Home Physical Sciences The ongoing challenge of novel psychoactive drugs of abuse. Part I. Synthetic cannabinoids (IUPAC Technical Report)
Article Open Access

The ongoing challenge of novel psychoactive drugs of abuse. Part I. Synthetic cannabinoids (IUPAC Technical Report)

  • Vincenzo Abbate EMAIL logo , Michael Schwenk , Brandon C. Presley and Nahoko Uchiyama
Published/Copyright: June 27, 2018

Abstract

In the past decade, the world has experienced a large increase in the number of novel compounds appearing on the illicit drug market for recreational purposes. Such substances are designed to circumvent governmental regulations; the illegal drug manufacturers take a known psychoactive compound reported in the scientific literature and slightly modify its chemical structure in order to produce analogues that will mimic the pharmacological activity of the original substance. Many of these novel substances are sold via the Internet. Among the various chemical classes, synthetic cannabinoid receptor modulators, commonly referred to as “synthetic cannabinoids” have been at the forefront, as demonstrated by the frequency of drug seizures, numerous severe toxic effects, and fatalities associated with some of these substances. This review presents the chemical structures of relevant synthetic cannabinoids and describes their mechanism of action, pharmacological features, metabolic pathways, and structure-activity relationships. It illustrates the approaches used in forensic testing, both for bulk analysis (drug seizures) and for analytical toxicology (biological matrices) and discusses aspects of regulation surrounding this drug class. This report is intended to provide pertinent information for the purposes of informing scientific, medical, social, and governmental bodies about this ever-evolving recreational drug class and the challenges it poses worldwide.

1 Introduction

Novel Psychoactive Substances (NPS), also known as “legal highs” or “designer drugs”, are a broad class of recreational drugs that have recently emerged on the illicit drug market whose chemical nature may be similar to well-known substances of abuse. However, many of these compounds are not novel, as some were synthesized in research laboratories up to 30 years ago [1]. Although abandoned by researchers due to their psychotropic effects or other unfavorable properties, they have been re-evaluated by illegal drug manufacturers for recreational purposes [2], [3], [4]. Many articles published in scientific journals describe synthetic pathways and the preliminary pharmacological profiles for these substances and their analogues and can be easily accessed; thus, published data is often misappropriated for use in the drug abuse community [5], [6].

To circumvent legislative bans, NPS are structurally modified to differ from the original drug that they are pharmacologically related to. They are often sold in packages labeled “not for human consumption” to evade analogue provisions. After repeated drug seizures by law enforcement and forensic investigations revealing target compounds, bans to outlaw the associated substances are typically put in place by the appropriate legislative authorities. It is well known from structure-activity relationship(s) (SAR) studies that even minor modification of a lead compound may result in dramatic pharmacokinetic and/or pharmacodynamic changes, with the potential to cause life-threatening adverse effects [7], [8]; therefore, NPS pose a severe worldwide public health threat.

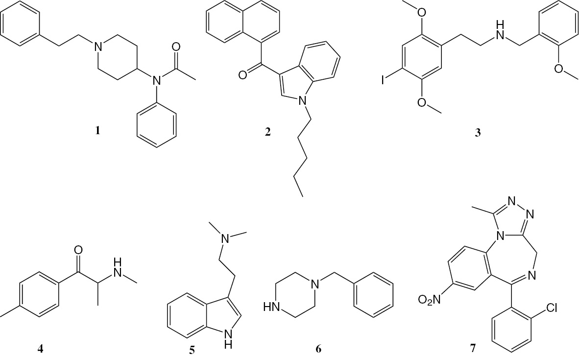
NPS are generally categorized according to their chemical structures and their mechanism of action. Some of the major classes of NPS include, but are not limited to, synthetic opioids, synthetic cannabinoids, phenylethylamines, synthetic cathinones, tryptamines, piperazines, and designer benzodiazepines (see Fig. 1). The purpose of this work is to provide up-to-date information about the synthetic cannabinoid class, including selected chemical structures, International Union of Pure and Applied Chemistry (IUPAC) chemical names, SAR, metabolism and expected biological effects, their identification in forensic analysis, as well as approaches to government regulations in selected countries.

Fig. 1: 
          Chemical structures of selected NPS: Acetyl fentanyl, N-[1-(2-phenylethyl)piperidine-4-yl]-N-phenylacetamide, a synthetic opioid (1); JWH-018, naphthalen-1-yl(1-pentyl-1H-indol-3-yl)methanone, a synthetic cannabinoid (2); 25I-NBOMe, 2-(4-iodo-2,5-dimethoxyphenyl)-N-[(2-methoxyphenyl)methyl]ethanamine, a phenethylamine derivative (3); Mephedrone, rac-2-(methylamino)-1-(4-methylphenyl)propan-1-one, a synthetic cathinone (4); DMT, 2-(1H-indol-3-yl)-N,N-dimethylethan-1-amine, a tryptamine derivative (5); N-Benzylpiperazine, 1-benzylpiperazine, a piperazine derivative (6); Clonazolam, 6-(2-chlorophenyl)-1-methyl-8-nitro-4H-[1,2,4]triazolo[4,3-a][1,4]benzodiazepine, a designer benzodiazepine (7).
Fig. 1:

Chemical structures of selected NPS: Acetyl fentanyl, N-[1-(2-phenylethyl)piperidine-4-yl]-N-phenylacetamide, a synthetic opioid (1); JWH-018, naphthalen-1-yl(1-pentyl-1H-indol-3-yl)methanone, a synthetic cannabinoid (2); 25I-NBOMe, 2-(4-iodo-2,5-dimethoxyphenyl)-N-[(2-methoxyphenyl)methyl]ethanamine, a phenethylamine derivative (3); Mephedrone, rac-2-(methylamino)-1-(4-methylphenyl)propan-1-one, a synthetic cathinone (4); DMT, 2-(1H-indol-3-yl)-N,N-dimethylethan-1-amine, a tryptamine derivative (5); N-Benzylpiperazine, 1-benzylpiperazine, a piperazine derivative (6); Clonazolam, 6-(2-chlorophenyl)-1-methyl-8-nitro-4H-[1,2,4]triazolo[4,3-a][1,4]benzodiazepine, a designer benzodiazepine (7).

Synthetic cannabinoid receptor modulators, commonly referred to as “synthetic cannabinoids” (SCs), are substances of various chemical subclasses that were originally synthesized to study their activity at the cannabinoid receptors (CB1 and CB2) and their potential use as therapeutic agents [9]. Many of these substances mimic the effects of Δ9-tetrahydrocannabinol (Δ9-THC, THC), (see Fig. 2), the main psychoactive component of cannabis. Consequently, some of the most potent SCs have, in recent years, become popular for recreational use as “legal” marijuana substitutes. The most popular forms of SC products typically contain a matrix of inert botanical material (e.g. Pedicularis densiflora, Nymphacea caerulea, Leonotis leonurus, Leonurus sibiricus, Carnavalia maritime, and Zornia latifolia) that has been spiked with the psychoactive drug for smoking [9]. Compounds are dissolved in an organic solvent, such as acetone, or in alcohol, and are subsequently sprayed onto the plant matrix and allowed to dry prior to packaging. Products have been branded and marketed as “Spice”, “K2”, “synthetic marijuana”, and “fake weed”, to name a few [10], [11]. The foil packets containing the drug-laced botanical materials are typically shiny in appearance and many have common cartoon or movie characters on the packet to make them more attractive, especially for the purposes of drawing younger consumers [9]. Other forms of SC products include powders, capsules, and liquids that could be used in e-cigarettes [9], [12], [13].

Fig. 2: 
          Chemical structures of endogenous, natural, and synthetic cannabinoid receptor ligands: Oleamide, [(9Z)-octadec-9-enamide, an endogenous cannabinoid ligand (1); Anandamide, [(5Z,8Z,11Z,14Z)-N-(2-hydroxyethyl)]icosa-5,8,11,14-tetraenamide, a fatty acid-derived endogenous neurotransmitter (2); Δ9-THC, (6aR,10aR)-6,6,9-trimethyl-3-pentyl-6a,7,10,10a-tetrahydro-6H-dibenzo[b,d]pyran-1-ol, a natural cannabinoid (3); HU-210, (6aR,10aR)-9-(hydroxymethyl)-6,6-dimethyl-3-(2-methyloctan-2-yl)-6a,7,10,10a-tetrahydro-6H-dibenzo[b,d]pyran-1-ol a synthetic cannabinoid (4); CP 47,497, 2-[(1S,3R)-3-hydroxycyclohexyl]-5-(2-methyloctan-2-yl)phenol, a synthetic cannabinoid (5); JWH-018, naphthalen-1-yl(1-pentyl-1H-indol-3-yl)methanone, a synthetic cannabinoid (6); AB-FUBINACA, N-[(2S)-1-amino-3-methyl-1-oxobutan-2-yl]-1-[(4-fluorophenyl)methyl]-1H indazol-3-carboxamide, a synthetic cannabinoid (7); XLR-11, [1-(5-fluoropentyl)-1H-indol-3-yl](2,2,3,3-tetramethylcyclopropyl)methanone, a synthetic cannabinoid (8).
Fig. 2:

Chemical structures of endogenous, natural, and synthetic cannabinoid receptor ligands: Oleamide, [(9Z)-octadec-9-enamide, an endogenous cannabinoid ligand (1); Anandamide, [(5Z,8Z,11Z,14Z)-N-(2-hydroxyethyl)]icosa-5,8,11,14-tetraenamide, a fatty acid-derived endogenous neurotransmitter (2); Δ9-THC, (6aR,10aR)-6,6,9-trimethyl-3-pentyl-6a,7,10,10a-tetrahydro-6H-dibenzo[b,d]pyran-1-ol, a natural cannabinoid (3); HU-210, (6aR,10aR)-9-(hydroxymethyl)-6,6-dimethyl-3-(2-methyloctan-2-yl)-6a,7,10,10a-tetrahydro-6H-dibenzo[b,d]pyran-1-ol a synthetic cannabinoid (4); CP 47,497, 2-[(1S,3R)-3-hydroxycyclohexyl]-5-(2-methyloctan-2-yl)phenol, a synthetic cannabinoid (5); JWH-018, naphthalen-1-yl(1-pentyl-1H-indol-3-yl)methanone, a synthetic cannabinoid (6); AB-FUBINACA, N-[(2S)-1-amino-3-methyl-1-oxobutan-2-yl]-1-[(4-fluorophenyl)methyl]-1H indazol-3-carboxamide, a synthetic cannabinoid (7); XLR-11, [1-(5-fluoropentyl)-1H-indol-3-yl](2,2,3,3-tetramethylcyclopropyl)methanone, a synthetic cannabinoid (8).

Over the last decade, an increase in the variety of chemical subclasses of SCs identified in these products has been observed, and these compounds have become increasingly potent. Many SCs were found to have stronger binding affinities to CB1 and/or CB2 receptors than Δ9-THC, inducing stronger physiological responses. Their recreational intake led to significant increases in adverse intoxication, posing challenges to the clinical and forensic communities. Acute and chronic intake have elicited an array of undesired effects including psychotic reactions, cardiac events, seizures, tissue injury, and death [14], [15], [16], [17].

2 Synthetic cannabinoids history and nomenclature

In the early 1960s, the chemical structure of Δ9-THC was determined by Gaoni and Mechoulam [18], [19]. This structural elucidation was significant, because the components of marijuana had been long studied, but, until this point, no characterization of the major psychoactive compound had been performed. In the subsequent decades, more findings included the identification of the structure and activity of the CB1 and CB2 cannabinoid receptors, as well as the endogenous cannabinoid receptor ligands (endocannabinoids) anandamide and oleamide (Fig. 2); SCs bind to these receptors and mimic some of the pharmacological effects of Δ9-THC [1], [9], [20].

In addition to natural and endogenous cannabinoids, medicinal chemists and university researchers have performed a significant amount of investigation on synthetic compounds that bind to the CB receptors. The details of many of these studies have been reported in peer-reviewed literature and in pharmaceutical patents [21], [22]. Over the last ten years, SCs abuse has increased worldwide, posing many challenges to the medical and forensic communities [9], [14], [15]. Adding to the challenge is the expansion of the structural diversity of SCs over the years (Fig. 2). Approximately 160 different SCs have been reported by the European Monitoring Centre for Drugs and Drug Addiction (EMCDDA) since 2008 [23]. However, not all of these substances were prevalent in clinical and forensic casework and even fewer have been presented in medical and forensic peer-reviewed literature. The typical time on the illicit drug market for a new SC varies, with new compounds quickly replacing “older generation” substances after they become banned [15], [23], [24].

In Fig. 2, structures of endogenous, natural and synthetic cannabinoids are presented as a means of evaluating the structural development and historical evolution of cannabinoid compounds. The first generation of SCs were identified in products in Germany and Japan in 2008–2009 and were typically of the cyclohexylphenol (e.g. CP 47,497) or naphthoylindole (e.g. JWH-018) class (Tables 1 and 2) [25], [26], [27], [28]. In subsequent years (2011–2013), classes such as the tetramethylcyclopropanoylindole (e.g. XLR-11, Table 5), indazole carboxamide (e.g. AKB48, Table 8), and halogenated naphthoylindole (e.g. AM-2201, Table 2) classes appeared on the market internationally [9], [24], [29]. Many more classes of compounds were identified during this time and continue to emerge (through 2017), including benzoylindoles (Table 3), phenylacetylindoles (Table 4), various alkoylindoles (Table 5), indole carboxylates (Table 6), indole carboxamides (Table 7), and an even greater number of indazole carboxamides (Table 5) [30], [31], [32], [33], [34], [35]. Some examples of compounds of these classes identified in seized materials and reported in the literature include, but are not limited to, the following: RCS-4, JWH-250, AB-001, PB-22, MDMB-CHMICA, AB-FUBINACA, MMB-FUBINACA (AMB-FUBINACA) and 5-Fluoro ADB [36], [37].

Table 1:

Cyclohexylphenols.

Common name Chemical name R1 R2
CP 47,497 2-[(1S,3R)-3-hydroxycyclohexyl]-5-(2-methyloctan-2-yl)phenol methyl H
CP 47,497 (C6) 2-[(1S,3R)-3-hydroxycyclohexyl]-5-(2-methylheptan-2-yl)phenol H H
CP 47,497 (C8) (Cannabicyclohexanol) 2-[(1S,3R)-3-hydroxycyclohexyl]-5-(2-methylnonan-2-yl)phenol ethyl H
CP 47,497 (C9) 2-[(1S,3R)-3-hydroxycyclohexyl]-5-(2-methyldecan-2-yl)phenol propyl H
CP 55,940 2-[(1R,2R,5R)-5-hydroxy-2-(3-hydroxypropyl)cyclohexyl]-5-(2-methyloctan-2-yl)phenol methyl 3-hydroxypropyl
Table 2:

Naphthoylindoles.

Common name Chemical name R1 R2 R3
AM-1220 [1-[(1-methylpiperidin-2-yl)methyl]-1H-indol-3-yl](naphthalen-1-yl)methanone H (1-methylpiperidin-2-yl)methyl H
AM-1220 azepane isomer [1-(1-methylazepan-3-yl)-1H-indol-3-yl](naphthalen-1-yl)methanone H 1-methylazepan-3-yl H
AM-2201 [1-(5-fluoropentyl)-1H-indol-3-yl](naphthalen-1-yl)methanone H 5-fluoropentyl H
AM-2232 5-[3-(naphthalene-1-carbonyl)indol-1-yl]pentanenitrile H pentanenitrile H
EAM-2201 (4-ethylnaphthalen-1-yl)(1-(5-fluoropentyl)-1H-indol-3-yl)methanone ethyl 5-fluoropentyl H
JWH-007 (2-methyl-1-pentyl-1H-indol-3-yl)(naphthalen-1-yl)methanone H pentyl methyl
JWH-015 (2-methyl-1-propyl-1H-indol-3-yl)(naphthalen-1-yl)methanone H propyl methyl
JWH-018 (AM678) (naphthalen-1-yl)(1-pentyl-1H-indol-3-yl)methanone H pentyl H
JWH-018 N-(5-chloropentyl) [1-(5-chloropentyl)-1H-indol-3-yl](naphthalen-1-yl)methanone H 5-chloropentyl H
JWH-019 (1-hexyl-1H-indol-3-yl)(naphthalen-1-yl)methanone H hexyl H
JWH-022 (naphthalen-1-yl)[1-(pent-4-en-1-yl)-1H-indol-3-yl]methanone H pent-4-en-1-yl H
JWH-071 (1-ethyl-1H-indol-3-yl)(naphthalen-1-yl)methanone H ethyl H
JWH-073 (1-butyl-1H-indol-3-yl)(naphthalen-1-yl)methanone H butyl H
JWH-073 (4-methylnaphtyl) (JWH-122 N-butyl analogue) (1-butyl-1H-indol-3-yl)(4-methylnaphthalen-1-yl)methanone methyl butyl H
JWH-081 (4-methoxynaphthalen-1-yl)(1-pentyl-1H-indol-3-yl)methanone methoxy pentyl H
JWH-098 (4-methoxynaphthalen-1-yl)(2-methyl-1-pentyl-1H-indol-3-yl)methanone methoxy pentyl methyl
JWH-116 (2-ethyl-1-pentyl-1H-indol-3-yl)(naphthalen-1-yl)methanone H pentyl ethyl
JWH-122 (4-methoxynaphthalen-1-yl)(1-pentyl-1H-indol-3-yl)methanone methyl pentyl H
JWH-122 (5-fluoropentyl) (MAM2201) [1-(5-fluoropentyl)-1H-indol-3-yl](4-methylnaphthalen-1-yl)methanone methyl 5-fluoropentyl H
JWH-149 (2-methyl-1-pentyl-1H-indol-3-yl)(4-methylnaphthalen-1-yl)methanone methyl pentyl methyl
JWH-182 (1-pentyl-1H-indol-3-yl)(4-propylnaphthalen-1-yl)methanone propyl pentyl H
JWH-193 (4-methylnaphthalen-1-yl){1-[2-(morpholin-4-yl)ethyl]-1H-indol-3-yl}methanone methyl 2-(morpholin-4-yl)ethyl H
JWH-198 (4-methoxynaphthalen-1-yl){1-[2-(morpholin-4-yl)ethyl]-1H-indol-3-yl}methanone methoxy 2-(morpholin-4-yl)ethyl H
JWH-200 {1-[2-(morpholin-4-yl)ethyl]-1H-indol-3-yl}(naphthalen-1-yl)methanone

H 2-(morpholin-4-yl)ethyl H
JWH-210 (4-ethylnaphthalen-1-yl)(1-pentyl-1H-indol-3-yl)methanone ethyl pentyl H
JWH-211 (4-ethylnaphthalen-1-yl)-(2-methyl-1-propylindol-3-yl)methanone ethyl propyl methyl
JWH-387 (4-bromonaphthalen-1-yl)(1-pentyl-1H-indol-3-yl)methanone Br pentyl H
JWH-398 (4-chloronaphthalen-1-yl)(1-pentyl-1H-indol-3-yl)methanone Cl pentyl H
JWH-412 (4-fluoronaphthalen-1-yl)(1-pentyl-1H-indol-3-yl)methanone F pentyl H
MAM-2201 [1-(5-fluoropentyl)-1H-indol-3-yl](4-methylnaphthalen-1-yl)methanone methyl 5-fluoropentyl H
Table 3:

Benzoylindoles.

Common name Chemical name R1 R2 R3 R4
AM-2233 (2-iodophenyl){1-[(1-methylpiperidin-2-yl)methyl]-1H-indol-3-yl}methanone H I (1-methylpiperidin-2-yl)methyl H
AM-679 (2-iodophenyl)(1-pentyl-1H-indol-3-yl)methanone H I pentyl H
AM-694 [1-(5-fluoropentyl)-1H-indol-3-yl](2-iodophenyl)methanone H I 5-fluoropentyl H
AM-694 (chloro) [1-(5-chloropentyl)-1H-indol-3-yl](2-iodophenyl)methanone H I 5-chloropentyl H
RCS-4 (SR-19; OBT-199; BTM-4; E-4) (4-methoxyphenyl)(1-pentyl-1H-indol-3-yl)methanone methoxy H pentyl H
RCS-4 ortho isomer (RCS-4 2-methoxyisomer) (2-methoxyphenyl)(1-pentyl-1H-indol-3-yl)methanone H methoxy pentyl H
RCS-4 butyl homolog (1-butyl-1H-indol-3-yl)(4-methoxyphenyl)methanone methoxy H butyl H
WIN 48,098 (Pravadoline) (4-methoxyphenyl)-[2-methyl-{1-[2-(morpholin-4-yl)ethyl]-1H-indol-3-yl}(naphthalen-1-yl)methanone

methoxy H 2-(morpholin-4-yl)ethyl methyl
Table 4:

Phenylacetylindoles.

Common name Chemical name R1 R2 R3 R4 R5
JWH-167 1-(1-pentyl-1H-indol-3-yl)-2-phenylethan-1-one pentyl H H H H
JWH-201 2-(4-methoxyphenyl)-1-(1-pentyl-1H-indol-3-yl)ethan-1-one pentyl H H methoxy H
JWH-203 2-(2-chlorophenyl)-1-(1-pentyl-1H-indol-3-yl)ethan-1-one pentyl Cl H H H
JWH-204 2-(2-chlorophenyl)-1-(2-methyl-1-pentyl-1H-indol-3-yl)ethan-1-one pentyl Cl H H methyl
JWH-206 2-(4-chlorophenyl)-1-(1-pentyl-1H-indol-3-yl)ethan-1-one pentyl H H Cl H
JWH-207 2-(4-chlorophenyl)-1-(2-methyl-1-pentyl-1H-indol-3-yl)ethan-1-one pentyl H H Cl methyl
JWH-208 2-(4-methylphenyl)-1-(1-pentyl-1H-indol-3-yl)ethan-1-one pentyl H H methyl H
JWH-209 1-(2-methyl-1-pentyl-1H-indol-3-yl)-2-(4-methylphenyl)ethan-1-one pentyl H H methyl methyl
JWH-237 2-(3-chlorophenyl)-1-(1-pentyl-1H-indol-3-yl)ethan-1-one pentyl H Cl H H
JWH-249 2-(2-bromophenyl)-1-(1-pentyl-1H-indol-3-yl)ethan-1-one pentyl Br H H H
JWH-250 2-(2-methoxyphenyl)-1-(1-pentyl-1H-indol-3-yl)ethan-1-one pentyl methoxy H H H
JWH-250 derivative (Cannabipiperidiethanone) 2-(2-methoxyphenyl)-1-{1-[(1-methylpiperidin-2-yl)methyl]-1H-indol-3-yl}ethan-1-one (1-methylpiperidin-2-yl)methyl methoxy H H H
JWH-251 1-(1-pentyl-1H-indol-3-yl)-2-(o-tolyl)ethan-1-one pentyl methyl H H H
JWH-253 2-(3-methoxyphenyl)-1-(2-methyl-1-pentyl-1H-indol-3-yl)ethan-1-one pentyl H methoxy H methyl
JWH-302 2-(3-methoxyphenyl)-1-(1-pentyl-1H-indol-3-yl)ethan-1-one pentyl H methoxy H H
JWH-311 2-(2-fluorophenyl)-1-(1-pentyl-1H-indol-3-yl)ethan-1-one pentyl F H H H
JWH-312 2-(3-fluorophenyl)-1-(1-pentyl-1H-indol-3-yl)ethan-1-one pentyl H F H H
JWH-316 2-(4-fluorophenyl)-1-(2-methyl-1-pentyl-1H-indol-3-yl)ethan-1-one pentyl H H F methyl
JWH-305 2-(2-bromophenyl)-1-(2-methyl-1-pentyl-1H-indol-3-yl)ethan-1-one pentyl Br H H methyl
JWH-306 2-(2-methoxyphenyl)-1-(2-methyl-1-pentyl-1H-indol-3-yl)ethan-1-one pentyl methoxy H H methyl
RCS-8 (SR-18; BTM-8) 1-(1-(2-cyclohexylethyl)-1H-indol-3-yl)-2-(2-methoxyphenyl)ethan-1-one 2-cyclohexylethyl methoxy H H H
Table 5:

Alkoylindoles.

Common name Chemical name R1 R2
A-796260 {1-[2-(morpholin-4-yl)ethyl]-1H-indol-3-yl}(2,2,3,3-tetramethylcyclopropyl)methanone 2-(morpholin-4-yl)ethyl 2,2,3,3-tetramethylcyclopropyl
A-834,735 [1-[(tetrahydro-2H-pyran-4-yl)methyl]-1H-indol-3-yl](2,2,3,3-tetramethylcyclopropyl)methanone tetrahydro-2H-pyran-4-yl methyl 2,2,3,3-tetramethylcyclopropyl
AB-001 adamantan-1-yl(1-pentyl-1H-indol-3-yl)methanone pentyl adamantan-1-yl
AB-005 [1-(1-methylpiperidin-2-yl)methyl-1H-indol-3-yl](2,2,3,3-tetramethylcyclopropyl)methanone 1-methylpiperidin-2-yl 2,2,3,3-tetramethylcyclopropyl
AM-1248 adamantan-1-yl[1-[(1-methylpiperidin-2-yl)methyl]-1H-indol-3-yl]methanone 1-methylpiperidin-2-yl methyl adamantan-1-yl
FUB-144 [1-(4-fluorophenyl)methyl-1H-indol-3-yl](2,2,3,3-tetramethylcyclopropyl)methanone (4-fluorophenyl)methyl 2,2,3,3-tetramethylcyclopropyl
UR-144 (1-pentyl-1H-indol-3-yl)(2,2,3,3-tetramethylcyclopropyl)methanone pentyl 2,2,3,3-tetramethylcyclopropyl
XLR-11 (5F-UR-144) [1-(5-fluoropentyl)-1H-indol-3-yl](2,2,3,3-tetramethylcyclopropyl)methanone 5-fluoropentyl 2,2,3,3-tetramethylcyclopropyl
XLR-12 2,2,3,3-tetramethylcyclopropyl[1-(4,4,4-trifluorobutyl)-1H-indol-3-yl]methanone 4,4,4-trifluorobutyl 2,2,3,3-tetramethylcyclopropyl
Table 6:

Indole carboxylates.

Common name Chemical name R1 R2
5F-PB-22 quinolin-8-yl 1-(5-fluoropentyl)-1H-indole-3-carboxylate 5-fluoropentyl quinolin-8-yl
BB-22 (QUCHIC) quinolin-8-yl 1-(cyclohexylmethyl)-1H-indole-3-carboxylate cyclohexylmethyl quinolin-8-yl
FDU-PB-22 naphthalen-1-yl 1-[(4-fluorophenyl)methyl]-1H-indole-3-carboxylate (4-fluorophenyl)methyl naphthalen-1-yl
FUB-PB-22 quinolin-8-yl 1-[(4-fluorophenyl)methyl]-1H-indole-3-carboxylate (4-fluorophenyl)methyl quinolin-8-yl
NM-2201 (CBL-2201) naphthalen-1-yl 1-(5-fluoropentyl)-1H-indole-3-carboxylate 5-fluoropentyl naphthalen-1-yl
PB-22 (QUPIC) quinolin-8-yl 1-pentyl-1H-indole-3-carboxylate pentyl quinolin-8-yl
Table 7:

Indole carboxamides.

Common name Chemical name R1 R2
5F-CUMYL-PICA 1-(5-fluoropentyl)-N-(2-phenylpropan-2-yl)-1H-indole-3-carboxamide 5-fluoropentyl 2-phenylpropan-2-yl
5F-NNEI (5F-MN24) 1-(5-fluoropentyl)-N-(naphthalen-1-yl)-1H-indole-3-carboxamide 5-fluoropentyl naphthalen-1-yl
AB-BICA N-(1-amino-3-methyl-1-oxobutan-2-yl)-1-benzyl-1H-indole-3-carboxamide benzyl 1-amino-3-methyl-1-oxobutan-2-yl
AB-CHMICA N-(1-amino-3-methyl-1-oxobutan-2-yl)-1-(cyclohexylmethyl)-1H-indole-3-carboxamide cyclohexylmethyl 1-amino-3-methyl-1-oxobutan-2-yl
AB-FUBICA N-(1-amino-3-methyl-1-oxobutan-2-yl)-1-[(4-fluorophenyl)methyl]-1H-indole-3-carboxamide (4-fluorophenyl)methyl 1-amino-3-methyl-1-oxobutan-2-yl
ADBICA N-(1-amino-3,3-dimethyl-1-oxobutan-2-yl)-1-pentyl-1H-indole-3-carboxamide pentyl 1-amino-3,3-dimethyl-1-oxobutan-2-yl
ADB-BICA N-(1-amino-3,3-dimethyl-1-oxobutan-2-yl)-1-benzyl-1H-indole-3-carboxamide benzyl 1-amino-3,3-dimethyl-1-oxobutan-2-yl
ADB-FUBICA N-(1-amino-3,3-dimethyl-1-oxobutan-2-yl-1)-[(4-fluorophenyl)methyl]-1H-indole-3-carboxamide (4-fluorophenyl)methyl 1-amino-3,3-dimethyl-1-oxobutan-2-yl
CUMYL-BICA 1-butyl-N-(2-phenylpropan-2-yl)-1H-indole-3-carboxamide butyl 2-phenylpropan-2-yl
CUMYL-PICA 1-pentyl-N-(2-phenylpropan-2-yl)-1H-indole-3-carboxamide pentyl 2-phenylpropan-2-yl
5F-SDB-006 N-benzyl-1-(5-fluoropentyl)-1H-indole-3-carboxamide 5-fluoropentyl benzyl
MDMB-CHMICA (MMB-CHMINACA) methyl (2S)-2-[1-(cyclohexylmethyl)-1H-indole-3-carboxamido]-3,3-dimethylbutanoate cyclohexylmethyl methyl 3,3-dimethylbutanoate (2S substituted)
MDMB-FUBICA (2S)-2-[1-(4-fluorophenyl)methyl]-1H-indole-3-carboxamido-3,3-dimethylbutanoate (4-fluorophenyl)methyl methyl 3,3-dimethylbutanoate (2S substituted)
MMB-2201 methyl [1-(5-fluoropentyl)-1H-indole-3-carbonyl]-L-valinate 5-fluoropentyl methyl L-valinate (N-substituted)
MMB-FUBICA methyl N-{1-[(4-fluorophenyl)methyl]-1H-indole-3-carbonyl}-L-valinate (4-fluorophenyl)methyl methyl L-valinate (N-substituted)
NNEI (MN24) N-(naphthalen-1-yl)-1-pentyl-1H-indole-3-carboxamide pentyl naphthalen-1-yl
PX-1 (5F-APP-PICA; SRF-30) N-(1-amino-1-oxo-3-phenylpropan-2-yl)-[1-(5-fluoropentyl)-1H-indole]-3-carboxamide 5-fluoropentyl 1-amino-1-oxo-3-phenylpropan-2-yl
SDB-001 (APICA; 2-NEI) N-(adamantan-1-yl)-1-pentyl-1H-indole-3-carboxamide pentyl adamantan-1-yl
SDB-006 N-benzyl-1-pentyl-1H-indole-3-carboxamide pentyl benzyl
STS-135 N-(adamantan-1-yl)-1-(5-fluoropentyl)-1H-indole-3-carboxamide 5-fluoropentyl adamantan-1-yl

The naming of SC compounds is not harmonized and several conventions are utilized. Initially, each series was typically named with a two- or three-letter abbreviation associated with the laboratory in which they were synthesized, followed by a three- or four-figure number identifying them within that series. For example, JWH-018 was synthesized in the laboratory of John W. Huffman (“JWH”) of Clemson University, and CP 47,497 was synthesized by Pfizer (“CP”, for Charles Pfizer). However, XLR-11 is a type of rocket engine from the 1960s and AKB48 is a Japanese female band [9]. As more compounds began to appear on the market, naming conventions shifted in a new direction; authors of literature in this area gravitated towards use of the formal IUPAC nomenclature, with abbreviated common names derived from the IUPAC name. For example, the name ADB-FUBINACA is based on the chemical name N-(1-amino-3,3-dimethyl-1-oxobutan-2-yl)-1-(4-fluorobenzyl)-1H-indazole-3-carboxamide [15]. It should be noted that the common name of a compound may or may not be related to the structure or IUPAC chemical name and one compound may be referred to by different names; for example, ADB-CHMINACA is also termed MAB-CHMINACA. Along with changes in the chemical structures of SCs and naming conventions came an ever-increasing degree of potency with respect to the new classes’ ability to bind to and activate the cannabinoid receptors [14].

3 Synthetic cannabinoids classification

Delineated in Tables 18 are the common and IUPAC names as well as the chemical structures of a number of SCs. The substances listed in the Tables are representative compounds of the associated chemical subclass and were selected because they were reported in the scientific literature or have been identified as recreational drugs.

Table 8:

Indazole carboxamides.

Common name Chemical name R1 R2
5F-AB-PINACA N-(1-amino-3-methyl-1-oxobutan-2-yl)-1-(5-fluoropentyl)-1H-indazole-3-carboxamide 5-fluoropentyl 1-amino-3-methyl-1-oxobutan-2-yl
5F-ADB methyl 2-[1-(5-fluoropentyl)-1H-indazole-3-carboxamido]-3,3-dimethylbutanoate 5-fluoropentyl methyl 3,3-dimethylbutanoate (2S substituted)
5F-ADB-PINACA N-(1-amino-3,3-dimethyl-1-oxobutan-2-yl)-[1-(5-fluoropentyl)-1H-indazole]-3-carboxamide 5-fluoropentyl 1-amino-3,3-dimethyl-1-oxobutan-2-yl
5F-AEB (5F-EMB-PINACA) ethyl N-[1-(5-fluoropentyl)-1H-indazole-3-carbonyl]-L-valinate 5-fluoropentyl ethyl L-valinate (N-substituted)
5F-AMB methyl N-[1-(5-fluoropentyl)-1H-indazole-3-carbonyl]-L-valinate 5-fluoropentyl methyl L-valinate (N-substituted)
5F-CUMYL-PINACA [1-(5-fluoropentyl)-N-(2-phenylpropan-2-yl)-1H-indazole]-3-carboxamide 5-fluoropentyl 2-phenylpropan-2-yl
AB-CHMINACA N-(1-amino-3-methyl-1-oxobutan-2-yl)-1-(cyclohexylmethyl)-1H-indazole-3-carboxamide cyclohexylmethyl 1-amino-3-methyl-1-oxobutan-2-yl
AB-FUBINACA N-(1-amino-3-methyl-1-oxobutan-2-yl)-1-[(4-fluorophenyl)methyl]-1H-indazole-3-carboxamide (4-fluorophenyl)methyl 1-amino-3-methyl-1-oxobutan-2-yl
AB-PINACA N-(1-amino-3-methyl-1-oxobutan-2-yl)-1-pentyl-1H-indazole-3-carboxamide pentyl 1-amino-3-methyl-1-oxobutan-2-yl
ADB-BINACA N-(1-amino-3,3-dimethyl-1-oxobutan-2-yl)-1-benzyl-1H-indazole-3-carboxamide benzyl 1-amino-3,3-dimethyl-1-oxobutan-2-yl
ADB-CHMINACA (MAB-CHMINACA) N-(1-amino-3,3-dimethyl-1-oxobutan-2-yl)-1-(cyclohexylmethyl)-1H-indazole-3-carboxamide cyclohexylmethyl 1-amino-3,3-dimethyl-1-oxobutan-2-yl
ADB-FUBINACA N-(1-amino-3,3-dimethyl-1-oxobutan-2-yl)-1-[(4-fluorophenyl)methyl]-1H-indazole-3-carboxamide (4-fluorophenyl)methyl 1-amino-3,3-dimethyl-1-oxobutan-2-yl
ADB-PINACA N-(1-amino-3,3-dimethyl-1-oxobutan-2-yl)-1-pentyl-1H-indazole-3-carboxamide pentyl 1-amino-3,3-dimethyl-1-oxobutan-2-yl
AKB48 (APINACA) N-(adamantan-1-yl)-1-pentyl-1H-indazole-3-carboxamide pentyl adamantan-1-yl
AMB methyl N-[1-pentyl-1H-indazole-3-carbonyl]-L-valinate pentyl methyl L-valinate (N-substituted)
CUMYL-THPINACA N-(2-phenylpropan-2-yl)-1-[(oxan-4-yl)methyl]-1H-indazole-3-carboxamide (oxan-4-yl)methyl 2-phenylpropan-2-yl
EMB-FUBINACA ethyl N-{1-[(4-fluorophenyl)methyl]-1H-indazole-3-carbonyl}-L-valinate (4-fluorophenyl)methyl ethyl L-valinate (N-substituted)
FUB-AKB48 (FUB-APINACA) N-(adamantan-1-yl)-1-[(4-fluorophenyl)methyl]-1H-indazole-3-carboxamide (4-fluorophenyl)methyl adamantan-1-yl
MA-CHMINACA methyl N-[1-(cyclohexylmethyl)-1H-indazole-3-carbonyl]-L-valinate cyclohexylmethyl methyl L-valinate (N-substituted)
MDMB-CHMINACA methyl 2-[1-(cyclohexylmethyl)-1H-indazole-3-carboxamido]-3,3-dimethylbutanoate cyclohexylmethyl methyl 3,3-dimethylbutanoate (2S-substituted)
MDMB-FUBINACA methyl 2-[1-[(4-fluorophenyl)methyl]-1H-indazole-3-carboxamido]-3,3-dimethylbutanoate (4-fluorophenyl)methyl methyl 3,3-dimethylbutanoate (2S-substituted)
MMB-FUBINACA methyl N-{1-[(4-fluorophenyl)methyl]-1H-indazole-3-carbonyl}-L-valinate (4-fluorophenyl)methyl methyl L-valinate (N-substituted)
PX-2 N-(1-amino-1-oxo-3-phenylpropan-2-yl)-1-(5-fluoropentyl)-1H-indazole-3-carboxamide 5-fluoropentyl 1-amino-1-oxo-3-phenylpropan-2-yl
PX-3 (APP-CHMINACA) N-(1-amino-1-oxo-3-phenylpropan-2-yl)-1-(cyclohexylmethyl)-1H-indazole-3-carboxamide cyclohexylmethyl 1-amino-1-oxo-3-phenylpropan-2-yl
THJ 1-pentyl-N-(quinolin-8-yl)-1H-indazole-3-carboxamide pentyl quinolin-8-yl

The cyclohexylphenol cannabinoids (Table 1) are bicyclic derivatives of classical cannabinoids, such as Δ9-THC. The aliphatic side chain has been the most widely modified moiety, spanning from 6 to 9 carbon atoms in length.

Naphthoylindoles (Table 2) represent the prototypical “first generation” SCs and were identified in many herbal products. The effect of substituting at position R1 on the naphthyl moiety has been investigated by replacing the H-atom with an alkyl or methoxy substituent. The indole core has also undergone extensive chemical manipulation, specifically at the R2 position, including the addition of varying length alkyl chains and halogenated alkyl chains, and the introduction of rings including piperidine, azepane and morpholine.

Newer compounds identified were the result of modifying the molecule by replacing the naphthoyl moiety with a number of aromatic (benzoyl, Table 3; phenylacetyl, Table 4) and non-aromatic (alkoyl, Table 5; carboxylate, Table 6; carboxamide, Table 7) groups, creating multiple analogues with various substitutions. Furthermore, heteroaromatic core groups have recently substituted the indole core, the most prevalent being indazole (Table 8).

This denotes the near-endless possibilities for developing cannabimimetic NPS, and poses the challenge of monitoring chemical, pharmacological, forensic, and regulative aspects of such a heterogeneous class of compounds.

Other indole-type SCs not described in the above tables include: piperazoyl indoles (e.g. MEPIRAPIM), thiazolyl indoles (e.g. PTI-1), and naphthylmethyl indoles (e.g. JWH-175). Less common compound classes have also emerged, such as those illustrated in Fig. 3. It is expected that such classification will expand to additional chemical subclasses as chemists continuously exploit chemical versatility in designing new analogues.

Fig. 3: 
          General structures of emerging classes of synthetic cannabinoids.
Fig. 3:

General structures of emerging classes of synthetic cannabinoids.

4 Cannabinoid mechanisms and effects

Psychoactive drugs are often weak acids or bases that are lipophilic and are able to cross the blood-brain barrier (BBB). They interact with the brain’s neurotransmitter systems and thus modify the normal networking between the approximately 85 billion cerebral nerve cells.

4.1 Chemical synapses

A nerve cell (neuron) consists of a cell body and two types of protrusions: branched, short extensions (dendrites) receiving excitatory signals from neighboring cells, and a single long axon which propagates the resulting excitatory impulse over a distance. The transmission of excitatory impulses from one neuron to another occurs mainly at narrow (about 15 to 30 nm) clefts between adjacent nerve terminals, the chemical synapses [38], [39]. When an excitation wave arrives at the presynaptic terminal, neurotransmitter molecules are released, diffuse across the synaptic cleft, bind to their receptor at the postsynaptic membrane, induce a change of membrane potential, and thus propagate (or in some instances inhibit) the excitation in the postsynaptic neuron.

4.2 Cannabinoid receptors and endocannabinoids

Endocannabinoids (EC) are the natural neurotransmitters (NT) of the cannabinoid system [40], [41], [42]. The principal representatives are arachidonolyethanolamine (AEA, anandamide) and 2-arachidonoylglycerol (2-AG) [43]. These lipid mediators are biochemically synthesized from the polyunsaturated fatty acids of the postsynaptic membrane (most notably arachidonic acid).

In comparison to other neurotransmitter systems, the EC system has several peculiar features (Fig. 4). First, it acts in a retrograde manner [44], meaning that EC are released from the postsynaptic cell terminal and travel “backwards” across the synaptic cleft to the presynaptic membrane, where CB receptors are located. Second, EC do not act as the principal neurotransmitters of a synapse, but instead modulate (usually inhibit) the release of the principal neurotransmitter (e.g. GABA, glutamate, and others) of that synapse. The transmembrane receptor is coupled to a G-protein. Cannabinoid binding to the receptor induces a guanosine-triphosphate- (GTP-) dependent signal that then modulates intracellular cyclic-adenosine monophosphate (c-AMP) levels, which change transmembrane ion fluxes, resulting in the partial inhibition of presynaptic neurotransmitter release. Thereafter, the endocannabinoid molecule is either removed by a putative reuptake transporter back into the postsynaptic terminal or it is enzymatically degraded and thus inactivated. AEA is degraded by fatty acid amide hydrolase (FAAH) enzymes and 2-AG by monoacylglycerol lipase (MAGL) [45], [46].

Fig. 4: 
            Endocannabinoid pathways (blue) and drug interactions (red) in the synapse. EC, such as AEA, are formed in the postsynaptic terminal from membrane phospholipids (Step 1) and released “retrograde” into the synaptic cleft (Step 2). They are then bound to one of the cannabinoid receptors on the presynaptic membrane (Step 3). This activates intracellular signaling pathways, involving Gi (inhibitory G-protein) and cyclic-adenosine monophosphate (c-AMP), and modifies ion channels (K+, Ca++). Finally, the release of the principal NT from the presynaptic membrane is attenuated (Step 4). The inactivation of EC in the synaptic cleft (Steps 5–6) proceeds by either the enzyme fatty acid amide hydrolase (FAAH, cleaves AEA) or the monoacylglycerol lipase (MAGL, cleaves 2-AG), or by reuptake into a cell. Also shown are the targets of cannabinoid agonists (e.g. JWH 018), antagonists (e.g. Rimonabant), cannabinoid reuptake inhibitors (CBRI), and FAAH inhibitors.
Fig. 4:

Endocannabinoid pathways (blue) and drug interactions (red) in the synapse. EC, such as AEA, are formed in the postsynaptic terminal from membrane phospholipids (Step 1) and released “retrograde” into the synaptic cleft (Step 2). They are then bound to one of the cannabinoid receptors on the presynaptic membrane (Step 3). This activates intracellular signaling pathways, involving Gi (inhibitory G-protein) and cyclic-adenosine monophosphate (c-AMP), and modifies ion channels (K+, Ca++). Finally, the release of the principal NT from the presynaptic membrane is attenuated (Step 4). The inactivation of EC in the synaptic cleft (Steps 5–6) proceeds by either the enzyme fatty acid amide hydrolase (FAAH, cleaves AEA) or the monoacylglycerol lipase (MAGL, cleaves 2-AG), or by reuptake into a cell. Also shown are the targets of cannabinoid agonists (e.g. JWH 018), antagonists (e.g. Rimonabant), cannabinoid reuptake inhibitors (CBRI), and FAAH inhibitors.

SCs compete with endogenous endocannabinoids at CB receptor sites. The prevailing receptors are CB1 and CB2 [47]; however, a number of additional receptors, such as the transient receptor potential vanilloid type 1 (TRPV1) and G protein-coupled receptor 55 (GPR55), exist. The CB1 receptor is strongly expressed in the brain and is responsible for the psychotropic effects of marijuana; CB2 is a peripheral receptor expressed in the immune system, the brain, and in gastrointestinal and other organ systems. TRPV1 is located in the free nerve endings of pain receptors and involved in pain perception [48]. GPR55 has a role in energy metabolism. Increasingly, one or more of these cannabinoid receptors have been identified in other organ systems, including the cardiovascular, reproductive, and respiratory systems. In the endogenous system, AEA is a main ligand of CB1, whereas 2-AG is a principal ligand of CB2 [43]. It is recognized that the affinity of a cannabinoid to a specific CB receptor type is related to the strength and pattern of the effect. Due to the complexity of these interactions, it is difficult to identify the principal target of a cannabinoid and to predict the clinical effects.

4.3 Cannabinoid effects in humans

CB1 receptors are the most abundant G protein-coupled receptors in the mammalian brain. They occur at two types of synapses, GABAergic synapses, which are inhibitory, and glutamatergic synapses, which are excitatory. The activation of one or the other receptor populations may conceivably evoke different effects [49]. Altogether, the endocannabinoid system is involved in psychotropic and somatic signaling, mood-modulation, memory-storage, pain-sensation, and appetite. In humans, common acute effects experienced by recreational consumers of cannabis plant products include: an elevated mood and/or feeling disinhibited, relaxed, sociable, and euphoric, in combination with enhanced sensation of vision, sounds, and odors. Altered perceptions of time and space are also common. Unpleasant effects include dizziness, impaired memory, and reduced coordination. Anxiety may also occur [14], [50]. Somatic signs include increased heart rate, dilated pupils, and red eyes.

SCs might be expected to exhibit effects similar to cannabis plant products; however, there are differences. While SC products tend to have one or several active ingredients, cannabis plant products contain approximately one hundred known phytocannabinoid substances, each interacting with one or more types of cannabinoid and other receptors, with some being agonistic, others being antagonistic or possibly exhibiting additional effects [51]. The major components, Δ9-THC and cannabidiol, differ in their pharmacological activities, the former having pronounced psychoactive efficiency and the latter acting as an anxiolytic and exhibiting anti-inflammatory effects. Compared to plant cannabis, SCs are more often involved in acute and sometimes fatal intoxications [52], [53]. Substance-specific differences may be caused by a higher or more selective agonistic/antagonistic affinity of SCs to cannabinoid receptors, resulting in modulations and disturbances of the neurotransmitter equilibrium in the brain [54]. Other possible causes are longer biological half-life or interaction with other functions of the brain. Moreover, when a drug is clandestinely synthesized and marketed in the absence of chemical and pharmacological control, the risks associated with overdoses, contamination (synthetic by-products), and blending with contraindicated agents increase.

Individuals intoxicated with SCs are commonly presented to emergency units with a range of life-threatening psychiatric and somatic symptoms [14]. Some adverse effects experienced by SC consumers include, but are not limited to, tachycardia, anxiety, hallucinations, suicidal thoughts, acute kidney injury and hepatotoxicity, convulsions, psychosis, and death [14], [55]. Studies revealed that some SCs induced chromosomal damage in in vitro studies [56], [57], suggesting a tumor risk in chronic consumers. Cannabinoid-specific therapeutic tools are not available for the clinical management of patients, which instead relies on reducing the severe symptoms of an individual [58].

A number of severe toxic effects and deaths have been experienced by consumers of SC-containing products on a large scale over the past few years. Several mass intoxications were reported between late 2013 and early 2015 in the United States. A large outbreak occurred in 2013 in Denver, Colorado, when more than 220 individuals were exposed to ADB-PINACA after smoking herbal blends; approximately 70 individuals reported to emergency departments [59], [60]. In Europe, MDMB-CHMICA was linked to 71 serious adverse events, 29 of which resulted in death; individuals in 8 countries were affected [61]. Multiple outbreaks also took place in Russia in 2015, resulting in 15 deaths and 600 hospitalizations; these incidents were attributed to MDMB-FUBINACA [62]. More recently, a series of 33 intoxications related to AMB-FUBINACA (MMB-FUBINACA) occurred in a New York City neighborhood in the United States [36]; these exposures were unique in that they all occurred within a one-block radius.

In many instances, no specific drug can be identified as the root cause of a drug consumer’s adverse effects; this is sometimes due to the testing laboratory’s limited analytical capabilities (e.g. lack of reference material or databases), especially with regard to novel synthetic drugs, or to the short half-life of the substance(s) of interest. Another factor in determining the causative agent is inaccuracy in the details provided by the patient (e.g. material consumed). Some patient reports are likely to be flawed and symptoms may be attributable to a non-SC substance. In other instances, multi-agent exposures occur in which the effects experienced by drug users cannot be linked to a single compound, especially when multiple drugs exhibit similar effects [63].

There is some concern about unwanted developmental effects. Endocannabinoids have a role in the development of the neuronal system [64]; there is some evidence that prenatal cannabinoid exposure might influence the mental health of the child [65] and that cannabis exposure in adolescence might be associated with later psychiatric problems [51], [66].

Reward experiments, such as self-administration of addictive drugs by laboratory animals [67], suggest that dependency phenomena originate in the midbrain pathway that connects brain areas involved in “reward” anticipation and emotion. The brain adapts in a way such that increased cannabinoid levels are recognized as “normal”, possibly mediated by a reduction of CB receptor density, feedback inhibition, or other mechanisms of neuronal plasticity. Symptoms of withdrawal from SCs include agitation, irritability, anxiety, and mood changes [68]. At the present time, no specific therapeutic approaches to reduce withdrawal symptoms are available.

Though historically banned, many countries have recently taken measures to make natural cannabis products available for patients to relieve symptoms of various diseases [69]. At the same time, the search for more specifically-acting, therapeutically useful SCs continues. Among the new developments are synthetic agonists and antagonists that selectively bind to the various cannabinoid receptor types; at the same time, agents that interact with endocannabinoid synthesis, reuptake, and degradation are also being developed [45]. There is evidence that such new drugs may become useful in the treatment of pain and neuro-psychiatric disorders. Substances that interact specifically with CB2, but not with CB1, are expected to be therapeutically useful without being psychoactive [14]. The goal is that such new pharmaceuticals, designed to optimize parameters such as receptor-specificity, target organ, and half-life, may bring therapeutic advantages in various disorders, such as cancer, epilepsy, traumatic brain injury, glaucoma, diabetes, digestive disease, and immunological disorders [69], without exhibiting unwanted effects.

4.4 Tests for pharmacological spectrum

A hierarchy of assays allows researchers to determine whether a substance has cannabimimetic properties [70]. A common procedure is to measure the binding affinity (Ki) of a SC for a specific receptor; this involves the incubation of isolated CB1 and/or CB2 receptors with a predetermined fixed concentration of radiolabeled cannabinoid ([3H] CP 55,490) [71]. The compound of interest is then added at increasing concentrations and allowed to compete with the radioligand for binding. As the concentration of unlabeled ligand is increased, the amount of radioligand that binds to the receptor decreases, allowing one to estimate the binding affinity once the inhibitory concentration (the concentration of unlabeled ligand necessary to displace 50% of the radioligand) is determined using the Cheng-Prusoff equation [72]. A small Ki value represents a stronger receptor binding affinity, while a larger Ki represents a weaker affinity of an analyte for a receptor.

In most SC studies, binding affinity is determined relative to Δ9-THC; for example, Δ9-THC at CB1, Ki: 41 nM; JWH-018 at CB1, Ki: 9.0 nM, demonstrating that JWH-018 binds more strongly to this receptor. Such Ki values may differ depending on the animal or human receptor model used. This type of assay does not allow one to decide whether a substance is an agonist or antagonist; therefore, supplementary tests are required [14]. Only agonists would be expected to activate the G-protein-mediated signaling pathway. An early step of this pathway can be studied employing radiolabeled GTP and a subsequent step can be assessed with additional methods, such as a calcium mobilization test [73]. Electrophysiological studies on brain slices and cultured neurons elucidate effects on the excitation-propagation level [74]. The measurement of neurotransmitter levels in brain dialysate of rodents helps to identify effects in the whole brain [75]. Thus, dopamine elevation in the brain’s nucleus accumbens region suggest that the “reward” system is involved [76], [77]. Radiosynthesis of cannabinoid analogues for PET-imaging has also been conducted [78]. Finally, the mouse tetrad-test is an established system to investigate cannabinoid-characteristic effects in the mouse. It includes induced hypothermia, reduced motor activity, decreased reaction to pain stimuli, and catalepsy [79]. Additionally, it has been reported that Δ9-THC and JWH-018 induce seizures by acting through the CB1 receptor in mice, recorded by electroencephalography and videography [80]. The disappearance of cannabinoid-associated effects upon concomitant administration of a CB-receptor antagonist would suggest a cannabinoid-specific effect. Though these assays are helpful to classify a suspected substance as a cannabinoid, they usually do not provide information about additional substance-specific effects via interaction with other receptor systems.

4.5 Structure-activity relationships (SAR) of synthetic cannabinoids

Membrane receptors are proteins stretching across the cell membrane with a ligand-binding site on the extracellular surface. Depending on receptor type, ligand binding induces either the opening of an ion channel or an intracellular signaling cascade. The specificity of a neurotransmitter for its receptor is dictated by the tertiary structure of the binding pocket, its size, and lipophilic and hydrophilic environments. While endogenous neurotransmitters and NPS may behave similarly on the receptor-level, there are also differences. Endogenous neurotransmitters are released on neuronal demand, confined to the small synaptic space, as part of a coordinated neuronal network [81]. In contrast, SCs may bypass such temporal and spatial barriers.

After the detection of a cannabinoid receptor was reported in 1990, the search for synthetic substances that interact with the receptor began and additional cannabinoid receptors were identified [82]. Initially, compounds similar in their fundamental structure to Δ9-THC were studied [47]. Later, new classes of synthetic compounds were investigated [83]. The comparison of receptor binding characteristics and pharmacological effects provided SAR information for classical cannabinoids [47] and SCs, the latter of which often exhibited stronger pharmacological effects [83].

Apart from the described competitive binding, allosteric binding to the receptor [84] may induce conformational changes of the receptor, resulting in the modulation of the downstream signal pathway. Recent advances in defining the crystal structure of CB1 will help to further elucidate these SAR [85], [86].

An example of some aspects of SAR for indole-based SCs that have been thoroughly reported [87] is presented here. The basic structure, naphthoyl indole, and the relevant residue positions are shown in Fig. 5. Earlier studies established intriguing SAR features [88], [89], [90]; a group larger than methyl at position 2 (R1) of the indole moiety significantly decreased potency (unsubstituted analogues are slightly more potent than their methylated counterparts) and a bicyclic aroyl group (e.g. naphthoyl) at position 3 was essential for potency. Moreover, extensive synthetic procedures with parallel biological evaluation led to the conclusion that an aminoalkyl group attached to the indole ring at the nitrogen position was not essential for CB activity. This led to the exploration of a set of indole side chains at positions R and R1, including alkyl (particularly pentyl) and fluoroalkyl [91], [92], [93]. The fluoroalkyl version of JWH-018, synthetic cannabinoid AM-2201, was evaluated and determined to be more potent than JWH-018, demonstrating the impact of the presence of fluorine on binding affinity [94]. Optimal affinity for CB1 receptors was found in the presence of an n-pentyl group as the R group (Fig. 5), the potency decreasing with shorter (3 or less carbons long) or longer (6 or longer carbons long) chains. The exchange of the naphthoyl-group for a 4-methoxy-1-naphthoyl group at position 3 of the indole ring increased the CB1 receptor affinity; however, the 4-ethoxy derivatives were less potent.

Fig. 5: 
            Generic structure of indole-based synthetic cannabinoids (adapted from [87]).
Fig. 5:

Generic structure of indole-based synthetic cannabinoids (adapted from [87]).

Moderate or very low affinity was observed in the 1-alkyl-3-(2-methoxy-1-naphthoyl) analogues, suggesting that a substitution at position 2 of the naphthoyl moiety is less likely to induce strong receptor binding [87]. Similar considerations exist for the 6-methoxy-substitution on the naphthoyl ring, the only exception being the 6-methoxy-derivatives bearing a n-pentyl chain on the indole ring, which still preserve a good affinity for CB1 [87]. The introduction of a methyl group in position 7 of the naphthoyl ring did not appear to perturb the affinity towards both CB1 and CB2 receptors, whereas a decrease in affinity for both CB receptors was observed for the 7-ethyl-1-naphthoyl derivatives. The 7-methoxy-1-naphthoyl series did not retain good affinity for either receptor [87]. A study directed towards the development of CB2-selective agonists highlighted the fact that the substitution of the n-pentyl group in the indole-side chain with an n-propyl group was essential for increasing the CB2/CB1 affinity ratio. A high ratio demonstrates an analyte’s preference for the CB1 receptor and a higher potential for recreational use. As previously described, the n-pentyl substitution at position R of the indole ring is the lead side-chain for high CB1 affinity. It is thus not surprising that most SCs on the market contain either an n-pentyl or a 5-fluoropentyl substitution to maximize their psychoactive effects. 4-Alkyl-1-naphthoyl analogues generally increase CB1 and CB2 affinities up to a propyl chain, while butyl analogues disrupt such an effect.

SAR investigations provide invaluable information to forensic toxicologists wishing to evaluate bioassays for NPS or for cannabinoid researchers interested in designing new relevant analogues [95], [96]. Most of these compounds do not progress in pre-clinical or clinical research due to their psychoactivity or toxicity; on the other hand, clandestine drug manufacturers frequently evaluate these compounds to identify potential candidates for sale and distribution for recreational purposes. Besides the naphthoylindoles SC class, SAR studies have been reported on other classes, including valinate and tert-leucinate SCs, and indole and indazole carboxamide SCs [97], [98], [99].

5 Metabolism of synthetic cannabinoids

The metabolism of ingested drugs generally proceeds in two enzymatic steps, known as Phase I and Phase II. In Phase I biotransformation, the drug molecule undergoes structural modifications, commonly via oxidation, resulting in a hydroxylated or carboxylated metabolite. In the subsequent Phase II, the oxidized molecule is often conjugated with glucuronic acid or sulfate, generally at the site of the newly introduced hydroxyl or carboxyl groups. The resulting conjugates are more water soluble, usually exhibit reduced or negligible pharmacological activity, and are readily eliminated via urine or bile. The liver has the highest drug-metabolizing activity [100], but some activity is also present in other organs, notably the intestine, kidney, and lung [15].

Most SC metabolism studies have been conducted via in vitro human liver microsome (HLM) or via human hepatocyte incubations [15]. HLM are rich in drug-metabolizing enzymes of the liver, such as Phase I Cytochrome P450 (CYP450) enzymes, carboxylesterase (CES) enzymes, and Phase II UDP-glucuronosyltransferase (UGT) enzymes. There are, in general, inter-individual variations in the presence and activity of human liver enzymes in vivo; in laboratory experiments, this issue is overcome through the use of pooled HLM, which are typically composed of material from 50 or more donors [101]. While HLM are an effective matrix for metabolism determination studies, human hepatocytes are superior to HLM, allowing for a better simulation of the human liver environment. Some hepatocyte studies were accompanied by HLM incubation to determine metabolic clearance of the analytes of interest, as well as the application of the method to authentic human urine samples for the determination of the most appropriate biomarkers for analytical drug screening [102], [103], [104], [105].

Metabolite prediction software, including MetabolitePilot™, MetaboLynx™ and MetaSite™, has been used in metabolism determination studies to facilitate the identification of expected metabolites. While some functions differ between programs, there are many similarities. Some features of the software include entering the structure of the parent compound of interest and pre-selecting the most probable biotransformation sites on the molecule to facilitate metabolite elucidation. CYP enzyme activity at various sites on the substrate molecule and expected metabolites formed in various human tissues, i.e. liver, brain, lungs, and skin, is taken into consideration [15]. A likelihood score is calculated based on metabolites tentatively identified during mass spectrometry analysis of incubation samples. This type of software is especially useful for data processing, as it helps guide researchers through the metabolite structure elucidation procedure.

In general, there are two primary Phase I metabolic pathways observed for SCs. The first is hydroxylation (primarily monohydroxylation) that may occur at various sites on the molecule, but predominantly along the aliphatic side chains. This hydroxylation is often followed by oxidation to the corresponding carboxylic acid [15]. Figure 6 shows the major biotransformation pathways of AB-FUBINACA and of JWH-018, including major hydroxylated and carboxylated metabolites and glucuronides. Care must be taken when developing analytical methods to identify SC metabolites; many compounds, for example XLR-11 and UR-144 (Table 5), share metabolites, as these two parent molecules are structurally related. XLR-11 is the fluorinated analogue of UR-144. Fluorinated SCs commonly undergo enzymatic defluorination during metabolism; it is crucial to screen for metabolites that are specific to the molecule of interest and are not shared with another SC [102], [104]. SCs that are substituted with fluorobenzyl (e.g. AB-FUBINACA, ADB-FUBINACA, FUB-PB-22) in the core structure do not commonly undergo biotransformation on that site of the molecule, but on other portions of the molecule [108], [109].

Fig. 6: 
          Chemical structures and metabolic pathways of AB-FUBINACA and JWH-018; AB-FUBINACA (1) AB-FUBINACA-COOH, (2) AB-FUBINACA monohydroxy (3), AB-FUBINACA-COOH glucuronide (4), AB-FUBINACA monohydroxy glucuronide (5), JWH-018 (6) JWH-018 N-(4-hydroxypentyl) (7), JWH-018 N-(5-hydroxypentyl) (8), JWH-018 N-pentanoic acid (9), JWH-018 N-(4-hydroxypentyl) glucuronide (10), JWH-018 N-(5-hydroxypentyl) glucuronide (11), JWH-018 N-pentanoic acid glucuronide (12). CES, Carboxylesterase; CYP, Cytochrome P450; GA, glucuronic acid; UGT, Uridine 5′-diphospho-glucuronosyltransferase. AB-FUBINACA pathway: see [106]; JWH-018 pathway: see [107].
Fig. 6:

Chemical structures and metabolic pathways of AB-FUBINACA and JWH-018; AB-FUBINACA (1) AB-FUBINACA-COOH, (2) AB-FUBINACA monohydroxy (3), AB-FUBINACA-COOH glucuronide (4), AB-FUBINACA monohydroxy glucuronide (5), JWH-018 (6) JWH-018 N-(4-hydroxypentyl) (7), JWH-018 N-(5-hydroxypentyl) (8), JWH-018 N-pentanoic acid (9), JWH-018 N-(4-hydroxypentyl) glucuronide (10), JWH-018 N-(5-hydroxypentyl) glucuronide (11), JWH-018 N-pentanoic acid glucuronide (12). CES, Carboxylesterase; CYP, Cytochrome P450; GA, glucuronic acid; UGT, Uridine 5′-diphospho-glucuronosyltransferase. AB-FUBINACA pathway: see [106]; JWH-018 pathway: see [107].

The second major metabolic route is through hydrolysis of compounds with amide or ester functional groups to carboxylic acid metabolites. This process of metabolism is typically facilitated by various hydrolases, including CES enzymes and/or amidase enzymes [108], [110], [111]. In these specific biotransformations, CYP enzymes are not the primary agents involved with the production of the major metabolites. In multiple studies, microsome incubations were performed in the presence and absence of NADPH-regenerating solution (which activates the CYP enzymatic activity). In the reactions without NADPH, the major metabolites identified were carboxylated hydrolysis products; in some instances, metabolites were identified that were hydrolysis products that were also hydroxylated.

Hydroxylated and carboxylated metabolites often undergo subsequent metabolism via Phase II processes in which they are conjugated with glucuronic acid facilitated by UGT enzymes (Fig. 6). SCs are excreted in urine predominantly as glucuronic acid conjugates [112].

Many hydroxylated metabolites of SCs exhibit pharmacological activity, binding to and activating the CB1 receptor to produce a greater biological effect than that of Δ9-THC. In a competition binding assay by Brents et al., a hydroxylated metabolite of JWH-018 produced a high binding affinity, Ki, of 2.6 nM, compared to Δ9-THC, 15.29 nM [113], [114]. Carboxylated metabolites and glucuronic acid conjugates have also been evaluated for activity, but no significant contribution to impairment can be inferred, as these molecules either do not bind to the receptor or act as antagonists rather than agonists [113], [114].

6 Forensic investigation of synthetic cannabinoids

6.1 Analysis of non-biological matrices

Non-biological matrices that have been analyzed for the presence of SCs include herbal blends, bulk powders, liquids, and capsules [9], [115]. These materials are generally submitted by law enforcement personnel and legal representatives to forensic laboratories for investigative purposes. Cases of interest include drug possession and trafficking seizures, mass intoxication, and death investigations [36], [116], [117]. Many small-scale seizures (a few grams of material) take place when materials are discovered by police officers when individuals are stopped while driving; large-scale seizures (many kilograms) often occur when clandestine laboratories are discovered, or when materials were confiscated by customs and border control agencies following attempts to import and export substances [14], [116], [118]. When adverse events and deaths occur, material found in the possession of the individual(s) of interest is commonly collected and analyzed to determine if the compounds identified in the products were a contributing factor. This type of information is very important to death investigators and forensic toxicologists [36], [117].

Sample preparation for analysis of non-biological materials is highly dependent on the type of instrumentation that will be used for identification and quantitation purposes. The most common means of qualitative analysis of SCs in the forensic chemistry laboratory is Gas Chromatography-Mass Spectrometry (GC-MS), while quantitation is typically performed using Liquid Chromatography-Tandem Mass Spectrometry (LC-MS/MS). GC-MS is most commonly employed for the identification of unknown compounds. Since volatile solvents are needed for GC-MS analyses, the matrix (e.g. powder, plant material) is commonly dissolved or soaked in a solvent and sonicated, followed by liquid-liquid extraction. For molecules with certain functional groups (e.g. hydroxyl), derivatization is sometimes needed as a preliminary step for instrumental analysis to enhance the detection signal [118], [119]. LC-MS/MS analysis requires that drugs are extracted into a suitable solvent, followed by either a chromatographic process or direct infusion into the mass spectrometer. For the confirmation and quantification of SCs, LC-MS/MS is generally used: the precursor ion is isolated and fragmented and product ion spectra are obtained. This provides a superior level of specificity relative to instruments with a single mass analyzer, e.g. GC-MS.

When elucidating the structure of an unknown SC, it is essential to use multiple analytical tools, as each type of instrumentation provides unique information about the molecule(s). The data from each technique can be combined systematically to provide complete structural information. A case study was reported for the evaluation of two samples seized by Belgian customs authorities, originating from China and labeled “white pigments”. The samples were first analyzed by GC-MS and Fourier Transform-Infrared (FT-IR) spectroscopy. The samples were subsequently analyzed in a specialized laboratory, where the characterization was completed. Using Nuclear Magnetic Resonance (NMR), high-resolution tandem mass-spectrometry (HR-MS/MS) and Raman spectrometry, the SCs 5-fluoro AMB and PX-3 (APP-CHMINACA) were identified [120].

A number of studies were performed in which the amount of SCs present in the botanical material was quantified; overall, these results showed that there are often large variations in the concentrations of analyte between packages. The ranges reported were as follows: 1.09 to 210.90 mg/g (46 products evaluated), 3.65 to 340 mg/g (20 packages evaluated), and 1 to 120 mg/g (9 products evaluated) [62], [121], [122]. Additional studies on over 140 packets of herbal products revealed that some were counterfeit, containing no SCs, while others included substances that were not SCs, including Δ9-THC, cannabinol, nicotine, and O-desmethyltramadol. Additionally, identically-named packages purchased weeks apart contained different substances [123]. Results such as these demonstrate the lack of consistency in the contents of these products, the absence of quality control, and the inherent risk involved with consuming these materials.

6.2 Analysis of biological matrices

The ability to detect and quantify SCs in biological samples is essential in both clinical and forensic toxicology. Analyses in these fields include testing samples collected from patients in hospitals after intoxication events; workplace, sports doping, probation, and parole drug testing; forensic psychiatry facilities; samples collected from those driving under the influence of drugs (DUID); and post-mortem evaluations. In order for analytical laboratories to develop methods for the analysis of SCs in biological specimens, data from metabolism studies and in vivo analyses must be used to evaluate the distribution and excretion profiles of the substances when ingested [124]. A gap still exists, however, since the metabolism profiles of many classes of SCs and substances identified in non-biological materials have yet to be determined. Additionally, instrument sensitivity plays an important role in the development of laboratory tests, as many SCs are frequently present at sub-nanogram concentrations in authentic biological samples. Another challenge faced by laboratories is the fact that SCs are not detected in traditional drug screens. As a result, in many instances the substance(s) contributing to impairment are not identified during the screening process [15]. Many laboratories cannot bear the expense of purchasing parent and metabolite reference material to maintain screening panels that include the most recent compounds. Detailed evaluations also include determining the typical range of concentrations of analytes and their metabolites in various matrices, including urine, blood, serum, oral fluid, hair, and tissues, depending on the purpose of the testing. Analyte stability is an important consideration when developing analytical methods for SCs. Each method validation plan should contain a section dedicated to evaluating the short-term and long-term stability of the compounds in the matrices of interest under various storage conditions, e.g. room temperature, refrigerated, and frozen. The stability of SCs is variable between chemical classes and matrices; many compounds are generally stable in blood and urine, but often experience severe matrix effects in oral fluid and tissues, which may lead to the need for standard addition for quantitation purposes [15].

A variety of sample preparation techniques have been reported for the analysis of biological samples containing SCs; these include liquid-liquid extraction (most common), solid phase extraction, precipitation reactions, and simple dilutions in mobile phase [117], [125], [126], [127], [128].

Quantitative analysis is typically conducted via LC-MS/MS. However, the use of Ultra High Performance Liquid Chromatography-Tandem Mass Spectrometry (UHPLC-MS/MS) for the separation, identification, and quantitation of analytes of interest is becoming more prevalent. Higher throughput is more readily achievable using UHPLC-MS/MS with shorter run times and targeted analyses. High resolution mass analyzers including time-of-flight (TOF) and Orbitrap devices are being used more regularly in laboratories for SCs analysis, particularly in determining metabolite profiles. The use of these mass analyzers is essential due to the diversity of SCs and the large number of isomeric compounds that exist within this class; it is important to have sufficient chromatographic separation as well as detection methods to ensure proper identification [15], [102], [117], [129]. Analyses have also been conducted via GC-MS [130], [131]. This frequently requires a derivatization processes that is beneficial for the separation of co-eluting or poorly-resolved isomers.

Parent SCs have not been detected in appreciable quantities in urine samples. Their metabolites, however, are readily detectable in urine. This is particularly useful, as urine is one of the most common matrices utilized for drug screening purposes. Since most SCs are excreted as conjugates in urine, β-glucuronidase is added to samples during the incubation phase to deconjugate the drugs prior to instrumental analysis [132], [133]. Concentrations of SC metabolites in urine samples were determined in many studies; in one large study, 20 000 randomly collected urine samples were tested for various SCs. The average concentration of all analytes evaluated ranged from 1 to 11 ng/mL, with a true range of 0.1 to 2434 ng/mL [134]. Studies have revealed that a detection window ranging from a couple of days up to one week is achievable for certain analytes [132], [135].

The results of blood analyses provide information about the circulating drug concentrations in the body at the time of sample collection. This matrix is commonly used for DUID and post-mortem evaluations, when it is essential to know which substances were in the blood during an incident. The number of published studies in which blood was tested is limited and only a few describe the identification and quantitation of SC metabolites in blood [125], [129], [136], [137]. It is important to further investigate the presence of these metabolites, as studies have shown that both SC parent and metabolite compounds can have pharmacological activity and may contribute to the overall adverse effect profile experienced by drug users [113], [114]. The presence of metabolites may also extend the detection window, since the parent compound is rapidly eliminated from the blood [136].

Several authors have reported quantitative analyses of SC parent compounds in blood; these methods typically have limits of detection (LOD) and limits of quantitation (LOQ) of approximately 0.1 ng/mL and 0.5 ng/mL, respectively. Typical sample concentrations range from approximately 0.1 to 10 ng/mL, highlighting the need for sensitive instrumentation. Some postmortem samples were much higher, 68 to 200 ng/mL, which may be attributed to chronic consumption or postmortem redistribution (PMR), where the sample collected at autopsy has an unusually high concentration, dissimilar to what would have been commonly detected in a sample collected from a living individual [16], [129], [136]. A study was performed to determine the absorption profile of JWH-018 and JWH-073 in which an individual smoked an herbal product containing the two substances, while blood samples were collected over a period of approximately 3 hours [136]. Peak concentrations of both compounds in blood were observed after 19 minutes, at 4.8 and 4.2 ng/mL for JWH-018 and JWH-073, respectively. The concentrations decreased to less than half after 53 minutes, 1.5 and 1.0 ng/mL, and by 199 minutes the concentrations had both decreased to 0.2 ng/mL, demonstrating that the half-life of JWH-018 and JWH-073 in blood is very short. In order to obtain positive results for this matrix, the blood must be drawn at a time very close to the moment the material containing these compounds was ingested by the subject.

A study that complements this data was performed, in which over 600 blood samples were screened for the presence of JWH-018 and one hydroxylated (JWH-018 N-(5-hydroxypentyl)) and one carboxylated metabolite (JWH-018 N-pentanoic acid) via UHPLC-MS/MS [129]. JWH-018 was identified in only 3 of the 600 samples at a concentration range of 0.3 to 0.8 ng/mL; JWH-018 N-(5-hydroxypentyl) was detected in 92 samples (concentration range: 0.3 to 22.7 ng/mL), while JWH-018 N-pentanoic acid was detected in 145 samples (concentration range: 0.3 to 63.5 ng/mL). In the study performed by Kacinko et al. [136], the parent concentration dropped rapidly after a short period of time. In this study, parent compound was present in less than 1% of samples, while metabolites were present in more samples and at higher concentrations. This is especially significant, since the hydroxylated metabolite in this study was identified as a CB1 receptor agonist by Brents et al. [114].

While urine and blood are the most commonly analyzed matrices, hair and tissues are also relevant specimens. Hair is analyzed to determine historical drug use in consumers, while tissue samples are analyzed post-mortem and reveal substances consumed prior to death. One of the main challenges that arise when analyzing hair is the interpretation of results; it is essential to ensure true positives by screening for not only parent compounds, but also metabolites, as passive exposure to SCs contained in smoke has been reported to cause false positives [138], [139], [140]. Studies have also demonstrated that, for certain compounds, smoke condensates contain known metabolites of the parent compound of interest [141]. This often results from the production of external degradation products formed by hydrolysis of amide and ester bonds. Tissue samples, including adipose tissue, brain, heart, skeletal muscle, kidney, liver, pancreas, and spleen, have been tested for SCs in post-mortem evaluations; these types of analyses are commonly conducted in parallel with urine and blood samples and provide medical examiners and forensic toxicologists with information regarding the distribution of drugs throughout the body around the time of death [117], [142].

7 Regulation

7.1 Monitoring

Effective drug regulation and administration does not prohibit substances only, but also monitors drug emergence and intoxication trends and offers solutions to public health issues that arise. This requires a sentinel system that actively collects data on relevant parameters, such as the number of drug seizures, identity and concentration of the psychoactive substances in seized products, number and severity of medical emergencies, and other factors. This requires the cooperation of a network of individuals, including medical experts, toxicology center personnel, forensic institutes, analytical scientists, law enforcement officials, and legislators. These individuals must work collaboratively to alert agencies at all levels (local, state and federal) regarding emerging NPS, prevalence trends, and potential public health threats. All of the relevant information must be documented, compiled, and evaluated; this work must be coordinated and supervised by a responsible agency in each jurisdiction.

7.2 General aspects

Public health and consumer safety are of the highest priority in drug regulation; any newly developed pharmaceutical drug must undergo scrutinized safety investigations before it can be considered a candidate for human application. These evaluations include, but are not limited to, pharmacokinetic, pharmacodynamic, and toxicological studies.

Most recreational NPS have not been evaluated in humans due to ethical and regulatory restrictions. They are typically lipophilic substances, able to cross the BBB, exert a multitude of neuronal interactions with dangerous psychoactive outcomes, and altogether provide an extraordinarily high risk for involved individuals and the overall public health. Information such as chemical synthesis, as well as pharmacological and/or undesired effects, are often shared online through fora where users exchange methods, doses to produce a “high”, and promote various NPS products, thus augmenting the popularity of these drugs. Users are attracted by the ambiguous legal status associated with NPS, the low cost of these substances relative to conventional recreational drugs (e.g. cocaine, MDMA), and the lack of detection by routine drug screens.

The present legal situation is very complex. Marijuana has been recognized for its medicinal properties for thousands of years [47] and is becoming legalized in many countries; this trend is paralleled by the development of cannabimimetic pharmaceuticals for novel therapies. Alternatively, recreational SCs are prohibited, as they have no accepted medical use, present a high abuse potential, and exhibit a threat to public safety [9]. In general, however, when governments take action to prohibit individual SCs, illegal manufacturers remove the banned substances from their products and replace them with new compounds that are not included on the list of prohibited substances, making it very difficult for government agencies to control them [143].

7.3 Making “legal highs” illegal

Regulatory measures need to be updated frequently as a result of the ongoing changes in the recreational drug use landscape [144]. Some of these approaches have been summarized for the United States, many European countries, regions of Asia, and Australia [9], [14], [15], [145], [146]. Initially, only a few SC substances were controlled; subsequently, the scope was repeatedly expanded to include new drugs of abuse. Regulatory decision-making processes may differ between countries, though the rationale is often similar.

One approach to banning NPS is to list substances by name in drug legislation. If they are listed, it may be easier to identify them and understand their legal status; however, if substances are not listed by name, then they are not considered illegal [9]. In addition to their chemical name, it is recommended that their common or generic name (e.g. JWH-018) is also listed in order to facilitate the identification process. The use of International Chemical Identifier (InChI™) keys [147], [148] as a digital tool for unambiguous drug identification in databases may be beneficial for implementation into legislation in the future.

Another approach follows the “analogue” principle, which varies from country to country. For example, in 2012, the United States Congress decided to schedule a number of SC drugs and entire classes of their chemical analogues [9]. According to this legislation, individuals can be prosecuted for the manufacture, sale, possession, importation, and/or exportation of these compounds. Under the “analogue” principle, substances with a “substantially similar” chemical scaffold and pharmacological activity could be regulated in a manner similar to the known psychoactive prototype. However, there are numerous concerns about the concept for several reasons [9], [149]. First, there is no overall consensus in the field around the limits of an “analogue” (number, size, and composition of substituents). Second, it is not always clear whether “analogue” refers only to the chemical structure or also to the pharmacological, toxicological, and addictive effect. Additionally, the requirement of “substantially similar” pharmacological activity would presume that pharmacological data on a newly detected substance is available; however, for SCs this is often not the case.

Several different approaches to define analogues have been taken by lawmakers in Australia, including outlining the allowable molecular modifications to a controlled substance (e.g. number and type of additions/replacements of moieties) that make it an analogue. This legislation excludes references to pharmacological activity in an attempt to simplify the analogue definition. Similar to the United States, Australia also includes in legislation a reference to structural similarity between the controlled substance and the molecule (NPS) in question. The opinion of an expert is also considered in legal proceedings pertaining to similarity. A survey of 40 experienced scientific researchers was conducted and those polled were presented with chemical structures of 6 pairs of molecules sharing some structural features. They were asked whether or not the molecules were similar in structure and were also provided a short excerpt from legislation related to structural similarity. The results showed that overall there was no definitive agreement amongst the scientists as to whether or not the compounds in question were structurally similar. These findings demonstrate some of the challenges involved with an expert’s responsibility to determine whether or not an NPS can be classified as an analogue of an existing controlled substance, as structural similarity is a component of most analogue laws. Some experts surveyed commented that consideration must also be given to the functional groups of the molecules and the 3-dimensional arrangement of the compounds. The legal system is challenged with making decisions based on the opinions provided by scientists who are experienced in their field, but who may not agree with other experts in this area. Of equal importance is the fact that, while the structures of two substances may be similar, it does not necessarily equate to similar pharmacological activity [146].

Similar problems arise when regulation is based on the “pharmacophore rule” [150]. In the United Kingdom, a “blanket ban” approach was implemented in 2016, controlling any substance able to produce a psychoactive effect (with the exception of common substances including caffeine, nicotine, and alcohol) [151]. Medicinal chemists are concerned that the application of the analogue principle or blanket ban may result in an overloaded “catch all” philosophy, which would hamper the development of CB receptor ligands for therapeutic purposes. In the future, a new approach to controlling drugs may make use of SAR to predict potential effects on humans [152].

In Japan, three SCs, including JWH-018, were listed as “Designated Substances” under the Pharmaceutical Affairs Law in 2009. A “Designated Substance” classification is used as a measure to more strictly control NPS. Over the years, many SCs have been listed under this law. In March 2013, a generic definition covering naphthoylindoles was introduced into this law, followed by the classification of 759 compounds as Designated Substances [153]. As of December 2016, 2,356 substances, including 869 SCs (110 individual scheduling and 759 general scheduling), were listed. The current legal status of Designated Substances, including SCs, is provided on the website of the Ministry of Health, Labour, and Welfare in Japan [154]. In 2016, eight SCs (e.g. AM-2201) were re-categorized from Designated Substances to narcotics in Japan.

7.4 Information sources

The legal status of SCs changes rapidly and varies between countries. Therefore, access to up-to-date regulatory information is essential. The websites of the United States Drug Enforcement Administration (DEA) (www.dea.gov) and the European Monitoring Centre for Drugs and Drug Addiction (EMCDDA) (www.emcdda.europa.eu), for example, provide information on the current legal status of SCs and other NPS in various regions. The United Nations Office on Drugs and Crime (UNODC) (www.unodc.org) established the Early Warning Advisory (EWA) on NPS, including SCs, which serves as a monitoring tool and knowledge hub offering information on NPS trends and national legislative responses, as well as technical information [155].

8 Conclusions

NPS represent a formidable challenge for forensic scientists, medical personnel, public health officials, legislators, and law enforcement. The SC class of substances is particularly complex, as the chemical composition and diversity of marketed products changes rapidly and potency trends of identified compounds have increased since their first emergence in 2008. Use and abuse of these products have been linked to adverse events worldwide, including cardiotoxicity; psychosis, seizures, and other psychotropic effects; and, in certain cases, suicide or death.

In addition to informing the public about the health threat that these substances pose, resources must be allocated to scientific research in the area of SCs investigation. This includes, but is not limited to, epidemiological surveys of cannabinoid users, pharmacological and toxicological research, animal studies to evaluate abuse potential, and ongoing development of laboratory analytical methods for the identification of markers in biological samples of intoxicated patients. Additionally, a search for the treatment of cannabinoid addiction and withdrawal symptoms is an urgent medical priority. It is also necessary to determine the most appropriate means of banning substances so as to discourage widespread distribution. This necessitates collaboration between scientists as well as the individuals responsible for assuring the health and well-being of societies worldwide.


Article note:

This document was prepared in the frame of IUPAC Project 2014-019-1-700. Sponsoring body: The Chemistry and Human Health Division: see more details on p. 1279.


Award Identifier / Grant number: Project No.: 2014-019-1-700

Funding statement: International Union of Pure and Applied Chemistry, Funder Id: 10.13039/100006987, Grant Number: Project No.: 2014-019-1-700.

Acronyms

The following is a list of acronmys used in the preceeding text.
2-AG

2-arachidonoylglycerol

AEA

arachidonolyethanolamine

BBB

Blood-Brain Barrier

c-AMP

Cyclic-Adenosine Monophosphate

CB

Cannabinoid Receptor

CBRI

Cannabinoid Reuptake Inhibitors

CES

Carboxylesterase

CP

Charles Pfizer

CYP450

Cytochrome P450

DEA

Drug Enforcement Administration

DUID

Driving Under the Influence of Drugs

EC

Endocannabinoid

EMCDDA

European Monitoring Centre for Drugs and Drug Addiction

EWA

Early Warning Advisory

FAAH

Fatty Acid Amide Hydrolase

FT-IR

Fourier Transform-Infrared

GC-MS

Gas Chromatography-Mass Spectrometry

Gi

Inhibitory G-protein

GPR55

G-Protein Coupled Receptor 55

GTP

Guanosine-Triphosphate

HLM

Human Liver Microsome

HR-MS/MS

High Resolution-Tandem Mass Spectrometry

IUPAC

International Union of Pure and Applied Chemistry

JWH

John W. Huffman

Ki

Binding Affinity

LC-MS/MS

Liquid Chromatography-Tandem Mass Spectrometry

LOD

Limit of Detection

LOQ

Limit of Quantification

MAGL

Monoacylglycerol Lipase

NMR

Nuclear Magnetic Resonance

NPS

Novel Psychoactive Substances

NT

Neurotransmitter

PET

Positron Emission Tomography

PMR

Post-Mortem Redistribution

SAR

Structure-Activity Relationship

SC

Synthetic Cannabinoid

TOF

Time-of-Flight

TRPV1

Transient Receptor Potential Vanillinoid Type 1

UDP

Uridine Diphosphate

UGT

UDP-Glucuronosyltransferase

UHPLC-MS/MS

Ultra High Performance Liquid Chromatography-Tandem Mass Spectrometry

UNODC

United Nations Office on Drugs and Crime

Δ9-THC, THC

Δ9-tetrahydrocannabinol

Membership of sponsoring bodies

Membership of the IUPAC Chemistry and Human Health Division for the period 2016–2017 was as follows:

President: T. J. Perun (United States); Secretary: M. Schwenk (Germany); Vice President: R. Cornelis (Belgium); Past President: D. Templeton (Canada); Titular Members: V. Abbate (Italy); H. Møller-Johannessen (Denmark); L. Johnston (Canada); E. Differding (Belgium); A. Ganesan (United Kingdom); V. Gubala (Slovakia); Associate Members: S. Alihodzic (Croatia); B. Balasubramanian (United States); U. Forsum (Sweden); G. B. Teh (Malaysia); A. Borzacchiello (Italy); National Representatives: J. Blackburn (South Africa); S. Bachurin (Russia); B. E. Haug (Norway); R. Jih-Ru Hwu (Taiwan); N. Carballeira (Puerto Rico); M. S. Iqbal (Pakistan); C. Lee (Korea); M. Kiilunen (Finland); P. Dolashka-Angelova (Bulgaria).

References

[1] W. A. Devane, F. A. Dysarz, 3rd, M. R. Johnson, L. S. Melvin, A. C. Howlett. Mol. Pharmacol. 34, 605 (1988).Search in Google Scholar

[2] M. E. Nelson, S. M. Bryant, S. E. Aks. Emerg. Med. Clin. North Am. 32, 1 (2014).10.1016/j.emc.2013.09.001Search in Google Scholar

[3] D. Debruyne, R. Le Boisselier. Subst. Abuse Rehabil. 6, 113 (2015).10.2147/SAR.S73586Search in Google Scholar

[4] M. E. Musselman, J. P. Hampton. Pharmacotherapy34, 745 (2014).10.1002/phar.1424Search in Google Scholar

[5] A. L. Bretteville-Jensen, S. S. Tuv, O. R. Bilgrei, B. Fjeld, L. Bachs. Forensic Sci. Rev. 25, 7 (2013).Search in Google Scholar

[6] J. L. Wiley, J. A. Marusich, J. W. Huffman, R. L. Balster, B. F. Thomas. Methods Rep RTI Press, (2011). DOI: 10.3768/rtipress.2011.op.0007.1111.10.3768/rtipress.2011.op.0007.1111Search in Google Scholar PubMed PubMed Central

[7] C. Arnold. Lancet382, 15 (2013).10.1016/S0140-6736(13)61512-3Search in Google Scholar

[8] B. M. Ford, S. Tai, W. E. Fantegrossi, P. L. Prather. Trends Pharmacol. Sci. 38, 257 (2017).10.1016/j.tips.2016.12.003Search in Google Scholar

[9] B. C. Presley, S. A. Jansen-Varnum, B. K. Logan. Forensic Sci. Rev. 25, 27 (2013).Search in Google Scholar

[10] M. H. Baumann, E. Solis, L. R. Watterson, J. A. Marusich, W. E. Fantegrossi, J. L. Wiley. J. Neurosci. 34, 15150 (2014).10.1523/JNEUROSCI.3223-14.2014Search in Google Scholar

[11] L. K. Brents, P. L. Prather. Drug Metab. Rev. 46, 72 (2014).10.3109/03602532.2013.839700Search in Google Scholar

[12] M. R. Peace, R. I. Krakowiak, C. E. Wolf, A. Poklis, J. L. Poklis. Forensic Sci. Int. 271, 92 (2017).10.1016/j.forsciint.2016.12.031Search in Google Scholar

[13] T. W. Lefever, J. A. Marusich, B. F. Thomas, D. G. Barrus, N. C. Peiper, R. C. Kevin, J. L. Wiley. Subst Abuse. 11, 1 (2017).10.1177/1178221817701739Search in Google Scholar

[14] S. M. Gurney, K. S. Scott, S. L. Kacinko, B. C. Presley, B. K. Logan. Forensic Sci Rev. 26, 53 (2014).Search in Google Scholar

[15] B. C. Presley, S. M. Gurney, K. S. Scott, S. L. Kacinko, B. K. Logan. Forensic Sci Rev. 28, 103 (2016).Search in Google Scholar

[16] G. Behonick, K. G. Shanks, D. J. Firchau, G. Mathur, C. F. Lynch, M. Nashelsky, D. J. Jaskierny, C. Meroueh. J Anal Toxicol. 38, 559 (2014).10.1093/jat/bku048Search in Google Scholar

[17] R. Law, J. Schier, C. Martin, A. Chang, A. Wolkin. MMWR Morb Mortal Wkly Rep. 64, 618 (2015).Search in Google Scholar

[18] Y. Gaoni, R. Mechoulam. J Am Chem Soc. 86, 1646 (1964).10.1021/ja01062a046Search in Google Scholar

[19] Y. Gaoni, R. Mechoulam. J Am Chem Soc. 93, 217 (1971).10.1021/ja00730a036Search in Google Scholar

[20] L. A. Matsuda, S. J. Lolait, M. J. Brownstein, A. C. Young, T. I. Bonner. Nature. 346, 561 (1990).10.1038/346561a0Search in Google Scholar

[21] A. Makriyannis, H. Deng. Patent No.: US 6,900,236 B1 University of Connecticut, (2005).Search in Google Scholar

[22] I. P. Buchler, M. J. Hayes, S. G. Hedge, S. L. Hockerman, D. E. Jones, S. W. Kortum, J. G. Rico, R. E. Tenbrink, K. K. Wu. https://patentscope.wipo.int/search/en/detail.jsf?docId=WO2009106982. Assignee: Pfizer Inc. (2009), Last access Sept 18, 2017.Search in Google Scholar

[23] EMCDDA. Perspectives on Drugs: Synthetic Cannabinoids in Europe. http://www.emcdda.europa.eu/system/files/publications/2753/att_212361_EN_EMCDDA_POD_2013_Synthetic%20cannabinoids.pdf. (2016), last access Jan 14, 2018.Search in Google Scholar

[24] NFLIS. Synthetic Cannabinoids and Synthetic Cathinones 2010–2013.https://www.nflis.deadiversion.usdoj.gov/DesktopModules/ReportDownloads/Reports/NFLIS_SR_CathCan_508.pdf. (2014), Last access Sept 22, 2017.Search in Google Scholar

[25] V. Auwarter, S. Dresen, W. Weinmann, M. Muller, M. Putz, N. Ferreiros. J. Mass Spectrom. 44, 832 (2009).10.1002/jms.1558Search in Google Scholar

[26] R. Lindigkeit, A. Boehme, I. Eiserloh, M. Luebbecke, M. Wiggermann, L. Ernst, T. Beuerle. Forensic Sci. Int. 191, 58 (2009).10.1016/j.forsciint.2009.06.008Search in Google Scholar

[27] N. Uchiyama, R. Kikura-Hanajiri, N. Kawahara, Y. Goda. Forensic Toxicol. 27, 61 (2009).10.1007/s11419-009-0069-ySearch in Google Scholar

[28] N. Uchiyama, R. Kikura-Hanajiri, N. Kawahara, Y. Haishima, Y. Goda. Chem Pharm. Bull. (Tokyo). 57, 439 (2009).10.1248/cpb.57.439Search in Google Scholar

[29] N. Uchiyama, M. Kawamura, R. Kikura-Hanajiri, Y. Goda. Forensic Toxicol. 30, 114 (2012).Search in Google Scholar

[30] J. Nakajima, M. Takahashi, R. Nonaka, T. Seto, J. Suzuki, M. Yoshida, C. Kanai, T. Hamano. Forensic Toxicol. 29, 132 (2011).Search in Google Scholar

[31] J. Nakajima, M. Takahashi, T. Seto, J. Suzuki. Forensic Toxicol.29, 51 (2011).10.1007/s11419-010-0101-2Search in Google Scholar

[32] P. Jankovics, A. Varadi, L. Tolgyesi, S. Lohner, J. Nemeth-Palotas, J. Balla. Forensic Sci. Int.214, 27 (2012).Search in Google Scholar

[33] N. Uchiyama, S. Matsuda, M. Kawamura, R. Kikura-Hanajiri, Y. Goda. Forensic Toxicol.31, 223 (2013).Search in Google Scholar

[34] N. Uchiyama, S. Matsuda, D. Wakana, R. Kikura-Hanajiri, Y. Goda. Forensic Toxicol.31, 93 (2013).10.1007/s11419-013-0182-9Search in Google Scholar

[35] L. Andernach, S. Pusch, C. Weber, D. Schollmeyer, S. Münster-Müller, M. Pütz, T. Opatz. Forensic Toxicol.34, 344 (2016).10.1007/s11419-016-0321-1Search in Google Scholar

[36] A. J. Adams, S. D. Banister, L. Irizarry, J. Trecki, M. Schwartz, R. Gerona. N. Engl. J. Med. 376, 235 (2017).10.1056/NEJMoa1610300Search in Google Scholar

[37] M. Kusano, K. Zaitsu, K. Taki, K. Hisatsune, J. Nakajima, T. Moriyasu, T. Asano, Y. Hayashi, H. Tsuchihashi, A. Ishii. Drug Test Anal. 10, 284 (2018).10.1002/dta.2215Search in Google Scholar

[38] A. E. Pereda. Nat. Rev. Neurosci. 15, 250 (2014).10.1038/nrn3708Search in Google Scholar

[39] L. P. Savtchenko, D. A. Rusakov. Proc. Natl. Acad. Sci. USA104, 1823 (2007).10.1073/pnas.0606636104Search in Google Scholar

[40] D. Piomelli, O. Sasso. Nat. Neurosci. 17, 164 (2014).10.1038/nn.3612Search in Google Scholar

[41] V. Di Marzo, N. Stella, A. Zimmer. Nat. Rev. Neurosci. 16, 30 (2015).10.1038/nrn3876Search in Google Scholar

[42] M. Maccarrone, I. Bab, T. Biro, G. A. Cabral, S. K. Dey, V. Di Marzo, J. C. Konje, G. Kunos, R. Mechoulam, P. Pacher, K. A. Sharkey, A. Zimmer. Trends Pharmacol. Sci. 36, 277 (2015).10.1016/j.tips.2015.02.008Search in Google Scholar

[43] H. C. Lu, K. Mackie. Biol. Psychiatry. 79, 516 (2016).10.1016/j.biopsych.2015.07.028Search in Google Scholar

[44] M. Kano. Proc. Jpn. Acad. Ser. B Phys. Biol. Sci. 90, 235 (2014).10.2183/pjab.90.235Search in Google Scholar

[45] A. Chicca, C. Arena, C. Manera. Recent Pat. CNS Drug Discov. 10, 122 (2016).10.2174/1574889810999160603185126Search in Google Scholar

[46] S. Petrosino, V. Di Marzo. Curr. Opin. Investig. Drugs11, 51 (2010).Search in Google Scholar

[47] E. W. Bow, J. M. Rimoldi. Perspect. Med. Chem. 8, 17 (2016).10.4137/PMC.S32171Search in Google Scholar

[48] D. Srebro, S. Vuckovic, M. Prostran. Neuroscience339, 1 (2016).10.1016/j.neuroscience.2016.09.032Search in Google Scholar

[49] A. Chiarlone, L. Bellocchio, C. Blazquez, E. Resel, E. Soria-Gomez, A. Cannich, J. J. Ferrero, O. Sagredo, C. Benito, J. Romero, J. Sanchez-Prieto, B. Lutz, J. Fernandez-Ruiz, I. Galve-Roperh, M. Guzman. Proc. Natl. Acad. Sci. USA111, 8257 (2014).10.1073/pnas.1400988111Search in Google Scholar

[50] R. Otten, A. C. Huizink, K. Monshouwer, H. E. Creemers, S. Onrust. Addict. Biol. 22, 1081 (2016).10.1111/adb.12372Search in Google Scholar

[51] R. M. Murray, H. Quigley, D. Quattrone, A. Englund, M. Di Forti. World Psychiatry15, 195 (2016).10.1002/wps.20341Search in Google Scholar

[52] M. Zaurova, R. S. Hoffman, D. Vlahov, A. F. Manini. J. Med. Toxicol. 12, 335 (2016).10.1007/s13181-016-0558-4Search in Google Scholar

[53] J. Courts, V. Maskill, A. Gray, P. Glue. Australas Psychiatry24, 598 (2016).10.1177/1039856216663733Search in Google Scholar

[54] T. Irie, R. Kikura-Hanajiri, M. Usami, N. Uchiyama, Y. Goda, Y. Sekino. Neuropharmacology95, 479 (2015).10.1016/j.neuropharm.2015.02.025Search in Google Scholar

[55] R. Solimini, F. P. Busardo, M. C. Rotolo, S. Ricci, L. Mastrobattista, C. Mortali, S. Graziano, M. Pellegrini, N. M. di Luca, I. Palmi. Eur. Rev. Med. Pharmacol. Sci. 21, 1 (2017).Search in Google Scholar

[56] V. J. Koller, F. Ferk, H. Al-Serori, M. Misik, A. Nersesyan, V. Auwarter, T. Grummt, S. Knasmuller. Food Chem. Toxicol. 80, 130 (2015).10.1016/j.fct.2015.03.004Search in Google Scholar

[57] F. Ferk, R. Gminski, H. Al-Serori, M. Misik, A. Nersesyan, V. J. Koller, V. Angerer, V. Auwarter, T. Tang, A. T. Arif, S. Knasmuller. Arch. Toxicol. 90, 3111 (2016).10.1007/s00204-016-1664-4Search in Google Scholar

[58] N. Nacca, D. Vatti, R. Sullivan, P. Sud, M. Su, J. Marraffa. J. Addict. Med. 7, 296 (2013).10.1097/ADM.0b013e31828e1881Search in Google Scholar

[59] A. A. Monte, A. C. Bronstein, D. J. Cao, K. J. Heard, J. A. Hoppe, C. O. Hoyte, J. L. Iwanicki, E. J. Lavonas. N. Engl. J. Med. 370, 389 (2014).10.1056/NEJMc1313655Search in Google Scholar

[60] J. Trecki, R. R. Gerona, M. D. Schwartz. N Engl J Med. 373, 103 (2015).10.1056/NEJMp1505328Search in Google Scholar

[61] EMCDDA. http://www.emcdda.europa.eu/system/files/publications/2873/2016.4528_WEB.pdf. (2016), last access: Sept 22, 2017.Search in Google Scholar

[62] N. Langer, R. Lindigkeit, H. M. Schiebel, U. Papke, L. Ernst, T. Beuerle. Forensic Sci. Int.269, 31 (2016).10.1016/j.forsciint.2016.10.023Search in Google Scholar

[63] A. M. Riederer, S. L. Campleman, R. G. Carlson, E. W. Boyer, A. F. Manini, P. M. Wax, J. A. Brent. MMWR Morb. Mortal Wkly. Rep. 65, 692 (2016).10.15585/mmwr.mm6527a2Search in Google Scholar

[64] L. Cristino, V. Di Marzo. EMBO J. 33, 665 (2014).10.1002/embj.201488086Search in Google Scholar

[65] J. K. L. Gunn, C. B. Rosales, K. E. Center, A. Nunez, S. J. Gibson, C. Christ, J. E. Ehiri. BMJ Open6, e009986 (2016).10.1136/bmjopen-2015-009986Search in Google Scholar

[66] M. Ellgren, A. Artmann, O. Tkalych, A. Gupta, H. S. Hansen, S. H. Hansen, L. A. Devi, Y. L. Hurd. Eur. Neuropsychopharmacol. 18, 826 (2008).10.1016/j.euroneuro.2008.06.009Search in Google Scholar

[67] E. K. Kirschmann, M. W. Pollock, V. Nagarajan, M. M. Torregrossa. Neuropsychopharmacology42, 989 (2017).10.1038/npp.2016.178Search in Google Scholar

[68] V. Macfarlane, G. Christie. Drug Alcohol Rev. 34, 147 (2015).10.1111/dar.12225Search in Google Scholar

[69] N. M. Kogan, R. Mechoulam. Dial. Clin. Neurosci. 9, 413 (2007).10.31887/DCNS.2007.9.4/nkoganSearch in Google Scholar

[70] A. S. Husni, C. R. McCurdy, M. M. Radwan, S. A. Ahmed, D. Slade, S. A. Ross, M. A. ElSohly, S. J. Cutler. Med. Chem. Res. 23, 4295 (2014).10.1007/s00044-014-0972-6Search in Google Scholar

[71] D. R. Compton, K. C. Rice, B. R. De Costa, R. K. Razdan, L. S. Melvin, M. R. Johnson, B. R. Martin. J. Pharmacol. Exp. Ther. 265, 218 (1993).Search in Google Scholar

[72] Y. Cheng, W. H. Prusoff. Biochem. Pharmacol. 22, 3099 (1973).10.1016/0006-2952(73)90196-2Search in Google Scholar

[73] Y. Zhang, A. Gilliam, R. Maitra, M. I. Damaj, J. M. Tajuba, H. H. Seltzman, B. F. Thomas. J. Med. Chem. 53, 7048 (2010).10.1021/jm1006676Search in Google Scholar

[74] F. E. Kovacs, T. Knop, M. J. Urbanski, I. Freiman, T. M. Freiman, T. J. Feuerstein, J. Zentner, B. Szabo. Neuropsychopharmacology37, 1104 (2012).10.1038/npp.2011.262Search in Google Scholar

[75] M. A. De Luca, Z. Bimpisidis, M. Melis, M. Marti, P. Caboni, V. Valentini, G. Margiani, N. Pintori, I. Polis, G. Marsicano, L. H. Parsons, G. Di Chiara. Neuropharmacology99, 705 (2015).10.1016/j.neuropharm.2015.08.041Search in Google Scholar

[76] E. B. Oleson, J. F. Cheer. Cold Spring Harb. Perspect. Med. 2, a012229 (2012).10.1101/cshperspect.a012229Search in Google Scholar

[77] M. Melis, M. Pistis. Philos. Trans. R. Soc. Lond. B Biol. Sci. 367, 3276 (2012).10.1098/rstb.2011.0383Search in Google Scholar

[78] A. Haider, A. Muller Herde, R. Slavik, M. Weber, C. Mugnaini, A. Ligresti, R. Schibli, L. Mu, S. Mensah Ametamey. Front. Neurosci. 10, 350 (2016).10.3389/fnins.2016.00350Search in Google Scholar

[79] B. Bosier, S. Sarre, I. Smolders, Y. Michotte, E. Hermans, D. M. Lambert. Neuropharmacology59, 503 (2010).10.1016/j.neuropharm.2010.07.005Search in Google Scholar

[80] O. Malyshevskaya, K. Aritake, M. K. Kaushik, N. Uchiyama, Y. Cherasse, R. Kikura-Hanajiri, Y. Urade. Sci. Rep. 7, 10516 (2017).10.1038/s41598-017-10447-2Search in Google Scholar

[81] A. Busquets Garcia, E. Soria-Gomez, L. Bellocchio, G. Marsicano. F1000Res. 5, 1 (2016).10.12688/f1000research.8245.1Search in Google Scholar

[82] L. Console-Bram, J. Marcu, M. E. Abood. Prog. Neuropsychopharmacol. Biol. Psychiatry. 38, 4 (2012).10.1016/j.pnpbp.2012.02.009Search in Google Scholar

[83] J. L. Wiley, J. A. Marusich, B. F. Thomas. Curr. Top Behav. Neurosci. 32, 231 (2017).Search in Google Scholar

[84] T. Nguyen, J. X. Li, B. F. Thomas, J. L. Wiley, T. P. Kenakin, Y. Zhang. Med. Res. Rev. 37, 441 (2017).10.1002/med.21418Search in Google Scholar

[85] Z. Shao, J. Yin, K. Chapman, M. Grzemska, L. Clark, J. Wang, D. M. Rosenbaum. Nature2016, 602 (2017).10.1038/nature20613Search in Google Scholar

[86] T. Hua, K. Vemuri, M. Pu, L. Qu, G. W. Han, Y. Wu, S. Zhao, W. Shui, S. Li, A. Korde, R. B. Laprairie, E. L. Stahl, J. H. Ho, N. Zvonok, H. Zhou, I. Kufareva, B. Wu, Q. Zhao, M. A. Hanson, L. M. Bohn, A. Makriyannis, R. C. Stevens, Z. J. Liu. Cell. 167, 750 (2016).10.1016/j.cell.2016.10.004Search in Google Scholar

[87] J. W. Huffman, G. Zengin, M.-J. Wu, J. Lu, G. Hynd, K. Bushell, A. L. S. Thompson, S. Bushell, C. Tartal, D. P. Hurst, P. H. Reggio, D. E. Selley, M. P. Cassidy, J. L. Wiley, B. R. Martin. Bioorg. Med. Chem. 13, 89 (2005).10.1016/j.bmc.2004.09.050Search in Google Scholar

[88] M. R. Bell, T. E. Dambra, V. Kumar, M. A. Eissenstat, J. L. Herrmann, J. R. Wetzel, D. Rosi, R. E. Philion, S. J. Daum, D. J. Hlasta, R. K. Kullnig, J. H. Ackerman, D. R. Haubrich, D. A. Luttinger, E. R. Baizman, M. S. Miller, S. J. Ward. J. Med. Chem. 34, 1099 (1991).10.1021/jm00107a034Search in Google Scholar

[89] T. E. Dambra, K. G. Estep, M. R. Bell, M. A. Eissenstat, K. A. Josef, S. J. Ward, D. A. Haycock, E. R. Baizman, F. M. Casiano, N. C. Beglin, S. M. Chippari, J. D. Grego, R. K. Kullnig, G. T. Daley. J. Med. Chem. 35, 124 (1992).10.1021/jm00079a016Search in Google Scholar

[90] D. R. Compton, L. H. Gold, S. J. Ward, R. L. Balster, B. R. Martin. J. Pharmacol. Exp. Ther. 263, 1118 (1992).Search in Google Scholar

[91] J. W. Huffman, D. Dai, B. R. Martin, D. R. Compton. Bioorg. Med. Chem. Lett. 4, 563 (1994).10.1016/S0960-894X(01)80155-4Search in Google Scholar

[92] J. L. Wiley, D. R. Compton, D. Dai, J. A. H. Lainton, M. Phillips, J. W. Huffman, B. R. Martin. J. Pharmacol. Exp. Ther. 285, 995 (1998).Search in Google Scholar

[93] M. M. Aung, G. Griffin, J. W. Huffman, M. J. Wu, C. Keel, B. Yang, V. M. Showalter, M. E. Abood, B. R. Martin. Drug Alcohol Depen. 60, 133 (2000).10.1016/S0376-8716(99)00152-0Search in Google Scholar

[94] S. Banister, J. Stuart, R. Kevin, A. Edington, M. Longworth, S. Wilkinson, C. Beinat, A. Buchanan, D. E. Hibbs, M. Glass, M. Connor, I. McGregor, M. Kassiou. ACS Chem. Neurosci. 6, 1445 (2015).Search in Google Scholar

[95] M. M. Mahmoud, H. I. Ali, K. H. Ahn, A. Damaraju, S. Samala, V. K. Pulipati, S. Kolluru, D. A. Kendall, D. Lu. J. Med. Chem. 56, 7965 (2013).10.1021/jm4009828Search in Google Scholar

[96] A. Paulke, E. Proschak, K. Sommer, J. Achenbach, C. Wunder, S. W. Toennes. Toxicol. Lett. 245, 1 (2016).10.1016/j.toxlet.2016.01.001Search in Google Scholar

[97] S. D. Banister, M. Longworth, R. Kevin, S. Sachdev, M. Santiago, J. Stuart, J. B. Mack, M. Glass, I. S. McGregor, M. Connor, M. Kassiou. ACS Chem. Neurosci. 7, 1241 (2016).10.1021/acschemneuro.6b00137Search in Google Scholar

[98] S. D. Banister, M. Moir, J. Stuart, R. C. Kevin, K. E. Wood, M. Longworth, S. M. Wilkinson, C. Beinat, A. S. Buchanan, M. Glass, M. Connor, I. S. McGregor, M. Kassiou. ACS Chem. Neurosci. 6, 1546 (2015).10.1021/acschemneuro.5b00112Search in Google Scholar

[99] C. Hess, C. T. Schoeder, T. Pillaiyar, B. Madea, C. E. Muller. Forensic Toxicol. 34, 329 (2016).10.1007/s11419-016-0320-2Search in Google Scholar

[100] K. C. Chimalakonda, K. A. Seely, S. M. Bratton, L. K. Brents, C. L. Moran, G. W. Endres, L. P. James, P. F. Hollenberg, P. L. Prather, A. Radominska-Pandya, J. H. Moran. Drug Metab. Dispos. 40, 2174 (2012).10.1124/dmd.112.047530Search in Google Scholar

[101] S. Asha, M. Vidyavathi. Appl. Biochem. Biotechnol. 160, 1699 (2010).10.1007/s12010-009-8689-6Search in Google Scholar

[102] A. Wohlfarth, S. Pang, M. Zhu, A. S. Gandhi, K. B. Scheidweiler, H. F. Liu, M. A. Huestis. Clin. Chem. 59, 1638 (2013).10.1373/clinchem.2013.209965Search in Google Scholar

[103] A. S. Gandhi, A. Wohlfarth, M. Zhu, S. Pang, M. Castaneto, K. B. Scheidweiler, M. A. Huestis. Drug Test. Anal. 7, 187 (2015).Search in Google Scholar

[104] X. Diao, J. Carlier, M. Zhu, S. Pang, R. Kronstrand, K. B. Scheidweiler, M. A. Huestis. Forensic Toxicol.35, 20 (2017).10.1007/s11419-016-0326-9Search in Google Scholar

[105] J. Carlier, X. Diao, A. Wohlfarth, K. Scheidweiler, M. A. Huestis. Curr. Neuropharmacol. 15, 682 (2017).10.2174/1570159X15666161108123419Search in Google Scholar

[106] M. Castaneto, A. Wohlfarth, S. Pang, M. Zhu, K. Scheidweiler, R. Kronstrand, M. Huestis. Forensic Toxicol.33, 295 (2015).10.1007/s11419-015-0275-8Search in Google Scholar

[107] K. A. Seely, L. K. Brents, A. Radominska-Pandya, G. W. Endres, G. S. Keyes, J. H. Moran, P. L. Prather. Chem. Res. Toxicol. 25, 825 (2012).10.1021/tx3000472Search in Google Scholar

[108] S. Vikingsson, H. Green, L. Brinkhagen, S. Mukhtar, M. Josefsson. Drug Test Anal. 8, 950 (2016).10.1002/dta.1896Search in Google Scholar

[109] X. Diao, K. B. Scheidweiler, A. Wohlfarth, S. Pang, R. Kronstrand, M. A. Huestis. AAPS J. 18, 455 (2016).10.1208/s12248-016-9867-4Search in Google Scholar

[110] R. Thomsen, L. M. Nielsen, N. B. Holm, H. B. Rasmussen, K. Linnet, I. Consortium. Drug Test Anal. 7, 565 (2015).10.1002/dta.1731Search in Google Scholar

[111] C. Erratico, N. Negreira, H. Norouzizadeh, A. Covaci, H. Neels, K. Maudens, A. L. van Nuijs. Drug Test Anal. 7, 866 (2015).10.1002/dta.1796Search in Google Scholar

[112] K. C. Chimalakonda, S. M. Bratton, V. H. Le, K. H. Yiew, A. Dineva, C. L. Moran, L. P. James, J. H. Moran, A. Radominska-Pandya. Drug Metab. Dispos. 39, 1967 (2011).10.1124/dmd.111.040709Search in Google Scholar

[113] L. K. Brents, A. Gallus-Zawada, A. Radominska-Pandya, T. Vasiljevik, T. E. Prisinzano, W. E. Fantegrossi, J. H. Moran, P. L. Prather. Biochem. Pharmacol. 83, 952 (2012).10.1016/j.bcp.2012.01.004Search in Google Scholar

[114] L. K. Brents, E. E. Reichard, S. M. Zimmerman, J. H. Moran, W. E. Fantegrossi, P. L. Prather. PLoS One6, e21917 (2011).10.1371/journal.pone.0021917Search in Google Scholar

[115] B. K. Logan, L. E. Reinhold, A. Xu, F. X. Diamond. J. Forensic Sci. 57, 1168 (2012).10.1111/j.1556-4029.2012.02207.xSearch in Google Scholar

[116] Z. Qian, Z. Hua, C. Liu, W. Jia. Forensic Toxicol.34, 133 (2016).10.1007/s11419-015-0297-2Search in Google Scholar

[117] K. Hasegawa, A. Wurita, K. Minakata, K. Gonmori, I. Yamagishi, H. Hideki Nozawa, K. Watanabe, S. Suzuki. Forensic Toxicol.33, 112 (2015).10.1007/s11419-014-0259-0Search in Google Scholar

[118] S. Hudson, J. Ramsey. Drug Test Anal. 3, 466 (2011).10.1002/dta.268Search in Google Scholar

[119] A. Namera, M. Kawamura, A. Nakamoto, T. Saito, M. Nagao. Forensic Toxicol. 33, 175 (2015).10.1007/s11419-015-0270-0Search in Google Scholar

[120] J. Lobo Vicente, H. Chassaigne, M. V. Holland, F. Reniero, K. Kolar, S. Tirendi, I. Vandecasteele, I. Vinckier, C. Guillou. Forensic Sci. Int.265, 107 (2016).10.1016/j.forsciint.2016.01.024Search in Google Scholar

[121] N. Uchiyama, R. Kikura-Hanajiri, J. Ogata, Y. Goda. Forensic Sci. Int.198, 31 (2010).10.1016/j.forsciint.2010.01.004Search in Google Scholar

[122] N. Uchiyama, M. Kawamura, R. Kikura-Hanajiri, Y. Goda. Forensic Toxicol.29, 25 (2011).10.1007/s11419-010-0100-3Search in Google Scholar

[123] S. Dresen, N. Ferreiros, M. Putz, F. Westphal, R. Zimmermann, V. Auwarter. J. Mass Spectrom. 45, 1186 (2010).10.1002/jms.1811Search in Google Scholar

[124] T. Takayama, M. Suzuki, K. Todoroki, K. Inoue, J. Z. Min, R. Kikura-Hanajiri, Y. Goda, T. Toyo’oka. Biomed. Chromatogr. 28, 831 (2014).10.1002/bmc.3155Search in Google Scholar

[125] M. Tynon, J. Homan, S. Kacinko, A. Ervin, M. McMullin, B. K. Logan. Drug Test Anal. 9, 926 (2017).10.1002/dta.2096Search in Google Scholar

[126] S. Kneisel, M. Speck, B. Moosmann, T. M. Corneillie, N. G. Butlin, V. Auwarter. Anal. Bioanal. Chem. 405, 4691 (2013).10.1007/s00216-013-6887-0Search in Google Scholar

[127] M. Hutter, S. Kneisel, V. Auwarter, M. A. Neukamm. J. Chromatogr. B Analyt. Technol. Biomed. Life Sci. 903, 95 (2012).10.1016/j.jchromb.2012.07.002Search in Google Scholar

[128] G. Dowling, L. Regan. J. Chromatogr. B Analyt. Technol. Biomed. Life Sci. 879, 253 (2011).Search in Google Scholar

[129] Y. Erol Ozturk, O. Yeter, B. Alpertunga. Forensic Sci. Int.248, 88 (2015).10.1016/j.forsciint.2014.12.029Search in Google Scholar

[130] A. Grigoryev, S. Savchuk, A. Melnik, N. Moskaleva, J. Dzhurko, M. Ershov, A. Nosyrev, A. Vedenin, B. Izotov, I. Zabirova, V. Rozhanets. J. Chromatogr. B Analyt. Technol. Biomed. Life Sci. 879, 1126 (2011).10.1016/j.jchromb.2011.03.034Search in Google Scholar

[131] T. G. Sobolevsky, I. S. Prasolov, G. M. Rodchenkov. J. Anal. Chem.66, 1314 (2011).10.1134/S1061934811130090Search in Google Scholar

[132] A. D. de Jager, J. V. Warner, M. Henman, W. Ferguson, A. Hall. J. Chromatogr. B Analyt. Technol. Biomed Life Sci. 897, 22 (2012).10.1016/j.jchromb.2012.04.002Search in Google Scholar

[133] E. G. Yanes, D. P. Lovett. J. Chromatogr. B Analyt. Technol. Biomed. Life Sci. 909, 42 (2012).10.1016/j.jchromb.2012.10.013Search in Google Scholar

[134] M. S. Castaneto, K. B. Scheidweiler, A. Gandhi, A. Wohlfarth, K. L. Klette, T. M. Martin, M. A. Huestis. Drug Test Anal. 7, 483 (2015).10.1002/dta.1709Search in Google Scholar

[135] T. Sobolevsky, I. Prasolov, G. Rodchenkov. Drug Test Anal. 4, 745 (2012).10.1002/dta.1418Search in Google Scholar

[136] S. L. Kacinko, A. Xu, J. W. Homan, M. M. McMullin, D. M. Warrington, B. K. Logan. J. Anal. Toxicol. 35, 386 (2011).10.1093/anatox/35.7.386Search in Google Scholar

[137] J. L. Knittel, J. M. Holler, J. D. Chmiel, S. P. Vorce, J. Magluilo, Jr., B. Levine, G. Ramos, T. Z. Bosy. J. Anal. Toxicol. 40, 173 (2016).10.1093/jat/bkv137Search in Google Scholar

[138] M. Hutter, B. Moosmann, V. Auwärter, M. Neukamm. Forensic Toxicol.33, 69 (2015).10.1007/s11419-014-0251-8Search in Google Scholar

[139] J. Kim, Y. Park, M. Park, E. Kim, W. Yang, S. Baeck, S. Lee, S. Han. J. Pharm. Biomed. Anal. 102, 162 (2015).10.1016/j.jpba.2014.09.013Search in Google Scholar

[140] T. Saito, C. Sasaki, A. Namera, K. Kurihara, S. Inokuchi. Forensic Toxicol.33, 155 (2015).10.1007/s11419-014-0250-9Search in Google Scholar

[141] F. Franz, V. Angerer, M. Hermanns-Clausen, V. Auwarter, B. Moosmann. Anal. Bioanal. Chem. 408, 3445 (2016).10.1007/s00216-016-9422-2Search in Google Scholar

[142] K. Hasegawa, A. Wurita, K. Minakata, K. Gonmori, H. Nozawa, I. Yamagishi, K. Watanabe, O. Suzuki. Forensic Toxicol. 33, 45 (2015).10.1007/s11419-014-0245-6Search in Google Scholar

[143] I. Sarpong, F. Jones. Nurs. Stand. 28, 35 (2014).10.7748/ns.28.52.35.e8850Search in Google Scholar

[144] T. Seddon. Int. J. Drug Policy. 25, 1019 (2014).10.1016/j.drugpo.2014.03.009Search in Google Scholar

[145] J. Mounteney, P. Griffiths, R. Sedefov, A. Noor, J. Vicente, R. Simon. Addiction111, 34 (2016).10.1111/add.13056Search in Google Scholar

[146] D. B. Hibbert, J. Sutton. Aust. J. Forensic Sci. 49, 605 (2017).10.1080/00450618.2016.1195875Search in Google Scholar

[147] S. R. Heller, A. McNaught, I. Pletnev, S. Stein, D. Tchekhovskoi. J. Cheminform.7, 23 (2015).10.1186/s13321-015-0068-4Search in Google Scholar

[148] IUPAC. https://iupac.org/who-we-are/divisions/division-details/inchi/. Last access Oct 17, 2017.Search in Google Scholar

[149] L. A. King. Drug Test Anal. 6, 80 (2014).10.1002/dta.1510Search in Google Scholar

[150] T. J. Worst, J. E. Sprague. Forensic Toxicol.33, 170 (2015).10.1007/s11419-014-0243-8Search in Google Scholar

[151] Legislation-UK. The National Archives, http://www.legislation.gov.uk/ukpga/2016/2/contents/enacted. (2016), last access Sept 24, 2017.Search in Google Scholar

[152] J. Jaworska, N. Nikolova-Jeliazkova. SAR QSAR Environ. Res. 18, 195 (2007).10.1080/10629360701306050Search in Google Scholar

[153] R. Kikura-Hanajiri, N. Uchiyama, M. Kawamura, Y. Goda. Drug Test. Anal. 6, 832 (2014).10.1002/dta.1584Search in Google Scholar

[154] Japan-MHLW. Legal status of designated substances (Japan). . http://www.mhlw.go.jp/seisakunitsuite/bunya/kenkou_iryou/iyakuhin/yakubuturanyou/dl/meisho.pdf. (2016), last access Sept 24, 2017.Search in Google Scholar

[155] UNODC. Early Warning Advisory. https://www.unodc.org/LSS/Home/NPS. Last access Jan 14, 2018.Search in Google Scholar

Received: 2017-06-15
Accepted: 2018-04-19
Published Online: 2018-06-27
Published in Print: 2018-08-28

© 2018 IUPAC & De Gruyter. This work is licensed under a Creative Commons Attribution-NonCommercial-NoDerivatives 4.0 International License.

This work is licensed under the Creative Commons Attribution-NonCommercial-NoDerivatives 4.0 International License.

Downloaded on 14.12.2025 from https://www.degruyterbrill.com/document/doi/10.1515/pac-2017-0605/html?srsltid=AfmBOooBbtNoCiRGqBjVNYDo1XxSvfw5WiA67NX6Lztqcf3IGyPjOj9X
Scroll to top button