Abstract
Relationships between the various physical and chemical properties of isostructural compounds take place according to the Periodic Table that is a fundamental basis of Chemistry. The systematization of this approach, data vs. the Periodic Table, will contribute to further development of the solid state chemistry theory. The lanthanides and the actinides make up the f block of the Periodic Table. The lanthanides are the elements produced as the 4f sublevel is filled with electrons and the actinides are formed while filling the 5f sublevel. In this paper, we analyze some classes of compounds formed by the lanthanides with other elements of the Periodic Table, which can count into the thousands of binary compounds. The special place of lanthanides in the Periodic System of Elements made it possible to establish strict nonlinear relationships between the standard entropy and the lanthanide atomic number of the compounds Ln2X3 (X = O, S, Se, Te), LnN, LnB4, and LnF3 in the solid state. This relationship, based on tetrad-effect, can be applied to other physical and chemical properties of the isostructural compounds. The thermodynamic properties of actinides have been studied much less than lanthanides, but the similarity of physicochemical properties makes it possible for us to estimate, with sufficient accuracy, unexplored properties using fundamental laws. One of these laws is the tetrad-effect concept that is an effective tool to predict missing thermodynamic values for lanthanide and actinide compounds and to rationally plan experiments.
Introduction
Before to share our ideas we would like to cite the words of well-known American scientist Gschneidner [1]. “Systematics is a powerful tool for understanding the physical and chemical nature of materials. In addition, systematics allows one to predict properties and behaviors with a reasonable confidence level in the absence of experimental data”.
Previous review articles evidenced the relation of thermodynamic data with Periodic Law [2], [3], [4], [5] and established a strict relationship between the enthalpy of formation, melting point and the atomic numbers of components in the semiconductor AIIIBV phases, with diamond-like structure of sphalerite and wurtzite types. The proposed model was used for the critical assessment of the thermodynamic properties of isostructural compounds. The relationship between the reduced enthalpy
The Similarity Method was used for the critical analysis of specific heat
It was found that the dependence of the heat capacities
Another approach of heat capacity analysis with the use of a hybrid model was earlier presented by Pässler [6] for the fourth group AIIIBV and AIIBVI compounds from absolute zero up to room temperature. In this publication there is a full set of 96 bibliographic references up to 2010.
It is also necessary to cite the Ref. [7] that deals with heat capacity of GaBV and InBV (BV=P, As, Sb) above 298 K. The slight differences in the dependence of
The most sensitive to the tetrad-effect thermodynamic functions of lanthanide compounds are standard entropies and entropies of formation, because they are the most susceptible to the influence of the 4f-electrons of the lanthanides. We analyzed some classes of lanthanides with other elements of the Periodic Table, which account for only a sampling of the thousands of similar binary compounds possible. As an example, we use the tetrad-effect concept for the analysis and prediction of the standard entropies of Ln2X3 (X=O, S, Se, Te), solid phases, but this approach can also be applicable to other classes of the Ln compounds as LnN, LnB2, LnB4, LnB6, LnF3 and other compounds. The tetrad-effect concept gives us the ability to develop a solid state chemistry theory for lanthanide alloys.
We have demonstrated that the concept of the tetrad effect and symmetric function: a0+a1x+a2x2+a4x4 (ai are the fitting parameters and x=|N–NGd|, where N and NGd, the lanthanide and gadolinium atomic numbers respectively, can be used successfully to analyze and predict the standard entropies of solid lanthanide compounds at 298 K.
The tetrad-effect concept can be also applied to the actinides.
Tetrad-effect
For the first time, the term “tetrad-effect” was proposed by Peppard et al. in 1969 [11]. They found that the plot of log K (K is the ratio of the lanthanide concentration in the organic phase to that in the aqueous phase) vs. Z (the atomic number of the lanthanide) consists of four separate curves, each encompassing four points (La–Ce–Pr–Nd, Pm–Sm–Eu–Gd, Gd–Tb–Dy–Ho and Er–Tm–Yb–Lu). So, four tetrads are formed, with Gd being an element common to the second and third tetrads.
The theoretical explanation of the tetrad-effect was given by Nugent [12] who showed that this effect originates from the interelectronic interaction energy of the n electrons in 4fn configuration and is connected to the E1 and E3 Racah’s parameters dependence on the quantum numbers L and S for the ground electronic state of each Ln3+ ion. The coefficient of E1 is responsible for the 1/2-filled shell effect and the coefficient of E3 is responsible for the 1/4 and 3/4-filled shell effects. The quantum numbers S and L for the ground electronic state of Ln3+ ions are presented in Fig. 1 [13].
![Fig. 1:
Quantum numbers S and L for the ground electronic state of Ln3+ ions as derived from Hund’s rules. The spin- and the orbital moments are always maximized [13].](/document/doi/10.1515/pac-2018-0717/asset/graphic/j_pac-2018-0717_fig_013.jpg)
Quantum numbers S and L for the ground electronic state of Ln3+ ions as derived from Hund’s rules. The spin- and the orbital moments are always maximized [13].
In accordance with [14], the magnetic properties of the rare earth metals can be understood in terms of what we will call the standard model; herewith the magnetic 4f electrons in the metal have the same angular-momentum quantum numbers as in the free ion. They interact, however, with the surrounding electric field of the crystal, and with each other through an indirect exchange mediated by the conduction electrons.
So, the tetrad-effect of pure lanthanides results from an interaction of the spin angle moments and orbital quantum numbers. Spin entropy increases the degree of magnetic order and reduces magnetic entropy of the spin system. Under the same conditions, the standard entropies of pure lanthanides depend mainly on the spin and orbital magnetic components. See Fig. 1.
Later Lefevre et al. [15] synthesized the phases in the R2Co2I series (R=La, Y, Pr, Nd, Tb–Ho) and studied their structural and magnetic properties. Ferromagnetic ordering was observed for all compounds. For R2Co2I (R=La, Y) band-type ferromagnetism was concluded. For R2Co2I (R=Pr, Nd, Tb–Ho) the values of TC suggest that a polarization of the 5d electrons enhances the 4f-4f exchange interaction as is well known e.g. in the case of the behaviors of GdI2 [16]. A deviation from the de Gennes rule [17] for the light rare earth metal compounds was ascribed to a polarization of the 5d electrons. A similar deviation had been observed for the R2T2X series [18] and also explained in terms of a polarization of the 5d electrons by the 4f moments.
If we take in consideration the standard entropies of pure lanthanides at 298 K (Fig. 2), we can observe the convex tetrad-effect for two Ln branches. The right branch (heavy lanthanides) is sufficiently well-formed, while a similar regularity of the left branch (light lanthanides) is broken.
![Fig. 2:
Shortest interatomic distances as a function of N (N is an atomic number of the pure lanthanides) (P63/mmc) [22].](/document/doi/10.1515/pac-2018-0717/asset/graphic/j_pac-2018-0717_fig_014.jpg)
Shortest interatomic distances as a function of N (N is an atomic number of the pure lanthanides) (P63/mmc) [22].
In our opinion the behavior of thermodynamic functions must be close (according to the tetrad-effect) to the symmetric function relative to gadolinium. We used this rule in the thermodynamic analysis of the lanthanide tellurides [5]. Therefore, having a reasonably accurate description of the standard entropies in the right branch (heavy lanthanides), we can reconstruct the description of the left branch (light lanthanides) using the equation:
where NLn is the atomic number of the Ln element, NGd is the atomic number of Gd (NGd=64) and σ is the standard error.
The whole description of standard entropies was made for the hexagonal unit cell of Ln pure lanthanides. Additional references related to the tetrad-effect concept can be taken from [5], [19], [20], [21]. If we compare the standard entropies of pure lanthanides and those of their chalcogenides (sulfides, selenides and tellurides), we can see a similarity of these entropies vs. N-NGd. It is obvious that this similarity between the chalcogenides is due to the influence of lanthanides, a principal part of these compounds.
The description of the lanthanide chalcogenides was created without taking into account the differences in structures. The influence of structural factors can be considered insignificant (within the error of entropy determination).
The standard thermodynamic parameters of the pure lanthanide and binary lanthanide compounds with other elements of the Periodic Table in the solid state also follow the tetrad-effect concept [4], [5]. In this case the structural factor is decisive.
If the tetrad-effect is observed to be the structural parameters of the isostructural compounds (such as a unit cell volume or the shortest distance between the Ln and second element atoms), (see Figs. 3, 4), this phenomenon should also be extended to the other physicochemical properties of solids [5].
![Fig. 3:
Shortest distances between Ln and In atoms of Ln2In phases as a function of an atomic number of lanthanides (N) (P63/mmc) [22].](/document/doi/10.1515/pac-2018-0717/asset/graphic/j_pac-2018-0717_fig_016.jpg)
Shortest distances between Ln and In atoms of Ln2In phases as a function of an atomic number of lanthanides (N) (P63/mmc) [22].
![Fig. 4:
Volume of the elementary cell of the LnB4 phases as a function of an atomic number of lanthanides (N) (P4/mbm) [29] and a prediction of unknown volume parameters.](/document/doi/10.1515/pac-2018-0717/asset/graphic/j_pac-2018-0717_fig_017.jpg)
Volume of the elementary cell of the LnB4 phases as a function of an atomic number of lanthanides (N) (P4/mbm) [29] and a prediction of unknown volume parameters.
If the tetrad-effect of the physical and chemical properties is not observed in the isostructural lanthanide compounds, this indicates an experimental inaccuracy in the determination of these properties. The reduction of the lanthanide atomic fraction in the compound leads to a leveling of this rule.
The available information on the thermodynamic properties of lanthanide compounds is usually limited due to great experimental difficulties caused by the high reactivity of lanthanides (especially light lanthanides) and their instability in the air. Typically, lanthanide alloys decompose into Ln2O3 and free nanoparticles of the second component when coming into contact with atmospheric air.
In our recent paper [5], we demonstrated how we can apply the tetrad-effect to correct the available standard entropies of pure lanthanides. The standard entropies of heavy lanthanides were obtained with a smaller experimental error than for light rare earth metals. If we apply the tetrad-effect concept, we can correct the entropies of light rare earth metals using the symmetric function.
Standard entropies at 298 K of the chalcogenide Ln2X3 compounds (X=S, Se, Te)
The available information on the structures and standard entropies at 298 K of the solid Ln2S3, Ln2Se3Ln2Te3 compounds [4], [18], [19], [20], [21], [22], [23], [24] is presented in Tables 1–3.
The crystal structures of the Ln2S3 compounds and their standard entropies at 298 K.
| Ln | Lattice system | Space group |
|
||
|---|---|---|---|---|---|
| [21], [22], [23], [24], [25] | [19] | Calc. (this work) | |||
| La | ortho [19], [20] cubic [21] |
Pnma [19], [20] I |
32.443 | 32.995 | 32.92 |
| Ce | ortho [19], [20] cubic [21] |
Pnma [19], [20] I |
35.486 | 36.066 | 36.15 |
| Pr | ortho [19], [20] cubic [22] |
Pnma [20] I |
37.880 | 38.158 | 37.72 |
| Nd | ortho [19] cubic [21] |
Pnma [19], [20] |
37.215 | 37.070 | 38.15 |
| Pm | cubic [24] |
|
38.945 | 37.489 | 37.84 |
| Sm | ortho [19] cubic [23] |
Pnma [19], [20] I |
35.752 | 35.899 | 37.11 |
| Eu | cubic [24] ortho [20] |
Pnma [20] I |
36.301 | – | 36.19 |
| Gd | cubic [19], [21] ortho [20] |
Pnma [20], [21] Pnma [20] |
33.341 | 36.066 | 35.22 |
| Tb | cubic [22] ortho [20] |
Pnma [20], [23] Pnma [20] |
38.130 | – | 36.19 |
| Dy | cubic [23] ortho [20] |
Pnma [20], [23] Pnma [20] |
38.845 | – | 37.11 |
| Ho | ortho [20] | Pnma [20] | – | – | 37.84 |
| Er | monocl [20] | P21/m [20] | – | – | 38.15 |
| Tm | monocl [20] hex [20] |
P21/m [20] R |
– | – | 37.72 |
| Yb | hex [19], [20], [25] |
R
|
37.864 | – | 36.15 |
| Lu | hex [20], [25] |
R
|
32.825 | – | 32.92 |
The crystal structures of the Ln2Se3 compounds and their standard entropies at 298 K.
| Ln | Lattice system | Space group |
|
||
|---|---|---|---|---|---|
| [20] | [19] | Calc. (this work) | |||
| La | cubic [19] |
I
|
40.44 | 40.083 | 40.41 |
| Ce | cubic [19] |
I
|
– | 44.35 | 43.91 |
| Pr | cubic [19] |
Ia
|
– | 46.024 | 45.35 |
| Nd | cubic [19] |
Ia
|
44.82 | 44.852 | 45.49 |
| Pm | cubic [19] |
Ia
|
– | 45.354 | 44.95 |
| Sm | ortho [19] | Pnma [20] | 44.24 | 43.765 | 44.23 |
| Eu | – | – | – | – | 43.65 |
| Gd | cubic [19] ortho [20] |
Ia
Pnma [20] |
– | 43.932 | 43.44 |
| Tb | ortho [20] | Pnma [20] | – | – | 43.65 |
| Dy | ortho [20] | Pnma [20] | – | – | 44.23 |
| Ho | ortho [20] | Fddd [20] | – | – | 44.95 |
| Er | ortho [20] | Fddd [20] | – | – | 45.49 |
| Tm | ortho [20] | Fddd [20] | – | – | 45.35 |
| Yb | ortho [20] | Fddd [20] | – | – | 43.91 |
| Lu | ortho [20] | Fddd [20] | – | – | 40.41 |
The crystal structures of the Ln2Te3 compounds and their standard entropies at 298 K.
| Ln | Lattice system | Space group |
|
|
|---|---|---|---|---|
| [20] | Calc. (this work) | |||
| La | cubic [19] |
I
|
46.325 | 46.61 |
| Ce | cubic [19] | I |
50.208 | 49.80 |
| Pr | cubic [19] |
Ia
|
51.882 | 51.11 |
| Nd | cubic [19] ortho [20] |
Ia
Pnma [20] |
49.790 | 51.22 |
| Pm | cubic [22] |
Ia
|
51.212 | 50.72 |
| Sm | ortho [19], [20] | Pnma [20] | 49.622 | 50.05 |
| Eu | – | 49.52 | ||
| Gd | ortho [20] | Pnma [20] | 49.790 | 49.32 |
| Tb | ortho [20] | Fddd [20] | – | 49.52 |
| Dy | ortho [19], [20] | Fddd [20] | – | 50.05 |
| Ho | ortho [20] | Fddd [20] | – | 50.72 |
| Er | ortho [20] | Fddd [20] | – | 51.22 |
| Tm | ortho [20] | Fddd [20] | – | 51.11 |
| Yb | ortho [20] | Fddd [20] | – | 49.80 |
| Lu | ortho [20] | Fddd [20] | – | 46.61 |
As can be seen, the structural data for most of the Ln2S3 are contradictive, making it impossible to determine the real structures at 298 K. However, despite the difference in reported structures, the entropy data of Ln2S3 at 298 K are often close to each other. So, the attempt to describe all of the entropy data for Ln2S3 without identifying them as definite structures seems to be reasonable in this case. The following equation was obtained:
where x=|NLn–NGd|; a0, a1, and a4 are fitting parameters. The calculated entropy values for the Ln0.4S0.6 at 298 K are listed in Table 1 and presented in Fig. 5.
The information on the structures of the solid Ln2Se3 compounds and their standard entropies at 298 K [18], [19], [20], [21] is presented in Table 2. The entropy data for Ln2Se3 were described by the equation:
The available data on the structures of the solid Ln2Te3 compounds and their standard entropies at 298 K are presented in Table 3. The entropies of the Ln2Te3 were described by the equation:
The results of the calculation using eq. (4) are given in Table 3 and plotted in Fig. 5.
Standard entropies of formation of the Ln2X3 chalcogenide compounds (X=S, Se, Te)
Since standard entropy values are available for compounds of rare-earth elements with other elements of the Periodic Table (at a given temperature), we can estimate the standard entropy of formation of these binary compounds with the formula:
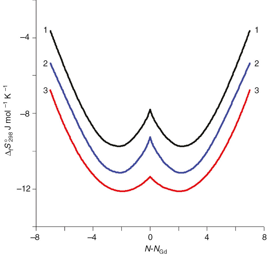
where x is the atomic fraction of A component. The formation entropy of the sesquichalcogenides of lanthanides (Ln0.4Te0.6, Ln0.4Se0.6, Ln0.4S0.6) vs. the atomic number of lanthanides was calculated and presented in Fig. 6. The standard entropies of the pure lanthanides and chalcogenide were taken from [18], [19]. The graphs of the formation entropies are W-shaped in the case of lanthanide sesquichalcogenides.

Calculated standard entropies of formation of the lanthanide tellurides (Ln0.4Te0.6) (1), lanthanide selenides (Ln0.4Se0.6) (2), lanthanide sulfides (Ln0.4S0.6) (3) vs. (N-NGd); N is the atomic number of a lanthanide.
Also the formation entropy graph of the LnIn3 intermetallic compounds has an inclined S-shape [3] Fig. 7. The use of the tetrad-effect concept helps with the standardization of thermodynamic data, both for pure lanthanides, and their compounds with other elements, and the development of the solid state chemistry theory.
![Fig. 7:
Calculated entropies of formation ΔfS=f (T, N) of LnIn3 [3].](/document/doi/10.1515/pac-2018-0717/asset/graphic/j_pac-2018-0717_fig_024.jpg)
Calculated entropies of formation ΔfS=f (T, N) of LnIn3 [3].
Standard entropies at 298 K of the solid Ln2O3 compounds
We used the data reported in the review [18] and in the electronic database [19] as a source of information on the structures and standard entropies of the Ln2O3 at 298 K (see Table 4). As can be seen from Table 4, the standard entropy values of Ln2O3 change in accordance with the M-type of the tetrad-effect. There are local maxima at the points corresponding to Nd, Ho, and local minima at the points corresponding to La, Lu and Eu (Gd).
The crystal structures of the Ln2O3 compounds and their standard entropies at 298 K.
| Ln | Lattice system | Space group |
|
|||
|---|---|---|---|---|---|---|
| [19] | [20] | Calc. (this work) |
||||
| Ln 0.4O0.6 (cubic) | Ln 0.4O0.6 (hex) | |||||
| La | hex [19], [20] |
P
Ia |
25.464 | 25.464 | 21.78 | 25.54 |
| Ce | hex [19], [20] |
P
Ia |
29.62 | 29.623 | 26.58 | 29.37 |
| Pr | hex [19], [20] |
P
Ia |
30.54 | 31.129 | 29.19 | 31.15 |
| Nd | hex [19], [20] |
P
Ia |
31.74 | 31.715 | 30.33 | 31.61 |
| Pm | cubic [19] monocl [20] |
P
Ia |
31.6 | 31.464 | 30.60 | 31.34 |
| Sm | monocle [19], [20] |
P
Ia |
30.12 | 30.208 | 30.47 | 30.82 |
| Eu | cubic [19], [20] |
Ia
|
27.28 | 29.288 | 30.25 | 30.38 |
| Gd | cubic [19] |
Ia
|
30.12 | 30.125 | 30.16 | 30.21 |
| Tb | cubic [19], [20] |
Ia
|
31.84 | 31.38 | 30.25 | 30.38 |
| Dy | cubic [19], [20] |
Ia
|
29.96 | 29.957 | 30.47 | 30.82 |
| Ho | cubic [19], [20] |
Ia
|
31.276 | 31.631 | 30.60 | 31.34 |
| Er | cubic [19], [20] |
Ia
|
30.626 | 30.878 | 30.33 | 31.61 |
| Tm | cubic [19], [20] |
Ia
|
27.94 | 27.95 | 29.19 | 31.15 |
| Yb | cubic [19], [20] |
Ia
|
26.62 | 26.61 | 26.58 | 29.37 |
| Lu | cubic [19], [20] |
Ia
|
21.992 | 21.991 | 21.78 | 25.54 |
The shape of an M is symmetrical relative to its centre, so we used the symmetrical function (with Gd is the central point) to describe the standard entropies of Ln2O3:
where x=|NLn–NGd| and a0, a1, a2, a4 are fitting parameters.
According to Table 4, the entropy values of the Ln2O3 with a hexagonal structure (Ln=La, Ce, Pr, Nd) exceed those with a cubic structure (Ln=Lu, Yb, Tm, Er), although these lanthanides have a symmetrical disposition relative to Gd. This indicates that the function S(x) is closely related with Ln2O3 structure, so different functions S(x) must be used to describe the entropies of the hexagonal and cubic Ln2O3. Using the least squares method, the following equations were obtained:
The calculated entropy values of the hexagonal and cubic Ln0.4O0.6 are listed in Table 4 and are presented in Fig. 8. Some of these values refer to metastable structures and their knowledge is important for the thermodynamic modeling of the phase equilibria.
The difference between the hexagonal and cubic forms of the Ln0.4O0.6 compounds gives the entropies of transformation (ΔStr).
Supplementary information on the tetrad-effect is available in [25], [26], [27], [28]. It is easy to calculate the standard entropies and entropies of formation for the isostructural LnN, LnB2, LnB4, LnB6, LnF3 [18], [19], [20], [21], [22], [27], [28], [29], [30], [31], [32], [33], [34] and other compounds, using a similar procedure.
Standard entropies at 298 K of the LnN, LnB4 and LnF3 solid compounds
All LnN solid compounds have a cubic structure (space group Fm
This description, shown in Fig. 9 (line 1), demonstrates the validity of the tetrad-effect for the standard entropies of lanthanide nitrides. The LnB4 solid compounds all have a tetragonal structure (space group P4/mbm) [18]. The data [28] for the standard entropies of LnB4 (Ln=Gd–Tm, Lu) at 298 K are described by the equation:
This description, presented in Fig. 9 (line 2), shows that the standard entropies of heavy lanthanide borides (LnB4) at 298 K change in accordance with the tetrad-effect (right branch). So, it is easy to reconstruct the left branch for the light lanthanide tetraborides.
The solid LnF3 compounds have two possible structures: hexagonal (space group P
The data [29], [30], [31], [32], [33], [34], [35] and results of the calculation using eqs. (11), (12) and Fig. 10 confirm the validity of the tetrad-effect for the standard entropies of lanthanide fluorides. The difference of the
Actinides, 5f elements
The thermodynamic properties of actinides have been studied much less than lanthanides, but the similarity of physicochemical properties makes it possible for us to estimate, with sufficient accuracy, unexplored properties using fundamental laws.
So, the “tetrad-effect” phenomenon can be also used for the analysis, correction and prediction of thermodynamic data for the actinides (An) compounds. It is connected to the 5f-electrons of the actinide elements (Ac–Lr; their atomic numbers are 227–266).
The Table 5 presents the crystal structure, half-life, standard entropies and densities of the solid pure actinides at 298 K.
Crystal structure, half-life, standard entropies and densities of the solid pure actinides at 298 K.
| An | N | Space group [20] | Half-life [36] | d g/cm3 [36] | d g/cm3 [37] | d g/cm3 calc. |
|
|
|
|---|---|---|---|---|---|---|---|---|---|
| Ac-227 | 89 |
Fm
|
21.77 year | 10.07 | 10.7 | 10.02 | 56.48±6 | 61.9±0.8 | 59.57 |
| Th-232 | 90 |
Fm
|
1.40·1010 year | 11.72 | 11.78 | 14.76 | 53.39±0.5 | 51.8±0.5 | 53.75 |
| Pa-231 | 91 | I4/mmm | 3.25·104 year | 15.37 | 15.37 | 17.82 | 51.88±4.2 | 51.6±0.8 | 50.29 |
| U-238 | 92 |
Fm
|
4.47·109 year | 19.05 | 19.05 | 19.19 | 50.21±0.2 | 50.2±0.2 | 49.2 |
| Np-237 | 93 |
Im
|
2.14·106 year | 20.45 | 20.25 | 18.87 | 50.46±1.1 | 50.45±0.4 | 50.48 |
| Pu-244 | 94 |
Fm
|
2.41·104 year | 19.86 | 19.84 | 16.87 | 56.02±0.84 | 54.46±0.8 | 54.11 |
| Am-243 | 95 |
Fm
|
7370 year | 13.67 | 11.7 | 13.19 | 54.64±2.7 | 55.4±2 | 60.12 |
| Cm-244 | 96 |
Fm
|
17.6 year | 13.51 | 7.0 | 7.81 | 72.0±3 | 70.8±3 | 68.48 |
| Bk-247 | 97 | P63mmc | 1380 year | – | – | 13.19 | – | – | 60.12 |
| Cf-251 | 98 | P63mmc | 898 year | – | – | 16.87 | – | – | 54.11 |
| Es-252 | 99 |
Fm
|
472 year | – | – | 18.87 | – | – | 50.48 |
| Fm-257 | 100 | – | 100 day | – | – | 19.19 | – | – | 49.2 |
| Md-258 | 101 | – | 51 day | – | – | 17.82 | – | – | 50.29 |
| No-259 | 102 | – | 58 min | – | – | 14.76 | – | – | 53.75 |
| Lr-266 | 103 | – | 11 h | – | – | 10.02 | – | – | 59.57 |
The standard entropies of the actinides [19] and [20] can be described (see Fig. 11) by an equation
The density of the actinides [36] and [37] can be described (see Fig. 12) by an equation
![Fig. 12:
The experimental points and calculated curves of density at 298 K of the solid pure actinides; + [36], ○ [37]; N is the atomic number of actinide.](/document/doi/10.1515/pac-2018-0717/asset/graphic/j_pac-2018-0717_fig_041.jpg)
The experimental points and calculated curves of density at 298 K of the solid pure actinides; + [36], ○ [37]; N is the atomic number of actinide.
Conclusion
A new relationship of thermodynamic data with Periodic Law was established.
The tetrad-effect concept is an effective tool in predicting the missing thermodynamic values for lanthanide compounds.
The combination of the tetrad-effect concept with the symmetric function a0+a1x+a2x2+a4x4 permits the analysis of the available experimental data for the standard entropies of the solid lanthanide compounds at 298 K and the prediction of the missing ones.
The standard entropies of transformation between different crystalline structures of lanthanide compounds can be evaluated.
Using the standard entropies of the lanthanide compounds and the initial pure elements gives the possibility to calculate the standard entropies of formation of the lanthanide compounds. These entropies, combined with the experimental Gibbs energies of formation, yield the standard enthalpies of formation of the lanthanide compounds.
For the first time more then 80 standard entropies at 298 K of Ln2S3, Ln2Se3, Ln2Te3, LnB4, and LnF3 solid compounds were evaluated for different crystalline forms.
The standardization of thermodynamic data for both pure lanthanides and their compounds with other elements serves for the development of the solid state chemistry theory.
The tetrad-effect concept can be also applied to the actinides.
Highlight
The physicochemical properties of pure lanthanides, as well as actinides and their compounds with other elements of the periodic system, are subject to a certain law.
This law can be called a “tetrad-effect” and it works best for the isostructural phases.
The tetrad-effect concept is an effective tool for predicting missing thermodynamic values for lanthanide and actinide compounds.
Article note
A collection of invited papers based on presentations at the The 16th International IUPAC Conference on High Temperature Chemistry (HTMC-XVI), held in Ekaterinburg, Russia, July 2–6, 2018.
Acknowledgements
We would like to thank Prof. Lorie Wood from the University of Colorado (USA) for the language help. This work was financially supported by the Russian Foundation for Basic Research (project no. 17-08-01723).
References
[1] K. A. Gschneidner Jr. J. Alloys Comp.223, 165 (1995).10.1016/0925-8388(94)09000-9Search in Google Scholar
[2] V. P. Vassiliev, B. Legendre, V. P. Zlomanov. Intermetallics19, 1891 (2011).10.1016/j.intermet.2011.07.023Search in Google Scholar
[3] V. P. Vassiliev, W. P. Gong, A. F. Taldrik, S. A. Kulinich. J. Alloys Comp.552, 248 (2013).10.1016/j.jallcom.2012.10.075Search in Google Scholar
[4] V. P. Vassiliev, B. Ablazeze, A. F. Taldrik. J. Alloys Comp.572, 118 (2013).10.1016/j.jallcom.2013.03.063Search in Google Scholar
[5] V. P. Vassiliev, V. A. Lysenko. Electrochim. Acta222, 1770 (2016).10.1016/j.electacta.2016.11.075Search in Google Scholar
[6] R. Pässler. Phys. Status Solidi B248, 904 (2011).10.1002/pssb.201046248Search in Google Scholar
[7] A. S. Pashinkin, V. A. Fedorov, A. S. Malkova. Inorg. Mater. 46, 1007 (2010).10.1134/S0020168510090165Search in Google Scholar
[8] W. Schnelle, E. Gmelin. J. Phys. Condens. Matter.13, 6087 (2001).10.1088/0953-8984/13/27/303Search in Google Scholar
[9] R. K. Kremer, M. Cardona, G. Siegle, R. Lauck, S. K. Estreicher, A. H. Romero, M. Sanati, J. Serrano, T. R. Anthony. Solid State Commun.133, 465 (2005).10.1016/j.ssc.2004.11.047Search in Google Scholar
[10] M. Cardona, R. K. Kremer, R. Lauck, G. Siegle, J. Serrano, A. H. Romero. Phys. Rev. B76, 075211 (2008).10.1103/PhysRevB.76.075211Search in Google Scholar
[11] D. F. Peppard, G. W. Mason, S. Lewey. J. Inorg. Nucl. Chem.31, 2271 (1969).10.1016/0022-1902(69)90044-XSearch in Google Scholar
[12] L. J. Nugent. J. Inorg. Nucl. Chem. 32, 3485 (1970).10.1016/0022-1902(70)80157-9Search in Google Scholar
[13] G. Bihlmayer. Atomic magnetism, Institut für Festkörperforschung, Forschungszentrum Jülich, 2010 (http://iffwww.iff.kfa-juelich.de/∼gbihl/publ/talks/2010.pdf).Search in Google Scholar
[14] J. Jensen, A. R. Macintosh. Rare Earth Magnetism. Structures and Excitations. H. C. Ørsted Institute University of Copenhagen. Clarendon Press, Oxford, 1991.10.1093/oso/9780198520276.003.0001Search in Google Scholar
[15] C. Lefevre, C. Hoch, R. K. Kremer, A. Simon. Solid State Sci.10, 1625 (2008).10.1016/j.solidstatesciences.2008.02.019Search in Google Scholar
[16] C. Felser, K. Ahn, R. K. Kremer, R. Seshadri, A. Simon. J. Solid State Chem.147, 19 (1999).10.1006/jssc.1999.8274Search in Google Scholar
[17] “Press Release: The 1991 Nobel Prize in Physics”, Nobelprize.org. Nobel Media AB, 2014. (http://www.nobelprize.org/nobel_prizes/physics/laureates/1991/press.html).Search in Google Scholar
[18] A. Szytuła. “Magnetic properties of ternary intermetallic rare-earth compounds”, in Handbook of Magnetic Materials, K. H. J. Buschow (Ed.), vol. 6, Chapter 2, pp. 85–180, Elsevier Science Ltd., North-Holland, Amsterdam, The Netherlands (1991).10.1016/S1567-2719(05)80056-3Search in Google Scholar
[19] R. J. M. Könings, O. A. Beneš, A. Kovács, D. Manara, D. Sedmidubský. J. Phys. Chem. Ref. Data43, 013101 (2014).10.1063/1.4825256Search in Google Scholar
[20] Thermal constants of substances. Electronic database (in Russian) (http://www.chem.msu.su/cgi-bin/tkv.pl).Search in Google Scholar
[21] Inorganic Material Database (Atom Work), National Institute for Materials Science (NIMS), Tsukuba, Japan (2010); (http://crystdb.nims.go.jp/index_en.html).Search in Google Scholar
[22] Pauling File Binaries Edition, Inorganic materials database and design system, Villars P, (Ed.) (Editor in chief), ASM International, Materials Park, OH, USA (2002).Search in Google Scholar
[23] E. F. Westrum, R. Burriel, J. B. Gruber, P. E. Palmer, B. J. Beaudry, W. A. Plautz. J. Chem. Phys. 91, 4838 (1989).Search in Google Scholar
[24] J. B. Gruber, R. Burriel, E. F. Westrum, W. Plautz, G. Metz, X.-X. Ma, B. J. Beaudry, P. E. Palmer. J. Chem. Phys. 95, 1964 (1991).10.1063/1.460993Search in Google Scholar
[25] R. Shaviv, E. F. Westrum, J. B. Gruber, B. J. Beaudry. J. Chem. Phys. 96, 6149 (1992).10.1063/1.462857Search in Google Scholar
[26] L. Rycerz, M. Gaune-Escard. J. Alloys Comp. 450, 167 (2008).10.1016/j.jallcom.2006.12.096Search in Google Scholar
[27] U. M. Mirsaidov, B. A. Gafurov, I. U. Mirsaidov, A. Badalov. Univ. J. Chem. 4, 20 (2016). J. Alloys Comp. 450, 167 (2008).Search in Google Scholar
[28] A. Morozov. Temperature dependences of the specific heat of the rare earth tetraborides in the range of 2–300 K. PhD Thesis (in Russian). Bryansk University, Russia, 2013, 153 p.Search in Google Scholar
[29] I. V. Gerasimov, A. V. Matovnikov. Scientific notes of Bryansk State University1, 49 (2016).Search in Google Scholar
[30] W. G. Lyon, D. W. Osborne, H. E. Flotow, F. Grandjean, W. N. Hubbard, G. K. Johnson. J. Chem. Phys.69, 167 (1978).10.1063/1.436381Search in Google Scholar
[31] W. G. Lyon, D. W. Osborne, H. E. Flotow. J. Chem. Phys.70, 675 (1979).10.1063/1.437494Search in Google Scholar
[32] W. G. Lyon, D. W. Osborne, H. E. Flotow. J. Chem. Phys. 71, 4123 (1979).10.1063/1.438183Search in Google Scholar
[33] H. E. Flotow, P. A. G. O’Hare. J. Chem. Phys.74, 3046 (1981).10.1063/1.441429Search in Google Scholar
[34] H. E. Flotow, P. A. G. O’Hare. J. Chem. Phys. 80, 460 (1984).10.1063/1.446415Search in Google Scholar
[35] E. F. Westrum, A. F. Beale. J. Phys. Chem. 65, 353 (1961).10.1021/j100820a041Search in Google Scholar
[36] N. N. Greenwood, A. Earnshaw. Chemistry of the Elements, Second Edition, School of Chemistry University of Leeds, U.K., Butterworth-Heinemann, Oxford, Auckland, Boston, Johannesburg, Melbourne, New Delhi, Reprinted with corrections 1998; 1341 p.Search in Google Scholar
[37] A. A. Drozdov, V. P. Zlomanov, G. N. Mazo, F. M. Spiridonov. “Inorganic chemistry: in 3 volumes”, in Chemistry of Transition Elements, Yu D. Tretyakov (Ed.), V. 3, p. 400, Publishing Center “Academy”, Moscow, 2007.Search in Google Scholar
©2019 IUPAC & De Gruyter. This work is licensed under a Creative Commons Attribution-NonCommercial-NoDerivatives 4.0 International License. For more information, please visit: http://creativecommons.org/licenses/by-nc-nd/4.0/
Articles in the same Issue
- Frontmatter
- In this issue
- Preface
- The 16th International IUPAC Conference on High Temperature Materials Chemistry (July 2–6, 2018, Ekaterinburg, Russia)
- Conference papers
- Relationship of thermodynamic data with Periodic Law
- Structure and dynamics of glass-forming alloy melts investigated by application of levitation techniques
- Electrotransport in the La2NiO4-based solid solutions
- Double perovskites REBaCo2−xMxO6−δ (RE=La, Pr, Nd, Eu, Gd, Y; M=Fe, Mn) as energy-related materials: an overview
- Theoretical and experimental study of high-pressure synthesized B20-type compounds Mn1−x(Co,Rh)xGe
- Lipase mediated synthesis of polycaprolactone and its silica nanohybrid
- Piezo-electrets from polypropylene composites doped with mineral fillers
- Controlled allylation of polyelectrolytes: a deep insight into chemical aspects and their applicability as building blocks for robust multilayer coatings
- IUPAC Technical Reports
- List of keywords for polymer science (IUPAC Technical Report)
- Recent advances in analysis of trace elements in environmental samples by X-ray based techniques (IUPAC Technical Report)
Articles in the same Issue
- Frontmatter
- In this issue
- Preface
- The 16th International IUPAC Conference on High Temperature Materials Chemistry (July 2–6, 2018, Ekaterinburg, Russia)
- Conference papers
- Relationship of thermodynamic data with Periodic Law
- Structure and dynamics of glass-forming alloy melts investigated by application of levitation techniques
- Electrotransport in the La2NiO4-based solid solutions
- Double perovskites REBaCo2−xMxO6−δ (RE=La, Pr, Nd, Eu, Gd, Y; M=Fe, Mn) as energy-related materials: an overview
- Theoretical and experimental study of high-pressure synthesized B20-type compounds Mn1−x(Co,Rh)xGe
- Lipase mediated synthesis of polycaprolactone and its silica nanohybrid
- Piezo-electrets from polypropylene composites doped with mineral fillers
- Controlled allylation of polyelectrolytes: a deep insight into chemical aspects and their applicability as building blocks for robust multilayer coatings
- IUPAC Technical Reports
- List of keywords for polymer science (IUPAC Technical Report)
- Recent advances in analysis of trace elements in environmental samples by X-ray based techniques (IUPAC Technical Report)
![Fig. 5:
Comparison of the standard entropies of pure lanthanides (1) and their compounds with tellurium (Ln0.4Te0.6) (2), selenium (Ln0.4S0.6) (3), sulfur (Ln0.4S0.6) (4) vs. (N-NGd), where N is lanthanide number [19], [20], [21], [22], [23], [24], [25].](/document/doi/10.1515/pac-2018-0717/asset/graphic/j_pac-2018-0717_fig_019.jpg)
![Fig. 8:
Experimental points and calculated curves of the standard entropies at 298 K for the cubic (1) and hexagonal (2) forms of solid lanthanide oxides (Ln0.4O0.6); – [18], – [19]; N is the atomic number of a lanthanide.](/document/doi/10.1515/pac-2018-0717/asset/graphic/j_pac-2018-0717_fig_030.jpg)
– [
– [![Fig. 9:
The experimental points and calculated curves of standard entropies at 298 K of the solid lanthanide compounds: Ln0.5N0.5 (1) [19] and Ln0.2B0.8 (2); – [19], – [28]; N is the atomic number of lanthanide.](/document/doi/10.1515/pac-2018-0717/asset/graphic/j_pac-2018-0717_fig_034.jpg)
– [
– [![Fig. 10:
Experimental points and calculated curves of the standard entropies at 298 K for the hexagonal (1) and orthorhombic (2) forms of the solid lanthanide fluorides (Ln0.25F0.75); N is the atomic number of a lanthanide [29], [30], [31], [32], [33], [34], [35].](/document/doi/10.1515/pac-2018-0717/asset/graphic/j_pac-2018-0717_fig_038.jpg)
![Fig. 11:
The experimental points and calculated curves of standard entropies at 298 K of the solid pure actinides; + [19], ○ [20]; N is the atomic number of actinide.](/document/doi/10.1515/pac-2018-0717/asset/graphic/j_pac-2018-0717_fig_039.jpg)