Abstract
Potential high energetic dense oxidizers with the 1,1,1-trinitropropan-2-yl moiety are described in this study. The urea, N,N′-bis(1,1,1-trinitropropan-2-yl)urea (1), is synthesized by the reaction of urea with acetaldehyde and trinitromethane. The reaction of 1,1,1-trinitropropan-2-ol (2) with the reagent chlorosulfonyl isocyanate results in the formation of 1,1,1-trinitroprop-2-yl carbamate (3). The nitration of 3 with anhydrous nitric and sulfuric acid yields the nitrocarbamate (4). All compounds were fully characterized by multinuclear NMR (1H, 13C, 14/15N) and vibrational spectroscopy, mass spectrometry and elemental analysis (C,H,N). For analysis of the thermostability differential scanning calorimetry (DSC) was used. Energetic properties, the sensitivities towards impact, friction and electrostatic discharge were tested and compared with the corresponding 2,2,2-trinitroethyl and 3,3,3-trinitropropyl derivatives. The crystal structures of two compounds with that of the 1,1,1-trinitroprop-2-yl moiety have been determined by low temperature X-ray diffraction and discussed. The energies of formation were evaluated and several detonation parameters such as the velocity of detonation and the propulsion performance were calculated with the program package explo5.
1 Introduction
High energy dense oxidizers (HEDOs) are based on CHNO compositions and are a subgroup of energetic compounds, which release an excess of oxygen when decomposed [1]. This class of compounds is mainly used in composite propellants, where they are the main part with around 75%. Further ingredients of such solid rocket propellants are binder and fuel. The released excess of oxygen which is produced by the oxidizer reacts with the carbon backbone and added fuel, which produce hot gasses for the propulsion. As a fuel, often aluminum is used which burns very hot, has a low atomic weight and is cheap [2]. Until now, ammonium perchlorate (AP) has been used as oxidizer, due to its high oxygen content, its good stability and its low sensitivity against mechanical stimuli. Unfortunately, perchlorate anion is toxic to vertebrates, amphibians and other marine organisms [3]. There is also proof that the anion perchlorate has negative health effects to humans, especially on the thyroid hormonal balance which is important for the normal growth and development [4, 5]. Another drawback of AP are the decomposition products like the toxic hydrogen chloride which causes further environmental problems and generates easily visible and detectable expulsions leading to tactical disadvantages [6].
The 2,2,2-trinitroethyl moiety is the most commonly used group for the synthesis of new HEDOs and can be obtained by reacting trinitromethane and formaldehyde via a Henry or Mannich reaction [7–9]. The trinitropropyl group is less common and two different constitutional isomers are possible. The synthesis, structure and energetic properties of the 3,3,3-trinitropropyl moiety were recently investigated [10]. The 1,1,1-trinitroprop-2-yl moiety is not much investigated, only patents from the 1960s with the description of 1,1,1-trinitroprop-2-yl ethers and the urea compound N,N′-bis(1,1,1-trinitropropan-2-yl)urea (1) are available [11–14]. Although few compounds are reported, nothing is known about their structural and energetic properties and stability.
2 Results and discussion
2.1 Synthesis
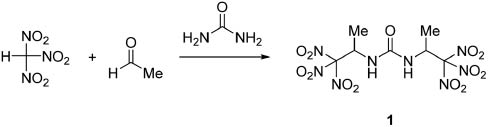
Scheme 1 illustrates the synthesis of N,N′-bis(1,1,1-trinitropropan-2-yl)urea (1). The starting materials trinitromethane and acetaldehyde were both dissolved in water under stirring, and after few minutes an oil separated, very likely the intermediate alcohol 1,1,1-trinitropropan-2-ol (2). This carbon–carbon bond forming condensation is referred as a Henry reaction of an aldehyde and a polynitroalkane having an acidified proton in the α-position to the nitro groups. Urea was added with stirring and within minutes a colorless precipitate of product 1 was formed. This Mannich type condensation is acid catalyzed by the strong acidity of trinitromethane (pKa = 0.15) [15, 16].

Synthesis of N,N′-bis(1,1,1-trinitropropan-2-yl)urea (1).
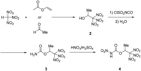
The above mentioned intermediate alcohol 1,1,1-trinitropropanol (2) can be isolated by reacting trinitromethane with either vinyl acetate or acetaldehyde (Scheme 2). The vinyl acetate route is literature known and works by the addition of trinitromethane to the unsaturated alkene with subsequent hydrolysis of the ester in water [17]. The other alternative was performed by the reaction with acetaldehyde and extraction with an organic solvent like chloroform. The alcohol was obtained in both cases with small impurities, due to the reversible cleavage into trinitromethane and acetaldehyde which has a very high vapor pressure [15, 18].

Synthesis of 1,1,1-trinitropropan-2-yl nitrocarbamate (4) starting from nitroform.
The alcohol 2 can be converted into the corresponding 1,1,1-trinitropropan-2-yl carbamate (3) in a one step synthesis by the reaction with chlorosulfonyl isocyanate. The carbamate was isolated as a colorless pure solid in high yields (78%), in spite of impure starting material. The nitration of the carbamate 3 in a 1:1 mixture of concentrated sulfuric (98%) and nitric acid (100%) led to the formation of 1,1,1-trinitropropan-2-yl nitrocarbamate (4). After quenching with ice-water and extraction with ethyl acetate, the nitrocarbamate 4 was obtained as a colorless oil, as most other 1,1,1-trinitroprop-2-yl compounds [11–13].
2.2 NMR and vibrational spectroscopy
The 1H, 13C and 14/15N NMR spectra were recorded in CDCl3 and are summarized in Table 1. The urea compound 1 shows three signals in the 1H NMR. The methyl resonance is located at 4.53 ppm and split into a doublet, due to the 3J coupling with the neighboring hydrogen at the methine unit. The NH group also couples with the CH group which results also in a doublet at 6.62 ppm. In the 13C NMR spectrum the resonance of the CH group is found at 50.2 ppm and that of the CH3 group at 18.2 ppm. The trinitromethyl group is observed as a typically broadened signal at 129.3 ppm and therefore in the same range as the related compound N,N′-bis(1,1,1-trinitropropan-2-yl)urea (130.8 ppm [10]). Acetaldehyde as a starting material is prochiral, and results in racemic products. In the case of the urea 1, only one product was observed in the NMR spectra. This result is also confirmed by the crystal structure determination (see 2.3), which shows the meso-isomer, identified with mirror symmetry through the carbonyl group. In the synthesis of 3 and 4, respectively, two enantiomers (racemate) were formed. Therefore, no absolute structure configuration assignment in the crystal structure of the carbamate 3 could be determined.
Multinuclear NMR resonances (ppm) of 1, 3 and 4 in CDCl3.
| 1 | 3 | 4 | ||||
|---|---|---|---|---|---|---|
| 1H | ||||||
| CH3 | 1.53 | 1.68 | 1.81 | |||
| CH | 5.61 | 6.21 | 6.32 | |||
| NH/NH2 | 6.62 | 5.10 | 10.81 | |||
| 13C | ||||||
| CH3 | 18.2 | 16.7 | 16.6 | |||
| CH | 50.2 | 69.3 | 70.9 | |||
| C(NO2)3 | 129.3 | 126.5 | 125.0 | |||
| CO | 154.5 | 153.2 | 145.2 | |||
| 14/15N | ||||||
| NH2/NH/NHNO2 | –295 | –310.2 | –199 | |||
| C(NO2)3 | –32 | –34.2 | –36 | |||
| NHNO2 | –54 | |||||
The NH resonance of the nitrocarbamate 4 is observed at 10.81 ppm, and compared to the NH2 signal of 3 which is located at 5.10 ppm, shifted significantly to lower field, due to the increased acidity of the hydrogen atom. In the 13C{1H} NMR spectra the resonances of the carbon atoms of the methyl groups were observed at 16.7 (3) and 16.6 ppm (4), those of the trinitromethyl groups broadened at 126.5 (3) and 125.0 ppm (4). In the 13C NMR spectra, the most obvious characteristic is the resonance of the carbamate carbonyl group, which is shifted strong upfield from the carbamate 3 at 153.2 ppm to 145.2 ppm for the nitrocarbamate 4, due to increased shielding by the presence of an adjacent nitro group.
In the 14N NMR spectra of 1, 3 and 4 the resonances of the nitro groups of the trinitromethyl moieties are relatively sharp and were found in the range of –32 to –36 ppm. The high solubility of the carbamate 3 qualified it for a 15N NMR spectrum which is displayed in Fig. 1. The resonance of the trinitromethyl group is observed at –34.2 ppm and due to the peculiarity of the structure a doublet is observed by coupling to the methine hydrogen atom with 3J(15N, 1H) = 1.9 Hz. The resonance of the carbamate nitrogen is located as expected at –310.2 ppm as a triplet with a coupling constant of 1J(15N, 1H) = 92.1 Hz. In the 14N NMR of the nitrocarbamate 4 a very broad resonance for the amide nitrogen atom was detected at –199 ppm and for the additional nitro group at the carbamate moiety at –54 ppm, which is in the typical ranges [7].

15N NMR spectrum of 1,1,1-trinitropropan-2-yl carbamate (3) in CDCl3.
The most characteristic vibrational frequencies in the IR and Raman spectra are these of the carbonyl and nitro groups, which are summarized in Table 2. The trinitromethyl group vibrational analysis (Raman) of 1, 3 and 4 showed the characteristic asymmetric νas(NO2) stretching vibrations in the narrow range of 1618–1616 cm–1 and the symmetric stretching vibrations νs(NO2) at 1298–1296 cm–1. In the spectrum of nitrocarbamate 4 an additional nitro vibration was observed with bands for νas(NO2) at 1602 cm–1 and νs(NO2) at 1278 cm–1, which appear at slightly higher wave numbers [19]. In the urea 1 the ν(C=O) is located at 1647 cm–1 in the typical range for N,N′-disubstituted urea compounds. The strong characteristic carbonyl stretching vibration of the carbamate 3 is found at 1733 cm–1, and that of the nitrocarbamate 4 is shifted to lower wave numbers at 1691 cm–1.
Selected IR and Raman bands of the compounds 1, 3 and 4.
| 1 | 3 | 4 | ||||
|---|---|---|---|---|---|---|
| IR | Raman | IR | Raman | IR | Raman | |
| ν (NH) | 3314 (w) | 3011 (9) | 3457 (m) | 3018 (18) | ||
| 3349 (m) | ||||||
| ν (CH) | 2970 (w) | 2957 (59) | 2975 (w) | 2960 (59) | 2975 (w) | 2959 (53) |
| 2886 (w) | 2884 (4) | |||||
| ν (CO) | 1648 (s) | 1647 (7) | 1731 (s) | 1733 (12) | 1680 (s) | 1691 (8) |
| νas (NO2) | 1592 (vs) | 1616 (23) | 1594 (vs) | 1618 (32) | 1587 (vs) | 1617 (18) |
| 1602 (16) | ||||||
| νs (NO2) | 1295 (vs) | 1298 (33) | 1289 (s) | 1297 (22) | 1291 (vs) | 1296 (22) |
| 1270 (s) | 1278 (6) | |||||
Frequencies in cm–1; IR intensities: vs = very strong, s = strong, m = medium, w = weak; Raman intensities in brackets, the strongest were set to 100.
2.3 X-Ray structure determinations
Single crystals suitable for X-ray diffraction measurements were obtained by crystallization at room temperature from ethanol (1) and hot water (3). The crystal data and numbers pertinent to data collection and structure refinement are summarized in Table 3. Additional data are given as Supporting information available online (see below). To the best of our knowledge, no molecular structure with a 1,1,1-trinitroprop-2-yl moiety is known in the literature.
Crystallographic data for 1 and 3.
| 1 | 3 | |
|---|---|---|
| Formula | C7H10N8O13 × C2H5OH | C4H6N4O8 |
| Formula weight, g mol–1 | 460.27 | 238.11 |
| Crystal habit | Colorless block | Colorless plate |
| Crystal size, mm3 | 0.18 x 0.16 x 0.15 | 0.12 x 0.08 x 0.02 |
| Temperature, K | 173(2) | 173(2) |
| Crystal system | Orthorhombic | Monoclinic |
| Space group (No.) | Pnma (62) | P21/c (14) |
| a, Å | 11.7691 (4) | 12.846 (2) |
| b, Å | 21.9210 (6) | 7.5006 (10) |
| c, Å | 7.6200 (5) | 9.5234 (13) |
| β, deg | 90 | 99.254 (15) |
| V, Å3 | 1965.89 (15) | 905.71 (20) |
| Z | 4 | 4 |
| ρcalcd., g cm–3 | 1.555 | 1.746 |
| μ, mm–1 | 0.148 | 0.171 |
| F(000), e | 952 | 488 |
| θ range, deg | 4.23–28.88 | 4.21–25.99 |
| Index ranges | –15 ≤ h ≤ 1 | –15 ≤ h ≤ 12 |
| –29 ≤ k ≤ 28 | –5 ≤ k ≤ 9 | |
| –10 ≤ l ≤ 10 | –9 ≤ l ≤ 11 | |
| Reflections measured | 13 975 | 4035 |
| Reflections independent | 2440 | 1737 |
| Reflections unique | 13 364 | 1434 |
| Rint | 0.084 | 0.020 |
| R1/wR2 (2σ data) | 0.0570/0.1151 | 0.0565/0.1537 |
| R1/wR2 (all data) | 0.1250/0.1397 | 0.0668/0.1638 |
| Data/restraints/ref. param. | 2440/0/250 | 1737/2/170 |
| GOOF on F2 | 1.017 | 1.060 |
| Residual el. Density, e Å–3 | –0.23/0.33 | –0.26/0.60 |
| CCDC | 1438955 | 1438956 |
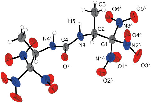
The urea 1 crystallizes from ethanol in the orthorhombic space group Pnma with four molecules of 1 and four molecules of ethanol in the unit cell. The asymmetric unit consists of a half molecule which is completed by a mirror plane longitudinally through the carbonyl group C4–O7. The full molecule with interatomic distances and angles is shown in Fig. 2. The structure shows the same characteristics as the corresponding compounds with the 2,2,2-trinitroethyl and 3,3,3-trinitropropyl moieties [8, 10]. The three nitro groups of the trinitromethyl unit are arranged propeller-like around the carbon C1. This geometry results from non-bonded N···O intramolecular interactions between the positively charged nitrogen and negatively charged oxygen atoms in the nitro groups. These N···O attractions are displayed in Fig. 3 and are found with distances in the range of 2.54–2.60 Å, which are much shorter than the sum of the van der Waals radii of nitrogen and oxygen (3.07 Å). They are caused by a slight compression of the trinitromethyl group, which is visible from the C2–C1–N1A/N2A/N3A angles, which are all larger than the tetrahedral angle.

Molecular structure of N,N′-bis(1,1,1-trinitropropan-2-yl)urea (1) in the crystal with displacement ellipsoids at the 50% probability level. Selected bond lengths (Å) and angles (deg): C1–N1A 1.529(5), C1–N3A 1.578(4), C1–C2 1.534(3), C2–C3 1.520(3), C2–N4 1.441(3), C4–N4 1.360(3), C4–O7 1.231(4); N4–C4–N4’ 113.7, C2–C1–N1A 113.9(2), C2–C1–N2A 116.3(3), C2–C1–N3A 110.5(2), N2A–C1–N3A 105.0(3), N3A–C1–N1A 104.1(2), N1A–C1–N2A 106.1(3); O7–C4–N4–H5 173(2).

Disorder of the trinitromethyl groups in the molecular structure of N,N′-bis(1,1,1-trinitropropan-2-yl)urea (1) with displacement ellipsoids at the 50% probability level. The green lines indicate the nitrogen-oxygen non-bonded intramolecular interactions. Short contact distances (Å): O3A–N1A 2.539(6), O1A–N3A 2.601(8), O5A–N2A 2.545(6), O5B–N1B 2.501(1), O4B–N3B 2.573(8), O2B–N2B 2.545(9).
Furthermore, a disorder of the trinitromethyl group is observed, where two different positions can be identified with an occupation proportion of 65% to 35%, which is displayed as shaded areas in Fig. 3. Another usual feature in such structures is a shortened carbon–carbon bond in α-position to the trinitromethyl group [7, 10]; however, in this case such a shorting of the C1–C2 distance (1.53 Å) was not observed. A reason for this may be some steric force, arising from the additional methyl group in close proximity to the bulky trinitromethyl group.
The carbamate 3 crystallizes in the monoclinic space group P21/c with four molecules in the unit cell and one molecule is the asymmetric unit (Fig. 4) with a density of 1.75 g cm–3. The carbamate moiety, including the methine carbon C2 shows a nearly perfect planar adjustment. The conformations of the substituents at C1, C2 and C3 are nearly all staggered. The carbamate group with a short C–NH2 bond (1.32 Å) and shortened N–H bonds (0.81 Å) shows typical values for carbamates. The propeller-like conformation of the trinitromethyl group is in this example not perfect, which is also indicated by longer N···O distances (2.63–2.80 Å). In addition, a short intermolecular N···O distance with 2.66 Å is observed between the O7 of the carbamate unit and N3 of a nitro group of the trinitromethyl functionality.

Molecular structure of 1,1,1-trinitropropan-2-yl carbamate (3) in the crystal with displacement ellipsoids at the 50% probability level. Selected bond lengths (Å) and angles (deg): N1–O1 1.188(4), N1–O2 1.207(3), N1–C1 1.535(3), N4–C4 1.320(3), N4–H5 0.81(2), N4–H6 0.81(3), O8–C4 1.216(2); C2–C1–N3 111.3(2), C2–C1–N2 112.6(2), C2–C1–N1 112.8(2), C2–O7–C4 115.9(2); H6–N4–C4–O7 –180(2), H6–N4–C4–O8 1(2), N4–C4–O7–C2 –176.0(2), H1–C2–C3–H3 176(3), O7–C2–C3–H2 169(2), H1–C2–C1–N3 –174(2), O7–C2–C1–N2 –179.0(2); O7···N3 2.749(3), O5···N1 2.625(3), O2···N2 2.796(3), O4···N3 2.664(3).
2.4 Energetic properties of 1A, 3A and 4A
The compounds 1A, 3A and 4A are potential energetic materials and may be used as high energy dense oxidizers HEDOs, stable to exposure to air and moisture. The physical properties are listed in Table 4 and energetic combustion parameters are summarized in Table 5. For a better comparison of all energetic properties to that of the corresponding 2,2,2-trinitroethyl and 3,3,3-trinitropropyl derivatives, those values are also included (Scheme 3). The melting points and the thermal stabilities were investigated by differential scanning calorimetry with a heating rate of 5°C per min. The highest decomposition point of 154°C was observed for the carbamate 3A. The comparison of the decomposition points of the ureas 1A with 1B confirms the tendency of higher thermal stabilities of the latter with 2,2,2-trinitroethyl substituents. The sensitivity towards impact, friction and electrostatic discharge is especially important for the manipulation of energetic materials. The sensitivity towards impact (IS) of a compound is tested by the action of a dropping weight on a sample and at which benchmark a decomposition or explosion occurs [1, 22]. The friction sensitivity (FS) is determined by rubbing a small amount with different contact pressures between a porcelain plate and pin [23]. All three compounds can be classified as insensitive toward friction (≥ 360 N insensitive, 360–80 N sensitive, 80–10 N very sensitive, ≤ 10 N extremely sensitive). The impact sensitivity of 1A (8 J) and 4A (15 J) are classified as sensitive, whereas the carbamate 3 is insensitive (≥ 40 J insensitive, 40–35 J less sensitive, 35–4 J sensitive, ≤ 3 J very sensitive). The 1,1,1-trinitroprop-2-yl compounds exhibit for all three examples (1A, 3A, 4A) a lower sensitivity against impact than the 2,2,2-trinitroethyl derivatives and a moderately higher sensitivity than the 3,3,3-trinitropropyl derivatives.
Physical properties of 1A, 3A and 4A and the corresponding 2,2,2-trinitroethyl (B) and 3,3,3-trinitropropyl (C) derivatives.
| 1A C7H10N8O13 | 3A C4H6N4O8 | 4A C4H5N5O10 | 1B [18] C5H6N8O13 | 3B [8] C3H4N4O8 | 4B [8] C3H3N5O10 | 1C [10] C7H10N8O13 | 3C [10] C4H6N4O8 | 4C [10] C4H5N5O10 | |
|---|---|---|---|---|---|---|---|---|---|
| Tm (onset)a, °C | – | 78 | 68 | 185 | 91 | 109 | – | 78 | 68 |
| Tdec(onset)b, °C | 160 | 152 | 134 | 187 | 169 | 153 | 160 | 152 | 134 |
| ISc, J | 20 | >40 | 30 | 3 | 40 | 10 | 20 | >40 | 30 |
| FSd, N | 120 | >360 | 360 | 160 | 64 | 96 | 120 | >360 | 360 |
| ESDe, J | 0.40 | 0.30 | 0.20 | 0.30 | 0.15 | 0.10 | 0.40 | 0.30 | 0.20 |
| Nf, % | 27.1 | 23.5 | 24.7 | 29.0 | 25.0 | 26.0 | 27.1 | 23.5 | 24.7 |
| Og, % | 50.2 | 53.8 | 56.5 | 53.9 | 57.1 | 59.5 | 50.2 | 53.8 | 56.5 |
| N+Oh, % | 77.3 | 77.3 | 81.2 | 82.9 | 82.1 | 85.5 | 77.3 | 77.3 | 81.2 |
| ΩCOi, % | +3.9 | +6.7 | +19.8 | +20.7 | +21.4 | +32.7 | +3.9 | +6.7 | +19.8 |
| ΩCO2j, % | –20.2 | –20.2 | –2.8 | 0.00 | +0.0 | +14.9 | –20.2 | –20.2 | –2.8 |
aOnset melting Tm and bonset decomposition point Tdec from DSC measurement carried out at a heating rate of 5°C min–1; cimpact sensitivity; dfriction sensitivity; esensitivity towards electrostatic discharge; fnitrogen content; goxygen content; hsum of nitrogen and oxygen content; ioxygen balance assuming the formation of CO and the formation of jCO2 at the combustion.
Calculated heats of formation and calculated detonation and propulsion parameters using explo5 (version 6.02) of 1A, 3A and 4A compared to the corresponding 2,2,2-trinitroethyl (B) and 3,3,3-trinitropropyl (C) derivatives and AP.
| 1A | 3A | 4A | 1B [18] | 3B [8] | 4B [8] | 1C [10] | 3C [10] | 4C [10] | AP | |
|---|---|---|---|---|---|---|---|---|---|---|
| Density RTa | 1.82 | 1.73 | 1.58 | 1.86 | 1.82 | 1.72 | 1.71 | 1.73 | 1.70 | 1.95 |
| ΔfHm°b, kJ mol–1 | –367 | –500 | –368 | –307 | –459 | –366 | –359 | –504 | –402 | –296 |
| ΔfU°b, kJ kg–1 | –793 | –2005 | –1213 | –708 | –1961 | –1278 | –774 | –2021 | –1331 | –2433 |
| Qvc, kJ kg–1 | –5390 | –4675 | –5878 | –5970 | –5286 | –4456 | –5385 | –4662 | –5809 | –1422 |
| Texd, K | 3631 | 3334 | 4332 | 4181 | 3780 | 3618 | 3692 | 3328 | 4175 | 1735 |
| V0e, L kg–1 | 724 | 744 | 762 | 755 | 761 | 750 | 739 | 724 | 755 | 885 |
| PCJf, kbar | 321 | 266 | 228 | 343 | 302 | 232 | 294 | 265 | 269 | 158 |
| Vdetg, m s–1 | 8469 | 7900 | 7680 | 8915 | 8530 | 7704 | 8227 | 7896 | 8134 | 6368 |
| Ish, s | 253 | 236 | 257 | 257 | 246 | 232 | 254 | 237 | 256 | 157 |
| Isi, s (15% Al) | 267 | 255 | 262 | 263 | 254 | 251 | 267 | 256 | 261 | 235 |
| Isj, s (15% Al, 14% binder) | 249 | 240 | 254 | 256 | 247 | 261 | 251 | 240 | 253 | 261 |
aDensities at RT measured by gas pycnometer; bheat and energy of formation calculated with by the CBS-4 M method using gaussian 09 [20]; cheat of detonation; ddetonation temperature; evolume of gaseous products; fdetonation pressure; gdetonation velocity; detonation velocity calculated by using the explo5 (version 6.02) program package [21]; hspecific impulse of the neat compound using the explo5 (version 6.02) program package at 70.0 bar chamber pressure, isobaric combustion condition (1 bar) and equilibrium expansion [21]; ispecific impulse for compositions with aluminum; jspecific impulse with aluminum and binder (6% polybutadiene acrylic acid, 6% polybutadiene acrylonitrile and 2% bisphenol-A ether).

Overview of molecules containing the 1,1,1-trinitroprop-2-yl, the 2,2,2-trinitroethyl and the 3,3,3-trinitropropyl moieties.
The urea 1A shows the highest energy of formation ΔfU° with a value of –793 kJ kg–1 which indicates a high energy content in the molecule, demonstrated also by the quite high calculated detonation velocity vdet of 8469 m s–1, and is in the same range as the well-known explosive nitropenta (PETN) (8403 m s–1).
A very important value for high energy dense oxidizers is the specific impulse Is. Oxidizers are the main part in rocket composite propellants and are compounds with an excess of oxygen when burned. This oxygen reacts further with added fuel and the binder to generate hot gaseous products, which can be used for the propulsion of rockets. For a high performance composite propellant a high burning temperature is important, because the specific impulse Is is proportional to the square root of the temperature [1]. A second factor, is the molecular mass of the gaseous products expelled at the nozzle of the rocket chamber which is inverse proportional to the square root. This means for a high performance a high burning temperature and a low molecular mass of the gaseous products like CO, CO2, H2O, and H2 is desirable [1]. High burning temperatures can be achieved from elements with high heats of combustion like aluminum, which is cheap and has a low atomic weight. No hazardous burning products are released [2]. For the discussion it is important that the payload of the rocket can be doubled if the specific impulse is increased by 20 s. The specific impulse Is of the compounds 1A, 3A and 4A were calculated with explo5 (version 6.02) [21] neat, with aluminum (15%) and with a binder/aluminum system (15% aluminum, 6% polybutadiene acrylic acid, 6% polybutadiene acrylonitrile and 2% bisphenol A ether). Compound 1 shows an impulse of 253 s neat and with an admixture of 15% aluminum as fuel a great value of 267 s could be achieved, which is higher than the optimized composite of ammonium perchlorate (AP). The standard mixture consists of 71% AP as oxidizer, 14% of binder and 15% aluminum and produces a specific impulse of 261 s. With this binder system the nitrocarbamate 4 shows the best performance of 254 s which is much lower than the AP mixture. Comparing the energetic performance of the 1,1,1-trinitroprop-2-yl derivatives with the 2,2,2-trinitroethyl and 3,3,3-trinitropropyl analogs a clear trend can be observed. The compounds with 1,1,1-trinitroprop-2-yl moiety are less energetic than the 2,2,2-trinitroethyl compounds, due to the lower oxygen balance/content. On the other hand, the branched isomer compounds with the 1,1,1-trinitroprop-2-yl group show in all cases a higher performance than the 3,3,3-trinitropropyl isomers.
3 Conclusion
The 1,1,1-trinitroprop-2-yl urea, carbamate and nitrocarbamate compounds 1, 3 and 4 were prepared and thoroughly characterized, including determination of the molecular structures of 1 and 3 by X-ray diffraction. They exhibit suitable thermal stability and a good to handle sensitivity against mechanic stimuli. For a potential application as high energy dense oxidizers in composite solid rocket propellants, the required energetic performance data were calculated. The most suitable compound, the urea 1 shows a high specific impulse of 267 s within a mixture of 15% aluminum, which is higher than the standard mixture with ammonium perchlorate (AP). Favorably, in contrast to the burning of ammonium perchlorate AP, no toxic combustion products (such as HCl) are produced. The synthetic effort of the “iso” 1,1,1-trinitroprop-2-yl group is compared to the n-analog, the 3,3,3-trinitropropyl, not that complex and leads to similar physical and energetic properties.
4 Experimental section
Safety announcement: CAUTION! Energetic materials are sensitive toward heat, impact and friction. No hazards occurred during preparation and manipulation; nevertheless proper protective precautions (face shield, leather coat, earthened equipment and shoes, Kevlar gloves, and ear plugs) should be used when undertaking work with these compounds.
4.1 General procedures
All chemicals were used as supplied. Raman spectra were recorded in a glass tube with a Bruker MultiRAM FT-Raman spectrometer with Nd:YAG laser excitation up to 1000 mW (at 1064 nm). Infrared spectra were measured with a Perkin–Elmer Spectrum BX-FTIR spectrometer equipped with a Smiths DuraSamplIR II ATR device. All spectra were recorded at ambient (25°C) temperature. NMR spectra were recorded with a JEOL/Bruker instrument and chemical shifts were determined with respect to external Me4Si (1H, 399.8 MHz; 13C, 100.5 MHz) and MeNO2 (15N, 40.6 MHz; 14N, 28.9 MHz). Mass spectrometric data were obtained with a JEOL MStation JMS 700 spectrometer (DCI+, DEI+, FAB+, FAB–). Analysis of C/H/N was performed with an Elemental Vario EL Analyzer. Melting and decomposition points were measured with a Perkin-Elmer Pyris6 DSC and an OZM Research DTA 552-Ex with a heating rate of 5°C min–1 in a temperature range of 15–400°C and checked by a Büchi Melting Point B-540 apparatus (not corrected). The sensitivity data were performed using a BAM drophammer and a BAM friction tester [18].
4.2 Computational methods
All ab initio calculations were carried out using the program package Gaussian 09 (Rev. A.03) [20] and visualized by GaussView 5.08 [24]. The initial geometries of the structures were taken from the corresponding, experimentally determined crystal structures. Structure optimizations and frequency analyses were performed with Becke’s B3 three parameter hybrid functional using the LYP correlation functional (B3LYP). For C, H, N, and O a correlation consistent polarized double-ξ basis set was used (cc-pVDZ). The structures were optimized with symmetry constraints and the energy is corrected with the zero point vibrational energy [25]. The enthalpies (H) and free energies (G) were calculated using the complete basis set (CBS) method in order to obtain accurate values. The CBS models use the known asymptotic convergence of pair natural orbital expressions to extrapolate from calculations using a finite basis set to the estimated complete basis set limit. CBS-4 starts with a HF/3-21G(d) geometry optimization, which is the initial guess for the following SCF calculation as a base energy and a final MP2/6-31+G calculation with a CBS extrapolation to correct the energy in second order. The used CBS-4M method additionally implements a MP4(SDQ)/6-31+(d,p) calculation to approximate higher order contributions and also includes some additional empirical corrections [26]. The enthalpies of the gas-phase species were estimated according to the atomization energy method [27]. The liquid (solid) state energies of formation (ΔHf°) were estimated by subtracting the gas-phase enthalpies with the corresponding enthalpy of vaporization (sublimation) obtained by Trouton’s rule [28, 29].
4.3 Energetic properties
All calculations affecting the detonation parameters were carried out using the program package explo5, version 6.02 (EOS BKWG-S) [21, 30]. The detonation parameters were calculated at the Chapman–Jouguet (CJ) point with the aid of the steady-state detonation model using a modified Becker-Kistiakowski-Wilson equation of state for modeling the system. The CJ point is found from the Hugoniot curve of the system by its first derivative. The specific impulses were also calculated with the program package EXPLO5 V6.02 program, assuming an isobaric combustion of a composition of an oxidizer, aluminum as fuel, 6% polybutadiene acrylic acid, 6% polybutadiene acrylonitrile as binder and 2% bisphenol-A as epoxy curing agent [21]. A chamber pressure of 70.0 bar, an initial temperature of 3300 K and an ambient pressure of 1.0 bar with equilibrium expansion conditions were estimated for the calculations.
4.4 X-Ray crystallography
The low-temperature single-crystal X-ray diffraction experiments were performed on an Oxford XCalibur3 diffractometer equipped with a Spellman generator (voltage 50 kV, current 40 mA) and a Kappa CCD detector operating with MoKα radiation (λ = 0.7107 Å). Data collection was performed using the crysalis CCD software [31]. The data reduction was carried out using the crysalisred software [32]. The solution of the structure was performed by Direct Methods (sir97) [33] and refined by full-matrix least-squares on F2 (shelxl-97) [34, 35] implemented in the wingx software package [36] and finally checked with the platon software [37]. The absorptions were corrected by a scale3 abspack multi-scan method [38]. All non-hydrogen atoms were refined anisotropically. The hydrogen atom positions were located in a difference Fourier map. ortep [39] plots are shown with displacement ellipsoids at the 50% probability level. Table 3 summarizes the crystallographic data for 1 and 3. Additional crystal structure data are listed in the Supporting Information (see below).
CCDC 1438955 (1) and 1438956 (3) contain the supplementary crystallographic data for this paper. These data can be obtained free of charge from The Cambridge Crystallographic Data Centre viawww.ccdc.cam.ac.uk/data_request/cif.
4.5 Synthesis
4.5.1 Synthesis of N,N′-bis(1,1,1-trinitropropan-2-yl)urea (1)
A solution of trinitromethane (0.75 g, 5.0 mmol) in water (5 mL) was added to a stirred aqueous solution of acetaldehyde (0.66 g, 15.0 mmol, 5 mL water) for 10 min at room temperature. Another solution of urea (0.12 g, 2.0 mmol, 5 mL water) was added with stirring for 1 h. The reaction mixture was cooled in an ice-water bath, the precipitated product was filtered off and washed with ice cold water. The solid was dried to obtain (0.71 g, 6.1 mmol, 85%) colorless pure N,N′-bis(1,1,1-trinitropropan-2-yl)urea (1). – DSC (5 °C min–1, onset): 142°C (melt.), 144°C (dec.). – IR (ATR, cm–1): ν = 3314 (m), 2970 (w), 1648 (s), 1613 (m), 1592 (vs), 1542 (vs), 1458 (w), 1391 (w), 1295 (s), 1236 (w), 1150 (m), 1030 (w), 934 (w), 852 (m), 798 (vs), 667 (w). – Raman (1064 nm, 800 mW, cm–1): ν = 3011 (9), 2957 (50), 2890 (7), 1647 (7), 1616 (23), 1601 (4), 1457 (14), 1371 (16), 1323 (6), 1298 (33), 1136 (22), 1080 (14), 1030 (8), 952 (6), 933 (4), 854 (100), 802 (8), 457 (7), 430 (13), 385 (4), 371 (59), 343 (19), 225 (6). – 1H NMR (CDCl3): δ = 6.62 (d, NH, 3JHH = 10.2 Hz, 2H), 5.61 (m, CH, 2H), 1.53 (d, CH3, 3JHH = 6.6 Hz, 6H) ppm. – 13C{1H} NMR (CDCl3): δ = 154.5 (CO), 129.3 (C(NO2)3), 50.2 (CH), 18.2 (CH3) ppm. – 14N HMR (CDCl3) δ = –32 (C(NO2)3), –295 (NH) ppm. – Elemental analysis for C7H10N8O13 (414.20): calcd. C 20.30, H 2.43, N 27.05; found C 20.48, H 2.53, N 26.75. – MS ((+)-DEI): m/e (%) = 415.3 (40) [M+H]+, 264.2 (2) [(M–C(NO2)3)]+. – BAM drophammer: 8 J. – Friction tester: >360 N. – Electrostatic discharge device 0.20 J (grain size <100 μm).
4.5.2 Synthesis of 1,1,1-trinitropropan-2-ol (2)
Method A: Synthesis from trinitromethane and vinyl acetate
See lit. [17].
Method B: Synthesis from trinitromethane and acetaldehyde
A solution of trinitromethane (1.50 g, 10.0 mmol) in water (5 mL) was added to a stirred aqueous solution of acetaldehyde (0.88 g, 20.0 mmol, 10 mL water) at room temperature. The mixture was stirred for 30 min. causing an oily liquid to separate at the bottom of the flask. The resulting mixture was extracted with chloroform (3×20 mL). The combined organic layers were dried over anhydrous magnesium sulfate and concentrated carefully under reduced pressure. For both methods a slightly yellow oil was obtained (1.51 g, 7.7 mmol, 77%) containing small amounts (approx. 10%) of trinitromethane as impurity. – IR (ATR, cm–1): ν = 3572 (w), 3025 (w), 2885 (w), 1711 (w), 1579 (s), 1460 (w), 1389 (w), 1370 (w), 1295 (s), 1127 (m), 1077 (m), 1019 (w), 997 (w), 943 (w), 906 (w), 851 (m), 837 (w), 796 (s), 773 (m), 663 (w). – 1H NMR (CDCl3): δ = 5.18 (m, 1H, CH), 3.27 (d, 1H, OH, 3JHH = 7.2 Hz), 1.67 (d, 3H, CH3, 3JHH = 6.8 Hz) ppm. – 13C{1H} NMR (CDCl3): δ = 128.6 (C(NO2)3), 70.1 (CH), 17.9 (CH3) ppm. – 14N NMR (CDCl3): δ = –38 (C(NO2)3) ppm.
4.5.3 Synthesis of 1,1,1-trinitropropan-2-yl carbamate (3)
Chlorosulfonyl isocyanate (CSI) (1.42 g, 10.0 mmol) was added to 2 (1.51 g, 7.7 mmol) in 20 mL chloroform very slowly at 0°C. The ice bath was removed, and stirring at room temperature was continued for 1.5 h. The organic solvent was removed under reduced pressure. The residue was again cooled in an ice bath, and ice–water (10 mL) was added. The mixture was stirred for 20 min at room temperature. The reaction mixture was cooled again, the precipitate was filtered off and washed with cold water. The solid was dried to obtain (1.45 g, 6.1 mmol, 79%) colorless pure 1,1,1-trinitropropan-2-yl carbamate (3). – DSC (5°C min–1, onset): 81°C (mp.), 154°C (dec.). – IR (ATR, cm–1): ν = 3457 (m), 3349 (w), 3298 (w), 2975 (w), 1731 (s), 1594 (s), 1568 (s), 1456 (w), 1390 (m), 1359 (s), 1289 (s), 1158 (m), 1100 (s), 1037 (s), 1021 (s), 954 (m), 861 (m), 853 (s), 805 (s), 794 (s), 769 (s), 685 (w). – Raman (1064 nm, 800 mW, cm–1): ν = 3018 (18), 2977 (5), 2960 (59), 1733 (12), 1618 (32), 1583 (4), 1456 (12), 1393 (3), 1363 (35), 1297 (22), 1133 (16), 1041 (2), 1025 (17), 945 (9), 855 (100), 809 (7), 798 (2), 686 (8), 560 (5), 475 (16), 433 (26), 385 (56), 365 (14), 339 (20), 302 (18), 223 (10). – 1H NMR (CDCl3): δ = 6.21 (q, CH, 3JHH = 6.3 Hz, 1H), 5.10 (s, NH 2, 2H), 1.68 (d, CH3, 3JHH = 6.3 Hz, 3H) ppm. 13C{1H} NMR (CDCl3): δ = 153.2 (CO), 126.5 (C(NO2)3), 69.3 (CH), 16.7 (CH3) ppm. – 15N HMR (CDCl3) δ = –34.2 (d, 3JNH = 1.9 Hz, (C(NO2)3)), –310.2 (t, 3JNH =92.1 Hz, NH2) ppm. – Elemental analysis for C4H6N4O8 (238.10): calcd. C 20.18, H 2.54, N 23.53; found C 20.25, H 2.50, N 23.30. – MS ((+)-DEI): m/e (%) = 239.1 (16) [M+H]+, 223.1 (8) [(M–NH2)]+, 178.1 (5) [(M–CHCH3C(NO2)3)]+. – BAM drophammer: >40 J. – Friction tester: >360 N. – Electrostatic discharge device 0.15 J (grain size < 100 μm).
4.5.4 Synthesis of 1,1,1-trinitropropan-2-yl nitrocarbamate (4)
Fuming nitric acid (>99.5%, 2 mL) was dropped into concentrated sulfuric acid (2 mL) at 0°C. Into this nitration mixture chilled in an ice-bath, the carbamate 3 (0.48 g, 2.0 mmol) was added in small portions. The mixture was stirred for further 60 min at this temperature, again cooled and poured into ice–water (100 mL). The reaction mixture was extracted with ethyl acetate (3 × 30 mL). The combined organic phases were washed with 30 mL water and brine (2–3 × 30 mL) to become acid free and dried with magnesium sulfate. The solvent was removed under reduced pressure to obtain a pale heavy liquid (0.51 g, 1.8 mmol, 92%) of 1,1,1-trinitropropan-2-yl nitrocarbamate (4). – DSC (5°C min–1, onset): 133°C (dec.). – IR (ATR, cm–1): ν = 2975 (w), 2886 (w), 1680 (s), 1587 (s), 1451 (w), 1390 (w), 1323 (w), 1291 (m), 1270 (s), 1126 (w), 1086 (m), 1026 (w), 1086 (m), 1026 (w), 984 (w), 914 (w), 854 (w), 795 (s), 733 (w), 661 (w). – Raman (1064 nm, 800 mW, cm–1): ν = 3013 (6), 2959 (53), 2884 (4), 1691 (8), 1617 (18), 1453 (9), 1365 (6), 1326 (11), 1296 (22), 1278 (6), 1133 (7), 1089 (6), 1029 (8), 979 (3), 947 (5), 856 (100), 806 (8), 647 (7), 582 (7), 540 (3). – 1H NMR (CDCl3): δ = 10.81 (s, 1H, NH), 6.32 (q, 1H, CH, 3JHH = 6.6 Hz), 1.81 (d, 3H, CH3, 3JHH = 6.6 Hz) ppm. – 13C{1H} NMR (CDCl3): δ = 145.2 (O2NNHCO), 125.0 (C(NO2)3), 70.9 (CCH3), 16.6 (CH3) ppm. – 14N NMR (CDCl3): δ = –36 (C(NO2)3), –54 (NHNO2), –199 (br, NHNO2) ppm. – Elemental analysis for C4H5N5O10 (283.11): calcd. C 16.97, H 1.78, N 24.74; found C 17.16, H 1.88, N 24.29. – MS ((+)-DEI): m/e (%) = 284.1 (1) [M+H]+, 133.0 (25) [(M–C(NO2)3)]+. – BAM drophammer: 15 J. – Friction tester: >360 N (liquid).
5 Supporting information
Additional crystal structure data and calculated detonation and combustion parameters are given as Supporting information available online (DOI: 10.1515/znb-2016-0022).
Dedicated to: Professor Jürgen Evers on the occasion of his 75th birthday.
Acknowledgments
The Hanns Seidel Foundation (HSF) is gratefully acknowledged for the award of a Ph.D. scholarship (QJA). Financial support of this work by the Ludwig-Maximilian University of Munich (LMU), the U.S. Army Research Laboratory (ARL) under grant no. W911NF-09-2-0018, the Armament Research, Development and Engineering Center (ARDEC) under grant no. W911NF-12-1-0467, and the Office of Naval Research (ONR) under grant nos. ONR.N00014-10-1-0535 and ONR.N00014-12-1-0538 is gratefully acknowledged. The authors acknowledge collaborations with Dr. Mila Krupka (OZM Research, Czech Republic) in the development of new testing and evaluation methods for energetic materials and with Dr. Muhamed Suceska (Brodarski Institute, Croatia) in the development of new computational codes to predict the detonation and propulsion parameters of novel explosives. We are indebted to and thank Drs. Betsy M. Rice and Brad Forch (ARL, Aberdeen, Proving Ground, MD) for many inspiring discussions.
References
[1] T. M. Klapötke, Chemistry of High-Energy Materials, 2nd edition, deGruyter, Berlin, 2012.10.1515/9783110273595Search in Google Scholar
[2] J. Akhavan, The Chemistry of Explosives, 2nd edition, The Royal Society of Chemistry, Cambridge, 2004.10.1039/9781847552020Search in Google Scholar
[3] E. D. McLanahan, J. L. Campbell, D. C. Ferguson, B. Harmon, J. M. Hedge, K. M. Crofton, D. R. Mattie, L. Braverman, D. A. Keys, M. Mumtaz, J. W. Fisher, Toxicol. Sci.2007, 97, 308.10.1093/toxsci/kfm063Search in Google Scholar PubMed
[4] C. Hogue, Chem. Eng. News2011, 89, 6.10.1021/cen-v089n032.p006Search in Google Scholar
[5] E. D. McLanahan, M. E. Andersen, J. L. Campbell, J. W. Fisher, Environ. Health Perspect.2009, 117, 731.10.1289/ehp.0800111Search in Google Scholar PubMed PubMed Central
[6] A. M. Mebel, M. C. Lin, K. Morokuma, C. F. Melius, J. Phys. Chem.1995, 99, 6842.10.1021/j100018a015Search in Google Scholar
[7] Q. J. Axthammer, B. Krumm, T. M. Klapötke, J. Org. Chem.2015, 80, 6329.10.1021/acs.joc.5b00655Search in Google Scholar PubMed
[8] Q. J. Axthammer, T. M. Klapötke, B. Krumm, R. Moll, S. F. Rest, Z. Anorg. Allg. Chem.2014, 640, 76.10.1002/zaac.201300426Search in Google Scholar
[9] T. M. Klapötke, B. Krumm, S. F. Rest, M. Sućeska, Z. Anorg. Allg. Chem.2014, 640, 84.10.1002/zaac.201300563Search in Google Scholar
[10] Q. J. Axthammer, B. Krumm, T. M. Klapötke, R. Scharf, Chem. – Eur. J.2015, 21, 16229.10.1002/chem.201502545Search in Google Scholar PubMed
[11] P. O. Tawney, US 3050565, 1962.Search in Google Scholar
[12] P. O. Tawney, I. J. Schaffner, US 3027403, 1962.Search in Google Scholar
[13] P. F. Hartman, US 3084201, 1963.Search in Google Scholar
[14] P. F. Hartman, US 3028425, 1962.Search in Google Scholar
[15] H. Shechter, H. L. Cates, J. Org. Chem.1961, 26, 51.10.1021/jo01060a010Search in Google Scholar
[16] S. S. Novikov, V. I. Slovetskii, S. A. Shevelev, A. A. Fainzil’berg, Bull. Acad. Sci. USSR, Div. Chem. Sci. (Engl. Transl.) 1962, 11, 552.10.1007/BF00904751Search in Google Scholar
[17] Y. A. Volkova, O. A. Ivanova, E. M. Budynina, E. B. Averina, T. S. Kuznetsova, N. S. Zefirov, Tetrahedron2008, 64, 3548.10.1016/j.tet.2008.01.127Search in Google Scholar
[18] M. Göbel, T. M. Klapötke, Adv. Funct. Mater.2009, 19, 347.10.1002/adfm.200801389Search in Google Scholar
[19] Y. Oyumi, T. B. Brill, A. L. Rheingold, J. Phys. Chem.1985, 89, 4824.10.1021/j100268a033Search in Google Scholar
[20] M. J. Frisch, G. W. Trucks, H. B. Schlegel, G. E. Scuseria, M. A. Robb, J. R. Cheeseman, V. B. G. Scalmani, B. Mennucci, G. A. Petersson, H. Nakatsuji, M. Caricato, X. Li, H. P. Hratchian, A. F. Izmaylov, J. Bloino, G. Zheng, J. L. Sonnenberg, M. Hada, M. Ehara, K. Toyota, R. Fukuda, J. Hasegawa, M. Ishida, T. Nakajima, Y. Honda, O. Kitao, H. Nakai, T. Vreven, J. J. A. Montgomery, J. E. Peralta, F. Ogliaro, M. Bearpark, J. J. Heyd, E. Brothers, K. N. Kudin, V. N. Staroverov, R. Kobayashi, J. Normand, K. Raghavachari, A. Rendell, J. C. Burant, S. S. Iyengar, J. Tomasi, M. Cossi, N. Rega, J. M. Millam, M. Klene, J. E. Knox, J. B. Cross, V. Bakken, C. Adamo, J. Jaramillo, R. Gomperts, R. E. Stratmann, O. Yazyev, A. J. Austin, R. Cammi, C. Pomelli, J. W. Ochterski, R. L. Martin, K. Morokuma, V. G. Zakrzewski, G. A. Voth, P. Salvador, J. J. Dannenberg, S. Dapprich, A. D. Daniels, Ö. Farkas, J. B. Foresman, J. V. Ortiz, J. Cioslowski, D. J. Fox, gaussian 09 (rev. A.02 ed.), Gaussian, Inc., Wallingford, CT (USA) 2009.Search in Google Scholar
[21] M. Sućeska, explo5 (version 6.02), Zagreb (Croatia) 2013.Search in Google Scholar
[22] Commission communication in the framework of the implementation of the Council Directive 93/15/EEC of 5 April 1993 on the harmonisation of the provisions relating to the placing on the market and supervision of explosives for civil uses, Vol. 221, 2006.Search in Google Scholar
[23] R. Meyer, J. Köhler, A. Homburg, Explosives, Wiley-VCH, Weinheim, 2007.10.1002/9783527617043Search in Google Scholar
[24] R. D. Dennington II, T. A. Keith, J. M. Millam, gaussview (version 5.08 ed.), Semichem, Inc., Wallingford, CT (USA) 2009.Search in Google Scholar
[25] J. A. Montgomery, M. J. Frisch, J. W. Ochterski, G. A. Petersson, J. Chem. Phys.2000, 112, 6532.10.1063/1.481224Search in Google Scholar
[26] J. W. Ochterski, G. A. Petersson, J. A. Montgomery, J. Chem. Phys.1996, 104, 2598.10.1063/1.470985Search in Google Scholar
[27] E. F. C. Byrd, B. M. Rice, J. Phys. Chem.2005, 110, 1005.10.1021/jp0536192Search in Google Scholar PubMed
[28] F. Trouton, Philos. Mag.1884, 18, 54.10.1080/14786448408627563Search in Google Scholar
[29] M. S. Westwell, M. S. Searle, D. J. Wales, D. H. Williams, J. Am. Chem. Soc.1995, 117, 5013.10.1021/ja00123a001Search in Google Scholar
[30] M. Sućeska, Propellants, Explos., Pyrotech.1991, 16, 197.10.1002/prep.19910160409Search in Google Scholar
[31] CrysAlis ccd (version 1.171.35; release 16-05-2011, crysalis 171.Net), Oxford Diffraction Ltd., Abingdon, Oxford (U.K.) 2011.Search in Google Scholar
[32] crysalis red (version 1.171.35.11; release 16-05-2011, crysalis 171.NET), Oxford Diffraction Ltd., Abingdon, Oxford (U.K.) 2011.Search in Google Scholar
[33] A. Altomare, M. C. Burla, M. Camalli, G. L. Cascarano, C. Giacovazzo, A. Guagliardi, A. G. G. Moliterni, G. Polidori, R. Spagna, J. Appl. Crystallogr.1999, 32, 115.10.1107/S0021889898007717Search in Google Scholar
[34] G. M. Sheldrick, shelxl-97, Program for the Refinement of Crystal Structures, University of Göttingen, Göttingen (Germany) 1997.Search in Google Scholar
[35] G. M. Sheldrick, Acta Crystallogr.2008, A64, 112.10.1107/S0108767307043930Search in Google Scholar PubMed
[36] L. Farrugia, J. Appl. Crystallogr.1999, 32, 837.10.1107/S0021889899006020Search in Google Scholar
[37] A. L. Spek, Acta Crystallogr.2009, D65, 148.10.1107/S090744490804362XSearch in Google Scholar
[38] Oxford Diffraction Ltd., scale3abspack (version 1.04), An Oxford Diffraction program, Abingdon, Oxford (U.K.) 2005.Search in Google Scholar
[39] C. K. Johnson, M. N. Burnett, ortep-III (version 1.0.2), Oak Ridge Thermal Ellipsoid Plot Program for Crystal Structure Illustrations, Rep. ORNL-6895, Oak Ridge National Laboratory, Oak Ridge, TN (USA) 1996.10.2172/369685Search in Google Scholar
Supplemental Material:
The online version of this article (DOI: 10.1515/znb-2016-0022) offers supplementary material, available to authorized users.
©2016 by De Gruyter
Articles in the same Issue
- Frontmatter
- In this Issue
- Review
- Cerium intermetallics with TiNiSi-type structure
- Synthesis of novel pyrazole derivatives using organophosphorus, stibine, and arsine reagents and their antitumor activities
- A highly efficient CuI nanoparticles-catalyzed synthesis of tetrahydrochromenediones and dihydropyrano[c]chromenediones under grinding
- Supramolecular architecture based on high-lacunary sandwich-type building blocks: synthesis, characterization, and properties
- Preparation and conformation of 3,4-anhydro-1,2-O-isopropylidene-5-O-mesyl-β-d-tagatopyranose and methyl 4-chloro-4-deoxy-1,3,5-tri-O-mesyl-β-d-fructopyranoside
- Chromium(III) complexes with 1,2,4-diazaphospholide and 2,6-bis(N-1,2,4-diazaphosphol-1-yl) pyridine ligands: synthesis, X-ray structural characterization, EPR spectroscopy analysis, and magnetic susceptibility studies
- Synthesis and antimicrobial activity of some linear dipeptide pyridine and macrocyclic pentaazapyridine candidates
- Studies on the synthesis and properties of 1,1,1-trinitroprop-2-yl urea, carbamate and nitrocarbamate
- Gold nanocrystal arrays as electrocatalysts for the oxidation of methanol and ethanol
- Syntheses, single-crystal structures, vibrational spectra and DSC/TG analyses of orthorhombic and trigonal Ag[N(CN)2]
Articles in the same Issue
- Frontmatter
- In this Issue
- Review
- Cerium intermetallics with TiNiSi-type structure
- Synthesis of novel pyrazole derivatives using organophosphorus, stibine, and arsine reagents and their antitumor activities
- A highly efficient CuI nanoparticles-catalyzed synthesis of tetrahydrochromenediones and dihydropyrano[c]chromenediones under grinding
- Supramolecular architecture based on high-lacunary sandwich-type building blocks: synthesis, characterization, and properties
- Preparation and conformation of 3,4-anhydro-1,2-O-isopropylidene-5-O-mesyl-β-d-tagatopyranose and methyl 4-chloro-4-deoxy-1,3,5-tri-O-mesyl-β-d-fructopyranoside
- Chromium(III) complexes with 1,2,4-diazaphospholide and 2,6-bis(N-1,2,4-diazaphosphol-1-yl) pyridine ligands: synthesis, X-ray structural characterization, EPR spectroscopy analysis, and magnetic susceptibility studies
- Synthesis and antimicrobial activity of some linear dipeptide pyridine and macrocyclic pentaazapyridine candidates
- Studies on the synthesis and properties of 1,1,1-trinitroprop-2-yl urea, carbamate and nitrocarbamate
- Gold nanocrystal arrays as electrocatalysts for the oxidation of methanol and ethanol
- Syntheses, single-crystal structures, vibrational spectra and DSC/TG analyses of orthorhombic and trigonal Ag[N(CN)2]