Abstract
In this paper we analyze how firms’ R&D investment decisions, firms’ profits and social welfare are affected by absorptive capacity; that is, the ability of a firm to learn from other collaborating firms. The model developed is a strategic regular network where firms have the opportunity to form pair-wise collaborative links with other firms and then compete à la Cournot. Different to the existing literature, we find that firms’ R&D efforts could increase or decrease with the degree of the network, depending on the level of absorptive capacity, the market size and the network dimension. In particular, in the case of small market size and low learning effect, the connection between firms drives up research investments. Moreover, if absorptive capacity is sufficiently low, the research collaboration between firms turns out not to be desirable from a private point of view while, in line with the existing literature, social efficiency requires a complete or intermediate level of collaborative activity. We also show that the complete network is pair-wise stable and socially optimal for an intermediate level of spillover intensity, while the empty network maximizes firms’ profits when absorptive capacity is small, yet it is not pair-wise stable.
Acknowledgments
We are grateful to Fabio Di Dio and Roy Cerqueti for their helpful suggestions. We thank Julian Wright, the editor, and two anonymous referees for their constructive comments, which helped us to improve the manuscript. Usual disclaimers apply.
Appendix A
Appendix A.1 – Result 1
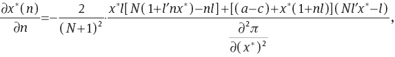
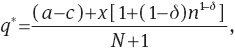
Consider the condition (9). Let l′=l′(x), in order to simplify the notation. Using the implicit function theorem we know that: [16]

where, from the second order condition,

A sufficient condition to have
Regarding point i) of Result 1, first note that, for given x*, lims→∞l′=0, lims→∞l=1, lims→0l′=0 and lims→0l=0; then, for a sufficiently small value of s, the expression (20) is positive, and
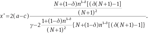
Appendix A.2 – Result 2
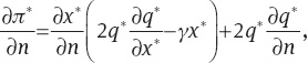
By condition (14) we obtain:

where the expression in round bracket is the marginal effect of optimal R&D investment and:

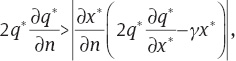
The first term on the right hand side of expression (21) could be named as the indirect effect of connectivity on equilibrium profit. It is composed by the effect of n on x* which, according to Result 1, can be positive or negative, and by the effect of x* on π* (the marginal effect of optimal R&D investment on equilibrium profit) which can also be positive or negative, according to the network dimension N, spillover intensity s, connectivity n and R&D cost γ. The second term captures the direct effect of n on π*, which is always positive. [17]
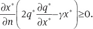
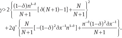
The expression (21) is positive when, in absolute value, the indirect effect is lower than the direct one:

or when the indirect effect is positive:

Observing Table 4, it is evident that for small s, the optimal network is the empty network,

When n=0, we have
Appendix A.3 – Result 3
From equation (16) we obtain:

where
When spillover intensity is sufficiently low, we have
Figure 5 shows how the profit-maximizing degree of network (indicated as “npr”) divided by the social welfare-maximizing degree (indicated as “nw”) changes with the number of firms and with the learning effect. [18] The results differ from those of the existing literature on R&D networks with exogenous spillover: low levels of learning effect and hence of spillover rate, leading firms not to pursue reciprocal collaboration in spite of the social efficiency that requires a complete collaboration. Moreover, if the exogenous spillover rate exceeds a certain threshold, the R&D investment is sub-optimal because firms tend to form too many links ([K] and [CGP]). In the case of absorptive capacity, private and social incentives may coincide and the research investments be optimal with additionally high levels of spillovers intensity, provided that the number of firms fall into a certain range. If they do not, then firms tend to prefer a level of collaboration lower than that which social welfare would require to be maximized. On the other hand, whenever the learning effect is meaningfully strong, the opposite is true: in environments where the number of firms is sufficiently low, the profit-maximizing degree of network is excessive (like [GM]). Otherwise both the aggregate industry profits and social welfare are highest under the complete network.

Private vs Social Optimal Degree for Varying Learning Parameter Values.
Appendix B
Appendix B.1 – The Case with Manna from Heaven
In this appendix we consider a different specification of absorptive capacity, which allows firm i to realize spillover from firm j’s R&D efforts without engaging in R&D. As in Grunfeld (2003), we assume that

where α>0 is the exogenous spillover rate. Indeed, if s=0, we have the traditional spillover used in the Goyal-Moraga and Korkmaz model, where spillover is a manna from heaven.
Firstly, observe that
Secondly,
Intuitively, a positive α reduces firm’s incentive to invest in R&D; indeed, in Table 13 we observe that the R&D effort increases in collaboration but only for very low values of the exogenous spillover rate α, even if s is small. Table 14 shows that for intermediate values of α, firms’ profit and social welfare are maximized at the maximum level of collaboration (complete network). Instead, when α is sufficiently high, firms’ profit and social welfare maximization require an intermediate level of collaborative activity. In general, being that they are exposed to “manna from heaven,” firms can learn from their collaborators even with a low R&D effort. Then, for intermediate and high levels of α, they will tend to reduce their R&D spending and form dense networks.
| N | α=0.01 | α=0.3 | α=0.5 | α=1 |
|---|---|---|---|---|
| 4 | + | – | – | – |
| 10 | + | – | – | – |
| 20 | + | – | – | – |
| 50 | + | – | – | – |
Degree Maximizing Profits and Social Welfare in the Case with Manna from Heaven; s=0.1, a–c=100.
| N | α=0.01 | α=0.3 | α=0.5 | α=1 | ||||
|---|---|---|---|---|---|---|---|---|
| 4 | 0 | 3 | 3 | 3 | 3 | 3 | 2 | 2 |
| 10 | 0 | 9 | 9 | 9 | 9 | 9 | 6 | 5 |
| 20 | 0 | 19 | 19 | 19 | 19 | 19 | 13 | 10 |
| 50 | 0 | 49 | 49 | 49 | 49 | 49 | 33 | 25 |
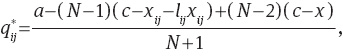
Appendix B.2 – The Case with Involuntary Spillovers
In this appendix we assume involuntary spillovers across non-linked firms. The cost of firm i is given as follows:

where β∈[0, 1) is the parameter that reflects the level of spillovers among firms with no collaboration links. First order conditions with respect to quantity and R&D effort are, respectively:


Reasonably, we adopt an intermediate-low level of the involuntary spillover fixing β=0.3. Results 1, 2 and 3 are also confirmed in this version of the model. For the sake of brevity we only report the results in regard to the optimal degree maximizing profits and welfare (Table 15). [19] We observe that firms’ profit and social welfare maximization requires a smaller level of collaboration in respect to the case of β=0. The intuition behind this result is that when β>0 firms can also absorb knowledge from non-collaborating firms. Therefore, from a private and social point of view, it would be optimal to reduce the number of links and compensate the absorptive capacity loss with the spillovers stemming from non-collaborating firms. This phenomenon is particularly marked when s (and then spillover) is high. [20]
Degree Maximizing Profits and Social Welfare in the Case with Involuntary Spillovers; β=0.3, a–c=100.
| N | s=0.1 | s=0.5 | s=5 | s=50 | s=500 | s=5000 | … | l=1 | |||||||
|---|---|---|---|---|---|---|---|---|---|---|---|---|---|---|---|
| … | |||||||||||||||
| 4 | 0 | 3 | 0 | 3 | 3 | 3 | 3 | 3 | 2 | 2 | 2 | 1 | … | 2 | 1 |
| 10 | 0 | 9 | 0 | 9 | 0 | 9 | 9 | 9 | 9 | 9 | 6 | 4 | … | 5 | 3 |
| 20 | 0 | 19 | 0 | 19 | 0 | 19 | 19 | 19 | 19 | 19 | 14 | 8 | … | 10 | 6 |
| 50 | 0 | 49 | 0 | 49 | 0 | 49 | 0 | 49 | 49 | 49 | 49 | 49 | … | 24 | 15 |
Appendix B.3 – Kamien and Zang’s Approach
In this appendix, we basically develop the same model in the text by assuming a different specification of absorptive capacity in accordance with Kamien and Zang (2000). This is further analyzed in Wiethaus (2005) and Leahy and Neary (2007). This second special case assumes that firm i’s realized cost reduction is

rather than simply
The profits of firm i are given by

Applying backward induction and imposing symmetry, we derive the optimal output

and the optimal R&D expenditure level

Second order condition is:

In Table 16 we show the sign of the relationship between R&D spending and network degree. The pattern in the table confirms points i) and ii) of the Result 1 in the text. Indeed, additionally with an absorptive capacity à la Kamien and Zang, the optimal R&D spending increases with the network degree n when δ is sufficiently large (low spillover intensity). For lower levels of δ (high spillover intensity), R&D spending decreases with n first in small network, then also in large networks.
| N | δ=0.02 | δ=0.04 | δ=0.06 | δ=0.08 | δ=0.1 | δ∈[0.2; 1) |
|---|---|---|---|---|---|---|
| 4 | – | – | – | – | – | + |
| 10 | – | – | – | – | + | + |
| 20 | – | – | + | + | + | + |
| 30 | – | + | + | + | + | + |
| 50 | + | + | + | + | + | + |
| 70 | + | + | + | + | + | + |
| 100 | + | + | + | + | + | + |
| 1000 | + | + | + | + | + | + |
On the other hand, point iii) of Result 1 is not confirmed given that, according to equation (34), the market dimension a–c does not affect the sign of the derivative ∂x*/∂n. In Table 17, we calculate the optimal level of firms’ connections from a private and social point of view as a function of network dimension N and the firms-specific approach δ. Numerical simulation confirms points i), ii) and iii) of Result 2 in the text. Moreover, with absorptive capacity à la Kamien-Zang, firms do not prefer to collaborate if learning effect is very low (high δ) while, for sufficiently high levels of absorptive capacity (low δ), firms’ profit is maximized in complete network (n=N–1) or at an intermediate level of collaborative activity (0<n<N–1). Moreover, the patterns in Table 17 also confirm Result 3 concerning the relationship between network degree and social welfare. Indeed, complete networks (
Degree Maximizing Profits and Social Welfare in the Kamien-Zang’s Approach; a–c=100.
| N | δ=0 | δ=0.005 | δ=0.1 | δ=0.2 | δ=0.3 | δ=0.4 | δ∈[0.5; 1) | |||||||
|---|---|---|---|---|---|---|---|---|---|---|---|---|---|---|
| 4 | 2 | 2 | 2 | 2 | 3 | 3 | 3 | 3 | 3 | 3 | 3 | 3 | 0 | 3 |
| 10 | 6 | 5 | 7 | 5 | 9 | 9 | 9 | 9 | 0 | 9 | 0 | 9 | 0 | 9 |
| 20 | 13 | 10 | 15 | 11 | 19 | 19 | 0 | 19 | 0 | 19 | 0 | 19 | 0 | 19 |
| 30 | 20 | 15 | 21 | 18 | 0 | 29 | 0 | 29 | 0 | 29 | 0 | 29 | 0 | 29 |
| 50 | 33 | 25 | 43 | 34 | 0 | 49 | 0 | 49 | 0 | 49 | 0 | 49 | 0 | 49 |
| 70 | 47 | 35 | 69 | 56 | 0 | 69 | 0 | 69 | 0 | 69 | 0 | 69 | 0 | 69 |
| 100 | 66 | 50 | 99 | 99 | 0 | 99 | 0 | 99 | 0 | 99 | 0 | 99 | 0 | 99 |
| 1000 | 666 | 500 | 0 | 999 | 0 | 999 | 0 | 999 | 0 | 999 | 0 | 999 | 0 | 999 |
Appendix C
Firms’ Profits in the Empty Network ge
Let ge be the empty network, obtained by assuming n=0. Condition (9) becomes:

by which we derive the optimal firm’s R&D investment and quantity:


As usual, firm’s profit is:

Deviating Profits in Network ge+gij
Assume some firm i forms a link with some firm j. The resulting network is ge+gij. In this network there are two types of firms. Firms i and j with n=1 links and all the other N–2 firms with n=0 links. By standard computation, and assuming symmetry, first order conditions are:

for deviating firms, and:

for the N–2 non-deviating firms, where


By numerical simulation we solve equations (40) and (41) and obtain the optimal R&D investments

Firms’ Profits in the Complete Network gc
We derive R&D investments, quantities and profits in the complete network by setting n=N–1 in the expression (9):

where

From equation (45) we obtain the optimal R&D investment x*(gc) which substituted into equation (14) gives firms’ profits under the complete collaborative agreement;

Deviating Profits in the Network gc–gij
Consider that some firm i severs its link with some firm j. The resulting network is gc–gij. In this network there are two types of firms. Firms i and j (deviating firms) which have N–2 links and the rest of the firms which have N–1 links. Let

for deviating firms and

for non deviating firms, where


We obtain the optimal R&D investments

References
Aiello, F. and P. Cardamone (2008) “R&D Spillovers and Firms’ Performance in Italy. Evidence from a Flexible Production Function,” Empirical Economics, 34:143–166.10.1007/s00181-007-0174-xSearch in Google Scholar
Audretsch, D. B. and M. Vivarelli (1996) “Firms Size and R&D Spillovers: Evidence from Italy,” Small Business Economics, 8:249–258.10.1007/BF00388651Search in Google Scholar
Baumol, W. (2001) “When is Inter-Firm Coordination Beneficial? The Case of Innovation,” International Journal of Industrial Organization, 19:727–737.10.1016/S0167-7187(00)00091-6Search in Google Scholar
Belderbos, R., M. Carree, B. Diederen and B. Lokshin (2004) “Heterogeneity in R&D Cooperation Strategies,” International Journal of Industrial Organization, 22:1237–1263.10.1016/j.ijindorg.2004.08.001Search in Google Scholar
Belleflamme, P. and M. Peitz (2010) Industrial Organization: Markets and Strategies. Cambridge: Cambridge University Press.10.1017/CBO9780511757808Search in Google Scholar
Boschma, R. (2005) “Proximity and Innovation: A Critical Assessment,” Regional studies, 39(1):61–74.10.1080/0034340052000320887Search in Google Scholar
Branstetter, L. and M. Sakakibara (1998) “Japanese Research Consortia: A Microeconometric Analysis of Industrial Policy,” The Journal of Industrial Economics, 46(2):207–233.10.1111/1467-6451.00069Search in Google Scholar
Cafaggi, F. (2011) Contractual Networks, Inter-Firm Collaboration and Economic Growth. Edward Elgar Publishing.10.4337/9781849809696Search in Google Scholar
Cassiman, B. and R. Veugelers (2002) “R&D Cooperation and Spillovers: Some Empirical Evidence from Belgium,” American Economic Review, 92(4):1169–1184.10.1257/00028280260344704Search in Google Scholar
Cockburn, I. M. and R. M. Henderson (1998) “Absorptive Capacity, Coauthoring Behavior and Organization of Research in Drug Discovery,” Journal of Industrial Economics, 46:157–182.10.1111/1467-6451.00067Search in Google Scholar
Cohen, W. M. and D. A. Levinthal (1989) “Innovation and Learning: The Two Faces of R&D,” Economic Journal, 99:569–596.10.2307/2233763Search in Google Scholar
Cohen, W. M. and D. A. Levinthal (1990) “Absorptive Capacity: A new Perspective on Learning and Innovation,” Administrative Science Quarterly, 35(1):128–152.10.2307/2393553Search in Google Scholar
Correani, L., G. Garofalo and S. Pugliesi (2012) “The Optimal Level of Collaboration in Regular R&D Networks,” Journal of Game Theory, 1(5):33–37.10.5923/j.jgt.20120105.02Search in Google Scholar
D’Aspremont, C. and A. Jacquemine (1988) “Cooperative and Noncooperative R&D in Duopoly with Spillovers,” American Economic Review, 78(5):1133–1137.Search in Google Scholar
Deroian, F. and F. Gannon (2006) “Quality Improving Alliances in Differentiated Oligopoly,” International Journal of Industrial Organization, 24(3):629–637.10.1016/j.ijindorg.2005.09.006Search in Google Scholar
Dutta, B. and S. Mutuswami (1997) “Stable Networks,” Journal of Economic Theory, 76:322–344.10.1006/jeth.1997.2306Search in Google Scholar
Egbetokun, A. and I. Savin (2014) “Absorptive Capacity and Innovation: When is it Better to Cooperate?” Journal of Evolutionary Economics, 24:399–420.10.1007/s00191-014-0344-xSearch in Google Scholar
Escribano, A., A. Fosfuri and J. A. Trib (2009) “Managing External Knowledge Flows: The Moderating Role of Absorptive Capacity,” Research Policy, 38:96–105.10.1016/j.respol.2008.10.022Search in Google Scholar
Goyal, S. (2007) Connections. An Introduction to the Economics of Network. Princeton: Princeton University Press.Search in Google Scholar
Goyal, S. and S. Joshi (2003) “Networks of Collaboration in Oligopoly,” Games and Economic Behavior, 43:57–85.10.1016/S0899-8256(02)00562-6Search in Google Scholar
Goyal, S. and J. Moraga-Gonzales (2001) “R&D Networks,” The RAND Journal of Economics, 32(4):686–707.10.2307/2696388Search in Google Scholar
Goyal, S., J. Moraga-Gonzales and A. Konovalov (2008) “Hybrid R&D,” Journal of the European Economic Association, 6(6):1309–1338.10.1162/JEEA.2008.6.6.1309Search in Google Scholar
Griliches, Z. (1990) “Patent Statistics as Economic Indicators: A Survey,” Journal of Economic Literature, 18:1661–1707.Search in Google Scholar
Griliches, Z. (1992) “The Search for R&D Spillovers,” Scandinavian Journal of Economics, 94(Supplement):29–47.10.2307/3440244Search in Google Scholar
Grunfeld, L. A. (2003) “Meet Me Halfway But Don’t Rush: Absorptive Capacity and Strategic R&D Investment Revisited,” International Journal of Industrial Organization, 21:1091–1109.10.1016/S0167-7187(03)00076-6Search in Google Scholar
Hammerschmidt, A. (2009) “No Pain, No Gain: A R&D Model with Endogenous Absorptive Capacity,” Journal of Institutional and Theoretical Economics, 165(3):418–437.10.1628/093245609789472023Search in Google Scholar
Hanel, P. and A. St-Pierre (2002) “Effects of R&D Spillovers on the Profitability of Firms,” Review of industrial Economics, 20:305–322.Search in Google Scholar
Jackson, M. O. and A. van den Nouweland (2005) “Strongly Stable Networks,” Games and Economic Behavior, 51:420–444.10.1016/j.geb.2004.08.004Search in Google Scholar
Jackson, M. O. and A. Wolinsky (1996) “A Strategic Model of Social and Economics Networks,” Journal of Economic Theory, 71:44–74.10.1006/jeth.1996.0108Search in Google Scholar
Kaiser, U. (2002a) “R&D with Spillovers and Endogenous Absorptive Capacity,” Journal of Institutional and Theoretical Economics 158(2):286–303.10.1628/0932456022975448Search in Google Scholar
Kaiser, U. (2002b) “An Empirical Test of Models Explaining Research Expenditures and Research Cooperation: Evidence for the German Service Sector,” International Journal of Industrial Organization, 20:747–774.10.1016/S0167-7187(01)00074-1Search in Google Scholar
Kamien, M. I. and I. Zang (2000) “Meet Me Halfway: Research Joint Ventures and Absorptive Capacity,” International Journal of Industrial Organization, 18:995–1012.10.1016/S0167-7187(00)00054-0Search in Google Scholar
Kamien, M. I., E. Muller and I. Zang (1992) “Research Joint Ventures and R&D Cartels,” American Economic Review, 82(5):1293–306.Search in Google Scholar
Katsoulacos, Y. and D. Ulph (1998) “Endogenous Spillover and the Performance of Research Joint Ventures,” The Journal of Industrial Economics, 46(3):333–357.10.1111/1467-6451.00075Search in Google Scholar
Korkmaz, G. (2012) Network Structure Matters: Application to R&D Collaboration, Collusion and on-line Communication Networks. PhD Thesis, European University Institute, pp. 3–64.Search in Google Scholar
Leahy, D. and J. P. Neary (2007) “Absorptive Capacity, R&D Spillovers and Public Policy,” International Journal of Industrial Organization, 25:1089–1108.10.1016/j.ijindorg.2007.04.002Search in Google Scholar
Levin, R. C. (1988) “Appropriability, R&D Spending and Technological Performance,” American Economic Review, (Papers and Proceedings) 78(2):424–448.Search in Google Scholar
Levin, R. C., and P. C. Reiss (1988) “Cost-Reducing and Demand-Creating R&D with Spillovers,” RAND Journal of Economics, 19(4):538–556.10.2307/2555456Search in Google Scholar
Levin, R. C., A. K. Klevorick, R. R. Nelson and S. G. Winter (1987) “Appropriating the Returns from Industrial R&D,” Brookings Papers on Economic Activity, 783–820.10.2307/2534454Search in Google Scholar
Lin, C., Y. J. Wu, C. Chang, W. Wang and C. Y. Lee (2012) “The Alliance Innovation Performance of R&D Alliances: the Absorptive Capacity Perspective,” Technovation, 32 (5): 282–292.10.1016/j.technovation.2012.01.004Search in Google Scholar
López, A. (2008) “Determinants of R&D Cooperation: Evidence from Spanish Manufacturing Firms,” International Journal of Industrial Organization, 26:113–136.10.1016/j.ijindorg.2006.09.006Search in Google Scholar
Mansfield, E. (1985) “How Rapidly Does New Industrial Technology Leak Out?” Journal of Industrial Economics, 34(2):217–223.10.2307/2098683Search in Google Scholar
Marinucci, M. (2012) A Primer on R&D Cooperation Among Firms. Occasional Papers, n.130, September, Rome, Bank of Italy.10.2139/ssrn.2159243Search in Google Scholar
Martin, S. (2002) “Spillovers, Appropriability, and R&D,” Journal of Economics, 75(1):1–32.10.1007/s007120200000Search in Google Scholar
Mauleon, A., J. J. Sempere-Monerris and V. J. Vannetelbosch (2011) “Networks of Manufacturers and Retailers,” Journal of Economic Behavior & Organization, 77:351–367.10.1016/j.jebo.2010.11.007Search in Google Scholar
Nooteboom, B., W. V. Haverbeke, G. Duyster, V. Gilsling and A. van der Oord (2007) “Optimal Cognitive Distance and Absorptive Capacity,” Research Policy, 36(7):1016–1034.10.1016/j.respol.2007.04.003Search in Google Scholar
Okumura, Y. (2001) “A Note on Propositions 7 and 8 of Goyal and Moraga (2001),” Economics Bulletin, 12(28):1–6.Search in Google Scholar
Schmidt, T. (2010) “Absorptive Capacity – One Size Fits All? A Firm-Level Analysis of Absorptive Capacity for Different Kinds of Knowledge,” Managerial and Decision Economics, 31(1):1–18.Search in Google Scholar
Suzumura, K. (1992) “Cooperative and Noncooperative R&D in an Oligopoly with Spillovers,” American Economic Review, 82(5):1307–1320.Search in Google Scholar
Vega-Redondo, F. (2007) Complex Social Networks. Cambridge, Cambridge University Press.10.1017/CBO9780511804052Search in Google Scholar
Wiethaus, L. (2005) “Absorptive Capacity and Connectedness: Why Competing Firms Also Adopt Identical R&D Approaches,” International Journal of Industrial Organization, 23:467–481.10.1016/j.ijindorg.2005.03.002Search in Google Scholar
Wuyts, S., M. Colombo, S. Dutta and B. Nooteboom (2005) “Empirical Tests of Optimal Cognitive Distance,” Journal of Economic Behavior & Organization, 58(2):277–302.10.1016/j.jebo.2004.03.019Search in Google Scholar
Zazzaro, A. (2010) Reti d’Impresa e Territorio. Tra Vincoli e Nuove Opportunitá Dopo la Crisi. Il mulino, Bologna.Search in Google Scholar
Zirulia, L. (2006) “Industry Profit Maximizing R&D Networks,” Economic Bulletin, 12(1):1–6.Search in Google Scholar
Zirulia, L. (2012) “The Role of Spillovers in R&D Network Formation,” Economics of Innovation and New Technology, 21(1):83–105.10.1080/10438599.2011.557558Search in Google Scholar
©2014 by De Gruyter