Abstract
The driving force for the constant improvement and development of new synthetic methodologies in carbohydrate chemistry is a growing demand for biologically important oligosaccharide ligands and neoglycoconjugates thereof for numerous biochemical investigations such as cell-to-pathogen interactions, immune response, cell adhesion, etc. Here we report our syntheses of the spacer-armed antigenic oligosaccharides related to three groups of the polysaccharides of the fungal cell-wall including α- and β-mannan, α- and β-glucan and galactomannan chains, which include new rationally designed synthetic blocks, efficient solutions for the stereoselective construction of glycoside bonds, and novel strategy for preparation of furanoside-containing oligosaccharides based on recently discovered pyranoside-into-furanoside (PIF) rearrangement.
Introduction
Natural oligosaccharides and glycoconjugates play a crucial role acting as lectin receptors in different processes determining cell life cycle, cell-to-pathogen interactions and infection, cell adhesion and others. This makes spacer-armed oligosaccharide ligands and neoglycoconjugates thereof (i.e. molecular probes in which an oligosaccharide is attached via a spacer to a label or carrier) indispensable tools for the research of the processes which are determined by carbohydrate-lectin interactions to investigate and assess the structural features responsible for specific recognition of carbohydrate ligands in such processes, define ligand-receptor binding topology, and understand the biological functions and mechanisms of action of the corresponding natural glycoconjugates [1], [2].
Recent studies of the mechanisms of cell recognition have revealed a key role of various natural glycoconjugates. Among them, the carbohydrate antigens of fungal and bacterial pathogens are remained to be investigated. Their study is often complicated or even impossible because of very low availability of oligosaccharide of these groups from natural objects that additionally stimulates the development of efficient chemical schemes for their preparation in practical amounts. In this communication, we provide an overview of the schemes which were recently developed by us for the syntheses of linear and branched oligosaccharides related to the polysaccharides of fungal cell wall including α- and β-mannans, α- and β-glucans and galactomannan. These developments include new rationally designed synthetic blocks, efficient solutions for the stereoselective construction of glycoside bonds, and novel strategy for preparation of furanoside containing oligosaccharides based on recently discovered pyranoside-into-furanoside (PIF) rearrangement.
Synthesis of linear and branched oligosaccharides structurally related to the mannan of the Candida cell-wall
The yeast Candidaalbicans is an opportunistic pathogenic microorganism. It is a component of the normal microflora of the majority of healthy individuals, but is able to cause severe infections in immunocompromised patients such as HIV patients and those undergoing immunosuppressive therapy or prolonged treatment with antibiotics [3], [4]. The cell surface of C. albicans first comes into contact with host cells, plays the main role in the adhesion of the pathogen, intercellular communication, and carries important antigenic determinants of the fungus [5], [6]. The main surface antigen of C. albicans is mannan which represents the carbohydrate part of the cell wall mannoprotein. This polysaccharide has a comb-like structure with an α-(1→6)-linked main chain, to which relatively short oligomannoside side chains built of α-(1→2)-, α-(1→3)-, α-(1→6)- and β-(1→2)-linked mannose units are attached via α-(1→2)-linkages. These side chains are responsible for the antigenic specificity of Candida species. The generalized structure of the mannan and structures of epitopes corresponding to the various antigenic factors [7] of Candida are shown in Fig. 1.

Structure of the mannan of the Candida cell wall.
We synthesized in the past decade a wide range of oligosaccharides corresponding to the antigenic factors 1, 4, 6, 9 and 34. The synthesis of the linear α-(1→2)-tetramannoside 7 related to the antigenic factor 1 is depicted in Fig. 2 [8]. It was based on the stepwise chain elongation by one monosaccharide unit. Thiomannoside 1 [9] was used as the glycosyl donor. On the one hand, the presence of a 2-O-acetyl group in 1 was sought to ensure α-stereoselectivity of mannosylation due to the anchimeric participation. On the other hand, this group could be easily removed to produce a glycosyl acceptor for the next glycosylation. Two initial cycles of mannosylation and deacetylation proceeded smoothly and provided corresponding glycosyl acceptors 2 and 3 in good yields. However, when thioglycoside 1 was coupled with 3, the predominant formation of the product of β-mannosylation (42% vs. 28% of the α-product) was unexpectedly observed. Application of 2-O-benzoylated donor 4 instead of 1 strongly enhanced α-stereoselectivity of mannosylation and provided the α-linked trisaccharide in 64% yield. Final glycosylation of trisaccharide acceptor 5 with mannosyl bromide 6 gave the expected tetrasaccharide that was subjected to deprotection to afford free tetrasaccaride 7.

Synthesis of the linear α-(1→2)-tetramannoside related to the antigenic factor 1.
Unlike the synthesis of 7, other oligomannosides described in this section were prepared using a convergent blockwise approach. Thus, [2+2] glycosylation was applied for the assembly of a tetrasaccharide 10 with the terminal α-(1→3)-linked mannose unit corresponding to the antigenic factor 34 (Fig. 3) [8]. Used α-(1→3)-linked disaccharide donor block 9 was obtained by AgOTf-promoted glycosylation of thiomannoside 8 with mannosyl bromide 6. Subsequent coupling of 9 with dimannoside 3 and removal of the protecting groups from the resulting tetrasaccharide provided the target product 10.

Synthesis of the linear tetramannoside related to the antigenic factor 34.
Linear heptasaccharide 21 built of alternating α-(1→2)- and α-(1→3)-mannose residues with a terminal β-(1→2)-mannose unit represented the antigenic factor 9 devoid of α-(1→6)-linked side mannose residues. The latter was synthesized using [3+4] glycosylation in the final step of the oligosaccharide chain assembly (Fig. 4) [10].

Synthesis of the linear heptamannoside related to the antigenic factor 9.
At first, the donor and acceptor blocks 15 and 19 were prepared. β-Mannosylation of allyl glycoside 12 [11] with thioglycoside 11 [12] under Crich’s conditions [13] afforded β-disaccharide 13 in 69% yield. Replacement of the 4,6-O-benzylidene group by benzoates and transformation of the allyl glycoside into trichloroacetimidate provided glycosyl donor 14 that was coupled with acceptor 8 to furnish trisaccharide donor block 15. To prepare acceptor block 19, acceptor 8 was glycosylated with mannosyl chloride 16 [14] with the formation of disaccharide 17. The acetyl group in 17 was replaced by a chloroacetyl one to give donor 18 as the removal of the acetyl group by acidic methanolysis from the corresponding tetrasaccharide obtained by glycosylation of 3 with 17 was sluggish and produced acceptor 19 in a low yield. Condensation of 18 with 3 followed by removal of the chloroacetyl group from the glycosylation product with thiourea provided necessary acceptor 19. Final glycosylation of 19 with 15 afforded heptasaccharide 20; subsequent deprotection of 20 gave free oligomannoside 21.
3,6-Branched oligomannosides related to the antigenic factor 4 were also synthesized with the use of the blockwise approach. Pentasaccharide 25 was obtained by [3+2] glycosylation (Fig. 5) [15]. Branched trisaccharide glycosyl donor 23 was prepared by the Bredereck glycosylation [16] of 3,6-ditrityl ether 22 with mannosyl bromide 6 in the presence of AgOTf. Further coupling of 23 with disaccharide acceptor 3 afforded pentasaccharide 24 that was subjected to deprotection with the formation of free product 25.

Synthesis of the branched pentamannoside related to the antigenic factor 4.
Branched hexasaccharide 32 was assembled from disaccharide blocks 3, 27 and 31 (Fig. 6) [15]. Monosaccharide precursor 26 of the mannose residue in the branching point contained different protecting groups at O-3 and O-6, thus providing an opportunity to attach different glycosyl substituents to these positions. The Bredereck glycosylation of 26 with mannosyl bromide 6 afforded disaccharide donor 27. Its coupling with acceptor 3 followed by acidic removal of the silyl protection produced tetrasaccharide acceptor 28. The third disaccharide block 31 was obtained in 60% yield by glycosylation of thiomannoside 30 [17] with trichloroacetimidate 29 [18]. It is noteworthy that AgOTf-promoted glycosylation of 30 with bromide 6 provided disaccharide 31 in a much lower yield (~20%) due to the predominant transfer of the EtS group from acceptor 30 to donor 6. Since donor 31 contained a nonparticipating glycosyl substituent at O-2 of the glycosylating mannose residue, its reaction with 28 was not stereospecific and afforded the necessary α-hexasaccharide in a moderate yield (44%) along with the corresponding β-anomer (14%). Removal of protecting groups from the α-product gave hexasaccharide 32.

Synthesis of the branched hexamannoside related to the antigenic factor 4.
We have also synthesized a series of oligosaccharides, in which β-(1→2)-mannoside blocks comprising 1–4 monosaccharide residues are attached via a glycoside bond to O-2 of the terminal unit of an α-(1→2)-oligomannoside chain. This type of β-(1→2)-oligomannosides is referred to as acid-stable mannan and corresponds to the antigenic factor 6. β-Mannosylation is one of the most difficult cases of glycosylation reactions [19]. Two general approaches to β-mannosylation are known to date. The first one is indirect and based on initial β-glucosylation followed by inversion of the configuration at C-2 in the glucose residue [20]. The second one is based on direct β-mannosylation with conformationally rigid 4,6-O-benzylidene-protected mannosyl donors [21]. In contrast to the first approach that allows the chain elongation to be performed by only one monosaccharide unit, more efficient blockwise assembly of (1→2)-oligomannoside chains [22], [23] is possible in the case of direct β-mannosylation. There is also a single example [24] of the preparation of β-(1→2)-oligomannosides using the intramolecular aglycon delivery (for a review see [25]).
Our synthesis was based on direct β-mannosylation with donor blocks containing up to four mannose residues for the assembly of the target oligosaccharides. One of our aims was to ascertain, whether the donor blocks larger than the reported dimannosides [22], [23] can successfully be applied to the introduction of long β-(1→2)-oligomannoside sequences into an oligosaccharide chain. The synthesis of the oligomannoside donors is outlined in Fig. 7 [26], [27]. Disaccharide thioglycoside 33 was used as the starting material. Its oxidation with mCPBA led to sulfoxide 34, and removal of the PMP group provided disaccharide acceptor 35. β-Mannosylation of acceptors 36 [28] and 35 with sulfoxide 34 under preactivation conditions [21] produced tri- and tetramannoside donors 37 and 39, respectively. Oxidation of 37 gave sulfoxide 38.

Synthesis of oligomannosyl donors for the assembly of β-(1→2)-oligomannosides.
The set of available β-(1→2)-oligomannoside donors 33, 34, and 37–39 together with known monosaccharide donors 40 and 41 [29] allowed the synthesis of oligomannosides comprising from one to four β-mannosyl units (Fig. 8). Besides, having three pairs of thioglycoside and sulfoxide donors, we could study the influence of the donor type and activation conditions on the efficiency of β-mannosylation. Published data concerning these issues are contradictory [19], [21]. Within the pair of the monosaccharide donors, NIS–TfOH-promoted mannosylation of acceptor 42 with thioglycoside 40 without preactivation [21] provided a higher yield (37%) of tetrasaccharide 43 than that with sulfoxide 41 under preactivation conditions (17%). A similar result was obtained in the case of dimannoside donors: glycosylation of 42 with thioglycoside 33 without preactivation gave 65% of pentasaccharide 44, while sulfoxide 34 with preactivation provided a lower yield of 44 (37%). On the contrary, only glycosylation of 42 with trisaccharide sulfoxide 38 under preactivation conditions gave hexasacchride 45 in a modest yield (27%), while no formation of 45 was observed upon glycosylation with thioglycoside 37. Finally, NIS–TfOH-promoted glycosylation of acceptor 3 with tri- and tetrasacchride thioglycosides 37 and 39 afforded oligosaccharides 46 and 47 in yields of 41 and 53%, respectively.

Synthesis of oligomannosides related to the antigenic factor 6.
Two conclusions may be drawn from these results: first, the donor blocks larger than dimannosides can be applied for the blockwise synthesis of oligosaccharides comprising long β-(1→2)-oligomannoside sequences; second, the efficiency of β-mannosylation with mono- and oligomannoside donors seems to depend more on the structure of the reaction partners than on the applied activation protocol (i.e. with or without preactivation of the donor). Removal of the protecting groups from compounds 43–47 furnished free oligomannosides 48–52.
Some of the oligomannosides described in this section were conjugated to BSA [8], [10], [15] using a squarate procedure [30]. Immunomodulatory properties of these glycoconjugates have extensively been studied [31], [32], [33], [34], [35] as well.
Synthesis of linear and branched oligosaccharides structurally related to fungal β-glucan
β-(1→3)-Glucan is the major structural polysaccharide of the fungal cell wall, constituting approximately 50–60% of the wall by dry weight [36]. The presence of this highly conserved glycopolymer in different pathogenic fungal species makes it a rational target for vaccine development. Conjugates of either natural β-(1→3)-glucan, laminarin [37], or linear synthetic β-(1→3)-oligoglucosides [38], [39] with carrier proteins were shown to be immunogenic and protective in mice against infections induced by Candida albicans and Aspergillus fumigatus. This opens a very good prospect to develop an efficient vaccine against both these dangerous pathogens because of the presence of β-(1→3)-glucan as the component of their cell wall. Important biological properties of β-(1→3)-glucans stimulated considerable activity in the chemical synthesis of β-(1→3)-oligoglucosides that was summarized by us in a recent review [40]. The most of published syntheses of β-(1→3)-oligoglucosides were based on application of glycosyl acceptors protected with 4,6-O-benzylidene and 2-O-acyl groups. However, the use of regioselective 3-O-glycosylation of 4,6-O-benzylidene-protected glycosyl acceptors with a free 2-OH group [41] seems to be more convenient. In our synthesis, we employed regioselective 3-O-glycosylation of 4,6-O-benzylidene-protected 2,3-diol glycosyl acceptors by a disaccharide donor block for the chain elongation. The synthesis of the donor block and a trisaccharide acceptor is presented in Fig. 9.

Synthesis of the disaccharide glycosyl donor and the trisaccharide glycosyl acceptor.
Glycosylation of 2,3-diol 54 [42] with trichloroacetimidate 53 [43] displayed good regioselectivity providing the corresponding β-(1→3)-disaccharide in 55% yield along with its β-(1→2)-linked isomer (8%), which were easily separated by silica gel column chromatography. Subsequent conventional benzoylation of free 2-OH gave disaccharide thioglycoside 55. Similar regioselective glycosylation of spacer-armed 2,3-diol 56 [44] with 55 followed by benzoylation of the remaining 2-OH group resulted in the formation of trisaccharide 57. Selective removal of the acetyl groups in the presence of benzoates was achieved by brief treatment of 57 with a large excess (50 equiv.) of hydrazine hydrate; as a result, acceptor 58 was obtained in 79% yield. However, for the further chain elongation, we decided to use a glycosyl donor containing chloroacetyl groups as temporary protections of 2,3-diol to ensure its more reliable and efficient liberation for the next glycosylation step. To this aim, the acetyl groups in 55 were removed with hydrazine hydrate and the diol formed was chloroacetylated to furnish donor 59. The assembly of a series of β-(1→3)-oligoglucosides comprising the odd number of monosaccharide units from donor 59 and acceptor 58 is presented in Fig. 10.

Assembly of linear β-(1→3)-oligoglucosides.
NIS–TfOH-promoted glycosylation of 58 with 59 was completely regioselective and produced β-(1→3)-linked pentasaccharide 60 in 91% yield. The hydroxyl group in the former acceptor glucose residue was acetylated, and then the chloroacetyl groups were selectively removed to provide a new acceptor. Its glycosylation with 59 afforded heptasaccharide 61. Iteration of acetylation, dechloroacetylation and glycosylation afforded in sequence nonasaccharide 62, undecasaccharide 63 and tridecasaccharide 64. Transformation of the protected oligomers into free 3-aminopropyl glycosides 65–70 included successive acidic removal of the benzylidene groups, basic deacylation and hydrogenolysis of the N-benzyloxycarbonyl group.
We have also synthesized two branched hexaglucosides in which a single β-(1→6)-glucose residue is attached either to the first or to the central glucose unit of a linear β-(1→3)-pentaglucoside core. The synthesis was based on the initial assembly of a linear β-(1→3)-pentaglucoside that bore a selectively removable 4,6-O-(p-methoxybenzylidene) group in the glucose residue subsequently forming the branching point (Figs. 11 and 12) [45]. Many of the mono- and oligosaccharide synthetic block used in the above synthesis of linear oligoglucosides were also employed for the preparation of the branched oligosaccharides.

Synthesis of the hexaglucoside with branching in the central glucose unit of the linear core.

Synthesis of the hexaglucoside with branching in the first glucose unit of the linear core.
Selective TMSOTf-promoted glycosylation of diol 56 with trichloroacetimidate 53 afforded disaccharide 71 that was subjected to benzoylation and selective deacetylation to give disaccharide diol 72. The glucose block with the 4,6-O-(p-methoxybenzylidene) group was introduced by glycosylation of diol 72 with imidate 73 resulting in the formation of trisaccharide 74. Subsequent benzoylation and deacetylation of 74 provided trisaccharide diol 75. Its glycosylation with thioglycoside 59, acetylation of free 2-OH in the pentasaccharide formed and selective hydrolysis of p-methoxybenzylidene acetal produced pentasaccharide acceptor 76 for the final attachment of the side glucose unite. Selective glycosylation of the primary hydroxyl group in 76 with imidate 77 afforded a hexasaccharide (65%) that was deprotected as described above for the linear analogs to provide target free oligosaccharide 78.
The second branched hexasaccharide was prepared in a similar way (Fig. 12) [45]. 4,6-O-(p-Methoxybenzylidene)-protected acceptor 79 representing the glucose unit at the reducing end of the chain was twice elongated using disaccharide thioglycosides 59 and 55. First glycosylation with 59 afforded trisaccharide 80 that was converted into acceptor 81, and the second glycosylation with 55 produced pentasaccharide 82. Selective removal of the p-methoxybenzylidene protection from 82 gave triol 83. Glycosylation of 83 with trichloroacetimidate 84 proceeded regioselectively at the primary OH group and provided a hexasacchride in 70% yield; its subsequent deprotection resulted in the formation of target product 85.
Linear nonaglucoside 68 and branched hexaglucoside 78 were conjugated to BSA via a squarate linker. The conjugates were studied in respect to the development of an antifungal vaccine [34], [46]. Protective effect of active immunization with the conjugate of linear nonaglucoside 78 has been revealed in vivo in the experimental hematogenously disseminated C. albicans infection [46].
Synthesis of linear oligosaccharides structurally related to α-glucan of Aspergillus fumigatus cell wall
Aspergillus fumigatus is a very common air-borne mold causing severe and usually fatal invasive aspergillosis infection in immunosuppressed hospital patients. At risk are mainly patients in onco-hematology units and those undergoing intensive immunosuppressive therapy after receiving organ transplants. α-(1→3)-Glucan is the major polysaccharide of A. fumigatus cell wall and constitutes 19 and 40% of the conidial and mycelial cell wall polysaccharides, respectively. It contributes to the virulence of diverse fungal pathogens and is involved in the aggregation of germinating conidia and biofilm formation. Moreover, it has been shown in experimental murine aspergillosis models that α-(1→3)-glucan has a prominent immunological role conferring a long-term survival [47]. The study of functions of this polysaccharide is complicated by its insolubility in water, therefore, synthetic soluble α-(1→3)-glucooligosaccharides of strictly defined structure and their conjugates with protein carriers and labels would provide tools for better control of antibody production with better definition of the epitope recognized and help in the identification of the human receptor for this polysaccharide.
The prerequisite for efficient preparation of sufficiently long α-(1→3)-oligoglucosides (Fig. 13) is high α-stereoselectivity at each glycosylation step. We planned to achieve it using the remote anchimeric assistance of acyl groups [48], [49]. Model investigations showed that glucosyl N-phenyltrifluoroacetimidates bearing two participating acyl groups at O-3 and O-6 or a single acyl group at O-6 only provided high efficiency and α-stereoselectivity of glucosylation [50]. The ability of the 6-O-acylated glucosyl donors to highly stereoselective α-glucosylation was of particular importance, since it enabled application of α-(1→3)-linked disaccharide and potentially higher oligosaccharide donor blocks, containing a 6-O-acyl group in the glycosylating glucose unit, for the chain elongation without loss of α-stereoselectivity.

Synthesis of α-(1→3)-pentaglucoside.
The successful use of this finding for the synthesis of the α-(1→3)-pentaglucoside is presented in Fig. 13 [51]. Selectively removable p-methoxyphenyl and levulinoyl groups serving for temporary protection of 3-OH and the anomeric position, respectively provided the simple and efficient interconversion of donor and acceptor blocks. Glycosyl acceptor 89 representing the reducing end of the chain was synthesized from 4,6-O-benzylidene derivative 86 by successive removal of the anomeric MP group, conversion of the hemiacetal formed into glycosyl bromide 87, halide-catalyzed α-glucosylation of 3-trifluoroacetamidopropanol and removal of the levulinoyl group from glycoside 88. The donor and acceptor blocks for the chain elongation were prepared from the single precursor 90. Acylation of 3-OH, removal of the anomeric MP group and acylation of the anomeric hydroxyl with CF3C(=NPh)Cl afforded monosaccharide glucosyl donor 91. Its MeOTf-promoted coupling with acceptor 90 smoothly gave α-disaccharide 92 (90%) that was converted in two steps into disaccharide donor 93 in total yield of 70%. Glycosylation of acceptor 89 with 93 followed by removal of the levulinoyl group afforded trisaccharide acceptor 94. In the final step, 94 was coupled with imidate 93 to provide α-pentasaccharide in 68% yield. Deprotection of 95 included successive removal of the Lev group with hydrazine acetate, removal of the benzyl and benzylidene groups by catalytic hydrogenolysis and basic splitting of O- and N-acyl groups and gave free α-(1→3)-pentaglucoside 96. This compound was conjugated to BSA via a squarate linker, and the conjugate obtained was used for induction of antibodies in mice. These polyclonal antibodies were shown to be efficient for immunolabeling α-(1→3)-glucan-positive morphotypes of A. fumigatus [51].
Synthesis of linear oligosaccharides structurally related to Aspergillus galactomannan
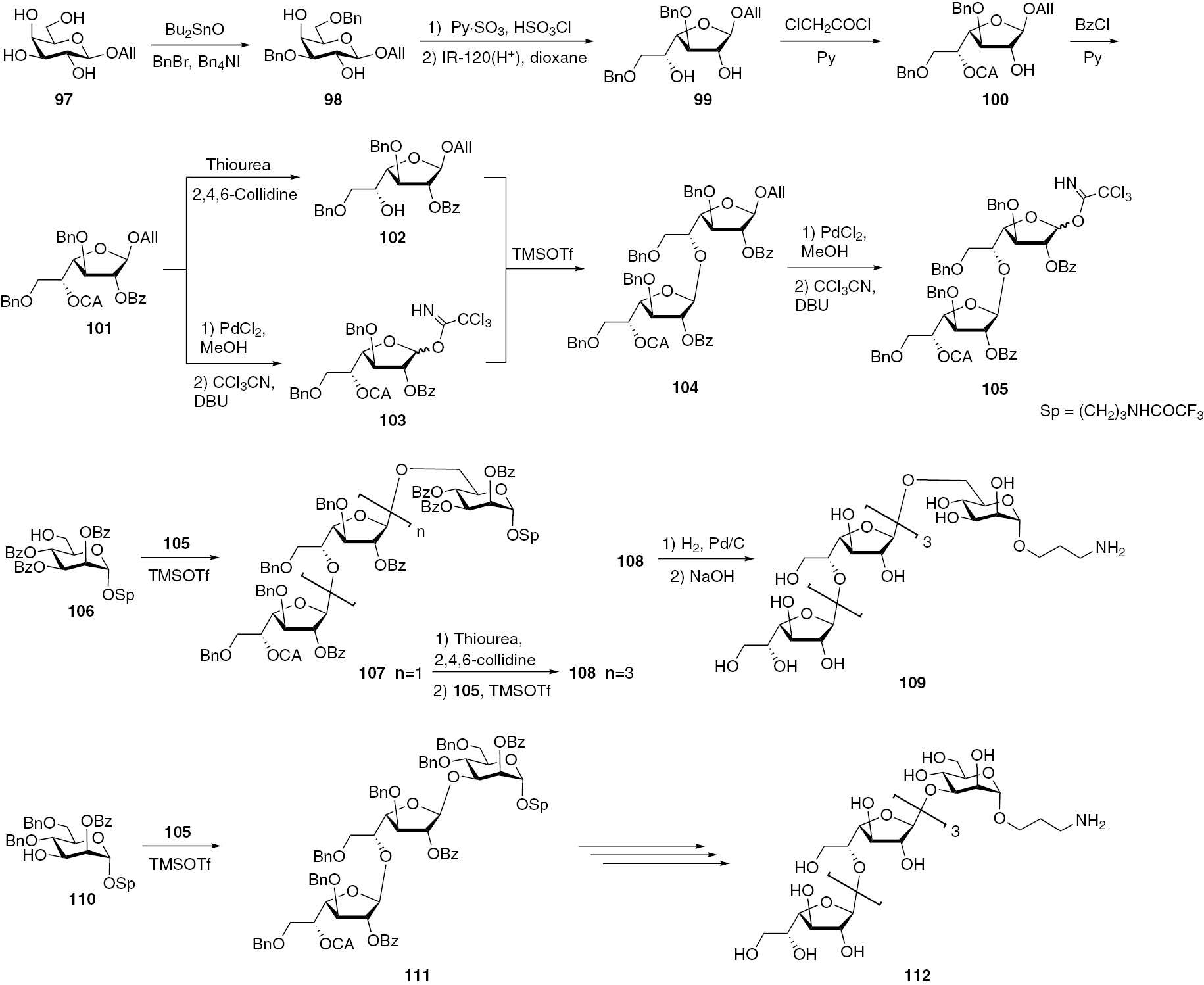
Galactomannan is a specific carbohydrate antigen of A. fumigatus [52]. Diagnosis of invasive aspergillosis infections commonly employs detection of this polysaccharide antigen circulating in the patient serum [52]. Moreover, galactomannan is considered as a promising base for development of approaches to the aspergillosis treatment using vaccines or therapeutic antibodies. With regard to the importance of A. fumigatus galactomannan, we initiated the synthesis of related antigenic oligosaccharides. Galactomannan represents a structurally diverse heteropolysaccharide build up from poly-d-mannose backbone with β-(1→5)-linked oligogalactofuranoside side chains attached to some of the mannose units via (1→6)- and/or (1→3)-bonds [53]. We performed (Fig. 14) the synthesis of two galactomannan-related heterosaccharides 109 and 112 containing both (1→6)- and (1→3)-linkages between galactose and mannose moieties [54].

Synthesis of pentasaccharides 109 and 112 related to the galactomannan from A. fumigatus.
The synthesis was carried out with the use of the recently discovered PIF-rearrangement [55], [56], [57], [58] of selectively O-substituted galactopyranoside 98 which was prepared by regioselective 3,6-di-O-benzylation of allyl galactoside 97 via the organotin intermediate. PIF-rearrangement of pyranoside 98 into sulfated furanoside occurred upon treatment with the Py·SO3 complex and chlorosulfonic acid; subsequent solvolytic O-desulfation in dioxane in the presence of Amberlite IR-120 (H+) afforded furanoside 99. The reactivity of the 5-OH and 2-OH groups in diol 99 was rather different. Thus, chloroacetylation of 99 in the presence of pyridine in DCM at low temperatures smoothly produced 5-O-acylated product 100, which was then benzoylated to give orthogonally protected precursor 101. A part of compound 101 was transformed into glycosyl-acceptor 102 by dechloroacetylation with thiourea and another part of 101 was deallylated and converted into trichloroacetimidate to give glycosyl donor 103. The coupling of 102 and 103 in the presence of TMSOTf gave exclusively β-linked disaccharide 104. Anomeric O-deallylation and subsequent trichloroacetimidoylation of disaccharide 104 gave desired disaccharide donors 105.
Spacer-armed mannoside 106 was glycosylated with disaccharide donor 105 to give trisaccharide 107 with newly formed β-(1→6)-bond. O-Dechloroacetylation and subsequent glycosylation by trichloroacetimidate 105 gave pentasaccharide 108. Its full deprotection yielded target spacer-armed pentasaccharide 109. For the synthesis of isomeric pentasaccharide 112 comprising the β-(1→3)-bond between galactoside and mannoside residues, spacer-armed mannoside acceptor 110 was glycosylated with disaccharide donor 105. Further chain elongation followed by complete O-deblocking gave desired pentasaccharide 112.
Prepared oligosaccharides 109 and 112 were conjugated to BSA using squarate procedure [30] and labeled with biotin. These glycoconjugates were used for generation of monoclonal antibodies and also as model ligands for determination of their ligand specificity.
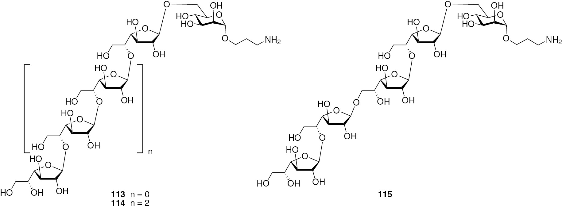
The above synthetic approaches together with controlled O(5)→O(6) benzoyl migration were also applied [59] for the synthesis of tri- (113) and heptasaccharide 114 and to the synthesis of pentasaccharide 115 (Fig. 15) whose oligo-galactofuranosyl sequence contains not only β-(1→5)-bonds but also one β-(1→6)-bond which was detected in minor components of galactomannan [60].

Synthesized oligosaccharides 113–115 related to the galactomannan from A. fumigatus.
Conclusion and prospects
Described syntheses considerably extend the repertoire of chemical approaches towards stereo- and regio-selective assembling of homo- and heterosaccharide chains which are structurally related to polysaccharide components of fungal cell wall. The carbohydrate derivatives of this group are required for a variety of glycobiologic and pharmaceutical investigations including the screening of specificity of anti-carbohydrate Abs [46], [51], [61], design of immunogens and preparation MAbs for in vitro diagnostics for detecting sera Ig-isotypic antibodies (for example see Fig. 16 and [34]) or monitoring of the efficacy of anti-fungal treatment and disease progression. Synthetic spacered oligosaccharide ligands are also required in the development of therapeutic MAbs and vaccines (see also [62]), search for inhibitors of the polysaccharide biosynthesis and blockers of fungal adhesion to host cells. Synthetic oligosaccharides of defined structure representing different fragments of fungal polysaccharides are also indispensable models for different spectral investigations [63], including computer-assisted ones [64], [65] and conformational analysis to assess the details of 3D spatial organization of fungal carbohydrate antigens and their interaction with related receptors. β-(1→3)-Glucan related oligosaccharide ligands represent also an interest as potential vector components which may enhance vaccine efficiency by its targeting to dendritic cells carrying Dectin-1 [66], [67].
![Fig. 16:
An overview of sera anti-oligosaccharide specific Ig class antibody responses. Biotinylated derivatives of oligosaccharide ligands [1 – Galf(1→5)-[Galf(1→5)]3-(1→6)-αMan; 2 – Galf(1→5)-[Galf(1→5)]3-(1→3)-αMan; 3 – βGlc-(1→3)-βGlc-(1→3)-[βGlc-(1→6)]-βGlc-(1→3)-βGlc-(1→3)-βGlc; 4 – βGlc-(1→3)-[βGlc(1→3)]7-βGlc; 5 – βMan-(1→2)-αMan-(1→3)-αMan-(1→2)-αMan-(1→3)-αMan-(1→2)-αMan-(1→2); 6 – αMan-(1→2)-αMan-(1→3)-[αMan-(1→6)]-αMan-(1→2)-αMan-(1→2)-αMan; 7 – αMan-(1→2)-[αMan-(1→3)]-αMan-(1→2)-αMan-(1→2)-αMan; 8 – αMan-(1→3)-αMan-(1→2)-αMan-(1→2)-αMan; 9 – αMan-(1→2)-αMan-(1→2)-αMan; 10 – βMan-(1→2)-αMan-(1→2)-αMan] were used as antigens. Study cohort comprised 32 patients with RVC (Dept. Clin. Immunol. Allergol., OISE, Bratislava, Slovakia). Sera levels were determined by modified ELISA anti-Candida (Biogema, Košice, Slovakia).](/document/doi/10.1515/pac-2016-1011/asset/graphic/j_pac-2016-1011_fig_032.jpg)
An overview of sera anti-oligosaccharide specific Ig class antibody responses. Biotinylated derivatives of oligosaccharide ligands [1 – Galf(1→5)-[Galf(1→5)]3-(1→6)-αMan; 2 – Galf(1→5)-[Galf(1→5)]3-(1→3)-αMan; 3 – βGlc-(1→3)-βGlc-(1→3)-[βGlc-(1→6)]-βGlc-(1→3)-βGlc-(1→3)-βGlc; 4 – βGlc-(1→3)-[βGlc(1→3)]7-βGlc; 5 – βMan-(1→2)-αMan-(1→3)-αMan-(1→2)-αMan-(1→3)-αMan-(1→2)-αMan-(1→2); 6 – αMan-(1→2)-αMan-(1→3)-[αMan-(1→6)]-αMan-(1→2)-αMan-(1→2)-αMan; 7 – αMan-(1→2)-[αMan-(1→3)]-αMan-(1→2)-αMan-(1→2)-αMan; 8 – αMan-(1→3)-αMan-(1→2)-αMan-(1→2)-αMan; 9 – αMan-(1→2)-αMan-(1→2)-αMan; 10 – βMan-(1→2)-αMan-(1→2)-αMan] were used as antigens. Study cohort comprised 32 patients with RVC (Dept. Clin. Immunol. Allergol., OISE, Bratislava, Slovakia). Sera levels were determined by modified ELISA anti-Candida (Biogema, Košice, Slovakia).
Article note
A collection of invited papers based on presentations at the XXVIII International Carbohydrate Symposium (ICS-28), New Orleans, July 17–21 2016.
Funding source: Russian Science Foundation
Award Identifier / Grant number: 14-23-00199
Funding statement: This work was supported by the Russian Science Foundation (grant 14-23-00199).
Acknowledgments
This work was supported by the Russian Science Foundation (grant 14-23-00199).
References
[1] Synthetic Oligosaccharides: Indispensable Probes for the Life Sciences, P. Kovac (Ed.), ACS Symposium Series 560; American Chemical Society: Washington, DC (1994).Search in Google Scholar
[2] Essentials of Glycobiology, A. Varki, R. Cummings, J. Esko, H. Freeze, G. Hart, J. Marth (Eds.). Cold Spring Harbor Laboratory Press, Cold Spring Harbor, New York (2009).Search in Google Scholar
[3] M. A. Pfaller, R. N. Jones, S. A. Messer, M. B. Edmond, R. P. Wenzel. Diagn. Microbiol. Infect. Dis.31, 327 (1998).10.1016/S0732-8893(97)00240-XSearch in Google Scholar
[4] P. G. Pappas, J. H. Rex, J. Lee, R. J. Hamill, R. A. Larsen, W. Powderly, C. A. Kauffman, N. Hyslop, J. E. Mangino, S. Chapman, H. W. Horowitz, J. E. Edwards, W. E. Dismukes. Clin. Infect. Dis.37, 634 (2003).10.1086/376906Search in Google Scholar PubMed
[5] L. A. Perez-Garcia, D. F. Diaz-Jimenez, A. Lopez-Esparza, H. M. Mora-Montes. J. Glycobiol. 1, 102 (2011).Search in Google Scholar
[6] J. Masuoka. Clin. Micribiol. Rev. 17, 281 (2004).10.1128/CMR.17.2.281-310.2004Search in Google Scholar PubMed PubMed Central
[7] S. Suzuki. Curr. Top. Med. Mycol.8, 57 (1997).Search in Google Scholar
[8] A. A. Karelin, Y. E. Tsvetkov, G. Kogan, S. Bystricky, N. E. Nifantiev. Russ. J. Bioorg. Chem.33, 110 (2007).10.1134/S106816200701013XSearch in Google Scholar PubMed
[9] T. Peters. Liebigs Ann. Chem.1991, 135 (1991).10.1002/jlac.199119910125Search in Google Scholar
[10] A. A. Karelin, Y. E. Tsvetkov, L. Paulovičová, S. Bystrický, E. Paulovičová, N. E. Nifantiev. Carbohydr. Res.344, 29 (2009).10.1016/j.carres.2008.09.016Search in Google Scholar PubMed
[11] T. Ogawa, T. Nukada. Carbohydr. Res.136, 135 (1985).10.1016/0008-6215(85)85192-2Search in Google Scholar
[12] P. J. Garreg, I. Kvarnstroem, G. Niklasson, S. C. T. Svensson, J. Carbohydr. Chem.12, 933 (1993).10.1080/07328309308020107Search in Google Scholar
[13] D. Crich, A. Banerjee, W. Li, Q. Yao. J. Carbohydr. Chem.24, 415 (2005).10.1081/CAR-200066978Search in Google Scholar PubMed PubMed Central
[14] T. Ogawa, K. Katano, K. Sasajima, M. Matsui. Tetrahedron37, 2779 (1981).10.1016/S0040-4020(01)92345-2Search in Google Scholar
[15] A. A. Karelin, Y. E. Tsvetkov, L. Paulovičová, S. Bystrický, E. Paulovičová, N. E. Nifantiev. Carbohydr. Res.345, 1283 (2010).10.1016/j.carres.2009.11.012Search in Google Scholar PubMed
[16] H. Bredereck, A. Wagner, G. Faber, H. Ott, J. Rauther. Chem. Ber.92, 1135 (1959).10.1002/cber.19590920521Search in Google Scholar
[17] H. Paulsen, M. Heume, H. Neurnberger. Carbohydr. Res.200, 127 (1990).10.1016/0008-6215(90)84187-YSearch in Google Scholar
[18] F. Bien, T. Ziegler. Tetrahedron: Asymmetry9, 781 (1998).10.1016/S0957-4166(98)00052-4Search in Google Scholar
[19] X. Zhu, R. R. Schmidt. Angew. Chem. Int. Ed.48, 1900 (2009).10.1002/anie.200802036Search in Google Scholar PubMed
[20] F. Mathew, M. Mach, K. C. Hazen, B. Fraser-Reid. Synlett 1319 (2003).Search in Google Scholar
[21] D. Crich, S. Sun, Tetrahedron54, 8321 (1998).10.1016/S0040-4020(98)00426-8Search in Google Scholar
[22] J. Rahkila, F. S. Ekholm, R. Panchadhayee, A. Ardá, F J. Cañada, J. Jiménez-Barbero, R. Leino. Carbohydr. Res.383, 58 (2014).10.1016/j.carres.2013.10.017Search in Google Scholar PubMed
[23] F. Dromer, R. Chevalier, B. Sendid, L. Improvisi, T. Jouault, R. Robert, J. M. Mallet, D. Poulain. Antimicrob. Agents Chemother.46, 3869 (2002).10.1128/AAC.46.12.3869-3876.2002Search in Google Scholar PubMed PubMed Central
[24] V. Gannedi, A. Ali, P. P. Singh, R. A. Vishwakarma. Tetrahedron Lett. 55, 2945 (2014).10.1016/j.tetlet.2014.03.099Search in Google Scholar
[25] A. Ishiwata, Y. J. Lee, Y. Ito. Org. Biomol. Chem.8, 3596 (2010).10.1039/c004281aSearch in Google Scholar PubMed
[26] A. A. Karelin, Y. E. Tsvetkov, E. Paulovičová, L. Paulovičová, N. E. Nifantiev. Russ. Chem. Bull. Int. Ed.64, 2942 (2015).10.1007/s11172-015-1251-5Search in Google Scholar
[27] A. A. Karelin, Y. E. Tsvetkov, E. Paulovičová, L. Paulovičová, N. E. Nifantiev. Eur. J. Org. Chem.2016, 1173 (2016).10.1002/ejoc.201501464Search in Google Scholar
[28] D. Crich, S. Sun, J. Brunckova. J. Org. Chem.61, 605 (1996).10.1021/jo951194hSearch in Google Scholar PubMed
[29] D. Crich, A. Banerjee, Q. Yao. J. Am. Chem. Soc.126, 14930 (2004).10.1021/ja047194tSearch in Google Scholar PubMed
[30] L. F. Tietze, M. Arlt, M. Beller, K.-H. Glusenkamp, E. Jahde, M. Rajewsky. Chem. Ber.124, 1215 (1991).10.1002/cber.19911240539Search in Google Scholar
[31] L. Paulovičová, S. Bystricky, E. Paulovičová, A. A. Karelin, Y. E. Tsvetkov, N. E. Nifantiev. FEMS Immunol. Med. Microbiol.58, 307 (2010).10.1111/j.1574-695X.2009.00642.xSearch in Google Scholar PubMed
[32] L. Paulovičová, E. Paulovičová, A. A. Karelin, Y. E. Tsvetkov, N. E. Nifantiev, S. Bystrický. Int. Immunopharmacol.14, 179 (2012).10.1016/j.intimp.2012.07.004Search in Google Scholar PubMed
[33] L. Paulovičová, E. Paulovičová, A. A. Karelin, Y. E. Tsvetkov, N. E. Nifantiev, S. Bystrický. Scand. J. Immunol.77, 431 (2013).10.1111/sji.12044Search in Google Scholar PubMed
[34] E. Paulovičová, L. Paulovičová, R. Pilišiová, S. Bystrický, D. V. Yashunsky, A. A. Karelin, Y. E. Tsvetkov, N. E. Nifantiev. FEMS Yeast Res.13, 659 (2013).10.1111/1567-1364.12065Search in Google Scholar PubMed
[35] L. Paulovičová, E. Paulovičová, A. A. Karelin, Y. E. Tsvetkov, N. E. Nifantiev, S. Bystrický. J. Microbiol. Immunol. Infec.48, 9 (2015).10.1016/j.jmii.2013.08.020Search in Google Scholar PubMed
[36] S. M. Bowman, S. J. Free. Bioessays28, 799 (2006).10.1002/bies.20441Search in Google Scholar PubMed
[37] A. Torosantucci, C. Bromuro, P. Chiani, F. De Bernardis, F. Berti, C. Galli, F. Norelli, C. Bellucci, L. Polonelli, P. Costantino, R. Rappuoli, A. Cassone. J. Exp. Med.202, 597 (2005).10.1084/jem.20050749Search in Google Scholar PubMed PubMed Central
[38] C. Bromuro, M. Romano, P. Chiani, F. Berti, M. Tontini, D. Proietti, E. Mori, A. Torosantucci, P. Costantino, R. Rappuoli, A. Cassone. Vaccine28, 2615 (2010).10.1016/j.vaccine.2010.01.012Search in Google Scholar PubMed
[39] G. Liao, Z. Zhou, S. Burgula, J. Liao, C. Yuan, Q. Wu, Z. Guo. Bioconjugate Chem.26, 466 (2015).10.1021/bc500575aSearch in Google Scholar PubMed PubMed Central
[40] Y. E. Tsvetkov, E. A. Khatuntseva, D. V. Yashunsky, N. E. Nifantiev. Russ. Chem. Bull. Int. Ed.64, 990 (2015).10.1007/s11172-015-0969-4Search in Google Scholar
[41] H. Tanaka, T. Kawai, Y. Adachi, S. Hanashima, Y. Yamaguchi, N. Ohno, T. Takahashi. Bioorg. Med. Chem.20, 3898 (2012).10.1016/j.bmc.2012.04.017Search in Google Scholar PubMed
[42] R. Verduyn, M. Douwes, P. A. M. van der Klein, E. M. Moesinger, G. A. van der Marel, J. H. van Boom. Tetrahedron49, 7301 (1993).10.1016/S0040-4020(01)87208-2Search in Google Scholar
[43] S. Weiler, R. R. Schmidt. Tetrahedron Lett.39, 2299 (1998).10.1016/S0040-4039(98)00246-9Search in Google Scholar
[44] Y. Wang, Q. Yan, J. Wu, L.-H. Zhang, X.-S. Ye. Tetrahedron61, 4313 (2005).10.1016/j.tet.2005.02.023Search in Google Scholar
[45] D. V. Yashynsky, Y. E. Tsvetkov, N. E. Nifantiev. Russ. Chem. Bull. Int. Ed.64, 2922 (2015).10.1007/s11172-015-1249-zSearch in Google Scholar
[46] E. Paulovičová, L. Paulovičová, R. Pilišiová, V. Jančinová, D. V. Yashunsky, A. A. Karelin, Y. E. Tsvetkov, N. E. Nifantiev. Cell. Microbiol.18, 1294 (2016).10.1111/cmi.12631Search in Google Scholar PubMed
[47] A. Beauvais, S. Bozza, O. Kniemeyer, C. Formosa, V. Balloy, C. Henry, R. W. Roberson, E. Dague, M. Chignard, A. A. Brakhage, L. Romani, J. P. Latgé. PLoS Pathog.9, e10037162013 (2013); and references cited therein.10.1371/annotation/05c0ca66-4ed9-4c04-96c6-3addac835e04Search in Google Scholar
[48] B. S. Komarova, N. E. Ustyuzhanina, Y. E. Tsvetkov, N. E. Nifantiev. “Stereocontrol of 1,2-cis-glycosylation by remote o-acyl protecting groups,” in Modern Synthetic Methods in Carbohydrate Chemistry: From Monosaccharides to Complex Glycoconjugates, S. Vidal, D. Werz (Eds.), pp. 125–159, Wiley, Weinheim (2013).10.1002/9783527658947.ch5Search in Google Scholar
[49] B. S. Komarova, M. V. Orekhova, Y. E. Tsvetkov, N. E. Nifantiev. “Contribution of carbohydrate chemistry to assessment of the biological role of natural α-glucosides,” in Specialists Periodical Reports: Carbohydrate Chemistry – Chemical and Biological Approaches, A. P. Rauter, T. Lindhorst, Y. Queneau (Eds.), Vol. 41, pp. 187–237, RSC, Cambridge (2015).10.1039/9781782620600-00187Search in Google Scholar
[50] B. S. Komarova, M. V. Orekhova, Y. E. Tsvetkov, N. E. Nifantiev. Carbohydr. Res.384, 70 (2014).10.1016/j.carres.2013.11.016Search in Google Scholar PubMed
[51] B. S. Komarova, M. V. Orekhova, Y. E. Tsvetkov, R. Beau, V. Aimanianda, J.-P. Latgé, N. E. Nifantiev. Chem. Eur. J.21, 1029 (2015).10.1002/chem.201404770Search in Google Scholar PubMed
[52] J. P. Latgé. Clin. Microbiol. Rev. 12, 310 (1999).10.1128/CMR.12.2.310Search in Google Scholar PubMed PubMed Central
[53] J. P. Latgé, H. Kobayashi, J. P. Debeaupuis, M. Diaquin, J. Sarfati, J. M. Wieruszeski, E. Parra, J. P. Bouchara, B. Fournet. Infect. Immun. 62, 5424 (1994).10.1128/iai.62.12.5424-5433.1994Search in Google Scholar PubMed PubMed Central
[54] D. A. Argunov, V. B. Krylov, N. E. Nifantiev. Org. Biomol. Chem.13, 3255 (2015).10.1039/C4OB02634ASearch in Google Scholar PubMed
[55] V. B. Krylov, D. A. Argunov, D. Z. Vinnitskiy, S. A. Verkhnyatskaya, A. G. Gerbst, N. E. Ustyuzhanina, A. S. Dmitrenok, J. Huebner, O. Holst, H.-C. Siebert, N. E. Nifantiev. Chem. Eur. J.20, 16516 (2014).10.1002/chem.201405083Search in Google Scholar PubMed
[56] V. B. Krylov, A. G. Gerbst, D. A. Argunov, A. S. Dmitrenok, A. S. Shashkov, Z. Kaczynski, J. Huebner, O. Holst, N. E. Nifantiev. Chem. Eur. J.21, 1749 (2015).10.1002/chem.201405857Search in Google Scholar PubMed
[57] D. Z. Vinnitskiy, V. B. Krylov, N. E. Ustyuzhanina, A. S. Dmitrenok, N.E. Nifantiev. Org. Biomol. Chem.14, 598 (2016).10.1039/C5OB02040ASearch in Google Scholar PubMed
[58] V. B. Krylov, D. A. Argunov, D. Z. Vinnitskiy, A. G. Gerbst, N. E. Ustyuzhanina, A. S. Dmitrenok, N. E. Nifantiev. Synlett27, 1659 (2016).10.1055/s-0035-1561595Search in Google Scholar
[59] D. A. Argunov, V. B. Krylov, N. E. Nifantiev. Org. Lett.18, 5504 (2016).10.1021/acs.orglett.6b02735Search in Google Scholar PubMed
[60] A. Kudoh, Y. Okawa, N. Shibata. Glycobiology25, 74 (2015).10.1093/glycob/cwu091Search in Google Scholar PubMed
[61] Y. E. Tsvetkov, M. Burg-Roderfeld, G. Loers, A. Arda, E. V. Sukhova, E. A. Khatuntseva, A. A. Grachev, A. O. Chizhov, H.-C. Siebert, M. Schachner, J. Jimenez-Barbero, N. E. Nifantiev. J. Am. Chem. Soc. 134, 426 (2012).10.1021/ja2083015Search in Google Scholar PubMed
[62] A. Cassone. Nature Rev. Microbiol.11, 884 (2013).10.1038/nrmicro3156Search in Google Scholar PubMed
[63] A. G. Gerbst, V. B. Krylov, D. Z. Vinnitskiy, A. S. Dmitrenok, A. S. Shashkov, N. E. Nifantiev. Carbohydr. Res.417, 1 (2015).10.1016/j.carres.2015.08.014Search in Google Scholar PubMed
[64] G. M. Lipkind, A. S. Shashkov, N. E. Nifant’ev, N. K. Kochetkov. Carbohydr. Res.237, 11 (1992).Search in Google Scholar
[65] N. K. Kochetkov, G. M. Lipkind, A. S. Shashkov, N. E. Nifant’ev. Carbohydr. Res.221, 145 (1991).10.1016/0008-6215(91)80053-PSearch in Google Scholar
[66] T. Lipinski, A. Fitieh, J. St. Pierre, H. L. Ostergaard, D. R. Bundle, N. Touret. J. Immunol.190, 4116 (2013).10.4049/jimmunol.1202937Search in Google Scholar PubMed
[67] A. Donadei, S. Gallorini, F. Berti, D. T. O’Hagan, R. Adamo, B. C. Baudner. Mol. Pharmaceutics, 12, 1662 (2015).10.1021/acs.molpharmaceut.5b00072Search in Google Scholar PubMed
©2017 IUPAC & De Gruyter. This work is licensed under a Creative Commons Attribution-NonCommercial-NoDerivatives 4.0 International License. For more information, please visit: http://creativecommons.org/licenses/by-nc-nd/4.0/
Articles in the same Issue
- Frontmatter
- In this issue
- Preface
- XXVIII International Carbohydrate Symposium (ICS-28)
- Conference papers
- Synthesis of Group B Streptococcus type III polysaccharide fragments for evaluation of their interactions with monoclonal antibodies
- NMR analysis of compositional heterogeneity in polysaccharides
- Recent advances in the synthesis of fungal antigenic oligosaccharides
- Synthetic utility of endocyclic cleavage reaction
- FUT8: from biochemistry to synthesis of core-fucosylated N-glycans
- 1,3-Di(2-dipyridyl)propan-1,3-dione – a new fluorogenic labeling reagent for milk oligosaccharides
- Chitosan nanoparticles based nanovaccines for cancer immunotherapy
- A metagenomic approach to discover a novel β-glucosidase from bovine rumens
- IUPAC Technical Report
- A critical review of the proposed definitions of fundamental chemical quantities and their impact on chemical communities (IUPAC Technical Report)
Articles in the same Issue
- Frontmatter
- In this issue
- Preface
- XXVIII International Carbohydrate Symposium (ICS-28)
- Conference papers
- Synthesis of Group B Streptococcus type III polysaccharide fragments for evaluation of their interactions with monoclonal antibodies
- NMR analysis of compositional heterogeneity in polysaccharides
- Recent advances in the synthesis of fungal antigenic oligosaccharides
- Synthetic utility of endocyclic cleavage reaction
- FUT8: from biochemistry to synthesis of core-fucosylated N-glycans
- 1,3-Di(2-dipyridyl)propan-1,3-dione – a new fluorogenic labeling reagent for milk oligosaccharides
- Chitosan nanoparticles based nanovaccines for cancer immunotherapy
- A metagenomic approach to discover a novel β-glucosidase from bovine rumens
- IUPAC Technical Report
- A critical review of the proposed definitions of fundamental chemical quantities and their impact on chemical communities (IUPAC Technical Report)