1 Introduction
There is an ever-increasing interest in bio-based chemicals and materials, due in part to concerns raised by the availability of resources, environmental pollution, and future societal development. Among renewable energies that can be derived from various sources, renewable biomass from photosynthesis is the only sustainable carbon source for most bio-based chemicals and materials. Utilization of agricultural and food processing waste for the production of renewable chemicals results in substantial cost reduction for biorefinery and is also beneficial to the existing agricultural and food industries. The United States Department of Energy (DOE) has identified top value-added building block chemicals that possess various functionalities with rich chemistry and are suitable for multiple transformations into a wide range of intermediates and materials. US biorefinery-related initiatives focus on renewable energy and bulk material production to reduce petroleum dependency, a strategic good. Potential benefits of white biotechnology advancements for the US include national security, reduced GHG emissions, an increase in the number of carbon-fixing plants, and rural development. On the other hand, the initial focuses of the EU are the manufacture of novel, high-margin products to revive global competitiveness of its chemical industry and initiate, as urged by a few active national NGOs, a reduction of the EU’s carbon footprint.
Succinic acid and itaconic acid have been identified by the US Department of Energy in 2004 as top value-added chemicals. Both chemicals are commercially available, with annual global production capacity thereof at 30 000 to 50 000 tons each. Succinic acid is a naturally occurring chemical that has been identified in bovine rumen, a CO2-rich environment. At present, most industrial applications of succinic acid are produced via chemical routes. On the other hand, itaconic acid is currently manufactured using biological methods. Succinic acid and itaconic acid are two platform chemicals with very similar molecular structures, distinguished only by the additional unsaturated double bond on the 2-position for that of itaconic acid. After a decade of development, many bio-based succinic acid plants are in operation, with still more planned or under construction, while production of itaconic acid is frequently stalled due to limited applications thereof.
1.1 Succinic acid
Succinic acid (IUPAC systematic name: butanedioic acid; traditionally known as amber acid) is a versatile platform chemical with applications in both high-valueniche personal care and food additives markets and in the large volume production of polyester, polyurethanes, plasticizers, and coatings. At present, succinic acid is predominantly produced from butane through catalytic hydrogenation of petroleum-based maleic anhydride. According to a researchandmarkets projection, the succinic acid market will reach $ 486.7 million by 2019 with a CAGR of 22.6% by volume between 2014 and 2019 [1]. The global succinic acid production capacity is between 30 000 and 50 000 tons at a compound annual growth rate of 18.7% from 2011 to 2016. Based on succinic acid applications, the global succinic acidmarket can be segmented into the following sectors and their respective market share percentages: industrial applications, 57.1%; pharmaceuticals, 15.91%; food & beverages, 13.07%; others, 13.92% (PRNewswire, June 16, 2015). Succinic acid is one of the US Department of Energy’s 12 top value-added chemicals from biomass. The estimated potential global market for succinic acid is expected to reach US $ 7–10 billion per year assuming that the price of succinic acid production will be substantially reduced in the future. Recognizing the potential of bio-based succinic acid, companies interested in manufacturing this C4 platform chemical include BioAmber Inc., Myriant Corporation, Reverdia (a DSM-Roquette joint venture), Succinity (a BASF-Purac joint venture), Agro-Industrie Recherches et Développements (ARD), Mitsui & Co., China National BlueStar Co. and PTT Public Company Limited. Bio-succinic acid plants around the globe are summarized in Table 1 [2].
Succinic acid is a platform chemical most widely used in food ingredients, as precursors to active pharmaceutical ingredients and pharmaceutical additives and has the potential in industrial applications to replace maleic anhydride and serve as a precursor for the production of 1,4-butanediol (BDO), tertahydrofuran (THF), N-methyl pyrrolidone (NMP) and γ-bytyrolactone (GBL). 1,4-Butanediol can be further carbony-lated to synthesize adipic acid for the manufacture of nylon 6,6, lubricants, foams and food products. BDOis also raw material for the preparation of polybutylene terephtha-late (PBT), a high performance plastic. Succinates can be used as additives to animal feed and as precursors for protein synthesis. Diethyl succinate can be used for paint stripping and ethylene diaminedisuccinate is a replacement for EDTA. Other applications for succinic acid and derivatives thereof include catalysis of food seasoning preparation, cut flower preservation, soil chelation, corrosion inhibition and modification of polyester resin to improve dyeing ability. The largest existing succinic acid market involves its use as a surfactant, detergent extender and foaming agent [3]. At present, most succinic acid for industrial use is produced by petrochemical process and only natural derivatives thereof utilized in the food market are produced by fermentation. Through biological route, succinic acid is produced as an intermediate of the tricarboxylic acid cycle or as an end product of anaerobic metabolism. The leading developers of the field, BioAmber and Reverdia utilize genetically modified yeast whereas Myriant applied E. coli strains for the biosynthesis of succinic acid. Biosuccinic acid is generally considered safe. A list of maximum-level use for succinic acid in desserts, soups and broths, as well as that for starch sodium octenyl succinate in weaning food, can be found in directive 95/2/EC [4]. Bio-succinate has also been used as a flavoring enhancer for low-sodium food and emulsifiers in infant formulas and follow-on formulas. In pharmaceutical applications, succinate is used as an anti-carcinogenic and an insulinotropic agent [4, 5]. There is a wide range of applications for succinic acid and derivatives thereof [3, 6].
Table 1: Global bio-succinic acid plants (planned and in production) [2].
Company | Capacity (tons/y) | Plant location | Operational date | Micro- organism | Downstream |
---|---|---|---|---|---|
BASF-Purac JV | 50 000 | TBA* | TBA* | Basfia | Mg-based |
BASF-Purac JV | 25 000 | Barcelona, Spain | 2013 | succinici- producens | process |
BioAmber-ARD | 3 000 | Pomacle, France | Full capacity by Q2 2012 | Yeast | Electrodialysis |
BioAmber-Mitsui JV | 65 000 | TBA* (US or Brazil) | TBA* | ||
BioAmber-Mitsui JV | 30 000 | Sarnia, Ontario, Canada | 2015-08-06 | ||
BioAmber-Mitsui JV | 65 000 | Thailand | 2014 | ||
Myriant | 13 600 | Lake Providence, Louisiana | Q1 2013 | E. coli | Ammonia precipitation |
Myriant-China National BlueStar | 110 000 | Nanjing, China | TBA* | ||
Myriant | 77 110 | Lake Providence, Louisiana | Q1 2014 | ||
Myriant-Uhde (owner and operator) | 500 | Infraleuna site, Germany | H1 2012 | ||
Reverdia (DSM-Roquette) | 10 000 | Cassano Spinola, Italy | H2 2012 | yeast | direct crystallization |
1.2 Itaconic acid
Itaconic acid, 2-methylidenebutanedioic acid, is an unsaturated di-carbonic acid and has been used for the production of acrylic plastics, acrylate latexes, alkyl paints, industrial adhesives, superabsorbents, detergents, and antiscaling agents. At present, synthetic latex is the largest application accounting for 55% of itaconic acid in the global market. The unsaturated vinylidene functionality of itaconic acid renders the bio-based chemical with a reactive site for generating unique molecular structures or producing a polymer with improved UV-resistant characteristics. Itaconic acid is emerging as a prospective bio-based replacement of maleic anhydride for the preparation of unsaturated polyester resins (UPRs) due to similarities between the two chemicals. Recent developments in itaconic acid applications have been in biomedicine, including those in ophthalmology, dentistry and drug delivery [7]. Chemical conversion of citric acid to itaconic acid by controlled pyrolysis/distillation processes has being described [8]. The low price difference between citric and itaconic acids limits the economic efficiency of the chemical routes. Currently, mostmanufacturers are producing itaconic acid with Aspergillus terreus using pretreated molasses under phosphate-limited conditions. Global Industry Analysts, Inc. forecasts the global itaconic acid market to reach US $ 398.3 million by 2017. In particular, the Asia-Pacific region is poised to become the fastest growing itaconic acid market at 9% CAGR, while the United States represents the largest itaconic acid market. The key players in the global market are highly concentrated in China.
2 Synthesis of succinic acid and derivatives
Succinic acid is a C4-dicarboxylic acid with important applications in a wide range of industries including those of food, chemicals, plastics, and pharmaceuticals. As a CO2-fixing process, the biological route to succinic acid is considered environmentally benign. It is suggested that succinate fermentations have the potential to reach the production volumes of citric acid or even ethanol [3]. Thus, production of biosuccinic acid can generate significant new markets for agricultural carbohydrates. Recent economical assessments comparing biological routes to chemical processes suggest a cost competitiveness of bio-based succinic acid over that conventionally derived from petrochemicals [9]. The estimated total production cost is € 2554/MT of succinic acid produced by the hydrogenation of maleic anhydride, followed by hydration of the resulting intermediate succinic anhydride to synthesis succinic acid. On the other hand, estimated costs for the production of succinic acid by the fermentation methods are between € 85 and € 1233/MT of succinic acid depending on the type of biomass feedstock and technique applied. Fermentative succinic acid production surpassed that of petrochemical production in 2013. The success of producing bio-based succinic acid on an industrial scale depends on its potential as an alternative to maleic anhydride and as an intermediate for the synthesis of 1,4-butandiol (BDO) and polybutylene succinate (PBS). Forecasted market demand for succinic acid in 2020 range from 500 000–700 000 tons to 2 million tons [6, 10, 11]. Energy efficiency calculations also suggest that fermentative succinic acid production is preferable to that of petrochemical production. In case of a poor sugar conversion of 70% efficiency for a second generation lignocellulosic biomass, the trend is reversed. Key challenges facing the production of bio-based succinic acid are material efficiency (product mass/input mass) and E factor (waste mass/product mass). Material efficiency and E factor for petrochemical succinic acid production processes using maleic anhydride are 76% and 0.3, respectively. Alarge quantity of water is required for the fermentation process. The two factors can be improved by recovery of water and valorization of byproduct ammonium sulfate (Myriant process) or coproduction of ethanol (Reverdia process).
2.1 Chemical synthesis of succinic acid
Succinic acid for current industrial applications is predominantly produced by the hydrogenation of petroleum-based maleic acid or maleic anhydride. The raw material, maleic anhydride, is obtained by catalytic oxidation of C4 hydrocarbons. Petrochemical production of succinic acid is achieved by catalytic hydrogenation of maleic anhydride to prepare succinic anhydride followed by hydration. The resulting solution is then concentrated to enable crystallization of succinic acid at low temperature. The product is recovered by centrifugation and drying. For the synthesis of 1,4-BDO from maleic anhydride, succinic acid is produced as an in situ intermediate. Separation and drying are thus irrelevant. Alternative chemical routes to succinic acid include paraffin oxidation, electrolytic reduction of maleic anhydride in acidic medium, catalytic addition of acetylene and acrylic acid [5, 12]. Electrochemical synthesis has the advantage of high product purity, which is especially useful in food and pharmaceutical applications.
2.2 Biological routes to succinic acid
Current biological routes to produce succinic acidon a commercial scale employ E. coli and yeast strains. As with many biomass-derived chemicals, bio-succinic acid is still disadvantaged in terms of cost competitiveness when compared to its petroleum-based counterparts; feedstock price and the processing cost are key considerations. A broad range of carbon and nitrogen sources have been studied as potential feed-stocks. Molasses, sugar mixtures, and glycerol were evaluated as candidates for carbon sources, while yeast extracts and wheat processing byproducts were used as nitrogen sources. The downstream isolation and purification process are critical to the production cost. It was suggested that the price of succinic acid needs to fall below US $ 0.45 per kilogram to open up commodity markets thereof [3]. According to Wilke’s model, it will require 100% (w/w) yield, a productivity of 3 g/ l/h, and titers up to 250 g/l to achieve the target production cost [13, 14]. A very limited number of succinic acid biosynthesis processes achieve a productivity of greater than 3 g/l/h [13]. Such productivity strongly governs plant capacity and thus affects both variable costs and fixed costs, while yield on feedstock and feedstock price have direct impact on variable costs. Considering future projection quantities and cost, continuous integrated production is likely to outperform batch process for the biosynthesis of succinic acid.
Fermentative production of succinic acid from renewable resources is not only advantageous in terms of cost effectiveness, but also results in CO2 fixation. However, the biological route requires considerable space and amount of water, as well as long fermentation time and a complicated product isolation process [12]. Fermentative succinate-producing microorganisms can be generally classified into natural (bacteria, fungi) and engineered (bacteria, yeast) species [5, 13]. Natural bacteria species show high tolerance to osmotic pressure caused by high succinate concentration, but their cultivation requires expensive nutrients. Fungal strains, on the other hand, show lower productivity than that of their bacterial counterparts. Notable microorganisms engineered for efficient succinate production are E. coli, Corynebacterium glutamicum, and S. cerevisiae. Strain engineering strategies to enhance succinate productivity include inactivation of branch pathways, overexpression of genes directly involved in branch pathways, redirection of metabolic flux, and the introduction of reducing power. Biosynthesis of succinate can proceed through anaerobic and aerobic conditions. Anaerobic fermentation is preferred over aerobic fermentation because of its low capital investment and operational cost.
Three formation pathways for succinate are the glyoxylate path and the oxidative and the reductive branches of the triarboxylic acid (TCA) cycle [15]. The glyoxylate and the oxidative pathways are active under aerobic conditions whereas the reductive branch of the TCA cycle proceeds under anaerobic conditions. NADH generation in the glyoxylate route alone results in an imbalance of electrons. Activation of the glyoxylate pathway in conjunction with anaerobic fermentation improves succinate yield [16]. The succinate yield and byproduct formation in anaerobic culture are strongly governed by the availability of NADH. It is critical to utilize genetic engineering tools to manipulate metabolic pathways to achieve a suitable intracellular redox balance. During the oxidative branch of the TCA cycle, the conversion of succinate to fumarate should be blocked. The theoretical yield is 1.71 moles of succinate produced per mole of glucose in the presence of CO2. Such a theoretical yield increases to 2 moles of succinate produced per mole of glucose with electron donor supplements, such as hydrogen [17]. The nature of the fermentation pathway and CO2/H2 ratio are critical factors in succinate production yield.
Succinate is one key intermediate of the TCA cycle. Thus, it is possible to synthesize succinic acid by evaluating metabolic pathways leading to other TCA cycle intermediates, such as lactate, acetate, and ethanol, and genetically engineering microorganisms accordingly. Microorganisms for the production of bio-based succinic acid include Actinobacillus succinogenes, Anaerobiospirillum succiniciproducens, Mannheimia succiniciproducens, C. glutamicum, Bacteroides fragilis, E. coli, and Yarrowia lipolytica [6, 15, 18, 19]. The physiology of succinate-producing microorganisms varies significantly from one species to the next [3]. For example, both A. succiniciproducens and A. succinogenes follow the phosphoenolpyruvate (PEP) carbocykinase pathway exclusively to produce succinate. A. succiniciproducens is an obligate anaerobe, while A. succinogenes is a facultative anaerobe, able to switch between aerobic and anaerobic metabolic pathways. On the other hand, E. coli, a facultative anaerobe, proceeds through multiple pathways to produce succinate. A. succinogenes, unlike A. succiniciproducens and E. coli, has high tolerance to succinate salts. The PEP carboxykinase pathway is regulated by CO2 concentration to a selected product distribution. Under high CO2 levels (100mol CO2/100 mol glucose), succinate is the major product, with traces of lactic acid or ethanol. At a low CO2 level, A. succiniciproducens produces lactic acid as a major product, whereasA. succinogenes generates more ethanol than succinic and lactic acids.
Carboxylation of pyruvate, the most important central metabolite, is the controlling step of succinic acid biosynthesis. Typical biosynthesis of succinic acid utilizes glucose or glycerol as a carbon source while assimilating CO2. Succinic acid can be produced in anaerobic and aerobic conditions [15]. Succinate yield through a fermentative pathway is limited by the supply of NADH. A combined anaerobic and aerobic strategy is often applied for the biosynthesis of succinic acid. Carbon sources, carbon dioxide, hydrogen and culture pH are critical factors for economic production of succinic acid. In addition to external CO2 gas, carbonates are considered as a source of CO2. Carbon dioxide and carbonates dissolved in water generate and
The equilibrium between CO2,
and
is governed by pH in fermentation broth. In a biosynthesis system, hydrogen is a potential electron donor to improve succinate yield by decreasing cellular redox potential and improving NADPH recycles. In addition to phosphoenolpyruvate, oxaloacetate, and malate, pyruvate was identified as a fourth node governing A. succinogenes fermentation pathways to succinate and alternative products [20]. At high CO2 and H2 concentrations, A. succinogenes produces more succinate and less formate, acetate, and ethanol. Studies suggest high NaHCO3 concentrations minimized the tendency to push the flux from the C4 pathway to C3 pathway.
Most fermentation processes are carried out in batch reactors. High titers and yields of succinate, however, were often obtained in fed-batch or continuous systems. Succinate titers of 133 g/l were reported by using engineered C. glutamicum in a fermentation medium consisting of glucose, bicarbonate and formate under anaerobic condition (Fig. 1). At present, biosynthetic processes have limited potential for industrial scale application due to the use of formate which complicates downstream purification and increases production cost [6]. Okino et al. achieved a very high succinic acid titer of 146 g/l with 1.40 mol/mol yield under oxygen deprivation with intermittent addition of sodium bicarbonate and glucose [21]. Succinate titers of up to 110 g/l at 83–87 wt.% yield were achieved with A. succinogenes by maintaining the pH with magnesium [12, 22]. The recombinant E. coli AFP184 (Fig. 2) demonstrated productivity of 3 g/ l/h by applying dual-phase fermentations in high sugar concentrations whereas E. coli produced succinic acid with titers of up to 99.2 g/l at productivities of up to 1.3 g/l/h [12]. A very high productivity of 10.4 g/l/h at a titer of 83 g/l and a 1.35 mol/mol yield were obtained in a continuous system with a membrane for cell recycling and an on-line electrodialysis system to eliminate the end-product inhibition [15, 23]. Productivity reaches 14.8 g/l/h at a titer of 42 g/l when using an integrated membrane-bioreactor-electrodialysis system under a suitable culture condition [23]. The integrated fermentation system produces a highly concentrated cell-free succinate solution that can be recovered by simple water evaporation/ acidification. The production yield affects the variable costs of raw materials and utilities while productivity and titer govern fixed costs and total production investment? Low production rate and low product concentrations result in high energy input and cost. Downstream recovery and purification represent both technological and economical challenges. Product isolation processes will need to be coupled with upstream fermentation to render industrial scale-up manufacturing viable. Strategies include genetically engineering strains to reduce acid byproducts, reactive extraction to improve succinate selectivity, in situ product removal, and separation of acetic acid from succinic acid using an emulsion liquid membrane (ELM) [15, 24]. Thus, to improve the competitiveness of succinic acid biosynthesis, it is essential to address the importance of succinatetolerant microorganisms, low-cost biomass feedstocks and downstream product recovery. The succinate fermentationefficiencies of a selected number of bacteria strains are summarized in Table 2.
An ideal microorganism candidate for industrial production must be able to utilize a wide range of carbon sources, such as fructose, glucose, sucrose, maltose, lactose and xylose, for the synthesis of succinic acid. This capability provides the opportunity to employ agricultural and food processing wastes as feedstock to reduce production cost. However, E. coli almost exclusively uses glucose for succinic acid production. Wang et al. engineered an E. coli strain SBS550MG bearing both the pHL413 plasmid and the pUR400 plasmid for utilizing sucrose and mixed sugars to produce succinate [26]. Evaluation of different substrates indicates that the nature of sugar carbon sources affects the fermentation pathways and thus the yield and productivity of succinate. The E. coli strain SBS550MG pHL413 produced the highest succinate yield of 1.86 mol/mol with a productivity of 0.82 g/ l/h when provided with fructose as a carbon source. The strain consumed glucose preferentially and grew better in a mixture of glucose and fructose than in fructose alone. The succinate yield was 1.76 mol/mol hexose with a productivity of 1.21 g/ l/h in a glucose/ fructosemixture of 1/1 ratio. E. coli are not able to consume sucrose to produce succinate due to the lack of an invertase. E. coli strains able to metabolize sucrose were achieved via expression of the pUR400 plasmid containing scrK, Y, A, B, and R genes that can convert sucrose to β-D-fructose and α-D-glucose 6-phosphate. However, a low productivity of 0.48 g/ l/h was obtained using SBS550MG pHL413 pUR400 due to slow sucrose hydrolysis during the early stage of the fermentation process. The fermentation strategy was then changed to utilize sucrose during the aerobic phase before switching to a mixture of fructose, glucose, and sucrose during the anaerobic phase. The processes achieved a yield of 1.67 mol/mol hexose with a productivity of 0.85 g/ l/h. The strain consumed sugars in the following priority: glucose, sucrose, and then fructose. Fermentation in a sucrose hydrolysis solution achieved a similar result, with a succinate yield of 1.67 mol/mol hexose and a productivity of 0.86 g/ l/h. Studies on the effect of the dissolved oxygen (DO) level during the aerobic phase suggest a high agitation rate is conducive for increased cell growth rate and succinate productivity, while low agitation is better for increased succinate production yield. Formation of a microaerobic condition before switching to a completely anaerobic condition (due to rapid depletion of the DO level following slower agitation of the growth medium) may have contributed to differences in cell metabolism and led to improved succinate yield. Li et al. utilized corn stover hydrolysate as a carbon source and spent yeast hydrolysate as a nitrogen source to produce 56.4 g/ l succinic acid with A. succinogenes [27]. They achieved 0.73 g/ g yield and over 50% production cost reduction. Earlier studies indicated that the hydrolysis of corn stover generateda 2 : 1 (w/w) ratio of glucose to xylose. Amixedsugar feedstock resulted in delayed succinic acid production when compared with that achieved with glucose only. In general, consumption of xylose starts only when glucose is depleted. A wide range of carbon sources including corn starch, corn steep liquor, whey, cane molasses, glycerol, and lignocelluloses, have been evaluated for the fermentative production of succinic acid. Metabolic engineering approaches to facilitate simultaneous digestion of sugars are beneficial for the industrial production of bio-succinate. The delay in succinic acid production resulting from mixed sugar feedstocks may have also been caused by the presence of inhibitors, such as furfural, HMF, and acetic acid, in corn stover hydrolysate. E. coli is an ideal candidate for future commercial bio
![Fig. 1: Simplified metabolic pathway of wild-type C. glutamicum for succinate production. PEP, phosphoenolpyruvate [21].](/document/doi/10.1515/psr-2016-0052/asset/graphic/j_psr-2016-0052_fig_001.jpg)
Simplified metabolic pathway of wild-type C. glutamicum for succinate production. PEP, phosphoenolpyruvate [21].
![Fig. 2: Simplified anaerobic production of succinate in E. coli AFP184. The blocked reactions are shown by crosses [25].](/document/doi/10.1515/psr-2016-0052/asset/graphic/j_psr-2016-0052_fig_002.jpg)
Simplified anaerobic production of succinate in E. coli AFP184. The blocked reactions are shown by crosses [25].
Table 2: Summary of succinate fermentation efficiency using different bacteria strains.
Strain | Titer of succinic acid | Fermentation conditions | Productivity | Yield of succinic acid | Ref. |
---|---|---|---|---|---|
(g/l) | (g/l/h) | (g/g) | |||
Corynebacterium glutamicum ΔldhA-pCRA717 | 146 | Under oxygen depri- vation with repeated intermittent addition of glucose and sodium bicarbonate | 3.2 | 0.92 | [21] |
Escherichia coli AFP111/pTrc99A- pyc; ΔpflAB::CmR, ldhA::KmR, ptsG–, pyc | 99.2 + | Dual phase (aerobic to anaerobic) | 1.3 | 1.1 | [10] |
Actinobacillus succinogenes mutants | 94–106 | Batch | 2.0–2.8 | 0.83–0.87 | [3] |
Anaerobiospirillum succiniciproducens | 50.3 | Batch; anaerobic | 2.1 | 0.90 | [10] |
succinate production due to in-depth knowledge on the genetic manipulation thereof, a high possible yield of 1.72 mol/mol glucose, and the general acceptance of its usage in industrial process [16].
Applying solid-state fermentation (SSF) with two fungi strains and using wheat milling byproducts, Dorado et al. were able to produce enough carbon and nitrogen nutrients for the production of succinic acid [28]. Agricultural and food wastes are more easily used in solid-state fermentation (SSF) than in submerged fermentation. Other low cost raw materials used for succinic acid fermentation include corncobs, corn straw and stalk, rapeseed meal, cassava starch, spirit-based distiller grains, and cane molasses [18, 29]. Typical strains employed for the production of succinic acid include isolated microorganisms, recombinant microorganisms and or improved strain (screened mutations). Biomass derived media and fermentation strategies affect the yield and productivity of bio-based succinic acid production. Genetic engineering and fermentation strategies provide a range of economic approaches for flexible and integrated production. Succinic acid was co-produced with other value-added products, such as malic acid[30], isoamyl acetate [31] and polyhydroxybutyrate [32, 33]. For fresh water conservation, seawater was successfully used for the fermentation of wheat-derived substrates to produce succinic acid [34]. Separation of succinic acid from fermentation broth accounts for a major fraction of succinic acid production cost. Typical isolation methods include precipitation, reactive extraction, and direct crystallization while integrated membrane filtration-electrodialysis is the most promising approach with improved titer and productivity. Utilization of agro-waste and integration of processes results in significant cost reduction. It is possible to produce succinic acid by fermentation for about US $ 0.55–1.10 per kg according to McKinlay et al. [17]. Producing succinic acid with biological routes is expected to save up to 40% energy consumption and result in lower carbon emissions when compared to production by typical chemical processes [29]. Life cycle assessment of bio-succinic acid prepared by low pHyeast-based fermentation technology and direct crystallization downstream processing indicate a reduction of 90% non-renewable energy use and reduced greenhouse gas (GHG) emissions by a factor of two when compared to succinic acid prepared with petro-based maleic anhydride [35].
Downstream recovery and purification account for considerable costs when producing succinic acid. The separation process includes removal of cells and proteins, concentration of succinate, conversion of succinic salt to acid, and purification of succinic acid [3, 5]. Downstream processing cost can as account for up to 60–70% of the total succinic acid production cost [12]. At first, microbial cells are separated from the fermentation broth by centrifugation or filtration followed by ultrafiltration to remove proteins, polysaccharides, and other oligomers. Several approaches to isolate succinate from fermentation broth were evaluated [3, 17]. Succinic acid can be obtained by isolating succinate from fermentation broth by electrodialysis followed by a conversion process using a bipolar, water-splitting membrane stack. The resulting succinic acid can then be purified by ion exchange chromatographies to achieve 80% recovery in dry weight. The remaining 20% of the recovered material consists of acetic acid. Datta et al. described in their patent for a precipitate succinate hydroxide process to maintain the pH of the fermentation broth in the range of 5.8 to 6.4 by addition of calcium oxide or calcium hydroxide [36]. The resulting aqueous slurry of calcium succinate was then transformed to succinic acid by introducing sulfuric acid. The resulting product was then purified with ion exchange resin to obtain succinic acid containing less than 1% nitrogenous impurities. The disadvantage of this process is that it requires handling large amounts of slurry and calcium sulfate waste. Alternatively, the pH of the fermentation broth can also be maintained by adding NH4OH and later reacting the resulting diammonium succinate with ammonium bisulfate to form ammonium sulfate and succinic acid. Addition of sulfic acid to this mixture of ammonium sulfate and succinic acid resulted in the crystallization of succinic acid. The succinic acid was then recovered in 90% dry weight by dissolution in methanol to precipitate contaminating sulfates. Succinic acid was also purified by reactive extraction with tri-n-octylamine. There is still a need for considerable efforts to lower the recovery cost of succinic acid to achieve economically viable industrial scale production thereof.
2.3 Catalytic conversion of succinic acid
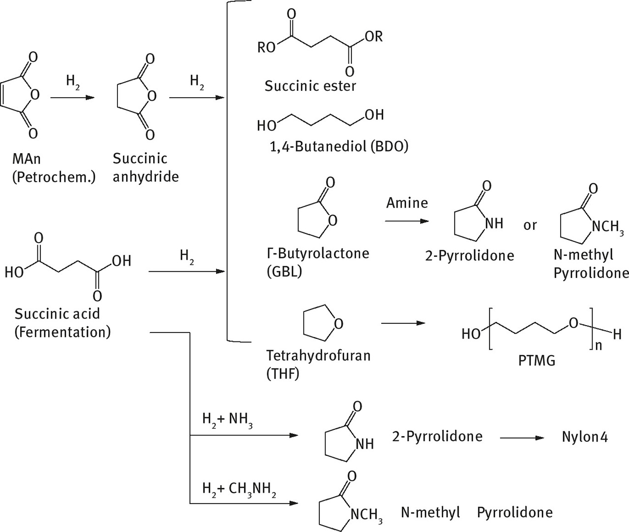
Typical chemical transformations of succinic acid include esterifications, amidations and hydrogenations. Esterifications of succinic acid were used to prepare diester intermediates for polymerization. High esterification yields of greater than 75% were achieved for low purity succinic acid recovered from fermentation broths by means of an approach combining both conductive heating and microwave irradiation [37]. This in situ esterification in fermentation broth was also utilized as a method for downstream isolation of succinic acid. Catalysts for the in situ transformation process must be tolerant to water and salts, as well as resistant to organic contaminates. Hydrogenation of succinic acid produces a range of value-added chemicals, including tetrahydrofuran (THF) (used as a solvent), γ-bytyrolactone (GBL) (used as a solvent), as an intermediate in the manufacture of pyrrolidones, as an ingredient in the production of pesticides and herbicides, and 1,4-butanediol (BDO) for polymer synthesis.
Direct downstream catalytic transformation of succinic acid into valuable derivatives in filtered aqueous fermentation broth eliminates the need for isolation and thus reduces production cost [38]. Petrochemicals are mostly in a low oxidation state and therefore require oxidative derivatization, whereas renewable chemicals are often in a high oxidation state and need to be reduced. Hydrogenation of maleic acid results in the formation of succinic acid. Thus, hydrogenation of maleic acid in the aqueous phase can be easily adapted to produce succinic acid in a reduction process. Group VIII metals are the most active catalysts for the hydrogenation of succinic acidto produce γ-butyrolactone (GBL), tetrahydrofuran (THF), and 1,4-butanediol (BDO). Combinations of Group VIII metals, or their combinations with other metals, such as rhenium and tin, are often deposited on carbon, TiO2 and ZrO2 substrates to serve as catalysts. In addition to the nature of metals and properties of supports, dispersion and repartition of the metals on and in their catalyst supports are also critical for the catalytic efficiency of the hydrogenation process. A high degree of dispersion in bimetallic catalysts prevents the formation of unwanted microstructures that lead to catalyst aging and loss of activity. On the other hand, reaction parameters have a strong impact on product distribution and yield. Reductive amination of succinic acid using amine, ammonium, or ammonia produces pyrrolidones and derivatives. 2-Pyrrolidone is an intermediate in the preparation of nylon-4, pharmaceuticals, medicines and agrochemicals. N-methyl-2-pyrrolidone (NMP) is an important solvent in the polymer and electronic industries. The reaction selectivity appears to be sensitive to the reactant ratios and an excess of alcohol is required for the production of NMP. Direct aqueous synthesis of pyrrolidones from succinic acid without producing GBL was achieved [38]. Catalytic conversion of succinic acid into valuable derivatives is illustrated in Fig. 3.

Catalytic transformation of succinic acid into valuable derivatives.
The hydrogenation of succinates is similar to the Davy–Mackee process for the commercial production of 1,4-butanediol from maleate. Copper-based catalysts were studied for the hydrogenation of succinates to produce BDO [39, 40]. Alternatively, the hydrogenation of succinic anhydride over Cu–Zn, Cu–Zn–Zr, Cu–Zn–Cr–Zr, Cu–Mn, Re–Cu–Zn was performed using vaper-phase fixed-bed rectors [41–46]. Ruthenium complexes were utilized as homogeneous catalysts for the hydrogenation of succinic anhydride to GBL under mild conditions [47–50]. Other homogeneous catalysts include Ru acetylacetonate, trioctylphosphine and HBF4 [51–53]. Although Ru complexes provide high product selectivity, drawbacks of using homogeneous catalysts include difficulty of separation from the reaction medium and the presence of unfavorable halogen ligands. Aqueous phase hydrogenation of succinic acid is environmentally benign and enjoys reduced production costs. However, acidic media poses a challenge for metal catalysts. Ly et al. evaluated Pd–Re bimetal catalysts with various Re content for aqueous phase hydrogenation [54]. It was observed that the Re position and oxidation states (Re3+, Re0) on the reduced bimetallic samples were related to their preparation procedures [55]. The presence of a small amount of Re in a Pd/ C catalyst enhances production of γ-butyrolactone, whereas further increase of Re loading resulted in a high THF yield [56]. Additional studies also indicate hydrogenation efficiencies can be improved by using palladium-rhenium catalysts supported by carbon materials [57, 58]. The modified Ru catalysts also provide high conversions of succinic acid in the aqueous solution to produce THF and 1,4-butanediol over Ru–Mo, Ru–Sn, Ru–Re, and Ru–Re–Sn trimetall catalyst [59–62]. Succinic acid can be transformed into 1,4-butanediol with a yield of over 70% in the presence of a Pd-5FeOx/C catalyst under the relatively mild conditions of 200 °C and 5 MPa H2 [63].
The supporting substrate plays an important role in governing catalyst particle size and thus hydrogenation performance. A Pd/SiO2–NH2 catalyst prepared by co-condensation method exhibits high catalytic activity in converting succinic acid to γ-butyrolactone with 100% conversion and 94% selectivity using 1,4-dioxane as a solvent at 240 °C and 60 bar for 4 h [64]. Kim et al. evaluated the catalytical activity of Pd-WO3/Al2O3 for hydrogenation reactions in a mixture selected from dioxane, ethanol, and H2O at 100–300 °C [69]. Studies of supported ruthenium and rehenium catalysts treated with acid for the hydrogenation of succinic acid indicate that the yields of THF increase as catalyst particle size decreases [65–68]. It was identified that mesoporous carbon and Alumina xerogel provide improved hydrogenation efficiency due to the fine dispersion of catalyst on these supports [69, 70]. Avery small amount of Pt (100 ppm) in gold catalysts facilitates H2 dissociation and achieves 97% selectivity to GBL at 97% conversion [71]. The composition of Ru-Co bimetallic catalyst governs the reaction pathway and therefore the distribution of products [72].
3 Synthesis of itaconic acid and derivatives
Itaconic acid currently occupies only a niche market with somewhat tenuous market expansion potential with suppliers limited to an extremely narrow region. Itaconic acid, a structurally unique C5 bio-based chemical, has an α, β-conjugated methylene group and two differentiated carboxylate functionalities from which a diverse range of chemicals and materials for commercial applications may be derived [73–77]. Examples include polyester, thermoplastics, elastomers, coatings, adhesives, artificial glass, superabsorbent polymers, bioactive compounds with agricultural applications, pharmaceuticals, and biomedical applications [78]. At present, the itaconic acid market is small, with current annual global production a little more than 80 000 tons [79]. Further expansion of the itaconic acid market requires a reduction in its production costs and an increase in the flexibility in scale-up itaconic acid production operations. The currently employed itaconic acid chemical synthesis route is impractical because of its high cost and low yield [75]. At present, Aspergillus terreus is a strain being used for commercial production of itaconic acid [80]. As A. terreus is a fungus, there are limited genetic engineering tools for pathway manipulation and process improvement for its fermentation. Previous studies have shown that CAD is an essential enzyme for itaconate biosynthesis [80–86]. However, amino acid sequencing for the CAD enzyme was not completed until 2008 [87]. Instead of utilizing A. terreus, improvement in itaconate production efficiency via fermentation is more feasible by means of engineering an E. coli synthetic pathway. This is because E. coli is a well-characterized microorganism with a set of readily available tools for genetic manipulation and its physiological regulation is well-studied.
3.1 Biological routes to itaconic acid
Although some Aspergillus species and other microorganisms were identified as candidates to produce itaconic acid, A. terreus remains the dominant host for industrial itaconic acid production [88]. Biosynthesis of itaconic acid is an aerobic process requiring 1.5 mol of O2 for every mole of bio-based diacid generated (Fig. 4) [8]. It is, therefore, a challenge to balance between the competing concerns of sufficient oxygen to the growth medium and limiting cell damage of filamentous microorganisms, such as A. terreus, resulting from the hydromechanical stress of aeration. The influence was reduced to some degree by using an air lift bioreactor and suitable control of medium pH.
![Fig. 4: Biosynthesis of itaconic acid in A. terreus [89]. MTT, mitochondrial tricarboxylate transporter.](/document/doi/10.1515/psr-2016-0052/asset/graphic/j_psr-2016-0052_fig_004.jpg)
Biosynthesis of itaconic acid in A. terreus [89]. MTT, mitochondrial tricarboxylate transporter.
High itaconic acid yields were obtained by fermentation of glucose. For commercial production, product yield per substrate is critical for profitability. Theoretically, 1 g of glucose can be converted to 0.72 g itaconic acid. Yahiro et al. achieved yields of up to 0.57 g itaconic acid per gram of glucose, but observed a reduction in productivity and yield at titers above 60 g/ l [90]. Subsequent optimization strategies to gain cost competitiveness are enhancing productivity and titer as well as using low cost substrates. Studies indicate some limitation on the chemical mutation of A. terreus to achieve high titer. It has been proposed that the transfer into A. terreus of certain genes in more robust microbial producers (such as A. niger which is known to produce high yields and titers of citric acid) may lead to higher titers. Productivity of industrial batch fermentation using molasses as a substrate is in the range of 1 g/ l/h [8]. To be competitive with petroleum-based chemicals, productivity of a typical biosynthesis process needs to reach at least 2.5 g/ l/h. Continuous fermentations may help achieve high fermentation productivity. Various sugars, such as glucose, sucrose, xylose, saccharose, lactose, starch, molasses, and hydrolysate derived from lignocellulosic materials, can be carbon sources for the biosynthesis of itaconic acid using A. terreus. Utilization of wood waste as a feedstock for production of bio-based acids proves less efficient, due to the presence of inhibitory compounds; making matters worse, xylose leads to lower yields than those of other sugars. A process to separate inhibitors in the biomass hydrolysate might be inevitable. A. terreus can also utilize pure glycerol for the production of itaconic acid at yields of up to 55.9 wt.% after 233 hours [8]. In addition to A. terreus and A. niger, non-filamentousmicroorganisms, such as Pseudozyma anatarctica and U. maydis, various yeasts, such as Y. lipolytica, and bacteria, such as E. coli, were evaluated for the production of itaconic acid with some degree of success. Methods for downstream recovery and purification of itaconic acid include crystallization, reactive extraction using organophosphorous compounds or quaternary amine, and electrodialysis. There is a critical step to separate itaconic acid and residual glucose which is known to interfere with the crystallization.
Bred strains of A. terreus can secrete a significant concentration of itaconate (> 80 g/l) in a media. However, this is still far from the titers in excess of 200 g/l achieved in the citric acid industrial process and the estimated maximum theoretical titer of 240 g/ l [91]. Although the itaconic acid production pathway is not clear, CAD was found to be the key enzyme of the pathway. A high transcriptional level of the cad gene is crucial for the efficiency of itaconic acid biosynthesis. Due to poor stability of the CAD protein, the amino acid sequencing thereof was not completed until a substantial amount of the enzyme was purified in 2008. In addition to screening existing strains, high titers can be achieved by employing targeted genetic engineering. On the other hand, media compositions and engineering approaches related to oxygen distribution and bioreactor design also contribute to itaconic acid production efficiency. Introduction of copper ions and steady aeration were found to positively influence itaconic acid production. Various reactors including bubble column reactors, tubular reactors, packed bubble column reactors, and Air-Lift reactors have been evaluated for biosynthesis. Starch was utilized as a carbon source for fermentation to reduce production cost. Hydrolysis of starch with glucoamylase (5000AUN/ml) or nitric acid at pH 2 led to itaconic acid yields of 0.36 and 0.35 g/ g starch, respectively [7]. Relatively high titers were also achieved with agricultural residuals, such as rejected bananas (28.5 g/l), apples (31.0 g/l), Jatropha seed cakes (24.45 g/l), and sago starch (48.2 g/l).
Chemical routes for itaconic acid synthesis are impractical, while fermentative itaconic acid production using A. terreus is economically challenging [80]. Utilization of itaconic acid, therefore, is limited by its high production cost and limited number of suppliers [78]. To lower itaconate production cost, fermentation was enhanced by genetic manipulation and physiological regulation of E. coli. Okamoto et al. achieved 4.34 g/ l itaconic acid production by icd inactivation and acnB overexpression in cad-expressing E. coli [86]. They also developed a recombinant E. coli expressing α-amylase on its cell surface to saccharify starch near the cell surface and utilize the resulting sugar for the biosynthesis of itaconic acid [92].
A novel synthetic pathway in E. coli to produce itaconate is shown in Fig. 5. Itaconate is produced by a submerged-cultured fermentation with a strain of E. coli in a medium containing a carbohydrate source such as glycerol, glucose, or molasses. Nutrients contain amino acids, phosphates and metal salts, as well as sulfuric acid, hydrochloric acid or sodium hydroxide can be added as pH adjustment agent. A medium containing 6wt.% of glycerol is incubated at 30–35° and pH of 6.0–7.0 for 48 hours. Itaconate was produced at 1.5 g/ l/h and a 99.5 wt.% pure product was produced in a continuous purification section, which includes double-effect evaporators, two-stage crystallization, activated carbon treatment, and rotary dryer operation units. Successful production of itaconate from the engineered E. coli opens up the possibility of using non-native, easily manipulated organisms for itaconate production [93]. Economic analyses of a fermentation process using E. coli yielded a production cost of $ 2.0/kg for an itaconate plant with annual capacity of 20 000 MT. The calculation of such a production cost was based on experimental results of 80 g/ l titer and 1.5 g/ l/h productivity, as well as on assumptions of a 95% recovery rate, crude glycerol cost of $ 0.2/kg, a nutrient cost of $ 0.5/kg and a 10-year plant life.
![Fig. 5: Schematic representation of itaconate production in engineered E. coli (ppc, phosphenolpyruvate carboxylase; gltA, citrate synthase; acn, aconitase; cad, cis-aconitic acid decarboxylase; PEP, phosphoenolpyruvate; OAA, oxaloacetate) [93].](/document/doi/10.1515/psr-2016-0052/asset/graphic/j_psr-2016-0052_fig_005.jpg)
Schematic representation of itaconate production in engineered E. coli (ppc, phosphenolpyruvate carboxylase; gltA, citrate synthase; acn, aconitase; cad, cis-aconitic acid decarboxylase; PEP, phosphoenolpyruvate; OAA, oxaloacetate) [93].
3.2 Catalytic conversion of itaconic acid
The catalytic conversions of itaconic acid to 2-methyl-1,4-butanediol, 3-methyltetra-hydrofuran, and 2-methyl γ-butyrolactone as well as 3-methyl γ-butyrolactone should be similar to those associated with the transformation of succinic acid to related derivatives [94–100]. The hydrogenation of itaconic acid to 2-methylsuccinic acid, a chemical with pharmaceutical applications, was performed with Ru-Starbon, Ru/TiO2 or Ru-complex as a catalyst [100, 101]. The enantioselective hydrogenation of itaconic acid to (R)- or (S)-methylsuccinic acid using palladium and rhodium catalysts is also described. Decarboxylation of itaconic acid to bio-based methacrylic acid (MAA) was achieved with transition-metal catalysts in aqueous phase [102, 103]. Catalytic conversion of succinic acid into valuable derivatives is illustrated in Fig. 6.

Catalytic transformation of succinic acid into valuable derivatives.
4 Applications of succinic acid and derivatives
Industrial uses for succinic acid include its applications as a surfactant, an ion chelator for corrosion inhibition, a flavoring agent and pH regulator in food processing, and as an ingredient for the production of pharmaceutical materials, such as antibiotics, amino acids, and vitamins [12]. It is also a platform chemical for the synthesis of adipic acid, 1,4-butanediol, tetrahydrofuran, N-methyl pyrrolidinone, 2-pyrrolidinone, γ-butyrolactone, succinic acid esters, and succinate salts.
Polyesters, polyamides, and polyester amides can be synthesized by using succinic acid and its diamine and diol derivatives. Polybutylene succinate (PBS) prepared by the polycondensation of succinic acid and 1,4-butanediol has superior processability, biodegradability, and balanced mechanical properties. The physical properties of PBS resemble those of a conventional plastic, polyethylene (PE); thus, the bioplastic has great potential to be used for the fabrication of grocery bags, packaging films, and mulch films. Polybutylene succinate is typically prepared by transesterification polymerization consisting of transesterification and polycondensation steps using tetran-butyl-titanate or tetraisopropyl titanate as a catalyst. Lipase was applied for the synthesis of PBS under mild conditions without using metal salts [12]. In general, esterification takes place at a temperature range between 150–200 °C under a low vacuum followed by polycondensation at temperature between 220–240°C under a high vacuum [12]. It is essential to have proper water removal and temperature control during esterification and a sufficiently high vacuum during polycondensation; it is also necessary to use a catalyst with high reactivity and resistance to hydrolysis in order to obtain PBS of high molecular weight. Mochizuki et al. obtained a PBS with molecular weight (Mn) of 59000 by using tetra-n-butoxy titanate as a catalyst and polyphosphoric acid as a thermal stabilizer [12, 104]. Alternatively, polymerization can be performed in solution at relatively low temperatures to avoid oxidation of PBS. A series of catalysts including SnCl2, Sn(Oct)2, Ti(OiPr)4, Ti(OBu)4, Zn(Ac)2, and p-TS (p-toluenesulfonate) were evaluated for the synthesis of PBS by solution polymerization, with SnCl2 identified as the most effective in receiving high molecular polymers [12]. PBS of high molecular weight can also be achieved by using chain extenders after condensation polymerization. Diisocyanate and anhydride are often selected for the chain extension of hydroxyl-terminated PBS while oxazoline and epoxy are appropriate for enhancing the molecular weight of carboxyl-terminated PBS. Showa Denko’s Bionolle is an example of high molecular weight PBS prepared by coupling condensed prepolymers using hexamethylene diisocyanate as a chain extender. Branching increases the melt strength and thus enhances the workability of a polymer in processes involving elongated flow, such as fiber spinning, film blowing, vacuum forming, and foaming [12]. Copolymerization and branching strategies provide alternatives to tailor-designed physical properties and biodegradability of PBS. PBS and copolymers are semicrystalline polyesters and their crystalline structures vary with copolymer composition. Foreseeing the potential of bioplastics, PBS manufacturers are becoming more numerous and currently include Hexing Chemical, Xinfu Pharmaceutical, BASF, Eastman, Mitsubishi Chemicals, and SK Chemicals [12].
Bio-based thermoplastic polyester elastomers (TPEE) were obtained by catalyst-free polycondensation of renewable chemicals, including glycerol, azelaic acid and succinic acid [105]. Glycerol is a byproduct of biodiesel manufacture while azelaic acid is commercially available by the oxidative cleavage of oleic acid from palm oil. The resulting bio-based TPEEs demonstrated superior thermal stability. Development of the biocompatible TPEEs is targeting orthopedic and ophthalmic applications, as well as those in reconstructive surgery and drug delivery. Thermogravimetric studies indicated the primary degradation occurs at temperatures above 400 °C. The glass transition temperature of the resulting TPEE increases with increasing succinic acid content from about –23 °C for TPEEs containing a 1:1 ratio of glycerol and azelaic acid to about –8 °C for TPEEs containing equal amounts of azelaic and succinic acids.
5 Applications of itaconic acid and derivatives
Water soluble polyitaconic acidmay be used as superabsorbents, antiscaling agents in water treatments, co-builders in detergents, and dispersants forminerals in coatings. Additional applications can be identified by copolymerization with other monomers, such as hydrogels, latex and elastomers. Copolymers of itaconic acid with acrylic and methacrylic acid as well as their esters can be used for the preparation of coatings and adhesives. Direct polymerization of itaconic acid with a redox initiator in aqueous or dioxan media leads to products of complicated structures [106]. It is suggested that formation of anhydride and decarboxylation occurred during radical polymerization and drying because only about half of the acid groups were detected by potentiometric titration. FTIR studies suggest decarboxylation occurs when the polymer is dried at 120 °C. Alternatively, polymerization of itaconic anhydride followed by hydrolysis of the resulting poly(itaconic anhydride) led to a poly (itaconic acid) consisting of two carboxylic acids in a single monomeric unit [107]. A deep eutectic solvent (DES) consisting of a 1:1 ratio of itaconic acid and choline chloride (2-hydroxyethyltrimethyl ammonium chloride, vitamin B4) was selected as the polymerization medium for the preparation of poly(itaconic acid) hydrogels using ammonium persulfate as a redox initiator and N,N’-methylenebisacrylamide as a crosslinking agent [108]. These studies concluded that polymerization kinetic of itaconic acid was enhanced and crosslinking density was higher in DES than that in water. The author suggests that association of choline chloride with carboxylic acids via hydrogen bonding and catalyzation of persulfate decomposition by ammonium salts may contribute to the acceleration of polymerization.
The presence of a methylene group alone with dicarboxylic functionality distinguishes itaconic acid from other biomass derived diacids. Thermoplastic polyester elastomers (TPEEs) consist of alternating crystalline hard segments and amorphous soft segments [109]. The crystalline fractions, as physical crosslinks resembling chemical crosslinking regions in vulcanized rubber, provide strength to elastomers. The amorphous segment governs the softness and resilience of elastic materials. Thermoplastic polyester elastomers are often used to replace traditional natural rubber and thermosetting polymers due to their superior physical and chemical properties, such as tensile strength, elastic recovery, impact resistance, creep resistance, cold resistance, flexural fatigue resistance, oil resistance, and solvent resistance. Applications of TPEEs include those in engineering plastics, automotives, cushioning, packaging, sports equipment and medical equipment [110]. DuPont Hytrel and DSM Anitel ECO are TPEEs prepared from bio-based chemicals. Bio-based TPEEs can also be achieved by using itaconate derivatives for the preparation of TPEEs soft segments (Fig. 7). Dimethyl 2-methyl succinate (DM2MS) and 2-methyl butane diol (2m-BDO) were obtained by the hydrogenation of itaconic acid [111]. Condensation of the two monomers followed by polycondensation of the resulting IA-based polyol with PBT segmentswas used to prepare an IA-based TPEE. As shown in Table 3, IA-based TPEEs demonstrate compatible mechanical properties with commercial TPEEs and the elongation of bio-based elastomers increases along with an increase of polyol content, whereas tensile strength and hardness (Shore-D) values decrease. The degree of crystallinity of hard segments is critical to the performance of the resulting IA-based TPEE. Dicarboxylic acid sodium salt was used as a nucleating agent to enhance crystallinity of IA-based TPEE. The elastomer is amorphous at 200 °C. As observed with a polarized optical microscope, crystallization occurs as temperature drops below its crystallization temper-
Table 3: Physical properties of IA-based TPEE as a function of polyol loading.

Schematic representing synthetic routes of IA-based TPEE.
IA-polyol | Intrinsic viscosity (IV) | Tensile strength | Elongation | Shore-D |
---|---|---|---|---|
(wt.%) | (kgf/cm2) | (%) | ||
50 | 1.02 | 101 | 963 | 28 |
45 | 1.01 | 110 | 805 | 35 |
40 | 0.99 | 115 | 630 | 44 |
35 | 1.03 | 135 | 560 | 50 |
Table 4: Structural changes observed as a function of nucleation agent concentration.
Hard/soft | Nucleated agent | Tensile | Elongation | Crystallinity | Shore-D |
---|---|---|---|---|---|
segment | (in situ) | (kgf/cm2) | (%) | ΔH (J/g) | |
6 : 4 | — | 115 | 630 | 16.5 | 44 |
6 : 4 | NU-1 (2000 ppm) | 136 | 595 | 16.9 | 46 |
6 : 4 | NU-1 (5000 ppm) | 165 | 740 | 19.0 | 46 |
ature, Tc. Crystal growth rates of the elastomers with nucleating agent concentrations of 2000 and 5000 ppm at 100 °C are 0.30 and 0.67 μm/minute, respectively. Mechanical performance of IA-based TPEE improved as the crystallinity increased (Table 4).
An additional merit of these new IA-based TPEEs is their exceptional UV resistance. This is because an IA-based polyol consists of an ester group and tertiary substituted carbon. The two adjacent units in the elastomer backbone form a stable radical thus resisting polymer degradation upon UV irradiation. The radical created by UV radiation is stabilized and quenched in the sequential IA-polyol units eliminating cleavage along the main chain [112, 113]. IA-based TPEEs maintain mechanical properties even after 200 hours of UV light irradiation, whereas commercial TPEEs became brittle and fractured after comparable UV exposure.
Bio-based polyamides were synthesized by utilizing organic salts of itaconic acid and diamines in the presence of a sodium dihydrogen phosphate (NaH2PO4) catalyst to prevent blanching and crosslinking of the itaconic acid moiety [114]. Formation of a rigid N-substituted pyrrolidone ring in the polymer main chain renders biopolyamides with improved mechanical strength and environmental corrosion characteristic via a ring opening reaction. The biomass-derived polyamides have comparable thermal degradation temperature to those of polyhexamethylene adipamide (PA66) and polycaprolactam (PA6), whereas their glass transition temperatures of 80–97 °C are much higher than those of the two conventional polyamides. Althoughthe rigid pyrrolidone ring causes steric hindrance for interchain hydrogen bonding, biopolyamides demonstrate a superior mechanical strength (σ) of 90–165MPa and Young’s modulus (E) of 430–2800MPa, as compared to conventional polyamides. As-prepared biopolyamides are not soluble in water and adsorb less than 4% water. However, the biopolyamides are soluble in alkaline solution due to pyrrolidone ring-opening hydrolysis and corroded in soil with a pH between 8.5 and 8.9.
6 Conclusions
The development of efficient and cost-effective biorefineries using agricultural waste and inedible plant parts is essential for achieving a sustainable economic, ecological, and social system. Both succinic acid and itaconic acid consist of a C4 back bond with di-carboxyl acid and can be produced via biological routes with high efficiency. In addition to fermentation, research efforts are also focused on downstream processing, as product recovery costs account for up to 60–70% of the total production cost. Itaconic acid possesses an unsaturated vinyldine side chain that provides reactivity and UV-resistant characteristics for products or intermediates containing the moiety. Industrial synthesis of itaconic acid is currently based on a biological route using A. terreus. Applications of itaconic acid, at present, focus on specialty markets, such as those for latexes, TPEE, polyamides, paints, industrial adhesive, superabsorbents, detergents, and antiscaling agents. Potential pharmaceutical application has also been explored. However, large-scale applications of itaconic acid have yet to be identified. The feasibility of utilizing itaconic acid for the production of methyl methacrylate (MMA) could be a critical factor governing future market demand.
Succinic acid was predominantly produced from petrochemicals for applications in high-value niche markets of personal care and food additives as well as in large volume products of polyester, polyurethanes, plasticizers and coatings. To achieve high production efficiency, a combined anaerobic and aerobic strategy is often applied for the biosynthesis of succinic acid. A very high succinic acid titer of 146 g/l with 1.40 mol/mol yield was achieved under oxygen deprivation with intermittent additions of sodium bicarbonate. An on-line electrodialysis systemwas utilized to limit end-product inhibition and obtain a succinic acid productivity of 10.4 g/l/h at titer of 83 g/ l and a 1.35 mol/mol yield. Production capacity of bio-succinic acid exceeded succinic acid production via a petroleum route in 2013 due to its competitive manufacturing cost. Although current market demand is limited to about 50 000 tons, there is potential to utilize the platform chemical for the production of BDO, for which the annual global market exceeds three million tons.
Acknowledgements
This article is also available in: Luque/Xu, Biomaterials. De Gruyter (2016), isbn 978–3–11–034230–7.
References
[1] RESEARCH AND MARKETS. “Succinic Acid Market by Source, Application – Global Trends & Forecast to 2019”, December 2014.10.1016/S1364-5439(14)70256-4Search in Google Scholar
[2] Jansen ML, Gulik WMV. Current Opinion in Biotechnology, 2014, 30, 190–197.10.1016/j.copbio.2014.07.003Search in Google Scholar PubMed
[3] Zeikus JG, Jain MK, Elankovan P. Appl Microbiol Biotechnol, 1999, 51, 545–552.10.1007/s002530051431Search in Google Scholar
[4] Chimirri F, Bosco F, Ceccarelli R, Venturello A, Geobaldo F. Ital J Food Sci, 2010, 22, 119–125.Search in Google Scholar
[5] Cao Y, Zhang R, Sun C, Cheng T, Liu Y, Xian M. BioMed Research International, Volume 2013, Article ID 72341210.1155/2013/723412Search in Google Scholar PubMed PubMed Central
[6] Leszczewicz M, Walczak P. Biotechnol Food Sci, 2014, 78, 25–43.Search in Google Scholar
[7] Hajuan H, Yusoff WMW. Curr Res J Biol Sci, 2015, 7, 37–42.10.19026/crjbs.7.5205Search in Google Scholar
[8] Klement T, Büchs J. Bioresource Tech, 2013, 135, 422–431.10.1016/j.biortech.2012.11.141Search in Google Scholar PubMed
[9] Pinazo JM, Domin M. E, Parvulescu V, Petru F. Catalysis Today, 2015, 239, 17–24.10.1016/j.cattod.2014.05.035Search in Google Scholar
[10] McKinlay JB, Vieille C, Zeikus JG. Appl Microbiol Biotechnol, 2007, 76, 727–740.10.1007/s00253-007-1057-ySearch in Google Scholar PubMed
[11] Roland Berger Strategy Consultants, Bioplastics Market Study, August 2012.Search in Google Scholar
[12] Xu J, Guo BH. Microbiol Monographs, 2010, 14, 347–388.10.1007/978-3-642-03287-5_14Search in Google Scholar
[13] Beauprez JJ, De Mey M, Soetaert WK. Process Biochemistry, 2010, 45, 1103–1114.10.1016/j.procbio.2010.03.035Search in Google Scholar
[14] Wilke D. Appl Microbiol Biotechnol, 1999, 52, 135–145.10.1007/s002530051500Search in Google Scholar PubMed
[15] Cheng KK, Zhao XB, Zeng J, Zhang JA. Biofuels, Bioprod Bioref, 2012, 6, 302–318.10.1002/bbb.1327Search in Google Scholar
[16] Cheng KK, Wang GY, Zeng J, Zhang JA. BioMed Research International, Volume 2013, Article ID 538790.10.1155/2013/538790Search in Google Scholar PubMed PubMed Central
[17] McKinlay J, Vieille C, Zei J. Appl Microbiol Biotech, 2007, 76, 727–740.10.1007/s00253-007-1057-ySearch in Google Scholar PubMed
[18] Shui Z, Qin H, Wu B, Tan F, Wang J, He M. Chin J Appl Environ Biol, 2015, 21, 10–21.Search in Google Scholar
[19] Isar J, Agrawal L, Saran S, Kaushik R, Saxena RK. Anaerobe, 2007, 13, 50–56.10.1016/j.anaerobe.2006.12.002Search in Google Scholar PubMed
[20] McKinlay JB, Vieille C. Metab Eng, 2008, 10, 55–68.10.1016/j.ymben.2007.08.004Search in Google Scholar PubMed
[21] Okino S, Noburyu R, Suda M, Jojima T, Inui M, Yukawa H. Appl Microbiol Biotechnol, 2008, 81, 459–464.10.1007/s00253-008-1668-ySearch in Google Scholar PubMed
[22] Guetter MV, Rumler D, Jain MK. Int J Syst Bacteriol, 1999, 49, 207–216.10.1099/00207713-49-1-207Search in Google Scholar PubMed
[23] Meynial-Salles I, Dorotyn S, Soucaille P. Biotechnol Bioeng, 2008, 99, 129–135.10.1002/bit.21521Search in Google Scholar PubMed
[24] Lee SC, Kim HCJ. Membrane Sci, 2011, 367, 190–196.10.1016/j.memsci.2010.10.057Search in Google Scholar
[25] Andersson C, Hodge D, Berglund KA, Rova A. Biotechnol Prog, 2007, 23, 381–388.10.1021/bp060301ySearch in Google Scholar PubMed
[26] Wang J, Zhu J, Bennett GN, San KY. Metabolic Eng, 2011, 11, 328–335.10.1016/j.ymben.2011.03.004Search in Google Scholar PubMed
[27] Li J, Zheng XY, Fang XJ, Liu SW, Chen KQ, Jiang M, Wei P, Ouyang PK. Bioresource Tech, 2011, 102, 6147–6152.10.1016/j.biortech.2011.02.093Search in Google Scholar PubMed
[28] Dorado MP, Lin SKC, Koutinas A, Du C, Wang R, Webb C. J Biotechnol, 2009, 143, 51–59.10.1016/j.jbiotec.2009.06.009Search in Google Scholar PubMed
[29] Lin CKS, Luque R, Clark JH, Webb C, Du C. Biofuels, Bioprod Bioref, 2012, 6, 88–104.10.1002/bbb.328Search in Google Scholar
[30] Jantama K, Haupt MJ, Savoronos S, Zhang X, Moore JC, Shanmugam KT, Ingram L. O Biotech Bioeng, 2008, 99, 1140–1153.10.1002/bit.21694Search in Google Scholar PubMed
[31] Dittrich CR, Bennett GN, San KY. Biotechnol Prog, 2009, 25, 1304–1309.10.1002/btpr.222Search in Google Scholar PubMed
[32] Kang Z, Gao C, Wang Q, Liu H, Qi Q. Bioresour Technol, 2010, 101, 7675–7678.10.1016/j.biortech.2010.04.084Search in Google Scholar PubMed
[33] Kang Z, Du L, Kang J, Wang Y, Wang Q, Liang Q, Qi Q. Bioresour Technol, 2011, 102, 6600–6604.10.1016/j.biortech.2011.03.070Search in Google Scholar PubMed
[34] Lin CKS, Luque R, Clark JH, Webb C, Du C. Energy Environ Sci, 2011, 4, 1471–1479.10.1039/c0ee00666aSearch in Google Scholar
[35] Cok B, Tsiropoulos I, Roes AL, Patel MK. Biofuels, Bioprod Bioref, 2014, 8, 16–29.10.1002/bbb.1427Search in Google Scholar
[36] Datta R, Glassner DA, Vick Roy JR. Fermentation and Purification Process for Succinic Acid 1992, US Patent 5,168,055.Search in Google Scholar
[37] Luque R, Lin CKS, Du C, Macquarrie DJ, Koutinas A, Wang R, Webb C, Clark JH. Green Chem, 2009, 11, 193–200.10.1039/B813409JSearch in Google Scholar
[38] Delhomme C, Weuster-Botz D, Kühn FE. Green Chem, 2009, 11, 13–26.10.1039/B810684CSearch in Google Scholar
[39] Thomas DJ, Stammbach MR, Cant NW, Wainwright MS, Trimm DL. Ind Eng Chem Res, 1990, 29, 204–208..10.1021/ie00098a009Search in Google Scholar
[40] Turek T, Trimm DL, Black DS, Cant NW. Appl Catal A, 1994, 116, 137.10.1016/0926-860X(94)80285-8Search in Google Scholar
[41] Castiglioni GL, Fumagalli C. WO Patent 9938856, 1999.Search in Google Scholar
[42] Tong L, Wang H, Feng W, Gao G, Li X, Deng J, Zhang X. US Patent 5637735, 1997.Search in Google Scholar
[43] Lancia R, Vaccari A, Fumagalli C, Armbruster E. WO Patent 9522539, 1995.Search in Google Scholar
[44] Taylor PD, De T, Waldo B, Donald W. US Patent 5122495, 1992.Search in Google Scholar
[45] Suzuki S, Inagaki H, Ueno H. JP Patent 02233632, 1990.Search in Google Scholar
[46] Suzuki S, Inagaki H, Ueno H. EP Patent 373946, 1990.Search in Google Scholar
[47] Lyons JE. J Chem Soc, Chem Commun, 1975, 412.10.1039/C39750000412Search in Google Scholar
[48] Bianchi M, Menchi G, Francalanci F, Piacenti F, Matteoli U,Frediani P, Botteghi C. J Organomet Chem, 1980, 188, 109.10.1016/S0022-328X(00)83702-XSearch in Google Scholar
[49] Ikariya T, Osakada K, Ishii Y, Osawa S, Saburi M, Yoshikawa S. Bull Chem Soc Jpn, 1985, 157, 897.10.1246/bcsj.57.897Search in Google Scholar
[50] Inagaki H, Nighimura S, Yoshinori H, Wada K. Science and technology in catalysis, Kodanska Ltd.: Tokyo, 1994, 327.Search in Google Scholar
[51] Utsunomiya M, Mizoguchi M, Iwasaka H. WO Patent 2006041038, 2006.Search in Google Scholar
[52] Sugiyama H, Takahashi K, Usaka H. EP Patent 676239, 1995.Search in Google Scholar
[53] Fuchigami T, Wakasa N, Ka T, Koga K, Myake T. JP Patent 07017960, 1995.Search in Google Scholar
[54] Ly BK, Tapin B, Aouine M, Delichere P, Epron F, Pinel C, Especel C, Besson M. ChemCatChem, 2015, 7, 2161–2178.10.1002/cctc.201500197Search in Google Scholar
[55] Tapin B, Epron F, Especel C, Ly BK, Pinel C, Besson M. Catalysis Today, 2014, 235, 127–133.10.1016/j.cattod.2014.02.018Search in Google Scholar
[56] Shao Z, Li C, Di X, Xiao Z, Liang C. Industrial & Engineering Chemistry Research, 2014, 53, 9638–9645.10.1021/ie5006405Search in Google Scholar
[57] Liang C, Shao Z, Li C, Xiao Z. CN Patent 103113325, 2013.Search in Google Scholar
[58] Minh DP, Besson M, Pinel C, Fuertes P, Petitjean C. Topics in Catalysis, 2010, 53, 1270–1273.10.1007/s11244-010-9580-ySearch in Google Scholar
[59] Campos D. US Patent 20040122242, 2004.Search in Google Scholar
[60] Tooley PA, Black JR. US Patent 5985789, 1999.Search in Google Scholar
[61] Schwartz JT. US Patent 5478952, 1995.Search in Google Scholar
[62] Bockrath RE, Campos D, Schwartz JT, Stimek RT. US Patent 6008384, 1999.Search in Google Scholar
[63] Liu X, Wang X, XuG, Liu Q, Mu X, Liu H. Journal of Materials Chemistry A: Materials for Energy and Sustainability, 2015, 3, 23560–23569.10.1039/C5TA03843JSearch in Google Scholar
[64] You C, Zhang C, Chen L, Qi Z. Applied Organometallic Chemistry, 2015, 29, 653–660.10.1002/aoc.3342Search in Google Scholar
[65] Hong UG, Kim JK, Lee J, Lee JK, Song JH, Yi J, Song IK. Journal of Industrial and Engineering Chemistry, 2014, 20, 3834–384010.1016/j.jiec.2013.12.087Search in Google Scholar
[66] Hong UG, Kim JK, Lee J, Lee JK, Song JH, Yi J, Song IK. Applied Catalysis, A: General, 2014, 469, 466–471.10.1016/j.apcata.2013.10.029Search in Google Scholar
[67] Hong UG, Park HW, Lee JW, Hwang S, Kwak J, Yi J, Song IK. Journal of Nanoscience and Nanotechnology, 2013, 13, 7448–7453.10.1166/jnn.2013.7849Search in Google Scholar PubMed
[68] Hong UG, Park HW, Lee J, Hwang S, Yi J, Song IK. Applied Catalysis, A: General, 2012, 415–416, 141–14810.1016/j.apcata.2011.12.022Search in Google Scholar
[69] Hong UG, Park HW, Lee J, Hwang S, Song IK. Journal of Industrial and Engineering Chemistry, 2012, 18, 462–468.10.1016/j.jiec.2011.11.054Search in Google Scholar
[70] Hong UG, Hwang S, Seo JG, Yi J, Song IK. Catalysis Letters, 2010, 138, 28–33.10.1007/s10562-010-0368-2Search in Google Scholar
[71] Budroni G, Corma A. Journal of Catalysis, 2008, 257, 403–408.10.1016/j.jcat.2008.05.031Search in Google Scholar
[72] Deshpande RM, Buwa VV, Rode CV, Chaudhari RV, Mills PL. Catalysis Communications, 2002, 3, 269–274.10.1016/S1566-7367(02)00119-XSearch in Google Scholar
[73] Werpy T, Petersen G. Top value added chemicals from biomass, in Laboratory TPNNLatNRE, editor. Richland, WA Department of Energy, 2004.Search in Google Scholar
[74] Baup S. Ann Chim Phys, 1837, 19, 29.10.1002/jlac.18360190107Search in Google Scholar
[75] Corma A, Iborra S, Velty A. Chemical Reviews, 2007, 107, 2411–502.10.1021/cr050989dSearch in Google Scholar
[76] Willke T, Vorlop KDB. Appl Microbiol and Biotechnol, 2001, 56, 289–295.10.1007/s002530100685Search in Google Scholar
[77] Dwiarti L, Yamane K, Yamatani H, Kahar P, Okabe M. J Bioscience and Bioengineering, 2002, 94, 29–33.10.1016/S1389-1723(02)80112-8Search in Google Scholar
[78] Determination of market potential for selected platform chemicals, itaconic acid, succinic acid, 2,5-furandicarboxylic acid. Bratislava, Slovakia: WEASTRA.Search in Google Scholar
[79] Okabe M, Lies D, Kanamasa S, Park EY. Appl Microbiol Biotechnol, 2009, 84, 597–606.10.1007/s00253-009-2132-3Search in Google Scholar
[80] Winskill N. J Gen Microbiol, 1983, 129, 2877–2883.10.1099/00221287-129-9-2877Search in Google Scholar
[81] Bentley R, Thiessen CP. J Biological Chemistry, 1957, 226, 673–687.10.1016/S0021-9258(18)70850-8Search in Google Scholar
[82] Bentley R, Thiessen CP. J Biological Chemistry, 1957, 226, 689–701.10.1016/S0021-9258(18)70851-XSearch in Google Scholar
[83] Bentley R, Thiessen CP. J Biological Chemistry, 1957, 226, 703–720.10.1016/S0021-9258(18)70852-1Search in Google Scholar
[84] Jaklitsch WM, Kubicek CP, Scrutton MC. J General Microbiology, 1991, 137, 533–539.10.1099/00221287-137-3-533Search in Google Scholar
[85] Bonnarme P, Gillet B, Sepulchre AM. J Bacteriology, 1995, 177, 3573–8.10.1128/jb.177.12.3573-3578.1995Search in Google Scholar
[86] Okamoto S, Chin T, Hiratsuka K, Aso Y, Tanaka Y, Takahashi T, Ohara H. J Gen Appl Microbiol, 2014, 60, 191–197.10.2323/jgam.60.191Search in Google Scholar
[87] Kanamasa S, Dwiarti L, Okabe M, Park EY. Appl Microbiol and Biotechnol, 2008, 80, 223–229.10.1007/s00253-008-1523-1Search in Google Scholar
[88] Steiger MG, Blumhoff ML, Mattanovich D, Sauer M. Frontiers in Microbiol, 2013, 4, 1–5.10.3389/fmicb.2013.00023Search in Google Scholar
[89] Klement T, Büchs J, Bioresource Technology, 2013, 135, 422–431.10.1016/j.biortech.2012.11.141Search in Google Scholar
[90] Yahiro K, Takahama T, Park YS, Okabe M. J Fement Bioeng, 1995, 79, 506–508.10.1016/0922-338X(95)91272-7Search in Google Scholar
[91] Li A, Van Luijk N, Ter Beek M, Caspers M, Punt P, Van der Werf M. Fungal Genet Biol, 2011, 48, 602–611.10.1016/j.fgb.2011.01.013Search in Google Scholar PubMed
[92] Okamoto S, Chin T, Nagata K, Takahashi T, Ohara H, Aso Y. J Biosci Bioeng, 2015, 119, 548–553.10.1016/j.jbiosc.2014.10.021Search in Google Scholar PubMed
[93] Liao JC, Chang PC. US Patent 8143036, 2010.Search in Google Scholar
[94] Fischer R, Pinkos R, Wulff-Doering J. DE Patent 19720657, 1997.Search in Google Scholar
[95] Weyer HJ, Fischer R, Merger F, Frank J, Henkelmann J, Siegel H, Ruehl T. DE Patent 4231782, 1992.Search in Google Scholar
[96] Weyer HJ, Fischer R, Merger F, Frank J, Henkelmann J, Siegel H, Ruehl T. US Patent 5536854, 1995.Search in Google Scholar
[97] Rao Velliyur NM. US Patent 4782167, 1988Search in Google Scholar
[98] Fischer R, Pinkos R, Wulff-Doring J. US Patent 6204417, 1998.Search in Google Scholar
[99] Mou X, Li S, Wang X, Yao S, Peng G, Jiang Y, Guo X, Zhou J. CN patent 104923218, 2015.Search in Google Scholar
[100] Besson M, Gallezot P, Pinel C. Chem Rev, 2014, 114, 1827–187010.1021/cr4002269Search in Google Scholar
[101] Huang Q, Yu W, Lu R, Lu F, Gao J, Miao H, Xu J. RSC Adv, 2015, 5, 97256–97263.10.1039/C5RA16239DSearch in Google Scholar
[102] Nôtre JL, Dijk SCMW, Haveren JV, Scott EL, Sanders JPM. ChemSusChem, 2014, 7, 2712–2720.10.1002/cssc.201402117Search in Google Scholar
[103] Carlsson M, Habenicht C, Kam LC, Antal MJJ, Bian N, Cunningham RJ, Jones M. J Ind Eng Chem Res, 1994, 33, 1989–199610.1021/ie00032a014Search in Google Scholar
[104] Mochizuki H, Hirami M. Polym Adv Technol, 1997, 8, 203–209.10.1002/(SICI)1099-1581(199704)8:4<203::AID-PAT627>3.0.CO;2-3Search in Google Scholar
[105] Baharu MN, Kadhum AAH, Al-Amiery AA, Mohamad AB. Green Chemistry Letters Reviews, 2015, 8, 31–38.10.1080/17518253.2014.991810Search in Google Scholar
[106] Stawski D, Polowinski S. Polimery, 2005, 50, 118–122.10.14314/polimery.2005.118Search in Google Scholar
[107] Polowinski S. Polimery, 2006, 51, 270–275.10.14314/polimery.2006.270Search in Google Scholar
[108] Bednarz S, Fluder M, Galica M, Bogdal D, Maciejaszek I. J Appl Polym Sci 2014, DOI: 10.1002/APP.40608.10.1002/app.40608Search in Google Scholar
[109] Rodriguez E, Katime I. Macromolecular Materials and Engineering, 2003, 288, 607–612.10.1002/mame.200350006Search in Google Scholar
[110] Mayumi J, Nakagawa A, Matsuhisa K, Takahashi H, Iijima M. Polymer J, 2008, 40, 1–9.10.1295/polymj.PJ2007124Search in Google Scholar
[111] Besler A, Harward, A, Marquard, W. Reaction networks – A rapid screening method, in Jezowski, J, Thullie, T. editors. 19th European Symposium on Computer Aided Process Engineering, 2009, p. 243–8.10.1016/S1570-7946(09)70041-0Search in Google Scholar
[112] Pan JQ, Zhang J. Polym Degrad Stabil, 1992, 36, 65–72.10.1016/0141-3910(92)90050-FSearch in Google Scholar
[113] Tabankia MH, Philippart JL, Gardette JL. Polym Degrad Stabil, 1985, 12, 349–362.10.1016/0141-3910(85)90125-9Search in Google Scholar
[114] Ali MA, Tateyama S, Oka Y, Kaneko D, Okajima MK. Macromolecules, 2013, 46, 3719–3725.10.1021/ma400395bSearch in Google Scholar
© 2016 by Walter de Gruyter Berlin/Boston
Articles in the same Issue
- Grignard reagents and Copper
- Novel nanoparticle materials for drug/food delivery-polysaccharides
- Neutron Activation Analysis of the Rare Earth Elements (REE) – With Emphasis on Geological Materials
- Grignard Reagents and Silver
- Biological routes to itaconic and succinic acids
Articles in the same Issue
- Grignard reagents and Copper
- Novel nanoparticle materials for drug/food delivery-polysaccharides
- Neutron Activation Analysis of the Rare Earth Elements (REE) – With Emphasis on Geological Materials
- Grignard Reagents and Silver
- Biological routes to itaconic and succinic acids