Abstract
In this work, a pyrimidine-based ligand, N′-(amino(pyrimidin-2-yl)methylene)pyrimidine-2-carbohydrazonamide hydrate (APPH · H2O), and its binuclear complex of cadmium, [Cd(μ-APPH)Br]2, 1, were prepared and identified by elemental analysis, FT-IR, 1H NMR spectroscopy as well as single-crystal X-ray diffraction. X-ray structure analysis of 1 revealed octahedrally coordinated cadmium centers with a CdN4Br2 environment containing two bridging APPH ligands; each APPH ligand acts as an N4-donor (N2-donor toward each cadmium atom) and forms two five-membered chelate rings that are approximately perpendicular to each other. In the network of 1, the N–H · · · Br hydrogen bonds form motifs such as
1 Introduction
Pyrimidines are a group of six-membered aromatic heterocycles [1] that are important chemical compounds due to their wide application in the pharmaceutical field [2], [3], [4], [5]. The ability of the pyrimidine ring nitrogen atoms to act as a chelating ligand enables such compounds to be used to form supramolecular assemblies and as sensors [6]. For example, they have applications in light sensors for color-sensitive solar cells [7] and polarity sensors [8]. They are used for a diverse range of applications [9], [10].
To extend the chemistry of this class of compounds, in this work, the preparation, characterization (elemental analysis, FT-IR, 1H NMR spectroscopy), and crystal structure of a new cadmium(II) complex, [Cd(μ-APPH)Br]2 (1), with N′-(amino(pyrimidin-2-yl)methylene)pyrimidine-2-carbohydrazonamide (APPH) as a ligand (Scheme 1) is presented. The structure of the isolated molecules of APPHopt and 1opt have been determined by density functional theory (DFT) studies to compare the results with the solid-state data. The variation of the charge values of atoms/ions during the complexation process was investigated by natural bond orbital (NBO) analysis.

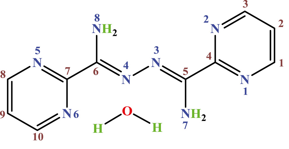
Structure of the APPH·H2O with atom labeling.
2 Results and discussion
The APPH·H2O ligand was prepared by the condensation of pyrimidine-2-carbonitrile and hydrazine hydrate. Reaction between cadmium(II) bromide and APPH·H2O provided complex 1. The complex is air-stable and soluble in DMSO.
2.1 Spectroscopic studies
In the IR spectrum of the APPH, there are two bands in the range of 3250–3350 cm−1, due to the primary amine group. These bands are shifted by 25 and 11 cm−1 to lower frequencies after coordination of the ligand to the cadmium atom. Although the crystallographic data shows that there is no bond between the amine functionality and the cadmium atom, these shifts can be attributed to the changes in electron density of this group after coordination to the cadmium atom and to H bonding. The ν (C=N) vibrations arising from imine and pyrimidine units of the ligand are observed at approximately 1600 cm−1 with only minor shifts. The presence of the water molecule in 1 gives rise to broad peaks in the ranges of 3300–3400 cm−1 and 1624 cm−1 [11], [12].
The 1H NMR spectrum of the ligand confirms that the structure contains aromatic (δ=7.59–8.93 ppm) and aliphatic (δ=5.19 ppm) portions. The two hydrogen atoms nearest to the nitrogen atoms of the pyrimidine ring are observed as a doublet and another one in the para position as a triplet. The amine protons are observed as a broad singlet peak near δ=6.6 ppm.
2.2 Crystal and molecular structure of [Cd(μ-APPH)Br]2 (1)
X-ray analysis of 1 (Fig. 1) reveals a binuclear structure with bridging APPH ligands. Each cadmium atom is coordinated by two N2-donor APPH (each APPH totally acts as an N4-donor) and two bromo ligands in a distorted octahedral arrangement (Figs. 1 and 2). The ligands have cis orientation. Study of the CSD database [13] reveals that there is one iron complex containing the APPH ligand [14], but the authors used a 1,2,4,5-tetrazine derivative as a starting ligand and then the APPH ligand was formed during the complexation process by a tetrazine-ring opening reaction. There are seven examples for a Cd(NN)2(Brterminal)2 (NN: each N2-donor ligand forms a five-membered chelate ring) environment [11], [12], [15], [16], [17], [18], [19]. In these structures similar to 1, the two bromo ligands have cis geometry except for one case [18]. The Cd‒Br bond lengths average for cis isomers (2.645 Å) is 0.255 Å (0.253 Å for 1) smaller than for the trans isomer (2.900 Å).

Ortep-III diagram of the molecular structure of complex 1. The ellipsoids are drawn at the 50% probability level.

Packing of molecules 1 in the crystal showing the
In 1, each APPH ligand acts as a tetradentate N2imine N2pyrimidine-donor toward two cadmium atoms and forms an almost planar five-membered chelate ring (maximum deviation from a mean plane through the chelate ring: 0.087 Å for C5 and C7 atoms) around each cadmium atom. A six-membered 2L:2M1,4 ring (1 and 4 refer to the positions of the cadmium atoms in the ring) forms by participation of two APPH and two cadmium atoms [20].
In the crystal network of 1, there are weak C–H···N, C–H···Br, and N–H···Br hydrogen bonds. Among them, the N–H···Br hydrogen bonds participate in the formation of a variety of different motifs [21], [22] such as
2.3 Theoretical studies
To enable a comparison of the geometrical parameters of complex 1 with its optimized analogue (1opt, Fig. 3a), DFT calculations were performed for one isolated molecule. Among the different bond lengths of 1opt, two Cd‒Br and one Cd‒N3 bonds are approximately 0.1 Å longer than the corresponding bonds in 1 whereas others are comparable. The dihedral angle between mean planes through two five-membered chelate rings with cis position in 1opt and 1 is 56.10° and 60.64(4)°, respectively, indicating that the octahedral geometry of the cadmium atom in the solid phase is more perfect than the isolated form and The Br‒Cd‒Br angles in 1opt and 1 are 115.78° and 102.275(7)°, respectively.

Optimized structure of the complex 1opt (a) and APPH ligand (b).
Optimization of the APPH ligand reveals a Z/Z isomer (Fig. 3b) in which two amine groups have an anti-position (similar to Scheme 1). Maximum deviations of the atoms from a mean plane through the nonhydrogen atoms of the APPH molecule were observed for N7 (0.205 Å) and C2 (0.105 Å), which means that the ligand is almost planar and the amine groups are bent slightly from the molecule plane. Comparing this structure with that of 1 and 1opt reveals that the deviation from planarity of the ligand after complexation to the cadmium atom is increased. In 1 and 1opt, the dihedral angle between the mean planes through the two heterocycles is 67.32(4)° and 68.52°, respectively for 1 and 1opt.
To study the charge distribution before and after complexation, an NBO analysis was done on the free ligand (without the water molecule) and on 1opt (Table 1). Based on the calculated charge average for N atoms, the charges on the coordinated nitrogen atoms (Na and Nc, Scheme 1) become more negative after coordination. Also, as is typical, the charge on the cadmium atom (+1.14) is lower than the formal charge (+2) owing to electron donation of the ligands upon complexation [25], [26].
The NBO analysis results for APPHopt and 1opt. Values are the average of charge on similar atoms.
| C2,9 | C1,3,8,10 | C4,7 | C5,6 | H(Ca) | H(Cb) | H(Nb) | N1,2,5,6 | N7,8 | N3,4 | Br | Cd | |
|---|---|---|---|---|---|---|---|---|---|---|---|---|
| APPHopt | –0.32 | 0.05 | 0.39 | 0.39 | 0.25 | 0.23 | 0.44 | –0.47 | –0.84 | –0.38 | – | – |
| 1opt | –0.27 | 0.12 | 0.44 | 0.46 | 0.24 | 0.24 | 0.44 | –0.55 | –0.81 | –0.47 | –0.67 | 1.14 |
3 Conclusion
In this work, a new binuclear complex of cadmium(II), [Cd(μ-APPH)Br]2 (1); APPH: N′-(amino(pyrimidin-2-yl)methylene)pyrimidine-2-carbohydrazonamide, and the hydrate of this pyrimidine-based ligand, APPH·H2O, were synthesized and their spectral properties were investigated. The crystal structure of the complex has been determined, in which the cadmium atom has a CdN4Br2 environment with a distorted octahedral geometry formed by two cis-N2-donor APPH ligands (each ligand acts as N4-donor toward two cadmium atoms) and two cis-bromo ligands. Two APPH ligands bridge two cadmium atoms to form a six-membered 2L:2M1,4 ring. In the crystals of 1, the N–H···Br interactions form different types of hydrogen bonding motifs including,
4 Experimental
4.1 Materials and measurements
All starting chemicals and solvents were reagent or analytical grade and used as received. The infrared spectra of KBr pellets in the range of 4000–400 cm−1 were recorded with a FT-IR TENSOR 27 spectrometer. 1H NMR spectrum was recorded on a Bruker Aspect 3000 instrument. The carbon, hydrogen, and nitrogen contents were determined by a Thermo Finnigan Flash Elemental Analyzer 1112 EA. The melting point was determined with a Barnsted Electrothermal 9200 electrically heated apparatus.
4.2 Preparation of N′-(amino(pyrimidin-2-yl)methylene)pyrimidine-2-carbohydrazonamide hydrate, APPH·H2O
The APPH ligand was prepared as described in the literature [27] with modifications. The spectral data of this ligand have not been reported previously and are presented in this work. A total of 1.91 g (38.15 mmol) of hydrazine hydrate, dissolved in methanol (10 mL), was added dropwise with stirring to 2.00 g (19.03 mmol) of pyrimidine-2-carbonitrile in methanol (10 mL) under reflux for 10 h. The resultant precipitate was filtered off (yield: 0.62 g, 25%). A small amount of the ligand was formed from the filtrate solution; after solvent evaporation at room temperature, an oily compound was formed. After the addition of 5 mL of acetone to this compound and immersing it in an ultrasonic bath for 5 min, the precipitate was separated from the oil and collected by filtration (yield: 0.29 g, 12%). M. p. 187°C. – Anal. calcd. for C10H12N8O (260.26): C 46.15, H 4.65, N 43.06; found C 46.25, H 4.66, N 43.28%. – IR (KBr disk): νas=3427 (H2O), νs=3358 (H2O) and/or νas (NH2), νs=3276 (NH2), ν=3068 (C–H)ar, ν=1624 (C=N)imine and/or δ (H2O) and/or δ (NH2), 1559 (C=N)pyrimidine, ν=1199 (C–N), ν=1092 (N–N), ρr=632 (H2O), ρw=545 (H2O) cm−1. –1H NMR (300 MHz, DMSO-d6): δ=8.93) d, 4H, C1H, C3H, C8H, C10H, J=4.8 Hz), 7.59) t, 2H, C2H, C9H, J=4.8 Hz), 6.61 (s, 4H, NH2) ppm.
4.3 Preparation of [Cd(μ-APPH)Br]2
CdBr2 (1.92 mmol, 0.52 g) was dissolved in methanol (10 mL) and added with stirring to the methanol solution (10 mL) of APPH·H2O (1.92 mmol, 0.50 g). The reaction mixture was refluxed for 5 h. The solution was left to slowly evaporate at room temperature. The resulting yellow precipitate was filtered off and recrystallized from DMF. Yield 0.80 g, 81%. M. p. 234°C. – Anal. calcd. for C10H10Br2CdN8 (514.48): C 23.35, H 1.96, N 21.78; found C 23.39, H 2.03, N 21.91%. – IR (KBr disk): νas=3333 (NH2), νs=3265 (NH2), ν=3060 (C–H)ar, ν=1632 (C=N)imine and/or δ (NH2), 1567 (C=N)pyrimidine, ν=1208 (C–N), ν=1063 (N–N) cm−1.
4.4 Crystal structure determination
X-ray diffraction data for 1 was collected at T=93 K using a Rigaku FR-X Ultrahigh Brilliance Microfocus RA generator/confocal optics with an XtaLAB P200 diffractometer. MoKα radiation (λ=0.71073 Å) was used and intensity data was collected using ω steps accumulating area detector images spanning at least a hemisphere of reciprocal space. All data was corrected for Lorentz polarization effects. A multiscan absorption correction was applied by using CrysAlis Pro [28]. The structure was solved using the intrinsic phasing method (Shelxt [29]) and refined by full-matrix least-squares against F2 (Shelxl-2013 [30]). Nonhydrogen atoms were refined anisotropically, and the amine hydrogens were refined freely from the electron density map with some light geometrical restraints whereas all other hydrogen atoms were refined geometrically using a riding model. All calculations were performed using Olex 2 [31]. Diagrams of the molecular structure were created using Ortep-III [32], [33] and Diamond [34]. Selected crystallographic data is presented in Table 2. Selected bond lengths are displayed in Table 3 and hydrogen bond geometries in Table 4.
Crystal structure data and structure refinement of complex 1.
| Empirical formula | C20H20Br4Cd2N16 |
|---|---|
| Formula weight, g mol−1 | 1028.96 |
| Crystal size, mm3 | 0.24×0.06×0.06 |
| Temperature, K | 93 |
| Crystal system | Monoclinic |
| Space group | I2/a |
| Unit cell dimensions | |
| a, Å | 14.8169(2) |
| b, Å | 11.8677(1) |
| c, Å | 18.7709(2) |
| β, deg | 105.472(1) |
| Volume, Å3 | 3181.11(6) |
| Z | 4 |
| Calculated density, g cm−3 | 2.15 |
| Absorption coefficient, mm−1 | 6.4 |
| F(000), e | 1952 |
| θ range data collection, deg | 2.2–28.4 |
| h, k, l ranges | –19≤h≤19, –14≤k≤15, –24≤l≤23 |
| Reflections collected/independent/Rint | 45,474/3666/0.022 |
| Data/ref. parameters | 3666/206 |
| R1/wR2 (I>3 σ(I)) | 0.0145/0.0396 |
| R1/wR2 (all data) | 0.0152/0.0398 |
| Goodness-of-fit on F2 | 1.09 |
| Largest diff. peak/hole, e Å−3 | 0.52/–0.20 |
Selected bond lengths (Å) and angles (deg) for complex 1 with estimated standard deviations in parentheses.a
| Bond lengths | 1 | 1opt | Angles | 1 |
|---|---|---|---|---|
| Cd1–Br1 | 2.6611(2) | 2.768 | Br2–Cd1–Br1 | 102.275(7) |
| Cd1–Br2 | 2.6329(2) | 2.768 | N1–Cd1–Br1 | 89.98(3) |
| Cd1–N1 | 2.4492(15) | 2.483 | N1–Cd1–Br2 | 91.61(3) |
| Cd1–N3 | 2.3841(13) | 2.444 | N1–Cd1–N4i | 108.85(5) |
| Cd1–N4i | 2.4527(13) | 2.484 | N3–Cd1–Br1 | 145.56(3) |
| Cd1–N5i | 2.4353(14) | 2.444 | N3–Cd1–Br2 | 104.17(3) |
aSymmetry operator: i –x+1/2, y, –z+1.
Hydrogen bond dimensions (Å and deg) in complex 1.a
| D–H···A | d(D–H) | d(H···A) | d(D···A) | <(DHA) | Symmetry code of atoms A |
|---|---|---|---|---|---|
| C3–H3···Br2 | 0.930 | 2.8153 | 3.640(2) | 148.4 | 0.5–x, 1.5–y, 1.5–z |
| C2–H2···Br1 | 0.930 | 2.7643 | 3.686(2) | 171.3 | 1–x, 0.5+y, 1.5–z |
| C10–H10···N6 | 0.930 | 2.670 | 3.526(3) | 153.2 | –x, –y, 1–z |
| C9–H9···Br1 | 0.930 | 2.9123 | 3.617(2) | 133.6 | –0.5+x, –0.5+y, –0.5+z |
| N8–H8a···Br1 | 0.87 | 2.93 | 3.523(2) | 127 | –0.5+x, 1–y, z |
| N8–H8b···Br2 | 0.88 | 2.84 | 3.452(2) | 127 | 0.5–x, 0.5–y, 1.5–z |
CCDC 1958990 contains the supplementary crystallographic data for this article. These data can be obtained free of charge from The Cambridge Crystallographic Data Centre via www.ccdc.cam.ac.uk/data_request/cif.
4.5 Computational details
The structures were optimized using Gaussian 09 software [35] and calculated for an isolated molecule using DFT [36] at the B3LYP/6-31G(d,p) [37], [38] level of theory for the ligand and B3LYP/LanL2DZ [39] for the complex [40], [41] as well as for NBO analysis. The X-ray structural data of complex 1 was used as input for the theoretical calculations. The structure of the ligand was extracted from the crystallographic information file of this complex and used for DFT studies.
References
[1] A. Kumari, Sweet Biochemistry: Remembering Structures, Cycles, and Pathways by Mnemonics, Academic Press, Amsterdam 2017.10.1016/B978-0-12-814453-4.00017-0Search in Google Scholar
[2] K. S. Jain, T. S. Chitre, P. B. Miniyar, M. K. Kathiravan, V. S. Bendre, V. S. Veer, S. R. Shahane, C. J. Shishoo, Curr. Sci.2006, 90, 793.Search in Google Scholar
[3] K. R. A. Abdellatif, R. B. Bakr, Bioorg. Chem.2018, 78, 341.10.1016/j.bioorg.2018.03.032Search in Google Scholar PubMed
[4] C.-A. Lefebvre, E. Forcellini, S. Boutin, M.-F. Côté, R. C-Gaudreault, P. Mathieu, P. Lagüe, J.-F. Paquin, Bioorg. Med. Chem. Lett.2017, 27, 299.10.1016/j.bmcl.2016.11.052Search in Google Scholar PubMed
[5] A. Rahmouni, S. Souiei, M. A. Belkacem, A. Romdhane, J. Bouajila, H. Ben Jannet, Bioorg. Chem.2016, 66, 160.10.1016/j.bioorg.2016.05.001Search in Google Scholar PubMed
[6] C. Denneval, S. Achelle, C. Baudequin, F. Robin-le Guen, Dyes Pigm.2014, 110, 49.10.1016/j.dyepig.2014.05.030Search in Google Scholar
[7] E. V. Verbitskiy, E. M. Cheprakova, J. O. Subbotina, A. V. Schepochkin, P. A. Slepukhin, G. L. Rusinov, V. N. Charushin, O. N. Chupakhin, N. I. Makarova, A. V. Metelitsa, V. I. Minkin, Dyes Pigm.2014, 100, 201.10.1016/j.dyepig.2013.09.006Search in Google Scholar
[8] C. Tang, Q. Zhang, D. Li, J. Zhang, P. Shi, S. Li, J. Wu, Y. Tian, Dyes Pigm.2013, 99, 20.10.1016/j.dyepig.2013.04.016Search in Google Scholar
[9] E. V. Verbitskiy, A. A. Baranova, K. I. Lugovik, K. O. Khokhlov, E. M. Cheprakova, M. Z. Shafikov, G. L. Rusinov, O. N. Chupakhin, V. N. Charushin, Dyes Pigm.2017, 137, 360.10.1016/j.dyepig.2016.10.039Search in Google Scholar
[10] E. V. Verbitskiy, E. B. Gorbunov, A. A. Baranova, K. I. Lugovik, K. O. Khokhlov, E. M. Cheprakova, G. A. Kim, G. L. Rusinov, O. N. Chupakhin, V. N. Charushin, Tetrahedron2016, 72, 4954.10.1016/j.tet.2016.06.071Search in Google Scholar
[11] J.-W. Zhu, X.-C. Song, Y.-D. Lin, E. Yang, Acta Crystallogr.2007, E63, m1044.10.1107/S1600536807011063Search in Google Scholar
[12] P. Arranz, C. Bazzicalupi, A. Bencini, A. Bianchi, S. Ciattini, P. Fornasari, C. Giorgi, B. Valtancoli, Inorg. Chem.2001, 40, 6383.10.1021/ic010597zSearch in Google Scholar PubMed
[13] F. H. Allen, Acta Crystallogr.2002, B58, 380.10.1107/S0108768102003890Search in Google Scholar PubMed
[14] M. A. Lemes, A. Pialat, S. N. Steinmann, I. Korobkov, C. Michel, M. Murugesu, Polyhedron2016, 108, 163.10.1016/j.poly.2015.11.024Search in Google Scholar
[15] Y.-H. Sun, S.-F. Luo, X.-Z. Zhang, Z.-Y. Du, Acta Crystallogr.2009, E65, m708.10.1107/S1600536809020352Search in Google Scholar
[16] H.-M. Park, I.-H. Hwang, J.-M. Bae, Y.-D. Jo, C. Kim, H.-Y. Kim, Y.-M. Kim, S.-J. Kim, Bull. Korean Chem. Soc.2012, 33, 1517.10.5012/bkcs.2012.33.5.1517Search in Google Scholar
[17] L. Saghatforoush, Z. Khoshtarkib, H. Keypour, M. Hakimi, Polyhedron2016, 119, 160.10.1016/j.poly.2016.08.030Search in Google Scholar
[18] B. Holló, Z. D. Tomić, P. Pogány, A. Kovács, V. M. Leovac, K. M. Szécsényi, Polyhedron2009, 28, 3881.10.1016/j.poly.2009.08.020Search in Google Scholar
[19] B. Hu, Q.-Q. Liu, T. Tao, K. Zhang, J. Geng, W. Huang, Inorg. Chim. Acta2013, 394, 576.10.1016/j.ica.2012.09.029Search in Google Scholar
[20] F. Marandi, K. Moeini, H. Krautscheid, Acta Crystallogr.2019, C75, 1389.10.1107/S2053229619011719Search in Google Scholar
[21] Z. Mardani, V. Golsanamlou, S. Khodavandegar, K. Moeini, A. M. Z. Slawin, J. D. Woollins, J. Coord. Chem.2018, 71, 120.10.1080/00958972.2018.1426852Search in Google Scholar
[22] Z. Mardani, V. Golsanamlou, S. Khodavandegar, K. Moeini, A. M. Z. Slawin, J. D. Woollins, Z. Naturforsch.2017, 72b, 335.10.1515/znb-2016-0222Search in Google Scholar
[23] F. Marandi, K. Moeini, B. Mostafazadeh, H. Krautscheid, Polyhedron2017, 133, 146.10.1016/j.poly.2017.05.029Search in Google Scholar
[24] F. Marandi, K. Moeini, F. Alizadeh, Z. Mardani, C. K. Quah, W.-S. Loh, Z. Naturforsch.2018, 73b, 369.10.1515/znb-2018-0043Search in Google Scholar
[25] L. Saghatforoush, K. Moeini, S. A. Hosseini-Yazdi, Z. Mardani, A. Hajabbas-Farshchi, H. T. Jameson, S. G. Telfer, J. D. Woollins, RSC Adv.2018, 8, 35625.10.1039/C8RA07463ASearch in Google Scholar
[26] Z. Mardani, R. Kazemshoar-Duzduzani, K. Moeini, A. Hajabbas-Farshchi, C. Carpenter-Warren, A. M. Z. Slawin, J. D. Woollins, RSC Adv.2018, 8, 28810.10.1039/C8RA04578JSearch in Google Scholar
[27] S. Shi, T. M. Yao, X. T. Geng, L. Chen, L. N. Ji, Acta Crystallogr.2007, E64, o272.10.1107/S1600536807065889Search in Google Scholar
[28] CrysAlis Pro Software System (version 1.171.38.41), Intelligent Data Collection and Processing Software for Small Molecule and Protein Crystallography, Rigaku Oxford Diffraction, Yarnton, Oxfordshire (UK) 2015.Search in Google Scholar
[29] G. Sheldrick, Acta Crystallogr.2015, A71, 3.10.1107/S2053273314026370Search in Google Scholar
[30] G. Sheldrick, Acta Crystallogr.2015, C71, 3.Search in Google Scholar
[31] O. V. Dolomanov, L. J. Bourhis, R. J. Gildea, J. A. K. Howard, H. Puschmann, J. Appl. Crystallogr.2009, 42, 339.10.1107/S0021889808042726Search in Google Scholar
[32] L. J. Farrugia, J. Appl. Crystallogr.1997, 30, 565.10.1107/S0021889897003117Search in Google Scholar
[33] M. N. Burnett, C. K. Johnson, Ortep-III, Report ORNL-6895. Oak Ridge National Laboratory, Oak Ridge, TN, USA, 1996.Search in Google Scholar
[34] G. Bergerhof, M. Berndt, K. Brandenburg, J. Res. Natl. Inst. Stand. Technol.1996, 101, 221.10.6028/jres.101.023Search in Google Scholar PubMed PubMed Central
[35] M. J. Frisch, G. W. Trucks, H. B. Schlegel, G. E. Scuseria, M. A. Robb, J. R. Cheeseman, G. Scalmani, V. Barone, B. Mennucci, G. A. Petersson, H. Nakatsuji, M. Caricato, X. Li, H. P. Hratchian, A. F. Izmaylov, J. Bloino, G. Zheng, J. L. Sonnenberg, M. Hada, M. Ehara, K. Toyota, R. Fukuda, J. Hasegawa, M. Ishida, T. Nakajima, Y. Honda, O. Kitao, H. Nakai, T. Vreven, J. A. Montgomery Jr., J. E. Peralta, F. Ogliaro, M. J. Bearpark, J. Heyd, E. N. Brothers, K. N. Kudin, V. N. Staroverov, R. Kobayashi, J. Normand, K. Raghavachari, A. P. Rendell, J. C. Burant, S. S. Iyengar, J. Tomasi, M. Cossi, N. Rega, N. J. Millam, M. Klene, J. E. Knox, J. B. Cross, V. Bakken, C. Adamo, J. Jaramillo, R. Gomperts, R. E. Stratmann, O. Yazyev, A. J. Austin, R. Cammi, C. Pomelli, J. W. Ochterski, R. L. Martin, K. Morokuma, V. G. Zakrzewski, G. A. Voth, P. Salvador, J. J. Dannenberg, S. Dapprich, A. D. Daniels, Ö. Farkas, J. B. Foresman, J. V. Ortiz, J. Cioslowski, D. J. Fox, Gaussian 09., Gaussian, Inc., Wallingford, CT, USA, 2009.Search in Google Scholar
[36] J. P. Perdew, Phys. Rev.1986, B33, 8822.10.1103/PhysRevB.33.8822Search in Google Scholar PubMed
[37] A. D. Becke, J. Chem. Phys.1993, 98, 5648.10.1063/1.464913Search in Google Scholar
[38] R. Ditchfield, W. J. Hehre, J. A. Pople, J. Chem. Phys.1971, 54, 724.10.1063/1.1674902Search in Google Scholar
[39] P. J. Hay, W. R. Wadt, J. Chem. Phys.1985, 82, 270.10.1063/1.448799Search in Google Scholar
[40] G. Abbas, A. Hassan, A. Irfan, M. Mir, R. Mariya Al, G. Wu, J. Struct. Chem.2015, 56, 92.10.1134/S0022476615010138Search in Google Scholar
[41] M. Ghiasi, S. Kamalinahad, M. Zahedi, J. Struct. Chem.2014, 55, 1574.10.1134/S0022476614080277Search in Google Scholar
©2020 Walter de Gruyter GmbH, Berlin/Boston
Articles in the same Issue
- Frontmatter
- In this Issue
- The di(thiourea)gold(I) complex [Au{S=C(NH2)2}2][SO3Me] as a precursor for the convenient preparation of gold nanoparticles
- Synthesis of chiral 3,5-bis(l-phenylalaninyl-l-leucinyl)pyridine Schiff base and their macrocyclic carboxaimide derivatives using 3,5-bis(l-phenylalaninyl)-pyridine methyl ester
- Utilization of 1-phenylimidazo[1,5-a]quinoline as partner in 1,4-dipolar cycloaddition reactions
- One-pot multi-component process for the synthesis of 4-azaphenanthrene-3,10-dione, 1,8-dioxo-octahydroxanthene and tetrahydrobenzo[b]pyran derivatives catalyzed by the deep eutectic solvent choline chloride-oxalic acid
- A novel three-dimensional copper aspartate coordination compound with efficient photoluminescence
- A binuclear Cd(II) complex containing bridging pyrimidine-based ligands
- Structures and phase transitions of (BrCH2CH2NH3)2CdBr4 and (BrCH2CH2CH2NH3)2CdBr4 as investigated by 81Br NQR, DTA, and single-crystal X-ray diffraction
- Single-crystal investigation of the compound SmNi5.2Mn6.8
- Serendipitous formation of K15NaSn5F36
- Derivatives of the triaminoguanidinium ion, 6. Aminal-forming reactions with aldehydes and ketones
Articles in the same Issue
- Frontmatter
- In this Issue
- The di(thiourea)gold(I) complex [Au{S=C(NH2)2}2][SO3Me] as a precursor for the convenient preparation of gold nanoparticles
- Synthesis of chiral 3,5-bis(l-phenylalaninyl-l-leucinyl)pyridine Schiff base and their macrocyclic carboxaimide derivatives using 3,5-bis(l-phenylalaninyl)-pyridine methyl ester
- Utilization of 1-phenylimidazo[1,5-a]quinoline as partner in 1,4-dipolar cycloaddition reactions
- One-pot multi-component process for the synthesis of 4-azaphenanthrene-3,10-dione, 1,8-dioxo-octahydroxanthene and tetrahydrobenzo[b]pyran derivatives catalyzed by the deep eutectic solvent choline chloride-oxalic acid
- A novel three-dimensional copper aspartate coordination compound with efficient photoluminescence
- A binuclear Cd(II) complex containing bridging pyrimidine-based ligands
- Structures and phase transitions of (BrCH2CH2NH3)2CdBr4 and (BrCH2CH2CH2NH3)2CdBr4 as investigated by 81Br NQR, DTA, and single-crystal X-ray diffraction
- Single-crystal investigation of the compound SmNi5.2Mn6.8
- Serendipitous formation of K15NaSn5F36
- Derivatives of the triaminoguanidinium ion, 6. Aminal-forming reactions with aldehydes and ketones