Abstract
In this paper, the effect of slip velocity on the rotating electro-osmotic flow (EOF) of the power-law fluid in a non-uniform microchannel under high zeta potential is investigated. The potential distribution of the electric double layer is obtained by using the nonlinear Poisson-Boltzmann equation. By using the finite difference method, the numerical solution of the rotating EOF velocity profile is obtained. The effectiveness and correctness of the present numerical method is proven by comparing the results with the analytical solutions of the Newtonian fluid given by a previous study. The influences of the fluid behavior index n and the slip parameter β on the velocity profiles are also discussed in detail.
1 Introduction
The electro-osmotic flow (EOF) is a process of fluid motion under the control of an externally applied electric field. When the solid surface of a microchannel is brought into contact with an electrolyte solution, the chemical equilibrium between them results in the interface acquiring a net fixed electrical charge, after which the free ions in the electrolyte solution gather in the region near the solution surface and form an electrical double layer (EDL) (also called the ‘Debye layer’). When an external electrical potential is applied across the microchannel, due to the viscous effect of the fluid, the resulting Coulomb force drags the bulk solution along with the induced progressing diffuse layer to one side, resulting in the flow of the solution through the microchannel.
Microfluidic devices, such as microbiological sensor and micro-electromechanical microbial sensor system (MEMS), play an important role in the fields of biomedical diagnostics and drug development. For microfluidic devices, the rotating EOF can enhance the effectiveness of blending different liquids, thereby reducing the micro-fluid mixing time. The generation of vortices in the rotating EOF depends on the geometry of the microchannel. Ajdari [1] reported the generation of vortices in the EOF with sinusoidal surface potential in a microchannel. For a dielectric fluid confined within two horizontal planes with an externally applied vertical AC electric field and vertical temperature gradient, Takashima [2] studied the effect of rotation on the onset of convective instability. Chang and Wang [3] considered the rotating EOF and found that the rotation reduces the EO flow rate in the direction of the applied electric field.
Most of the present studies are based on the following assumptions: uniform cross-section, no-slip boundary condition, constant zeta potential and Newtonian fluid. However, a general case requires that one or more of the above assumptions be not met. For some hydrophobic materials, the water droplet can roll across the surface. The Newtonian slip conditions were first described by Navier [4]. These were discussed in more detail by Maxwell when he studied the stresses in rarified gas flows [5]. The slip boundary condition also plays an important role in the EOF in the microchannel. Berli and Olivares [6] and Goswami and Chakraborty [7] studied the influence of the slip boundary conditions on the EOF of Newtonian fluid in a microchannel. Shit et al. [8] studied the same problem in an inhomogeneous microchannel, and analyzed numerically the distribution of velocity in a microchannel, whose walls are slowly varying periodically.
The microfluidic devices utilizing the EOF have already been proven to be effective and functional within medical applications. In this field, most of the fluids exhibit the non-Newtonian behavior, such as biological fluids, etc. Among those presented, the power-law fluid model is the simplest and the most common one to describe the non-Newtonian fluids, which has received special attraction from the researchers in this field. Kaushik et al. for example, investigated the transient analysis of the transport features of a power-law fluid in a rotating microfluidic channel as modulated by the electrical double-layer effect [9]. The two-dimensional electroosmotic flow of a power law fluid is studied for circular and elliptic microchannels by Srinivas [10], who found that the shear thickening fluids have larger frictional parameter values compared with the shear thinning fluids. Zhao et al. studied the dynamic characteristics of the electroosmosis of a power law liquid in a rectangular microchannel by using numerical simulations [11].
However, although many researches have reported the effect of slip boundary conditions on the EOF in a microfluidic device, very few studies have investigated the same scientific problem of non-Newtonian fluids with a rotational frame. Xie and Jian [12] discussed the rotating electro-osmosis flow of power-law fluid in a in microchannel at high zeta potential, and utilized the nonlinear Poisson-Boltzmann model to obtain the analytical solution of the potential distribution of electric double layer. They also reported the influence of the Coriolis force on the velocity of flow in a microchannel. Qi and Ng [13] comprehensively discussed the rotational EOF of the power-law fluid through a slit microchannel bounded by asymmetric walls.
Motivated by the above studies, the aim of present study is to investigate the rotational EOF of a power-law fluid with slip boundary condition in a non-uniform microchannel, whose wall varies periodically. By using the Navier-Stokes equations and the nonlinear Poisson-Boltzmann model, the potential distribution and the double layer are described, after which the velocity profile of the EOF is numerically obtained with the help of the finite difference method. Finally, the influence of the material parameters on the EOF of the power-law fluid is discussed. In order to verify the accuracy of the present study, we compare the obtained results with the known ones. When the behavior index of the power-law fluid is n = 1 and there is no slip boundary condition, the obtained results in the present study agree well with the analytical solutions given by Chang and Wang [3].
2 Model Description
Consider an unsteady rotating EOF of incompressible power-law fluid in a non-uniform symmetrical microchannel with the finite and large length L, the height of the channel is bounded by
where
We assume that the microchannel is full of electrolyte solution with a dielectric constant ε and that the angular velocity of the rotating system is
![Figure 1: The schematic representation of the physical problem [8].](/document/doi/10.1515/zna-2018-0034/asset/graphic/j_zna-2018-0034_fig_001.jpg)
The schematic representation of the physical problem [8].
Here, n0 is the electrolyte ion density, z0 is the ion valence, e is the unit charge, kb is the Boltzmann constant and T is the absolute temperature. The corresponding boundary conditions are given by
Then the solution of the above equation, i.e. the electrical potential can be obtained analytically [14]
where
Using the following co-ordinate transformation:
Eq. (1) is transformed to the following form:
where H is the fixed height of the channel, a is the amplitude of the wary walls of the microchannel and L is the finite length of the microchannel. The height is much smaller than the length and width of the microchannel. The whole system rotating around the z axis and a potential electric field in the x axis both provide a necessary power for the EOF.
For power-law fluid [15], the dynamic viscosity μ can be expressed as
where Δ is the magnitude of the rate of strain tensor and is defined as
Here, Γ is the shear deformation rate, η is the viscosity coefficient and n is the behavior index of the power-law fluid. According to the value of n, the power-law fluid can be divided into two types: (1) expansion plastic fluid (n > 1), in which the viscosity of fluid increases with the increasing shear rate, and (2) pseudo plastic fluid (n < 1), in which the viscosity of fluid decreases with the increasing shear rate. Due to the dynamic viscosity of the viscous power-law fluid and the shear rate of deformation, the relationship between the viscous stress tensor and the rate of strain tensor can be expressed as
where ∇ V is the velocity gradient tensor and T denotes the transpose.
For an incompressible fluid, the continuity equation is given by
where
where ρ is the density of power-law fluid; t is the time; P is the pressure corrected by centrifugal force, P = p – ρ|Ω × r|2/2,
The initial and boundary conditions are respectively given by
In Eqs. (14), (15) and (16), b is the slip length parameter.
Similar to the methods of Chang and Wang [3], we can find the solution of the form like
Then the shear forces
Therefore, the momentum equations can be simplified as
3 Numerical Algorithm
Now, we use the finite difference method to solve the EOF of the power-law fluid in a rotating system. A rectangular computational domain
where
We use the central difference scheme to discretize Eq. (17), then the dynamic viscosity of the power-law fluid can be written as
Considering that Eqs. (23) and (24) are parabolic equations, by using the forward difference formula for the partial derivatives with respect to time, we obtain
The viscosity term in the momentum equation is the second-order derivative with respect to space. Here, we use the backward difference formula to approximate
Finally, the momentum equations can be discretized into
The corresponding discretized initial conditions and boundary conditions are, respectively given by
where
4 Results and Discussion
As shown in Eq. (9), the viscosity of the power-law fluid depends on the velocity gradient of the fluid, so the momentum Eqs. (30) and (31) are obviously nonlinear equations. The governing equations can be solved numerically by use of the aforementioned explicit difference scheme. It is conditionally stable, and the stability condition is
In the present study, all the parameters in the governing equations are dimensional, and they are chosen as follows for the EOF in a microchannel [12]: the permittivity of the electrolyte solution
In order to demonstrate the accuracy of the numerical method and the theoretical model in the present study, when n = 1 and β = 0, i.e. for the case of Newtonian fluid and K = 10, Ω = 100 rad/s, Ψw = −0.025 V, the corresponding obtained numerical results of the velocity components u and the analytical results given by Chang and Wang [3] are shown in Figure 2. As can be seen, the numerical results are in complete agreement with those analytical ones, indicating that the present numerical method is correct and effective.
![Figure 2: The comparison of analytical results [3] with the present numerical results when β = 0, n = 1, K = 10, Ω = 100 rad/s, Ψw = −0.025 V.](/document/doi/10.1515/zna-2018-0034/asset/graphic/j_zna-2018-0034_fig_002.jpg)
The comparison of analytical results [3] with the present numerical results when β = 0, n = 1, K = 10, Ω = 100 rad/s, Ψw = −0.025 V.
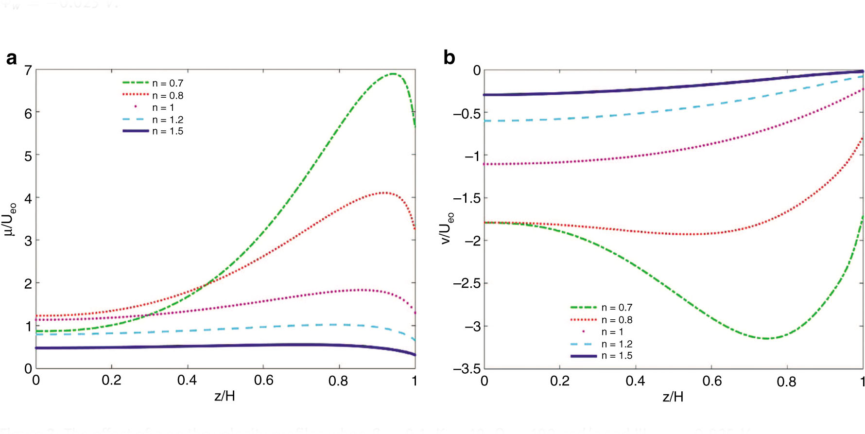
Figure 3 illustrates the effect of the power-law index n on the normalized velocity profiles of u and v when the slip parameter β = 0.1. As shown in Figure 3a, in the region near the wall of microchannel, the velocity profile is steep. This is in agreement with the finding obtained by Xie and Jian [12], except for the slip distance on the walls. The figure also shows that the increasing power-law index n decreases the velocity magnitude. This can be attributed to the fact that the increasing power-law index indicates a larger viscosity of the fluids, which makes it is more difficult to flow in the microchannel. The same phenomenon can also be found in Figure 3b.

The effect of n on the velocity profiles when β = 0.1, K = 10, Ω = 100 rad/s and Ψw = −0.025 V.
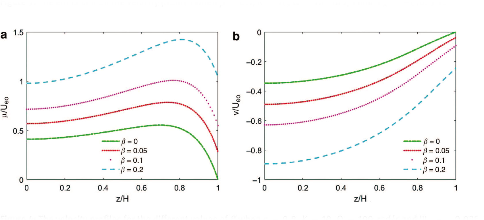
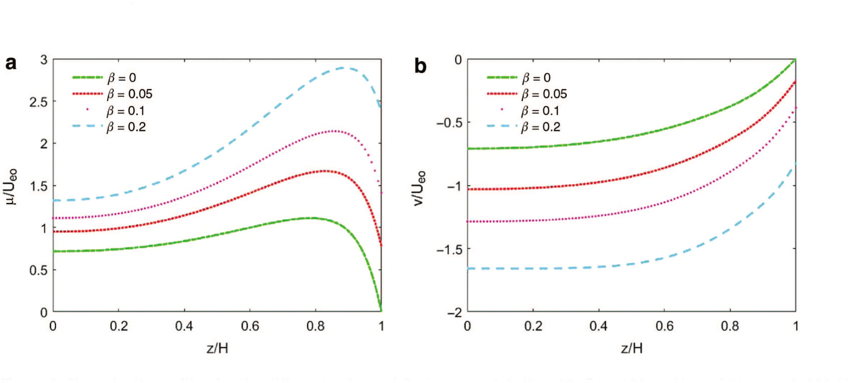
The variations of both the velocity components for the different values of the slip constant β are shown in Figures 4 and 5, respectively. As shown in the figures, the axial velocity modestly increases with the increasing value of β. The effect of β on the axial velocity profile is more obvious in the region near the wall than that in the region far away the wall, because the larger slip parameter suggests the weaker adhesion effect of the boundary. For the same physical reason, an interesting phenomenon is noted: the peak velocity is closer to the wall of the microchannel when the value of β is larger.

The velocity profiles for the different values of β when n = 0.8, K = 10, Ω = 100 rad/s and Ψw = −0.025 V.

The velocity profiles for the different values of β when n = 1.2, K = 10, Ω = 100 rad/s and Ψw = −0.025 V.
5 Conclusion
This study presents a mathematical model to describe the rotating EOF of the power-law fluid in a non-uniform microchannel with slip boundary condition. Using the nonlinear Poisson-Boltzmann theory and the finite difference method, the numerical solution for the velocity components are obtained. By conducting a comparison with the known analytical results for the Newtonian fluid, the present numerical scheme is proved to be effective and correct. The effects of the slip parameter β and the flow behavior index n on the velocity distribution are also discussed. Results indicate that the increasing slip parameter enhances the flow in the microchannel and makes the peak velocity close to the wall of the microchannel. The increasing flow behavior index also enhances the effect of adhesion and decreases the magnitude of the velocity profile.
Acknowledgement
This work was supported by the National Natural Science Foundation of China (Grant Nos. 11672164, 51509145 and 11672163), the Natural Science Foundation of Shandong Province (Grant Nos. ZR2014AM031 and ZR2015EQ005) and the Fundamental Research Funds of Shandong University (Grant No. 2015JC019).
Appendix
Multiplying both sides by
After integrating the above expression and applying the boundary condition Eq. (5) and the formula
Here
Noting that
With the help of the indefinite integral expression
and integrating the equivalent form of (A4),
References
A. Ajdari, Phys. Rev. E 65, 016301 (2002).10.1103/PhysRevE.65.016301Search in Google Scholar PubMed
M. Takashima, Can. J. Phys. 54, 342 (1976).10.1139/p76-039Search in Google Scholar
C. C. Chang and C. Y. Wang, Phys. Rev. E 84, 056320 (2011).10.1103/PhysRevE.84.056320Search in Google Scholar PubMed
C. L. M. H. Navier, Mem. Acad. Sci. Inst. Fr. 6, 389 (1823).Search in Google Scholar
J. C. Maxwell, Phil. Trans. Roy. Soc. Lond. 170, 231 (1879).10.1098/rstl.1879.0067Search in Google Scholar
C. L. A. Berli and M. L. Olivares, J. Colloid Interface Sci. 320, 582 (2008).10.1016/j.jcis.2007.12.032Search in Google Scholar PubMed
P. Goswami and S. Chakraborty, Microfluid. Nanofluidics 11, 255 (2011).10.1007/s10404-011-0793-6Search in Google Scholar
G. C. Shit, A. Mondal, A. Sinba, and P. K. Kundu, Colloids Surf. A 489, 249 (2016).10.1016/j.colsurfa.2015.10.036Search in Google Scholar
P. Kaushik, P. K. Mondal, and S. Chakraborty, Microfluid. Nanofluid. 21, 122 (2017).10.1007/s10404-017-1957-9Search in Google Scholar
B. Srinivas, Colloids Surf. A Physicochem. Eng. Aspects 492, 144 (2016).10.1016/j.colsurfa.2015.12.034Search in Google Scholar
C. Zhao, W. Zhang, and C. Yang, Micromachines 8, 34 (2017).10.3390/mi8020034Search in Google Scholar
Z. Y. Xie and Y. J. Jian, Colloids Surf. A Physicochem. Eng. Asp. 461, 231 (2014).10.1016/j.colsurfa.2014.07.051Search in Google Scholar
C. Qi and C. O. Ng, Colloids Surf. A Physicochem. Eng. Aspects 472, 26 (2015).10.1016/j.colsurfa.2015.02.039Search in Google Scholar
W. B. Russel, D. A. Saville, and W. R. Schowalter, Collodial Dispersions, Cambridge University Press, Cambridge, 1992.Search in Google Scholar
R. B. Bird, R. C. Armstrong, and O. Hassager, Dynamics of Polymeric Liquids, Fluid Mechanics, vol. 1, second ed., Wiley-Interscience Press, New York 1987.Search in Google Scholar
©2018 Walter de Gruyter GmbH, Berlin/Boston
Articles in the same Issue
- Frontmatter
- General
- Noncommutativity and Relativity
- Atomic, Molecular & Chemical Physics
- Optical Ammonia Sensor Based on ZnO:Eu2+ Fluorescence Quenching Nanoparticles
- The Roles of Solute-Solute and Solute-Solvent Interactions on the Nonlinearity of Aqueous Solutions of Ionic Dyes
- Dynamical Systems & Nonlinear Phenomena
- Effect of Superthermal Polarization Force on Dust Acoustic Nonlinear Structures
- Two Integrable Classes of Emden–Fowler Equations with Applications in Astrophysics and Cosmology
- Stability and Spatiotemporal Bifurcations in Spatially Distributed Neural Networks with Nonlocal Delay
- Hydrodynamics
- Effect of Slip Velocity on the Rotating Electro-Osmotic Flow of the Power-Law Fluid in a Slowly Varying Microchannel
- Influence of Compliant Walls and Heat Transfer on the Peristaltic Transport of a Rabinowitsch Fluid in an Inclined Channel
- Solid State Physics & Materials Science
- Metal-Insulator Transition of Solid Hydrogen by the Antisymmetric Shadow Wave Function
- Investigations of Structural, Elastic, Electronic and Thermodynamic Properties of X2TiAl Alloys: A Computational Study
- Thermodynamics & Statistical Physics
- An Investigation of the Forced Convection and Heat Transfer with a Cylindrical Agitator Subjected to Non-Newtonian Nanofluids
Articles in the same Issue
- Frontmatter
- General
- Noncommutativity and Relativity
- Atomic, Molecular & Chemical Physics
- Optical Ammonia Sensor Based on ZnO:Eu2+ Fluorescence Quenching Nanoparticles
- The Roles of Solute-Solute and Solute-Solvent Interactions on the Nonlinearity of Aqueous Solutions of Ionic Dyes
- Dynamical Systems & Nonlinear Phenomena
- Effect of Superthermal Polarization Force on Dust Acoustic Nonlinear Structures
- Two Integrable Classes of Emden–Fowler Equations with Applications in Astrophysics and Cosmology
- Stability and Spatiotemporal Bifurcations in Spatially Distributed Neural Networks with Nonlocal Delay
- Hydrodynamics
- Effect of Slip Velocity on the Rotating Electro-Osmotic Flow of the Power-Law Fluid in a Slowly Varying Microchannel
- Influence of Compliant Walls and Heat Transfer on the Peristaltic Transport of a Rabinowitsch Fluid in an Inclined Channel
- Solid State Physics & Materials Science
- Metal-Insulator Transition of Solid Hydrogen by the Antisymmetric Shadow Wave Function
- Investigations of Structural, Elastic, Electronic and Thermodynamic Properties of X2TiAl Alloys: A Computational Study
- Thermodynamics & Statistical Physics
- An Investigation of the Forced Convection and Heat Transfer with a Cylindrical Agitator Subjected to Non-Newtonian Nanofluids