Home Methods to evaluate the scavenging activity of antioxidants toward reactive oxygen and nitrogen species (IUPAC Technical Report)
Article Open Access

Methods to evaluate the scavenging activity of antioxidants toward reactive oxygen and nitrogen species (IUPAC Technical Report)

  • Reşat Apak EMAIL logo , Antony Calokerinos , Shela Gorinstein , Marcela Alves Segundo , David Brynn Hibbert ORCID logo , İlhami Gülçin , Sema Demirci Çekiç , Kubilay Güçlü , Mustafa Özyürek , Saliha Esin Çelik ORCID logo , Luís M. Magalhães and Patricia Arancibia-Avila
Published/Copyright: November 15, 2021

Abstract

This project was aimed to identify the quenching chemistry of biologically important reactive oxygen and nitrogen species (ROS/RNS, including radicals), to show antioxidant action against reactive species through H‐atom and electron transfer reactions, and to evaluate the ROS/RNS scavenging activity of antioxidants with existing analytical methods while emphasizing the underlying chemical principles and advantages/disadvantages of these methods. In this report, we focused on the applications and impact of existing assays on potentiating future research and innovations to evolve better methods enabling a more comprehensive study of different aspects of antioxidants and to provide a vocabulary of terms related to antioxidants and scavengers for ROS/RNS. The main methods comprise the scavenging activity measurement of the hydroxyl radical (•OH), dioxide(•1–) (O2•–: commonly known as the superoxide radical), dihydrogen dioxide (H2O2: commonly known as hydrogen peroxide), hydroxidochlorine (HOCl: commonly known as hypochlorous acid), dioxidooxidonitrate(1–) (ONOO: commonly known as the peroxynitrite anion), and the peroxyl radical (ROO•). In spite of the diversity of methods, there is currently a great need to evaluate the scavenging activity of antioxidant compounds in vivo and in vitro. In addition, there are unsatisfactory methods frequently used, such as non-selective UV measurement of H2O2 scavenging, producing negative errors due to incomplete reaction of peroxide with flavonoids in the absence of transition metal ion catalysts. We also discussed the basic mechanisms of spectroscopic and electrochemical nanosensors for measuring ROS/RNS scavenging activity of antioxidants, together with leading trends and challenges and a wide range of applications. This project aids in the identification of reactive species and quantification of scavenging extents of antioxidants through various assays, makes the results comparable and more understandable, and brings a more rational basis to the evaluation of these assays and provides a critical evaluation of existing ROS/RNS scavenging assays to analytical, food chemical, and biomedical/clinical communities by emphasizing the need for developing more refined, rapid, simple, and low‐cost assays and thus opening the market for a wide range of analytical instruments, including reagent kits and sensors.

1 Common methods to assess ROS/RNS scavenging capacity measurement

1.1 Measurement of ROS-scavenging capacity

Oxidative stress plays an important role in the pathogenesis of various diseases including cancer, cardiovascular and neurodegenerative diseases, and aging [1, 2]. Oxidative stress is initiated by reactive oxygen species (ROS), including oxygen radicals (i.e., hydroxyl (•OH), peroxyl (ROO•), dioxide(•1-) (O2•–), and alkoxyl (RO•)) and certain nonradicals that are either oxidizing agents and/or easily radical-convertible species, such as hydroxidochlorine (HOCl), singlet dioxygen (1O2), and dihydrogen dioxide (H2O2). These radicals are formed by a one-electron reduction process of dioxygen (O2). The mitochondrial respiratory chain is an important source of ROS production in the cell, and it has been suggested that mitochondria are prime targets for oxidative mitochondrial damage in a range of phatologies [3]. Among these ROS, O2 has the one-electron-reduced form of oxygen and H2O2 has the two-electron-reduced form of oxygen. Actually, both O2 and H2O2 are not highly reactive by themselves. On the other hand, in the presence of transition metal salts (especially those of Fe and Cu), they can produce very reactive species such as •OH [4]. Radicals can serve useful functions in the human body, so the real role of antioxidants (AOXs) is not thoroughly extinguishing radicals in the body. There is a critical balance between ROS and antioxidants. It can be defined as redox biology [5].

ROS can easily initiate the peroxidation of membrane lipids, causing damage of the cell membrane of phospholipids and lipoprotein by propagating a chain reaction cycle. Thus, antioxidant defense systems have coevolved with aerobic metabolism to counteract oxidative damage from ROS. Most living species have efficient defense systems to prevent themselves against oxidative stress induced by ROS [6]. Recently the growing interest in finding antioxidants that can scavenge O2, •OH, and H2O2 is becoming increasingly recognized. Hence, simple and sensitive methods for the determination of related ROS and of the scavenging activity of antioxidants are necessary. The aim of the developed spectrophotometric procedures is to resolve shortcomings and limitations of the available methods in the literature for the determination of reactive species scavenging activity. The ROS scavenging activity assays were classified as follows: ROO• scavenging activity, O2 scavenging activity, H2O2 scavenging activity, •OH scavenging activity, HOCl scavenging activity, and 1O2 scavenging activity assays.

1.1.1 Scavenging of dioxide(•1–)

Dioxide(•1–) is a reactive radical as the product of the one-electron reduction of dioxygen (O2), which can be generated in a variety of biological systems either from several metabolic processes or by enzyme-catalyzed reactions (xanthine oxidase) involved in aerobic metabolism [7], [8], [9]. Dioxide(•1–) is the precursor of H2O2, 1O2, and •OH in the body, which cause cell damage by initiating the peroxidation of the membranal lipids [10, 11], thus playing an important role in a wide variety of pathologies, such as aging and cancer [12].

The scavenging activity towards O2 of the tested antioxidants is measured in terms of the prevention of dioxide(•1–) generation from the hypoxanthine-xanthine oxidase reaction system; the strategy is to measure the optical absorbance decrease due to decreased p‐nitroblue tetrazolium‐formazan formation from dioxide(•1–) [9]. Xanthine oxidase reduces oxygen while catalyzing the oxidation of hypoxanthine to xanthine and can further catalyze the oxidation of xanthine to uric acid and H2O2.

(1)hypoxanthine +2O2+H2 xanthine +2O2+2H+
(2)xanthine +O2+H2Ouric acid +H2O2

The extent of this reaction is determined by the ability of O2 to reduce p-nitroblue tetrazolium (NBT) (1,1′-3,3′-dimethoxy(1,1′-biphenyl)bis[2-(4-nitrophenyl)-methyl-2H-tetrazolium dichloride]) to formazan at pH 7.4 [13], which can be measured spectrophotometrically at 560 nm [9]. Dioxide(•1–) can also be generated through a non-enzymatic reaction of 5-methylphenazin-5-ium methoxidotrioxidosulfate(1–) (PMS) in the presence of nicotinamide adenine dinucleotide (NADH) and dioxygen and determined by the same (NBT) colorimetric test [14]. The decrease in color intensity arising from the chromogenic reaction of dioxide(•1–) with NBT in the presence of antioxidants indicates the O2 scavenging activity.

There are also some other oxidizing agents used in several studies. Instead of NBT, cytochrome c (Cyt c) is used as a probe for O2 [7]. Reduction of ferricytochrome was kinetically monitored at a wavelength of 550 nm [14]. A high‐throughput method based on Cyt c inhibition was applied in a 96‐well micro‐plate by Quick and co-workers [15]. According to Aruoma et al. [14], inhibition of Cyt c by radical scavenger molecules was less efficient than that of NBT. The reduction reaction of Cyt c is nonspecific, as this probe may be reduced by many reducing compounds such as vitamin C or other antioxidants present in foodstuffs [16].

(3)Cytochrome3+c+O2Cytochrome2+c+O2

As the classical NBT/formazan reaction produces an insoluble product, the highly water-soluble tetrazolium salt, WST-1 (sodium 4-[3-(4-iodophenyl)-2-(4-nitrophenyl)-2H-tetrazol-3-ium-5-yl]benzene-1,3-disulfonate), can be reduced to water-soluble formazan with O2. Water-soluble tetrazolium (WST-1) assay was applied to detect the O2 generated during the Maillard reaction by Ukeda and co-workers [17]. It was found that the specificity of WST-1 to the O2 was superior to that of Cyt c. Xu et al. developed a new method for screening O2 scavenging using benzene-1,2,3-triol (pyrogallol) as the O2--generating system and a WST-1 probe which can be adapted to the microplate format [18].

Another commonly used spectrophotometric assay is chemiluminescence (CL) assay, which has some drawbacks. Chemiluminescent agents such as luminol (5-amino-2,3-dihydrophthalazine-1,4-dione) or lucigenin (10,10′-dimethyl-9,9′-biacridine-10,10′-diium dinitrate) act as both the probe and O2 generator because they can reduce O2 to O2 by themselves, in the presence of any univalent oxidant, acting as a source of O2 [19, 20]. Oxidized luminol reacts with O2 to produce a transient endoperoxide, which in turn decomposes to aminophthalate by giving light emission [19]. Thus, neither luminol nor lucigenin can be a reliable probe for the O2 scavenging assay [16]. Hydroethidine (HE: 2,7-diamino-10-ethyl-9-phenyl-9,10-dihydrophenanthridine) was used as a fluorescent probe, which was oxidized by the O2 generated by the xanthine/xanthine oxidase system. The inhibition of loss of intensity of HE in the presence of antioxidants was monitored [21]. Hydroethidine is a specific probe for O2 because it is oxidized to 2-hydroxyethidium (3,8-diamino-5-ethyl-2-hydroxy-6-phenylphenanthridin-5-ium) by O2, resulting in an increase in fluorescence intensity. Zhang et al. applied this protocol with less solvent volume in a short time by using a fluorometric micro-plate reader [16].

Electron spin resonance (ESR) spin trapping is a most commonly used technique that requires nitrone. The nitrone spin trap, 2,2-dimethyl-3,4-dihydro-2H-pyrrole-1-oxide (DMPO), is commonly used to study radicals; DMPO produces spin-trapped adducts with characteristic ESR spectra as a result of its reaction with O2 [22]. However, this technique has some drawbacks such as the consumption of large amounts of DMPO, high cost of the ESR instrument, and its limited applicability [16].

Dioxide(•1–) scavenging activity can be evaluated by quantifying products of the enzymatic reaction, containing uric acid and O2. Luminol-based on-line HPLC-CL screening systems for antioxidants possessing the ability to scavenge O2 were developed, owing to the selectivity of HPLC (with CL detection) for antioxidants [23]. A high-throughput 96-well plate method alternative to conventional xanthine oxidase/xanthine assay with acceptable precision, accuracy, and stability was developed and validated by Tao and co-workers [24]. This assay was applied to pure AOX compounds (rosmarinic acid ((2R)-3-(3,4-dihydroxyphenyl)-2-{[(2E)-3-(3,4-dihydroxyphenyl)-2-propenoyl]oxy}propanoic acid), resveratrol ((E)-5-(4-hydroxystyryl)benzene-1,3-diol), rutin (2-(3,4-dihydroxyphenyl)-5,7-dihydroxy-4-oxo-4H-chromen-3-yl 6-O-(6-deoxy-α-L-mannopyranosyl)-β-D-glucopyranoside), etc.) and food extracts (rosemary, ginger, green tea, etc.). In recent years, mass spectrometry-based methods as a sensitive, rapid, and accurate tool have been successfully and widely used for screening xanthine oxidase inhibition and O2 scavenging simultaneously. A screening method based on ultra-high performance liquid chromatography (UHPLC) and triple quadrupole mass spectrometry (TQ-MS) was developed to quantify the products of the enzymatic reaction, uric acid and O2, indirectly [25]. During this process, WST-1, which can react with O2, was applied. Compared with the commonly used spectroscopic methods, the UHPLC-TQ-MS method is sensitive, accurate, and fast; moreover, it can eliminate false positive and false negative results.

1.1.2 Scavenging of the hydroxyl radical

The hydroxyl radical (•OH) is one of the most ROS, reacting with almost all substances. Although direct determination of scavenging of •OH is not easy in vivo, there are a number of in vitro methods for this purpose in the literature. In most of these methods, •OH is produced by using a Fenton system comprising (Fe3+ + EDTA + H2O2 + ascorbic acid).

(4)Fe2++H2O2intermediate complexesFe3++OH+OH

This reaction, known as ‘Fenton reaction’, was discovered in 1876. Fenton reaction can take place in the body, catalyzed by transition metal ions and/or their weakly bound complexes. To avoid the harmful effects of Fenton chemistry, availability of iron(II) and H2O2 is controlled in the body [26]. Another source for •OH formation is Haber–Weiss reaction, catalyzed by trace amounts of transition metal ions. The reaction mechanism can be summarized as follows:

(5)Fe3++O2Fe2++O2(reduction of Fe3+ by O2)
(6)Fe2++H2O2Fe3++OH+OH(Fenton Reaction)
(7)Net: O2+H2O2Fe salt cat.O2+OH+OH

(It can be called iron-catalyzed Haber–Weiss reaction) [27].

Alternatively, •OH can be formed from the reaction between dimethyl sulfoxide (DMSO) and H2O2 or can be obtained from photochemical decomposition of H2O2 [28].

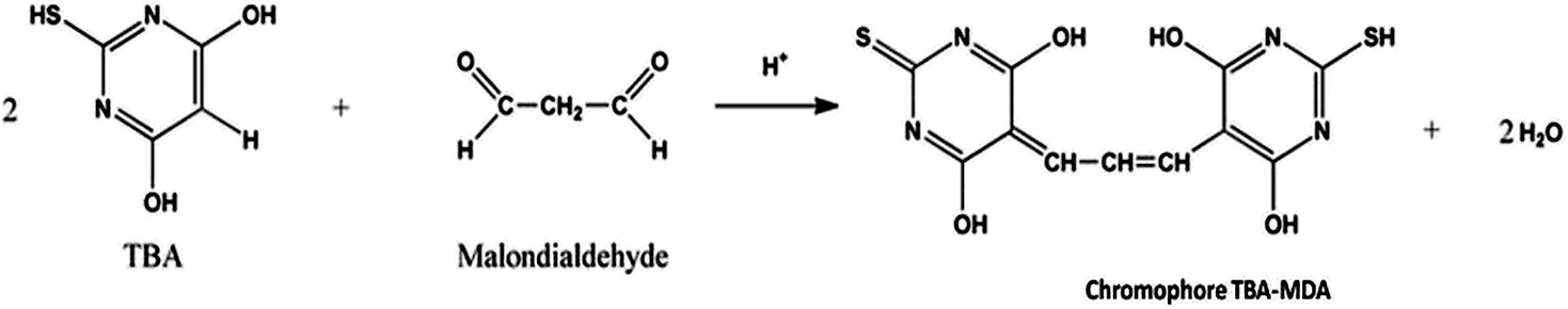
One of the most common •OH determination methods is the indirect 2-deoxy-D-ribose (2-deoxy-D-erythro-pentose) assay. It is also known as the ‘thiobarbituric acid-reactive-substances’ (TBARS) assay. In this method, 2-deoxy-D-ribose is used as a target molecule and •OH attacks the sugar. The generated fragments can react with thiobarbituric chromogene according to the reaction given below:(8)

In the presence of •OH scavengers, the intensity of the pink color decreases [29]. The method is highly open to interferences. The absence of EDTA causes a chelate formation between iron(III) and 2-deoxy-D-ribose and it leads to ‘site specific’ •OH damage. Iron(III) chelators can be identified by this method [30, 31]. This method was used by different researchers. For example, Ghiselli et al. [32] determined phenolic fractions obtained from red wine. Tazawa et al. [33] used the method to determine small molecular-weight apple pectic oligosaccharides, while Barthomeuf et al. [34] used it for a high molecular-weight hydroxycinnamate-derived polymer. In another study, Martínez Tomé et al. [35] determined antioxidant activities of broccoli amino acids. In the application of the method, the presence of certain iron chelators (such as histidine-containing peptides, known to be not true inhibitors of lipid peroxidation) attenuated the damage caused by •OH, and the related TBARS color intensity decreased. Yamaguchi et al. [36, 37] developed a H2O2/NaOH/DMSO system in order to decide whether the reaction mechanism depends on radical scavenging or metal ion chelation. In the study, researchers determined the •OH scavenging activity of Garcinia extracts and grape seed.

Avoiding the interference effects of metal chelators, Zhu et al. developed an organic Fenton reaction [38]. In this method, tetrachlorohydroquinone (TCQH) and H2O2 were mixed, and salicylic acid (used as the •OH-detecting probe) was hydroxylated in this manner. Dihydroxybenzoic acid (DHBA) isomers, derived from the hydroxylation of salicylic acid, were determined by HPLC-ED. In the presence of H2O2 scavengers, salicylic acid is oxidized to a smaller degree [38]. There is a fluorometric assay in the literature for •OH prevention capacity measurement developed by Ou et al. [39]. In the procedure, fluorescein (2-(2,7-dichloroxanthen-9-yl)benzoic acid) was used as the target material (probe) and •OH was produced from a Fenton-like reaction using cobalt(II). The fluorescence decay of the probe versus time was quantified as in the ORAC assay, and gallic acid (3,4,5-trihydroxybenzoic acid) was used as the reference standard material [39].

The hydroxyl radical (•OH) can be determined by ESR in the presence of DMPO (used as the radical trap), and scavenger compounds reduce the generation of the DMPO-OH adduct [40]. There are different CL-based assays in the literature to determine the •OH scavenging capacity [41], [42], [43], [44]. In these methods, iron(II) and dioxygen produce •OH that induces CL of luminol. Under these conditions, a mixture of different ROS (such as •OH, O2, and H2O2) was obtained, so it is hard to assess the •OH scavenging capacity alone.

When •OH forms nitroxide adducts with the widely used spin trap DMPO, the resulting DMPO-OH radical adduct has a characteristic ESR response. Although •OH is very short-lived, these adducts are stable for relatively long times. Spin trapping is a highly effective way for characterization and quantitative determination of oxygen radicals [45]. Hydroxyl radical (•OH) scavenging effects of different samples were investigated by researchers such as for onion skin flavonoids [46], different tea extracts [47], various plant extracts [40], furan fatty acids [48], garcinol obtained from Garcinia indica fruit [37], grape seed [36], and garlic [49]. Saint-Cricq de Gaulejac et al. generated •OH via the Fenton method and used it to cause DNA damage, which they called ‘3D (damaged DNA detection) assay’. The researchers examined the protective effect of grape seed extracts against DNA damage [50].

1.1.3 Scavenging of dihydrogen dioxide (hydrogen peroxide)

Dihydrogen dioxide has some beneficial effects in the human body such as contribution to activation of phagocytes. Also it has been reported that H2O2 plays an important role as a messenger molecule [9]. Dihydrogen dioxide may be generated under certain physiological conditions in vivo. It emerges with the aid of some oxidative enzymes such as glucose oxidase. Dihydrogen dioxide can be determined spectrophotometrically with the aid of its intrinsic UV light absorption at 230 nm [51, 52]. Dihydrogen dioxide is consumed in the presence of ROS scavengers, resulting in a decrease in the recorded absorbance. Yen and Chen applied the method to measure H2O2 scavenging activity of tea extracts [47]. It is clear that the UV method is highly open to interferences from many UV-absorbing organic substances. On the other hand, performing a blank measurement can improve the accuracy and precision of determination. Another common approach is using fluorometric probes; these probes are either ‘turn-on’ where H2O2 increases the probe fluorescence or operate in the ‘turn-off’ mode in which a fluorescent material turns into a non-fluorescent product upon H2O2 addition. As an example, horseradish peroxidase (HRP) catalyzes the oxidation of scopoletin (7-hydroxy-6-methoxy-2H-chromen-2-one) to a non-fluorescent product with H2O2 [53]. The presence of H2O2 scavengers in the reaction medium causes a difference in the measured fluorescence, but the actual reaction mechanism is not easy to explain. After development of this assay, Martínez-Tomé et al. applied this method to determine the antioxidant activity of Mediterranean food species (i.e., annatto, cumin, oregano, sweet and hot paprika, rosemary, and saffron) [54].

In another study, homovanillic acid was used as the fluorogenic reagent. It was reported by the researchers that homovanillic acid was more stable than scopoletin [55]. In the peroxidase-based methods, when antioxidants exist in the reaction medium, it is possible for AOX to react with either H2O2 or enzyme intermediates. Certain AOX substances such as ascorbic acid, quercetin, and thiols may be the substrate of peroxidases and this may lead to error in the calculation of H2O2 scavenging capacity. There is also a spectrophotometric method for H2O2 determination in the literature involving titanium (IV) reaction with H2O2 to form a stable peroxidotitanate (IV) complex. After dissolving the complex in acid medium, the resulting absorbance is read at 410 nm. Although the method is not too sensitive, it is quite selective and some researchers used this colorimetric method to determine H2O2 in some berry fruit juices [56, 57]. Then, an alternative nonenzymatic method was developed by Arnous et al. [58] using peroxyoxalate CL, in which 9,10-diphenylanthracene is used as the probe (fluorophore) in the presence of imidazole as the catalyst. Dihydrogen dioxide scavengers inhibit the CL. This method works in a nonpolar environment and it is suitable for lipophilic AOXs. There are different chemiluminometric detection methods in the literature, e.g., luminol [59] and lucigenin [60, 61] are other reagents for chemiluminometric determination of H2O2 scavenging capacity. Luminol, a chemiluminometric reagent, can be oxidized by H2O2 depending on the ROS generation system used, whereas the chemiluminometric intensity can decrease as H2O2 is consumed by AOX compounds.

1.1.4 Scavenging of the peroxyl radical

Oxygen radical absorption capacity (ORAC) assay: The ‘oxygen radical absorption or absorbance capacity’ (ORAC) assay was initially developed by Cao et al. [62, 63]. It initially used β-phycoerythrin (β-PE), a protein isolated from Porphyridium cruentum, as an oxidizable protein substrate and (E)-2,2′-diazenediylbis(2-methylpropanimidamide) (AAPH) as a ROO• generator [64]. The original assay measured the antioxidant activity against ROO• based on the detection of chemical damage to β-PE through the time-dependent decrease in the fluorescence intensity of the β-PE indicator protein. Antioxidants are completely oxidized before the β-PE protein reacts with ROO• because this protein reacts with oxygen radicals over 100 times slower than most biological AOXs such as thiols, uric acid, bilirubin, and ascorbate. Cao and co-workers [62] quantified the level of AOX protection by assessing the area under the fluorescence decay curve (AUC) of the sample as compared to that of the blank. Thus, this method claims to combine both the inhibition percentage and inhibition time of radical action by AOX into a single quantity [64]. Results were expressed as Trolox (6-hydroxy-2,5,7,8-tetramethylchroman-2-carboxylic acid) equivalents. The net AUC was obtained by subtracting the AUC of the blank from that of the sample. One ORAC unit denotes the antioxidant activity which increases the area under the β-PE decay curve by 100 %.

The relative ORAC value (Trolox equivalents) was calculated as follows:

(9)Relative ORAC value=[(AUCSampleAUCBlank)/(AUCTroloxAUCBlank)]×(concentration of Trolox/concentration of sample)

The β-PE probe is relatively photosensitive and can be photobleached after an exposure to excitation light. It was observed that β-PE interactions with polyphenols could cause underestimation of antioxidant capacity. Owing to these inherent disadvantages, the ORAC assay was significantly improved by Ou and co-workers [65] by changing the older probe with fluorescein (2-(2,7-dichloroxanthen-9-yl)benzoic acid) (FL) as a fluorescent probe for monitoring oxidation by ROO• (ORAC-FL). Fluorescein as compared to β-PE does not interact with AOX, shows greater stability and specificity and excellent photostability for the determination of antioxidant activity against ROO•, and further reduces the cost of experiments [65]. However, this probe has also some drawbacks: the ORAC-FL assay overestimates the capacity of a weak antioxidant, and the ORAC value does not correlate with the capacity for inhibition of radical-mediated oxidation [2, 66, 67]. Although the ORAC-FL method was initially developed to evaluate the activity of hydrophilic AOX, Huang et al. [68] extended the ORAC method to lipophilic AOX using the cyclic oligosaccharide, randomly methylated β-cyclodextrin, as a solubility enhancer, which allows one to measure the antioxidant capacities of both lipophilic and hydrophilic compounds in a given sample using the same ROO• source (ORACFL-LIPO). However, a high concentration of this oligosaccharide necessarily used in the lipophilic ORAC assay may cause underestimation of antioxidant capacity by incomplete release of AOX from the cyclodextrin complex. Naguib [69] measured the activity of lipophilic AOX in an organic lipid environment and liposomal medium by employing a nonpolar BODIPY (1-(difluoroboryl)-3-ethyl-5-[(Z)-(4-ethyl-3,5-dimethyl-2H-pyrrol-2-ylidene)methyl]-2,4-dimethyl-1H-pyrrole, commonly known as dipyrrometheneboron difluoride) fluorophore as the indicator of ROO•. Peroxyl radical scavenging activities of water-soluble and lipid-soluble AOX in samples are evaluated by the hydrophilic ORAC (H-ORAC) and lipophilic ORAC (L-ORAC) methods, respectively [70]. The analytical precision of the H-ORAC method was improved [71]. Huang et al. [72] developed an instrumental high-throughput platform (COBAS FARA II) that can fully automate the ORAC assay procedure, resulting in improved efficiency using a robotic eight-channel liquid handling system and a microplate fluorescence reader. The major advantages of the ORAC assay are the use of ROO• as the biologically familiar reactant, with the redox potential and reaction mechanism (i.e., hydrogen atom transfer vs. electron transfer) similar to those of physiological oxidants, and the selection of physiological pH so that antioxidants react with an overall charge and hydronation (protonation) state similar to that in the body. However, this assay is temperature-sensitive, and thus, small differences in temperature adversely affect the reproducibility of the method; furthermore, it needs fluorometers, which may not be routinely available in analytical laboratories (compared to the less costly colorimeters). Hurdles and pitfalls in measuring AOX efficacy with the ORAC method were extensively described by Schaich et al. [73]. This method (ORAC) was to found to be highly affected by nonpolar solvents in the test medium and by possible polyphenol interactions with other food constituents [74].

Peroxyl Radical Scavenging Capacity (PSC) Assay: The peroxyl radical scavenging capacity (PSC) assay is based on the degree of inhibition of 2,7-dichlorospiro[2-benzofuran-1,9-xanthes]3-one (DCFH) oxidation by AOX that scavenges ROO• generated from thermal degradation of 2,2′-azobis(amidinopropane) and is used to determine the antioxidant capacity in hydrophilic and lipophilic extracts of fruits, vegetables, grains, and whole food [75]. Hydrophilic peroxyl radical scavenging capacity (hydro-PSC) assay was modified as a lipophilic peroxyl radical scavenging capacity (lipo-PSC) assay, using a mass fraction w = 12 % randomly methylated β-cyclodextrin prepared in a volume fraction ϕ = 0.50 acetone:water to increase the solubility of lipophilic compounds and extracts in aqueous solution.

The areas under the fluorescence reaction time kinetic curve (AUC) for both control and samples were included and used as the basis for the determination of PSC using the equation

(10)PSC(Value)=1(SA/CA)

where SA is the AUC for the sample or standard dilution and CA is the AUC for the control reaction. Compounds or extracts inhibiting the oxidation of DCFH produced lesser SA and higher PSC values. The dose required to cause 50 % inhibition (IC50 or PSC unit equals 0.5) for each pure compound or sample extract, was used to assess antioxidant activity of different compounds or samples. Results obtained for sample extract antioxidant activities were expressed as the amount (micromoles) of vitamin C or vitamin E equivalents per 100 g or 100 mL of the sample in the hydrophilic and lipophilic PSC assays respectively [75].

Total radical-trapping antioxidant parameter (TRAP) Assay: The TRAP assay developed by Wayner et al. [76] has been widely used to determine the total antioxidant activity based on measuring oxygen consumption in a thermostated oxygen electrode cell during a controlled lipid oxidation reaction induced by thermal decomposition of AAPH. Probes used for TRAP assays include dichlorofluorescein diacetate [77], fluorescein [78], phycoerythrin [79], luminol [80], and ABTS [81]. The expression of results is given as the amount (millimoles) of ROO• trapped by volume (liter) of the related solution [77]. The main disadvantage of this method lies in the oxygen electrode end-point. An oxygen electrode could not sustain its stability over the required period of time, so this method was modified to use luminol-enhanced CL as the end-point that provides greater precision. In this system, ROO• enhanced the CL reaction. The CL was attenuated in the presence of AOX, the duration of which was directly proportional to the radical trapping ability of the AOX sample.

1.1.5 Scavenging of singlet dioxygen

Singlet dioxygen is more reactive than O2 because common triplet O2 cannot accept a pair of electrons simultaneously to its antibonding molecular orbitals due to spin constraint; 1O2 is formed from O2 by energy intake and rearrangement of electrons. This rearrangement increases the oxidizing ability so 1O2 can oxidize proteins, DNA, and lipids [82]. Although 1O2 is not a radical, it is one of the most powerful ROS and it can react with a number of biomolecules directly [83]. Excited 1O2 emits characteristic phosphorescence when it decays to the ground state, so 1O2 scavenging capacity can be measured using this light intensity. Self-emission of 1O2 is not suitable for reproducible quantitative determination. Later, a more sensitive fluorescence method was reported depending on scavenging of 1O2 delayed fluorescence of tert-butyl-phthalocyanine [84]. The method was applied to the determination of β-carotene, α-tocopherol, and lauric acid. Costa et al. developed a fluorescence-based microplate screening assay, which was applied to the determination of several commonly used AOX [85].

In another study, Wang and Jiao [57] produced 1O2 using sodium oxidochlorate(1–) and dihydrogen dioxide. To determine 1O2, the authors slightly modified the spectrophotometric method of Chakraborty and Tripathy [86]. The decrease in the color intensity of N,N-dimethyl-4-nitrosoaniline in neutral medium (achieved with a phosphate buffer) was measured at 440 nm, which in turn was proportional to the amount of 1O2. Absorbance was recorded in the presence and absence of 1O2 scavenging samples (fruit juice), and the relative scavenging capacity was calculated from absorbance difference.

1.1.6 Scavenging of hydroxidochlorine

Heme-peroxidase enzyme myeloperoxidase (MPO) catalyzes the oxidation of Cl, Br, and SCN by H2O2 to generate the powerful oxidants hydroxidochlorine (HOCl), hydroxidobromine (HOBr), and (hydroxylsulfanyl)carbonitrile (HOSCN), respectively. Among the ROS, hydroxydohalogens (HOX; X: Cl, Br, or SCN) have potent antibacterial activities under normal function of the mammalian immune system. If HOCl or HOBr levels are excessive, they react directly with amino acids and proteins as major targets, but carbohydrates, thiol-containing AOX, membrane lipids, and DNA are also affected [87], [88], [89], [90]. Many compounds can act as HOCl scavengers, such as ascorbic acid, albumin [89], 3,4,5-trihydroxybenzoic acid and derivatives [14], and carotenoids [91]. Enzymatic α1-antiproteinase assay is used for the determination of HOCl scavenging activity. The myeloperoxidase system can itself cause tissue damage. Hydroxidochlorine rapidly inactivates α1-antiproteinase, permitting uncontrolled proteinase activity and allowing neutrophil elastase to digest lung elastin. To test the scavenger mixture for its antioxidant activity, α1-antiprotease is added for direct inactivation by the remaining HOCl. Elastase enzyme and phosphate buffer (pH 7.4) are added to the mixture if there is still active α1-antiprotease to inhibit elastase. The elastase substrate (N-succinyl-Ala-Ala-Ala-4-nitroanilide) is added to the mixture to measure elastase activity by monitoring the absorbance increase at 410 nm [92]. The protection of scavengers against inactivation of α1-antiprotease is generally focused to determine good scavenging activity of these compounds. Therefore, reactions with HOCl were examined by using the elastase assay to determine the antioxidant activities of compounds [93]. According to this assay, compounds which have inhibitory effects on the activities of either enzyme could falsely be interpreted to be HOCl scavengers [94]. In addition, the fact that both the detector molecule (probe) and the HOCl scavenger analyte may simultaneously absorb light at the selected analytical wavelength is a frequently encountered interference in these spectrophotometric methods [95].

2-Nitro-5-sulfanylbenzoate (TNB), a colored product of the reaction of Ellman’s reagent DTNB (5,5′-disulfanediylbis(2-nitrobenzoic acid)) with free thiols, absorbs strongly at 412 nm allowing for facile detection at µM concentrations of thiols with the reaction (DTNB + RSH→TNB + RS−TNB (mixed disulfide)). This system was used to detect hydroxidochlorine scavenging activity by measuring inhibition of TNB oxidation to DTNB induced by HOCl [96]. In the TNB method, scavengers containing free thiol groups such as glutathione (GSH) and cysteine react with DTNB, so excess of TNB can be found in samples [97, 98]. Therefore, this assay could not be applied to real samples such as tissue homogenate and/or serum, which contain endogenous AOX [97].

To quantitatively detect chlorinating species generated by neutrophils, the ability of HOCl, which rapidly reacts with the β-amino acid taurine, to form the stable oxidant taurine chloramine (2-(chloroamino)ethane-1-sulfonic acid) was measured [99].

(11)HOCl+H2N-CH2CH2SO3HtaurineClNH-CH2CH2SO3H+H2Otaurine chloramine

Although taurine chloramine can be quantitated directly by its absorbance at 250 nm, the system is not sufficiently sensitive for neutrophil studies because of the low molar absorption coefficient of taurine chloramine (398 M−1 cm−1). Since taurine chloramine is the 2-e oxidized form of taurine, its concentration can be sensitively determined by its ability to oxidize 2 moles of the sulfanyl (commonly known as sulfhydryl) compound TNB to 1 mol of the disulfide DTNB or 2 moles of I to 1 mol of I2. The concentration of taurine chloramine produced in the absence and presence of the scavenger varies with the activity of scavengers.

Özyürek et al. [100] developed a spectrofluorometric method for HOCl scavenging activity measurement using a highly sensitive and chemically stable fluorogenic probe, resorcinol (benzene-1,3-diol). In this assay, resorcinol is chlorinated to its nonfluorescent products (2,4,6-trimethylbenzene-1,3-diol) in the presence of HOCl. Scavengers compete with resorcinol for HOCl during the incubation period. The scavenging activity of polyphenols was determined using the relative increase in fluorescence intensity of the resorcinol probe. The HOCl scavenging activity was calculated with the aid of Eq. 12, where I0 is the fluorescence intensity of the resorcinol probe initially (i.e., prior to HOCl attack) and I1 and I2 are the fluorescence intensities of the resorcinol probe after chlorination in the absence and presence of polyphenolic scavenger, respectively.

(12)Inhibition ratio(%)=100((I2I1)/(I0I1))
(13)

Catalase (CAT) inactivation assay developed by Aruoma and Halliwell [101] is based on the inactivation of CAT enzyme with HOCl after incubation at 37 °C. Catalase was assayed by the fall in absorbance at 404 nm in the presence of HOCl, possibly due to the loss of iron from the heme groups of CAT by oxidative degradation. Hydroxidochlorine scavenging activity can be determined by monitoring absorbance values of the incubation mixture in the presence and in the absence of the scavenger because CAT inactivation by HOCl is inhibited by scavengers [102]. However, this assay can be interfered by enzyme inhibitors other than the tested scavengers. Hydroxidochlorine scavenging activity of samples including H2O2, leading to CAT consumption, could not be tested accurately. The assay developed by Yan et al. [103] is concerned with the inhibition of the formation of carbonyl groups with HOCl. The increase in carbonyl content of bovine serum albumin (BSA) is inhibited in the presence of scavengers depending on the concentration. However, carbonyls can be formed by other oxidation mechanisms, so this assay may give conflicting results [100].

p-Aminobenzoic acid (PABA) was used as a fluorometric probe (λex = 280 nm; λem = 340 nm), based on p-aminobenzoic acid chlorination. Decrease in the fluorescence intensity of p-aminobenzoic acid, depending on the formation of the reaction product 4-amino-3-chlorobenzoic acid is monitored. This decrease in the presence of HOCl scavengers is inhibited according to the activity of the scavenger [95]. Scavenging activity is generally expressed as 50 % of the inhibitory concentration (IC50) value, which represents the concentration of test or reference compounds required to give a 50 % reduction in enzyme inactivation relative to the blank not containing the sample. The lower the IC50 value, the higher the scavenging capacity of the compound.

1.2 Measurement of RNS-scavenging capacity

Reactive nitrogen species (RNS), such as nitrogen monoxide (•NO) and its higher oxides (dioxidooxidonitrate(1–)), play important roles as signaling molecules during many physiological processes [104]. RNS are very important for humans to maintain homeostasis and health, but uncontrolled and excess RNS have been implicated in the pathogenesis of various diseases (i.e., cancer, cardiovascular and neurodegenerative diseases, and aging).

1.2.1 Scavenging of the nitrogen monoxide radical

Nitrogen monoxide, a stable radical with a low ionization energy, is the focus of intense research, owing primarily to its wide-ranging physiological and biological properties. Analytical methods for •NO are challenged by its unique chemical and physical properties, including its reactivity (e.g., rapidly scavenged by biologically important compounds including heme proteins, thiols, and O2), short half-life (typically on the order of seconds for •NO), and rapid diffusion. Various analytical techniques (mainly spectroscopic and electrochemical methods) have emerged for the detection of •NO.

Nitrogen monoxide is also a small molecule produced in various mammalian cells through the conversion of amino acid L-arginine to L-citrulline by nitrogen monoxide synthases (NOSs) [105]. This radical is a multifunctional molecule that plays a role in a variety of homeostatic biochemical and physiological processes (i.e., signal transduction, peristalsis, and immune system control). This radical can also cause tissue injury and inflammation. Because of its importance in both human health and disease, many different types of fluorescent probes for this radical in various matrixes have been explored.

Non-fluorescent napththalene-2,3-diamine (DAN) rapidly reacts with the NO-derived molecule (N2O3) produced from the reaction of •NO with O2, leading to the formation of a highly fluorescent product, a triazole compound: 2H-naphtho[2,3-d][1,2,3]triazole (λexcitation = 375 nm; λemission = 415 nm) [106]. This probe can be used to quantify •NO in an in vivo system with lower detection limits (10 nmol L−1). The main limitation of this assay is the slow kinetic step of forming N2O3, which was overcome with an oxidant radical molecule (4,4,5,5-tetramethyl-3-oxido-2-phenyl-4,5-dihydroimidazol-3-ium-1-oxyl).

A selective and sensitive fluorescent indicator (diaminofluoresceins: DAFs) for the determination of •NO in cultured rat muscle cells was proposed by Kojima et al. [107] together with possible reaction mechanisms. The method is based on a fluorescent chemical transformation reaction of DAFs with •NO in the presence of O2, yielding a highly green-fluorescent compound (e.g., DAF diacetate derivative (DAF-2 DA): λexcitation = 495 nm; λemission = 515 nm). It was reported that DAFs, which contain acetyl groups, do not react directly with •NO but rather with the oxidized form of this radical. This method featured a 10 nM detection limit and good linearity for •NO.

Nitrogen monoxide generated from a sodium pentacyanido(nitrosyl)ferrate(II) (commonly known as nitroprusside) system can be spectrophotometrically measured with the Griess reagent, after conversion to nitrite [108]. The Griess diazotization reaction has been used since 1858 but is specific for nitrite. The •NO scavenging capacity of some flavonoids was measured, and anthocyanidins (cynadin and pelargonidins) were found to be the most effective •NO scavengers which correlated with their therapeutic activity [109].

Wang et al. [110] synthesized CdSe-ZnS nanocrystals as fluorophores linked to tris(N-(dithiocarboxy)sarcosine)iron(III) for more specific •NO sensing. The fluorescence of the quantum dots (QDs) was quenched by energy transfer between the excited QD cores and the surface-bound iron(III) dithiocarbamates, where •NO selectively restored the fluorescence of the QDs through reduction of the surface-bound iron(III) complexes to iron(I)-NO adducts [110]. As this energy transfer pathway was shut down only by •NO, this nanoprobe exhibited high sensitivity (with a detection limit of 3.0 µM) and high selectivity for •NO over other RNS and ROS.

Sasaki et al. [111] synthesized novel near-infrared (NIR) fluorescent probes for •NO, diaminocyanines (DACs), based on the photoinduced electron transfer mechanism. These probes can be classified into two types; DAC-P with two propyl groups, and DAC-S with sulfonate groups which are highly soluble in water. Because the reaction of DACs with •NO is fast and the observed NIR fluorescence is less subject to interference by biological materials, these probes can be employed to monitor •NO in isolated organs.

Meineke et al. [112] developed a fluorescent •NO cheletropic (cycloaddition) assay which is different from most of the other fluorometric assays for •NO in the sense that the fluorophore is produced directly by the reaction of the trapping agent with •NO and leads to a permanent incorporation of the latter in the fluorescent phenanthrene product (i.e., a cyclic nitroxide). Finally, •NO is trapped without its prior transformation to other nitrogen species, which assures its specificity for •NO.

Electron paramagnetic resonance (EPR) is a highly selective and sensitive technique for the measurement of •NO by spin trapping reagents (spin-trap: dithiocarbamate compounds) [113] with lower detection limits (pmol). The approach is based on the reaction of •NO with various iron complexes, both intrinsic and exogenously applied. Dithiocarbamates can improve the existing protocols for biological NO/Fe-NO spin trapping [113]. Iron-dithiocarbamates (Fe(S2CN-R R′)2) as a spin-trap with different side groups (R and R′: methyl-, ethyl-, glucamine-, sarcosine-, or amino acids) are commonly used for EPR which exploits the high affinity of •NO [114, 115].

Nitrogen monoxide electrodes have been widely used by clinical scientists as they represent a relatively cheap and easy means to detect •NO [116]. Some of these •NO electrodes are the platinum/Teflon-coated electrode and the homemade platinum/iridium (Pt/Ir) microelectrode [117]. Shibuki developed an electrochemical microprobe to effectively detect the release of endogenous •NO in brain tissue [118].

1.2.2 Scavenging of the dioxidooxidonitrate(1–) anion

The dioxidooxidonitrate(1–) anion (ONOO), which is produced via the reaction of •NO with O2 (i.e., NO+O2ONOO) by cells such as endothelial cells, leukocytes, macrophages, and neutrophils, is a strong oxidant and is seen as a highly reactive molecule responsible for the oxidative damage of biological macromolecules such as lipids, proteins, and carbohydrates [119]. The dioxidooxidonitrate(1–) anion also forms an adduct with CO2 (presumed to have the formula [ONOOC(O)O]) which decomposes to generate a carbonate radical and •NO2 dissolved in body fluid under physiological conditions. Similar to other ROS, when the production of ONOO is not adequately controlled, it may give rise to adverse effects in the organism, parallel with a decrease in the AOX defense system. The dioxidooxidonitrate(1–) anion, once hydronated under physiological conditions to give peroxynitrous acid (HOONO, pKa = 6.8), is mostly trapped in vivo by thiol-type AOX; only a minor part is transformed into radicals. Peroxynitrous acid (ONOOH) is also a very strong oxidant [120]. The mechanism of ROS damage is the nitration or hydroxylation of aromatic compounds, such as tyrosine. Nevertheless, ONOO might be a more likely source of radicals in living organisms than Fenton reactions. In addition to the generation of a prooxidant species, the formation of ONOO results in decreased bioavailability of •NO, therefore diminishing its salutary physiological functions [121]. In this context, AOX compounds (e.g., thiols) present in the organism’s defense system can eliminate the negative effects of ONOO. Another distinguishing feature of ONOO from primary ROS may be its protein hazard in terms of irreversible oxidation on thiol groups [122].

In general, limited analytical methods have been developed for the determination of ONOO scavenging activity. The detection of ONOO in biological systems was complicated by the following reasons: (i) direct isolation and detection of ONOO is difficult because of the elusive nature of ONOO; (ii) suitable detector molecules that can efficiently outcompete the multiple reactions of ONOO are required; (iii) footprints totally specific of ONOO reactions are not present; (iv) discrimination between the biological effects of ONOOversus that of its precursors (•NO and O2•–) and other •NO-derived oxidants is difficult [121].

There are several fluorogenic compounds, which have been used to determine ONOO concentrations at the single-cell level. 2,7-Dichlorodihydrofluorescein (DCDHF: 2-(2,7-dichloroxanthen-9-yl)benzoic acid), 2,7-dichlorofluorescein (DCFH: 2,7-dichlorospiro[2-benzofuran-1,9-xanthes]3-one), dihydrorhodamine 123 (DHR-123: methyl 2-(3,6-diamino-9H-xanthen-9-yl)benzoate), dihydrofluorescein (HFLUOR), and rhodamine B hydrazide are often used to detect the production of ONOO in cells via oxidation to their respective fluorescent products [123]. To define which biological oxidants might be involved, these fluorogenic probes were exposed to a number of oxidants in vitro to determine which are capable of oxidizing these compounds. These methods are based on the oxidation of the reduced nonfluorescent forms of fluorescent dyes (e.g., rhodamine and fluorescein) by ONOO to produce the parent dye molecule, resulting in a dramatic increase in fluorescence intensity [123]. These fluorescent probes have been ventured for the detection of ONOOin vitro, but these have proved undependable either because of a lack of specificity toward ONOO or incompatibility with cells [124]. Kooy et al. [125] developed a fluorometric ONOO scavenging activity method based on the inhibition of the oxidation of DHR-123 by ONOO. The initial rate approach was used to quantify ONOO scavenging activity. Seemingly, Chung et al. [126] studied the ONOO scavenging and cytoprotective capacity of a marine algal extract with the same method. Pannala et al. [127] also investigated the properties of hydroxycinnamate antioxidants to decrease ONOO-mediated nitration of tyrosine. It was found that these compounds inhibit nitration of tyrosine. However, this method relies on the time-consuming HPLC separation and quantification of nitrotyrosine. On the other hand, Sun et al. [128] developed a novel fluorescent BODIPY-type probe (boronate-based isolated probe: HKGreen-2) for the intracellular detection of ONOO in biological samples, which is based on the specific reaction between ONOO and ketone through a photoinduced electron transfer mechanism. This probe shows high selectivity for ONOO over other ROS (i.e., HOCl, •OH, H2O2, 1O2, O2, and ROO•) and RNS (i.e., NO2, NO3, and •NO) because of the enhanced interaction between boron and amine groups (N-B interaction).

In another fluorometric method, a folic acid probe, a known ONOO scavenger, was evaluated for ONOO, based on the oxidation of the reduced, low-fluorescent folic acid by ONOO to produce a highly fluorescent product [129]. Compared to the commonly used probe DHR-123, the fluorogenic probe has some advantages (i.e., higher sensitivity, availability, greater photostability, and non-toxic properties) [130]. On the other hand, it is important to note that ONOO scavenging activity estimation is less affected by some metal ions (i.e., Cu2+, Mn2+, and Fe3+) in this assay because of the reaction between related metal ions and ONOO.

Liang et al. developed a novel spectrofluorometric method for the determination of ONOO [131] based on a mimetic enzyme-catalyzed reaction with hemoglobin and L-tyrosine as the catalyst and substrate, respectively. In this method, hemoglobin is oxidized by ONOO to form methemoglobin first, resulting in the isomerization of ONOO. Second, tyrosyl radicals are formed from isomerization of ONOO in the presence of the carbonate radical anion. Finally, a dimeric product with strong florescence intensity at 410 nm is formed through the polymerization of tyrosyl radicals. This method is simple and highly sensitive for the detection of ONOO with a detection limit of 0.5 nM.

An electrochemical method for ONOO was proposed by Zakharova et al. [132], based on direct voltammetric detection of ONOO on a mercury film electrode (MFE) at alkaline pH as an inverse cathodic peak when the potential is scanned anodically [132]. Amperometric ONOO ultramicrosensors (UMSs) were designed and constructed by electropolymerizing an inorganic macromolecular film of tetraaminophthalocyaninemanganese(II) and coating chemically with poly(4-vinylpyridine) by Xue et al. [133]. These sensors, based on electrocatalytic reduction of ONOO, involved multivalent manganese macrocyclic complexes and showed high selectivity and sensitivity for ONOO. Advancements and challenges in the field of ONOO biosensors and probes for in vivo and in vitro studies were reviewed by Peteu et al. [134], where the design of real-time in vivo monitoring of ONOO in very complex media and for clinical tests was considered as a significant challenge.

2 Automatic methods for assessing ROS/RNS scavenging capacity

Automatic flow-based methods were first proposed by Jarda Ruzicka and Elo Hansen in 1975 [135]. They represented a disruptive concept in Analytical Sciences because up to that moment, chemical analysis required physical–chemical equilibria. Flow injection analysis is based on three principles: (i) reproducible insertion of sample in a flowing carrier; (ii) controlled dispersion of the sample along the transport through the flow system; and (iii) reproducible time for sample transport between the point of insertion and detection. Hence, as long as repeatable conditions are attained, there is no need for chemical equilibria as samples and standards are evaluated in the same way. In fact, the application of flow-based methods to assess antioxidant capacity against ROS/NOS has been revised in 2009 [136]. Since then, about 18 papers have been published about this topic.

The evaluation of total antioxidant capacity (TAC), targeting ROS, is the most frequent application using flow-based systems (Fig. 1). Different mechanisms have been applied to generate the target species, namely through Fenton-like reaction, using cobalt(II) or manganese(II) in the presence of H2O2 [137, 138]. Total antioxidant capacity based on total reducing capacity was also assessed after copper(II) reduction to copper(I) as a neocuproine complex [139]. In the flow system proposed by Kool and co-workers [140], both ROS-producing and ROS-scavenging species were assessed. The methodology comprised the detection of H2O2 through the fluorescent dimer resulting from the oxidation of (4-hydroxyphenyl)acetic acid in the presence of horseradish peroxidase. Furthermore, superoxide dismutase (SOD), which catalyzed the formation of H2O2 from O2, was also present in the reaction media. Therefore, pro-oxidants (after cytochrome P450/cytochrome P450 reductase-mediated bioactivation) were converted by SOD to H2O2 and detected as such, providing an increase in fluorescence. In presence of antioxidants, ROS (and consequently H2O2) were depleted, resulting in decreased fluorescence.

Fig. 1: 
          Distribution concerning ROS/RNS species targeted in flow-based systems.
Fig. 1:

Distribution concerning ROS/RNS species targeted in flow-based systems.

Many reports (17 %) deal with the scavenging capacity against H2O2, using most frequently, luminol-based detection (Fig. 1). Spectrophotometric or fluorimetric detection has also been applied. In fact, several reactions based on colorimetric detection have been compared concerning their sensitivity and reaction mechanism for the detection of H2O2 [141], including the oxidation of iodide, the formation of the titanium-peroxide complex, the formation of the titanium-xylenol orange-peroxide complex, the oxidation of 4-(4-amino-2,6-dimethylphenyl)-2,3-dichloro-5,6-dimethylaniline, and the co-oxidation of 4-hydroxybenzene-1-sulfonic acid and 4-aminoantipyrine (4-amino-1,5-dimethyl-2-phenyl-1,2-dihydro-3H-pyrazol-3-one). All methods, except for that based on the formation of the titanium-peroxide complex, could cope with H2O2 determination in the range of 10–1000 μM, corresponding to the local concentration of H2O2 found under inflammatory conditions. In order to circumvent possible interferences from redox reactions applied on the detection of H2O2, the fluorometric detection based on the formation of the europium-tetracycline-H2O2 complex has been proposed, using conditions close to those found in vivo regarding pH (6.9), temperature (37 °C), and H2O2 concentration (25 μM) [142].

Finally, evaluation of scavenging capacity against other ROS and RNS using flow-based methods has also been described, as detailed in Table 1 for most of the studies not mentioned in the previous review. In fact, most of the methods rely on luminol-based CL detection. However, the utilization of luminol should be carefully considered because radical species generated from its oxidation may also deplete the AOX pool present in the sample, providing lower results for scavenging capacity. Another feature that should be considered is the pH of reaction media, as discussed below. For attaining biologically relevant results, it is essential to devise methodologies where the interaction between AOX and ROS/RNS occurs at physiological pH. Most of the studies presented in Table 1 do not comply with this requirement, with assessment taking place at alkaline pH (> 8).

Table 1:

Flow-based methods for the determination of scavenging capacity against ROS.

Reactive species Flow method Detection probe Source of reactive species pH value Detection system Application to samples Det. Rate (h−1) RSD (%) Reference
Alkoxyl radicals FIA DMPO AAPH 7.4 Electron spin resonance spectroscopy pure compounds (Trolox, caffeic acid, 4-hydroxycinnamic acid, epinephrine, rutin, (+)-catechin, l-tryptophane, and D-mannitol.) 30 < 5 [143, 144]
Alkoxyl radicals FIA Pyrogallol red AAPH 7.4 Spectrophotometric pure compounds, beverages, and saliva 29 < 4.9 [144]
Alkoxyl radicals FIA DMPO AIBN ng Electron spin resonance spectroscopy pure compounds (tocopherol derivatives and unsaturated fatty acids) NG NG [145]
Dihydrogen dioxide SIA luminol 9.5 Chemiluminescence serum NG NG [146]
Dihydrogen dioxide FIA several 7.4 Spectrophotometric pure compounds (reduced glutathione, Trolox, caffeic acid, 3,4,5-trihydroxybenzoic acid, catalase, and drugs) 26 1 [141]
Dihydrogen dioxide MSFIA europium-tetracycline-H2O2 complex 6.9 Fluorometric pure compounds (glutathione reduced, pyruvate, cysteine, taurine, and adenine) 36 1.6 [142]
Dihydrogen dioxide FIA luminol 9.6 Chemiluminescence Polysaccharides from plant NG NG [147]
Oxidochlorate(1–) SIA luminol 9.5 Chemiluminescence Serum NG NG [146]
Nitrogen monoxide MSFIA 4,5-diaminofluorescein (DAF-2) NOC-9 7.4 Fluorometric endogenous antioxidant molecules, pharmaceutical compounds, and human plasma 16 < 9 [148]
Nitrogen monoxide SIA luminol NOR-1 8.2 Chemiluminescence serum NG NG [146]
Dioxidooxidonitrate(1–) FIA luminol NaNO2 + H2O2 8.3 Chemiluminescence pure compounds (ascorbic acid, Trolox, and ascorbyl palmitate) 20 < 10 [149]
Singlet dioxygen MPFS luminol dismutation of dihydrogen dioxide catalyzed by molybdate ions 11.5 Chemiluminescence pure compounds (ascorbic acid, dipyrone, and tryptophan) 45 < 4 [150]
Singlet dioxygen SIA luminol H2O2 + lactoperoxidase 4.5 Chemiluminescence Serum 60 < 5 [146]
Dioxide(•1–) SIA luminol hypoxanthine + xanthine oxidase 8.2 Chemiluminescence Serum NG NG [146]
Dioxide(•1–) FIA luminol hexacyanidoferrate(III)–pyrogallol 10.8 Chemiluminescence pure compounds (5′-nucleotides) NG NG [151]
Dioxide(•1–) FIA luminol autoxidation of pyrogallol 9.95 Chemiluminescence polysaccharides from plant NG NG [147]
TAC FIA (4-hydroxyphenyl)acetic acid (+ HRP) cytP450 + SOD + HRP 7.8 Fluorometric pure compounds (l-ascorbic acid and l-glutathione) 12 3.3 [140]
TAC FIA copper(II)-neocuproine complex 7.0 Spectrophotometric urine and serum 15 < 1 [139]
TAC FIA bis(2,4,6-trichlorophenyl) oxalate H2O2 + manganese(II) ng Chemiluminescence edible oils NG < 2 [138]
TAC SIA luminol H2O2 + cobalt(II) alkaline Chemiluminescence wines 60 < 3.4 [137]
TAC FIA luminol H2O2 + ferrocyanide 7.2 Chemiluminescence polysaccharides from plant NG ng [147]
TAC FIA luminol H2O2 + cobalt(II) + EDTA 9.0 Chemiluminescence plant extracts NG < 3 [152]
TAC FIA copper(II)- bathocuproine@disulfonic@acid complex 7.0 Spectrophotometric serum, tear, and saliva NG < 3 [153]
TAC SIA luminol H2O2 + iron(III) 7.2 Chemiluminescence fruit extracts 30 NG [154]
  1. FIA – Flow injection analysis; MPFS – Multi-pumping flow system; MSFIA – Multi-syringe injection analysis; SIA – Sequential injection analysis; NG - not given.

    DMPO – 2,2-dimethyl-3,4-dihydro-2H-pyrrole-1-oxide; AIBN – 2,2′-diazenediylbis(2-methylpropanenitrile); AAPH – (E)-2,2′-diazenediylbis(2-methylpropanimidamide); NOC- 9 – 6-(2-hydroxy-1-methyl-2-nitrosohydrazin-1-yl)-N-methylhexan-1-amine; NOR-1 – (±)-(E)-4-methyl-2-((E)-hydroxyimino)-5-nitro-6-methoxyhex-3-enamide.

    cytP450 – cytochrome P450s/cytochrome P450 reductase-containing rat liver microsomes; dipyrone: a non-steroidal anti-inflammatory drug.

Automation of AOX assessment improves the performance of chemical methods concerning several aspects [155, 156]. First of all, strict control of reaction time is attained, increasing the repeatability of assays. When a reactive species is formed, it is convenient that the antioxidant effect is exerted as fast as possible. Hence, evaluating this effect is most significant for in vivo extrapolation of beneficial effects. Flow-based systems can fulfill this requirement, exposing the AOX compound to ROS/RNS during a few seconds, after which its effect is evaluated. This was performed for HOCl in a MSFIA system [94], where the reaction between HOCl and drugs with AOX effects took place during 3 seconds. In this work, another feature of flow systems was successfully exploited: the capacity of physically separating successive reactions by the addition of reagents through the flow network. As mentioned before, the detection by luminol CL takes place at alkaline pH, which hinders the evaluation of the AOX effect at physiological pH. In the proposed flow system, the AOX reaction is separated from the detection step; therefore, different pH values can be established. This aspect was useful to evaluate the AOX effect of oxicam ((Z)-3-[hydroxy(pyridine-2-ylamino)methylene]-2-methyl-2H-thieno[2,3-e][1,2]thiazin-4(3H)-one 1,1-dioxide) drugs. When tested for the scavenging effect at pH 7.4 and HOCl luminol-based detection at pH 10.0, they provided an IC50 similar to the positive control (lipoic acid), showing that they exert a fast scavenging effect against HOCl at physiological pH. However, when both steps take place at pH 10.0, IC50 values were 100 times larger, providing an erroneous idea about oxicams properties.

Another relevant feature is the reproducible conditions attained in flow-based systems, where reagents are mixed inline, fostering in situ production of reactive species. This characteristic has been exploited in several studies, including the production of •NO from 6-(2-hydroxy-1-methyl-2-nitrosohydrazin-1-yl)-N-methylhexan-1-amine (NOC-9) [148], O2 from hypoxanthine in the presence of xanthine oxidase [146], 1O2 from H2O2 in the presence of lactoperoxidase [146], and ONOO from NaNO2 and H2O2 [149].

For •NO production, NOC-9 solution was prepared at alkaline pH, and by inline addition of 0.1 M phosphate buffer pH 7.4, the pH was changed to a value suitable for •NO formation. Moreover, the reaction coil was heated to 37 °C, increasing the rate of formation and providing a similar temperature to that found in the human body [148].

The inline production of ONOO was achieved through the reaction H2O2 + NO2 → ONOO + H2O, performed by mixing a carrier solution of 75 mM NaNO2 in 50 mM phosphate buffer (pH 7.4) at a flow rate of 0.06 mL min−1 with a solution of 0.05 % H2O2 in 50 mM phosphate buffer (pH 8.3). This strategy provides a constant flux of the target reactive species [149]. Nevertheless, contamination from H2O2 may be found, unless CAT is applied.

The utilization of flow-based systems also fostered the miniaturization of the analytical procedure, downscaling analysis to the microlitre/low-millilitre level. As an example, sample volumes between 10 and 200 μL were applied for serum and urine. The automatic preparation of standard solutions for IC50 determination has also been implemented through successive dilutions and computer control, using an ancillary mixing chamber [148]. This feature reduced sample manipulation, the volume of solutions prepared (towards Green Chemistry implementation), and contributed to improved repeatability.

Flow-based systems, in particular those based on Sequential Injection Analysis (SIA), offer additional versatility regarding the implementation of different assays using the same manifold. For example, in the work performed by Kishikawa et al. [146] where human serum samples from diabetic, rheumatoid arthritis, and healthy subjects were analyzed regarding the scavenging capacity against ROS/RNS, the same SIA system was applied. By placing different solutions in the lateral ports of the selection valve and by changing the analytical protocol through computer control, evaluation of scavenging capacity against HOCl, •NO, 1O2, O2•–, and H2O2 was attained using luminol-based chemistry. Analytical cycles were fast, taking between 1 and 1.5 min, allowing analysis of a large number of clinical samples (n > 100), which showed differences of antioxidative activities between healthy subjects and those affected by ROS-mediated diseases.

A step further mechanistic investigation was proposed by Ribeiro et al. using a MSFIA system to perform previous incubation of H2O2, the model antioxidant (GSH), and a surrogate biological target, followed by evaluation of the remaining H2O2, using fluorometric detection as described before [142]. These two reaction steps were also physically separated, by using two reaction coils and stopped-flow conditions that allowed the entrapment of the reaction zone in each coil, successively. The scavenging effectiveness of GSH against H2O2 depended on the biological molecule present, with an additive response towards taurine, a lack of protection for adenine, and partial protection of cysteine.

3 Antioxidative enzymatic scavenging and measurement of ROS

3.1 Antioxidant enzymes

ROS are the endogenous species of normal cellular metabolism. These reactive and unstable compounds are inevitably generated in the oxidative processes of living organisms. Moderate concentrations of ROS have beneficial physiological functions such as intra-cellular signalling, cellular defence against infective agents, and induction of a mitogenic response [157]. ROS are continuously generated in the body during normal use of oxygen such as some cell mediated immune functions and respiration [158, 159]. They can easily initiate membrane lipid peroxidation, causing the accumulation of lipid peroxides [160]. However, the excessive production of radicals can cause damage to crucial biomolecules such as lipids, nucleic acids, proteins, polyunsaturated fatty acids, DNA, and carbohydrates and in cells, leading to several degenerative diseases including inflammation, cancer, cardiovascular diseases, neurological disorders, and diabetes [161, 162]. Also, ROS are the likely cause of more than a hundred diseases including malaria, heart disease, acquired immunodeficiency syndrome, arteriosclerosis, stroke, cancer, and diabetes [163, 164]. The most undesired effect of ROS is probably DNA damage that can lead to mutations [165]. There is a balance between the produced and used amount of ROS [5, 166]. Although the required amount of ROS plays a vital role in maintaining the normal functions of organisms, their excessive amounts cause oxidative stress [167, 168]. Generally, all the living organisms are well protected against ROS and radical damage by endogenous antioxidant enzymes including SOD, glutathione peroxidase (GPx), glutathione reductase (GR), and CAT (Fig. 2). Nonetheless, these enzymes are commonly inadequate when it comes to completely preventing degenerative diseases and other health problems [169]. The significance of AOX enzymes in modulating the oxidative risk for vascular disease has been previously reported [170]. Antioxidant enzymes can function as biomarkers in various human diseases because they are the first to indicate the redox state through oxidation and reduction processes [171]. The level of H2O2 or hydroperoxides and other ROS can be elevated either by their enhanced production or decreased activity of the defence system. Under oxidative stress conditions, the activities of antioxidant enzymes such as SOD, CAT, GR, and GPx are generally increased in the metabolism, and in many cases, these activities correlate well with enhanced tolerance [172].

Fig. 2: 
            Chemical reactions catalyzed by AOX enzymes in the cellular system. O2•– can be converted to dihydrogen dioxide by the reaction of SOD. Catalase (CAT) can dismutate dihydrogen dioxide into dioxygen and water. Glutathione peroxidase (GPx) catalyzes the reduction of the hydroperoxides by employing the electrons transferred from NADPH via GR and GSH.
Fig. 2:

Chemical reactions catalyzed by AOX enzymes in the cellular system. O2•– can be converted to dihydrogen dioxide by the reaction of SOD. Catalase (CAT) can dismutate dihydrogen dioxide into dioxygen and water. Glutathione peroxidase (GPx) catalyzes the reduction of the hydroperoxides by employing the electrons transferred from NADPH via GR and GSH.

3.1.1 Superoxide dismutase (SOD, EC 1.15.1.1)

Cells constantly produce O2 as a by-product of normal aerobic metabolism. Superoxide dismutase is the main defence against O2, catalyzing dismutation of O2 to O2 and H2O2 as a non-radical ROS [173]. Dihydrogen dioxide has also hazardous effects, but less so, and is reduced by other AOX enzymes such as CAT. Thus, SOD had a crucial AOX defence in nearly all living organisms exposed to harmful effects of O2. Depending on the metal cofactor, SODs can be classified as Cu/ZnSOD, MnSOD, and extracellular SOD. Manganese superoxide dismutase typically exist in peroxisomes and mitochondria, whereas Cu/ZnSOD is generally the most abundant SOD and found in the cytosol. The extracellular SOD is the excreted form Cu/ZnSOD [174]. Since the reaction is limited only by the frequency of collision between the SOD and O2, SOD serves a key role in AOX defence. Dismutation reaction catalyzed by SOD may be written for Cu/ZnSOD, commonly used by eukaryotes including humans. Dioxide(•1–) scavenging by SOD is given in the following reactions:

(14)O2+Cu2+-SODO2+Cu+-SOD
(15)O2+2H++Cu+-SODH2O2+Cu2+-SOD

In a general way, the following reactions can be applicable and written for all the different metal-coordinated forms of SOD (in here, n = 1 for Cu, n = 2 for Mn, Fe, and Ni, and M = Metal).

(16)O2+M(n+1)+-SODO2+Mn+-SOD
(17)O2+2H++Mn+-SODH2O2+M(n+1)+-SOD

3.1.2 Catalase (CAT, E.C. 1.11.1.6)

Catalase is an iron-dependent enzyme with two distinct functions. Catalase may act catalytically or peroxidatively [175, 176]. All mammals including humans possess CAT in all tissues and organs. Catalase catalyzes the conversion of H2O2 to H2O and O2 using either a Fe or Mn cofactor with a high catalytic rate. Catalase is encoded by a single gene, which is highly conserved among species. Its expression is regulated at the transcription, post-transcription, and post-translation levels. A high concentration of CAT can be found in the erythrocytes, kidneys, and liver [177, 178]. The H2O2 decomposition reaction catalyzed by CAT in living tissues is

(18)2H2O22H2O+O2

However, this catalyzed reaction was estimated to consist of two steps:

(19)H2O2+FeIII-CATH2O+O=FeIV-CAT
(20)H2O2+O=FeIV-CATH2O+O2+FeIII-CAT
(21)2H2O22H2O+O2

where FeIII-CAT shows the iron centre of the heme group of CAT. Iron(III) in the enzyme heme group (ferricatalase or FeIII-CAT) serves as the electron source, thus donating one electron to the H2O2 molecule and forming an intermediate, O=FeIV-CAT. Then, the distorted heme ring reacts with a second H2O2 molecule to recover the initial ferricatalase. Dihydrogen dioxide acts first as an oxidizing agent and then a reducing agent towards the ferricatalase and intermediate, respectively.

3.1.3 Glutathione reductase (GR, EC 1.8.1.7)

Glutathione (GSH) contains glutamic acid and cysteine and glycine amino acids. Glutathione is well known for its AOX potency in the central nervous system. In fact, it is a very important molecule for redox homeostasis. Also, it exists in the millimolar range in many cell types. Glutathione removes multiple oxidative species such as O2, •NO, •OH, and ONOO from the cell [179, 180]. Glutathione is a putative AOX that may take part in H2O2 decomposition, which may be catalyzed by the selenoenzyme GPx. In some studies, it was shown that an age-related decrease in plasma GSH was paralleled by an increase in the level of glutathione disulfide (GS-SG), the oxidized state of GSH, in whole blood with increasing age [181]. In addition, GSH may contribute to oxidative stress due to GSH depletion. Its high level may be a consequence of enhanced GSH biosynthesis and a higher conversion of GS-SG to GSH by glutathione reductase (GR) [176]. Glutathione reductase catalyzes the reduction of GS-SG to the sulfanyl form of GSH (Figs. 2 and 3). Glutathione is a critical molecule in resisting oxidative stress and maintaining the reducing environment of the cell. Glutathione reductase can use an FAD prosthetic group and NADPH to reduce one mole of GS-SG to two moles of GSH [182, 183].

Fig. 3: 
              Chemical reactions catalyzed by glutathione reductase (GR).
Fig. 3:

Chemical reactions catalyzed by glutathione reductase (GR).

3.1.4 Glutathione peroxidase (GPx, E.C. 1.11.1.9)

Peroxidases can contain a heme cofactor in their active site such as ascorbate peroxidases and guaiacol peroxidases. Some of them possess redox-active cysteine or selenocysteine residues. This group is called non-heme peroxidases. The non-heme peroxidases comprise thiol peroxidases, such as thioredoxin peroxidases and glutathione peroxidase (GPx) [184]. Glutathione peroxidase is the first selenocysteine-containing proteins discovered in mammals. Glutathione peroxidase was first found as an erythrocyte enzyme that specifically reduces H2O2 by GSH but later shown to reduce a broad scope of organic hydroperoxides such as membrane phospholipids, cholesterol, and long-chain fatty acids into H2O and O2 [185]. Glutathione peroxidase catalyzes the breakdown of H2O2 and other organic peroxides. Glutathione peroxidase has a single selenocysteine residue, which is essential for activity and is present in five distinct isoforms identified so far [186]. Glutathione peroxidase 1 is cytosolic and is produced in all cells and tissues, although mainly in erythrocytes, kidney, and liver [187]. Glutathione peroxidase 2 is also cytosolic and found in the colon and liver. Glutathione peroxidase 3 is found in plasma and is the only extracellular form of the GPx family. It occurs mainly in the proximal tubule cells of the kidney [188]. The main reaction that GPx catalyzes is

(22)H2O2+2GSH2H2O+GS-SG

In this reaction, GSH is reduced monomeric glutathione, while GS-SG denotes glutathione disulfide. The mechanism involves the oxidation of the selanyl group of a selenocysteine residue by H2O2, producing a derivative with a hydroxyselanyl (RSeOH) group. This derivative, a selenohydroperoxide (RSeOH), formerly known as a selenenic acid, is then converted back to the selanyl compound in two steps: it first reacts with GSH to form GS-SeR and H2O, and in the second step, a GSH molecule reduces the GS-SeR intermediate back to the selanyl compound. These simplified reactions are given below [183].

(23)H2O2+RSeHH2O+RSeOH
(24)GSH+RSeOHH2O+GS-SeR
(25)GSH+GS-SeRGS-SG+RSeH

Glutathione reductase (GR) then reduces GS-SG to complete the cycle:

(26)NADPH+H++GS-SG2 GSH+NADP+

3.2 Determination of AOX enzyme activity

3.2.1 Superoxide dismutase (SOD) enzyme activity

The activity of superoxide dismutase was assayed at 560 nm by determining its ability to inhibit the photochemical reduction of NBT by O2 [189]. Briefly, the reaction medium contains 50 mM phosphate buffer (pH 7.8) including EDTA (0.1 mM), methionine (15 mM), NBT (75 mM), riboflavin (2 mM), and 100 μL of the enzyme sample. Riboflavin was added as the last component. Then, the reaction was incubated by placing the glass tubes under two equal fluorescent lamps (15 W) for 15 min. Non-illuminated and illuminated reactions without samples were used as calibrated standards. Reaction products were spectrophotometrically recorded at 560 nm.

3.2.2 Catalase (CAT) enzyme activity

Catalase activity was analyzed by the method described by Aebi [190]. Briefly, the sample was homogenized with phosphate buffer solution (50 mM, pH 7.0). Then, the homogenate was centrifuged at 8000 G-force for 20 min at 4 °C. After mixing 100 μL of the supernatant with 2.9 mL of H2O2-phosphate buffer (pH 7.0, 30 mM), the rate of decrease of absorbance was monitored at 240 nm for 30 s. Catalase solutions containing H2O2-free phosphate buffer was used as the control.

3.2.3 Glutathione reductase (GR) enzyme activity

Glutathione reductase activity was measured according to Foyer and Halliwell [191] by following the rate of NADPH oxidation as measured by the decrease in absorbance at 340 nm. An aliquot of the assay mixture (1 mL) contained 100 mM Tris-HCl buffer (pH 7.8), 2 mM EDTA, 50 mM NADPH, 0.5 mM GS-SG, and 20 μL of the enzyme sample. The assay was initiated by the addition of 50 mM NADPH at 25 °C and was monitored at 340 nm for 5 min.

3.2.4 Glutathione peroxidase (GPx) enzyme activity

Glutathione peroxidase activity was determined with the protocol of Flohé and Günzler [192]. The sample (100 μL) was combined with 800 μL of assay reagents (2 mM trichloroacetic acid - sodium azide + 5 EU/mL GR + 10 mM GSH + 1.5 mM β-NADPH) and incubated at 25 °C for 5 min. Then it was mixed with 100 μL of buffered H2O2 (1.5 mM), and a decreased absorbance was spectrophotometrically monitored at 340 nm for 3 min.

3.3 Determination of AOX enzymes units

One enzyme unit was considered as the amount of enzyme required to inhibit the reduction rate of NBT by 50 % at 25 °C. One unit of CAT activity was designated as the quantity of sample required to break down 1 μmol of H2O2 into water and O2 per min at pH 7.0 and 25 °C. One GR enzyme unit was expressed in terms of μmols of NADPH oxidized per mg of protein per min. One unit of GPx activity was designated as the quantity of enzyme required for converting 1 μmol of β-NADPH (molar absorption coefficient: 6.3 × 103 M−1 cm−1) to the oxidized form (β-NADP) per min at pH 7.0 and room temperature.

4 Modified CUPRAC methods as analytical tools for ROS measurement

The widely used CUPRAC (Copper(II) ion Reducing Antioxidant Capacity) method was originally developed and introduced to world literature by Apak et al. [193]. Sticking to the essentials of the original CUPRAC method, modified CUPRAC assays were developed to establish novel antioxidant activity determination methods measuring the scavenging ability of ROS. Normally, the CUPRAC reagent, cupric neocuproine chelate, is an electron-transfer reagent not affected by ROS. However, by finding suitable probes that can scavenge ROS slower than the tested AOXs, either the initial probe or its oxidized form may be responsive toward the CUPRAC reagent, enabling the measurement of the absorbance change of the probe in the presence and absence of ROS scavengers. These assays are kinetic in the sense that the probe and the tested AOX compete for scavenging the externally generated ROS within a fixed time.

4.1 Modified CUPRAC hydroxyl radical scavenging activity assays

In measuring the •OH scavenging activity of certain water-soluble compounds (sodium oxidooxo-λ4-sulfanesulfonate known with the common name of ‘sodium metabisulfite’, thiourea, glucose, lysine, etc.), the aromatic probes 4-aminobenzoate, 2,4-dimethoxybenzoate, and 3,5-dimethoxybenzoate were used. The •OH scavenging rate constants of these compounds were determined by competition kinetics to simultaneously incubate the probe with the scavenger under the attack of •OH generated in a Fenton system, and the difference in CUPRAC absorbance of the probe (extracted into ethylacetate at the end of the incubation period) in the absence and presence of the scavenger was measured (i.e., the hydroxylation product of the probe would show a higher CUPRAC absorbance in the absence of scavengers due to the lack of competition for •OH) [194]. Although the measurement of aromatic hydroxylation with HPLC/electrochemical detection is more specific than the low-yield TBARS test, it requires sophisticated instrumentation. As a more convenient and less costly alternative, 4-aminobenzoate and 2,4- and 3,5-dimethoxybenzoate probes were used for detecting •OH generated from an equivalent mixture of iron(II) + EDTA with H2O2. The produced •OH attacked both the probe and the water soluble AOXs in 37 °C-incubated solutions for 2 h. The CUPRAC absorbance of the ethyl acetate extract due to the reduction of the copper(II)-Nc reagent by the hydroxylated probe decreased in the presence of •OH scavengers, the difference being proportional to the scavenging ability of the tested compound. A rate constant for the reaction of the scavenger with •OH can be deduced from the inhibition of colored product formation. The developed method is less lengthy, more specific, and of a higher yield than the classical TBARS assay.

In another study, a novel colorimetric ‘test tube’ method was developed for •OH scavenging antioxidant activity assay by the modification of the CUPRAC method of TAC measurement in conjunction with a salicylate probe previously used for HPLC assay of •OH detection [195]. Since it is possible to identify and quantify the hydroxylation products (dihydroxybenzoate isomers) of the salicylate probe with HPLC, Beer’s law was applied to testing the additivity of absorbances of the hydroxybenzoates (i.e., to check whether the expected absorbances match with the experimentally found CUPRAC absorbances).

Detection of •OH and measurement of •OH scavenging activity are very important in food and bioanalytical chemistry in regard to antiradical and antioxidant activity of foodstuffs. Currently, the most widely used colorimetric and chromatographic methods for •OH detection and scavenging activity measurement are the TBARS colorimetric assay and HPLC with electrochemical detection of hydroxylated aromatic probes, respectively. In the measurement of •OH scavenging activities of polyphenols, special measures were taken so as to prevent the redox cycling of these phenolic compounds. The proposed CUPRAC/salicylate assay of •OH detection is much more efficient than the conventional TBARS assay as the conversion ratio of the probe is much higher [196]. The salicylate probe was used for detecting •OH generated by the reaction of the iron(II)-EDTA complex with H2O2 (Fenton reaction). The •OH scavengers added to the incubation medium compete with salicylate for the •OH produced and diminish chromophore formation from copper(II)-neocuproine (CUPRAC reagent). At the end of the incubation period, the reaction was stopped by adding CAT. The most important contribution of the developed assay is the stopping of the Fenton reaction in 10 min with CAT degradation of H2O2 so that the remaining H2O2 would neither give a CUPRAC absorbance nor involve in redox cycling of phenolic AOXs. In this method, the dihydroxybenzoates formed from the salicylate probe under •OH attack were measured with the CUPRAC method; the second-order rate constants of polyphenols, ascorbic acid, and other compounds were calculated with competition kinetics [196]. This enables the rapid and precise measurement of •OH scavenging rate constants of polyphenolic AOXs which cannot be found by most other techniques. This assay also proved to be efficient for ascorbic acid, 3,4,5-trihydroxybenzoic acid, and chlorogenic acid, for which the TBARS assay test is basically nonresponsive.

A symmetric molecular spectroscopic probe, terephthalate, was also developed and validated for hydroxyl radical scavenging activity estimation [197]. A colorimetric sensor (CUPRAC sensor) was designed by electrostatic immobilization of the chromogenic oxidizing agent of the CUPRAC method, the copper(II)-neocuproine (copper(II)-Nc) complex, on a Nafion cation-exchange membrane, and the spectrophotometric terephthalate assay developed in aqueous-alcoholic solutions was integrated into the CUPRAC sensor [198]. Nafion is a perfluorosulfonate polymer in which hydrophilic perfluorinated ether side chains terminate with cation-exchanger sulfonate groups, which are periodically attached to a hydrophobic perfluoroethylene backbone. The •OH scavenging activity was measured using the decrease in CUPRAC absorbance at 450 nm of the hydroxylated probe (terephthalate) undergoing radical attack in the presence of •OH scavengers. The •OH scavenging activity was evaluated as the second-order rate constants of biologically active •OH scavenger compounds and also as the percentage scavenging of a measured compound or sample relative to a reference compound. Using this reaction, a kinetic approach was adopted to assess the •OH scavenging activity of amino acids and plasma- and thiol-AOXs. This assay, applicable to small-molecule AOXs and tissue homogenates, proved to be efficient for serine and albumin for which the widely used TBARS test is nonresponsive. Under optimal conditions, about half of the probe (terephthalate) was converted into 2-hydroxyterephthalate, and this monohydroxylated derivative, being the only product of hydroxylation due to the symmetry of the parent compound, was a more specific marker of •OH than the non-specific malondialdehyde end-product of the TBARS test. This sensor gave a linear response to scavenger concentration in the competition kinetic equation.

4.2 Modified CUPRAC dioxide(•1–) scavenging activity assay

Dioxide(•1–) can act both as a reducing and oxidizing agent for a variety of compounds and is a key intermediate for more active oxygen species, such as •OH and 1O2. Bekdeşer et al. used a 2-(2-methylpropan-2-yl)benzene-1,4-diol (tert-butylhydroquinone, TBHQ) probe for detecting O2 generated by the reaction of PMS-NADH [199]. Only the parent compound (TBHQ), but not its oxidation product, responded to the CUPRAC reagent. In this method, TBHQ, first used as a probe for the detection of O2 scavenging activity, was considered as a superior probe in comparison to existing probes (NBT and ferricytochrome c) in terms of selectivity and versatility because NBT and Cyt c can be chemically reduced by low concentrations of ascorbic acid present in tissue homogenates without the involvement of dioxide(•1–) radicals. The assay could be applied to small-molecule AOXs (including plasma AOXs and amino acids) and tissue homogenates and proved to be efficient for cysteine, uric acid, and bilirubin, for which the NBT test did not respond. The remaining TBHQ probe in the reaction mixture (in the absence and presence of the scavenger) coud be extracted with ethyl acetate and determined spectrophotometrically in the organic phase by the CUPRAC assay, thanks to the utilizability of the CUPRAC reagent in both aqueous and organic phases.

4.3 Modified CUPRAC dihydrogen dioxide scavenging activity assay

Among ROS, H2O2, a biologically relevant and non-radical oxidizing species, may be formed in tissues through oxidative processes, but correct information is limited regarding its scavenging by polyphenols because the widely used UV test for H2O2 assay [51, 52] is open to interference by phenolic reaction products. The H2O2 scavenging activity of polyphenols was measured with a simple and versatile CUPRAC method in the presence of copper(II) (as the catalyst) to aid phenolics in reacting with H2O2 [200]. In the most common UV method, scavenging ability depends on the change in the absorbance value at 230 nm when H2O2 concentration is decreased by scavenger compounds. Since the UV method suffers from both the interference of some phenols (and their oxidation products) in real samples having strong absorption in the UV region and from inefficient degradation of H2O2 with polyphenols in the absence of copper(II) (i.e., H2O2 is relatively stable when alone and not effectively scavenged unless transition metal compounds are present as catalysts), the H2O2 scavenging activity of polyphenols was alternatively determined without interference by directly measuring the concentration of undegraded H2O2 after incubation with the tested polyphenol sample using the modified CUPRAC method in the presence of copper(II) as the catalyst. The proposed methodology was regarded superior to the rather nonspecific horseradish peroxidase-based assays due to possible enzyme inhibitors existing in real samples [200].

5 Nanotechnological methods of spectroscopic and electroanalytical determinations in ROS/RNS scavenging measurement

5.1 Nanoparticle-based spectroscopic probes

Because of their small size (1–100 nm) and very high specific surface area, noble metal (Au, Ag, Pt, etc.) nanoparticles (NPs) have found applications in diverse areas, including medicine, biotechnology, and (to a lesser extent) food science. When AuNPs/AgNPs are dispersed in liquid media, they exhibit a strong UV–Vis absorption band that is not present in the spectrum of the bulk metal. This band is attributed to collective excitation of the electron gas in the particles, with a periodic change in electron density at the surface (SPR, surface plasmon resonance absorption). As a result, nanoparticle-based antioxidant assays exploit chemical reduction of noble metal salts/acids by antioxidant polyphenols to produce noble metal NPs that can be easily detected/quantified with the aid of their localized SPR, known as the LSPR (i.e., charge density oscillations confined to noble metal nanoclusters constrained by the particle size) absorption. Most applications of NP probes for food AOXs make use of Au, Ag, transition metal oxides such as magnetite (Fe3O4), ceria (CeO2), or titania (TiO2) nanoparticles, and QDs. Chemical reduction-based nanotechnological colorimetric assays of antioxidant capacity make use of either the formation or enlargement of noble metal nanoparticles, and AOXs with the highest TAC values exhibited the highest ability to produce Au/Ag-NPs from gold(III)/silver(I) salts, as recently reviewed by Apak et al. [201]. A drawback associated with most of the existing noble metal nanoparticle-based antioxidant sensors is that they have utilized the formation rather than the enlargement of NPs upon reaction with antioxidant compounds and therefore can hardly yield concentration-dependent linear responses due to kinetic factors (i.e., NP size is dependent on the reducing power of the reducing agent; polyphenolic AOXs exhibit a wide range of redox potentials, giving rise to slow or fast kinetics for reducing noble metal salts and thereby resulting in variable-sized noble metal NPs with significant shifts in LSPR band wavelengths). On the other hand, transition metal oxide-based colorimetric nanosensors rely on the principle of the change in reversible oxidation states (such as that of cerium in nanoceria, i.e., cerium (III,IV)) on the NP surface. Nanoceria particles were shown to possess peroxidase-, dioxide(•1–)-, and oxidase-like activity [202], suggesting that they could potentially replace these enzymes in the development of analytical assays for enzymatic ROS production or scavenging. In addition, these oxide NPs may show polyphenol-binding interactions with the target analytes, thereby complicating the selection of a single analytical wavelength for measuring antioxidant activity.

Antioxidant activity assays using noble metal NPs may be classified under four general classes: (a) formation and enlargement, (b) aggregation and agglomeration, (c) disintegration, and (d) specific interaction of NPs [203], under the influence of antioxidant analytes. Certainly, some parts of these mechanistic categories may coincide, enabling antioxidant quantitation to different extents of selectivity and sensitivity.

  1. In noble metal NP formation, AOXs chemically reduce noble metal salts such as HAuCl4, AgNO3, H2PtCl6, PdCl2, etc. to generate metal NPs in a colloidal solution or suspension. Antioxidants (AOXs) are identified and quantified with the aid of LSPR band wavelengths and intensities of the corresponding noble metal NPs resulting from the redox reaction. Because stronger AOXs produce smaller NPs and their LSPR band wavelength (λmax) is a function of particle size, a wide range of NP sizes will emerge from an antioxidant mixture, causing shifts in λmax and subsequent difficulties in antioxidant quantitation. Nanoparticles of more uniform size distribution could be generated by first seeding NPs with tetrahydridoborate(1–), commonly known as borohydride, or citrate reduction of metal salts and then by enabling controlled growth of NPs with the addition of AOXs to the reaction medium, thereby causing only small shifts in LSPR wavelengths, where antioxidant concentrations could be correlated to the increase in LSPR band intensity (because it was the outermost shell that was decisive on LSPR absorption). By making use of the growth-enlargement mechanism, Özyürek et al. [204] developed a AgNP-based colorimetric sensor (based on silver coating of pre-formed seeds of NPs upon reduction by polyphenols) for measuring the antioxidant capacity of food and biological materials. Silver was preferred over gold in the growth of NPs, because the Ag colloid is expected to have a stronger and sharper plasmon resonance than Au, as its Mie resonance occurs at energies distinct from any bulk inter-band transition [205]. A portable paper-based antioxidant capacity nanosensor involved the reaction between AOXs and gold nanoparticles on filter paper, in which gold-(III) ions (AuCl4) were impregnated [206]. In this assay, antioxidant compounds reduced Au3+ to Au0, and semi-quantitative determination of 3,4,5-trihydroxybenzoic acid was made up to the millimolar range with the aid of color intensity analysis of sensing area image using IMAGE J software.

  2. In aggregation-based procedures, certain types of AOXs (e.g., thiols) can form a self-assembled layer on noble metal NP surfaces. Additional donor–acceptor or electrostatic interactions among these functionalized NPs may lead to aggregation, shifting the λmax to longer wavelengths. These methods are generally more specific for antioxidant testing than conventional NP-based antioxidant capacity assays simply influenced by reducing power. In this regard, Li et al. [207] devised an AuNP aggregation-based spectroscopic method for cysteine, in which the thiol (–SH) and ammonium (–NH3+) groups of cysteine may interact covalently and electrostatically with each other, giving rise to self-assembled AuNPs to form to a network structure and causing greatly enhanced resonance light scattering and a bathochromic shift in the visible LSPR band. Another colorimetric assay for a sensitive and selective determination of cysteine using an AuNP probe [208] exploits the distance-dependent optical properties of gold nanoparticles, the self-assembly of cysteine on AuNPs, and the interaction of a CuII(cysteine)2 complex, giving rise to aggregation of AuNPs with a concomitant color change from red to purple or blue. Aggregation-based sensors generally give rise to more sensitive determinations than formation/growth-based sensors, because it takes less nanoparticles to aggregate than to form noble metal atomic clusters as a result of chemical reduction of noble metal salts with AOXs.

  3. Some turn-off LSPR sensors aiming at H2O2 detection rely on the disintegration of AgNPs upon H2O2 decomposition at the end of which the test solution partly bleaches or turns colorless. These turn-off H2O2 sensors were synthesized from AgNPs stabilized by starch [209], PVA [210], and other polymers [211], but all these sensors seriously suffer from the drawback regarding the absence of a perfectly linear response, because AgNPs act as a catalyst to decompose the analyte (H2O2), which, in turn, degrades the catalyst itself [212]. As a result of this drawback, AOXs expected to inhibit AgNPs disintegration via H2O2 scavenging do not reasonably restore the LSPR absorbance signal in proportion to their concentration.

  4. Specific interaction sensors (partly overlapping with aggregation-based sensors, e.g., for thiols capable of forming self-assembled layers on AuNPs) may be more analyte-targeted than noble metal nanoparticle sensors formed upon chemical reduction. For example, Güçlü et al. [213] derivatized AuNPs with DTNB, and the absorbance changes associated with the formation of the yellow-colored 2-nitro-5-sulfanylbenzoate (TNB2−) anion as a result of reaction with biothiols was measured; the absorbance response was linear over a wide concentration range of biothiols comprising cysteine, glutathione, homocysteine, cysteamine, dihydrolipoic acid (6,8-disulfanyloctanoic acid), and 1,4-dithioerythritol. Another thiol-specific sensor exploits the displacement of surface-adsorbed dyes from noble metal NPs by preferential adsorption of thiols, resulting in optical absorption or fluorescence measurement of the released dyes. An unconventional antioxidant-specific probe is the optical fiber reflectance sensor for (+)- catechin ((2R,3S)-2-(3,4-dihydroxyphenyl)-3,4-dihydro-2H-chromen-3,5,7-triol), manufactured by immobilizing 2,2′-(1,4-phenylenediethene-2,1-diyl)bis(quinolin-8-ol) (PBHQ) on TiO2 nanoparticles [214]; the active principle of the sensor was the formation of ‘indophenol blue’ dye on PBHQ-immobilized TiO2 nanoparticles as a result of 4-aminophenol (PAP) autoxidation with dissolved O2 in alkaline medium, where only catechin-group AOXs delayed the color formation on nano-sized TiO2. Quantitative analysis was made by recording reflectance versus time, and the difference between the areas under curve (Δ AUC) in the presence and absence of catechin was linearly correlated to catechin concentration. The selectivity of the sensor for catechins was attributed to the nonplanar structure of catechin interfering with the formation of perfectly conjugated indophenol blue on nano-titania.

In general, nanoparticles are known to increase the refractive index of the analyte in the analyte–NP conjugates, leading to enhanced shifts of the resonance angle and thereby increase in the SPR sensor sensitivity. The capture of the analyte on the sensor surface can reduce the detection limit of the analyte, which may be important for detecting ROS/RNS and AOXs with very low molecular weights [215]. If the aggregation/disaggregation phenomena for nanoparticles (rather than chemical reduction of noble metal salts to the corresponding nanoparticles) are aimed to quantify ROS/RNS or AOXs, higher sensitivities can be achieved for colorimetric nanosensors [74].

Transition metal oxide nanoparticles constitute a subcategory of specific interaction sensors. A portable ceria nano-particle based sensor (NanoCerac), developed by Sharpe et al. [216] for food AOXs, was fabricated of immobilized ceria nanoparticles on filter paper by surface adsorption between the ceria surface –OH groups and the cellulosic fibers [217]. The partial reduction of CeO2 to Ce2O3 with AOXs resulted in charge-transfer interactions between the easily interchangeable redox states of cerium, closely associated with both the complex formation and electron donation ability of AOXs to ceria on filter paper. One of the major drawbacks of nanoceria-based colorimetric sensors is the weakness of their charge-transfer bands (i.e., involving partial reduction of Ce(IV) to Ce(III) by AOXs forming a mixed-valent oxide, because either O2−(2p) → Ce4+(4f) charge-transfer transitions or electronic fluctuations between 4f1 → (4f0 + (5d6s)) and 4fn → 4fn−1 may not give rise to strong absorption bands) [74]. As a result, high molar absorptivities for ROS or AOXs can be hardly obtained from such sensors.

Colorimetric sensor arrays composed of multiple metal oxide nanoparticles can be devised with varying polyphenol-binding affinities. CeO2 and Fe2O3 formed a brown color on the paper in the presence of AOXs, while titanyl oxalate formed a bright orange complex, TiO2, ZrO2, and SiO2, a yellow-green one, and ZnO, a bright yellow color [218]. As a multiple-mechanism sensor in operation, Zhao and co-workers functionalized titania nanotubes for indium tin oxide (ITO)-coated glass to act as the working electrode for obtaining enhanced electrochemiluminescence (ECL) of luminol, thereby enabling the determination of ROS, H2O2, and AOXs with great sensitivity [219].

5.2 Nanosensors for measuring H2O2 and the activity of its scavengers

Spectroscopic Nanosensors: Methods have been devised relying on the growth of gold nanoshells (GNSs) [220, 221], used to investigate the H2O2-scavenging activity of several phenolic acids and herbal extracts. Dihydrogen dioxide induces nanoshell formation by reducing tetrachloridoaurate(III) to metallic Au, deposited on the surface of the SiO2/AuNP nanocomposite with subsequent growth of AuNPs to form a continuous shell layer, and AOXs may inhibit this growth through their H2O2 scavenging action. During the H2O2-induced formation of GNSs, their LSPR bands showed shifts to longer wavelengths. Gold nanoparticles on SiO2 cores were enlarged by increasing concentrations of H2O2, in parallel to the spectral changes corresponding to SPR absorption bands of AuNPs, and AOXs restricted H2O2-mediated formation of GNSs, enabling the determination of their scavenging ability. The H2O2 scavenging activity of phenolic acids could be correlated to the number and position of –OH groups on the phenolic rings [221]. The same reasoning was extended to surface enhanced Raman spectroscopic (SERS) measurements, where H2O2 reduced trivalent-gold to the zero-valent state, leading to the growth of Au nanoshells on silica and subsequent Au coverage of SiO2/AuNPs cores, and AOXs attenuated the SERS-activity by preventing this growth [222].

Due to the intermediate redox potential of the Ag+/Ag0 couple (E0 = 0.80 V) lying between the standard reduction potentials of the H2O2/H2O and O2/H2O2 redox couples of 1.76 V and 0.70 V, respectively, H2O2 may act both as an oxidizing agent for AgNPs and a reducing agent toward Ag+ ions, and therefore, Ag0NPs may be a good probe for the determination of H2O2. Silver nanoparticles may also be an efficient catalyst for H2O2 decomposition, which may end up with the degradation of AgNPs and consequently a decrease in LSPR absorption of silver nanoparticles. Silver nanoparticles are assumed to form an oxidizing intermediate complex with H2O2, and the H2O2-mediated oxidation of AgNPs [223] results in the generation of O2•−. The reactivity of AgNP toward H2O2 decreases with decreasing pH, while at high pH, reformation of AgNPs by a back reaction (from Ag+ and O2•−) is essentially complete [224].

Surprisingly, H2O2 detection/quantitation methods based on the catalytic degradation of AgNPs are more frequently encountered due to the favorable redox potential [209], [210], [211], but these methods may not show high reproducibility. Nevertheless, this type of sensor − exploiting the degradation of AgNPs resulting in the refractive index change of the nanocomposite layer and a shift in LSPR wavelength − was claimed to show high sensitivity and a wide linear range, rapid response, and adaptability to online sensing of H2O2 [225]. On the other hand, a more sensitive method exploiting SPR signal amplification of AgNPs was based on the reducing ability of H2O2 toward Ag+ enabling μM-range H2O2 quantification [226]. Üzer et al. [212] partially oxidized Ag0NPs with H2O2 to Ag+ under optimized conditions and thus devised an indirect method for trace H2O2 quantification (LOD ≈ 20 nM) by exploiting the Ag+-mediated oxidation of an intermediary redox dye, 3,3′,5,5′-tetramethyl-[1,1′-biphenyl]-4,4′-diamine (TMB), and measuring the 655 nm-absorbance of the blue-colored diimine derived from TMB. Such redox dyes could also be used to increase the sensitivity of nanoceria-based colorimetric assays. To improve the molar absorptivity provided by nanoceria alone, Kamer et al. [227] used a combination of nanoceria, H2O2, and N,N-dimethyl-p-phenylenediamine (DMPD) yielding a rapid and sensitive detection system to investigate the reactive species scavenging activity of food and plant samples, as confirmed by the CUPRAC assay. To suggest a plausible mechanism for DMPD coloration, a surface-adsorbed cerium(IV)-peroxo complex resulting from the reaction of H2O2 with nanoceria can be proposed [228], in which the oxygen-deficient cerium(III) centres of nanoceria are oxidized to cerium(IV) and bind the peroxo species as …CeIV–OH–OH–CeIV… or …CeIV–O–O–CeIV…, depending on pH. Can et al. [229] recently devised a similar assay for reactive species scavenging AOXs, based on the redox reaction of TMB with MnOx NPs (i.e., prepared from ascorbic acid and permanganate), where AOXs caused a color bleaching of the TMB cation; the specially prepared nanozyme MnOx contained MnO2, Mn2O4, and Mn3O4 phases and exhibited oxidase-like activity, capable of catalyzing the oxidation of TMB to the TMB+ chromophore without requiring either H2O2 or involving •OH or O2•−. This antioxidant assay showed higher sensitivity than similar antioxidant activity tests, because depending on the type of antioxidant, the limit of detection (LOD) values ranged from 1.23 × 10−9 to 1.71 × 10−7 mol L−1 [229]. As metal oxide nanomaterials are increasingly being used in the form of nano-fillers into antimicrobially active polymer-based food packaging materials [230], it is relevant to measure reactive species scavenging activity of AOXs against oxidase-active nanooxides without involvement of ROS.

Electrochemical Nanosensors: As direct electrochemical detection of H2O2 requires a high potential around 0.6 V at which other electro-active species such as ascorbic acid, uric acid, and acetaminophen interfere [231], sensor electrodes ‒ usually associated with nanoparticles ‒ were synthesized to detect the analyte at lower potentials, e.g., in the presence of AgNPs catalyzing the reduction of H2O2 [232]. Karyakin and co-workers have made significant achievements in H2O2 sensing especially by developing transition metal cyanide- and Prussian blue (PB)-based electrodes acting as ‘artificial peroxidase’ transducers selective to H2O2 reduction in the presence of O2, which allowed sensing of H2O2 around 0.0 V (vs. Ag/AgCl) [233], [234], [235] and nano-electrosensors. Compared with the widely used Pt electrodes, Prussian blue-based electrodes have 3 orders-of-magnitude stronger catalytic activity for the oxido-reduction of H2O2, much greater selectivity for H2O2 in the presence of O2, and a wide linear concentration range covering 7 orders of magnitude [236]. The enhanced electrocatalytic activity toward H2O2 may be attributed to the switching oxidation states of iron in Prussian blue, making electron transfer easier. The sensitivity of Prussian blue-based biosensors may extend up to 1 A M−1 cm−2, i.e., much higher than that of similar bioanalytical devices. Moreover, these sensors are selective over certain AOXs found in blood plasma (e.g., potential interferents to the electroanalytical procedure such as ascorbic acid and uric acid) by decreasing the overpotential and enabling H2O2 reduction at much smaller potentials, thereby opening the way for indirect determination of antioxidant activity. Thus, Karyakina et al. [237] proposed a novel H2O2 scavenging antioxidant assay by evaluating the kinetic constants of H2O2 consumption in the presence of scavenger AOXs. Compared to the conventional electrodeposited Prussian blue, Karyakin et al. [238] used nanostructured electrodes of the same character by deposition of the electrocatalyst through lyotropic liquid crystalline templates (also known as the ‘interfacial synthesis’ procedure for deposition of nanoscaled films) onto an inert electrode support to demonstrate an order of magnitude decreased detection limit (LOD = 10 nM) for H2O2. A Prussian blue-based amperometric nanosensor (using PB deposited inside the nanocavity of an etched carbon) electrode for the detection of H2O2 in the range of 10 μM to 3 mM was reported in a communication by Clausmeyer et al. [239], envisioning the application of these nanosensors to the intracellular monitoring of oxidative stress in living cells. Prussian blue NPs, as ‘multienzyme mimetics’ and ROS scavengers, can imitate peroxidase, CAT, and superoxide dismutase enzymes; this behavior is possibly due to their favorable redox potentials in different forms, including varying oxidation states of iron in Prussian blue-like double-salts (including Prussian white, Prussian yellow, and Berlin green), which make them strong electron transporters [240].

Zhao et al. [231] developed an electrochemical H2O2 sensor based on a multi-walled carbon nanotube/silver nanoparticle nanohybrid (MWCNT/Ag nanohybrid)-modified gold electrode, in which the incorporation of nano-silver significantly increased the determination sensitivity (i.e., LOD for H2O2 was 0.5 μM) and increased the linear concentration range. The same reasoning for the manufacture of the nanocomposite electrode did not work with MWCNT/Au, possibly because of the unfavorability of the gold(III,0) potential. Cui et al. [232] developed a different strategy to prepare a H2O2 sensor electrode by electrodepositing AgNPs on a glassy carbon electrode (GCE) modified with three-dimensional DNA networks, the latter of which was assumed to prevent agglomeration and allow homogeneous deposition of AgNPs onto the electrode surface. This type of sensor electrode increased the electrocatalytic performance in H2O2 determination and decreased the interference expected to originate from electroactives like uric and ascorbic acid [232]. Salimi et al. [241] accomplished nanomolar detection of H2O2 on a glassy carbon electrode modified with electro-deposited cobalt oxide nanoparticles as the redox mediator, where the resulting Co3O4-NPs/GCE was claimed to show excellent electrocatalytic activity and stability for H2O2. Tricobalt tetraoxide nanoparticles (Co3O4-NPs) were thought to contribute to electrode performance via decreased overpotential and accelerated electron transfer kinetics. Heli and Pishahang [242] synthesized CoO and Co2O3 nanoparticles anchored to multiwalled carbon nanotubes (used as a scaffold) to be employed as the modifier of a carbon paste electrode, which was in turn applied to fabricate an enzymeless H2O2 biosensor. The sensor had high electrocatalytic activity and sensitivity for H2O2 (LOD: 2.5 μM), due to the catalytic effect of H2O2 electroreduction and electrooxidation by active cobalt species.

5.3 Nanosensors for measuring O2 and the activity of its scavengers

Spectroscopic Nanosensors: In recent years, nanomaterials (Au/Ag-NPs), QDs, nanoshells, nanocomposites, polymeric nanoparticles, and carbon materials have attracted attention in imaging and detection of ROS, including O2 acting as the physiological precursor of H2O2, 1O2, and •OH. Carbon dots (CDs) conjugated with HE were used as selective ratiometric fluorescent sensors for biosensing O2 in living cells [243]. Li et al. [244] designed a selective fluorescent nanoprobe to eliminate fluorescence signals of other ROS. 2-Chloro-1,3-bis(1,2-dihydro-1,3-benzothiazol-2-yl)cyclohex-1-ene (DBZTC) was loaded into Ag@SiO2 core/shell nanoparticles; (3-aminopropyl)triethoxysilane (APTES) was added to these core/shell NPs to enable amine binding to the silica surface. Enhancement of fluorescence emission of DBZTC was related to the silica shell thickness, and this highly specific recognition of O2 provided 1000-fold stronger selectivity over H2O2 in living cells [244].

Cytochrome c is a highly water soluble small protein in the cellular structure. Dioxide(•1–) could be measured by exploiting its reducing capability on Cyt c (Cytochrome3+c + O2 → Cytochrome2+c + O2), which is rather nonspecific because of the expected interference by other reducing agents such as vitamin C or other AOXs [16]. A selective and sensitive SERS-based nanosensor was developed using oxidized Cyt c-functionalized AuNPs [245], for which the SERS spectra of oxidized and reduced forms of Cyt c could be differentiated to indirectly quantify O2. A similar measurement using the same principle utilized the conjugation of oxidized Cyt c with negatively capped CdSe/ZnS QDs [246]. The loss in fluorescence intensity of the QD-oxidized Cyt c conjugate (relative to that of negatively capped CdSe/ZnS QDs) was significantly compensated for by O2 acting as a reductant toward Cyt c.

Lee et al. [247] devised a new fluorescent probe by immobilizing fluorescein-labeled hyaluronic acid (HA), end-capped with dopamine to the surface of AuNPs. The catechol group in dopamine provided stronger immobilization of HA onto AuNPs in an intracellular environment, whereas HA end-capped with thiols enhanced background fluorescence with increasing amounts of glutathione. The sensing mechanism comprised cleavage and fragmentation of the HA chains immobilized on AuNPs by intracellular ROS, resulting in strong fluorescence-recovery signals proportional to the concentrations of O2 and OH. This probe was stable and sensitive for ROS in a reducing environment [245, 248]. ROS caused enhancement of fluorescence intensity with LOD = 0.3 µM for O2, whereas various AOXs comprising ascorbic acid, (2E)-3-(4-hydroxyphenyl)prop-2-enoic acid (commonly known as ‘p-coumaric acid’), quercetin, and α-tocopherol were evaluated by monitoring the decrease of fluorescence belonging to the nanoprobe, where α-tocopherol exhibited the highest scavenging activity due to its hydrophobic character, providing permeability through cell membranes.

A novel ratiometric fluorescent sensor for O2 detection was developed with suffocated polystyrene NPs (PS-SO3H)@terbium (Tb)/guanine (G) nanoscale coordination polymers (PS-SO3H@Tb/G NCPs). The fluorescence of PS-SO3H was slightly weakened as a reference, and the fluorescence of Tb3+ was largely attenuated in the presence of O2, giving rise to a sensitive (LOD: 3.4 nM) ratiometric fluorescent sensor for O2 detection [249].

Electrochemical Nanosensors: The third-generation O2 biosensors utilized enzyme electrodes, which exploited direct electron transfer between the redox sites of the enzyme (i.e., SOD-copper(I,II) sites responsible for redox cycling) and the electrode without any mediator [250, 251]. Thiol (e.g., cysteine) self-assembled on gold (or AuNP-modified) electrodes may be used as electron transfer promoters in this regard. Braik et al. [252] devised an electrochemical biosensor for O2 determination with the aid of SOD enzyme. This sensor electrode consisted of multi-walled carbon nanotubes (MWCNTs) in conjunction with a conducting polymer, poly(2,3-dihydrothieno[3,4-b][1,4]dioxine) (PEDOT), in different configurations (PEDOT/CNT/GCE and CNT/PEDOT/GCE). The biosensor with carbon nanotubes (CNTs) on top of the PEDOT layer gave high sensitivity (LOD for O2 being 1 μM) and was applied to the determination of the TAC value of beverages. The dioxide(•1-) radical detection mechanism relied on the enzymatic redox reactions of SOD which can catalyze the dismutation of O2 to O2 and H2O2via a redox cycle of the (CuI/CuII) redox couple in Cu–Zn SOD. A dioxide(•1–) bioelectrosensor was constructed, based on the immobilization of Cu–Zn SOD in a gold nanoparticle–chitosan–ionic liquid biocomposite film; owing to the specific reactivity of SOD toward O2, the biosensor exhibited a fast amperometric response, wide linear range, and low detection limit in the nanomolar range for the real-time measurement of O2, that may be particularly useful in biological systems [253]. A gold NPs/copper(II)-cysteine nanocomposite was immobilized on a carbon paste electrode and used as a biomimetic sensor for the detection of O2; the amperometric sensor was selective for O2 over potential interferents such as H2O2, uric acid, and citric acid [254].

5.4 Nanosensors for measuring •OH and the activity of its scavengers

Spectroscopic Nanosensors: Among ROS, •OH is the strongest short-lived oxidant, in terms of both reactivity and redox potential, which can rapidly oxidize many different biomolecules including amino acids, sugars, lipids, proteins, and DNA. Two primary strategies for •OH detection involve the measurement of (i) conversion of a probe upon •OH attack and (ii) generation of long-lived radical species with a suitable scavenger followed by reaction with the probe [255]. Utilizing the superiorities of fluorescence probes in specificity and sensitivity, ratiometric nanoprobes are used to overcome the shortcomings of available probes for monitoring and detection of •OH [256, 257]. The advantage of ratiometric fluorescence detection is to overcome the adverse effects of environmental factors such as temperature and pH on detection sensitivity [258]. The proportion of analyte and reference fluorescence signals (such as those of a reporting dye with and without •OH interaction) is independent of the probe concentration, permitting a more reliable and quantitative determination [259]. The reporting dye can be encapsulated in polymeric nanocomposites. In this regard, coumarin-3-carboxylic acid covalently attached to amine-functionalized polyacrylamide nanoparticles [260] and neutral red encapsulated within biocompatible poly (lactide-co-glycolide) nanoparticles [258] were used as suitable dyes incorporated into nanocomposites. Considering the extremely high oxidation potential of •OH, a selective spectroscopic probe (e.g., terephthalate) for detecting it should have no significant reactivity against other ROS, and the hydroxylation product of the probe should be unique rather than a mixture of isomers [197].

A ratiometric fluorescence biosensor using gold nanoclusters (AuNCs) was developed for monitoring •OH in biological media [261], in which AuNCs protected by bovine serum albumin (BSA) was used as a reference fluorophore and 2-[6-(4-hydroxyphenoxy)-3-oxo-3H-xanthen-9-yl]benzoic acid (HPF) was the specific recognition element for •OH. The fluorescence of the HPF product after reaction with •OH (i.e., dianionic fluorescein) gradually increased with the addition of •OH. The selectivity of the fluorescence sensor for the detection of •OH over other ROS and RNS (such as O2, 1O2, OCl, alkylperoxyl radical, ONOO, H2O2, and •NO), metal ions, and other small biological molecules (such as amino acids and glucose) was high. HPF could also be classified as an alternative probe for determining •OH, ONOO, and HOCl [124], and the common point of all these reactive analytes were their high redox potential.

Li et al. [248] designed a sandwich-structured upconversion nanoparticles (UCNPs) probe for in vivo detection of •OH. Upconversion nanoparticles are promising energy donors for luminescence resonance energy transfer (LRET)-based fluorescence probes, in which a specific target-recognizing moiety acts as the energy acceptor and quenches the luminescence of UCNPs. The NIR-light excited fluorescence nanoprobe was composed of two moieties UCNPs with bared surface as the energy donor and a modified azo dye with tunable light absorption as both the energy acceptor and the •OH recognition element. The sandwich structure of the UCNP-nanoprobe intensified the degree of luminescence quenching, and consequently, extremely low concentrations of •OH (at a detection limit around 1.2 femtomolar) could be detected [248]. Surface modification of QDs may bring an improvement to the sensitive/selective detection of •OH, where different thiol-capped (thioglycolic acid, 3-sulfanylpropionic acid, and GSH) luminescent CdTe and CdTe/ZnS QDs served a role in •OH detection [262]. A decrease in the fluorescence of QDs arose from electron transfer from QDs to •OH, and CdTe@ZnS had a better performance than CdTe QDs, because ZnS increased the quenching efficiency. The GSH-CdTe@ZnS was observed to be the most sensitive QD with the lowest LOD. Adegoke and Forbes [263] reviewed the advantages and challenges in QD fluorescent probes to detect all kinds of ROS and RNS; compared to the more widely used organic fluorescent dyes prone to photobleaching, QDs are resistant to photobleaching and have a high surface-to-volume ratio, bright fluorescence, size and shape-dependent emission properties, and a large Stokes shift of the narrow emission band, but there are some unclear points in their reaction mechanism and specificity. It remains a challenge to develop QD probes with surface functionality specific to a particular type of ROS/RNS [263].

Both oxidase-like activity and AOX ability of nanoparticles have been reported in various literature sources, depending on environmental factors. Recently, a special term, “nanozyme”, has been introduced to define the new property for intrinsic enzymatic activities of nanomaterials. As some specific examples, ferromagnetic (Fe3O4) nanoparticles [264], iron oxide NPs composed of Fe3O4 as a typical nanozyme [265], cadmium cobaltite nanosheets [266], and MOF-derived Co3O4@Co-Fe oxide double-shelled nanocages [267] have been used as oxidase-like, peroxidase-like, and CAT-like active nanozymes for specific catalysis and chemo/biosensing applications. On the other hand, phenylalanine-conjugated CuxO nanoparticle clusters, biocompatible ceria NPs encapsulated in albumin, polyvinylpyrrolidone (PVP)-stabilized iridium NPs, ZnO/CeOx integrated in hollow microspheres, and ceria-zirconia nanoparticles were reviewed as nanozyme AOXs with SOD-, CAT-, and GPx-activities to combat against oxidative stress-related pathological conditions [268]. Biocompatible transition-metal dichalcogenide AOXs for nanotherapy such as WS2, MoSe2, and WSe2 nanosheets functionalized with a biocompatible polymer were shown to effectively scavenge mitochondrial and intracellular ROS and RNS (including H2O2, •OH, O2, and •NO) in inflammatory cells [269]. Various NPs are also known for their •OH scavenging activity, which may enable the indirect measurement of antioxidant activity of other substances by competitive kinetics. For example, CeO2 (ceria) nanoparticles protected methyl violet by competitively reacting with •OH and bleached the initial color of the dye; this activity seemed to be size- and buffer-dependent, having a close relation with the Ce3+/Ce4+ ratio at the surface of ceria NPs [270]. The •OH, O2, and •NO quenching properties of elemental gold and silver nanoparticles (in contrast to the analogic metal oxides) were found to correlate with their in vitro DNA protective effect [271]. With the help of EPR spectroscopy, it was found that Au@Pt nanorods, due to their oxidase-like property, did not scavenge •OH but inhibited the antioxidant activity of ascorbic acid for scavenging •OH produced by photoirradiating solutions containing TiO2 and ZnO [272].

Electrochemical Nanosensors: The principles of manufacturing electrochemical biosensors as efficient tools for determining antioxidant activity (including •OH scavenging ability) have been extensively reviewed in the literature [273], [274], [275], [276]. As lipid, protein, and DNA are the three primary biomacromolecules indicating ROS (including •OH) attack, three different electrochemical sensing strategies were described, based on cytochrome c, superoxide dismutase, and DNA and its nucleic bases [273]. Wang and co-workers [277] developed a sensitive electrochemical method for the determination of antioxidant capacity with the use of 4-hydroxybenzoic acid (4-HBA) as the trapping agent for photocatalytically (via TiO2-NPs) generated •OH, leading to the formation of the hydroxylation product 3,4-dihydroxybenzoic acid (3,4-DHBA) subsequently measured by square wave voltammetry (SWV). When AOXs (including phenols, thiols, and ascorbic acid) were present in the system, they competed with 4-HBA for •OH, causing a decrease in the peak current due to 3,4-DHBA, depending on the •OH scavenging activity of AOXs [277]. The production of •OH at an ITO electrode modified with PdO NPs was investigated during concomitant reduction of palladium oxide and H2O2 [278]. The catalytic current originated from the reoxidation of freshly exposed metallic Pd by •OH. In the presence of •OH scavengers, the catalytic reduction current decreased. In this regard, the •OH scavenging activity of AOX followed the order lipoic acid > glutathione > 3,4,5-trihydroxybenzoic acid > vitamin E > vitamin C > uric acid > trolox. This method was not interfered by AOX compounds, because PdO reduction occurred at negative potentials where AOXs were not expected to be oxidized. A biosensor was prepared by immobilizing dsDNA on a thin layer of a poly(amidoamine) dendrimer-encapsulated bimetallic nanoparticles (Au-Pd) in a chitosan composite on a glassy carbon electrode. Square wave voltammetry was used to evaluate the hydroxyl radical-mediated oxidative damage on immobilized DNA and to indirectly measure the antioxidant activity of sericin (a silk protein) in scavenging •OH [279].

Another strategy for electrochemical detection of •OH oxidative damage is to immobilize proteins (bovine serum albumin: BSA, hemoglobin, etc.) on modified electrodes. For this purpose, BSA was adsorbed onto a GCE surface and Co(bpy)33+ was used as a redox indicator to monitor BSA damage induced by •OH produced from a Fe2+/H2O2 Fenton system [280]. Intact BSA yielded the typical peak due to the oxidation by Co(bpy)33+, and after BSA was oxidized in the Fenton system, the peak due to the cobalt(III)-complex showed a sharp decrease, which was restored by AOXs (e.g., ascorbic acid, catechin, etc.). In other studies using the same probe, a BSA/poly-o-phenylenediamine (PoPD)/carbon-coated nickel (C-Ni) nanobiocomposite film-modified glassy carbon electrode (BSA/PoPD/C-Ni/GCE) was developed. Initially, the signal arising from BSA undergoing Fenton damage was measured, and a decrease in the PoPD oxidation signal intensity indicated BSA oxidative damage, where •OH scavengers showed restoration of the signal [281, 282].

5.5 Reactive nitrogen species detection with nanoprobes

RNS take part in cell signalling under various physiological conditions and also provide host defense against bacterial and fungal pathogens [283]. Although neither •NO nor O2•‒ are strong oxidants, dioxidooxidonitrate(1–) is highly reactive and can oxidize the primary macromolecules such as lipids, proteins, and DNA [284]. Actually, very few nanoprobes have been developed for selective RNS detection. A nonspecific probe involves the adsorption/desorption of GSH on the surface of AuNPs that can easily be released by the formation of GS-SG upon ROS/RNS attack, and destabilized particles can aggregate to generate spectral changes such as the plasmonic couplings between AuNPs giving rise to a red shift in the visible spectrum accompanying a change in the solution color to blue [283]. This system could enable us to better distinguish cancerous and normal cells, based on the difference in their ROS and RNS production. Pu et al. developed a semiconductor NP-based NIR probe for RNS, relying on the resistance of the reporter cyanine dye to degradation by RNS [285]. The surface of the semiconducting core (i.e., in the absence of ROS/RNS) was coated with fluorophore molecules, but these fluorophores were disrupted to increase the emission intensity upon ROS/RNS attack (due to the removal of FRET: fluorescence resonance energy transfer within the nanoprobe). As a result, fluorescence signals were intensified for ONOO, ClO, •OH, 1O2, O2, and •NO.

In the last decade, novel ONOO-responsive materials and hybrid (bio)nano-interfaces were custom synthesized, and several ONOO-sensitive optical fluorescent and luminescent ultra-small or nano-carriers were developed that can facilitate in vivo detection [134]. Vasilescu et al. [286] have reviewed nanomaterial-based electrochemical sensors for ONOO, comprising nanofilms and nanostructured electrodes, nanospheres, 3-dimensional nanostructures, and graphene-supported catalysts. Optical nanoprobes used in ONOO detection include QDs, carbon dots, fluorescent organic polymer dots, rare-earth metals nanocrystals including upconversion NPs, iron oxide NPs, AuNPs, and fluorophore-modified nanoporous silicon. Chen et al. [287] developed a AuNPs-based colorimetric probe for the detection of ONOO and its scavengers, relying on the stabilizing effect of ssDNA on AuNPs. Citrate-capped NPs were further stabilized by adsorption of ssDNA (possibly dominated by hydrophobic rather than electrostatic effects) [288], exhibiting the typical LSPR absorption band pertaining to AuNPs. As ONOO broke up the nanoparticle-held ssDNA, the color of the solution turned to blue, because the formation of smaller DNA fragments removed the existing stabilization and caused aggregation of NPs at high ionic strength. The calibration curves were quite linear with respect to the concentrations of both dioxidooxidonitrate(1–) and its scavengers. The original LSPR band was partly restored by AOXs (i.e., with a color change from blue to red), which showed a ONOO scavenging order of ascorbic acid > 3,4,5-trihydroxybenzoic acid > caffeic acid.

Electrochemical nanosensors were claimed to provide better selectivity for RNS over ROS. In this regard, it was initially found that bilayer coatings of poly(eugenol) and poly(phenol) are selective for •NO [289]. Then, Quinton et al. fabricated a gold ultramicroelectrode network (Au-UME) for the separate determination of •NO and ONOO, where they electrodeposited thin bilayers of poly(eugenol) and poly(phenol) on a UME network for electrochemical detection of •NO, while they used an uncoated Au-electrode to detect ONOO at a smaller potential [290]. Cruz et al. [291] described an electrochemical DNA sensor for determining the antioxidant activity for •NO scavenging. The sensor consisted of dA20 (ssDNA composed of 20 adenine moieties) adsorbed onto a carbon paste electrode (CPE). When this dA20-CPE was damaged upon •NO attack, the peak current due to undamaged DNA decreased, whereas •NO scavenger AOXs (i.e., ascorbic acid and phenolic-cinnamic acids) recovered the signal [291].

Since ROS/RNS are usually located in sub-cellular areas (i.e., specific organelles) at low concentration, micro- and nanotools enable the detection of such reactive species in a micro-invasive approach [292]; in this regard, Zhang et al. [293] made real-time intracellular measurements of ROS and RNS in living cells with single core–shell nanowire electrodes. Scanning photoelectrochemical spectroscopy (SPECM) enabling the visualization of local electrochemical activity in cellular media is an emerging technique in this field.

5.6 Challenges and future trends

In spite of literature reports on sensing applications designed for reactive species, the role of AOXs acting as their scavengers has largely been neglected. The primary ROS/RNS can be controlled by SOD, CAT, and NO synthases so as to minimize their cytotoxicity, while the more toxic secondary species (such as •OH, ONOO, and HOCl) derived from the primary species are less controllable by antioxidant enzymatic defenses of the organism [294]. Additionally, the more reactive species such as •NO and ONOO generate a variety of secondary products, which make their specific detection difficult, especially in biological media. Enzymatic generation of reactive species in ROS/RNS scavenging assays may give rise to further complications, as it is very difficult to decide whether the enzyme or reactive species is actually inhibited. Future challenges regarding the design of new sensors and nanoprobes for the activity assessment of biological AOX should address specificity, sensitivity, stability, surface inactivation, response time and repeated use, and precision and accuracy. Nanoparticle-based optical sensors are relatively new, as they were first designed at the end of the XXth century, so reporting their analytical performances is unfortunately not at a standardized level (mostly expressed as the ‘proof-of-concept’ stage) in the literature. In addition to conventional assays for ROS/RNS scavenging activity measurement, standardized analyses are to be developed to determine the antioxidant activity of nanozymes that increasingly find use in biocompatible applications. With the changing paradigm of AOXs in life sciences and medicine (i.e., claimed to have conflicting effects such as enhancement of both ‘oxidative stress’ and ‘antioxidative stress’ under certain conditions), current attention is being diverted from health maintenance and directed to protection of all sorts of organic materials (food, food packaging substances, biopolymers, ammunition, etc.) against oxidative degradation initiated and sustained by ROS/RNS. Thus, the analytical chemist should cope with this problem by designing new nanoparticles sensors for ROS/RNS scavenging measurement, applicable to complex media other than conventional food and biological samples. Various engineered nanoparticles are increasingly developed for specific purposes, and future trends may involve increased integration of antioxidant sensors to human health issues and design of point-of-care devices.

6 Applications of reactive species scavenging methods to food products

It is well known that a diet rich in fruits, vegetables, herbal plants, and whole grains play a crucial role in the prevention of chronic diseases such as cardiovascular diseases and certain types of cancers [295] and lowers blood pressure by reducing radical stress [296]. The ingestion of fruits and vegetables has been connected with a distinguished health-protecting factor against diseases [297]. The beneficial health effects of a diet supplemented with fruit and vegetables have enhanced interest in their bioactive compounds such as phenols, flavonoids, anthocyanins, flavones, isoflavones, lignans, coumarins, catechins, and isocatechins present in the food matrix. It has been shown that the positive effect of these natural products is usually connected with their antioxidant compounds [298].

Many articles regarding in vitro antioxidant activity of food samples by reactive species scavenging methods were studied in the last two decades. Some of these applications are listed in Table 2.

Table 2:

The applications of in vitro antioxidant activity of food samples by reactive species scavenging methods.

Analyte Scavenging activity methods Ref
Panax ginseng (ginseng)

Lagerstroemia speciosa (banaba)
Hydroxyl radical scav. (TBARS assay)

Dioxide(•1–) scav. (O2 produced by PMS, detected by spectrophotometric NBT assay monitored at 560 nm.)

Dihydrogen dioxide scav. (determined at 230 nm by monitoring H2O2 absorbance.)

Nitrogen monoxide radical scav.
[299]
Folium Ginkgo

Folium Acanthopanacis Senticosi
Dioxide(•1–) scav. (O2 produced by pyrogallol; WST-1 was used as the probe.) [18]
Olive, corn, and Perilla oil Hydroxyl radical scav. (TBARS assay)

Dioxide(•1–) scav.

Dioxidooxidonitrate(1–) scav.
[300]
Citrus fruit ORAC assay [301]
Wheat bran Hydroxyl radical scav. [302]
Buckwheat (Fagopyrum esculentum Moench) grain fractions (whole grain, hull, groat) Hydroxyl radical scav. (•OH was obtained by the Fenton reaction and detected by the spin trapping method.)

Dioxide(•1–) scav. (ESR spectrometry was used (DMPO-spin trap adduct) for O2•– scav.)
[303]
Millet Hydroxyl radical scav. (•OH was obtained by the Fenton reaction and detected by electron paramagnetic resonance (EPR) spectroscopy.)

Dioxide(•1–) scav. (Spectrophotometric NBT (p-nitroblue tetrazolium) assay monitored at 560 nm for O2•– scav.)

ORAC assay

Dihydrogen dioxide scav.
[304]
14 common vegetables (onion, cucumber, red bell pepper, yellow bell pepper, lettuce, eggplant, squash, tomato, carrot, cauliflower, broccoflower, green bell pepper, potato, and spinach) Hydroxyl radical scav. (TBARS assay)

Dioxide(•1–) scav. (O2 generated by a hypoxanthine (HPX)-xanthine oxidase (XOD) system. ESR spectrometry was used (DMPO-spin trap adduct) for O2 scav.)
[305]
Green tea (Camellia sinensis),

sage (Salvia officinalis), yarrow (Achillea millefolium), and lady’s

mantle (Alchemilla vulgaris)
HOCl radical scavenging assay (spectrofluorometric assay used resorsinol as the fluorometric probe) [306]
Small centaury (Centaurium erythraea Rafin.) and green tea (Camellia sinensis) HOCl radical scavenging assay (inhibition of hydroxidochlorine-induced

TNB oxidation to DTNB was monitored)

Hydroxyl radical scavenging assay (TBARS assay)
[307]
Cardoon (Cynara cardunculus L.) Hydroxyl radical scav. (OH. generated by Fenton reaction, measured by TBARS assay)

Dioxide(•1–) scav. (NBT assay)

HOCl radical scavenging assay (TNB/DTNB system)
[308]
Tronchuda cabbage (Brassica oleracea L. var. costata DC) leaves Dioxide(•1–) generated by xanthine/xanthine oxidase (X/XO) system.

Hydroxyl radical scav.(OH. generated by Fenton reaction, measured by TBARS assay)

HOCl radical scavenging assay (TNB/DTNB system)
[309]
Garlic HOCl radical scavenging assay (catalase inactivation assay detected at 404 nm) [310]
Cereal brans H2O2 scav. act. assay (assayed for remaining H2O2 by using the peroxidase system at 436 nm)

OH. scav. Activity
[311]
Apple, cranberry, grape,

Red wine, white wine, human plasma, and grains (wheat bran, oat, corn, and rice)
Peroxyl radical scavenging activity (PSC) assay (ROO generated by thermal degredation of AAPH. Degree of inhibition of dichlorofluorescein was monitored at 538 nm emission) [75]
Grape cane Hydroxyl radical scav. (OH. generated by Fenton reaction, measured by TBARS assay)

Dioxide(•1–) scav. (O2 generated from the PMS/NADH/O2 system)

Dihydrogen dioxide scav.
[312]
Cardamom, coriander, and bay leaves Dioxide(•1–) scav. (O2 generated from the PMS/NADH/O2 system)

Dihydrogen dioxide scav.

Nitrogen monoxide radical scav.
[313]
Red paprika, carrot, and tomato Singlet dioxygen absorbance capacity (SOAC method) [314]
Honey Dioxide(•1–) scav. in a cell-free system as inhibition of chemiluminescence, lucigenin. [315]
Blue honeysuckle (fruit)

Apple

Sea buckthorn
Hydroxyl radical scav. (OH. generated by Fenton reaction, measured by TBARS assay)

Dioxide(•1–) scav. (generated by the xanthine/xanthine oxidase (X/XO) system, detected by cytochrome c assay)

Nitrogen monoxide radical scav. (monitored at 540 nm by using Griess reagent)
[]
Red wine Hydroxyl radical scav. act.(TBARS assay)

ORAC assay
[32]
Tephrosia purpurea Linn.leaves Nitrogen monoxide radical scav. (monitored at 540 nm by using Griess reagent)

Dihydrogen dioxide scav.
[319]
Blueberries (Vaccinium sp.) ORAC assay

Hydroxyl radical scav. (ESR sp. was used (DMPO-spin trap adduct) for OH. scav.)
[320, 321]
Plaintain (Plantago lanceolata L.) Dioxide(•1–) scav. measured using an ESR-spin trapping method [322]
Exotic Brezilian fruits (cerrado biome, gabiroba, murici, and guapeva) ORAC assay

Peroxyl radical scavenging capacity (PSC) assay
[323]
Olive oil Dihydrogen dioxide scav. (using the chemiluminescent lucigenin reagent) [61]

6.1 Fruits

Prior et al. [320] reported blueberries (Vaccinium sp.) to be one of the richest sources of antioxidant phytonutrients and found a linear relationship between oxygen radical absorbing capacity (ORAC) of four Vaccinium species and anthocyanin or total phenolic content. Rossi et al. [321] investigated the influence of a steam blanching step on the radical-scavenging activity of blueberry juices and found that the blanching of fruit greatly increased the radical-scavenging activity of the juice, in relation to the higher recovery of anthocyanin pigments and total cinnamates.

Total phenolic contents (TPCs), total flavonoid contents (TFCs), and the related antioxidative and antiradical capabilities of grape cane extracts from 11 varieties widely grown in China were evaluated. Antioxidant properties were determined as DPPH and ABTS radical-scavenging abilities, O2 and •OH and H2O2 scavenging assays, and reducing power [312].

Adom and Liu [75] developed hydrophilic and lipophilic PSC (peroxyl radical scavenging activity) assay and applied this assay to several food extracts (fruits, wine, and cereals). In this study, apples showed a PSC value of (309.2 ± 3.62), cranberry, (1019.9 ± 104.4), and grape, (2108.9 ± 148.8) μmol Vit C eq/100 g fruit. The authors also specified that cranberries contribute more antioxidant activity to blood plasma when included in the diet.

The in vitro antioxidant activities of exotic Brazillian fruits (gabiroba, murici, and guepeva) were evaluated using two methods, named ORAC and PSC by Gomez Malta and co-workers [323]. For both the employed assays, a high and positive correlation between total phenolic content and antioxidant activity were found. The correlation between total phenol content and ORAC was R2 = 0.9994 and that between TPC and PSC was R2 = 0.9892. Gabiroba presented the highest antioxidant activity for both assays (ORAC (8027.5 ± 378.6) μmol TE/100 g fruit; PSC (2342.5 ± 48.1) μmol ascorbic acid eq/100 g fruit). Murici and the pulp of guapeva were not different statistically (p < 0.05) for ORAC and PSC.

The phenolic compounds in apple peel extracts were quantified in the presence of H2O2 to identify which phenolic compound contributed more to H2O2 scavenging. The results showed that the phenolic compounds extracted from ‘Golden Delicious’ apple peel had a strong ability for scavenging H2O2 [324]. Based on this study, anthocyanin is more sensitive to H2O2 and contributes more to H2O2 scavenging than other phenolic compounds, but in vivo, anthocyanins are required in fewer quantities to scavenge H2O2 than used in vitro (e.g., in apple peel) [324]. This was explained by the speculation that only the plant-synthesized anthocyanins mainly accumulated in vacuoles could react with the H2O2 diffused into vacuoles, whereas during phenolic extraction, the membranes of the organelles and cells are destroyed, resulting in enhanced contact between H2O2 and anthocyanin and a concomitant rapid consumption of anthocyanins [324].

Ascorbic acid is a major antioxidant found in citric fruits, cherries, kiwi fruits, melons, tomatoes, leafy greens, and the cabbage family among others and has a special ability to scavenge reactive nitrogen oxide species in aqueous solutions as well as H2O2 and ROS [157]. Antioxidant potential of citrus fruit was assessed by Gorinstein et al. [301]. For oranges, the two fractions apparently have similar values, whereas the water-soluble fraction of grapefruit has greater values. The aqueous ORAC results for orange, sweetie, and blond grapefruit juice were measured as (750 ± 9), (1558 ± 18), and (1384 ± 44) μmol TE per 100 g FW, respectively; the aqueous polyphenol results for the same fruit were (41.2 ± 4.1), (56.0 ± 5.4), and (66.3 ± 6.5) mg GAE per 100 g FW, respectively. High correlation (R2 = 0.99) between lipophilic ORAC and polyphenols and low correlation (R2 = 0.75) between hydrophilic ORAC values and total polyphenols were seen; however, the order for the investigated fruits was found similar.

Rop and co-workers [316] evaluated the scavenging activity of ROS (O2, •OH, and •NO) of fruit of blue honeysuckle (Lonicera caerulea L. var. kamtchatica (Sevast.) Pojark.) by using a 25 % methanolic extract of fruit of particular cultivars. Scavenging ability of extracts of blue honeysuckle fruit was found stronger than of other fruit species, e.g., mulberry, apples, or fruits of Prunus species [316].

Aristotelia chilensis (maqui) and Ugni molinae (murta or murtilla) are both endemic chilean plants that produces edible small berries with antioxidant and antihemolytic activities due to the high quantities of polyphenols found in crude extracts of their fruits and leaves [325]. Polyphenols were richer in leaves extract taken from maqui ((69.0 ± 0.9) mg GAE/g dm) in comparison to murta leaves ((32.5 ± 3.1) mg GAE/g dm). The same observations were made for stem and fruit extracts of maqui which doubled or even tripled polyphenols extracted from stem and fruit extracts of murta [325]. Genskowsky et al. [326] found 19 polyphenols in maqui fruits extracts using HPLC techniques; mainly, the polyphenols were anthocyanins, flavonols, and ellagic acid (2,3,7,8-tetrahydroxychromeno[5,4,3-cde]chromene-5,10-dione). The antioxidant activity was measured using DPPH, ABTS, FRAP, and metal-chelating activity methods. Jofré et al. [327] evaluated five murtilla-fruit genotypes, obtained form Chile, finding different polyphenol compounds at also different concentrations but with a similar pattern of antioxidant capabilities. Genskowsky et al. also noticed a strong variation in poliphenolic content reported in the literature for maqui extracts, suggesting that the difference in polyphenols could be possible due to extraction methods or solvents types employed [326].

6.2 Herbal plants

Cardamom, coriander seeds, and dried bay leaves were used to prepare extracts, and iron(III) reduction, DPPH scavenging, H2O2, O2•–, and •NO radical scavenging, and reducing power were assayed for antioxidant capacity. Although bay leaves had greater amounts of phenols and high antioxidant activity, cardamom and coriander are also good sources of flavonoids and scavengers of radicals. Both extracts of these spices are promising alternatives to synthetic substances as food ingredients with antioxidant activity [313].

Dioxide(•1–) scavenging activities of some herbal plants were determined by Xu et al. [18]. The IC50 values of the spectrophotometric method based on pyrogallol as the O2•– generating system and WST-1 as a probe which can be reduced to formazan in the presence of O2•– and the UPLC-MS method were compared in the study (Table 3). The Folium Ginkgo extract exhibited the highest O2 scavenging activity (IC50 = 2.381 mg mL−1) and was followed by Folium Acanthopanacis Senticosi (IC50 = 2.423 mg mL−1). Both of them were highly concentrated with flavonoids which had O2 scavenging activities [18].

Table 3:

Comparative IC50 (mg mL−1) values of herbal extracts for O2 scavenging activities [18].

Extracts IC50 (mg mL−1)
Spectr. method UPLC-MSa method
Folium Ginkgo 2.381 ± 0.003b 2.210 ± 0.016
Radix Scutellariae 4.758 ± 0.005 4.536 ± 0.039
Folium Acanthopanacis Senticosi 2.423 ± 0.032 2.348 ± 0.067
Radix Glycyrrhizae 6.217 ± 0.019 6.514 ± 0.078
Radix Puerariae 4.700 ± 0.009 4.304 ± 0.074
Folium Crataegi 4.863 ± 0.009 4.641 ± 0.058
Cortex Phellodendri 8.709 ± 0.186 9.103 ± 0.095
Rhizoma Corydalis > 10 > 10
Rhizoma Polygoni Cuspidati > 10 > 10
Rheum Pulmatum L. 9.530 ± 0.028 9.652 ± 0.088
  1. aUltra-performance liquid chromatography-mass spectrometry. bMean ± SD, N = 3.

The HOCl scavenging activities of green tea (Camellia sinensis), sage (Salvia officinalis), yarrow (Achillea millefolium), and lady’s mantle (Alchemilla vulgaris) were determined by spectrofluorometric resorcinol assay and compared with those of reference KI/taurine assay [306]. The order for HOCl scavenging activity of herbal teas with respect to the resorcinol assay was green tea > sage tea > yarrow > lady’s mantle. It was observed that the fluorometric resorcinol assay can be securely used without interference from polyphenols or herbal tea constituents, whereas the KI/taurine assay measuring at 250 nm may show interferences in the presence of real sample components or scavengers.

To investigate the therapeutic potential of nonpolar (hexane, ethyl acetate, and chloroform) and polar (methanol) crude extracts of Sonchus asper (SA) plant, several parameters including radical (DPPH•, ABTS•+, H2O2, and •OH) scavenging, iron chelating activity, scavenging of O2•–, total flavonoids, and TPC were examined by Khan et al. [328].

6.3 Vegetables

The ORAC assay is a widely accepted method based on ROO• scavenging for assessing food extracts that contain various AOXs since the ORAC method provides a unique assessment of the inhibition time and degree as the reaction goes to completion [329]. Wu et al. [330] measured the antioxidant capacities of 326 food items, and in the case of fruits and vegetables, the ORAC values for the hydrophilic fractions (H-ORAC) were typically much higher than those of the lipophilic fractions (L-ORAC). Rautiainen et al. [331] reported that more than half of ORAC intake from all foods in Sweden is attributed to vegetables and fruits.

Hydroxyl radical and dioxide(•1–) scavenging activities of some lyophilized powders of water extracts from 14 common vegetables (onion, cucumber, lettuce, eggplant, squash, red bell pepper, yellow bell pepper, green bell pepper, tomato, carrot, cauliflower, broccoflower, potato, and spinach) were measured by ESR spectrometry [305]. The data revealed that onions contained significantly (p < 0.008) higher •OH scavenging activity than the other extracts except cucumber on a dry weight basis. According to the O2 scavenging activity, eggplant contained significantly higher values than those of other vegetables.

Hydroxidochlorine scavenging capacities of some food extracts were determined. For example, thioallyl compounds in garlic were examined for their HOCl scavenging capacities by CAT inactivation assay in which the elimination of the CAT peak due to the destruction of the heme prosthetic group by HOCl was observed spectrophotometrically [310]. In another study, the HOCl scavenging activity of centaury (Centaurium erythraea Rafin.) infusion was exhibited [307]. Antioxidant activities of cardoon (Cynara cardunculus L.) [308] and tronchuda cabbage (Brassica oleracea L. var. costata DC) [309] were also reported.

6.4 Cereals

According to the study of Wang et al. [302], enzymatic hydrolysates from wheat bran showed a marked scavenging effect on •OH with an EC50 (effective concentration of an antioxidant to scavenge a given reactive species at 50 % ratio) value of 0.46 mg/mL, which was lower than that of mannitol (1.03 mg/mL), a classical •OH scavenger, and obvious antioxidant activities toward O2 and H2O2.

Adom and Liu [75] investigated the ROO• scavenging activity of grain products (corn, wheat, oats, and rice) in the case of lipophilic and hydrophilic activity. Whole-grain lipophilic antioxidant activity ranged from (3.49 ± 0.57) of wheat to (8.79 ± 1.98) µmol of α-tocopherol equiv/100 g of rice. Percentage contribution of hydrophilic antioxidant activity to the total activity was evaluated. Hydrophilic antioxidant activity contributed more than 98 % of the total antioxidant activity (hydrophilic plus lipophilic) of whole grains tested.

Scavenging activities on •OH and O2 were calculated for the first time using ESR spectrometry for buckwheat grain fractions (whole grain, hull, and groat) [303]. The •OH scavenging activities among investigated samples were significantly different (p < 0.05). The presented results were expressed as IC50 values and the authors observed that hull possesses 8-fold higher activity than whole grain.

6.5 Oils

Luminescent analytical methods, based on the excitation of molecules either by absorption of light (photoluminescence and fluorescence) or by a chemical reaction (chemiluminescence) [332], are characterized by simplicity, sensitivity, low limits of detection, and relatively low cost of instrumentation. These assays are suitable for monitoring reactive species and these advantages enabled the utilization of luminescence spectroscopy in numerous applications of analytical chemistry [333], [334], [335] including food [61, 336], [337], [338], [339] and edible oil analysis [340]. Fluorescence assays have not been used extensively for monitoring reactive species, and the application of this technique in the determination of the antioxidant activity of edible oils is limited [341, 342].

According to the literature [343], when an exothermic chemical reaction produces an intermediate or a final product, which fluoresces, then the reaction can also initiate CL. A typical example is the oxidation of lucigenin by H2O2 which leads to the formation of 10-methylacridin-9(10H)-one (NMA) (Fig. 4). The mechanism of this reaction has been studied extensively by several research groups in many solvents [344], [345], [346] including propan-2-ol [61]. Since NMA is a fluorophore, the reaction produces CL and has been used for the evaluation of antioxidant activities of pure organic compounds or natural products. Nevertheless, the fluorescence of NMA, which is intense at 400–450 nm when excited at 390 nm, has never been exploited.

Fig. 4: 
            Schematic reaction scheme of lucigenin with H2O2 in alkaline medium (* indicates an excited molecule).
Fig. 4:

Schematic reaction scheme of lucigenin with H2O2 in alkaline medium (* indicates an excited molecule).

Lucigenin fluorometric method for the evaluation of antioxidant activity of edible oils: The reaction of lucigenin with H2O2 produces NMA, which exhibits intense fluorescence measured at 425 nm when excited at 390 nm and, hence, the emission intensity is directly related to the concentration of the oxidant. This principle was used for the evaluation of antioxidant activity (AA) in edible oils. Since edible oils do not mix with water, results from aqueous mixtures might not be representative of the initial sample. It is therefore important to develop methods or modify existing methods, which can be used in non-aqueous solvents. The solvent or mixture of solvents should dissolve all compounds participating in the chemical reaction, should not form insoluble compounds during the reaction, should not be toxic or environmentally hazardous, and should not be volatile or flammable. According to the literature, propan-2-ol is suitable for dissolving olive oil [347] but the solvent has not been used in FL and CL analysis. Preliminary results proved that propan-2-ol can be used successfully for FL and CL and was used throughout.

The solution of lucigenin is mixed with the solutions of H2O2 and the antioxidant, and the fluorescence emission intensity (I) is recorded after one hour. The blank emission intensity (Io) is recorded by mixing propan-2-ol instead of the antioxidant solution into the reaction cell and the antioxidant activity AA (%) is calculated using Eq. (27).

(27)AA(%)=I0II0×100

The total antioxidant activity (TAA) of oil was measured by using a volume fraction ϕ = 0.05 of olive oils or a volume fraction ϕ = 0.1 of seed oils. For the estimation of the contribution of the corresponding aqueous (hydrophilic constituents, AAhydrophilic) or organic extracts (hydrophobic constituents, AAlipophilic), the oils were diluted in hexane, extracted with a volume fraction ϕ = 0.6 methanol:water and the solvents were removed in a rotary evaporator under vacuum at temperatures of about 50 °C. To the solid residue of the aqueous extracts, propan-2-ol was added and the mixtures were stirred vigorously. Then, a volume fraction ϕ = 0.05 and ϕ = 0.1 of olive oil and seed oil solutions were prepared in propan-2-ol, respectively. For the preparation of the corresponding organic phases of oils, the extracts were diluted with propan-2-ol accordingly.

From the results expressed as mmol TE (trolox equivalents)/L of oil shown in Table 4 [348], it becomes apparent that the sum AAhydrophilic + AAlipophilic is almost equal to the TAA of the sample; extra virgin olive oils (EVOOs) exhibit about twice AA of virgin olive oil and about four times AA of seed oils. Antioxidant activity in EVOO is nearly equally distributed between the lipophilic and hydrophilic part of the oil. Hydrophilic antioxidant activity in VOO is much lower than AAlipophilic, and AA of seed oils is totally attributed to the lipophilic part due to the negligible content of phenolic compounds in them with the exception of sesame oil.

Table 4:

Antioxidant activities of commercial olive oils, seed oils, and their hydrophilic and lipophilic extracts expressed as mmol TE/L oil by using the fluorometric assay of lucigenin.

Antioxidant activity (mmol TE/L oil ± SD, n = 5)
Edible oil* TAA AAhydrophilic AAlipophilic AAhydrophilic+ AAlipophilic Variation (%)
EVOO 8.32 ± 0.35 4.84 ± 0.16 3.31 ± 0.10 8.15 −2.0
8.11 ± 0.70 4.26 ± 0.10 3.95 ± 0.18 8.21 +1.3
7.62 ± 0.39 5.47 ± 0.10 2.39 ± 0.10 7.86 +3.2
VOO 3.25 ± 0.26 0.44 ± 0.03 3.21 ± 0.19 3.64 +11.2
4.70 ± 0.16 1.01 ± 0.05 3.51 ± 0.11 4.52 −3.8
Corn oil 2.41 ± 0.10 < LoD** 2.33 ± 0.19 2.32 −3.4
Sesame oil 2.36 ± 0.17 0.70 ± 0.03 2.01 ± 0.10 2.71 +15.0
Sunflower oil 1.54 ± 0.11 < LoD** 1.37 ± 0.12 1.37 −10.8
Soybean oil 2.50 ± 0.21 < LoD** 2.22 ± 0.10 2.22 −11.0
Soybean oil 2.35 ± 0.11 < LoD** 2.24 ± 0.12 2.23 −5.1
  1. *EVOO: Extra Virgin Olive oil, VOO: Virgin Olive Oil. **Not detectable (< limit of detection).

The basic contributors for the antioxidant activity of aqueous extracts of olive oils are phenolic derivatives of benzoic and cinnamic acids [349, 350], while the major contributors to the antioxidant activity of organic extracts of olive oils are hydrophobic compounds such carotenoids, tocopherols, chlorophylls, pheophytins, polymeric proanthocyanidines, and high-molecular weight tannins such as hydroxytyrosyl malate and tyrosyl oleates [351], [352], [353]. Only olive, linseed, rapeseed, safflower, sesame, and walnut oils showed significant radical scavenging in the methanolic fraction due to the presence of phenolic compounds. Furthermore, seed oils contain high amounts of tocopherols. Seed oils, such as soybean oil, are rich in δ-tocopherol which exhibits high AA. Olive oils contain low concentrations of tocopherols, mainly α-tocopherol [354]. The tocopherol content in corn and sunflower oils is almost two times higher than that in olive oils [355]. The tocopherol content in sesame oil is relatively lower, but it contains other phenols, mainly sesamol and sesamolin, which are responsible for superior oxidative stability and consequently higher antioxidant activity of hydrophilic extracts [356].

Lucigenin chemiluminogenic method for the evaluation of antioxidant activity of edible oils: If lucigenin is mixed with H2O2 in front of an optical detector, such as a photomultiplier, then the intense emission generated during progression of the reaction (Io) can be measured. If the reaction is repeated in the presence of an AOX, then the intensity is reduced (I) and this inhibition is directly related to the antioxidant activity and concentration of the AOX.

The method was fully validated [61] and applied to edible oils for the evaluation of TAA as well as antioxidant ability of lipophilic (AAlipophilic) and hydrophilic (AAhydrophilic) extracts by following the procedure described above. The results are expressed as mg gallic acid per kg oil [357] and are shown in Table 5.

Table 5:

Antioxidant activities of commercial olive oils, seed oils, and their hydrophilic and lipophilic extracts expressed as mg GAE/Kg oil by using the chemiluminometric assay of lucigenin.

Edible Oil* Antioxidant Activity (mg GAE/per kg oil) (±S.D., n = 5) Variation (%)
TAA AAhydrophilic AAhydrophilic AAhydrophilic+ AAlipophilic
EVOO 108 ± 4 43.6 ± 1.7 61.7 ± 2.1 105 2.9
105 ± 4 52.8 ± 1.4 56.4 ± 1.9 109 −4.3
101 ± 5 51.4 ± 1.2 55.0 ± 1.6 106 −5.0
110 ± 4 44.4 ± 1.5 71.1 ± 2.3 116 −5.0
103 ± 3 44.8 ± 0.90 54.9 ± 2.3 99.7 3.5
99.2 ± 2.9 50.4 ± 1.4 57.1 ± 1.8 108 −8.4
ROO 32.6 ± 1.2 23.8 ± 0.90 7.60 ± 0.49 31.4 3.7
39.2 ± 1.5 26.6 ± 1.1 11.05 ± 0.73 37.6 4.0
22.4 ± 1.1 17.4 ± 0.99 6.18 ± 0.51 23.5 −5.1
Corn oil 37.5 ± 1.0 31.8 ± 1.6 7.45 ± 0.46 39.3 −4.7
59.2 ± 1.0 43.8 ± 1.9 13.77 ± 0.86 57.5 2.8
Sunflower oil 34.7 ± 1.6 30.8 ± 1.6 < LOD** - -
36.2 ± 1.0 32.7 ± 1.5 < LOD** - -
Soya oil 47.9 ± 1.2 45.3 ± 1.7 < LOD** - -
Sesame oil 10.10 ± 0.66 7.5 ± 0.90 < LOD** - -
  1. *EVOO: Extra Virgin Olive Oil, ROO: Refined Olive Oil, **Not detectable (< limit of detection).

From the results in Table 5, it becomes apparent that similar conclusions with those in Table 4 can be made. In all samples, the sum AAhydrophilic + AAlipophilic is almost equal to the TAA of the sample. Extra virgin olive oils exhibit about three times higher AA than all other oils with the exception of sesame oil. Antioxidant activity in EVOO is nearly equally distributed between the lipophilic and hydrophilic part of the oil. Antioxidant activity of sunflower, soya, and sesame oils is totally attributed to the lipophilic part.

Comparison of the results in Table 5 with the results taken by the DPPH and Folin-Ciocalteau methods show linear correlation between the antioxidant activities by DPPH (AADPPH) and chemiluminescence (AACL):

(28)AADPPH=0.82(±0.08)AACL+22(±3)R=0.96(n=10)

and between the Folin-Ciocalteau Total Phenol Content (TPCF-C) and (AACL):

(29)TPCF-C=1.5(±0.2)AACL+46(±8)R=0.95(n=8)

In the study of Christodouleas et al. [138], the chemiluminescent reaction of bis(2,4,6-trichlorophenyl) oxalate (TCPO) with the ROS produced by the catalytic decomposition of H2O2 by Mn(II) ions was utilized for the evaluation of antioxidant activity of edible oils. The AOXs present in the sample scavenge the ROS and inhibit the reaction. The procedure has been automated by flow injection and the results are comparable with those using lucigenin CL. Chemiluminescence reactions with peroxyoxalate give high quantum yields compared to lucigenin or luminol.

In the study of Lee et al. [300], the inhibitory effect against radical and protective activity from oxidative stress of different vegetable oils as potential sources of AOXs was investigated. Olive, corn, and Perilla oil have radical scavenging activity and protective effect from O2- and ONOO-induced cellular damage. These three oils exerted strong scavenging activity against •OH. Perilla oil exerted relatively high antioxidant effect at low concentration. Based on these results, at 25 μg/ml, all oils including Perilla oil scavenged OH over 80 %.

6.6 Wines

The chemiluminogenic reaction of luminol with H2O2 in alkaline medium has also been extensively used for the evaluation of antioxidant activity of a plethora of natural products (Fig. 5).

Fig. 5: 
            Schematic reaction scheme of luminol with H2O2 in alkaline medium (* indicates an excited molecule).
Fig. 5:

Schematic reaction scheme of luminol with H2O2 in alkaline medium (* indicates an excited molecule).

A flow injection CL method was developed for the selective determination of trihydroxyderivatives and applied successfully to teas, herbal infusions, and red and white wines [358]. The method is based on the chemiluminogenic reaction of alkaline luminol with gold ions, which is enhanced by the presence of monomeric and polymeric compounds having at least one gallate moiety). Phenolic compounds such as pyrogallol, gallic acid, and epigallocatechin gallate [(2R,3R)-5,7-dihydroxy-2-(3,4,5-trihydroxyphenyl)-3,4-dihydro-2H-chromen-3-yl]3,4,5trihydroxy benzoate), thiols such as glutathione and l-cysteine, and ascorbic acid were found to strongly enhance the emitted signal, allowing the determination of concentrations as low as 1 × 10−7 mol L−1. The enhancement of the emission intensity is attributed to the oxidation of phenolic compounds from gold(III) leading to the formation of phenoxy radicals which then react with dissolved oxygen and produce ROS which substantially increase the signal. The method proposed was fully validated and applied successfully to a variety of teas, herbal infusions, and red and white wines. The results were linearly correlated to the results from the official Folin-Ciocalteau method.

Alkaline luminol was also used in a sequential injection CL method for the determination of TAC of wines [137]. The principle of the proposed fully automated method is the reaction of alkaline luminol with H2O2 catalyzed by cobalt(II) generating emission intensity Io. If an antioxidant is injected, then the concentration of H2O2 is reduced and the generated emission intensity is equal to Is. The relative reduction of emission intensity (ΔI) is calculated using Eq. (30) and is proportional to the antioxidant activity of the compound and the concentration.

(30)ΔI(%)=I0ISI0×100

Therefore, AOXs like gallic and caffeic acids can be determined within the range 1.0 × 10−6 to 2.0 × 10−4 and 1.0 × 10−7 to 2.0 × 10−6 mol L−1, respectively with limits of detection within the range 1.0 × 10−6 to 1.0 × 10−7 mol L−1 and correlation coefficients (R2) within the range 0.992–0.998. The method was fully validated and results from red and white wines correlated very well with the results from the official DPPH (R2 = 0.98, n = 25) and Folin-Ciocalteau (R2 = 0.91, n = 25) methods.

The TAC of wines was also measured by the CL reaction of alkaline luminol with potassium permanganate by using a hybrid flow-injection/sequential-injection manifold [359]. The reduction of emission intensity is calculated using Eq. (30) and the emission intensity from alkaline luminol + permanganate without (Io) and with (Is) injection of the antioxidant. The method was fully validated and results from red and white wines correlated very well with the results from the official DPPH method (R2 = 0.985, n = 25).

6.7 Other applications

In the last decades, strict requirements for consumer safety enabled the development of new approaches and strategies in the food and packaging industry. Current research efforts have been focused on the use of natural and renewable packaging materials which could contain antioxidants as active compounds [360]. Oxidative reactions constitute the main reason of food product degradation (e.g., by degrading lipids, nutrients, and color). Antioxidant-incorporated active packages show good interactions with food and better biocompatibility and facilitate antioxidant transport. They can control oxygen-promoted oxidation reactions and avoid degradation responsible for spoilage and loss [361]. Active ingredients can be integrated into the food matrix by adding to the packaging material or by coating on the surface [362]. The attachment of active substances to polymeric food contact surfaces is promising due to the combination of the advantages of the nonmigratory nature of the active compound [363]. Ascorbic acid, α-tocopherol, plant extracts (green tea, grape seed, tomato peel, rosemary extract, etc.), and essential oils (such as cinnamon oil and thyme oil) which are natural antioxidant substances can be added instead of synthetic antioxidants such as butylated hydroxyanisole (4-methoxy-2-(2-methylpropan-2-yl)phenol/4-methoxy-3-(2-methylpropan-2-yl)phenol (BHA)), butylated hydroxytoluene (2,6-bis(2-methylpropan-2-yl)-4-methylphenol (BHT)), and 2-(2-methylpropan-2-yl)benzene-1,4-diol (TBHQ) to edible materials composed of proteins, lipids, and polysaccharides. For example, the preservative effect of bioactive chitosan films packages combined with apple polyphenols [364] and mango leaf extracts on the shelf lifes of food samples was investigated [365]. Natural phenolic antioxidants can also be efficiently used in polymer stabilization as primary stabilizers with a phosphorus- or sulfur-type hydroperoxide decomposer as the secondary stabilizer. They significantly improve the thermo-oxidative stability of the polymer melt [366]. The decomposition of hydroperoxides to hydroxyl and alkoxy radicals increases the concentration of reactive species in the polymer, which affects the rate of degradation. Secondary stabilizers reduce hydroperoxides to harmless alcohols; thus, the application of phosphorus- and sulfur-containing secondary stabilizers is mandatory during the processing of the polymer.

The other application field of antioxidants is associated with ammunition protection. In order to overcome the degradation problem of composite energetic materials (explosives) arising from the oxidative crosslinking of the polymer matrix, at least one additive or antioxidant can be added to the formulation. Composite energetic materials consist of a solid polymeric matrix, comprising at least one organic nitro-explosive charge, e.g., 1,3,5-trinitrohexahydro-1,3,5-triazine (RDX) and 1,3,5,7-tetranitro-1,3,5,7-tetrazocane (HMX) in powder form. The antioxidant agent is selected from the antioxidant agents used to improve the aging behavior of polymers. Known agents act either by interrupting radical reactions or by inhibiting the degradative action of metal ions [367].

Organic explosives such as nitrocellulose, nitroglycerin, and pentaerythritol tetranitrate contain aliphatic nitrate ester groups. The degradation starts by homolytic breakdown of the weak O−NO2 bond, with subsequent emergence of nitrogen dioxide and alkoxyl radicals [368]. Aromatic amines are commonly used as antioxidant stabilizers in explosives due to their relatively weak N−H bonds [369, 370]. They can react with peroxyl or alkoxyl radicals to yield nitroxides, which can inhibit autoxidation in a catalytic manner [369]. Literature reports on their radical scavenging activities are quite limited. In these studies, competitive kinetic techniques were used for calculating the absolute rate constants of radical trapping of aromatic amines. High radical scavenging activities of aromatic amine compounds against alkoxyl and/or peroxyl radicals show that they are good autoxidation inhibitors [369]. However, as amines can form hydrogen bonds with hydrogen bond acceptor (HBA) solvents, their related kinetic data are strongly influenced by steric hindrance to hydrogen bonding [371].

7 Conclusions

This work is intended to review various methods used to identify and quantify biologically important reactive oxygen and nitrogen species (ROS/RNS, including both radicals and nonradical species) and to measure the antioxidant activity in regard to scavenging these ROS/RNS. The main assays comprise the scavenging activity measurement of the hydroxyl radical (•OH), dioxide(•1–) (O2•–), dihydrogen dioxide (H2O2), hydroxidochlorine (HOCl), dioxidooxidonitrate(1–), and the peroxyl radical (ROO•). With the changing paradigm of antioxidants in life sciences [74, 372], current interest gradually moves away from health maintenance and is more focused on the preservation of all kinds of organic materials (e.g., food, food packaging substances, biopolymers, ammunition, etc.) against oxidative decomposition initiated and sustained by ROS/RNS. Thus, the reactive species scavenging ability of these new types of unconventional antioxidants should also be measured. In fact, in spite of the ongoing discussions on the relevance of antioxidant activity assays including the measurement of ROS/RNS, experts still find colorimetric in vitro screening tests useful for giving an idea on potential bioactivities and health benefits of antioxidants [373, 374]. The difference between classical antioxidant capacity assays largely based on electron-transfer (ET) reactions and partly on hydrogen atom transfer (HAT) ability of antioxidants and antioxidant activity measurement against reactive species is largely unknown, and this review is expected to show these differences, along with existing analytical tools while enlightening the underlying chemical principles and advantages/disadvantages of the elaborated methods. Inspection of these methods reveal that most of them measure ROS/RNS indirectly, i.e., by measuring the spectral or electrochemical changes occurring on a probe after quenching reactive species. In other words, the absorbance or fluorescence of a probe may change when attacked by reactive species, as a result of repositioning of its original energetic states due to intra- or inter-molecular electron and charge transfer interactions. The usual outcomes are wavelength shifts in absorbance or emission maxima, variation in color, fluorescence, or chemiluminescence intensity, or oxidation-reduction potential shifts in electrochemical measurement with concomitant variations in the measured current intensity. Since each assay has its own thermodynamics and kinetics, no two assays may yield the same results for the measured species. However, the clinical or food chemists making a proper selection of these assays should always be aware of the mechanism of the chosen method and be sure about what it measures and what it does not. In other words, the use of inexplicable assay kits in the market without a clear mechanism and selectivity data (over carefully investigated interferences) or even the exact chemical structure of the probe should be avoided because this may lead to unclear and unscientific interpretation of results. In addition, environmental factors defining a method should be carefully considered, such as temperature, pH, the nature and polarity of the solvent used, the nature of reaction substrates (lipid, protein, DNA, nucleic acid, etc.), and lipophilicity/hydrophilicity of antioxidants, as changes in these factors may cause large variations in the obtained results. The time of measurement is also important, because within the limited protocol time of a given assay, it may be specific for a single ROS/RNS, whereas upon the extension of this period, other reactive species may also produce similar changes on the probe greatly reducing selectivity. Enzymatic methods should be carefully interpreted, as it may be difficult in some cases to distinguish between whether the studied ROS/RNS is actually scavenged or the enzyme used in its generation is inhibited. The influence of possible enzyme inhibitors, such as heavy metals, pesticides, and thiols/sulfides and disulfides that may exist in many environmental samples should also be taken into account. On one hand, metals may be held responsible for enhanced production of ROS with the toxicity order Pb > Cu > Zn [375] and inhibition of antioxidant activity via stimulating ROS/radical formation, either by direct electron transfer involving multivalent metal ions or through metal-mediated inhibition of metabolic reactions [376]; on the other hand, heavy metal ions may also inhibit oxidase- and peroxidase-enzyme activity by binding to the active sites of such enzymes. In terms of inhibiting catalase activity, Cu was found to be the strongest inhibitor followed by Hg, Fe, Cr, and Cd [377]. Inhibition of HRP activity was tested with the aid of an electrochemical biosensor, giving the order Cd(II) < Cu (II) < Pb(II) [378]. Cadmium(II) [379] and nickel(II) [380] were found to be either noncompetitive or mixed inhibitors of HRP in the course of H2O2-mediated oxidation of o-dianisidine.

This review is expected to help the reader familiarize with ROS/RNS scavenging assays, to properly choose methods to identify and quantify both reactive species and their scavengers, to make the findings more comparable and understandable, and to bring a more rational basis to the evaluation of obtained results. The wonderful resources of nanoparticles (NPs) and nanocomposites have brought a new life to ROS/RNS scavenging assays thanks to the extraordinary physicochemical properties of nanoparticles, including the localized surface plasmon resonance (LSPR) bands of noble metal NPs having high molar absorptivities (thereby enabling sensitive determination of reactive species and their scavengers) and showing large red or blue shifts upon aggregation or disaggregation of NPs, respectively. Various engineered nanoparticles (including nanozymes that are both capable of generating and quenching reactive species, depending on their preparation path, structure, and environmental factors) are increasingly developed for specific purposes. The design of novel NP sensors for ROS/RNS scavenging measurement should consider applicability to complex media other than conventional food and biological samples. It should be borne in mind that NP sensors are prone to aggregation by other factors in the medium (i.e., not involving reactive species), such as temperature, surfactants, pH, and salt effects. Analytical, food chemical, and biomedical/clinical communities may benefit from this review to develop more refined, rapid, simple, and low-cost assays and thus open the market for a wide range of analytical instruments, including reagent kits and sensors.

8 Membership of sponsoring bodies

The membership of Division V (Analytical) at the start of this project was

President: D. B. Hibbert; Vice President: J. Labuda; Secretary: Z. Mester; Past President: M. F. Camões; Titular Members: C. Balarew, Y. Chen; A. Felinger, H. Kim, M. C. Magalhaes, H Sirén; Associate Members: R. Apak, P. Bode, D. Craston, Y. H. Lee, T. Maryutina, N. Torto; National Representatives: O. C. Othman, L. Charles, P. DeBièvre, M. Eberlin, A. Fajgelj, K Grudpan, J. Hanif, D. Mandler, P. Novak, and D. Shaw.

The membership of Division V (Analytical) at present is

President: Zoltán Mester; Past President: Jan Labuda; Vice President: Érico Marlon de Moraes Flores; Secretary: Takae Takeuchi; Titular Members: Medhat A. Al-Ghobashy, Derek Craston, Attila Felinger, Irene Rodriguez Meizoso, Sandra Rondinini, David Shaw. Associate Members: Jiri Barek, M. Filomena Camões, Petra Krystek, Hasuck Kim, Ilya Kuselman, M. Clara Magalhães, Tatiana A. Maryutina; National Representatives: Boguslaw Buszewski, Mustafa Culha, D. Brynn Hibbert, Hongmei Li, Wandee Luesaiwong, Serigne Amadou Ndiaye, Mariela Pistón Pedreira, Frank Vanhaecke, Winfield Earle Waghorne, Susanne Kristina Wiedmer.

Abbreviations

Compounds, ions, and radicals
AAPH

(E)-2,2′-diazenediylbis(2-methylpropanimidamide)

ABTS

2,2′-azino-bis(3-ethylbenzothiazoline-6-sulfonic acid)

BHA

4-methoxy-2-(2-methylpropan-2-yl)phenol/4-methoxy-3-(2-methylpropan-2-yl)phenol

BHT

2,6-bis(2-methylpropan-2-yl)-4-methylphenol

BODIPY (Boranyl)

1-(difluoroboryl)-3-ethyl-5-[(Z)-(4-ethyl-3,5-dimethyl-2H-pyrrol-2-ylidene)methyl]-2,4-dimethyl-1H-pyrrole

BSA

bovine serum albumin

CAT

catalase

DACs

diaminocyanines

DAFs

diaminofluoresceins

DAN

napththalene-2,3-diamine

DCDHF

2-(2,7-dichloroxanthen-9-yl)benzoic acid

DCFH

2,7-dichlorospiro[2-benzofuran-1,9-xanthes]3-one

DHR-123

dihydro-rhodamine 123

DMPO

2,2-dimethyl-3,4-dihydro-2H-pyrrole-1-oxide

DPPH

2,2-diphenyl-1-picrylhydrazyl

DTNB

5,5′-disulfanediylbis(2-nitrobenzoic acid), also known as Ellman’s reagent

FL

2-(2,7-dichloroxanthen-9-yl)benzoic acid (known as fluorescein)

GPx

glutathione peroxidase

GR

glutathione reductase

GSH

glutathione (reduced)

GS-SG

glutathione disulphide (oxidized glutathione)

H+

cations of hydrogen, regardless of the isotopic composition; hydron (common name: proton)

H2O2

dihydrogen dioxide

HE

2,7-diamino-10-ethyl-9-phenyl-9,10-dihydrophenanthridine

HFLUOR

dihydrofluorescein

HOBr

hydroxidobromine

HOCl

hydroxidochlorine

HOSCN

(hydroxylsulfanyl)carbonitrile

HOX

hydroxydohalogens

MPO

myeloperoxidase

NADH

nicotinamide adenine dinucleotide

NBT

1,1-(3,3-dimethoxy[1,1-biphenyl]bis[2-(4-nitrophenylmethyl-2H-tetrazolium dichloride) (known as p-nitroblue tetrazolium)

NMA

10-methylacridin-9(10H)-one

•NO

nitrogen monoxide radical

NOC-9

6-(2-hydroxy-1-methyl-2-nitrosohydrazino)-N-methylhexane-1-amine

NOR-1

(±)-(E)-4-methyl-2-((E)-hydroxyimino)-5-nitro-6-methoxy-hex-3-enamide

NOS

nitrogen monoxide synthase

•OH

hydroxyl radical

1O2

singlet dioxygen

O 2

dioxide(•1–)

ONOO

dioxidooxidonitrate(1–) anion

ONOOH

peroxynitrous acid

PABA

4-aminobenzoic acid

PMS

5-methylphenazin-5-ium methoxidotrioxidosulfate(1-), commonly known as ‘phenazine methosulfate’

RO•

alkoxyl

ROO•

peroxyl radical

RSeOH

selenohydroperoxide

SOD

superoxide dismutase

TBHQ

2-(2-methylpropan-2-yl)benzene-1,4-diol

TCPO

bis(2,4,6-trichlorophenyl) oxalate

TNB

2-nitro-5-sulfanylbenzoic acid

TMB

3,3′,5,5′-Tetramethyl-[1,1′-biphenyl]-4,4′-diamine

Trolox

6-hydroxy-2,5,7,8-tetramethylchroman-2-carboxylic acid

WST-1

sodium 4-[3-(4-iodophenyl)-2-(4-nitrophenyl)-2H-tetrazol-3-ium-5-yl]benzene-1,3-disulfonate

β-PE

β-phycoerythrin (a red protein-pigment complex, without a definite formula)

Techniques and other terms
AE

antiradical efficiency, defined as AE = 1/(EC50 × TEC50)

AgNPs

silver nanoparticles

AOX

antioxidant

AUC

area under curve

AuNCs

gold nanoclusters

AuNPs

gold nanoparticles

CDs

carbon dots

CL

chemiluminescence

CUPRAC

Copper (II) ion Reducing Antioxidant Capacity

EC50

effective concentration of an antioxidant to scavenge a given reactive species at 50 % ratio; effective concentration of an antioxidant to reduce the initial concentration of a given oxidant species by 50 %.

EPR

electron paramagnetic resonance

ESR

electron spin resonance

EVOO

extra virgin olive oil

FIA

flow injection analysis

H-ORAC

hydrophilic ORAC

HPS

dihydrogen dioxide scavenging

hydro-PSC

hydrophilic peroxyl radical scavenging capacity

IC50

inhibitory concentration capable of showing 50 % inhibition effect

lipo-PSC

lipophilic peroxyl radical scavenging capacity

L-ORAC

lipophilic ORAC

LSPR

localized surface plasmon resonance

MPFS

multi-pumping flow system

MSFIA

multi-syringe flow injection analysis

NIR

near infrared

ORAC

oxygen radical absorption capacity (common name: oxygen radical absorbance capacity)

PSC

peroxyl radical scavenging capacity

QDs

quantum dots

RNS

reactive nitrogen species

ROS

reactive oxygen species

SD

standard deviation

SIA

sequential injection analysis

SRSA

dioxide(•1–) scavenging activity

TAA

total antioxidant activity

TAC

total antioxidant capacity

TBARS

thiobarbituric acid-reactive substances

T EC50

reaction time needed to reach the steady state corresponding to the concentration at EC50

TQ-MS

triple quadrupole-mass spectrometry

TRAP

total radical trapping antioxidant parameter

UHPLC

ultra-high performance liquid chromatography

VOO

virgin olive oil

Glossary of terms
This glossary of terms has been formulated to help readers better understand this report. It collects the definitions given by the authors and is not intended to replace entries in the IUPAC Gold Book.
ANTIOXIDANT

Any substance that, when present at low concentrations compared with those of the oxidizable substrate, decreases or inhibits the oxidation of that substrate; biologically, antioxidants inhibit oxidative damage (e.g., to cells and tissues).

ANTIOXIDANT ACTIVITY

Antioxidant activity is the reactivity of a compound against a given reactive species or radical and indicates the capability of that compound to inhibit oxidative degradation. Antioxidant activity deals with reaction rate and can be determined from competition kinetics by evaluating the rate constant of a single antioxidant compound against a prooxidant or radical it reduces or scavenges.

ANTIOXIDANT CAPACITY

Antioxidant capacity is the thermodynamic efficiency of a compound to scavenge or deactivate reactive species; it measures the thermodynamic conversion efficiency of an oxidant probe upon reaction with an antioxidant. More specifically, it can be understood as the amount (mole) of a given oxidant scavenged per amount (mole) of an antioxidant.

ANTIRADICAL EFFICIENCY

Antiradical efficiency (AE) is the radical scavenging power of an antioxidant that depends on both the effective concentration of the antioxidant to quench the radical and its reaction rate; if EC50 is defined as the effective concentration of the antioxidant necessary to decrease the initial radical concentration by 50 % and TEC50 is defined as the reaction time needed to reach the steady state corresponding to the concentration at EC50, then the “antiradical efficiency” (AE) parameter is inversely proportional to both, i.e., AE = 1/(EC50 × TEC50).

CHAIN-BREAKING ANTIOXIDANT

These antioxidants can be defined as ROS/RNS scavengers which can react with lipid radicals and break the chain reaction that causes lipid oxidation. A chain-breaking antioxidant can deactivate a chain-carrying radical and thereby retard the chain oxidation process of lipids, also known as lipid peroxidation.

ELECTRON TRANSFER-BASED ANTIOXIDANT ASSAYS

Antioxidant capacity or activity determination methods depending on the principle of electron transfer from the antioxidant to the probe molecule; these assays monitor the sequential changes in the spectral (i.e., absorptimetric, fluorometric, or luminometric) or electrochemical properties of the probe molecule for determining antioxidant capacity/activity. Electron transfer and hydrogen-atom transfer mechanisms interconnect in some cases (such as in DPPH and ABTS radical scavenging assays) to form mixed-mode assays, such as ‘hydron (proton)-coupled electron transfer’ or ‘sequential hydron loss electron transfer’ mechanisms that are strongly dependent on the pH of the medium. For electron transfer to become predominant in antioxidant action, the phenolic antioxidant should have a low ionization potential.

ENZYMATIC ANTIOXIDANTS

Certain enzymes having antioxidative effects in the human body. Glutathione peroxidase, catalase, and superoxide dismutase are enzymatic antioxidants that can quench radicals. On the other hand, although glutathione reductase and glucose-6-phosphate dehydrogenase cannot prevent radical formation, they have helpful effects on endogenous antioxidants.

FENTON REACTIONThis is the iron salt-dependent decomposition of dihydrogen dioxide, generating the highly reactive hydroxyl radical (taken from the ‘IUPAC-Gold Book’): Fe2++H2O2Fe3++OH+OH To a lesser extent, the lower valencies of other transition metal ions (Mn+) can also accomplish Fenton-type reactions.Mn++H2O2M(n+1)++OH+OH
RADICAL

An atom or group of atoms that contains at least one unpaired electron. The dot is used in the formulae of radicals for symbolizing the unpaired electron. The adjective ’free’ may be added to the general name of this type of chemical species and molecular entity, so that the term ’free radical’ may in future be restricted to those radicals which do not form parts of radical pairs. Depending on the core atom that possesses the unpaired electron, the radicals can be described as carbon-, oxygen-, nitrogen-, or metal-centered radicals (taken from the ‘IUPAC-Gold Book’). Radicals are generally associated with high reactivity because of their willingness to participate in chemical reactions resulting in the pairing of their electrons.

HABER–WEISS REACTION This is the iron(II)-catalyzed generation of the highly reactive hydroxyl radicals from the reaction of dioxide(•1–) radicals with dihydrogen dioxide. O2+H2O2O2+OH+OH

This is the iron(II)-catalyzed generation of the highly reactive hydroxyl radicals from the reaction of dioxide(•1–) radicals with dihydrogen dioxide. O2+H2O2O2+OH+OHAlthough the uncatalyzed reaction has a very low rate constant in aqueous solution and cannot be expected to occur in biological systems, the ability of traces of transition metal salts, particularly iron(III) complexes, can catalyze this reaction. Iron(III) is reduced by dioxide(•1–), followed by oxidation with dihydrogen dioxide (taken from the ‘IUPAC Gold Book’).

HYDROGEN ATOM TRANSFER-BASED ANTIOXIDANT ASSAYSAntioxidant capacity or activity assays depending on hydrogen atom transfer from an AOX to a probe molecule. Hydrogen atom transfer-based methods measure the capability of an antioxidant to scavenge reactive oxygen/nitrogen species by H-atom donation. The hydrogen atom transfer mechanism involves the concerted transfer of hydrogen atom from a donor (DH) to an acceptor (A) according to the reaction:D-H+AD+H-A.

In hydrogen atom transfer, the hydron and electron of the donated H atom are transferred to the same atomic orbital (i.e., the transferring electron and hydron start and end in the same bond), whereas hydron-coupled electron transfer involves several molecular orbitals. The relative magnitudes of bond dissociation enthalpy and ionization potential determine the extent of hydrogen atom transfer or electron transfer mechanism prevalent in antioxidant action (i.e., a low bond dissociation enthalpy is required for a strong phenolic antioxidant essentially acting by hydrogen atom donation).

HYDROPHILIC ANTIOXIDANT

Hydrophilic antioxidants such as uric acid, vitamin C (ascorbic acid), and glutathione are soluble in water and commonly act in blood plasma and the internal components of cells. Hydrophilic antioxidants have a tendency to remain in the aqueous phase upon contact with water-immiscible solvents. The ‘polar paradox’ hypothesis applicable to many emulsions (though with certain limitations) states that hydrophilic (polar) antioxidants are more active in bulk lipids than their lipophilic (nonpolar) counterparts.

INHIBITORY CONCENTRATION (IC 50 )

The concentration of an AOX sample that causes 50 % inactivation of the tested oxidant reactive species.

LIPID PEROXIDATION

Oxidative degradation of polyunsaturated fatty acids by the attack of oxidants such as radicals or reactive species, resulting in cell damage. A chain reaction initiated by hydrogen abstraction from a carbon atom or addition of an oxygen radical involves the formation and propagation of lipid radicals that yield lipid peroxyl radicals and hydroperoxides. The outcomes of this process are the rearrangement of the double bonds in unsaturated lipids and the eventual destruction of membrane lipids, producing a variety of breakdown products, including alcohols, ketones, aldehydes, and ethers.

LIPOPHILIC ANTIOXIDANT

These are lipid-soluble compounds with antioxidative properties, such as tocopherols and carotenoids. They are commonly active in cell membranes. Lipophilic antioxidants have a tendency toward the organic phase upon contact of aqueous solutions with water-immiscible solvents. The ‘polar paradox’ hypothesis applicable to many emulsions (though with certain limitations) states that lipophilic (nonpolar) antioxidants are more effective in oil-in-water emulsions than their hydrophilic (polar) homologs.

NON-ENZYMATIC ANTIOXIDANTS

Molecules characterized by their ability to rapidly inactivate radicals and reduce oxidants by interrupting radical chain reactions. Non-enzymatic antioxidants are classified into two groups: endogenous or exogenous. Albumin, certain thiol-rich proteins, bilirubin, ascorbic acid, α-tocopherol, and coenzyme Q can be given as examples of endogenous non-enzymatic antioxidants in the human body. While scavenging reactive species, non-enzymatic antioxidants may be consumed in their antioxidative action, unlike enzymatic antioxidants which act as regenerable biocatalysts. Non-enzymatic antioxidants, together with antioxidant enzymes like superoxide dismutase, catalase, and glutathione peroxidase, constitute the integrated antioxidant defense system of the organism.

OXIDATIVE STRESS

Unbalanced excess of oxidant/prooxidant levels prevailing over antioxidants. This originates from a serious imbalance between reactive species production and antioxidant defenses that manifests itself as a pathological change.

OXIDATIVE STRESS BIOMARKERS

Measure the damage undergone by biological macromolecules under oxidative stress conditions. There are certain oxidation products of lipids (such as acrolein, (2E)-4-hydroxynon-2-enal, conjugated dienes, aldehydes and ketones, isoprostane, oxidized low-density lipoproteins, and thiobarbituric acid-reactive substances mainly comprising malondialdehyde), protein oxidation products (such as carbonylated and cross-linked proteins, nitro- and halo-amino acids, nitro-tyrosine, −SOH, −SOOH, disulfides −SS−, and albumin dimer), strand breaks of DNA, and oxidation products of DNA bases (such as 8-hydroxyguanine, 8-hydroxy-2′-deoxyguanosine, and 8-hydroxyadenine) that can be used to determine oxidative stress damage.

PREVENTIVE ANTIOXIDANTS

Antioxidants can retard or preclude lipid oxidation generally by chelating transition metal ions (and not by the chain-breaking mechanism), thereby preventing Fenton-type reactions giving rise to ROS.

PROOXIDANT

Substances that induce or accelerate the oxidation of target molecules (e.g., important in food and biological systems). Although prooxidants may not be strong oxidants themselves (e.g., the reduction potentials of certain prooxidants are not high), they may lead to an oxidative damage at certain biomacromolecules such as DNA, proteins, and lipids via different mechanisms. Their mechanism of inducing oxidative stress in biological systems is either by generating ROS/RNS or by inhibiting antioxidative defenses in the organism.

PROOXIDANT ACTIVITY

The ability of certain prooxidant compounds to induce oxidative stress under well-described conditions. Currently, prooxidant activity is not measured by internationally accepted methods, but the common point in these measurements is the determination of ROS/RNS generation ability or of the consumption/loss of antioxidative defenses in a given oxidative system.

RADICAL SCAVENGING ACTIVITY

The ability of an antioxidant compound to scavenge or deactivate radicals, generally by donating a H-atom or an electron to these radicals.

REACTIVE OXYGEN SPECIES (ROS)

The dioxygen molecule (O2), also known as triplet oxygen, is unusual in having two unpaired electrons in its π*-antibonding orbitals and therefore reacts slowly (in the absence of a catalyst) with organic substrates because of its spin restriction. Thus, the more energetic forms of oxygen (causing oxidative damage) are derived from stepwise uptake of electrons by O2 and are known as ‘reactive oxygen species’ (ROS). These include oxygen radicals (i.e., •OH, ROO•, O2, and RO•) and certain nonradicals that are either oxidizing agents and/or easily radical-convertible species, such as HOCl, HOBr, 1O2, and H2O2. These ROS are formed by stepwise electron reduction processes of O2. Cellular ROS are generated endogenously as in the process of mitochondrial oxidative phosphorylation.

REACTIVE NITROGEN SPECIES (RNS)

RNS are derived from •NO, which is produced from l-arginine by nitrogen monoxide synthase (NOS) in various mammalian cells. In biological systems, the primary source of all RNS is •NO. A highly reactive ion, ONOO, is produced via the reaction of •NO and O2 by cells such as endothelial cells, leukocytes, macrophages, and neutrophils; the cytotoxicity of ONOO is independent of its generators (i.e., •NO and O2), because it is reactive toward all major classes of biomolecules. RNS also comprise other radical (NO2) and non-radical species (nitrous acid: HNO2, nitrosyl cation: NO+, nitroxyl anion: NO, nitrogen oxides (N2O3, N2O4, and N2O5), alkyl peroxynitrites (ROONO), and alkyl peroxynitrates (RO2ONO)).

SINGLET DIOXYGEN ( 1 O 2 )

Singlet dioxygen has a higher energy than triplet oxygen (3Σ O2) in the ground state; 1Δ O2 occurs in two excited states, one having the two π*-anti-bonding antiparallel-spin electrons in separate orbitals and the other having both anti-parallel spin electrons in the same orbital. Although dioxygen (3Σ O2) reacts slowly (in the absence of a catalyst) with organic substrates because of its spin restriction, 1Δ O2, free from this spin-restriction, is a strong electrophile and is very much more reactive (during its lifetime of less than a second) towards organic compounds (especially alkenes, dienes, sulfides and thiols, and electron-rich aromatics) than is triplet oxygen. Singlet dioxygen can be readily generated by shining light on a solution of oxygen in the presence of a triplet sensitizer dye like methylene blue or rose bengal.

TROLOX EQUIVALENT ANTIOXIDANT CAPACITY (TEAC) COEFFICIENT

The reducing power of a one millimolar solution of the tested antioxidant in Trolox millimolar equivalents. It is a unitless value and is calculated from the ratio of the slope of the “absorbance versus concentration” curve of the tested antioxidant to that of Trolox calibrated under identical conditions of a spectroscopic method of measurement.

TOTAL ANTIOXIDANT CAPACITY (TAC) IN TROLOX-EQUIVALENTS Total antioxidant capacity is a parameter frequently used for the overall characterization of food products and biological fluids, combining the additive/synergistic effects of a variety of antioxidants. Total antioxidant capacity reflects the total antioxidant power (i.e., collaborated action) of a mixture of antioxidants. Since the antioxidant constituents of a mixture analyzed by spectrophotometric methods cannot be identified individually, the TAC is usually given as the equivalent of a standard (such as trolox-equivalents: TE). Trolox is the most widely used standard in this regard, for which the TAC value is given in mM or μM TE for solutions and mmol g−1 or μmol TE g−1 for solid samples.

Total antioxidant capacity is a parameter frequently used for the overall characterization of food products and biological fluids, combining the additive/synergistic effects of a variety of antioxidants. Total antioxidant capacity reflects the total antioxidant power (i.e., collaborated action) of a mixture of antioxidants. Since the antioxidant constituents of a mixture analyzed by spectrophotometric methods cannot be identified individually, the TAC is usually given as the equivalent of a standard (such as trolox-equivalents: TE). Trolox is the most widely used standard in this regard, for which the TAC value is given in mM or μM TE for solutions and mmol g−1 or μmol TE g−1 for solid samples.

IUPAC. Compendium of Chemical Terminology, 2nd ed. (the “Gold Book”). Compiled by A. D. McNaught and A. Wilkinson. Blackwell Scientific Publications, Oxford (1997). Online version (2019-) created by S. J. Chalk. ISBN 0-9678550-9-8. https://doi.org/10.1351/goldbook.


Corresponding author: Reşat Apak, Department of Chemistry, Istanbul University-Cerrahpaşa, Faculty of Engineering, Avcılar, 34320Istanbul, Turkey, Phone: 90-212-473 70 28, e-mail:
This report was prepared under the framework of IUPAC Project #2013-015-1-500. Task Group Chair: Reşat Apak. Task Group Members: Antony Calokerinos, Shela Gorinstein, Marcela Alves Segundo, D. Brynn Hibbert, İlhami Gülçin, Sema Demirci Çekiç, Kubilay Güçlü, Mustafa Özyürek, and Saliha Esin Çelik. Article note: Sponsoring body: IUPAC Analytical Chemistry Division (Division V): see more details on page 131.

Award Identifier / Grant number: 2013-015-1-500

  1. Research funding: This document was prepared under the framework of IUPAC Project #2013-015-1-500: Methods to evaluate the scavenging activity of antioxidants toward reactive oxygen and nitrogen species (ROS/RNS). Project Coordinator: R. Apak; Task Group Members: A. Calokerinos, S. Gorinstein, M. Alves Segundo, D. B. Hibbert, İ. Gülçin, K. Güçlü, S. Demirci Çekiç, M. Özyürek, S. E. Çelik.

References

[1] E. Bourdon, D. Blache. Antioxid. Redox Signal.3, 293 (2001), https://doi.org/10.1089/152308601300185241.Search in Google Scholar PubMed

[2] E. Niki. Free Radical Biol. Med.49, 503 (2010), https://doi.org/10.1016/j.freeradbiomed.2010.04.016.Search in Google Scholar PubMed

[3] A. Trifunovic, N. G. Larsson. J. Intern. Med.263, 167 (2008), https://doi.org/10.1111/j.1365-2796.2007.01905.x.Search in Google Scholar PubMed

[4] B. Halliwell, A. Zentella, E. O. Gomez, D. Kershenobich. Nutr. Rev.55, 44 (1997), https://doi.org/10.1103/physrevd.55.4697.Search in Google Scholar

[5] B. Halliwell, J. M. C. Gutteridge. Free Radicals in Biology and Medicine, The Clarendon Press, Oxford University Press, New York, 4th ed. (2007).Search in Google Scholar

[6] E. Niki, H. Shimaski, M. Mino. Antioxidantism-Free Radical and Biological Defense, Gakkai Syuppn Center, Tokyo, p. 3 (1994).Search in Google Scholar

[7] I. M. Goldstein, H. B. Kaplan, H. S. Edelson, G. Weissmann. J. Biol. Chem.254, 4040 (1979), https://doi.org/10.1016/s0021-9258(18)50692-x.Search in Google Scholar

[8] B. Halliwell, M. A. Murcia, S. Chirico, O. I. Aruoma. Crit. Rev. Food Sci. Nutr.35, 7 (1995), https://doi.org/10.1080/10408399509527682.Search in Google Scholar PubMed

[9] C. Sanchez-Moreno. Food Sci. Technol. Int.8, 121 (2002), https://doi.org/10.1177/1082013202008003770.Search in Google Scholar

[10] J. P. Kehrer. Crit. Rev. Toxicol.23, 21 (1993), https://doi.org/10.3109/10408449309104073.Search in Google Scholar PubMed

[11] M. Sato, N. Ramarathnam, Y. Suzuki, T. Ohkubo, M. Takeuchi, H. Ochi. J. Agric. Food Chem.44, 37 (1996), https://doi.org/10.1021/jf950190a.Search in Google Scholar

[12] R. A. Floyd. FASEB J.4, 2587 (1990), https://doi.org/10.1096/fasebj.4.9.2189775.Search in Google Scholar

[13] C. Bull, G. J. McClune, J. A. Free. J. Am. Chem. Soc.105, 5290 (1983), https://doi.org/10.1021/ja00354a019.Search in Google Scholar

[14] O. I. Aruoma, A. Murcia, J. Butler, B. Halliwell. J. Agric. Food Chem.41, 1880 (1993), https://doi.org/10.1021/jf00035a014.Search in Google Scholar

[15] K. L. Quick, J. I. Hardt, L. L. Dugan. J. Neurosci. Methods97, 138 (2000), https://doi.org/10.1016/s0165-0270(00)00179-5.Search in Google Scholar PubMed

[16] L. Zhang, D. Huang, M. Kondo, E. Fan, H. Ji, Y. Kou, B. Ou. J. Agric. Food Chem.57, 2661 (2009), https://doi.org/10.1021/jf8033368.Search in Google Scholar PubMed

[17] H. Ukeda, T. Shimamura, M. Tsubouchi, Y. Harada, Y. Nakai, M. Sawamura. Anal. Sci.18, 1151 (2002), https://doi.org/10.2116/analsci.18.1151.Search in Google Scholar PubMed

[18] C. Xu, S. Liu, Z. Liu, F. Song, S. Liu. Anal. Chim. Acta793, 53 (2013), https://doi.org/10.1016/j.aca.2013.07.027.Search in Google Scholar PubMed

[19] K. Faulkner, I. Fridovich. Free Radic. Biol. Med.15, 447 (1993), https://doi.org/10.1016/0891-5849(93)90044-u.Search in Google Scholar PubMed

[20] I. Fridovich. J. Biol. Chem.272, 18515 (1997), https://doi.org/10.1074/jbc.272.30.18515.Search in Google Scholar PubMed

[21] H. Zhao, S. Kalivendi, H. Zhang, J. Joseph, K. Nithipatikom, J. Vásquez-Vivar, B. Kalyanaraman. Free Radic. Biol. Med.34, 1359 (2003), https://doi.org/10.1016/s0891-5849(03)00142-4.Search in Google Scholar PubMed

[22] E. Finkelstein, G. M. Rosen, E. J. Rauckman, J. Paxton. Mol. Pharmacol.16, 676 (1979).Search in Google Scholar

[23] T. Toyo’oka, T. Kashiwazaki, M. Kato. Talanta60, 467 (2013).Search in Google Scholar

[24] H. Tao, J. Zhou, T. Wu, Z. Cheng. J. Agric. Food Chem.62, 9266 (2014), https://doi.org/10.1021/jf502160d.Search in Google Scholar PubMed

[25] S. Liu, J. Xing, Z. Zheng, F. Song, Z. Liu, S. Liu. Anal. Chim. Acta715, 64 (2012), https://doi.org/10.1016/j.aca.2011.12.003.Search in Google Scholar PubMed

[26] B. Halliwell. Plant Physiol.141, 312 (2006), https://doi.org/10.1104/pp.106.077073.Search in Google Scholar PubMed PubMed Central

[27] B. Halliwell, J. M. C. Gutteridge. Biochem. J.219, 1 (1984), https://doi.org/10.1042/bj2190001.Search in Google Scholar PubMed PubMed Central

[28] N. Liang, D. D. Kitts. Molecules19, 19180 (2014), https://doi.org/10.3390/molecules191119180.Search in Google Scholar PubMed PubMed Central

[29] B. Halliwell, J. M. C. Gutteridge, O. I. Aruoma. Anal. Biochem.165, 215 (1987), https://doi.org/10.1016/0003-2697(87)90222-3.Search in Google Scholar PubMed

[30] O. I. Aruoma, M. Grootveld, B. Halliwell. J. Inorg. Biochem.29, 289 (1987), https://doi.org/10.1016/0162-0134(87)80035-1.Search in Google Scholar

[31] A. E. Hagerman, K. M. Riedl, G. A. Jones, K. N. Sovik, N. T. Ritchard, P. W. Hartzfeld, T. L. Riechel. J. Agric. Food Chem.46, 1887 (1998), https://doi.org/10.1021/jf970975b.Search in Google Scholar PubMed

[32] A. Ghiselli, M. Nardini, A. Baldi, C. Scaccini. J. Agric. Food Chem.46, 361 (1998), https://doi.org/10.1021/jf970486b.Search in Google Scholar PubMed

[33] K. Tazawa, K. Yatuzuk, M. Yatuzuka, J. Koike, H. Ohkami, T. Aito, Y. Ohnishi, M. Saito. Hum. Cell12, 189 (1999).Search in Google Scholar

[34] C. M. Barthomeuf, E. Debiton, V. V. Barbakadze, E. P. Kemertelidze. J. Agric. Food Chem.49, 3942 (2001), https://doi.org/10.1021/jf010189d.Search in Google Scholar PubMed

[35] M. Martínez-Tomé, F. Garcia-Carmona, M. A. Murcia. J. Sci. Food Agric.81, 1019 (2001), https://doi.org/10.1002/jsfa.889.Search in Google Scholar

[36] F. Yamaguchi, Y. Yoshimura, H. Nakazawa, T. Ariga. J. Agric. Food Chem.47, 2544 (1999), https://doi.org/10.1021/jf9806762.Search in Google Scholar PubMed

[37] F. Yamaguchi, M. Saito, T. Ariga, Y. Yoshimura, H. Nakazawa. J. Agric. Food Chem.48, 2320 (2000), https://doi.org/10.1021/jf990908c.Search in Google Scholar PubMed

[38] B. Z. Zhu, N. Kitrossky, M. Chevion. Biochem. Biophys. Res. Commun.270, 942 (2000), https://doi.org/10.1006/bbrc.2000.2539.Search in Google Scholar PubMed

[39] B. Ou, M. Hampsch-Woodill, J. Flanagan, E. K. Deemer, R. L. Prior, D. H. Huang. J. Agric. Food Chem.50, 2772 (2002), https://doi.org/10.1021/jf011480w.Search in Google Scholar PubMed

[40] C. A. Calliste, P. Trouillas, D. P. Allais, A. Simon, J. L. Duroux. J. Agric. Food Chem.49, 3321 (2001), https://doi.org/10.1021/jf010086v.Search in Google Scholar PubMed

[41] O. Hirayama, M. Yida. Anal. Biochem.251, 297 (1997), https://doi.org/10.1006/abio.1997.2282.Search in Google Scholar PubMed

[42] G. Yildiz, A. T. Demiryürek. J. Pharmacol. Toxicol. Methods39, 179 (1998).10.1016/S1056-8719(98)00025-2Search in Google Scholar

[43] M. M. J. Oosthuzien, D. Greyling. Redox Rep.6, 105 (2001).10.1179/135100001101536111Search in Google Scholar PubMed

[44] P. S. Rao, J. M. Luber, J. Milinowicz, P. Lalezari, H. S. Mueller. Biochem. Biophys. Res. Commun.150, 39 (1988), https://doi.org/10.1016/0006-291x(88)90483-4.Search in Google Scholar PubMed

[45] G. Rimbach, D. Höhler, A. Fischer, S. Roy, F. Virgili, J. Pallauf, L. Packer. Arch. Anim. Nutr.52, 203 (1999), https://doi.org/10.1080/17450399909386163.Search in Google Scholar PubMed

[46] H. J. Suh, J. M. Lee, J. S. Cho, S. H. Chung. Food Res. Int.32, 659 (1999), https://doi.org/10.1016/s0963-9969(99)00141-6.Search in Google Scholar

[47] G.-C. Yen, H.-Y. Chen. J. Agric. Food Chem.43, 27 (1995), https://doi.org/10.1021/jf00049a007.Search in Google Scholar

[48] Y. Okada, M. Kaneko, H. Okajima. Biol. Pharm. Bull.19, 1607 (1996), https://doi.org/10.1248/bpb.19.1607.Search in Google Scholar PubMed

[49] G. C. Yang, P. M. Yasei, S. W. Page. J. Agric. Food Chem.43, 27 (1994).Search in Google Scholar

[50] N. Saint-Cricq de Gaulejac, Y. Glories, N. Vivas. Food Res. Int.32, 327 (1999), https://doi.org/10.1016/s0963-9969(99)00093-9.Search in Google Scholar

[51] R. F. Beers, I. W. Sizer. J. Biol. Chem.195, 133 (1952), https://doi.org/10.1016/s0021-9258(19)50881-x.Search in Google Scholar

[52] R. J. Ruch, S. J. Cheng, J. E. Klauning. Carcinogenesis10, 1003 (1989), https://doi.org/10.1093/carcin/10.6.1003.Search in Google Scholar PubMed

[53] J. T. Corbett. J. Biochem. Biophys. Methods18, 297 (1989), https://doi.org/10.1016/0165-022x(89)90039-0.Search in Google Scholar PubMed

[54] M. Martínez-Tomé, A. M. Jiménez, S. Ruggieri, N. Frega, R. Strabbioli, M. A. Murcia. J. Food Protect.64, 1412 (2001), https://doi.org/10.4315/0362-028x-64.9.1412.Search in Google Scholar PubMed

[55] M. Pazdzioch-Czochra, A. Widenska. Anal. Chim. Acta452, 177 (2002).10.1016/S0003-2670(01)01455-6Search in Google Scholar

[56] R. M. Sellers. Analyst105, 950 (1980), https://doi.org/10.1039/an9800500950.Search in Google Scholar

[57] S. Y. Wang, H. J. Jiao. J. Agric. Food Chem.48, 5677 (2000), https://doi.org/10.1021/jf000766i.Search in Google Scholar PubMed

[58] A. Arnous, C. Petrakis, P. Kefalas. J. Pharmacol. Toxicol. Methods48, 171 (2002), https://doi.org/10.1016/s1056-8719(03)00055-8.Search in Google Scholar

[59] G. Yildiz, A. T. Demiryurek, I. Sahin-Erdemli, I. Kanzic. Br. J. Pharmacol.124, 905 (1998), https://doi.org/10.1038/sj.bjp.0701924.Search in Google Scholar PubMed PubMed Central

[60] M. C. Chang, B. J. Uang, H. L. Wu, J. J. Lee, L. J. Hahn, J. H. Jeng. Br. J. Pharmacol.135, 619 (2002), https://doi.org/10.1038/sj.bjp.0704492.Search in Google Scholar PubMed PubMed Central

[61] D. Christodouleas, C. Fotakis, K. Papadopoulos, E. Yannakopoulou, A. C. Calokerinos. Anal. Chim. Acta652, 295 (2009), https://doi.org/10.1016/j.aca.2009.08.012.Search in Google Scholar PubMed

[62] G. Cao, H. M. Alessio, R. G. Cutler. Free Radic. Biol. Med.14, 303 (1993), https://doi.org/10.1016/0891-5849(93)90027-r.Search in Google Scholar PubMed

[63] G. Cao, C. P. Verdon, A. H. Wu, H. Wang, R. L. Prior. Clin. Chem.41, 1738 (1995), https://doi.org/10.1093/clinchem/41.12.1738.Search in Google Scholar

[64] G. Cao, R. L. Prior. Methods Enzymol.299, 50 (1999), https://doi.org/10.1016/s0076-6879(99)99008-0.Search in Google Scholar PubMed

[65] B. Ou, M. Hampsch-Woodill, R. L. Prior. J. Agric. Food Chem.49, 4619 (2001), https://doi.org/10.1021/jf010586o.Search in Google Scholar PubMed

[66] E. Niki, Y. Omata, A. Fukuhara, Y. Saito, Y. Yoshida. J. Agric. Food Chem.56, 8255 (2008), https://doi.org/10.1021/jf800605x.Search in Google Scholar PubMed

[67] S. C. Litescu, S. Eremia, G. L. Radu. Adv. Exp. Med. Biol.698, 241 (2011).10.1007/978-1-4419-7347-4_18Search in Google Scholar PubMed

[68] D. Huang, B. Ou, M. Hampsch-Woodill, J. Flanagan, E. Deemer. J. Agric. Food Chem.50, 1815 (2002), https://doi.org/10.1021/jf0113732.Search in Google Scholar PubMed

[69] Y. M. A. Naguib. Anal. Biochem.265, 290 (1998), https://doi.org/10.1006/abio.1998.2931.Search in Google Scholar PubMed

[70] R. L. Prior, A. Hoang, L. Gu, X. Wu, M. Bacchiocca, L. Howard, M. Hampsch-Woodill, D. Huang, B. Ou, R. Jacob. J. Agric. Food Chem.51, 3273 (2003), https://doi.org/10.1021/jf0262256.Search in Google Scholar PubMed

[71] J. Watanabe, T. Oki, J. Takebayashi, K. Yamasaki, Y. Takano-Ishikawa, A. Hino, A. Yasui. Anal. Sci.28, 159 (2012), https://doi.org/10.2116/analsci.28.159.Search in Google Scholar PubMed

[72] D. J. Huang, B. X. Ou, M. Hampsch-Woodill, J. A. Flanagan, R. L. Prior. J. Agric. Food Chem.50, 4437 (2002b), https://doi.org/10.1021/jf0201529.Search in Google Scholar PubMed

[73] K. M. Schaich, X. Tian, J. Xie. J. Funct. Foods.14, 111 (2015), https://doi.org/10.1016/j.jff.2015.01.043.Search in Google Scholar

[74] R. Apak. J. Agric. Food Chem.67, 9187 (2019), https://doi.org/10.1021/acs.jafc.9b03657.Search in Google Scholar PubMed

[75] K. K. Adom, R. H. Liu. J. Agric. Food Chem.53, 6572 (2005), https://doi.org/10.1021/jf048318o.Search in Google Scholar PubMed

[76] D. D. M. Wayner, G. W. Burton, K. U. Ingold, S. Locke. FEBS Lett.187, 33 (1985), https://doi.org/10.1016/0014-5793(85)81208-4.Search in Google Scholar PubMed

[77] M. Valkonen, T. Kuusi. J. Lipid Res.38, 823 (1997), https://doi.org/10.1016/s0022-2275(20)37249-7.Search in Google Scholar

[78] K. Tanaka, T. Miura, N. Umezawa, Y. Urano, K. Kikuchi, T. Higuchi, T. Nagano. J. Am. Chem. Soc.123, 2530 (2001), https://doi.org/10.1021/ja0035708.Search in Google Scholar PubMed

[79] A. Ghiselli, M. Serafini, G. Maiani, E. Azzini, A. Ferro-Luzzi. Free Radical Biol. Med.18, 29 (1995), https://doi.org/10.1016/0891-5849(94)00102-p.Search in Google Scholar PubMed

[80] T. P. Whitehead, G. H. G. Thorpe, S. R. J. Maxwell. Anal. Chim. Acta266, 265 (1992), https://doi.org/10.1016/0003-2670(92)85052-8.Search in Google Scholar

[81] G. Bartosz, A. Janaszewska, D. Ertel, M. Bartosz. Biochem. Mol. Biol. Int.46, 519 (1998), https://doi.org/10.1080/15216549800204042.Search in Google Scholar PubMed

[82] C. S. Foote, J. S. Valentine, A. Greenberg, J. F. Liebman (Eds.), in Active Oxygen in Chemistry, Chapman and Hall, New York (1985).Search in Google Scholar

[83] M. J. Davies. Photochem. Photobiol. Sci.3, 17 (2004), https://doi.org/10.1039/b307576c.Search in Google Scholar PubMed

[84] Y. L. Fu, A. A. Krasnovsky, C. S. Foote. J. Phys. Chem. A101, 2552 (1997), https://doi.org/10.1021/jp9639004.Search in Google Scholar

[85] D. Costa, E. Fernandes, J. L. M. Santos, D. C. G. A. Pinto, A. M. S. Silva, J. L. F. C. Lima. Anal. Bioanal. Chem.387, 2071 (2007), https://doi.org/10.1007/s00216-006-0998-9.Search in Google Scholar PubMed

[86] N. Chakraborty, B. C. Tripathy. Plant Physiol.98, 7 (1992), https://doi.org/10.1104/pp.98.1.7.Search in Google Scholar PubMed PubMed Central

[87] M. J. Davies, C. L. Hawkins, D. I. Pattison, M. D. Rees. Antioxid. Redox Signal.10, 1199 (2008), https://doi.org/10.1089/ars.2007.1927.Search in Google Scholar PubMed

[88] M. A. Prutz. Arch. Biochem. Biophys.332, 110 (1996).Search in Google Scholar

[89] B. Halliwell, J. M. C. Gutteridge. Methods Enzymol.186, 1 (1990), https://doi.org/10.1016/0076-6879(90)86093-b.Search in Google Scholar PubMed

[90] C. C. Winterbourn, A. J. Kettle. Free Radic. Biol. Med.29, 403 (2000), https://doi.org/10.1016/s0891-5849(00)00204-5.Search in Google Scholar PubMed

[91] V. Lavelli, C. Peri, A. Rizzolo. J. Agric. Food Chem.48, 1442 (2000), https://doi.org/10.1021/jf990782j.Search in Google Scholar PubMed

[92] G. R. Haenen, A. Bast. Biochem. Pharmacol.42, 2244 (1991), https://doi.org/10.1016/0006-2952(91)90363-a.Search in Google Scholar PubMed

[93] M. Wasil, B. Halliwell, C. P. Moorhouse, D. C. Hutchinson, H. Baum. Biochem. Pharmacol.36, 3847 (1987), https://doi.org/10.1016/0006-2952(87)90448-5.Search in Google Scholar PubMed

[94] L. M. Magalhães, M. A. Segundo, S. Reis, J. L. F. C. Lima, J. M. Estela, V. Cerda. Anal. Chem.79, 3933 (2007), https://doi.org/10.1021/ac0700068.Search in Google Scholar PubMed

[95] P. V. Antwerpen, J. Dubois, M. Gelbcke. J. Neve. Free Radic. Res.38, 251 (2004), https://doi.org/10.1080/10715760310001659404.Search in Google Scholar PubMed

[96] L. M. Landino, C. B. Mall, J. J. Nicklay, S. K. Dutcher, K. L. Moynihan. Nitric Oxide-Biol. Chem.18, 11 (2008), https://doi.org/10.1016/j.niox.2007.09.087.Search in Google Scholar PubMed PubMed Central

[97] T. L. Ching, J. Jong, A. Bast. Anal. Biochem.218, 377 (1994), https://doi.org/10.1006/abio.1994.1195.Search in Google Scholar PubMed

[98] L. Magalhães, M. A. Segundo, S. Reis, J. L. F. C. Lima. Anal. Chim. Acta613, 1 (2008), https://doi.org/10.1016/j.aca.2008.02.047.Search in Google Scholar PubMed

[99] S. J. Weiss, R. Klein, A. Slivka, M. Wei. J. Clin. Invest.70, 598 (1982), https://doi.org/10.1172/jci110652.Search in Google Scholar

[100] M. Özyürek, B. Bekdeşer, K. Güçlü, R. Apak. Anal. Chem.84, 9529 (2012), https://doi.org/10.1021/ac302369p.Search in Google Scholar

[101] O. I. Aruoma, B. Halliwell. Biochem. J.248, 973 (1987), https://doi.org/10.1042/bj2480973.Search in Google Scholar

[102] B. Hazra, S. Biswas, N. Mandal. BMC Complement. Altern. Med.8, 1 (2008), https://doi.org/10.1186/1472-6882-8-63.Search in Google Scholar

[103] L. J. Yan, M. G. Traber, H. Kobuchi, S. Matsugo, H. J. Tritschler, L. Packer. Arch. Biochem. Biophys.327, 330 (1996), https://doi.org/10.1006/abbi.1996.0130.Search in Google Scholar

[104] P. F. Bove, A. van der Vliet. Free Radic. Biol. Med.41, 515 (2006), https://doi.org/10.1016/j.freeradbiomed.2006.05.011.Search in Google Scholar

[105] P. C. Dedon, S. R. Tannenbaum. Arch. Biochem. Biophys.423, 12 (2004), https://doi.org/10.1016/j.abb.2003.12.017.Search in Google Scholar

[106] T. Nagano. J. Lumin.14, 283 (1999), https://doi.org/10.1002/(sici)1522-7243(199911/12)14:6<283::aid-bio572>3.0.co;2-g.10.1002/(SICI)1522-7243(199911/12)14:6<283::AID-BIO572>3.0.CO;2-GSearch in Google Scholar

[107] H. Kojima, N. Kakatsubo, K. Kikuchi, S. Kawahara, Y. Kirino, H. Nagoshi, Y. Hirata, T. Nagano. Anal. Chem.70, 2446 (1998), https://doi.org/10.1021/ac9801723.Search in Google Scholar

[108] L. C. Green, D. A. Wagner, J. Glogowski, P. L. Skipper, J. S. Wishnok, S. R. Tannenbaum. Anal. Biochem.126, 131 (1982), https://doi.org/10.1016/0003-2697(82)90118-x.Search in Google Scholar

[109] S. A. Van Acker, M. N. Tromp, G. R. Haenen, W. J. Van der Vijgh, A. Bast. Biochem. Biophys. Res. Commun.214, 755 (1995), https://doi.org/10.1006/bbrc.1995.2350.Search in Google Scholar

[110] S. Wang, M.-Y. Han, D. Huang. J. Am. Chem. Soc.131, 11692 (2009), https://doi.org/10.1021/ja904824w.Search in Google Scholar

[111] E. Sasaki, H. Kojima, H. Nishimatsu, Y. Urano, K. Kikuchi, Y. Hirata, T. Nagano. J. Am. Chem. Soc.127, 3684 (2005), https://doi.org/10.1021/ja042967z.Search in Google Scholar

[112] P. Meineke, U. Rauen, H. de Groot, H.-G. Koth. Chem. A Eur. J.5, 1738 (1999), https://doi.org/10.1002/(sici)1521-3765(19990604)5:6<1738::aid-chem1738>3.0.co;2-t.10.1002/(SICI)1521-3765(19990604)5:6<1738::AID-CHEM1738>3.0.CO;2-TSearch in Google Scholar

[113] A. L. Kleschyov, P. Wenzel, T. Munzel. J. Chromatogr. B851, 12 (2007), https://doi.org/10.1016/j.jchromb.2006.10.006.Search in Google Scholar

[114] S. Van Doorslaer, F. Desmet. Methods Enzymol.437, 287 (2008), https://doi.org/10.1016/s0076-6879(07)37015-8.Search in Google Scholar

[115] J. Weaver, S. Porasuphatana, P. Tsai, T. Budzichowski, G. M. Rosen. Free Radic. Res.39, 1027 (2005), https://doi.org/10.1080/10715760500231885.Search in Google Scholar

[116] I. R. Davies, X. J. Zhang. Methods Enzymol.436, 63 (2008), https://doi.org/10.1016/s0076-6879(08)36005-4.Search in Google Scholar

[117] A. Besson-Bard, S. Griveau, F. Bedioui, D. Wendehenne. J. Exp. Bot.59, 3407 (2008), https://doi.org/10.1093/jxb/ern189.Search in Google Scholar

[118] K. Shibuki. Neurosci. Res.9, 69 (1990), https://doi.org/10.1016/0168-0102(90)90048-j.Search in Google Scholar

[119] X. Chen, X. Tizan, I. Shin, J. Yoon. Chem. Soc. Rev.40, 4783 (2011), https://doi.org/10.1039/c1cs15037e.Search in Google Scholar PubMed

[120] C. Szabo, H. Ischiropoulos, R. Radi. Nat. Rev. Drug Discov.6, 662 (2007), https://doi.org/10.1038/nrd2222.Search in Google Scholar PubMed

[121] R. Radi, G. Peluffo, M. N. Alvarez, M. Naviliat, A. Cayota. Free Radic. Biol. Med.30, 463 (2001), https://doi.org/10.1016/s0891-5849(00)00373-7.Search in Google Scholar PubMed

[122] R. Radi. Proc. Natl. Acad. Sci. U.S.A.115, 5839 (2018), https://doi.org/10.1073/pnas.1804932115.Search in Google Scholar PubMed PubMed Central

[123] A. Gomes, E. Fernandes, J. L. F. C. Lima. J. Fluoresc.16, 119 (2006), https://doi.org/10.1007/s10895-005-0030-3.Search in Google Scholar PubMed

[124] K. Setsukinai, Y. Urano, K. Kakinuma, H. J. Majima, T. Nagano. J. Biol. Chem.278, 3170 (2003), https://doi.org/10.1074/jbc.m209264200.Search in Google Scholar PubMed

[125] N. W. Kooy, J. A. Royall, H. Ischiropoulos, J. S. Beckman. Free Radical Biol. Med.16, 149 (1994), https://doi.org/10.1016/0891-5849(94)90138-4.Search in Google Scholar PubMed

[126] H. Y. Chung, T. Yokozawa, D. Y. Soung, I. S. Kye, J. K. No, B. S. Baek. J. Agric. Food Chem.46, 4484 (1998), https://doi.org/10.1021/jf980556u.Search in Google Scholar

[127] A. Pannala, R. Razaq, B. Halliwell, S. Singh, C. A. Rice-Evans. Free Radical Biol. Med.24, 594 (1998), https://doi.org/10.1016/s0891-5849(97)00321-3.Search in Google Scholar PubMed

[128] Z.-N. Sun, H.-L. Wang, F.-Q. Liu, Y. Chen, P. K. H. Tam, D. Yang. Org. Lett.11, 1887 (2009), https://doi.org/10.1021/ol900279z.Search in Google Scholar PubMed

[129] J. C. D. J. Huang Li, J. C. Diao, J. Hou, J. L. Yuan, G. L. Zou. Talanta72, 1283 (2007), https://doi.org/10.1016/j.talanta.2007.01.033.Search in Google Scholar PubMed

[130] A. Karadağ, B. Özçelik, S. Saner. Food Anal. Methods2, 41 (2009), https://doi.org/10.1007/s12161-008-9067-7.Search in Google Scholar

[131] J. Liang, Z.-H. Liu, R.-X. Cai. Anal. Chim. Acta530, 317 (2005), https://doi.org/10.1016/j.aca.2004.09.025.Search in Google Scholar

[132] E. A. Zakharova, T. A. Yurmazova, B. F. Nazarov, G. G. Wildgoose, R. G. Compton. New J. Chem.31, 394 (2007), https://doi.org/10.1039/b615188d.Search in Google Scholar

[133] J. Xue, X. Ying, J. Chen, Y. Xian, L. Jin. Anal. Chem.72, 5313 (2000), https://doi.org/10.1021/ac000701e.Search in Google Scholar PubMed

[134] S. F. Peteu, R. Boukherroub, S. Szunerits. Biosens. Bioelectron.58, 359 (2014), https://doi.org/10.1016/j.bios.2014.02.025.Search in Google Scholar PubMed

[135] J. Ruzicka, E. H. Hansen. Anal. Chim. Acta78, 145 (1975).10.1016/S0003-2670(01)84761-9Search in Google Scholar

[136] L. M. Magalhães, M. Lucio, M. A. Segundo, S. Reis, J. L. F. C. Lima. Talanta78, 1219 (2009), https://doi.org/10.1016/j.talanta.2009.02.006.Search in Google Scholar PubMed

[137] E. Fassoula, A. Economou, A. Calokerinos. Talanta85, 1412 (2011), https://doi.org/10.1016/j.talanta.2011.06.037.Search in Google Scholar PubMed

[138] D. C. Christodouleas, D. L. Giokas, V. Garyfali, K. Papadopoulos, A. C. Calokerinos. Microchem. J.118, 73 (2015), https://doi.org/10.1016/j.microc.2014.08.003.Search in Google Scholar

[139] J. P. N. Ribeiro, L. M. Magalhaes, S. Reis, J. L. F. C. Lima, M. A. Segundo. Anal. Sci.27, 483 (2011), https://doi.org/10.2116/analsci.27.483.Search in Google Scholar PubMed

[140] J. Kool, S. M. Van Liempd, S. Harmsen, T. Schenk, H. Irth, J. N. M. Commandeur, N. P. E. Vermeulen. Anal. Bioanal. Chem.388, 871 (2007), https://doi.org/10.1007/s00216-007-1296-x.Search in Google Scholar PubMed PubMed Central

[141] J. P. N. Ribeiro, M. A. Segundo, S. Reis, J. L. F. C. Lima. Talanta79, 1169 (2009), https://doi.org/10.1016/j.talanta.2009.02.039.Search in Google Scholar PubMed

[142] J. P. N. Ribeiro, L. M. Magalhães, M. A. Segundo, S. Reis, J. L. F. C. Lima. Talanta81, 1840 (2010), https://doi.org/10.1016/j.talanta.2010.03.049.Search in Google Scholar PubMed

[143] A. Nakajima, T. Yamaguchi, T. Yamashita, K. Kawai, Y. Miyake, K. Kanaori, K. Tajima. Appl. Magn. Reson.46, 1013 (2015), https://doi.org/10.1007/s00723-015-0664-5.Search in Google Scholar

[144] I. I. Ramos, B. J. R. Gregorio, L. Barreiros, L. M. Magalhães, I. V. Toth, S. Reis, J. L. F. C. Lima, M. A. Segundo. Talanta150, 599 (2016), https://doi.org/10.1016/j.talanta.2015.12.061.Search in Google Scholar PubMed

[145] Y. Sakurai, T. Yamaguchi, K. Ando, K. Kuwabara, H. Nakajima, C. Morimoto, S. Yoshikawa, M. Niwa, Y. Miyake, K. Kanaori, A. Nakajima, K. Tajima. Bull. Chem. Soc. Jpn.92, 1218 (2019), https://doi.org/10.1246/bcsj.20190059.Search in Google Scholar

[146] N. Kishikawa, K. Ohyama, J. Yao, A. Miyamoto, T. Imazato, Y. Ueki, K. Nakashima, E. Maehata, N. Kuroda. Clin. Chim. Acta411, 1111 (2010), https://doi.org/10.1016/j.cca.2010.04.005.Search in Google Scholar PubMed

[147] K. Qin, C. Liu, Y. Qi, K. Li. Asian J. Chem.26, 3073 (2014), https://doi.org/10.14233/ajchem.2014.16685.Search in Google Scholar

[148] J. P. N. Ribeiro, L. M. Magalhães, M. A. Segundo, S. Reis, J. L. F. C. Lima. Anal. Bioanal. Chem.397, 3005 (2010), https://doi.org/10.1007/s00216-010-3883-5.Search in Google Scholar PubMed

[149] M. Wada, M. Kira, H. Kido, R. Ikeda, N. Kuroda, T. Nishigaki, K. Nakashima. Luminescence26, 191 (2011), https://doi.org/10.1002/bio.1206.Search in Google Scholar PubMed

[150] A. F. T. Silva, K. L. Marques, J. L. M. Santos. J. Lima. Anal. Sci.27, 827 (2011), https://doi.org/10.2116/analsci.27.827.Search in Google Scholar PubMed

[151] Z. P. Wang, H. A. Xu, J. Qian, J. Ye, Z. Yang, H. C. Sun, Y. H. Shi. Luminescence25, 300 (2010), https://doi.org/10.1002/bio.1149.Search in Google Scholar PubMed

[152] C. V. Popa, I. C. Farcasanu, A. Chivulescu, M. Badea-Doni, M. C. Cheregi, A. F. Danet. Rev. Chim.66, 1288 (2015).Search in Google Scholar

[153] S. S. Marques, I. V. Toth, L. M. Magalhães, S. Reis, M. A. Segundo. Microchem. J.124, 261 (2016), https://doi.org/10.1016/j.microc.2015.09.001.Search in Google Scholar

[154] G. Chladkova, K. Kunovska, P. Chocholous, M. Polasek, H. Sklenarova. Anal. Methods11, 2531 (2019).Search in Google Scholar

[155] L. M. Magalhães, J. P. N. Ribeiro, M. A. Segundo, S. Reis, J. L. F. C. Lima. Trends Anal. Chem.28, 952 (2009), https://doi.org/10.1016/j.trac.2009.04.016.Search in Google Scholar

[156] L. M. Magalhães, M. Santos, M. A. Segundo, S. Reis, J. L. F. C. Lima. Talanta77, 1559 (2009), https://doi.org/10.1016/j.talanta.2008.10.034.Search in Google Scholar PubMed

[157] İ. Gülçin. Arch. Toxicol.86, 345 (2012), https://doi.org/10.1007/s00204-011-0774-2.Search in Google Scholar PubMed

[158] İ. Gülçin. Toxicology217, 213 (2006), https://doi.org/10.1016/j.tox.2005.09.011.Search in Google Scholar PubMed

[159] İ. Gülçin. Life Sci.78, 803 (2006), https://doi.org/10.1016/j.lfs.2005.05.103.Search in Google Scholar PubMed

[160] İ. Gülçin. Innov. Food Sci. Emerg.11, 210 (2010), https://doi.org/10.1016/j.ifset.2009.07.002.Search in Google Scholar

[161] M. Valko, D. Leibfritz, J. Moncol, M. T. Cronin, M. Mazur, J. Telser. Int. J. Biochem. Cell Biol.39, 44 (2007), https://doi.org/10.1016/j.biocel.2006.07.001.Search in Google Scholar PubMed

[162] A. C. Carvalho, G. Franklin, A. C. P. Dias, C. F. Lima. Ind. Crop. Prod.59, 177 (2014), https://doi.org/10.1016/j.indcrop.2014.05.018.Search in Google Scholar

[163] P. D. Duh. J. Am. Oil Chem. Soc.75, 455 (1998), https://doi.org/10.1007/s11746-998-0248-8.Search in Google Scholar

[164] H. Alho, J. Leinonen. Methods Enzymol.299, 3 (1999), https://doi.org/10.1016/s0076-6879(99)99004-3.Search in Google Scholar PubMed

[165] İ. Gülçin. Chem. Biol.179, 71 (2009).10.1016/S0720-048X(09)00383-0Search in Google Scholar

[166] S. Vijayakumar, R. Dhanapal, I. Sarathchandran, A. S. Kumar, J. V. Ratna. Asian Pac. J. Trop. Biomed.2, 116 (2012), https://doi.org/10.1016/s2221-1691(12)60140-3.Search in Google Scholar

[167] İ. Gülçin. J. Med. Food14, 975 (2011), https://doi.org/10.1089/jmf.2010.0197.Search in Google Scholar PubMed

[168] H. W. Lee, Y. H. Ko, S. B. Lim. Food Chem.132, 1276 (2012), https://doi.org/10.1016/j.foodchem.2011.11.101.Search in Google Scholar PubMed

[169] R. Borneo, A. Leon, A. Aguirre, P. Ribotta. J. Cantero. Food Chem.112, 664 (2009), https://doi.org/10.1016/j.foodchem.2008.06.027.Search in Google Scholar

[170] J. A. Leopold, J. Loscalzo. Free Radical Biol. Med.47, 1673 (2009), https://doi.org/10.1016/j.freeradbiomed.2009.09.009.Search in Google Scholar PubMed PubMed Central

[171] H. Y. Yang, T. H. Lee. BMB Rep.48, 200 (2015), https://doi.org/10.5483/bmbrep.2015.48.4.274.Search in Google Scholar PubMed PubMed Central

[172] C. H. Foyer, H. Lopez-Delgado, J. F. Dat, I. M. Scott. Physiol. Plant.100, 241 (1997), https://doi.org/10.1111/j.1399-3054.1997.tb04780.x.Search in Google Scholar

[173] S. W. Ragsdale. J. Biol. Chem.284, 18571 (2009), https://doi.org/10.1074/jbc.r900020200.Search in Google Scholar PubMed PubMed Central

[174] A. R. Reddi, L. T. Jensen, A. Naranuntarat, L. Rosenfeld, E. Leung, R. Shah, V. C. Culotta. Free Radical Biol. Med.46, 154 (2009), https://doi.org/10.1016/j.freeradbiomed.2008.09.032.Search in Google Scholar PubMed PubMed Central

[175] İ. Gülçin, Ş. Beydemir, O. Hisar. Acta Vet. Hung.53, 425 (2005).Search in Google Scholar

[176] P. Tokarz, K. Kaarniranta, J. Blasiak. Biogerontology14, 461 (2013), https://doi.org/10.1007/s10522-013-9463-2.Search in Google Scholar PubMed PubMed Central

[177] M. Nishikawa, A. Tamada, H. Kumai, F. Yamashita, M. Hashida. Int. J. Cancer99, 474 (2002), https://doi.org/10.1002/ijc.10387.Search in Google Scholar PubMed

[178] D. H. Kang, K. S. Won. Biomol. Ther.21, 89 (2013), https://doi.org/10.4062/biomolther.2013.015.Search in Google Scholar PubMed PubMed Central

[179] K. Aoyama, M. Watabe, T. Nakaki. J. Pharmacol. Sci.108, 227 (2008), https://doi.org/10.1254/jphs.08r01cr.Search in Google Scholar PubMed

[180] M. Zhang, C. An, Y. Gao, R. K. Leak, J. Chen, F. Zhang. Progr. Neurobiol.100, 30 (2013), https://doi.org/10.1016/j.pneurobio.2012.09.003.Search in Google Scholar PubMed PubMed Central

[181] M. Kretzscharm, D. Muller. Sports Med.10, 196 (1993).10.1007/BF00702199Search in Google Scholar

[182] B. Mannervik. Biochem. Soc. Trans.15, 717 (1987), https://doi.org/10.1042/bst0150717.Search in Google Scholar PubMed

[183] M. Şentürk, İ. Gülçin, M. Çiftci, Ö. İ. Küfrevioğlu. Biol. Pharmaceut. Bull.31, 2036 (2008).10.1248/bpb.31.2036Search in Google Scholar PubMed

[184] K. Bela, E. Horváth, A. Á Gallé, L. Lá Szabados, I. Tari, J. Csiszár. J. Plant Physiol.176, 192 (2015), https://doi.org/10.1016/j.jplph.2014.12.014.Search in Google Scholar PubMed

[185] S. Toppo, L. Flohe, F. Ursini, S. Vanin, M. Maiorino. Biochim. Biophys. Acta1790, 1486 (2009), https://doi.org/10.1016/j.bbagen.2009.04.007.Search in Google Scholar PubMed

[186] M. A. El-Far, M. A. Bakr, S. E. Farahat, E. A. Abd El-Fattah. Clin. Exp. Nephrol.9, 127 (2005), https://doi.org/10.1007/s10157-005-0343-1.Search in Google Scholar PubMed

[187] E. V. Zotova, D. A. Christiakov, K. V. Savost’ianov, T. R. Bursa, I. V. Galeev, I. A. Strokov, V. V. Nosikov. Mol. Biol. (Mosc.)38, 244 (2004), https://doi.org/10.1023/b:mbil.0000023735.60608.7a.10.1023/B:MBIL.0000023735.60608.7aSearch in Google Scholar

[188] A. Crawford, R. G. Fassett, D. P. Geraghty, D. A. Kunde, M. J. Ball, I. K. Robertson, J. S. Coombes. Gene501, 89 (2012), https://doi.org/10.1016/j.gene.2012.04.011.Search in Google Scholar PubMed

[189] R. S. Dhindsa, W. Matowe. J. Exp. Bot.32, 79 (1981), https://doi.org/10.1093/jxb/32.1.79.Search in Google Scholar

[190] H. E. Aebi. Catalase. in Methods of Enzymatic Analysis, H. U. Bergmeyer, J. Bergmeyer, M. Graβl (Eds.), pp. 273–286, Verlag Chemie GmbH, Weiheim (1983).Search in Google Scholar

[191] C. H. Foyer, B. Halliwell. Planta133, 21 (1976), https://doi.org/10.1007/bf00386001.Search in Google Scholar

[192] L. Flohé, W. A. Günzler. Assays of glutathione peroxidase. in Methods in Enzymology, L. Packer (Ed.), pp. 114–121, Academic Press, Inc., London (1984).10.1016/S0076-6879(84)05015-1Search in Google Scholar PubMed

[193] R. Apak, K. Güçlü, M. Özyürek, S. E. Karademir. J. Agric. Food Chem.52, 7970 (2004), https://doi.org/10.1021/jf048741x.Search in Google Scholar PubMed

[194] B. Bektaşoğlu, S. E. Çelik, M. Özyürek, K. Güçlü, R. Apak. Biochem. Biophys. Res. Commun.345, 1194 (2006).10.1016/j.bbrc.2006.05.038Search in Google Scholar PubMed

[195] B. Bekdeşer, M. Özyürek, K. Güçlü, R. Apak. Talanta77, 90 (2008).10.1016/j.talanta.2008.05.043Search in Google Scholar PubMed

[196] M. Özyürek, B. Bektaşoğlu, K. Güçlü, R. Apak. Anal. Chim. Acta616, 196 (2008), https://doi.org/10.1016/j.aca.2008.04.033.Search in Google Scholar PubMed

[197] B. Bekdeşer, M. Özyürek, K. Güçlü, R. Apak. Talanta99, 689 (2012).10.1016/j.talanta.2012.07.004Search in Google Scholar PubMed

[198] M. Bener, M. Özyürek, K. Güçlü, R. Apak. Anal. Chem.82, 4252 (2010), https://doi.org/10.1021/ac100646k.Search in Google Scholar PubMed

[199] B. Bekdeşer, M. Özyürek, K. Güçlü, R. Apak. Anal. Chem.83, 5652 (2011).10.1021/ac200788mSearch in Google Scholar PubMed

[200] M. Özyürek, B. Bektaşoğlu, K. Güçlü, N. Güngör, R. Apak. J. Food Compos. Anal.23, 689 (2010), https://doi.org/10.1016/j.jfca.2010.02.013.Search in Google Scholar

[201] R. Apak, E. Çapanoglu, A. Uzer Arda. Nanotechnological methods of antioxidant characterization, Chapter 16. in The Chemical Sensory Informatics of Food: Measurement, Analysis, Integration, B. Guthrie, J. Beauchamp, A. Buettner, B. K. Lavine (Eds.), pp. 209–234, ACS Symposium Series; American Chemical Society, Washington, DC (2015).10.1021/bk-2015-1191.ch016Search in Google Scholar

[202] A. Asati, S. Santra, C. Kaittanis, S. Nath, J. M. Perez. Angew. Chem. Int. Ed.48, 2308 (2009), https://doi.org/10.1002/anie.200805279.Search in Google Scholar PubMed PubMed Central

[203] D. Vilela, M. C. González, A. Escarpa. Trends Anal. Chem.64, 1 (2015), https://doi.org/10.1016/j.trac.2014.07.017.Search in Google Scholar

[204] M. Özyürek, N. Güngör, S. Baki, K. Güçlü, R. Apak. Anal. Chem.84, 8052 (2012), https://doi.org/10.1021/ac301925b.Search in Google Scholar PubMed

[205] Z.-J. Jiang, C.-Y. Liu. J. Phys. Chem. B107, 12411 (2003), https://doi.org/10.1021/jp035060g.Search in Google Scholar

[206] T. G. Choleva, F. A. Kappi, D. L. Giokas, A. G. Vlessidis. Anal. Chim. Acta860, 61 (2015), https://doi.org/10.1016/j.aca.2014.12.025.Search in Google Scholar PubMed

[207] Z. P. Li, X. R. Duan, C. H. Liu, B. A. Du. Anal. Biochem.351, 18 (2006), https://doi.org/10.1016/j.ab.2006.01.038.Search in Google Scholar PubMed

[208] L. Li, B. Li. Analyst134, 1361 (2009), https://doi.org/10.1039/b819842j.Search in Google Scholar PubMed

[209] P. Vasileva, B. Donkova, I. Karadjova, C. Dushkin. Colloids Surf. A Physicochem. Eng.382, 203 (2011), https://doi.org/10.1016/j.colsurfa.2010.11.060.Search in Google Scholar

[210] E. Filippo, A. Serra, D. Manno. Sensor. Actuator. B Chem.138, 625 (2009), https://doi.org/10.1016/j.snb.2009.02.056.Search in Google Scholar

[211] T. Endo, Y. Yanagida, T. Hatsuzawa. Measurement41, 1045 (2008), https://doi.org/10.1016/j.measurement.2008.03.004.Search in Google Scholar

[212] A. Üzer, S. Durmazel, E. Erçağ, R. Apak. Sensor. Actuator. B Chem.247, 98 (2017), https://doi.org/10.1016/j.snb.2017.03.012.Search in Google Scholar

[213] K. Güçlü, M. Özyürek, N. Güngör, S. Baki, R. Apak. Anal. Chim. Acta794, 90 (2013), https://doi.org/10.1016/j.aca.2013.07.041.Search in Google Scholar PubMed

[214] R. Apak, S. Demirci Çekiç, A. Çetinkaya, H. Filik, M. Havyalı, E. Kılıç. J. Agric. Food Chem.60, 2769 (2012), https://doi.org/10.1021/jf204061s.Search in Google Scholar PubMed

[215] O. Tabasi, C. Falamaki. Anal. Methods10, 3906 (2018), https://doi.org/10.1039/c8ay00948a.Search in Google Scholar

[216] E. Sharpe, T. Frasco, D. Andreescu, S. Andreescu. Analyst138, 249 (2013), https://doi.org/10.1039/c2an36205h.Search in Google Scholar PubMed PubMed Central

[217] M. Ornatska, E. Sharpe, D. Andreescu, S. Andreescu. Anal. Chem.83, 4273 (2011), https://doi.org/10.1021/ac200697y.Search in Google Scholar PubMed

[218] E. Sharpe, R. Bradley, T. Frasco, D. Jayathilaka, A. Marsh, S. Andreescu. Sensor. Actuator. B Chem.193, 552 (2014), https://doi.org/10.1016/j.snb.2013.11.088.Search in Google Scholar PubMed PubMed Central

[219] Q. Zhao, C. B. Xiao, Y. F. Tu. Talanta143, 90 (2015), https://doi.org/10.1016/j.talanta.2015.05.026.Search in Google Scholar PubMed

[220] H. Li, X. Y. Ma, J. Dong, W. P. Qian. Anal. Chem.81, 8916 (2009), https://doi.org/10.1021/ac901534b.Search in Google Scholar PubMed

[221] X. Y. Ma, H. Li, J. A. Dong, W. P. Qian. Food Chem.126, 698 (2011), https://doi.org/10.1016/j.foodchem.2010.11.028.Search in Google Scholar

[222] Q. F. Chen, Y. Y. Rao, X. Y. Ma, J. A. Dong, W. P. Qian. Anal. Methods3, 274 (2011), https://doi.org/10.1039/c0ay00629g.Search in Google Scholar PubMed

[223] D. He, A. M. Jones, S. Garg, A. N. Pham, T. D. Waite. J. Phys. Chem. C115, 5461 (2011), https://doi.org/10.1021/jp111275a.Search in Google Scholar

[224] D. He, S. Garg, T. D. Waite. Langmuir28, 10266 (2012), https://doi.org/10.1021/la300929g.Search in Google Scholar PubMed

[225] P. Bhatia, P. Yadav, B. D. Gupta. Sensor. Actuator. B Chem.182, 330 (2013), https://doi.org/10.1016/j.snb.2013.03.021.Search in Google Scholar

[226] Y. Zhang, Y. J. Zhang, X. D. Xia, X. Q. Hou, C. T. Feng, J. X. Wang, L. Deng. Chin. Chem. Lett.24, 1053 (2013), https://doi.org/10.1016/j.cclet.2013.07.021.Search in Google Scholar

[227] G. Kamer, B. Demirata, R. Bayraktar, D. Ozyurt, R. Apak. Anal. Methods11, 1908 (2019), https://doi.org/10.1039/c8ay02561d.Search in Google Scholar

[228] B. Liu, Z. Sun, P.-J. Jimmy Huang, J. Liu. J. Am. Chem. Soc.137, 1290 (2015), https://doi.org/10.1021/ja511444e.Search in Google Scholar PubMed

[229] K. Can, A. Üzer, R. Apak. Anal. Methods.12, 448 (2020), https://doi.org/10.1039/c9ay02027f.Search in Google Scholar

[230] S. H. Othman. Agric. Agric. Sci. Proc.2, 296 (2014).Search in Google Scholar

[231] W. Zhao, H. Wang, X. Qin, X. Wang, Z. Zhao, Z. Miao, L. Chen, M. Shan, Y. Fang, Q. Chen. Talanta80, 1029 (2009), https://doi.org/10.1016/j.talanta.2009.07.055.Search in Google Scholar PubMed

[232] K. Cui, Y. H. Song, Y. Yao, Z. Z. Huang, L. Wang. Electrochem. Commun.10, 663 (2008), https://doi.org/10.1016/j.elecom.2008.02.016.Search in Google Scholar

[233] A. A. Karyakin, O. V. Gitelmacher, E. E. Karyakina. Anal. Chem.67, 2419 (1995), https://doi.org/10.1021/ac00110a016.Search in Google Scholar

[234] A. A. Karyakin, E. E. Karyakina. Sensor. Actuator. B Chem.57, 268 (1999), https://doi.org/10.1016/s0925-4005(99)00154-9.Search in Google Scholar

[235] A. A. Karyakin, E. E. Karyakina, L. Gorton. Anal. Chem.72, 1720 (2000), https://doi.org/10.1021/ac990801o.Search in Google Scholar PubMed

[236] A. V. Mokrushina, M. Heim, E. E. Karyakina, A. Kuhn, A. A. Karyakin. Electrochem. Commun.29, 78 (2013), https://doi.org/10.1016/j.elecom.2013.01.004.Search in Google Scholar

[237] E. E. Karyakina, D. V. Vokhmyanina, N. V. Sizova, A. N. Sabitov, A. V. Borisova, T. G. Sazontova, Y. V. Arkhipenko, V. A. Tkachuk, Y. A. Zolotov, A. A. Karyakin. Talanta80, 749 (2009), https://doi.org/10.1016/j.talanta.2009.07.059.Search in Google Scholar PubMed

[238] A. A. Karyakin, E. A. Puganova, I. A. Budashov, I. N. Kurochkin, E. E. Karyakina, V. A. Levchenko, V. N. Matveyenko, S. D. Varfolomeyev. Anal. Chem.76, 474 (2004), https://doi.org/10.1021/ac034859l.Search in Google Scholar PubMed

[239] J. Clausmeyer, P. Actis, A. L. Córdoba, Y. Korchev, W. Schuhmann. Electrochem. Commun.40, 28 (2014), https://doi.org/10.1016/j.elecom.2013.12.015.Search in Google Scholar

[240] W. Zhang, S. Hu, J.-J. Yin, W. He, W. Lu, M. Ma, N. Gu, Y. Zhang. J. Am. Chem. Soc.138, 5860 (2016), https://doi.org/10.1021/jacs.5b12070.Search in Google Scholar PubMed

[241] A. Salimi, R. Hallaj, S. Soltanian, H. Mamkhezri. Anal. Chim. Acta594, 24 (2007), https://doi.org/10.1016/j.aca.2007.05.010.Search in Google Scholar PubMed

[242] H. Heli, J. Pishahang. Electrochim. Acta123, 518 (2014), https://doi.org/10.1016/j.electacta.2014.01.032.Search in Google Scholar

[243] X. Gao, C. Ding, A. Zhu, Y. Tian. Anal. Chem.86, 7071 (2014), https://doi.org/10.1021/ac501499y.Search in Google Scholar PubMed

[244] N. Li, H. Wang, M. Xue, C. Y. Chang, Z. Z. Chen, L. H. Zhuo, B. Tang. Chem. Commun.48, 2507 (2012), https://doi.org/10.1039/c2cc16376d.Search in Google Scholar PubMed

[245] L. L. Qu, D. W. Li, L. X. Qin, J. Mu, J. S. Fossey, Y. T. Long. Anal. Chem.85, 9549 (2013), https://doi.org/10.1021/ac401644n.Search in Google Scholar PubMed

[246] D. W. Li, L. X. Qin, Y. Li, R. P. Nia, Y. T. Long, H. Y. Chen. Chem. Commun.47, 8539 (2011), https://doi.org/10.1039/c1cc13160e.Search in Google Scholar PubMed

[247] B. H. Lee, K. Lee, I. Kim, T. G. Park. Adv. Funct. Mater.19, 1884 (2009), https://doi.org/10.1002/adfm.200801838.Search in Google Scholar

[248] Z. Li, T. Liang, S. W. Lv, Q. G. Zhuang, Z. H. Liu. J. Am. Chem. Soc.137, 11179 (2015), https://doi.org/10.1021/jacs.5b06972.Search in Google Scholar PubMed

[249] Y. Song, J. Hao, D. Hu, M. Zeng, P. Li, H. Li, L. Chen, H. Tan, L. Wang. Sensor. Actuator. B Chem.238, 938 (2017), https://doi.org/10.1016/j.snb.2016.04.181.Search in Google Scholar

[250] Y. Tian, L. Mao, T. Okajima, T. Ohsaka. Anal. Chem.74, 2428 (2002), https://doi.org/10.1021/ac0157270.Search in Google Scholar PubMed

[251] P. Santhosh, K. M. Manesh, S. H. Lee, S. Uthayakumar, A. I. Gopalan, K. P. Lee. Analyst136, 1557 (2011), https://doi.org/10.1039/c0an00616e.Search in Google Scholar PubMed

[252] M. Braik, M. M. Barsan, C. Dridi, C. M. A. Brett. Sensor. Actuator. B Chem.236, 574 (2016), https://doi.org/10.1016/j.snb.2016.06.032.Search in Google Scholar

[253] L. Wang, W. Wen, H. Y. Xiong, X. H. Zhang, H. S. Gu, S. F. Wang. Anal. Chim. Acta758, 66 (2013), https://doi.org/10.1016/j.aca.2012.10.050.Search in Google Scholar PubMed

[254] F. Dashtestani, H. Ghourchian, K. Eskandari, H.-A. Rafiee-Pour. Microchim. Acta182, 1045 (2015), https://doi.org/10.1007/s00604-014-1424-1.Search in Google Scholar

[255] B. B. Li, P. L. Gutierrez, N. V. Blough. Methods Enzymol.300, 202 (1999), https://doi.org/10.1016/s0076-6879(99)00127-5.Search in Google Scholar PubMed

[256] A. Gomes, E. Fernandes, J. L. F. C. Lima. J. Biochem. Biophys. Methods65, 45 (2005), https://doi.org/10.1016/j.jbbm.2005.10.003.Search in Google Scholar PubMed

[257] N. Soh. Anal. Bioanal. Chem.386, 532 (2006), https://doi.org/10.1007/s00216-006-0366-9.Search in Google Scholar PubMed

[258] G. M. Ganea, P. E. Kolic, B. El-Zahab, I. M. Warner. Anal. Chem.83, 2576 (2011), https://doi.org/10.1021/ac102874x.Search in Google Scholar PubMed PubMed Central

[259] C. C. Winterbourn. Biochim. Biophys. Acta Gen. Subj.1840, 730 (2014), https://doi.org/10.1016/j.bbagen.2013.05.004.Search in Google Scholar PubMed

[260] M. King, R. Kopelman. Sensor. Actuator. B Chem.90, 76 (2003), https://doi.org/10.1016/s0925-4005(03)00100-x.Search in Google Scholar

[261] M. Zhuang, C. Q. Ding, A. W. Zhu, Y. Tian. Anal. Chem.86, 1829 (2014), https://doi.org/10.1021/ac403810g.Search in Google Scholar PubMed

[262] O. Adegoke, T. Nyokong. J. Fluoresc.22, 1513 (2012), https://doi.org/10.1007/s10895-012-1089-2.Search in Google Scholar PubMed

[263] O. Adegoke, P. B. C. Forbes. Anal. Chim. Acta862, 1 (2015), https://doi.org/10.1016/j.aca.2014.08.036.Search in Google Scholar PubMed

[264] L. Gao, J. Zhuang, L. Nie, J. Zhang, Y. Zhang, N. Gu, T. Wang, J. Feng, D. Yang, S. Perrett, X. Yan. Nat. Nanotechnol.2, 577 (2007), https://doi.org/10.1038/nnano.2007.260.Search in Google Scholar PubMed

[265] L. Gao, K. Fan, X. Yan. Theranostics7, 3207 (2017), https://doi.org/10.7150/thno.19738.Search in Google Scholar PubMed PubMed Central

[266] X. Wei, J. Chen, M. C. Ali, J. C. Munyemana, H. Qiu. Microchim. Acta187, 1 (2020), https://doi.org/10.1007/s00604-020-04298-4.Search in Google Scholar PubMed

[267] Q. Chen, X. Zhang, S. Li, J. Tan, C. Xu, Y. Huang. Chem. Eng. J.395, 125130 (2020), https://doi.org/10.1016/j.cej.2020.125130.Search in Google Scholar

[268] M. Ghorbani, H. Derakhshankhah, S. Jafari, S. Salatin, M. Dehghanian, M. Falahati, A. Ansari. Nano Today29, 100775 (2019), https://doi.org/10.1016/j.nantod.2019.100775.Search in Google Scholar

[269] D. B. Yim, D.-E. Lee, Y. So, C. Choi, W. Son, K. Jang, C.-S. Yang, J.-H. Kim. ACS Nano14, 10324 (2020), https://doi.org/10.1021/acsnano.0c03807.Search in Google Scholar PubMed

[270] Y. Xue, Q. Luan, D. Yang, X. Yao, K. Zhou. J. Phys. Chem. C115, 4433 (2011), https://doi.org/10.1021/jp109819u.Search in Google Scholar

[271] C. H. Ramamurthy, M. Padma, I. D. Samadanam, R. Mareeswaran, A. Suyavaran, M. S. Kumar, K. Premkumar, C. Thirunavukkarasu. Colloids Surf. B102, 808 (2013), https://doi.org/10.1016/j.colsurfb.2012.09.025.Search in Google Scholar PubMed

[272] Y. T. Zhou, W. He, W. G. Wamer, X. Hu, X. Wu, Y. M. Lo, J. J. Yin. Nanoscale5, 1583 (2013), https://doi.org/10.1039/c2nr33072e.Search in Google Scholar PubMed

[273] B. Prieto-Simón, M. Cortina, M. Campas, C. Calas-Blanchard. Sensor. Actuator. B Chem.129, 459 (2008), https://doi.org/10.1016/j.snb.2007.08.004.Search in Google Scholar

[274] M. F. Barroso, N. de-los-Santos-Álvarez, C. Delerue-Matos, M. B. P. P. Oliveira. Biosens. Bioelectron.30, 1 (2011), https://doi.org/10.1016/j.bios.2011.08.036.Search in Google Scholar PubMed

[275] M. F. Barroso, N. de-los-Santos-Álvarez, M. J. Lobo-Castañón, A. J. Miranda-Ordieres, C. Delerue-Matos, M. B. P. P. Oliveira, P. Tunon-Blanco. Biosens. Bioelectron.26, 2396 (2011), https://doi.org/10.1016/j.bios.2010.10.019.Search in Google Scholar PubMed

[276] M. F. Barroso, C. Delerue-Matos, M. B. P. P. Oliveira. Biosens. Bioelectron.26, 3748 (2011), https://doi.org/10.1016/j.bios.2011.02.015.Search in Google Scholar PubMed

[277] Y. Wang, C. Calas-Blanchard, M. Cortina-Puig, L. Baohong, J. L. Martya. Electroanalysis21, 1395 (2009), https://doi.org/10.1002/elan.200804537.Search in Google Scholar

[278] J. Liu, G. Lagger, P. Tacchini, H. H. Girault. J. Electroanal. Chem.619–620, 131 (2008), https://doi.org/10.1016/j.jelechem.2008.03.017.Search in Google Scholar

[279] P. Qian, S. Y. Ai, H. S. Yin, J. H. Li. Microchim. Acta168, 347 (2010), https://doi.org/10.1007/s00604-009-0280-x.Search in Google Scholar

[280] Y. M. Wang, H. Y. Xiong, X. H. Zhang, S. F. Wang. Electrochim. Acta67, 147 (2012), https://doi.org/10.1016/j.electacta.2012.02.010.Search in Google Scholar

[281] C. L. Bian, H. Y. Xiong, X. H. Zhang, W. Wen, S. F. Wang. Biosens. Bioelectron.28, 216 (2011), https://doi.org/10.1016/j.bios.2011.07.021.Search in Google Scholar PubMed

[282] L. J. Feng, X. H. Zhang, D. M. Zhao, S. F. Wang. Sensor. Actuator. B Chem.152, 88 (2011), https://doi.org/10.1016/j.snb.2010.09.031.Search in Google Scholar

[283] S. Kumar, W. K. Rhim, D. K. Lim, J. M. Nam. ACS Nano7, 2221 (2013), https://doi.org/10.1021/nn305250p.Search in Google Scholar PubMed

[284] J. M. Dowding, T. Dosani, A. Kumar, S. Seal, W. T. Self. Chem. Commun.48, 4896 (2012), https://doi.org/10.1039/c2cc30485f.Search in Google Scholar PubMed

[285] K. Y. Pu, A. J. Shuhendler, J. H. Rao. Angew. Chem. Int. Ed.52, 10325 (2013), https://doi.org/10.1002/anie.201303420.Search in Google Scholar PubMed PubMed Central

[286] A. Vasilescu, M. Gheorghiu, S. Peteu. Microchim. Acta184, 649 (2017), https://doi.org/10.1007/s00604-017-2093-7.Search in Google Scholar

[287] L. J. Chen, N. Wu, B. Sun, H. C. Su, S. Y. Ai. Microchim. Acta180, 573 (2013), https://doi.org/10.1007/s00604-013-0958-y.Search in Google Scholar

[288] E. M. Nelson, L. J. Rothberg. Langmuir27, 1770 (2011), https://doi.org/10.1021/la102613f.Search in Google Scholar PubMed

[289] D. Quinton, A. G. Porras-Gutierrez, S. Gutierrez-Granados, S. Griveau, F. Bedioui. ECS Trans.25, 39 (2010).Search in Google Scholar

[290] D. Quinton, A. Girard, L. T. T. Kim, V. Raimbault, L. Griscom, F. Razan, S. Griveau, F. Bedioui. Lab. Chip.11, 1342 (2011), https://doi.org/10.1039/c0lc00585a.Search in Google Scholar PubMed

[291] D. Cruz, M. F. Barroso, M. J. Ramalhosa, A. Coelho, H. da Silva, A. J. Duarte, M. B. Gonzalez-Garcia, A. P. Carvalho, C. Delerue-Matos. J. Electroanal. Chem.763, 110 (2016), https://doi.org/10.1016/j.jelechem.2015.12.045.Search in Google Scholar

[292] M. Malferrari, M. Becconi, S. Rapino. Anal. Bioanal. Chem.411, 4365 (2019), https://doi.org/10.1007/s00216-019-01734-0.Search in Google Scholar PubMed

[293] X. W. Zhang, Q. F. Qiu, H. Jiang, F. L. Zhang, Y. L. Liu, C. Amatore. Angew. Chem. Int. Ed.56, 12997 (2017), https://doi.org/10.1002/anie.201707187.Search in Google Scholar PubMed

[294] A. Weidinger, A. V. Kozlov. Biomolecules5, 472 (2015), https://doi.org/10.3390/biom5020472.Search in Google Scholar PubMed PubMed Central

[295] A. T. Smith, S. Kuznesof, D. P. Richardson, C. J. Seal. Proc. Nutr. Soc.62, 455 (2003), https://doi.org/10.1079/pns2003260.Search in Google Scholar PubMed

[296] L. Dauchet, P. Amouyel, J. Dallongeville. Nat. Rev. Cardiol.6, 599 (2009), https://doi.org/10.1038/nrcardio.2009.131.Search in Google Scholar PubMed

[297] L. Fu, B. T. Xu, X. R. Xu, R. Y. Gan, Y. Zhang, E,Q. Xia, H. B. Li. Food Chem.129, 345 (2011), https://doi.org/10.1016/j.foodchem.2011.04.079.Search in Google Scholar PubMed

[298] A. R. Proteggente, A. S. Pannala, G. Paganga, L. Van Buren, E. Wagner, S. Wiseman, F. Van De Put, C. Dacombe, C. A. Rice-Evans. Free Radic. Res.36, 217 (2002), https://doi.org/10.1080/10715760290006484.Search in Google Scholar PubMed

[299] S. M. Saumya, P. Mahaboob Basha. Int. J. Pharm. Pharmaceut. Sci.3, 165 (2011).Search in Google Scholar

[300] A. Y. Lee, M. H. Lee, S. Lee, E. J. Cho. J. Agric. Sci.7, 58 (2015).10.3839/jabc.2015.048Search in Google Scholar

[301] S. Gorinstein, D. Huang, H. Leontowicz, M. Leontowicz, K. Yamamoto, R. Soliva-Fortuny, O. Martin Belloso, A. L. Martinez Ayala, S. Trakhtenberg. Acta Chromatogr.17, 108 (2006).Search in Google Scholar

[302] J. Wang, X. Yuan, B. Sun, Y. Tian, Y. Cao. Food Technol. Biotechnol.47, 39 (2009), https://doi.org/10.1016/j.fct.2009.04.006.Search in Google Scholar PubMed

[303] I. Sedej, M. Sakac, A. Mandic, A. Misan, V. Tumbas, J. Canadanovic-Brunet. J. Food Sci.77, 954 (2012), https://doi.org/10.1111/j.1750-3841.2012.02867.x.Search in Google Scholar PubMed

[304] A. Chandrasekara, M. Naczk, F. Shahidi. Food Chem.133, 1 (2012), https://doi.org/10.1016/j.foodchem.2011.09.043.Search in Google Scholar

[305] T. Kaneyuki, Y. Noda, M. G. Traber, A. Mori, L. Packer. Biochem. Mol. Biol. Int.47, 979 (1999), https://doi.org/10.1080/15216549900202103.Search in Google Scholar PubMed

[306] B. Bekdeşer, N. Durusoy, M. Özyürek, K. Güçlü, R. Apak. J. Agric. Food Chem.62, 11109 (2014).10.1021/jf503065hSearch in Google Scholar PubMed

[307] P. Valentão, E. Fernandes, F. Carvalho, P. B. Andrade, R. M. Seabra, M. L. Bastos. Phytomedicine10, 517 (2003).10.1078/094471103322331485Search in Google Scholar PubMed

[308] P. Valentão, E. Fernandes, F. Carvalho, P. B. Andrade, R. M. Seabra, M. L. Bastos. J. Agric. Food Chem.50, 4989 (2002).10.1021/jf020225oSearch in Google Scholar PubMed

[309] V. Vrchovská, C. Sousa, P. Valentão, F. Ferreres, J. A. Pereira, R. M. Seabra, P. B. Andrade. Food Chem98, 416 (2006), https://doi.org/10.1016/j.foodchem.2005.06.019.Search in Google Scholar

[310] R. Arguello-Garcia, O. N. Medina-Campos, N. Perez-Hernandez, J. Pedraza-Chaverri, G. Ortega-Pierres. J. Agric. Food Chem.58, 11226 (2010), https://doi.org/10.1021/jf102423w.Search in Google Scholar PubMed

[311] M. Martínez-Tomé, M. A. Murcia, N. Frega, S. Ruggieri, A. M. Jiménez, F. Roses, P. Parras. J. Agric. Food Chem.52, 4690 (2004), https://doi.org/10.1021/jf049621s.Search in Google Scholar PubMed

[312] A. Zhang, Y. Fang, H. Wang, H. Li, Z. Zhang. Molecules16, 10104 (2011), https://doi.org/10.3390/molecules161210104.Search in Google Scholar PubMed PubMed Central

[313] G. Deepa, S. Ayesha, K. Nishtha, M. Thankamani. Int. Food Res. J.20, 1711 (2013).Search in Google Scholar

[314] K. Aizawa, Y. Iwasaki, A. Ouchi, T. Inakuma, S.-I. Nagaoka, J. Terao, K. Mukai. J. Agric. Food Chem.59, 3717 (2011), https://doi.org/10.1021/jf104955a.Search in Google Scholar PubMed

[315] A. J. J. Van den Berg, E. Van den Worm, H. C. Quarles van Ufford, S. B. A. Halkes, M. J. Hoekstra, C. J. Beukelman. J. Wound Care17, 172 (2008), https://doi.org/10.12968/jowc.2008.17.4.28839.Search in Google Scholar PubMed

[316] O. Rop, V. Řezníček, J. Mlček, T. Juríková, J. Balík, J. Sochor, D. Kramářová. Hort. Sci. (Prague)38, 63 (2011).10.17221/99/2010-HORTSCISearch in Google Scholar

[317] O. Rop, T. Jurikova, J. Sochr, D. J. Mlcek. Food Quality34, 187 (2011), https://doi.org/10.1111/j.1745-4557.2011.00387.x.Search in Google Scholar

[318] O. Rop, S. Ercişli, J. Mlcek, T. Jurikova, I. Hoza. Turk. J. Agric. For.38, 224 (2014), https://doi.org/10.3906/tar-1304-86.Search in Google Scholar

[319] A. Patel, A. Patel, A. Patel, N. M. Patel. Pharmacogn. Res.2, 152 (2010), https://doi.org/10.4103/0974-8490.65509.Search in Google Scholar PubMed PubMed Central

[320] R. L. Prior, G. Cao, A. Martin, E. Sofic, J. McEwen, C. O’Brien, N. Lishner, M. Ehlenfeldt, W. Kalt, G. Krewer, C. M. Mainland. J. Agric. Food Chem.46, 2686 (1998), https://doi.org/10.1021/jf980145d.Search in Google Scholar

[321] M. Rossi, E. Giussani, R. Morelli, R. Lo Scalzo, R. C. Nani, D. Torreggiani. Food Res. Int.36, 999 (2003), https://doi.org/10.1016/j.foodres.2003.07.002.Search in Google Scholar

[322] M. Al-Mamun, Y. Tamura, Y. Nakai, T. Masumizu, H. Sano. Proc 12th AAAP Anim Sci Cong.3, 1084 (2006).Search in Google Scholar

[323] L. Gomez Malta, E. P. Tessaro, M. Eberlin, G. M. Pastore, R. Hai Liu. Food Res. Int.53, 417 (2013), https://doi.org/10.1016/j.foodres.2013.04.024.Search in Google Scholar

[324] X. Bi, J. Zhang, C. Chen, D. Zhang, P. Li, F. Ma. Food Chem.152, 205 (2014), https://doi.org/10.1016/j.foodchem.2013.11.088.Search in Google Scholar PubMed

[325] M. Rubilar, C. Jara, Y. Poo, F. Acevedo, C. Gutierrez, J. Sineiro, C. Shene. J. Agric. Food Chem59, 1630 (2011), https://doi.org/10.1021/jf103461k.Search in Google Scholar PubMed

[326] E. Genskowsky, L. A. Puente, J. Perez-Alvarez, J. Fernandez-Lopez, L. A. Munoz, M. Viuda-Martos. J. Sci. Food Agric.96, 4235 (2016), https://doi.org/10.1002/jsfa.7628.Search in Google Scholar PubMed

[327] I. Jofré, M. Cuevas, L. Signori de Castro, J. D. de Agostini Losano, M. Andrade Torres, M. Alvear, E. Scheuermann, A. Furugen, C. Andrade, M. Nichi, M. E. Ortiz Assumpção, F. Romero. Oxid. Med. Cell. Longev.5, 1 (2019), https://doi.org/10.1155/2019/2917513.Search in Google Scholar PubMed PubMed Central

[328] R. A. Khan, M. R. Khan, S. Sahreen, M. Ahmed. Chem. Cent. J.6, 1 (2012), https://doi.org/10.1186/1752-153x-6-43.Search in Google Scholar PubMed PubMed Central

[329] R. L. Prior, X. L. Wu, K. Schaich. J. Agric. Food Chem.53, 4290 (2005), https://doi.org/10.1021/jf0502698.Search in Google Scholar PubMed

[330] X. Wu, G. R. Beecher, J. M. Holden, D. B. Haytowitz, S. E. Gebhardt, R. L. Prior. J. Agric. Food Chem.52, 4026 (2004), https://doi.org/10.1021/jf049696w.Search in Google Scholar PubMed

[331] S. Rautiainen, M. Serafini, R. Morgenstern, R. L. Prior, A. Wolk. Am. J. Clin. Nutr.87, 1247 (2008), https://doi.org/10.1093/ajcn/87.5.1247.Search in Google Scholar PubMed

[332] J. Bartos, M. Pesez. Talanta19, 93 (1972), https://doi.org/10.1016/0039-9140(72)80181-4.Search in Google Scholar PubMed

[333] C. L. Dodeigne, L. Thunus, R. Lejeune. Talanta51, 415 (2000), https://doi.org/10.1016/s0039-9140(99)00294-5.Search in Google Scholar PubMed

[334] A. M. Garcia-Campaña, W. R. G. Baeyens, X. R. Zhang, E. Smet, G. Van Der Weken, K. Nakashima, A. C. Calokerinos. Biomed. Chromatogr.14, 166 (2000).10.1002/1099-0801(200005)14:3<166::AID-BMC954>3.0.CO;2-PSearch in Google Scholar

[335] W. R. G. Baeyens, S. G. Schulman, A. C. Calokerinos, Y. Zhao, A. M. Garcıa-Campaña, K. Nakashima, D. De Keukeleire. J. Pharmaceut. Biomed. Anal.17, 941 (1998), https://doi.org/10.1016/s0731-7085(98)00062-4.Search in Google Scholar

[336] M. J. Navas, A. M. Jimenez. Food Chem50, 7 (19961996).Search in Google Scholar

[337] P. Fletcher, K. N. Andrew, A. C. Calokerinos, S. Forbes, P. J. Worsfold. Luminescence16, 1 (2001), https://doi.org/10.1002/bio.607.Search in Google Scholar

[338] M. Liu, Z. Lin, J. M. Lin. Anal. Chim. Acta670, 1 (2010), https://doi.org/10.1016/j.aca.2010.04.039.Search in Google Scholar

[339] L. Gámiz-Gracia, A. M. García-Campaña, J. F. Huertas-Pérez, F. J. Lara. Anal. Chim. Acta640, 7 (2009), https://doi.org/10.1016/j.aca.2009.03.017.Search in Google Scholar

[340] M. J. Navas, A. M. Jiménez. J. Am. Oil Chem. Soc.84, 405 (2007), https://doi.org/10.1007/s11746-007-1061-5.Search in Google Scholar

[341] S. McDonald, P. D. Prenzler, M. Antolovich, K. Robards. Food Chem73, 73 (2001), https://doi.org/10.1016/s0308-8146(00)00288-0.Search in Google Scholar

[342] P. Ninfali, G. Aluigi, M. Bacchiocca, M. Magnani. J. Am. Oil Chem. Soc.78, 243 (2001), https://doi.org/10.1007/s11746-001-0252-9.Search in Google Scholar

[343] L. P. Palilis, A. C. Calokerinos. Anal. Chim. Acta413, 175 (2000), https://doi.org/10.1016/s0003-2670(00)00798-4.Search in Google Scholar

[344] K. Maeda, T. Kashiwabara, M. Tokuyama. Bull. Chem. Soc. Jpn.50, 473 (1977), https://doi.org/10.1246/bcsj.50.473.Search in Google Scholar

[345] F. McCapra, R. A. Hahn. J. Chem. Soc.442 (1969).10.1039/C29690000442Search in Google Scholar

[346] R. Maskiewicz, D. Sogah, T. C. Bruice. J. Am. Chem. Soc.101, 5347 (1979), https://doi.org/10.1021/ja00512a040.Search in Google Scholar

[347] A. Ruiz, M. J. A. Canada, B. Lendl. Analyst126, 242 (2001), https://doi.org/10.1039/b008688f.Search in Google Scholar PubMed

[348] A. Nikokavoura, D. Christodouleas, E. Yannakopoulou, K. Papadopoulos, A. C. Calokerinos. Talanta84, 874 (2011), https://doi.org/10.1016/j.talanta.2011.02.007.Search in Google Scholar PubMed

[349] F. Gutierrez, T. Arnaud, A. Garrido. J. Sci. Food Agric.81, 1463 (2000).10.1002/jsfa.958Search in Google Scholar

[350] A. Bianco, N. Uccella. Food Res. Int.33, 475 (2000), https://doi.org/10.1016/s0963-9969(00)00072-7.Search in Google Scholar

[351] T. G. Sotiroudis, S. A. Kyrtopoulos, A. Xenakis, G. T. Sotiroudis. Ital. J. Food Sci.15, 169 (2003).Search in Google Scholar

[352] R. Aparicio, L. Roda, M. A. Albi, F. Gutierrez. J. Agric. Food Chem.47, 4150 (1999), https://doi.org/10.1021/jf9812230.Search in Google Scholar PubMed

[353] L. Bravo. Nutr. Rev.56, 317 (1998).10.1111/1540_6245.jaac56.3.0317Search in Google Scholar

[354] J. C. Espin, C. Soler Rivas, H. J. Wichers. J. Agric. Food Chem.48, 648 (2000), https://doi.org/10.1021/jf9908188.Search in Google Scholar PubMed

[355] F. D. Gunstone, J. L. Harwood, F. B. Padley. The Lipid Handbook, Chapman and Hall, London (1994).Search in Google Scholar

[356] W. Muller-Mulot. J. Am. Oil Chem. Soc.53, 732 (1976), https://doi.org/10.1007/bf02635472.Search in Google Scholar PubMed

[357] D. Christodouleas, K. Papadopoulos, A. C. Calokerinos. Food Anal. Methods4, 475 (2011), https://doi.org/10.1007/s12161-010-9189-6.Search in Google Scholar

[358] D. L. Giokas, D. C. Christodouleas, I. Vlachou, A. G. Vlessidis, A. C. Calokerinos. Anal. Chim. Acta764, 70 (2013), https://doi.org/10.1016/j.aca.2012.12.025.Search in Google Scholar PubMed

[359] D. Karampelas, A. Economou, A. C. Calokerinos. Microchem. J.118, 223 (2015), https://doi.org/10.1016/j.microc.2014.10.002.Search in Google Scholar

[360] E. Talon, M. Vargas, A. Chiralt, C. Gonzalez-Martinez. LWT113, 108290 (2019), https://doi.org/10.1016/j.lwt.2019.108290.Search in Google Scholar

[361] V. P. Romani, V. G. Martins, J. M. Goddard. Food Control109, 106946 (2020), https://doi.org/10.1016/j.foodcont.2019.106946.Search in Google Scholar

[362] N. Benbettaïeb, F. Debeaufort, T. Karbowiak. Crit. Rev. Food Sci. Nutr.59, 3431 (2019), https://doi.org/10.1080/10408398.2018.1494132.Search in Google Scholar PubMed

[363] M. J. Roman, E. A. Decker, J. M. Goddard. J. Agric. Food Chem.64, 5574 (2016), https://doi.org/10.1021/acs.jafc.6b01933.Search in Google Scholar PubMed

[364] L. Sun, J. Sun, L. Chen, P. Niu, X. Yang, Y. Guo. Carbohydr. Polym.163, 81 (2017), https://doi.org/10.1016/j.carbpol.2017.01.016.Search in Google Scholar PubMed

[365] K. Rambabu, G. Bharath, F. Banat, P. L. Show, H. Hernadez Cocoletzi. Int. J. Biol. Macromol.126, 1234 (2019).10.1016/j.ijbiomac.2018.12.196Search in Google Scholar PubMed

[366] B. Kirshweng, D. Tatraaljai, E. Földes, B. Pukanszky. Polym. Degrad. Stabil.145, 25 (2017).Search in Google Scholar

[367] S. Chavelier, C. Perut. Composite energetic material, e.g. for propellants and explosives, comprises a polymeric matrix, powder charges and additives, at least one of which is an antioxidant of the 4-mercaptoacetamido-diphenylamine type, Patent No: FR2837198A1 (France) (2002).Search in Google Scholar

[368] G. B. Manelis. Thermal Decomposition and Combustion of Explosives and Propellants, Taylor & Francis Group, London and Berlin, 1st ed. (2003).10.1201/9781482288261Search in Google Scholar

[369] J.-F. Poon, D. A. Pratt. Acc. Chem. Res.18, 1996 (2018), https://doi.org/10.1021/acs.accounts.8b00251.Search in Google Scholar PubMed

[370] B. Vogelsanger. Chimia58, 401 (2004), https://doi.org/10.2533/000942904777677740.Search in Google Scholar

[371] P. A. MacFaul, K. U. Ingold, J. Lusztyk. J. Org. Chem.61, 1316 (1996), https://doi.org/10.1021/jo951244i.Search in Google Scholar

[372] J. Harnly. J. Food Compos. Anal.64, 145 (2017), https://doi.org/10.1016/j.jfca.2017.08.011.Search in Google Scholar

[373] D. Granato, F. Shahidi, R. Wrolstad, P. Kilmartin, L. D. Melton, F. J. Hidalgo, K. Miyashita, J. van Camp, C. Alasalvar, A. B. Ismail, S. Elmore, G. G. Birch, D. Charalampopoulos, S. B. Astley, R. Pegg, P. Zhou, P. Finglas. Food Chem.264, 471 (2018), https://doi.org/10.1016/j.foodchem.2018.04.012.Search in Google Scholar PubMed

[374] A. C. De Camargo, A. C. T. Biasoto, A. R. Schwember, D. Granato, G. B. Rasera, M. Franchin, P. L. Rosalen, S. M. Alencar, F. Shahidi. Food Chem.290, 229 (2019), https://doi.org/10.1016/j.foodchem.2019.03.145.Search in Google Scholar PubMed

[375] M. Choudhary, U. K. Jetley, M. A. Khan, S. Zutshi, T. Fatma. Ecotoxicol. Environ. Saf.66, 204 (2007), https://doi.org/10.1016/j.ecoenv.2006.02.002.Search in Google Scholar PubMed

[376] K.-J. Dietz, U. Krämer, M. Baier. Free radicals and reactive oxygen species as mediators of heavy metal toxicity. in Heavy metal stress in plants: From molecules to Ecosystems, M. N. V. Prasad, J. Hagemeyer (Eds.), pp. 73–97, Springer, Heidelberg (1999).10.1007/978-3-662-07745-0_4Search in Google Scholar

[377] S. M. Singh, P. M. Sivalingam. J. Fish. Biol.20, 683 (1982), https://doi.org/10.1111/j.1095-8649.1982.tb03978.x.Search in Google Scholar

[378] P. N. Nomngongo, J. C. Ngila, V. O. Nyamori, E. A. Songa, E. I. Iwuoha. Anal. Lett.44, 2031 (2011), https://doi.org/10.1080/00032719.2010.539738.Search in Google Scholar

[379] J. Keyhani, E. Keyhani, N. Einollahi, D. Minai-Tehrani, S. Zarchipour. Biochim. Biophys. Acta1621, 140 (2003), https://doi.org/10.1016/s0304-4165(03)00053-9.Search in Google Scholar PubMed

[380] J. Keyhani, E. Keyhani, S. Zarchipour, H. Tayefi-Nasrabadi, N. Einollahi. Biochim. Biophys. Acta1722, 312 (2005), https://doi.org/10.1016/j.bbagen.2005.01.005.Search in Google Scholar PubMed

Received: 2020-09-17
Accepted: 2021-09-21
Published Online: 2021-11-15
Published in Print: 2022-01-27

© 2021 IUPAC & De Gruyter. This work is licensed under a Creative Commons Attribution-NonCommercial-NoDerivatives 4.0 International License.

This work is licensed under the Creative Commons Attribution-NonCommercial-NoDerivatives 4.0 International License.

Downloaded on 24.10.2025 from https://www.degruyterbrill.com/document/doi/10.1515/pac-2020-0902/html?lang=en&srsltid=AfmBOoppvqSrlXo-yTrrbMKl2RJg1A6Ckplb58RI1zcHg_1xrmkS56Zd
Scroll to top button