Startseite Allgemein Proteomics quantification of protein nitration
Artikel Öffentlich zugänglich

Proteomics quantification of protein nitration

  • Adam R. Evans

    Adam Evans is a PhD candidate in Chemistry currently performing research under the direction of Dr. Renã Robinson at the University of Pittsburgh. His primary research focuses on developing quantitative proteomic techniques using mass spectrometry. His work has led to two publications in peer-reviewed journals. In addition to research, Adam has taught undergraduate chemistry courses throughout graduate school, earning multiple recognitions for excellence in teaching. He earned his BS in Chemistry from Thiel College in May 2009 with minor degrees in Mathematics and Physics.

    und Renã A.S. Robinson

    Renã A.S. Robinson joined the Department of Chemistry at the University of Pittsburgh as an Assistant Professor in the fall of 2009. She received her BS in Chemistry from the University of Louisville in 2000, her PhD in chemistry from Indiana University in analytical chemistry in 2007, and served as a Lyman T. Johnson and UNCF/Merck postdoctoral fellow at the University of Kentucky until 2009. Currently, Professor Robinson mentors a group of graduate and undergraduate students with research focused on the development and application of proteomics techniques to study aspects of aging, immunity, and Alzheimer’s disease. She has authored over 30 peer-reviewed publications and four book chapters and was a recipient of the Society of Analytical Chemists Young Investigator Starter Award.

    EMAIL logo
Veröffentlicht/Copyright: 11. Juni 2013
Veröffentlichen auch Sie bei De Gruyter Brill

Abstract

Protein tyrosine nitration is a post-translational modification (PTM) that can occur in biological systems under conditions of oxidative stress. This PTM can impact protein structure and function and has been linked to diseases such as Alzheimer’s disease, cardiomyopathy, and arthritis. In order to understand the role that 3-nitrotyrosine (3NT) plays in disease states, a better understanding at the macromolecular level is necessary. Proteomics is a powerful approach that can simultaneously measure hundreds to thousands of proteins in normal or diseased states and thus can be helpful in the analysis of 3NT-modified proteins. Recently, some attention has been focused on the development of proteomic workflows that provide enrichment, characterization, and relative quantification of 3NT-modified proteins. These approaches rely on gel electrophoresis, liquid chromatography, and mass spectrometry (MS) techniques. This review provides an overview of current proteomics approaches for 3NT-modified proteins and highlights current MS-based methods for quantification of this PTM.

Introduction

Protein nitration is a post-translational modification (PTM) that can occur under oxidative stress (Butterfield et al. accepted for publication). Nitration is mediated by an increased concentration of reactive oxygen and nitrogen species (ROS and RNS, respectively) such as ONOO-, and NO2. An overabundance of cellular RNS levels can result in the formation of 3-nitrotyrosine (3NT) and 3NT-modified proteins (Lee et al. 2009b). Protein nitration may result in altered enzymatic activity (Ferrante et al. 1997, Yamakura et al. 1998), reduced cellular signaling, disruption of phosphorylation pathways (Kong et al. 1996), and protein degradation (Squier 2001). In addition, this PTM has been linked to various diseases such as cancer, cardiovascular disease (Peluffo and Radi 2007), and arthritis (Nemirovskiy et al. 2009) and neurodegenerative disorders such as Alzheimer’s (AD) (Butterfield et al. 2011) and Parkinson’s diseases (PD) (Good et al. 1998, Reynolds et al. 2007).

Elevated protein nitration has been observed in the brains of AD patients and is correlated with disease hallmarks such as amyloid-β peptide levels, senile plaque deposition, and neurofibrillary tangles (composed of tau proteins) as well as with physiological symptoms such as memory loss, decreased motor and language skills, and other behavioral changes (Sultana et al. 2009, Butterfield and Dalle-Donne 2012). Furthermore, protein nitration is linked to AD disease progression and is detected in mild cognitive impairment (MCI), early AD, and advanced stages of AD (Butterfield et al. 2007, Sultana et al. 2007, Reed et al. 2009, Sowell and Butterfield 2010). The primary effects of protein nitration in AD are manifested in energy metabolism. For example, glyceraldehyde-3-phosphate dehydrogenase and α-enolase, proteins involved in the glycolytic pathway, are nitrated (Castegna et al. 2003, Butterfield et al. 2011), leading to reduced enzymatic function (Mazzola and Sirover 2001) potentially limiting adenosine triphosphate production (Aksenova et al. 2002). Nitration of tau proteins has been observed in MCI and may influence the early onset of AD (Sultana et al. 2009). Other pathways such as cytoskeletal integrity (Coleman and Flood 1987), pH buffering (Sly and Hu 1995), mitochondrial dysfunction (Bubber et al. 2005), and lipid abnormalities (Castegna et al. 2004) are also affected by protein nitration in AD and indicate the importance of this PTM for disease pathogenesis (Sultana et al. 2009).

Neurodegenerative disorders such as PD (Danielson et al. 2009), Down syndrome (Jovanovic et al. 1998), Huntington’s disease (Browne et al. 1999), and amyotrophic lateral sclerosis (Abe et al. 1995, Cookson and Shaw 1999) are also affected by protein nitration (Horiguchi et al. 2003, Butterfield et al. accepted for publication). Similarly, elevated levels of nitration are observed in cardiomyopathy, cardiovascular disease, atherosclerosis (Leeuwenburgh et al. 1997, Turko and Murad 2002, Ungvari et al. 2005, Peluffo and Radi 2007, Upmacis 2008, Lee et al. 2009a, Surmeli et al. 2010), arthritis (Sandhu et al. 2003), diabetes (Turko et al. 2003), cancer (Azad et al. 2008), and aging (Pacher et al. 2007, Marshall et al. 2013). It can be inferred from the range of disorders affected by this PTM that the immune system is a major target of RNS. Increased nitric oxide (NO) production by NO synthases has been suggested to be linked to tissue injury (Zingarelli et al. 1999). Evidence of oxidative damage has been observed in lymphatic vessels of aged rats (Thangaswamy et al. 2012), cluster of differentiation 8 (CD8+) prostatic tumor-infiltrating lymphocytes (Bronte et al. 2005), and T-cell receptors (Birnboim et al. 2003), ultimately weakening immune system response. Because protein nitration, specifically 3NT PTMs, is heavily implicated in disease it is worthwhile to review the state of current technology available to characterize this PTM in biological tissues. Herein, an overview of 3NT chemical properties and proteomics methods that allow the enrichment, characterization, and particularly the quantification of 3NT-modified proteins will be discussed.

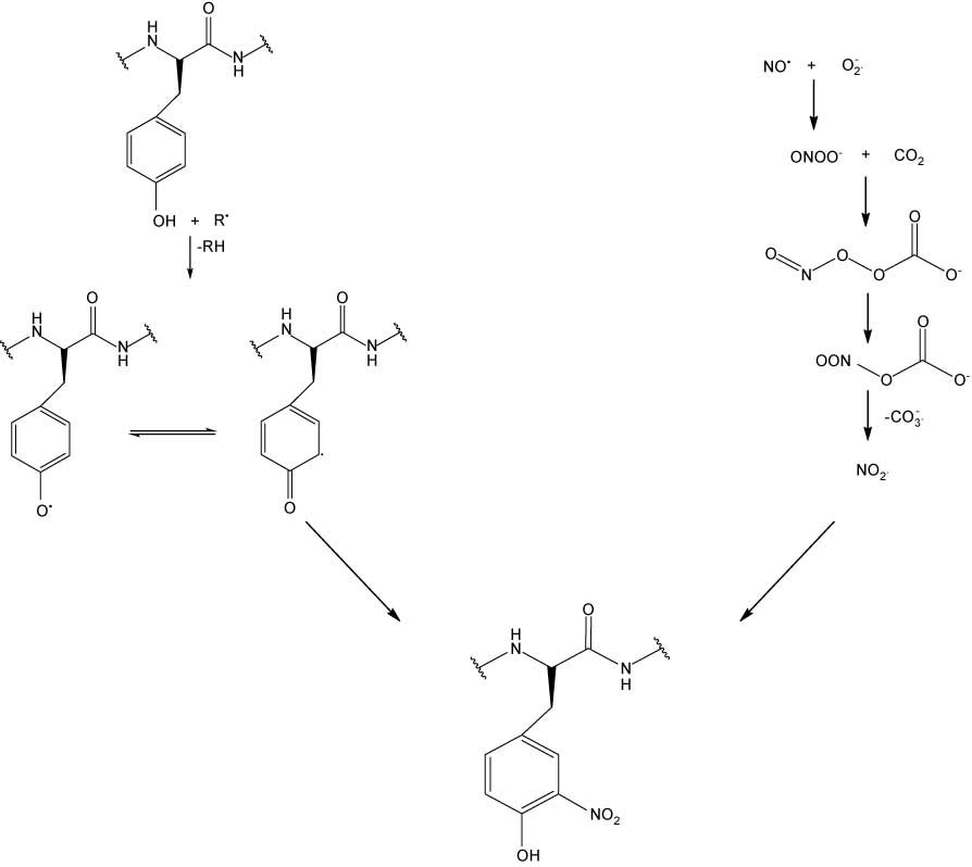
The formation of 3NT occurs due to a series of chemical reactions involving ROS and RNS. Figure 1 outlines the most commonly encountered intracellular mechanism. A free radical oxidizes tyrosine to form a tyrosyl radical. The structure is stabilized by resonance moving the radical to the ortho carbon of the phenol ring (Bayden et al. 2011). Simultaneously occurring, endogenous nitrogen monoxide radicals (NO·) react with superoxide anion to produce peroxynitrite (ONOO-), a conjugate base of the peroxynitrous acid, which has a pKa close to physiological pH 7.0 (Kissner et al. 1997). In the presence of carbon dioxide, ONOO- reacts to form nitrocarbonate anions (Radi 2004). The nitrocarbonate anion undergoes homolytic cleavage to form a highly reactive nitrite radical, which undergoes a combination reaction with the tyrosyl radical, resulting in 3NT. Nitration has also been observed in other aromatic residues such as tryptophan and phenylalanine (Abello et al. 2009) through similar reaction mechanisms (Alvarez and Radi 2003).

Figure 1 Chemical reactions describing the formation of 3NT.
Figure 1

Chemical reactions describing the formation of 3NT.

Aside from oxidative stress mechanisms, signaling pathways may rely on 3NT (Abello et al. 2009, Radi 2013). Evidence of protein denitration in biological tissues has been observed, suggesting that 3NT may be initiated and controlled by ROS and RNS leading to redox signaling in cellular processes (Monteiro et al. 2008). Although tyrosine nitration is considered to be a stable PTM, and therefore a suitable marker for oxidative damage, there has been increasing evidence of a redox signaling pathway involving protein nitration. 3NT has been shown to interfere with kinase and phosphatase enzymes, which may have a regulatory effect on tyrosine phosphorylation pathways (Radi 2004). In addition, Mn superoxide dismutase has also been shown to lose function due to 3NT formation (Guo et al. 2003, Feeney and Schoneich 2012). It has also been suggested that denitration may be selective to specific substrates. This has been observed in histone H1.2 and calmodulin as specific targets for protein denitration (Rubbo and Radi 2008). Further research is currently under way in order to better understand the physiological importance of a reversible nitration signaling system (Spickett and Pitt 2012).

The addition of the nitro group to the tyrosine ring alters chemical properties of the amino acid. The most notable change is the decreased pKa of the phenol group from 10.1 to 7.2 (Sokolovsky et al. 1967) or 6.8 (Souza et al. 2008). This is a result of the nitro group on the phenol ring drawing electron density, which makes the phenol proton more labile and tyrosine more acidic. The lower pKa increases the amount of deprotonated nitrotyrosine molecules relative to tyrosine, which in addition to steric effects can prevent phosphorylation events altering cellular signaling processes (Abello et al. 2009). Spectroscopic measurements can be used to monitor the shift in pKa. For example, under acidic conditions the phenolic group of 3NT is protonated, allowing hydrogen bonding with an oxygen atom of the nitro group, which can be observed in the 360-nm ultraviolet (UV) region. However, basic conditions that lead to deprotonation of the hydroxyl group and elimination of this hydrogen bonding shift the absorbance to 430 nm, which explains the yellow appearance of 3NT solutions (Abello et al. 2009). It should be noted that the color changes of 3NT can allow visual monitoring of sample preparation procedures.

Whereas this review focuses on proteomic techniques, quantification of free 3NT in biological fluids cannot be ignored due to its clinical significance. A review covering quantification of free 3NT in plasma, urine, and other biological matrices with emphasis on mass spectrometry (MS) methods has been recently reported (Tsikas 2012). It is noteworthy to highlight that intake of dietary nitrate may affect both urinary and blood plasma concentrations and contribute to measured 3NT levels in these biological matrices. Dietary nitrate can be converted to nitrite in saliva, which under the acidic conditions of the stomach can be converted to RNS such as 3NT (Pannala et al. 2003). To date, experimental evidence has shown no significant elevations of free or protein-bound 3NT in biological fluids (Oldreive et al. 2001, Pannala et al. 2003).

A traditional method of measuring 3NT levels is to use acid hydrolysis to release 3NT bound to proteins. The free 3NT generated can then be analyzed with gas chromatography using thermal energy analyzers (TEAs) (Ohshima et al. 1990, Petruzzelli et al. 1997) or electron capture detectors (ECDs) (Pavlovic et al. 2009). TEAs have limited selectivity and sensitivity (Duncan 2003), and the use of fluorine-containing compounds enhances ECD sensitivity, making them more attractive. High-performance liquid chromatography is a popular separation technique to measure free 3NT because of its versatile coupling to a wide variety of detectors (Tsikas and Caidahl 2005) such as UV-visible (Vis) (Kaur and Halliwell 1994, Sucu et al. 2003) and fluorescence detectors (Sharov et al. 2008, 2010, Dremina et al. 2011). Electrochemical detection of protein-bound 3NT (Sugiura et al. 2004) and free 3NT (Kaur et al. 1998, Halejcia-Delophont et al. 2001, Ryberg and Caidahl 2007, Nuriel et al. 2008) is 100× more sensitive than UV-Vis or fluorescence detection (Nuriel et al. 2008). Detection limits of 3 attomole [limit of quantification (LOQ) 0.6 pm] of 3NT have been reported with MS (Tsikas 2012). Tandem MS (MS/MS) can also be applied directly to protein mixtures or free 3NT mixtures resulting from protein hydrolysis (Frost et al. 2000).

Proteomics

Better insight into the effects of 3NT can be realized through the analysis of 3NT-modified proteins. Proteomics, the large-scale study of the protein complement of a species genome (Blackstock and Weir 1999), can be used to monitor thousands of proteins, including PTMs simultaneously. Proteomic analysis can be performed using top-down (Armirotti and Damonte 2010) or bottom-up methods (Han et al. 2008, Yates et al. 2009), which focus on the direct measurement of intact proteins or peptides, respectively. Advancements in analytical instrumentation have made it possible to gain substantial information about a species proteome, including the development of specialized approaches for the detection of low-abundance PTMs (Yates et al. 2009). This review focuses on current bottom-up proteomic technologies for tyrosine nitration, which are classified under redox proteomics techniques that focus on oxidative modifications. Briefly, redox proteomic technologies allow for the detection of oxidized thiols (Casagrande et al. 2002), carbonylation (Uchida and Stadtman 1993), lipid peroxidation (Adibhatla and Hatcher 2010), and nitration among others. We refer the reader to several detailed reviews on redox proteomics (Dalle-Donne et al. 2006, Butterfield and Dalle-Donne 2012, Butterfield et al. 2012, in press).

Enrichment

In vivo nitration of tyrosine residues are such that only five nitrated sites are detected per 10,000 tyrosines in inflammation conditions (Radi 2004). Because 3NT is a low-abundance PTM, issues with ion suppression and false-positive identification arise (Ryberg and Caidahl 2007, Li et al. 2011). A conservative set of guidelines has been proposed to increase confidence in the identification of 3NT-modified proteins as follows: accurate peptide charge state and mass, detection of the 3NT immonium ion fragment peak (m/z 181.1), validation of 3NT peptide chromatographic retention (in comparison to unmodified peptide), and limitation of unassigned fragment peaks (Li et al. 2011) which can be adopted by any laboratory. In the context of biological tissues it can be challenging to identify 3NT-modified proteins, which has led to the development of enrichment strategies (Dekker et al. 2012). The earliest enrichment approaches included the use of an insoluble-antibody column specific to nitrated proteins (Helman and Givol 1971) and immunoprecipitation (Zhan and Desiderio 2006). Generally, enrichment of 3NT-modified proteins can be performed through the use of antibodies (e.g., anti-3NT) or alternatives such as chemical tags that target the nitro group.

Chemical tags rely on increasing the reactivity of 3NT through reduction reactions that generate 3-aminotyrosine (3AT) at the peptide level. This can be achieved with reducing reagents such as sodium dithionite and dithiothreitol (DTT) in the presence of heme as shown in Figure 2. A chemical tagging approach targeting 3AT offers the advantage of being gel free and antibody free. The significant pKa difference between the aromatic amine (~4.7) and other primary amines on a peptide chain (~8–10) allow for selective addition of chemical tags to 3AT. A plethora of these tags have been applied targeting 3AT including biotin/avidin interactions (Nikov et al. 2003, Nuriel et al. 2008, Abello et al. 2010), nickel affinity chromatography (Lee et al. 2009b), sulfhydryl enrichment (Zhang et al. 2007), and fluorinated carbon tags (Kim et al. 2011). Signature fragment ions that locate the site of 3NT modification can be generated with the use of dansyl chloride tags on the 3AT residue (Amoresano et al. 2007). Fluorogenic derivatization of 3AT peptides with 1-[4(aminomethyl)-phenylsulfonyl]pyrrolidine-3,4-diol allows enrichment with boronate affinity chromatography and quantification with fluorescence spectroscopy (Dremina et al. 2011). We refer the reader to a summary of enrichment protocols for 3NT enrichment methods for further information on this subject (Dekker et al. 2012).

Figure 2 Reactions demonstrating the reduction of 3NT to 3AT using sodium dithionite or DTT in the presence of heme.
Figure 2

Reactions demonstrating the reduction of 3NT to 3AT using sodium dithionite or DTT in the presence of heme.

An alternative enrichment method for 3NT-modified proteins, which is based on diagonal chromatographic separations, was recently reported (Brown and Hartley 1966, Ghesquiere et al. 2009). Combined fractional diagonal chromatography (COFRADIC) is a technique that recognizes the differences in hydrophilicity of 3NT- and 3AT-modified peptides in reversed-phase chromatography. Peptide samples are subject to a one-dimensional (1D) reversed-phase separation in which several offline fractions are collected. Each fraction is subsequently reduced so that the 3NT residues are converted to 3AT residues. Direct liquid chromatography (LC) analysis of the 3AT peptide samples results in a shift in retention time due to the hydrophilic nature of the peptides relative to the original LC analysis of the 3NT peptides. COFRADIC is designed to be a targeted analysis of 3NT modifications by focusing only on peptides that shift in retention time. As this is not a direct enrichment method, it does provide a straightforward means of identifying nitrated proteins in complex mixtures. A major observation from the application of COFRADIC to Jurkat cell lines was the detection of sulfated 3NT residues that arise due to a side reaction that occurs with the use of sodium dithionite during the reduction step. Thus, database search parameters should include sulfation as an additional dynamic modification of nitrated tyrosine residues.

Quantitative proteomics

Antibodies and gel electrophoresis-based methods

Enzyme-linked immunosorbent assay (ELISA) is a traditional method to quantify nitrated proteins using anti-3NT antibodies (Oldreive et al. 2001). ELISA assays have been applied to quantitate 3NT in human plasma (Khan et al. 1998, Wayenberg et al. 2009), brain of traumatic injury patients (Bayir et al. 2007), plasma from diabetic patients (Ceriello et al. 2001), and plasma from smokers with chronic obstructive pulmonary disease (Jin et al. 2011). Quantitation of protein-bound 3NT has also been reported using ELISA analysis of human serum plasma (Weber et al. 2012) and can achieve a detection limit of 20 nmol/l (Qu et al. 2003). A challenge of ELISA quantification occurs due to the limited availability of highly specific antibodies (Pan et al. 2009), potentially resulting in underestimation of nitration levels. Additionally, the nature (e.g., monoclonal, polyclonal) and source (e.g., vendor) of the antibody and location of the 3NT modification can influence the recognition of 3NT-modified proteins (Duncan 2003). Limitations with antibodies are not specific to 3NT or 3NT-based ELISA methods as will be discussed below.

Redox proteomics approaches for high-throughput 3NT detection were initiated through gel electrophoresis-based measurements (Righetti et al. 2008). Figure 3 gives an overview of the gel-based approach. 2D gel electrophoresis separations are based on a first-dimension separation in which proteins migrate through the gel according to relative mobility (and hence MW) and a second-dimension separation based on migration to the protein isoelectric point. For comparative analyses, individual 2D gels are prepared for control and experimental samples. Detection of protein spots can be achieved with fluorescence (Van den Bergh and Arckens 2004), chemiluminescence (Liu et al. 2009), or colorimetric assays such as Coomassie blue and silver staining (Patton 2002). At this stage, only information about the total protein abundance is obtained.

Figure 3 Schematic of general workflows for quantitative proteomic studies of nitrated proteins. Note that 3NT sites are identified by triangles.
Figure 3

Schematic of general workflows for quantitative proteomic studies of nitrated proteins. Note that 3NT sites are identified by triangles.

For targeted analysis of 3NT-modified proteins, the proteins in the gel are transferred to a nitrocellulose or PVDF membrane such that the 2D blot can be probed with an anti-3NT antibody (Viera et al. 1999) and scanned with an image reader. In this Western analysis, only protein bands that contain 3NT should appear on the blot and be indicative of the relative concentration of the 3NT-modified protein. Normalization is used to compare the 3NT signal from the blot to the total protein signal on the 2D gel prior to comparisons between the control and the experimental samples. The Western blot image serves to locate the nitrated proteins and provide quantification; however, it does not provide identification of the protein spot. Thus, the Western blot and 2D gel must be aligned, and the protein spots of interest are excised, digested, and analyzed with MS. Examples of the application of this gel-based Western analysis include studies of undernourished rats (Franco Mdo et al. 2004), nitration levels of manganese superoxide dismutase in liver (Guo et al. 2003), and cystic fibrosis in lungs (Morrissey et al. 2002).

Gel-based approaches are very attractive because they are robust, allow detection of up to thousands of protein spots, and can be targeted for specific PTMs such as 3NT. However, there are some challenges with this approach, which require further development. For example, sample preparation steps that incorporate DTT can cause reduction of 3NT-modified proteins (to 3AT) in the presence of heme found in many biological samples (Soderling et al. 2007). This contributes to underestimation of nitrated protein levels. Site-specific information about the location of the 3NT modification can only be obtained through MS detection of the excised spot (Duncan 2003); however, MS analysis of peptides often miss the nitrated peptides. In addition, protein solubility of 3NT-modified proteins in gel-based buffers may not be complete, providing limited abundance or no abundance information (Duncan 2003, Bigelow and Qian 2008). Finally, antibody specificity as noted above and high background signals from antibodies in the blots can mask low-level nitrated proteins (Wisastra et al. 2011).

Label-free methods

Label-free methods of quantification in proteomics, as implied, do not use chemical tagging of the nitro group. Quantification is achieved through protein abundance index (Zhu et al. 2010), MS/MS spectral counts (Liu et al. 2004), or extracted ion intensity (based on peak heights or areas) (Smith et al. 2002, Bantscheff et al. 2007) after LC-MS/MS analyses as shown in Figure 3. These methods are advantageous because they are simple, inexpensive, and require minimal sample preparation in comparison to chemical tagging approaches. Additionally, it is possible to analyze an unlimited number of samples with label-free methods. However, with each additional sample the overall throughput of the approach is lessened, thus making multiplexing approaches attractive.

The native reference peptide method is capable of quantifying 3NT by comparing the peak area of nitrated peptides to a selected peptide present in the mixture (Willard et al. 2003). Ideal characteristics concerning the choice of the reference peptide have been previously described (Ruse et al. 2002). Briefly, the peptide must be inherent in the digest mixture, contain no potentially modifiable residues, have high digestion efficiency, and have similar chromatographic retention times and detector responses to the 3NT peptide of interest. Overall these characteristics result in an internal peptide standard that is inherent in the original digest. Native reference peptides selected from in vitro nitrated albumin resulted in a 10% relative standard deviation and femtomole detection limit of nitrated peptides (Ruse et al. 2002).

Stable isotope dilution, which relies on spiking known concentrations of heavy isotope 3NT into a hydrolyzed protein sample (i.e., a mixture of free amino acids), can provide absolute quantitative information. Selected ion monitoring of heavy isotope peaks, using a triple quadrupole MS, allow detection limits of 3NT as low as 5 pg in reported nitration studies of human urine (Chen and Chiu 2008). Although this method gives insight to the global levels of 3NT in the mixture it lacks site- and protein-specific detail, which is important for complete characterization of 3NT-modified proteins.

Nitrated peptides upon gas-phase fragmentation result in a peak at m/z 181.1, which is the immonium ion of nitrotyrosine (Danielson et al. 2009). Selected (SRM) or multiple reaction monitoring (MRM) allows selective detection of fragments from nitrated peptides by scanning the Q3 of a triple quadrupole MS in a collision-induced dissociation experiment. Peak areas from the signature fragments are compared to that from reference peptides and are indicative of the relative concentrations of the 3NT-modified peptides and hence proteins. Using MRM, levels of 3NT-modified peptides from α-synuclein have been characterized in PD (Danielson et al. 2009). SRM analyses have also revealed 11 3NT sites in human hemoglobin obtained from cigarette smokers, suggesting that in vivo ONOO- levels are higher in smokers (Chen and Chen 2012).

Precursor labeling

Complementary or alternative MS-based methods to gel-based approaches have been developed in the past two decades and are attractive due to multiplexing capabilities (Aebersold and Mann 2003). As described in Figure 3, sample multiplexing with bottom-up proteomics methods can be achieved with precursor or isobaric tags at the MS (Xie et al. 2011) and MS/MS spectral levels. Recent detailed reviews covering MS-based quantitative proteomic methods have been presented (Bantscheff et al. 2012, Wasinger et al. 2013). Using enzymes such as trypsin, 3NT-modified proteins can be digested to create a mixture of peptides (e.g., modified and unmodified). Primary amine groups found in lysine, N-termini, or 3AT residues can be manipulated to incorporate chemical groups using acetylation (Riggs et al. 2005) or dimethylation (Boersema et al. 2008) that can contain stable isotopes (e.g., 2H and 13C atoms) (Bantscheff et al. 2007). Dependent on the nature of the chemical tag and heavy isotope incorporation, a total of two to three samples can be pooled and simultaneously measured in the LC-MS/MS experiment. As illustrated in Figure 3, the peptide peaks from light and heavy labeled samples elute from the LC column simultaneously and are detected in the mass spectrometer. This assumes that electrospray ionization of the peptides is similar and will not influence the final signal measured. Therefore the peaks are shifted in mass by the number of heavy isotopes incorporated into the tag, and the intensities or areas of the peptide peaks can be used for relative quantification.

Due to the reactivity of both primary amine groups in peptides and reduced 3NT to 3AT groups, it becomes necessary to block the amines of the N-termini and lysine residues on peptides in order to track the location of 3AT. Generally, precursor labeling uses the following major steps to make quantitative tagging selective for 3NT sites: 1) digest proteins to peptides, 2) block primary amines with acetyl (or other) groups, 3) reduce 3NT to 3AT, and 4) derivatize 3AT with a light or heavy isotope chemical tag. Figure 4A highlights the incorporation of a light or heavy (e.g., 2H3) 1-(6-methylnicotinoyloxy) succinimide reagent to 3AT residues (Tsumoto et al. 2010). The structure of this reagent contains a pyridine ring with a methyl group in the para position that has hydrogen atoms that can be exchanged for deuterium. A mass shift of 3 Da would result for every peptide containing a 3NT modification. Additionally, because peptides are capped with either a light or a heavy acetyl group at step 2, a global shift of 3 Da per acetyl group is observed for all peptides, and an additional 3 Da is observed per 3NT modification. Interestingly, the use of this nicotinoyloxy-based reagent results in higher ionization efficiencies for peptides generated with matrix-assisted laser desorption ionization and prevents photodecomposition with the laser (Tsumoto et al. 2010, Feeney and Schoneich 2013).

Figure 4 Example precursor quantification tags: (A) 1-(6-methylnicotinoyloxy)succinimide and (B) phenylisothiocyanate, which incorporate mass shifts of 3 and 5 Da, respectively.
Figure 4

Example precursor quantification tags: (A) 1-(6-methylnicotinoyloxy)succinimide and (B) phenylisothiocyanate, which incorporate mass shifts of 3 and 5 Da, respectively.

Derivatization of 3AT can also be performed using light or heavy (-2H5) phenylisothiocyanate depicted in Figure 4B (van Haandel et al. 2008). The structure of the tag contains heavy atoms that are incorporated in the phenyl ring, generating a mass shift of 5 Da and a reactive thiocyanate group to selectively target 3AT. Interestingly, the mechanism involves an intermolecular cyclization between the sulfur atom of thiourea and the hydroxyl group of tyrosine, which is the first reported transformation in aqueous media using photocatalysis. Due to the addition of deuterium atoms, the hydrophilic shift that can occur due to kinetic isotope effects (Zhang and Regnier 2002) was evaluated and its effects are negligible. For quantification purposes, this tag demonstrates precursor quantification capabilities and the potential use of signature fragments (m/z 116 and 121 for light and heavy tags, respectively) in SRM or MRM experiments. The presence of the signature fragment peaks also confirms 3NT-modification sites as the fragments are unique to the phenylisothiocyanate tag.

Isobaric tagging

A secondary approach to multiplexing techniques is the use of commercially available isobaric tags as shown in Figure 3. The most commonly used isobaric tags are tandem mass tags (TMTs) (Thompson et al. 2003) and the isobaric tag for relative and absolute quantification (iTRAQ) (Ross et al. 2004). TMT and iTRAQ tags are capable of multiplexing six or eight samples, respectively. A series of chemical tags that incorporate heavy isotopes of 13C, 15N, and 18O were created such that the overall mass of the tags is similar; however, upon gas-phase fragmentation specific low-m/z reporter ions (e.g., 126–131 for TMT) are generated. The reporter ion signals can be related to the relative abundances of the peptides from which they were cleaved. Because relative quantification occurs in MS/MS spectra, the increased complexity of precursor MS scans are avoided. A description on the advantages and disadvantages of isobaric tagging methods is provided (Christoforou and Lilley 2012). In addition, improvements to instrumental analysis to obtained accurate ratio reporting using isobaric tags is presented (Ting et al. 2011, Wenger et al. 2011). These methods should be included for future quantitation experiments using isobaric tags including the analysis of 3NT-modified proteins.

Few reports of isobaric tagging applications for 3NT modifications are reported. Quantification of nitrated peptides with isobaric tags was first demonstrated by Chiappetta et al. (2009) using mixtures of nitrated bovine serum albumin (BSA) and bovine milk proteins. After acetylation, 3AT BSA peptides were tagged with iTRAQ reagents and analyzed with precursor ion scanning using a triple quadrupole MS. The presence of iTRAQ fragment immonium ions at m/z 292.1 proved advantageous for confirming modification sites of low-abundance nitrated peptides. Additionally, this approach does not require time-consuming sample fractionation steps and provided accurate reporter ion quantification.

Robinson and Evans (2012) recently reported a novel quantitative approach termed combined precursor isotopic labeling and isobaric tagging (cPILOT). This method demonstrates the ability to selectively quantitate nitrated peptides and expands the quantification capacity of isobaric tags to either 12 or 16 for TMT and iTRAQ, respectively. An overview of the approach is shown in Figure 5. Similar to the approaches described above, acetylation is used to block primary amine groups using light or heavy (-2H3) N-acetoxysuccinimide reagents. Light or heavy labeled peptide mixtures can then be independently derivatized with TMT (or iTRAQ) reagents. The presented workflow offers a one-pot reaction scheme prior to pooling, which minimizes sample loss due to a single clean-up step prior to LC-MS/MS analysis.

Figure 5 Schematic representation of the chemical derivatization steps performed in the cPILOT strategy. Reprinted (adapted) with permission from: Robinson and Evans (2012). Copyright 2012, American Chemical Society.
Figure 5

Schematic representation of the chemical derivatization steps performed in the cPILOT strategy. Reprinted (adapted) with permission from: Robinson and Evans (2012). Copyright 2012, American Chemical Society.

Thus far, using BSA the cPILOT approach has demonstrated that a total of 12 samples can be multiplexed in a single analysis using TMT tags (Robinson and Evans 2012). Furthermore, the presence of reporter ions serves as a rapid indicator of nitrated peptides. The reaction chemistry works similarly for iTRAQ tags and thus presents a universal approach in which various precursor and isobaric tagging reagents can be used. Whereas this is an early proof-of-principle demonstration of the cPILOT approach, there were noted limitations with quantification that have been reported by others using isobaric tags as previously mentioned above (Ting et al. 2011, Wenger et al. 2011). Specifically, at the precursor level if there is overlap during the isolation of individual peaks (i.e., light and heavy labeled peptides), then the reporter ion signals observed in the MS/MS spectra may be inaccurate. Confirmation of precursor ion overlap was presented using iTRAQ reagents for light (m/z 113 and 115) and heavy (m/z 117 and 118) nitrated peptides, in which signals from all four reporter ions were observed in the light MS/MS spectra.

Current efforts in our laboratory have been focused on improving the quantitative accuracy of the cPILOT approach. To directly address the issue of precursor ion overlap, acetyl reagents that generate higher mass shifts in the precursor MS spectra have been employed as shown in Figure 6. In this example, nitrated BSA peptides after acetylation have a mass shift of 5 Da between light and heavy (13C2 and 2H3) precursor peaks. Due to the enhanced spacing, there should be no overlap in MS ion selection between light and heavy precursors. Improvements in quantification are observed using this approach. For example, the light and heavy MS/MS spectra generated for the doubly charged peptide (acetyl)NY(NH-TMT6)-QEAK(acetyl) show a 1.0:4.5 and 3.7:1.0 reporter ion ratio for m/z 130:131, respectively. Due to the accuracy of the ratios (which should be 1:4 and 4:1 for light and heavy, respectively), this demonstrates the applicability of increasing precursor mass shifts for reducing ion overlap while yet improving quantification. Also, the use of Lys C protease as opposed to trypsin results in all lysine terminated peptides ensuring at least two sites of acetylation (and thus a mass shift of 10 Da). We are continuing to improve upon cPILOT for identifying and quantifying nitrated peptides in our laboratory.

Figure 6 Chemical reaction of peptide primary amines with acetic anhydride (top). Example higher-energy collisional dissociation MS/MS spectra (zoom-in of lower m/z region) of BSA peptide whereby light (bottom left) and heavy (13C2, 2H3) (bottom right) peptide mixtures were tagged with TMT reagents that generate reporter ions at m/z 130 and 131. Theoretical ratios should be 1:4 and 4:1 (m/z 130:131) for light and heavy peptides, respectively.
Figure 6

Chemical reaction of peptide primary amines with acetic anhydride (top). Example higher-energy collisional dissociation MS/MS spectra (zoom-in of lower m/z region) of BSA peptide whereby light (bottom left) and heavy (13C2, 2H3) (bottom right) peptide mixtures were tagged with TMT reagents that generate reporter ions at m/z 130 and 131. Theoretical ratios should be 1:4 and 4:1 (m/z 130:131) for light and heavy peptides, respectively.

Conclusions and future outlook

Obtaining quantitative information for 3NT allows a better understanding of the role this PTM plays in biological systems. 3NT has been linked to neurodegenerative disorders, cancer, and cardiovascular disease and has been shown to impact protein function and potentially redox cellular signaling pathways. With the advent of proteomics for PTM investigation, there have been a number of reports focusing on qualitative information of 3NT-modified proteins obtained through targeted analyses or enrichment methods. There are fewer reports that address quantification of 3NT-modified proteins in complex mixtures. Perhaps this is partially attributable to the low abundance of this PTM in biological samples, which leads to a need for highly selective and sensitive analytical techniques. As a result, enrichment approaches, which rely on antibodies or other chemical tagging strategies, must continue to be developed to allow targeted analyses of nitrated proteins in complex biological samples. A number of these methods currently exist; however, limitations in antibody selection including nonspecific binding have prevented their widespread ability to identify large numbers of nitrated proteins. Gel-based redox proteomics methods offer targeted identification and relative quantification of nitrated proteins using 2D Western analysis, but also have similar issues that arise from antibody use such as high background signals and nonspecific binding of non-nitrated proteins. Furthermore, peptide loss during excision and digestion processes often limits the MS detection of nitrated peptides, preventing 3NT site-specific information. Currently, however, most of the approaches available have yet to provide large-scale identification and quantification of nitrated proteins in biological samples because a large percentage of total peptides detected in these experiments contain no site of nitration. This is notably a result of the challenges associated with the low abundance of this modification, sample loss during lengthy derivatization steps using chemical tags, and the complexity of samples of interest. Guidelines that help to strengthen the confidence in identification of nitrated peptides and proteins from MS data should also be adapted by many of these groups. Due to the importance of 3NT in numerous diseases, this research area will continue to be of great interest such that improved proteomics methods are desirable.


Corresponding author: Renã A.S. Robinson, Department of Chemistry, University of Pittsburgh, 200 University Drive, 111 Eberly Hall, Pittsburgh, PA 15260, USA

About the authors

Adam R. Evans

Adam Evans is a PhD candidate in Chemistry currently performing research under the direction of Dr. Renã Robinson at the University of Pittsburgh. His primary research focuses on developing quantitative proteomic techniques using mass spectrometry. His work has led to two publications in peer-reviewed journals. In addition to research, Adam has taught undergraduate chemistry courses throughout graduate school, earning multiple recognitions for excellence in teaching. He earned his BS in Chemistry from Thiel College in May 2009 with minor degrees in Mathematics and Physics.

Renã A.S. Robinson

Renã A.S. Robinson joined the Department of Chemistry at the University of Pittsburgh as an Assistant Professor in the fall of 2009. She received her BS in Chemistry from the University of Louisville in 2000, her PhD in chemistry from Indiana University in analytical chemistry in 2007, and served as a Lyman T. Johnson and UNCF/Merck postdoctoral fellow at the University of Kentucky until 2009. Currently, Professor Robinson mentors a group of graduate and undergraduate students with research focused on the development and application of proteomics techniques to study aspects of aging, immunity, and Alzheimer’s disease. She has authored over 30 peer-reviewed publications and four book chapters and was a recipient of the Society of Analytical Chemists Young Investigator Starter Award.

The authors acknowledge the University of Pittsburgh Start-Up Funds and the Society of Analytical Chemists in Pittsburgh for funds to support this work.

References

Abe, K.; Pan, L. H.; Watanabe, M.; Kato, T.; Itoyama, Y. Induction of nitrotyrosine-like immunoreactivity in the lower motor neuron of amyotrophic lateral sclerosis. Neurosci. Lett. 1995, 199, 152–154.Suche in Google Scholar

Abello, N.; Kerstjens, H. A.; Postma, D. S.; Bischoff, R. Protein tyrosine nitration: selectivity, physicochemical and biological consequences, denitration, and proteomics methods for the identification of tyrosine-nitrated proteins. J. Proteome Res. 2009, 8, 3222–3238.10.1021/pr900039cSuche in Google Scholar PubMed

Abello, N.; Barroso, B.; Kerstjens, H. A.; Postma, D. S.; Bischoff, R. Chemical labeling and enrichment of nitrotyrosine-containing peptides. Talanta 2010, 80, 1503–1512.Suche in Google Scholar

Adibhatla, R. M.; Hatcher, J. F. Lipid oxidation and peroxidation in CNS health and disease: from molecular mechanisms to therapeutic opportunities. Antioxid. Redox Signal. 2010, 12, 125–169.Suche in Google Scholar

Aebersold, R.; Mann, M. Mass spectrometry-based proteomics. Nature 2003, 422, 198–207.10.1038/nature01511Suche in Google Scholar PubMed

Aksenova, M.; Butterfield, D. A.; Zhang, S. X.; Underwood, M.; Geddes, J. W. Increased protein oxidation and decreased creatine kinase BB expression and activity after spinal cord contusion injury. J. Neurotrauma 2002, 19, 491–502.Suche in Google Scholar

Alvarez, B.; Radi, R. Peroxynitrite reactivity with amino acids and proteins. Amino Acids 2003, 25, 295–311.10.1007/s00726-003-0018-8Suche in Google Scholar PubMed

Amoresano, A.; Chiappetta, G.; Pucci, P.; D’Ischia, M.; Marino, G. Bidimensional tandem mass spectrometry for selective identification of nitration sites in proteins. Anal. Chem. 2007, 79, 2109–2117.Suche in Google Scholar

Armirotti, A.; Damonte, G. Achievements and perspectives of top-down proteomics. Proteomics 2010, 10, 3566–3576.10.1002/pmic.201000245Suche in Google Scholar PubMed

Azad, N.; Rojanasakul, Y.; Vallyathan, V. Inflammation and lung cancer: roles of reactive oxygen/nitrogen species. J. Toxicol. Environ. Health B Crit. Rev. 2008, 11, 1–15.Suche in Google Scholar

Bantscheff, M.; Schirle, M.; Sweetman, G.; Rick, J.; Kuster, B. Quantitative mass spectrometry in proteomics: a critical review. Anal. Bioanal. Chem. 2007, 389, 1017–1031.Suche in Google Scholar

Bantscheff, M.; Lemeer, S.; Savitski, M. M.; Kuster, B. Quantitative mass spectrometry in proteomics: critical review update from 2007 to the present. Anal. Bioanal. Chem. 2012, 404, 939–965.Suche in Google Scholar

Bayden, A. S.; Yakovlev, V. A.; Graves, P. R.; Mikkelsen, R. B.; Kellogg, G. E. Factors influencing protein tyrosine nitration-structure-based predictive models. Free Radic. Biol. Med. 2011, 50, 749–762.Suche in Google Scholar

Bayir, H.; Kagan, V. E.; Clark, R. S.; Janesko-Feldman, K.; Rafikov, R.; Huang, Z.; Zhang, X.; Vagni, V.; Billiar, T. R.; Kochanek, P. M. Neuronal NOS-mediated nitration and inactivation of manganese superoxide dismutase in brain after experimental and human brain injury. J. Neurochem. 2007, 101, 168–181.Suche in Google Scholar

Bigelow, D. J.; Qian, W. J. Quantitative proteome mapping of nitrotyrosines. Methods Enzymol. 2008, 440, 191–205.Suche in Google Scholar

Birnboim, H. C.; Lemay, A. M.; Lam, D. K.; Goldstein, R.; Webb, J. R. Cutting edge: MHC class II-restricted peptides containing the inflammation-associated marker 3-nitrotyrosine evade central tolerance and elicit a robust cell-mediated immune response. J. Immunol. 2003, 171, 528–532.Suche in Google Scholar

Blackstock, W. P.; Weir, M. P. Proteomics: quantitative and physical mapping of cellular proteins. Trends Biotechnol. 1999, 17, 121–127.Suche in Google Scholar

Boersema, P. J.; Aye, T. T.; van Veen, T. A.; Heck, A. J.; Mohammed, S. Triplex protein quantification based on stable isotope labeling by peptide dimethylation applied to cell and tissue lysates. Proteomics 2008, 8, 4624–4632.Suche in Google Scholar

Bronte, V.; Kasic, T.; Gri, G.; Gallana, K.; Borsellino, G.; Marigo, I.; Battistini, L.; Iafrate, M.; Prayer-Galetti, T.; Pagano, F.; Viola, A. Boosting antitumor responses of T lymphocytes infiltrating human prostate cancers. J. Exp. Med. 2005, 201, 1257–1268.Suche in Google Scholar

Brown, J. R.; Hartley, B. S. Location of disulphide bridges by diagonal paper electrophoresis. The disulphide bridges of bovine chymotrypsinogen A. Biochem. J. 1966, 101, 214–228.Suche in Google Scholar

Browne, S. E.; Ferrante, R. J.; Beal, M. F. Oxidative stress in Huntington’s disease. Brain Pathol. 1999, 9, 147–163.Suche in Google Scholar

Bubber, P.; Haroutunian, V.; Fisch, G.; Blass, J. P.; Gibson, G. E. Mitochondrial abnormalities in Alzheimer brain: mechanistic implications. Ann. Neurol. 2005, 57, 695–703.Suche in Google Scholar

Butterfield, D. A.; Dalle-Donne, I. Redox proteomics. Antioxid. Redox Signal. 2012, 17, 1487–1489.Suche in Google Scholar

Butterfield, D. A.; Reed, T.; Newman, S. F.; Sultana, R. Roles of amyloid beta-peptide-associated oxidative stress and brain protein modifications in the pathogenesis of Alzheimer’s disease and mild cognitive impairment. Free Radic. Biol. Med. 2007, 43, 658–677.Suche in Google Scholar

Butterfield, D. A.; Reed, T.; Sultana, R. Roles of 3-nitrotyrosine- and 4-hydroxynonenal-modified brain proteins in the progression and pathogenesis of Alzheimer’s disease. Free Radic. Res. 2011, 45, 59–72.Suche in Google Scholar

Butterfield, D. A.; Perluigi, M.; Reed, T.; Muharib, T.; Hughes, C. P.; Robinson, R. A.; Sultana, R. Redox proteomics in selected neurodegenerative disorders: from its infancy to future applications. Antioxid. Redox Signal. 2012, 17, 1610–1655.Suche in Google Scholar

Butterfield, D. A.; Gu, L.; Domenico, F. D.; Robinson, R. A. S. The role of mass spectrometry in redox proteomics. Mass Spectrom. Rev. (in press).Suche in Google Scholar

Casagrande, S.; Bonetto, V.; Fratelli, M.; Gianazza, E.; Eberini, I.; Massignan, T.; Salmona, M.; Chang, G.; Holmgren, A.; Ghezzi, P. Glutathionylation of human thioredoxin: a possible crosstalk between the glutathione and thioredoxin systems. Proc. Natl. Acad. Sci. USA 2002, 99, 9745–9749.Suche in Google Scholar

Castegna, A.; Thongboonkerd, V.; Klein, J. B.; Lynn, B.; Markesbery, W. R.; Butterfield, D. A. Proteomic identification of nitrated proteins in Alzheimer’s disease brain. J. Neurochem. 2003, 85, 1394–1401.Suche in Google Scholar

Castegna, A.; Lauderback, C. M.; Mohmmad-Abdul, H.; Butterfield, D. A. Modulation of phospholipid asymmetry in synaptosomal membranes by the lipid peroxidation products, 4-hydroxynonenal and acrolein: implications for Alzheimer’s disease. Brain Res. 2004, 1004, 193–197.Suche in Google Scholar

Ceriello, A.; Mercuri, F.; Quagliaro, L.; Assaloni, R.; Motz, E.; Tonutti, L.; Taboga, C. Detection of nitrotyrosine in the diabetic plasma: evidence of oxidative stress. Diabetologia 2001, 44, 834–838.Suche in Google Scholar

Chen, H. J.; Chen, Y. C. Reactive nitrogen oxide species-induced post-translational modifications in human hemoglobin and the association with cigarette smoking. Anal. Chem. 2012, 84, 7881–7890.Suche in Google Scholar

Chen, H. J.; Chiu, W. L. Simultaneous detection and quantification of 3-nitrotyrosine and 3-bromotyrosine in human urine by stable isotope dilution liquid chromatography tandem mass spectrometry. Toxicol. Lett. 2008, 181, 31–39.Suche in Google Scholar

Chiappetta, G.; Corbo, C.; Palmese, A.; Galli, F.; Piroddi, M.; Marino, G.; Amoresano, A. Quantitative identification of protein nitration sites. Proteomics 2009, 9, 1524–1537.Suche in Google Scholar

Christoforou, A. L.; Lilley, K. S. Isobaric tagging approaches in quantitative proteomics: the ups and downs. Anal. Bioanal. Chem. 2012, 404, 1029–1037.Suche in Google Scholar

Coleman, P. D.; Flood, D. G. Neuron numbers and dendritic extent in normal aging and Alzheimer’s disease. Neurobiol. Aging 1987, 8, 521–545.Suche in Google Scholar

Cookson, M. R.; Shaw, P. J. Oxidative stress and motor neurone disease. Brain Pathol. 1999, 9, 165–186.Suche in Google Scholar

Dalle-Donne, I.; Scaloni, A.; Butterfield, D. A. Redox Proteomics: From Protein Modifications to Cellular Dysfunction and Diseases; John Wiley and Sons: Hoboken, NJ, 2006.10.1002/0471973122Suche in Google Scholar

Danielson, S. R.; Held, J. M.; Schilling, B.; Oo, M.; Gibson, B. W.; Andersen, J. K. Preferentially increased nitration of alpha-synuclein at tyrosine-39 in a cellular oxidative model of Parkinson’s disease. Anal. Chem. 2009, 81, 7823–7828.Suche in Google Scholar

Dekker, F.; Abello, N.; Wisastra, R.; Bischoff, R. Enrichment and detection of tyrosine-nitrated proteins. Curr. Protocols Protein Sci. 2012, 69, 14.13.1–14.13.19.Suche in Google Scholar

Dremina, E. S.; Li, X.; Galeva, N. A.; Sharov, V. S.; Stobaugh, J. F.; Schoneich, C. A methodology for simultaneous fluorogenic derivatization and boronate affinity enrichment of 3-nitrotyrosine-containing peptides. Anal. Biochem. 2011, 418, 184–196.Suche in Google Scholar

Duncan, M. W. A review of approaches to the analysis of 3-nitrotyrosine. Amino Acids 2003, 25, 351–361.10.1007/s00726-003-0022-zSuche in Google Scholar PubMed

Feeney, M. B.; Schoneich, C. Tyrosine modifications in aging. Antioxid. Redox Signal. 2012, 17, 1571–1579.10.1089/ars.2012.4595Suche in Google Scholar PubMed PubMed Central

Feeney, M. B.; Schoneich, C. Proteomic approaches to analyze protein tyrosine nitration. Antioxid. Redox Signal. 2013, 1–10.Suche in Google Scholar

Ferrante, R. J.; Shinobu, L. A.; Schulz, J. B.; Matthews, R. T.; Thomas, C. E.; Kowall, N. W.; Gurney, M. E.; Beal, M. F. Increased 3-nitrotyrosine and oxidative damage in mice with a human copper/zinc superoxide dismutase mutation. Ann. Neurol. 1997, 42, 326–334.Suche in Google Scholar

Franco Mdo, C.; Fortes, Z. B.; Akamine, E. H.; Kawamoto, E. M.; Scavone, C.; de Britto, L. R.; Muscara, M. N.; Teixeira, S. A.; Tostes, R. C.; Carvalho, M. H.; Nigro, D. Tetrahydrobiopterin improves endothelial dysfunction and vascular oxidative stress in microvessels of intrauterine undernourished rats. J. Physiol. 2004, 558 (Pt 1), 239–248.Suche in Google Scholar

Frost, M. T.; Halliwell, B.; Moore, K. P. Analysis of free and protein-bound nitrotyrosine in human plasma by a gas chromatography/mass spectrometry method that avoids nitration artifacts. Biochem. J. 2000, 345 (Pt 3), 453–458.Suche in Google Scholar

Ghesquiere, B.; Colaert, N.; Helsens, K.; Dejager, L.; Vanhaute, C.; Verleysen, K.; Kas, K.; Timmerman, E.; Goethals, M.; Libert, C.; Vandekerckhove, J.; Gevaert, K. In vitro and in vivo protein-bound tyrosine nitration characterized by diagonal chromatography. Mol. Cell. Proteomics 2009, 8, 2642–2652.Suche in Google Scholar

Good, P. F.; Hsu, A.; Werner, P.; Perl, D. P.; Olanow, C. W. Protein nitration in Parkinson’s disease. J. Neuropathol. Exp. Neurol. 1998, 57, 338–342.10.1097/00005072-199804000-00006Suche in Google Scholar PubMed

Guo, W.; Adachi, T.; Matsui, R.; Xu, S.; Jiang, B.; Zou, M. H.; Kirber, M.; Lieberthal, W.; Cohen, R. A. Quantitative assessment of tyrosine nitration of manganese superoxide dismutase in angiotensin II-infused rat kidney. Am. J. Physiol. Heart Circ. Physiol. 2003, 285, H1396–H1403.Suche in Google Scholar

Halejcia-Delophont, P.; Hoshiai, K.; Fukuyama, N.; Nakazawa, H. No evidence of NO-induced damage in potential donor organs after brain death. J. Heart Lung Transplant. 2001, 20, 71–79.Suche in Google Scholar

Han, X.; Aslanian, A.; Yates, J. R. 3rd. Mass spectrometry for proteomics. Curr. Opin. Chem. Biol. 2008, 12, 483–490.10.1016/j.cbpa.2008.07.024Suche in Google Scholar PubMed PubMed Central

Helman, M.; Givol, D. Isolation of nitrotyrosine-containing peptides by using an insoluble-antibody column. Biochem. J. 1971, 125, 971–974.Suche in Google Scholar

Horiguchi, T.; Uryu, K.; Giasson, B. I.; Ischiropoulos, H.; LightFoot, R.; Bellmann, C.; Richter-Landsberg, C.; Lee, V. M.; Trojanowski, J. Q. Nitration of tau protein is linked to neurodegeneration in tauopathies. Am. J. Pathol. 2003, 163, 1021–1031.Suche in Google Scholar

Jin, H.; Webb-Robertson, B. J.; Peterson, E. S.; Tan, R.; Bigelow, D. J.; Scholand, M. B.; Hoidal, J. R.; Pounds, J. G.; Zangar, R. C. Smoking, COPD, and 3-nitrotyrosine levels of plasma proteins. Environ. Health Perspect. 2011, 119, 1314–1320.Suche in Google Scholar

Jovanovic, S. V.; Clements, D.; MacLeod, K. Biomarkers of oxidative stress are significantly elevated in Down syndrome. Free Radic. Biol. Med. 1998, 25, 1044–1048.Suche in Google Scholar

Kaur, H.; Halliwell, B. Evidence for nitric oxide-mediated oxidative damage in chronic inflammation. Nitrotyrosine in serum and synovial fluid from rheumatoid patients. FEBS Lett. 1994, 350, 9–12.Suche in Google Scholar

Kaur, H.; Lyras, L.; Jenner, P.; Halliwell, B. Artefacts in HPLC detection of 3-nitrotyrosine in human brain tissue. J. Neurochem. 1998, 70, 2220–2223.Suche in Google Scholar

Khan, J.; Brennand, D. M.; Bradley, N.; Gao, B.; Bruckdorfer, R.; Jacobs, M. 3-Nitrotyrosine in the proteins of human plasma determined by an ELISA method. Biochem. J. 1998, 330 (Pt 2), 795–801.Suche in Google Scholar

Kim, J. K.; Lee, J. R.; Kang, J. W.; Lee, S. J.; Shin, G. C.; Yeo, W. S.; Kim, K. H.; Park, H. S.; Kim, K. P. Selective enrichment and mass spectrometric identification of nitrated peptides using fluorinated carbon tags. Anal. Chem. 2011, 83, 157–163.Suche in Google Scholar

Kissner, R.; Nauser, T.; Bugnon, P.; Lye, P. G.; Koppenol, W. H. Formation and properties of peroxynitrite as studied by laser flash photolysis, high-pressure stopped-flow technique, and pulse radiolysis. Chem. Res. Toxicol. 1997, 10, 1285–1292.Suche in Google Scholar

Kong, S. K.; Yim, M. B.; Stadtman, E. R.; Chock, P. B. Peroxynitrite disables the tyrosine phosphorylation regulatory mechanism: lymphocyte-specific tyrosine kinase fails to phosphorylate nitrated cdc2(6-20)NH2 peptide. Proc. Natl. Acad. Sci. USA 1996, 93, 3377–3382.Suche in Google Scholar

Lee, J. R.; Kim, J. K.; Lee, S. J.; Kim, K. P. Role of protein tyrosine nitration in neurodegenerative diseases and atherosclerosis. Arch. Pharm. Res. 2009a, 32, 1109–1118.Suche in Google Scholar

Lee, J. R.; Lee, S. J.; Kim, T. W.; Kim, J. K.; Park, H. S.; Kim, D. E.; Kim, K. P.; Yeo, W. S. Chemical approach for specific enrichment and mass analysis of nitrated peptides. Anal. Chem. 2009b, 81, 6620–6626.Suche in Google Scholar

Leeuwenburgh, C.; Hardy, M. M.; Hazen, S. L.; Wagner, P.; Oh-ishi,S.; Steinbrecher, U. P.; Heinecke, J. W. Reactive nitrogen intermediates promote low density lipoprotein oxidation in human atherosclerotic intima. J. Biol. Chem. 1997, 272, 1433–1436.Suche in Google Scholar

Li, B.; Held, J. M.; Schilling, B.; Danielson, S. R.; Gibson, B. W. Confident identification of 3-nitrotyrosine modifications in mass spectral data across multiple mass spectrometry platforms. J. Proteomics 2011, 74, 2510–2521.Suche in Google Scholar

Liu, H.; Sadygov, R. G.; Yates, J. R. 3rd. A model for random sampling and estimation of relative protein abundance in shotgun proteomics. Anal. Chem. 2004, 76, 4193–4201.Suche in Google Scholar

Liu, F.; Xiong, J.; Huang, G. Y.; Wang, W. [Study on the underlying mechanism of acupuncture in regulating neuroendocrine activity in dysmenorrhea rats]. Zhen Ci Yan Jiu 2009, 34, 3–8.Suche in Google Scholar

Marshall, A.; Lutfeaili, R.; Raval, A.; Chakravarti, D. N.; Chakravarti, B. Differential hepatic protein tyrosine nitration of mouse due to aging – effect on mitochondrial energy metabolism, quality control machinery of the endoplasmic reticulum and metabolism of drugs. Biochem. Biophys. Res. Commun. 2013, 430, 231–235.Suche in Google Scholar

Mazzola, J. L.; Sirover, M. A. Reduction of glyceraldehyde-3-phosphate dehydrogenase activity in Alzheimer’s disease and in Huntington’s disease fibroblasts. J. Neurochem. 2001, 76, 442–429.Suche in Google Scholar

Monteiro, H. P.; Arai, R. J.; Travassos, L. R. Protein tyrosine phosphorylation and protein tyrosine nitration in redox signaling. Antioxid. Redox Signal. 2008, 10, 843–889.Suche in Google Scholar

Morrissey, B. M.; Schilling, K.; Weil, J. V.; Silkoff, P. E.; Rodman, D. M. Nitric oxide and protein nitration in the cystic fibrosis airway. Arch. Biochem. Biophys. 2002, 406, 33–39.Suche in Google Scholar

Nemirovskiy, O. V.; Radabaugh, M. R.; Aggarwal, P.; Funckes-Shippy, C. L.; Mnich, S. J.; Meyer, D. M.; Sunyer, T.; Rodney Mathews, W.; Misko, T. P. Plasma 3-nitrotyrosine is a biomarker in animal models of arthritis: pharmacological dissection of iNOS’ role in disease. Nitric Oxide 2009, 20, 150–156.Suche in Google Scholar

Nikov, G.; Bhat, V.; Wishnok, J. S.; Tannenbaum, S. R. Analysis of nitrated proteins by nitrotyrosine-specific affinity probes and mass spectrometry. Anal. Biochem. 2003, 320, 214–222.Suche in Google Scholar

Nuriel, T.; Deeb, R. S.; Hajjar, D. P.; Gross, S. S. Protein 3-nitrotyrosine in complex biological samples: quantification by high-pressure liquid chromatography/electrochemical detection and emergence of proteomic approaches for unbiased identification of modification sites. Methods Enzymol. 2008, 441, 1–17.Suche in Google Scholar

Ohshima, H.; Friesen, M.; Brouet, I.; Bartsch, H. Nitrotyrosine as a new marker for endogenous nitrosation and nitration of proteins. Food Chem. Toxicol. 1990, 28, 647–652.Suche in Google Scholar

Oldreive, C.; Bradley, N.; Bruckdorfer, R.; Rice-Evans, C. Lack of influence of dietary nitrate/nitrite on plasma nitrotyrosine levels measured using a competitive inhibition of binding ELISA assay. Free Radic. Res. 2001, 35, 377–386.Suche in Google Scholar

Pacher, P.; Beckman, J. S.; Liaudet, L. Nitric oxide and peroxynitrite in health and disease. Physiol. Rev. 2007, 87, 315–424.Suche in Google Scholar

Pan, S.; Aebersold, R.; Chen, R.; Rush, J.; Goodlett, D. R.; McIntosh, M. W.; Zhang, J.; Brentnall, T. A. Mass spectrometry based targeted protein quantification: methods and applications. J. Proteome Res. 2009, 8, 787–797.Suche in Google Scholar

Pannala, A. S.; Mani, A. R.; Spencer, J. P.; Skinner, V.; Bruckdorfer, K. R.; Moore, K. P.; Rice-Evans, C. A. The effect of dietary nitrate on salivary, plasma, and urinary nitrate metabolism in humans. Free Radic. Biol. Med. 2003, 34, 576–584.Suche in Google Scholar

Patton, W. F. Detection technologies in proteome analysis. J. Chromatogr. B Analyt. Technol. Biomed. Life Sci. 2002, 771, 3–31.Suche in Google Scholar

Pavlovic, R. S. E.; Chiesa, L. M.; Biandi, P. A. New procedure for the determination of 3-nitrotyrosine in plasma by GC-ECD. Chromatographia 2009, 70, 637–641.Suche in Google Scholar

Peluffo, G.; Radi, R. Biochemistry of protein tyrosine nitration in cardiovascular pathology. Cardiovasc. Res. 2007, 75, 291–302.Suche in Google Scholar

Petruzzelli, S.; Puntoni, R.; Mimotti, P.; Pulera, N.; Baliva, F.; Fornai, E.; Giuntini, C. Plasma 3-nitrotyrosine in cigarette smokers. Am. J. Respir. Crit. Care Med. 1997, 156, 1902–1907.10.1164/ajrccm.156.6.9702075Suche in Google Scholar PubMed

Qu, L. N.; Yang, T. B.; Yuan, Y. H.; Zhong, P.; Yang, B.; Zhao, H. A novel competitive ELISA for both free and protein-bound nitrotyrosine. Hybrid. Hybridomics 2003, 22, 401–406.Suche in Google Scholar

Radi, R. Nitric oxide, oxidants, and protein tyrosine nitration. Proc. Natl. Acad. Sci. USA 2004, 101, 4003–4008.10.1073/pnas.0307446101Suche in Google Scholar PubMed PubMed Central

Radi, R. Protein tyrosine nitration: biochemical mechanisms and structural basis of functional effects. Acc. Chem. Res. 2013, 46, 550–559.Suche in Google Scholar

Reed, T. T.; Pierce, W. M. Jr.; Turner, D. M.; Markesbery, W. R.; Butterfield, D. A. Proteomic identification of nitrated brain proteins in early Alzheimer’s disease inferior parietal lobule. J. Cell. Mol. Med. 2009, 13, 2019–2029.Suche in Google Scholar

Reynolds, M. R.; Berry, R. W.; Binder, L. I. Nitration in neurodegeneration: deciphering the “Hows” “nYs”. Biochemistry 2007, 46, 7325–7336.Suche in Google Scholar

Riggs, L.; Seeley, E. H.; Regnier, F. E. Quantification of phosphoproteins with global internal standard technology. J. Chromatogr. B Analyt. Technol. Biomed. Life Sci. 2005, 817, 89–96.10.1016/j.jchromb.2004.04.037Suche in Google Scholar PubMed

Righetti, P. G.; Antonioli, P.; Simo, C.; Citterio, A. Gel-based proteomics. In: Plant Proteomics: Technologies, Strategies, and Applications. Agrawal, G. K.; Rakwal, R., Eds. John Wiley and Sons Inc.: Hoboken, NJ, USA, 2008, pp. 9–31.Suche in Google Scholar

Robinson, R. A.; Evans, A. R. Enhanced sample multiplexing for nitrotyrosine-modified proteins using combined precursor isotopic labeling and isobaric tagging. Anal. Chem. 2012, 84, 4677–4686.Suche in Google Scholar

Ross, P. L.; Huang, Y. N.; Marchese, J. N.; Williamson, B.; Parker, K.; Hattan, S.; Khainovski, N.; Pillai, S.; Dey, S.; Daniels, S.; Purkayastha, S.; Juhasz, P.; Martin, S.; Bartlet-Jones, M.; He, F.; Jacobson, A.; Pappin, D. J. Multiplexed protein quantitation in Saccharomyces cerevisiae using amine-reactive isobaric tagging reagents. Mol. Cell. Proteomics 2004, 3, 1154–1169.Suche in Google Scholar

Rubbo, H.; Radi, R. Protein and lipid nitration: role in redox signaling and injury. Biochim. Biophys. Acta 2008, 1780, 1318–1324.10.1016/j.bbagen.2008.03.007Suche in Google Scholar PubMed

Ruse, C. I.; Willard, B.; Jin, J. P.; Haas, T.; Kinter, M.; Bond, M. Quantitative dynamics of site-specific protein phosphorylation determined using liquid chromatography electrospray ionization mass spectrometry. Anal. Chem. 2002, 74, 1658–1664.Suche in Google Scholar

Ryberg, H.; Caidahl, K. Chromatographic and mass spectrometric methods for quantitative determination of 3-nitrotyrosine in biological samples and their application to human samples. J. Chromatogr. B Analyt. Technol. Biomed. Life Sci. 2007, 851, 160–171.Suche in Google Scholar

Sandhu, J. K.; Robertson, S.; Birnboim, H. C.; Goldstein, R. Distribution of protein nitrotyrosine in synovial tissues of patients with rheumatoid arthritis and osteoarthritis. J. Rheumatol. 2003, 30, 1173–1181.Suche in Google Scholar

Sharov, V. S.; Dremina, E. S.; Pennington, J.; Killmer, J.; Asmus, C.; Thorson, M.; Hong, S. J.; Li, X.; Stobaugh, J. F.; Schoneich, C. Selective fluorogenic derivatization of 3-nitrotyrosine and 3,4-dihydroxyphenylalanine in peptides: a method designed for quantitative proteomic analysis. Methods Enzymol. 2008, 441, 19–32.Suche in Google Scholar

Sharov, V. S.; Dremina, E. S.; Galeva, N. A.; Gerstenecker, G. S.; Li, X.; Dobrowsky, R. T.; Stobaugh, J. F.; Schöneich, C. Fluorogenic tagging of peptide and protein 3-nitrotyrosine with 4-(aminomethyl)-benzenesulfonic acid for quantitative analysis of protein tyrosine nitration. Chromatographia 2010, 71, 37–53.Suche in Google Scholar

Sly, W. S.; Hu, P. Y. Human carbonic anhydrases and carbonic anhydrase deficiencies. Ann. Review Biochem. 1995, 64, 375–401.Suche in Google Scholar

Smith, R. D.; Anderson, G. A.; Lipton, M. S.; Pasa-Tolic, L.; Shen, Y.; Conrads, T. P.; Veenstra, T. D.; Udseth, H. R. An accurate mass tag strategy for quantitative and high-throughput proteome measurements. Proteomics 2002, 2, 513–523.Suche in Google Scholar

Soderling, A. S.; Hultman, L.; Delbro, D.; Hojrup, P.; Caidahl, K. Reduction of the nitro group during sample preparation may cause underestimation of the nitration level in 3-nitrotyrosine immunoblotting. J. Chromatogr. B Analyt. Technol. Biomed. Life Sci. 2007, 851, 277–286.Suche in Google Scholar

Sokolovsky, M.; Riordan, J. F.; Vallee, B. L. Conversion of 3-nitrotyrosine to 3-aminotyrosine in peptides and proteins. Biochem. Biophys. Res. Commun. 1967, 27, 20–25.Suche in Google Scholar

Souza, J. M.; Peluffo, G.; Radi, R. Protein tyrosine nitration--functional alteration or just a biomarker? Free Radic. Biol. Med. 2008, 45, 357–366.Suche in Google Scholar

Sowell, R. A.; Butterfield, D. A. Insights from proteomics into mild cognitive impairment, likely the earliest stage of Alzheimer’s disease. In Cognitive Impairment: Causes, Diagnosis and Treatment. Landow, M. L., Ed. Nova Science Publishers Inc: Hauppauge, NY, 2010.Suche in Google Scholar

Spickett, C. M.; Pitt, A. R. Protein oxidation: role in signalling and detection by mass spectrometry. Amino Acids 2012, 42, 5–21.Suche in Google Scholar

Squier, T. C. Oxidative stress and protein aggregation during biological aging. Exp. Gerontol. 2001, 36, 1539–1550.Suche in Google Scholar

Sucu, N.; Unlu, A.; Tamer, L.; Aytacoglu, B.; Ercan, B.; Dikmengil, M.; Atik, U. 3-Nitrotyrosine in atherosclerotic blood vessels. Clin. Chem. Lab. Med 2003, 41, 23–25.Suche in Google Scholar

Sugiura, H.; Ichinose, M.; Tomaki, M.; Ogawa, H.; Koarai, A.; Kitamuro, T.; Komaki, Y.; Akita, T.; Nishino, H.; Okamoto, S.; Akaike, T.; Hattori, T. Quantitative assessment of protein-bound tyrosine nitration in airway secretions from patients with inflammatory airway disease. Free Radic. Res. 2004, 38, 49–57.Suche in Google Scholar

Sultana, R.; Reed, T.; Perluigi, M.; Coccia, R.; Pierce, W. M.; Butterfield, D. A. Proteomic identification of nitrated brain proteins in amnestic mild cognitive impairment: a regional study. J. Cell. Mol. Med. 2007, 11, 839–851.Suche in Google Scholar

Sultana, R.; Sowell, R. A.; Butterfield, D. A. Nitrated proteins in the progression of Alzheimer’s disease: a proteomics comparison of mild cognitive impairment and Alzheimer’s disease brain. In Oxidative Neural Injury. Veasey, S. C., Ed. Humana Press Inc.: New York, NY, 2009, pp. 137–157.Suche in Google Scholar

Surmeli, N. B.; Litterman, N. K.; Miller, A. F.; Groves, J. T. Peroxynitrite mediates active site tyrosine nitration in manganese superoxide dismutase. Evidence of a role for the carbonate radical anion. J. Am. Chem. Soc. 2010, 132, 17174–17185.Suche in Google Scholar

Thangaswamy, S.; Bridenbaugh, E. A.; Gashev, A. A. Evidence of increased oxidative stress in aged mesenteric lymphatic vessels. Lymphat. Res. Biol. 2012, 10, 53–62.Suche in Google Scholar

Thompson, A.; Schafer, J.; Kuhn, K.; Kienle, S.; Schwarz, J.; Schmidt, G.; Neumann, T.; Johnstone, R.; Mohammed, A. K.; Hamon, C. Tandem mass tags: a novel quantification strategy for comparative analysis of complex protein mixtures by MS/MS. Anal. Chem. 2003, 75, 1895–1904.Suche in Google Scholar

Ting, L.; Rad, R.; Gygi, S. P.; Haas, W. MS3 eliminates ratio distortion in isobaric multiplexed quantitative proteomics. Nat. Methods 2011, 8, 937–940.Suche in Google Scholar

Tsikas, D. Analytical methods for 3-nitrotyrosine quantification in biological samples: the unique role of tandem mass spectrometry. Amino Acids 2012, 42, 45–63.10.1007/s00726-010-0604-5Suche in Google Scholar PubMed

Tsikas, D.; Caidahl, K. Recent methodological advances in the mass spectrometric analysis of free and protein-associated 3-nitrotyrosine in human plasma. J. Chromatogr. B Analyt. Technol. Biomed. Life Sci. 2005, 814, 1–9.Suche in Google Scholar

Tsumoto, H.; Taguchi, R.; Kohda, K. Efficient identification and quantification of peptides containing nitrotyrosine by matrix-assisted laser desorption/ionization time-of-flight mass spectrometry after derivatization. Chem. Pharm. Bull. 2010, 58, 488–494.Suche in Google Scholar

Turko, I. V.; Murad, F. Protein nitration in cardiovascular diseases. Pharmacol. Rev. 2002, 54, 619–634.Suche in Google Scholar

Turko, I. V.; Li, L.; Aulak, K. S.; Stuehr, D. J.; Chang, J. Y.; Murad, F. Protein tyrosine nitration in the mitochondria from diabetic mouse heart. Implications to dysfunctional mitochondria in diabetes. J. Biol. Chem. 2003, 278, 33972–33977.Suche in Google Scholar

Uchida, K.; Stadtman, E. R. Covalent attachment of 4-hydroxynonenal to glyceraldehyde-3-phosphate dehydrogenase. A possible involvement of intra- and intermolecular cross-linking reaction. J. Biol. Chem. 1993, 268, 6388–6393.Suche in Google Scholar

Ungvari, Z.; Gupte, S. A.; Recchia, F. A.; Batkai, S.; Pacher, P. Role of oxidative-nitrosative stress and downstream pathways in various forms of cardiomyopathy and heart failure. Curr. Vasc. Pharmacol. 2005, 3, 221–229.Suche in Google Scholar

Upmacis, R. K. Atherosclerosis: a link between lipid intake and protein tyrosine nitration. Lipid Insights 2008, 2, 75–88.10.4137/LPI.S1030Suche in Google Scholar

Van den Bergh, G.; Arckens, L. Fluorescent two-dimensional difference gel electrophoresis unveils the potential of gel-based proteomics. Curr. Opin. Biotechnol. 2004, 15, 38–43.Suche in Google Scholar

van Haandel, L.; Killmer, J.; Li, X.; Schoneich, C.; Stobaugh, J. F. Phenylisothiocyanate as a multiple chemical dimension reagent for the relative quantitation of protein nitrotyrosine. Chromatographia 2008, 68, 507–516.Suche in Google Scholar

Viera, L.; Ye, Y. Z.; Estevez, A. G.; Beckman, J. S. Immunohistochemical methods to detect nitrotyrosine. Methods Enzymol. 1999, 301, 373–381.Suche in Google Scholar

Wasinger, V. C.; Zeng, M.; Yau, Y. Current status and advances in quantitative proteomic mass spectrometry. Int. J. Proteomics 2013, 2013, 180605.10.1155/2013/180605Suche in Google Scholar PubMed PubMed Central

Wayenberg, J. L.; Ransy, V.; Vermeylen, D.; Damis, E.; Bottari, S. P. Nitrated plasma albumin as a marker of nitrative stress and neonatal encephalopathy in perinatal asphyxia. Free Radic. Biol. Med. 2009, 47, 975–982.Suche in Google Scholar

Weber, D.; Kneschke, N.; Grimm, S.; Bergheim, I.; Breusing, N.; Grune, T. Rapid and sensitive determination of protein-nitrotyrosine by ELISA: application to human plasma. Free Radic. Res. 2012, 46, 276–285.Suche in Google Scholar

Wenger, C. D.; Lee, M. V.; Hebert, A. S.; McAlister, G. C.; Phanstiel, D. H.; Westphall, M. S.; Coon, J. J. Gas-phase purification enables accurate, multiplexed proteome quantification with isobaric tagging. Nat. Methods 2011, 8, 933–935.Suche in Google Scholar

Willard, B. B.; Ruse, C. I.; Keightley, J. A.; Bond, M.; Kinter, M. Site-specific quantitation of protein nitration using liquid chromatography/tandem mass spectrometry. Anal. Chem. 2003, 75, 2370–2376.Suche in Google Scholar

Wisastra, R.; Poelstra, K.; Bischoff, R.; Maarsingh, H.; Haisma, H. J.; Dekker, F. J. Antibody-free detection of protein tyrosine nitration in tissue sections. Chembiochem 2011, 12, 2016–2020.Suche in Google Scholar

Xie, F.; Liu, T.; Qian, W. J.; Petyuk, V. A.; Smith, R. D. Liquid chromatography-mass spectrometry-based quantitative proteomics. J. Biol. Chem. 2011, 286, 25443–25449.Suche in Google Scholar

Yamakura, F.; Taka, H.; Fujimura, T.; Murayama, K. Inactivation of human manganese-superoxide dismutase by peroxynitrite is caused by exclusive nitration of tyrosine 34 to 3-nitrotyrosine. J. Biol. Chem. 1998, 273, 14085–14089.Suche in Google Scholar

Yates, J. R.; Ruse, C. I.; Nakorchevsky, A. Proteomics by mass spectrometry: approaches, advances, and applications. Annu. Rev. Biomed. Eng. 2009, 11, 49–79.Suche in Google Scholar

Zhan, X.; Desiderio, D. M. Nitroproteins from a human pituitary adenoma tissue discovered with a nitrotyrosine affinity column and tandem mass spectrometry. Anal. Biochem. 2006, 354, 279–289.Suche in Google Scholar

Zhang, R.; Regnier, F. E. Minimizing resolution of isotopically coded peptides in comparative proteomics. J. Proteome Res. 2002, 1, 139–147.Suche in Google Scholar

Zhang, Q.; Qian, W. J.; Knyushko, T. V.; Clauss, T. R.; Purvine, S. O.; Moore, R. J.; Sacksteder, C. A.; Chin, M. H.; Smith, D. J.; Camp, D. G. 2nd; Bigelow, D. J.; Smith, R. D. A method for selective enrichment and analysis of nitrotyrosine-containing peptides in complex proteome samples. J. Proteome Res. 2007, 6, 2257–2268.Suche in Google Scholar

Zhu, W.; Smith, J. W.; Huang, C. M. Mass spectrometry-based label-free quantitative proteomics. J. Biomed. Biotechnol. 2010, 2010, 840518.Suche in Google Scholar

Zingarelli, B.; Szabo, C.; Salzman, A. L. Reduced oxidative and nitrosative damage in murine experimental colitis in the absence of inducible nitric oxide synthase. Gut 1999, 45, 199–209.Suche in Google Scholar

Received: 2012-12-15
Accepted: 2013-4-27
Published Online: 2013-06-11
Published in Print: 2013-08-01

©2013 by Walter de Gruyter Berlin Boston

Heruntergeladen am 19.12.2025 von https://www.degruyterbrill.com/document/doi/10.1515/revac-2012-0041/html
Button zum nach oben scrollen