increases the absorption of water. It is assumed that swelling processes expand the inner surface of the fibers, and the shear plane of the electrochemical double layer is shifted of the shear plane into the liquid phase, for example, this swelling layer. The ZP decreases within this layer, which explains the kinetics of the swelling process. On the other hand, the composition of the electrochemical double layer is influenced by the adsorption of electrolyte ions. Because of the competitive adsorption of water molecules, the amount of adsorbed potential-determining ions decreases during the swelling process, thereby, amplifying its effect on the ZP. For all those reasons, bleached fabric Blab (ζ= −14.9 mV) has a lower ZP than Bind (ζ= −14.0 mV), which indicates a larger number of accessible surface groups. Finishing the treatment leads to further lowering of the ZP. Applying DMDHEU (Figure 2), melamine, and FC resin (Figure 3) on the surface of cotton fabrics overshadows the functional hydroxyl groups of cellulose fibers with their own. Additionally, as the FTIR-ATR results showed, the DMDHEU monomers penetrated into amorphous regions of the fibers and formed covalent bonds with the hydroxyl groups of cellulose macromolecules. This led to an increased rearrangement of the amorphous regions of fibers that hindered the penetration of liquids.
Besides ZP at pH 10, it is important to know the IEP and PZC. For the determination of these points, it was necessary to measure the change in ZP in dependence on the electrolyte pH and ionic surfactants addition. IEP is an important parameter in the dyeing and finishing. Obtained results presented in Table 3 and in Fig. 2 indicate that raw cotton fabric has an IEP in the area of less than pH 2.5. The exact value was impossible when determining the presence of several ionic groups within the measuring system [5]. The IEPs are shifted toward lower pH values during the cleaning process, due to the increased accessibility of dissociable surface groups (IEP shifted from pH 2.3 to pH approximately 2). In the finishing processes, change on the surface occurs, shifting the IEP to higher pH values. Application of DMDHEU results in an IEP of 2.98 for F 2. Treatment with FC resin results in an IEP > 4.5 regardless if applied alone (F 1) or in the bath with DMDHEU (F 3).
Contact angle measured on FIBRO DAT 500/1100 (Fibro) instrument
| Fabric | Contact angle [°] | ||
|---|---|---|---|
| ΘWATER | ΘFORMAMIDE | ΘDIIODOMETHANE | |
| R | 142,1 | 123,5 | 93,2 |
| ES | /* | / | / |
| EB | /* | / | / |
| B | /* | / | / |
| F 1 | 126,2 | 121,2 | 107,6 |
| F 2 | / | / | 83,6 |
| F 3 | 126,7 | 120,4 | 103,0 |
- *
Highly hydrophilic surfaces, contact angle could not be measured
PZC was determined at pH 10 because in that pH area the ZP has the highest and constant value. The results presented in Table 2 and in Fig. 5 showed similar behavior as the pH functions. Due to the noncellulose compounds that cover raw cotton fibers, it adsorbs the highest number of cationic surfactants for reaching zero-charge (PZC = 74.45 μg/ml). The hydrophilic surfaces, scoured and bleached as well as DMDHEU-treated cotton fabrics, which have better accessibility obtained by fiber swelling and enlargement of the primary interfibrillar and/or intrafibrillar places, show a similar adsorption of cationic surfactant N-CPC (PZC around 56 μg/ml). On the other hand, hydrophobic surfaces (FC resin treated, F1 and F3) adsorb fewer cations having PZC around 45 μg/ml.
The specific amount of surface charge obtained by the back-titration method confirmed the assumptions about the cotton fabric surface charge placed by the ZP and PZC. The raw cotton fabric has a highly negative surface charge of −2.45 C/g. Removal of noncellulosic impurities in the scouring and bleaching process increase the surface charge. Therefore, bleached cotton fabric shows a surface charge of = −2.29 C/g. Application of DMDHEU results in almost the same surface charge of = −2.25 C/g. Treatment with FC resin significantly reduced the charge q(F1) = −2.05 C/g and q(F3) = −1.98 C/g.
When a drop of liquid is set on a solid surface, it creates a contact angle. Researching contact angles that different liquids form on textile material, its wettability and surface free energy can be characterized. The results of contact angle measurements on the cotton fabrics are given in Table 3. Surface free energies of cotton fabrics calculated from the results of contact-angle measurements according to Wu's and Owens–Wendt's models are presented in Table 4 and according to the acid–base model in Table 5.
Surface free energy components according to Wu's and Owens–Wendt's models
| Fabric | Wu's model | Owens–Wendt's model | ||||
|---|---|---|---|---|---|---|
| γd [mJ/m2] | γp [mJ/m2] | γ [mJ/m2] | γd [mJ/m2] | γp [mJ/m2] | γ [mJ/m2] | |
| R | 16,57 | 0 | 16,57 | 10,14 | 1,22 | 11,36 |
| ES | /* | / | / | /* | / | / |
| Blab | /* | / | / | /* | / | / |
| B | /* | / | / | /* | / | / |
| F 1 | 10,47 | 0 | 10,47 | 5,20 | 0,23 | 5,43 |
| F 2 | / | / | / | / | / | / |
| F 3 | 11,98 | 0 | 11,98 | 6,41 | 0,07 | 6,48 |
- *
Highly hydrophilic surfaces, contact angle could not be measured
Surface free energy components of the pretreated and finished cotton fabrics – Thin-layer wicking method according to Chibowski et al. (RTLW, BTLW, F 2TLW) and contact angle method—acid–base model (RAB, F 1AB, F 3AB)
| Fabric | γSLW [mJ/m2] | γS+ [mJ/m2] | γS− [mJ/m2] | γSAB [mJ/m2] | γSt°t [mJ/m2] | WA [mJ/m2] |
|---|---|---|---|---|---|---|
| RAB | 45,26 | 0 | 0 | 0 | 45,26 | 62,82 |
| RTLW | 44,72 | 0 | 0 | 0 | 44,72 | 62,45 |
| ESTLW | 49,53 | 0,02 | 62,35 | 3,48 | 53,01 | 146,90 |
| EBTLW | 47,77 | 0,08 | 59,52 | 4,47 | 52,24 | 145,31 |
| BTLW | 45,68 | 0,09 | 61,05 | 4,68 | 50,36 | 145,06 |
| F 1AB | 6,18 | 0,28 | 1,40 | 1,25 | 7,43 | 40,51 |
| F 2TLW | 47,36 | 1,51 | 51,28 | 17,63 | 64,99 | 149,00 |
| F 3AB | 7,63 | 0,52 | 1,14 | 1,54 | 9,17 | 43,86 |
From Table 3, it is evident that the contact angle could not be measured on highly hydrophilic surfaces. Results show that nonpolar liquid diiodomethane forms contact angles on raw and all finished fabrics, while polar liquids, water, and formamide, only the raw fabric and fabrics finished with water- oil-repellent agent that containing melamine and FC resin (F 1 and F 3). On hydrophilic fabrics, scoured, bleached, and easy-care finished (F 2) water and formamide do not form contact angles, but they penetrate into its porous structure. The reason is the capillary sorption, which results in contact angles lower than 90°. The contact angle between fabric and formamide is lower than 20° and could not be determined. The water- oil-repellent finishing that contains FC resin, increase the contact angle. Water forms the highest contact angle in all finished cotton fabrics (F 1 and F 3), rather than formamide and diiodomethane. The components of surface free energy of cotton fabrics were calculated from the results of contact-angle measurements according to the acid–base model, and shown in Table 4, but only for hydrophobic fabrics (R, F 1, and F 3).
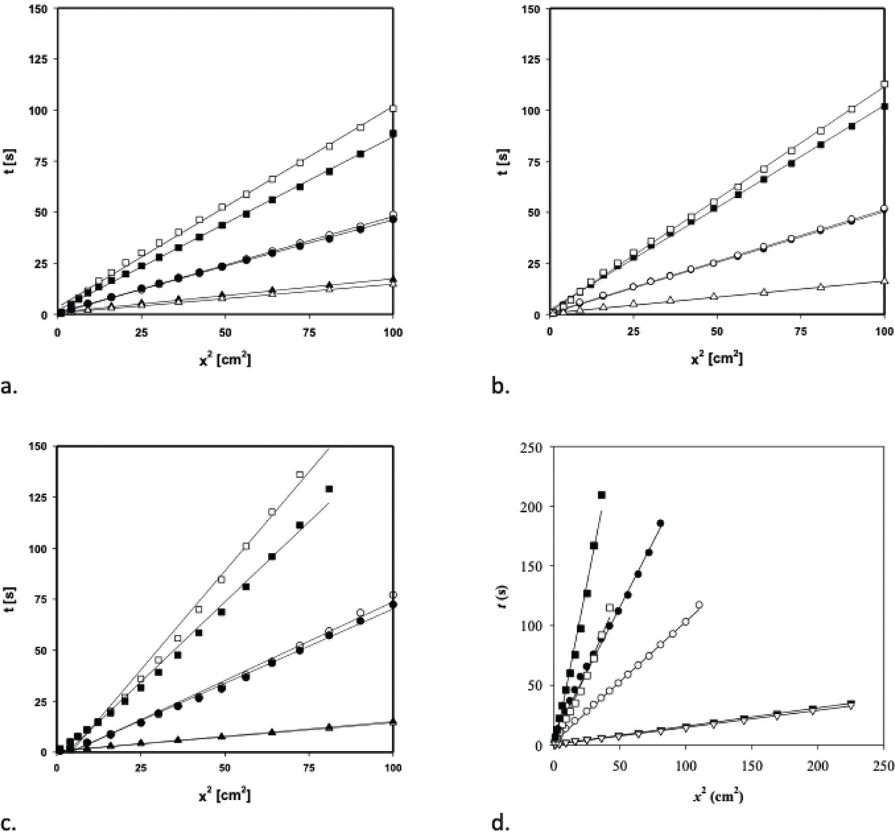
For the reason that this method is not appropriate for heterogeneous, porous, and mostly hydrophilic textiles, the Chibowski thin-layer wicking method for the surface free energy components determination was performed on hydrophilic surfaces (ES, Blab, Bind, F 2) and compared to the acid–base model of the contact-angle method. The results of the liquid penetration rates into the hydrophilic cotton fabrics according to thin-layer wicking method by Chibowski et al. are presented in Figure 4. Figures 4a through 4d show the plots of the liquid penetration rate into enzymatic scoured (ES), bleached (Blab and Bind), and finished (F 2) fabrics. The Washburn equation is only valid if the squared penetrated distance, x2, is a linear function of the time, t. Therefore, only those parts of plots are presented. According to the Washburn equation, the higher the penetration rate, the lower the slope of the plot.

Liquid penetration rates into fabrics: (a) ES, (b) EB, (c) B and (d) F 2. Bare fabrics: -△- n-heptane, -○- water, -□- formamid; precontacted fabrics with liquid saturated vapour: -▲- n-heptane, -●- water, -■- formamid
It can be seen from Figure 4 that the liquid penetration rate depends on the liquid properties as well as on the fabric preparation. The highest penetration rate is obtained for n-heptane and the lowest one for formamide regardless of the fabric preparation. It is also evident that the liquid wicking velocity into the bare fabric differs from that obtained for the saturated one. Since the pretreated cotton fabrics ES, Blab, and Bind are highly wettable by all studied liquids, n-heptane is the only wicking liquid in the case of the hydrophobic fabric R and water–oil repellent finished fabrics F 1 and F 3. Therefore, the liquid penetration rate into these fabrics is not presented in Figure 1, and the surface free energy could not be calculated for these samples. Comparing the results of surface free energy, it is evident that the thin-layer wicking method is more appropriate for hydrophilic textiles because there is no need to measure the contact angle. The contact angle is almost impossible to measure on hydrophilic surfaces, but for hydrophobic surfaces, it is irreplaceable. From the results of surface free energy according to the acid–base model, it can be seen that the results for the surface free energy are close to the Chibowski thin-layer wicking (TLW) results. Therefore, the cumulative results for these two methods are presented in Table 5.
From the results of the components of surface free energies calculated according to acid–base model and thin-layer wicking shown in Table 5, it is evident that all studied fabrics are negatively charged due to the presence of carboxyl and hydroxyl groups, previously suggested by electrokinetic phenomena. The raw cotton fabric (R) is nonpolar, having γSLW equals to its total surface free energy, γSTOT, no matter which model was applied for surface free energy calculation. Since scouring and bleaching processes enhance the number of available and causes formation of new surface groups, the pretreatment of cotton fabrics results in the high increase of the γS− value, but it does not have a significant effect on the increase of γS+. This suggests that the pretreated cotton fabrics can be described as monopolar surfaces of strong electron donor capacity. These results are in good agreement with those of ZP and specific surface charge, since carboxyl and hydroxyl groups are strong electron donors. The water- oil-repellent agent (F 1, F 3) reduces wettability of cotton fabrics. This is evident from the values of surface free energy, which in the case of pretreated bleached fabric (B) is 50.36 mJ/m2, while in finishing (F 1, F 3) reduced to values less than 10 mJ/m2. These finishes significantly reduced the electron donor capacity. On the other hand, the easy-care finishing (F 2) results is γS+ increment, while the γS− value remains high, more than 51 mJ/m2. Because of crosslinking with DMDHEU, its electron acceptor capacity gets higher. This means that the incorporation of DMDHEU into the cellulose structure did not essentially change its surface properties, but that it remained a monopolar solid with a strongly expressed electron donor component, having work of adhesion (WA) is very high as for the pretreated fabrics WA =145 mJ/m2. Based on the results, the agent for easy-care finishing that diffuses into the amorphous areas of cellulose fibers does not substantially alter the surface of the cotton fabric. The fabric remains polar having wettability as untreated (in this case bleached) cotton fabric. This shows that the strong reduction of surface free energy, achieved by applying a finishing F1 and F3, results in the presence an oil-repellent FC finishing agent in the polymer and not in the presence of DMDHEU. This was expected, since the FC polymer, which includes a perfluorinated hydrocarbon group in its secondary structure, is characterized by extremely low surface tension and high stability. FC polymer film, formed on the surface of cotton fabrics in the stage of condensation, overshadows the functional hydroxyl groups of cellulose fibers and hydrophilic polar surface changes in the high water- oil-repellent and nonpolar surfaces. The results of WA confirm that. Fabrics finished with FC resin have significantly lower work of adhesion, WA < 40 mJ/m2.
4 CONCLUSIONS
Pretreatment and finishing of cotton fabrics cause the modification of the textile surface properties resulting in a great change of its interface phenomena—ZP, surface charge, and surface free energy. All presented fabrics are negatively charged, mostly due to the presence of carboxyl and hydroxyl groups.
In the case of raw cotton, hydroxyl and carboxyl groups existed, but they were covered by noncellulose compounds (proteins, oils, waxes, pectin, carbohydrates and inorganic materials, etc.). Its nonpolar surface with γSLW equals to its total surface free energy, γSTOT.
The scouring and bleaching processes result in degradation and removal of practically all noncellulose compounds. It causes interfibrillar swelling, and the active surface is increased, which is observed by the decreased ZP and in the increase of the γS− value, but it does not have a significant effect on the increase of γS+. This suggests that the pretreated cotton fabrics can be described as having monopolar surfaces of strong electron donor capacity.
The water- oil-repellent agent reduces the wettability of cotton fabrics. The FC polymer film overshadows the functional hydroxyl groups of cellulose fibers and hydrophilic polar surface changes into the nonpolar surface. The total surface free energy of these fabrics is γSTOT < 10 mJ/m2. On the other hand, the easy-care finishing, because of crosslinking with DMDHEU, results in γS+ increment, while the γS− value remains high and does not substantially alter the surface of cotton fabric.
It is to point out that the thin-layer wicking method for determination the surface free energy is more appropriate for hydrophilic textiles because there is no need for contact-angle determination. Contact angle is almost impossible to measure on hydrophilic surfaces, but for hydrophobic surfaces, it is irreplaceable.
ACKNOWLEDGMENTS
Authors acknowledge Ministry of Science, Education and Sports of Republic of Croatia, and Slovenian Research Agency for financial support to the Project entitled “Surface free energy of pretreated and finished textiles” in Slovenia–Croatia cooperation in science and technology.
References
[1] Jacobasch HJ. Oberflächenchemie faserbildender polymerer, Akadenie Verlag, Berlin 198410.1515/9783112649404Search in Google Scholar
[2] Jacobasch HJ and Schurz J. Characterization of Polymer Surfaces by means of Electrokinetic Measurements. Progr Colloid & Polymer Sci 1988; 77: 40–48.10.1007/BFb0116758Search in Google Scholar
[3] Stana-Kleinschek K, Strand S and Ribitsch V. Surface Characterization and Adsorption Abilities of Cellulose Fibers, Polymer Engineering and Science 1999; 39: 1412–1424.10.1002/pen.11532Search in Google Scholar
[4] Grancarić AM, Pušić T, Soljačić I and Bišćan J. Electrokinetic Behaviour of Textile Fibers, Polimeri 2002; 23: 121–128.Search in Google Scholar
[5] Grancarić AM, Tarbuk A and Pušić T. Electrokinetic Properties of Textile Fabrics, Coloration Technology 2005; 121: 221–227.10.1111/j.1478-4408.2005.tb00277.xSearch in Google Scholar
[6] Grancarić AM, Chibowski E, and Tarbuk A. Surface Free Energy of Textiles, Tekstil 2008; 57: 29–39.Search in Google Scholar
[7] Grancarić AM, Chibowski E, Pušić T, Soljačić I and Plantić Lj. Surface Free Energy of Conventional and Enzymatically Scoured Cotton Fabrics. In: Book of proceedings of the 1st ITC&DC, (Ed. Dragcevic Z), Dubrovnik, Croatia, 5–8 Oct 2002, pp. 267–273, Zagreb: Faculty of Textile Technology, University of Zagreb.Search in Google Scholar
[8] Bišćan J. Electrokinetic Data: Approaches, Interpretations and Application, Croatica Chemica Acta 2007; 80: 357–365.Search in Google Scholar
[9] Luxbacher T. Electrokinetic properties of natural fibres, In: Handbook of Natural Fibres: Processing and Applications, (ed. R.M. Kozłowski), (2012), pp. 185–216, Woodhead Publishing Series in Textiles, Elsevier.10.1533/9780857095510.1.185Search in Google Scholar
[10] Stana-Kleinschek K and Ribitsch V. Electrokinetic properties of Processed Cellulose Fibers, Colloids and Surfaces, A: Physicochemical and Engineering Aspects 1998; 140: 127–138.10.1016/S0927-7757(97)00301-4Search in Google Scholar
[11] Grancarić AM, Ristić N, Tarbuk A and Ristić I. Electrokinetic Phenomena of Cationized Cotton and its Dyeability with Reactive Dyes. Fibres & Textiles in Eastern Europe 2013; 21: 106–110.Search in Google Scholar
[12] Tarbuk A, Grancarić AM and Leskovac M. Novel cotton cellulose by cationisation during mercerisation – Part 2: Interface phenomena; Cellulose 2014; 21: 2089–209910.1007/s10570-014-0194-6Search in Google Scholar
[13] Pušić T, Grancarić AM, Tarbuk A, Šauperl O and Soljačić I. Adsorption and Desorption of Ionic Surfactants, Tenside, surfactants, detergents 2010; 47: 173–178.10.3139/113.110067Search in Google Scholar
[14] Pušić T, Tarbuk A and Dekanić T. Bio-innovation in cotton scouring – acid and neutral pectinases. Fibres & Textiles in Eastern Europe 2015; 23: 98–103.Search in Google Scholar
[15] Peršin Z, Stana-Kleinschek K, Sfiligoj-Smoje M, Kreže T and Ribitsch V. Determining the Surface Free Energy of Cellulose Materials with the Power Contact Angle Measurement. Textile Research Journal 2004; 74: 55–62.10.1177/004051750407400110Search in Google Scholar
[16] Černe L and Simončič B. Influence of repellent finishing on the surface free energy of cellulosic textile substrates, Text Res J 2004; 74: 426–432.10.1177/004051750407400509Search in Google Scholar
[17] Černe L, Simončič B and Željko M. The influence of repellent coatings on surface free energy of glass plate and cotton fabric. Applied Surface Science 2008; 254: 6467–6477.10.1016/j.apsusc.2008.04.007Search in Google Scholar
[18] Simončič B and Černe L. Influence of Different parameters on the Surface Free Energy of Finished Cotton Fabrics, Tekstilec 2004; 47: 6–12.Search in Google Scholar
[19] Simončič B, Černe L, Tomšič B and Orel B. Surface properties of cellulose modified by imidazolidinone. Cellulose 2008; 15: 47–58.10.1007/s10570-007-9151-ySearch in Google Scholar
[20] Tarbuk A, Grancarić AM and Leskovac M. Novel cotton cellulose by cationisation during the mercerisation process – Part 1: Chemical and morphological changes. Cellulose 2014; 21: 2167–2179.10.1007/s10570-014-0245-zSearch in Google Scholar
[21] Fowkes FM and Mostafa MA. Acid-Base Interactions in Polymer Adsorption. Ind. Eng. Chem. Prod. Res. Dev. 1978, 17: 3–7.10.1021/i360065a002Search in Google Scholar
[22] Good, R. J.: Contact Angle, Wetting and Adhesion – a critical review. In Contact Angle Wettability and Adhesion (Mittal, K. L., Ed.), VSP, Utrecht, The Netherlands, (1993), 3–36.Search in Google Scholar
[23] van Oss, C. J.: Interfacial Forces in Aqueous Media, Marcel Dekker Inc., New York 1994.Search in Google Scholar
[24] Owens DK and Wendt RC. Estimation of the Surface Free Energy of Polymers, J. Appl.Polym. Sci. 1969; 13: 1741–1747.10.1002/app.1969.070130815Search in Google Scholar
[25] Wu S. Polar and Nonpolar Interactions in Adhesion, J. Adhesion 1973; 5: 9–55.10.1080/00218467308078437Search in Google Scholar
[26] Ženkiewicz M. Methods for the Calculation of Surface Free Energy of Solids. Journal of Achivements in Materials and Manufacturing Engieneering 2007; 24: 137–145.Search in Google Scholar
[27] Chibowski E and Gonzalez-Caballero F. Theory and practice of thin layer wicking. Langmuir 1993; 9: 330–340.10.1021/la00025a062Search in Google Scholar
[28] Chibowski E. Thin layer wicking – Methods for the determination of acid-base energies of interaction, Acid-Base Interaction: Relevance to Adhesion Science and Technology 2000; 2: 419–437.Search in Google Scholar
[29] Oh SY, Yoo DI, Shin Y and Seo G. FTIR Analysis of Cellulose Treated with Sodium Hydroxide and Carbon Dioxide. Carbohydrate Research 2005; 340: 417–428.10.1016/j.carres.2004.11.027Search in Google Scholar PubMed
[30] Church JS and Evans DJ. The Quantitative Analysis of Fluorocarbon Polymer Finishes on Wool by FT-IR Spectroscopy, J. Appl. Polym. Sci. 1995; 57: 1585–1594.10.1002/app.1995.070571306Search in Google Scholar
[31] Merline DJ, Vukusic S and Abdala AA. Melamine formaldehyde: curing studies and reaction mechanis. Polymer Journal 2012; 45: 413–419.10.1038/pj.2012.162Search in Google Scholar
© 2021 Ana Marija Grancarić et al., published by De Gruyter
This work is licensed under the Creative Commons Attribution 4.0 International License.
Articles in the same Issue
- Tensile Properties Analysis of 3D Flat-Knitted Inlay Fabric Reinforced Composites Using Acoustic Emission
- Fit and Pressure Comfort Evaluation on a Virtual Prototype of a Tight-Fit Cycling Shirt
- Review on Fabrication and Application of Regenerated Bombyx mori Silk Fibroin Materials
- From Raw to Finished Cotton—Characterization by Interface Phenomena
- Study on Structure and Anti-UV Properties of Sericin Cocoons
- Modeling of Material Characteristics of Conventional Synthetic Fabrics
- Developing Real Avatars for the Apparel Industry and Analysing Fabric Draping in the Virtual Domain
- Investigation of Actual Phenomena and Auxiliary Ultrasonic Welding Parameters on Seam Strength of PVC-Coated Hybrid Textiles
- Archaeology and Virtual Simulation Restoration of Costumes in the Han Xizai Banquet Painting
- Automatic Identification of Wrist Position in a Virtual Environment for Garment Design
- Development of the Smart T-Shirt for Monitoring Thermal Status of Athletes
- Assessment and Semantic Categorization of Fabric Visual Texture Preferences
- Numerical Prediction of the Heat Transfer in Air Gap of Different Garment Models
- Pressure Evaluation of Seamless Yoga Leggings Designed with Partition Structure
- Development of a Small, Covered Yarn Prototype
Articles in the same Issue
- Tensile Properties Analysis of 3D Flat-Knitted Inlay Fabric Reinforced Composites Using Acoustic Emission
- Fit and Pressure Comfort Evaluation on a Virtual Prototype of a Tight-Fit Cycling Shirt
- Review on Fabrication and Application of Regenerated Bombyx mori Silk Fibroin Materials
- From Raw to Finished Cotton—Characterization by Interface Phenomena
- Study on Structure and Anti-UV Properties of Sericin Cocoons
- Modeling of Material Characteristics of Conventional Synthetic Fabrics
- Developing Real Avatars for the Apparel Industry and Analysing Fabric Draping in the Virtual Domain
- Investigation of Actual Phenomena and Auxiliary Ultrasonic Welding Parameters on Seam Strength of PVC-Coated Hybrid Textiles
- Archaeology and Virtual Simulation Restoration of Costumes in the Han Xizai Banquet Painting
- Automatic Identification of Wrist Position in a Virtual Environment for Garment Design
- Development of the Smart T-Shirt for Monitoring Thermal Status of Athletes
- Assessment and Semantic Categorization of Fabric Visual Texture Preferences
- Numerical Prediction of the Heat Transfer in Air Gap of Different Garment Models
- Pressure Evaluation of Seamless Yoga Leggings Designed with Partition Structure
- Development of a Small, Covered Yarn Prototype