Home 3-Acyloxy-1,4-enyne: A new five-carbon synthon for rhodium-catalyzed [5 + 2] cycloadditions
Article Publicly Available

3-Acyloxy-1,4-enyne: A new five-carbon synthon for rhodium-catalyzed [5 + 2] cycloadditions

  • Casi M. Schienebeck , Xiaoxun Li , Xing-zhong Shu and Weiping Tang EMAIL logo
Published/Copyright: February 18, 2014

Abstract

Seven-membered rings are ubiquitous in natural products and pharmaceutical agents, and their syntheses continue to stimulate the development of novel synthetic methods. The [5 + 2] cycloaddition is one of the most efficient ways to access seven-membered rings since the two-carbon components (alkenes, alkynes, or allenes) are readily available. Prior to our study, however, there was only one type of transition-metal-catalyzed [5 + 2] cycloaddition: the reaction between vinylcyclopropanes and alkenes, alkynes, or allenes. We recently developed a new type of transition-metal-catalyzed [5 + 2] cycloaddition, where the five-carbon building block is 3-acyloxy-1,4-enyne (ACE). Our recent progress on Rh-catalyzed intra- and intermolecular [5 + 2] cycloadditions of ACEs and alkynes is summarized in this article. Using chiral propargylic esters, bicyclic products were prepared in high optical purity by the intramolecular [5 + 2] cycloadditions. Monocyclic seven-membered rings were synthesized by intermolecular [5 + 2] cycloaddition of ACEs and alkynes. Kinetic studies indicated that the rate of this intermolecular cycloaddition was significantly accelerated when the acetate was replaced by dimethylaminobenzoate. DFT calculations suggested that novel metallacycles were generated by a Rh-promoted oxidative cycloaddition of 1,4-enynes accompanied by a 1,2-acyloxy migration of propargylic esters.

Introduction

Formation of five- and six-membered rings via cycloaddition reactions has been well documented; however, the development of similar reactions for the formation of seven-membered rings lagged far behind [1]. This is not a result of the potential and utility of seven-membered rings; cycloheptanes and cyclopentenes are prevalent in many natural products and important biologically active molecules so, consequently, interest in these structures has been increasing recently [2]. For example, the five to seven fused bicyclic skeletons are present in at least seven families of sesquiterpenoids shown in Fig. 1 [3].

Fig. 1 Selected sesquiterpenoid families with five to seven fused bicyclic skeletons.
Fig. 1

Selected sesquiterpenoid families with five to seven fused bicyclic skeletons.

There are three different types of two-component cycloadditions that can produce seven-membered rings [4 + 3], [4] [5 + 2], [5] and [6 + 1] [6]. The first two cycloadditions are much more general because various two- and four-carbon synthons are readily available and the one-carbon synthons are limited to carbon monoxide. The discovery of new three- and five-carbon synthons are highly desirable and would lead to the development of a series of novel cycloaddition reactions for the synthesis of functionalized seven-membered rings. This is best illustrated by the transition-metal-catalyzed [5 + 2] cycloadditions of vinylcyclopropane (VCP) with alkynes, alkenes, and allenes (Scheme 1). In all thermal [5 + 2] cycloadditions, the five-carbon building blocks need to be locked in a six-membered ring (e.g., oxidopyrylium ion) [5]. Thermal [5 + 2] cycloadditions then lead to the formation of seven-membered rings with an extra bridge, which is often not necessary. Transition-metal-catalyzed [5 + 2] cycloadditions using VCP as the five-carbon synthon do not have this limitation. Prior to our study, however, VCP had been the only five-carbon synthon developed for transition-metal-catalyzed intra- and intermolecular [5 + 2] cycloadditions.

Scheme 1 Vinylcyclopropane (VCP) as the five-carbon component for [5 + 2] cycloadditions.
Scheme 1

Vinylcyclopropane (VCP) as the five-carbon component for [5 + 2] cycloadditions.

In 1995 Wender and his co-workers reported the first transition-metal-catalyzed [5 + 2] cycloaddition between VCP and a tethered alkyne as shown in eq. 1 (Scheme 1) [7]. The regio- and stereoselectivity were examined later with substituted cyclopropanes [8]. Shortly after, research groups of Trost [9], Louie [10], and Fürstner [11] discovered that Ru-, Ni-, and Fe-based catalysts could also promote this cycloaddition. The intramolecular [5 + 2] cycloaddition of VCP with alkenes shown in eq. 2 [12] is a much more challenging and also complex process since the alkene is less reactive than alkyne and diastereoselectivity also becomes an issue. It was found that cis-fused five to seven bicyclic compounds were observed as the only isomer. After the addition of CO, a two-component [5 + 2 + 1] was realized for the synthesis of five to eight fused bicyclic products [13]. The intramolecular [5 + 2] cycloaddition of VCP with an allene shown in eq. 3 [14] was also realized. The endo/exo selectivity and chirality transfer were examined for this reaction. Enantioselective intramolecular [5 + 2] cycloadditions of VCP and alkyne or alkene were realized using chiral BINAP [15] or phosphoramidite ligands [16].

It was generally much more difficult to realize intermolecular cycloadditions than the intramolecular counterparts because of potential reactivity, regio- and chemoselectivity issues after removing the tether between the two reactants. On the other hand, intermolecular cycloadditions are much more versatile as both reactants are easier to access. Rh-catalyzed intermolecular cycloadditions of activated VCP [17] and unactivated VCP [18] with alkynes were both developed as shown in eqs. 4 and 5, respectively. These two reactions provided easy access to diverse cycloheptenones and cycloheptadienes. By coupling with [4 + 2] cycloaddition [19] and Nazarov cyclization [20], more complex polycyclic products were prepared conveniently. Both three-component [5 + 2 + 1] [21] and four-component [5 + 1 + 2 + 1] [22] cycloadditions were also developed using VCP, alkyne, and CO as the starting materials. Intermolecular [5 + 2] cycloaddition of VCP with allene shown in eq. 6 was only realized with activated VCP [23].

The synthetic utility of [5 + 2] cycloadditions of VCPs has been highlighted by their applications in natural product synthesis [24]. Extensive computational studies have also been conducted to understand the detailed mechanism of this type of cycloadditions [25].

Recently, Yu found that the position of the alkene and cyclopropane could be switched and either [5 + 2] or [3 + 2] cycloaddition could be realized depending on the structure of the substrates [26]. Murai extended the five-carbon component to allenylcyclopropanes for the preparation of 6-7 fused bicyclic compounds [27]. Hetero-[5 + 2] cycloadditions were also reported by Wender [28] and Zhang [29] using cyclopropyl imine and vinyl epoxide as the five-atom component, respectively.

The initial discovery of VCP as a five-carbon component for [5 + 2] cycloadditions in 1995 has led to the development of many new metal catalysts and the realization of dozens of new reactions. In the next section, we will summarize our recent discovery on using 3-acyloxy-1,4-enyne (ACE) as the new five-carbon synthon for Rh-catalyzed intra- and intermolecular [5 + 2] cycloadditions. These new [5 + 2] cycloadditions complement existing methods for the synthesis of functionalized seven-membered rings. During our studies, a Rh-catalyzed [5 + 1] cycloaddition of ACE with CO was reported for the synthesis of substituted phenols [30].

Results and discussion

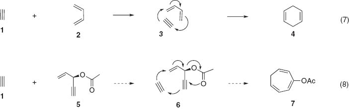
Based on the Diels–Alder [4 + 2] cycloaddition of alkyne 1 and diene 2 in eq. 7, we envisioned that a homo-Diels–Alder cycloaddition illustrated in eq. 8 might be possible (Scheme 2). The ester group between alkene and alkyne served as a mediator to link the unconjugated 1,4-enyne in ACE 5 through a 1,2-acyloxy migration for the [5 + 2] cycloaddition. Both reactions in eqs. 7 and 8 involve the cleavage of two C–C π-bonds and the formation of two C–C σ-bonds. The [5 + 2] cycloaddition in eq. 8 should be even more thermodynamically favored than Diels–Alder cycloaddition in eq. 7 because the former yields a conjugated triene while the latter involves the cleavage of a conjugated diene. Simply heating the mixtures of various alkynes and ACEs did not lead to any product. A catalyst such as transition metal is necessary for the proposed transformation.

Scheme 2 Diels–Alder [4 + 2] and homo-Diels–Alder [5 + 2] cycloadditions.
Scheme 2

Diels–Alder [4 + 2] and homo-Diels–Alder [5 + 2] cycloadditions.

Intramolecular [5 + 2] cycloaddition of ACE and alkyne

In 1984, Rautenstrauch discovered that 3-acyloxy1,4-enynes underwent cycloisomerization to form cyclopentadienes in the presence of palladium or platinum catalysts [31]. A metal-mediated 1,2-acyloxy migration of propargylic ester was proposed. Various reactions involving 1,2-acyloxy migration of propargylic esters were developed recently using gold, platinum, and copper as the catalysts [32]. Inspired by these studies, we proposed a transition-metal-catalyzed [5 + 2] cycloaddition of ACE with a tethered alkyne as shown in Scheme 3 [33]. The first half of the mechanism (from intermediate 10 to 13) was essentially the same as what Rautenstrauch proposed nearly 30 years ago [31]. Reductive elimination of 13 yielded the cyclopentadiene products observed by Rautenstrauch. We imagined that metallacyclohexadiene 13 could be trapped by the tethered alkyne to form metallacyclooctatriene 14. Reductive elimination would then afford the [5 + 2] cycloaddition product 9 with a conjugated triene. This transformation doesn’t come without potential challenges. Competing pathways could include, but are not limited to: 1) 1,6-enyne cycloisomerization prior to the 1,2 acyloxy migration, 2) cyclopropanations involving metal carbene 12, and 3) Rautenstrauch rearrangement to form cyclopentadiene.

Scheme 3 Proposed mechanism for a metal-catalyzed intramolecular [5 + 2] cycloaddition of ACE and alkyne.
Scheme 3

Proposed mechanism for a metal-catalyzed intramolecular [5 + 2] cycloaddition of ACE and alkyne.

Substrate 8a (R = tert-butyl group) was conveniently prepared from cis-2-butene-1,4-diol in four steps. We were delighted to find that enediyne 8a was transformed to the cycloaddition product 9a in the presence of most Rh(I) metal complexes [33]. In contrast, gold and platinum catalysts did not yield any seven-membered ring product. Cationic rhodium catalyst ([Rh(COD)2]BF4) afforded the highest isolated yield (85 %). This condition proved to be sufficient for a wide range of substrates (15, Scheme 4). Oxygen, nitrogen, or malonate linkers could be tolerated. Substrates with different ester groups on the ACE also worked well. Alkyl or aryl substituents could be introduced to the carbon adjacent to the tethered alkyne in 15.

Scheme 4 Scope and conditions for Rh-catalyzed intramolecular [5 + 2] cycloaddition of ACE and alkyne.
Scheme 4

Scope and conditions for Rh-catalyzed intramolecular [5 + 2] cycloaddition of ACE and alkyne.

When the two-carbon component was an internal alkyne, only a trace amount of desired cycloaddition products was observed using cationic rhodium alone. The addition of an electron-poor phosphite ligand dramatically improved the yields for substrates with an internal tethered alkyne, all methylene carbon linkers, substitutions adjacent to the olefin, or trisubstituted olefins (17, Scheme 4). For tertiary esters, both conditions gave complex mixtures. Tethers of six atoms or longer gave no desired product under either condition a or b.

When an internal alkyne on the ACE was tested, we expected to see little of the desired product, since propargylic esters with an internal alkyne tend to undergo 1,3-acyloxy migration to generate a vinylallene intermediate [32]. Indeed, no seven-membered ring product was obtained after screening various metal catalysts [34]. The preference of the propargylic ester to undergo a 1,2 vs. 1,3 acyloxy migration is dependent on the nature of the substrate as well as the nature of the catalyst [32]. It is known that propargylic esters with an electron-deficient alkyne preferentially undergo 1,2-acyloxy migration in gold-catalyzed reactions [35]. Indeed, ACE 19 with an ester or ketone group at the terminal position of the alkyne underwent [5 + 2] cycloaddition with the tethered alkyne smoothly to yield bicyclic product 20 upon treatment of cationic Rh(I) catalyst.

Propargylic esters with a halo-alkyne also underwent 1,2-acyloxy migration in the presence of gold catalysts [36]. In the presence of the cationic Rh(I) catalyst (conditions a), however, a complex mixture was obtained for 21. After screening different rhodium catalysts, we found that the desired cycloaddition product 22 was isolated in 69–75 % yields using [Rh(CO)2Cl]2 catalyst.

The Rh-catalyzed intramolecular [5 + 2] cycloaddition of ACE and alkyne is also enantiospecific (Scheme 5) [37]. Based on the absolute stereochemistry of the propargylic ester starting material and the bicyclic product, which was determined by X-ray diffraction, the Rh-catalyst should approach the ACE from the face opposite to the acyloxy group. The efficiency of the chirality transfer varies for different substrates. For example, the efficiency of the chirality transfer was nearly perfect for product 24a and around 9–15% ees were lost for products 24b and 24c.

Scheme 5 Transfer of chirality for Rh-catalyzed intramolecular [5 + 2] cycloaddition of ACE and alkyne.
Scheme 5

Transfer of chirality for Rh-catalyzed intramolecular [5 + 2] cycloaddition of ACE and alkyne.

During our investigation, we also found that the efficiency of the chirality transfer was highly dependent on the ligand. Tris(pentafluorophenyl) phosphine ligand usually did not make any difference. Slightly lower ees were observed for triphenylphosphine ligands. Phosphite ligands decreased the efficiency of the chirality transfer significantly for most substrates. However, the addition of phosphite ligand was necessary for substrates bearing an internal alkyne as the two-carbon component [33]. We were pleased to find that a synthetically useful 84 % ee could be obtained for product 24c, which required the phosphite ligand. Racemic products were also obtained for certain substrates after the addition of electron-poor phosphine ligands. This suggests that a dynamic kinetic asymmetric transformation of both enantiomers of substrate 23 to product 24 with high ee is possible with an appropriate chiral ligand.

A match-mismatched scenario is expected for substrates 25a and 25b with two stereogenic centers (Scheme 6) [37]. Indeed, the cycloaddition for 25a was completed in 18 h with 84% yield of the desired product without noticeable erosion of the diastereomeric ratio (dr). In contrast, the reaction for 25b was sluggish and a 52% yield was obtained after 72 h. The dr for product 26b dropped to 5:1. These observations are consistent with the model of anti-coordination of Rh(I) complex to ACE. In 27a, the Rh-metal is on the bottom face of the ACE and far away from the i-Bu group. The i-Bu group in 27b, however, may have unfavorable steric interactions with the Rh–L complex on the top face of the ACE during the cycloaddition.

Scheme 6 Rh-catalyzed intramolecular [5 + 2] cycloaddition of ACEs with multiple stereogenic centers.
Scheme 6

Rh-catalyzed intramolecular [5 + 2] cycloaddition of ACEs with multiple stereogenic centers.

Intermolecular [5 + 2] cycloaddition of ACE and alkyne

After successfully developing the intramolecular [5 + 2] cycloaddition of ACE and alkynes, we then investigated the more challenging intermolecular version of this reaction (Scheme 7). When we treated the mixture of ACE 28a and alkyne 29a with cationic catalyst ([Rh(COD)2]BF4) in the absence or presence of (CF3CH2O)3P ligand, no desired cycloaddition product 30a was observed [34]. Two molecules of ACE might coordinate to the cationic rhodium as bidentate ligands to form complex 31, and this would prevent the coordination of the two-carbon component alkyne. Using a rhodium complex with just three free coordination sites, the alkyne may compete effectively with ACE for coordination as shown in complex 32. Indeed, when we applied the neutral Rh(I) catalysts to the reaction, we began to see the desired product 30a. Wilkinson’s catalyst gave a 81% isolated yield. The combination of phosphine ligand [(4-CF3C6H4)3P] with neutral catalyst [Rh(COD)Cl]2 gave a yield (84%), which is comparable to the result obtained with Wilkinson’s catalyst. Other transition metals such as Pd, Au, and Pt resulted in no formation of desired product.

Scheme 7 Scope and conditions for Rh-catalyzed intermolecular [5 + 2] cycloaddition of ACE and alkyne.
Scheme 7

Scope and conditions for Rh-catalyzed intermolecular [5 + 2] cycloaddition of ACE and alkyne.

The Rh-catalyzed intermolecular [5 + 2] cycloaddition of ACE and alkyne is remarkably efficient, because it allows us to access highly functionalized seven-membered ring product 30a in just two steps from commercially available materials. High regioselectivity was observed when the two-carbon component was a terminal alkyne. For internal alkynes, one or two activating groups are required (e.g., R4 or R5 = CH2OH or CO2Me).

The Rh-catalyzed intermolecular [5 + 2] cycloaddition of ACE and alkyne could be scaled up to prepare 0.76 g of product 30b with a more than 20:1 isomeric ratio (Scheme 8). The pivaloyl group in compound 30b could be removed by DIBALH. Functionalized cycloheptene 33 could be obtained in a good yield by a sequence of reduction and oxidation, which demonstrated that the three alkenes in cycloheptatriene 30 could be selectively functionalized. The intermolecular cycloaddition allowed us to place substituents on five out of seven possible positions on the cycloheptatriene skeleton. Additional substituents and functionalities could be introduced to the seven-membered ring by further derivatization of the triene.

Scheme 8 Selective functionalization of cycloheptatrienes.
Scheme 8

Selective functionalization of cycloheptatrienes.

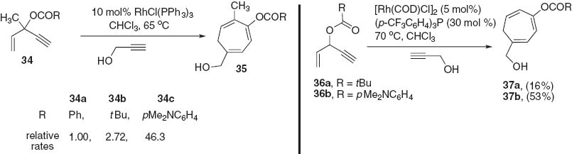
Our study on the effect of the ester indicated that the rate of the intermolecular cycloaddition was significantly accelerated when substrates with an electron-donating dimethylaminobenzoate were employed (Scheme 9) [38]. We could lower the catalyst loading down to 0.5 mol% for ACEs with a tertiary ester. We could also increase the yield of the cycloaddition product for ACEs with a secondary ester from 16 % for 37a to 53 % for 37b.

Scheme 9 Effect of the ester for Rh-catalyzed intermolecular [5 + 2] cycloaddition of ACE and alkyne.
Scheme 9

Effect of the ester for Rh-catalyzed intermolecular [5 + 2] cycloaddition of ACE and alkyne.

We also carried out the cross-over experiment for the cycloadditions between ACE 34c and 38 with propargylic alcohol (Scheme 10). No cross-over product was observed. This suggested that the acyloxy group did not dissociate from the enyne.

Scheme 10 Cross-over experiments.
Scheme 10

Cross-over experiments.

Based on DFT calculations [39], a concerted oxidative cycloaddition mechanism (Scheme 11) was preferred over a step-wise 1,2-migration of acyloxy group, which was proposed in gold-catalyzed reactions [32d,40]. Metallacyclohexadiene intermediate 42 was then generated directly from ACE 40 via transition state 41, where the metal and the acyloxy group are located on the opposite faces. The anti-coordination model is consistent with our observations in Schemes 5 and 6. This 1,2-acyloxy migration step was also believed to be the rate-determining step (RDS).

Scheme 11 Mechanism of Rh-catalyzed intermolecular [5 + 2] cycloaddition of ACE and alkyne.
Scheme 11

Mechanism of Rh-catalyzed intermolecular [5 + 2] cycloaddition of ACE and alkyne.

Four metallacyclooctatriene intermediates could be proposed after the insertion of an alkyne to this metallacyclohexadiene intermediate. The alkyne could insert into either the allyl-carbon(C1)–metal bond or vinyl-carbon(C5)–metal bond. For a terminal alkyne, the R group could be either close or distal to the forming C–C bond. Computational studies suggested that the insertion of alkyne to C5–metal bond and having the bulkier alkyne substituent distal to the forming C–C bond were favored.

DFT calculation also predicted that positive charges would build up on the carbonyl carbon, which could be stabilized by the electron-donating group as shown in structure 45. This is consistent with the effect of ester observed experimentally in Scheme 9. For the intramolecular cycloaddition, we were able to isolate a cyclopropane byproduct derived from cyclopropanation of cyclooctadiene, which supported the involvement of Rh(I) carbenes [34]. Computational studies predicted that when the Cl-ligand was placed on the trans-position, the Rh–carbon bond had more carbene character as shown in 46.

Conclusion and outlook

In conclusion, we have demonstrated for the first time that ACE can serve as a five-carbon synthon in Rh-catalyzed intra- and intermolecular [5 + 2] cycloadditions with alkynes. This cycloaddition was accompanied by a 1,2-acyloxy migration of propargylic ester. The two-carbon component could be either terminal or internal alkynes for the intramolecular [5 + 2] cycloaddition. For the intermolecular [5 + 2] cycloaddition, all terminal alkynes and some activated internal alkynes worked well. The alkyne moiety in the ACE five-carbon component had to be either a terminal alkyne or internal alkynes bearing an electron-withdrawing halogen, ketone, or ester groups. Chirality could be transferred efficiently from the chiral propargylic esters to bicyclic products in intramolecular [5 + 2] cycloadditions. High regioselectivity and interesting ester effect were observed for the intermolecular reactions. Finally, DFT calculations provided a mechanism that could explain the regioselectivity observed for the intermolecular reaction and the stereospecificity observed in the intramolecular reaction.

The obvious next step is the development of [5 + 2] cycloadditions of ACEs with alkenes and allenes using an appropriate metal catalyst. The diastereoselectivity and stereospecificity can be examined in these cases if the cycloadditions can be realized. We also expect the successful developments of three- or four-component cycloadditions and cascade reactions involving [5 + 2] cycloaddition of ACEs. All of these new methods should complement reactions involving VCPs. The [5 + 2] cycloadditions involving ACEs will also undoubtedly find applications in the synthesis of natural products and pharmaceutical agents containing seven-membered rings.


Corresponding author: Weiping Tang, School of Pharmacy and Department of Chemistry, University of Wisconsin, Madison, WI 53705, USA, e-mail:

Acknowledgments

We thank the University of Wisconsin and the NIH (R01 GM088285) for financial support and a Young Investigator Award from Amgen (to W. T.).

References

[1] For selected reviews on transition-metal-catalyzed or -mediated cycloadditions and cycloisomerizations, see: (a) M. Lautens, W. Klute, W. Tam. Chem. Rev. 96, 49 (1996); (b) I. Ojima, M. Tzamarioudaki, Z. Y. Li, R. J. Donovan. Chem. Rev. 96, 635 (1996); (c) H. W. Fruhauf. Chem. Rev. 97, 523 (1997); (d) B. M. Trost, M. J. Krische. Synlett 1998, 1 (1998); (e) L. Yet. Chem. Rev. 100, 2963 (2000); (f) C. Aubert, O. Buisine, M. Malacria. Chem. Rev. 102, 813 (2002); (g) P. A. Evans. Modern Rhodium-Catalyzed Organic Reactions, Wiley-VCH, Weinheim (2005); (h) V. Michelet, P. Y. Toullec, J. P. Genet. Angew. Chem., Int. Ed. 47, 4268 (2008); (i) Z.-X. Yu, Y. Wang, Y. Wang. Chem. Asian J. 5, 1072 (2010); (j) P. A. Inglesby, P. A. Evans. Chem. Soc. Rev. 39, 2791 (2010); (k) C. Aubert, L. Fensterbank, P. Garcia, M. Malacria, A. Simonneau. Chem. Rev. 111, 1954 (2011).Search in Google Scholar

[2] For reviews on seven-membered ring synthesis, see: (a) M. A. Battiste, P. M. Pelphrey, D. L. Wright. Chem.—Eur. J. 12, 3438 (2006); (b) H. Butenschön. Angew. Chem., Int. Ed. 47, 5287 (2008); (c) T. V. Nguyen, J. M. Hartmann, D. Enders. Synthesis 45, 845 (2013).Search in Google Scholar

[3] (a) B. M. Fraga. Nat. Prod. Rep. 29, 1334 (2012); (b) B. M. Fraga. Nat. Prod. Rep. 30, 1226 (2013).Search in Google Scholar

[4] For selected reviews on (4 + 3) cycloadditions, see: (a) M. Harmata. Chem. Commun. 46, 8886 (2010); (b) M. Harmata. Chem. Commun. 46, 8904 (2010); (c) A. G. Lohse, R. P. Hsung. Chem.—Eur. J. 17, 3812 (2011).Search in Google Scholar

[5] For selected reviews on [5 + 2] cycloadditions, see: (a) V. Singh, U. M. Krishna, Vikrant, G. K. Trivedi. Tetrahedron 64, 3405 (2008); (b) H. Pellissier. Adv. Synth. Catal. 353, 189 (2011); (c) K. E. O. Ylijoki, J. M. Stryker. Chem. Rev. 113, 2244 (2013).Search in Google Scholar

[6] P. A. Wender, N. M. Deschamps, R. Sun. Angew. Chem., Int. Ed. 45, 3957 (2006).Search in Google Scholar

[7] P. A. Wender, H. Takahashi, B. Witulski. J. Am. Chem. Soc. 117, 4720 (1995).Search in Google Scholar

[8] P. A. Wender, A. J. Dyckman, C. O. Husfeld, D. Kadereit, J. A. Love, H. Rieck. J. Am. Chem. Soc. 121, 10442 (1999).Search in Google Scholar

[9] (a) B. M. Trost, F. D. Toste, H. Shen. J. Am. Chem. Soc. 122, 2379 (2000); (b) B. M. Trost, H. C. Shen. Angew. Chem., Int. Ed. 40, 2313 (2001); (c) B. M. Trost, H. C. Shen, D. B. Horne, F. D. Toste, B. G. Steinmetz, C. Koradin. Chem.—Eur. J. 11, 2577 (2005).Search in Google Scholar

[10] G. Zuo, J. Louie. J. Am. Chem. Soc. 127, 5798 (2005).Search in Google Scholar

[11] A. Fürstner, K. Majima, R. Martin, H. Krause, E. Kattnig, R. Goddard, C. W. Lehmann. J. Am. Chem. Soc. 130, 1992 (2008).Search in Google Scholar

[12] P. A. Wender, C. O. Husfeld, E. Langkopf, J. A. Love. J. Am. Chem. Soc. 120, 1940 (1998).Search in Google Scholar

[13] Y. Wang, J. Wang, J. C. Su, F. Huang, L. Jiao, Y. Liang, D. Yang, S. Zhang, P. A. Wender, Z.-X. Yu. J. Am. Chem. Soc. 129, 10060 (2007).Search in Google Scholar

[14] P. A. Wender, F. Glorius, C. O. Husfeld, E. Langkopf, J. A. Love. J. Am. Chem. Soc. 121, 5348 (1999).Search in Google Scholar

[15] (a) P. A. Wender, C. O. Husfeld, E. Langkopf, J. A. Love, N. Pleuss. Tetrahedron 54, 7203 (1998); (b) P. A. Wender, L. O. Haustedt, J. Lim, J. A. Love, T. J. Williams, J. Y. Yoon. J. Am. Chem. Soc. 128, 6302 (2006).Search in Google Scholar

[16] R. Shintani, H. Nakatsu, K. Takatsu, T. Hayashi. Chem.—Eur. J. 15, 8692 (2009).Search in Google Scholar

[17] P. A. Wender, H. Rieck, M. Fuji. J. Am. Chem. Soc. 120, 10976 (1998).Search in Google Scholar

[18] P. A. Wender, C. M. Barzilay, A. J. Dyckman. J. Am. Chem. Soc. 123, 179 (2001).Search in Google Scholar

[19] P. A. Wender, G. G. Gamber, M. J. C. Scanio. Angew. Chem., Int. Ed. 40, 3895 (2001).Search in Google Scholar

[20] P. A. Wender, R. T. Stemmler, L. E. Sirois. J. Am. Chem. Soc. 132, 2532 (2010).Search in Google Scholar

[21] P. A. Wender, G. G. Gamber, R. D. Hubbard, L. Zhang. J. Am. Chem. Soc. 124, 2876 (2002).Search in Google Scholar

[22] P. A. Wender, G. G. Gamber, R. D. Hubbard, S. M. Pham, L. Zhang. J. Am. Chem. Soc. 127, 2836 (2005).Search in Google Scholar

[23] H. A. Wegner, A. de Meijere, P. A. Wender. J. Am. Chem. Soc. 127, 6530 (2005).Search in Google Scholar

[24] (a) P. A. Wender, M. Fuji, C. O. Husfeld, J. A. Love. Org. Lett. 1, 137 (1999); (b) P. A. Wender, L. Zhang. Org. Lett. 2, 2323 (2000); (c) P. A. Wender, F. C. Bi, M. A. Brodney, F. Gosselin. Org. Lett. 3, 2105 (2001); (d) B. L. Ashfeld, S. F. Martin. Org. Lett. 7, 4535 (2005); (e) B. L. Ashfeld, S. F. Martin. Tetrahedron 62, 10497 (2006); (f) B. M. Trost, Y. Hu, D. B. Horne. J. Am. Chem. Soc. 129, 11781 (2007); (g) B. M. Trost, J. Waser, A. Meyer. J. Am. Chem. Soc. 129, 14556 (2007); (h) B. M. Trost, J. Waser, A. Meyer. J. Am. Chem. Soc. 130, 16424 (2008); (i) L. Jiao, C. Yuan, Z.-X. Yu. J. Am. Chem. Soc. 130, 4421 (2008); (j) B. M. Trost, H. M. Nguyen, C. Koradin. Tetrahedron Lett. 51, 6232 (2010).Search in Google Scholar

[25] (a) Z.-X. Yu, P. A. Wender, K. N. Houk. J. Am. Chem. Soc. 126, 9154 (2004); (b) Z.-X. Yu, P. H. Y. Cheong, P. Liu, C. Y. Legault, P. A. Wender, K. N. Houk. J. Am. Chem. Soc. 130, 2378 (2008); (c) P. Liu, P. H. Y. Cheong, Z.-X. Yu, P. A. Wender, K. N. Houk. Angew. Chem., Int. Ed. 47, 3939 (2008); (d) P. Liu, L. E. Sirois, P. H. Y. Cheong, Z.-X. Yu, I. V. Hartung, H. Rieck, P. A. Wender, K. N. Houk. J. Am. Chem. Soc. 132, 10127 (2010); (e) X. Xu, P. Liu, A. Lesser, L. E. Sirois, P. A. Wender, K. N. Houk. J. Am. Chem. Soc. 134, 11012 (2012); (f) X. Hong, P. Liu, K. N. Houk. J. Am. Chem. Soc. 135, 1456 (2013); (g) X. Hong, B. M. Trost, K. N. Houk. J. Am. Chem. Soc. 135, 6588 (2013).Search in Google Scholar

[26] (a) L. Jiao, S. Ye, Z.-X. Yu. J. Am. Chem. Soc. 130, 7178 (2008); (b) Q. Li, G. Jiang, L. Jiao, Z.-X. Yu. Org. Lett. 12, 1332 (2010).Search in Google Scholar

[27] F. Inagaki, K. Sugikubo, Y. Miyashita, C. Mukai. Angew. Chem., Int. Ed. 49, 2206 (2010).Search in Google Scholar

[28] P. A. Wender, T. M. Pedersen, M. J. C. Scanio. J. Am. Chem. Soc. 124, 15154 (2002).Search in Google Scholar

[29] J.-J. Feng, J. Zhang. J. Am. Chem. Soc. 133, 7304 (2011).Search in Google Scholar

[30] (a) C. Brancour, T. Fukuyama, Y. Ohta, I. Ryu, A. L. Dhimane, L. Fensterbank, M. Malacria. Chem. Commun. 46, 5470 (2010); (b) T. Fukuyama, Y. Ohta, C. Brancour, K. Miyagawa, I. Ryu, A.-L. Dhimane, L. Fensterbank, M. Malacria. Chem.—Eur. J. 18, 7243 (2012).Search in Google Scholar

[31] V. Rautenstrauch. J. Org. Chem. 49, 950 (1984).10.1021/jo00179a044Search in Google Scholar

[32] (a) N. Marion, S. P. Nolan. Angew. Chem., Int. Ed. 46, 2750 (2007); (b) J. Marco-Contelles, E. Soriano. Chem.—Eur. J. 13, 1350 (2007); (c) M. Rudolph, A. S. K. Hashmi. Chem. Soc. Rev. 41, 2448 (2012); (d) X.-Z. Shu, D. Shu, C. M. Schienebeck, W. Tang. Chem. Soc. Rev. 41, 7698 (2012).Search in Google Scholar

[33] X.-Z. Shu, S. Huang, D. Shu, I. A. Guzei, W. Tang. Angew. Chem., Int. Ed. 50, 8153 (2011).Search in Google Scholar

[34] X.-z. Shu, X. Li, D. Shu, S. Huang, C. M. Schienebeck, X. Zhou, P. J. Robichaux, W. Tang. J. Am. Chem. Soc. 134, 5211 (2012).Search in Google Scholar

[35] (a) Y. Shibata, K. Noguchi, K. Tanaka. J. Am. Chem. Soc. 132, 7896 (2010); (b) Y. Shibata, K. Noguchi, K. Tanaka. Org. Lett. 12, 5596 (2010).Search in Google Scholar

[36] Y. Wang, B. Lu, L. Zhang. Chem. Commun. 46, 9179 (2010).Search in Google Scholar

[37] X.-z. Shu, C. M. Schienebeck, W. Song, I. A. Guzei, W. Tang. Angew. Chem., Int. Ed. 52, 13601 (2013).Search in Google Scholar

[38] C. M. Schienebeck, P. J. Robichaux, X. Li, L. Chen, W. Tang. Chem. Commun. 49, 2616 (2013).Search in Google Scholar

[39] X. Xu, P. Liu, X.-Z. Shu, W. Tang, K. N. Houk. J. Am. Chem. Soc. 135, 9271 (2013).Search in Google Scholar

[40] O. N. Faza, C. S. Lopez, R. Alvarez, A. R. de Lera. J. Am. Chem. Soc. 128, 2434 (2006).Search in Google Scholar


Article note

A collection of invited papers based on presentations at the 17th International IUPAC Conference on Organometallic Chemistry Directed Towards Organic Synthesis (OMCOS-17), Fort Collins, Colorado, USA, 28 July–1 August 2013.


Published Online: 2014-2-18
Published in Print: 2014-3-20

©2014 by IUPAC & De Gruyter

Articles in the same Issue

  1. Masthead
  2. Masthead
  3. Conference papers
  4. International Union of Pure and Applied Chemistry
  5. Enantioselective palladium(0)-catalyzed C–H arylation strategy for chiral heterocycles
  6. Organometallic catalysis for applications in radical chemistry and asymmetric synthesis
  7. Rhenium(I)-catalyzed reaction of terminal alkynes with imines leading to allylamine derivatives
  8. Copper-catalyzed aminoboration and hydroamination of alkenes with electrophilic amination reagents
  9. Activation of stable σ-bonds for organic synthesis
  10. Pd-catalyzed reactions of unactivated Csp3−I bonds
  11. Pd- and Ni-catalyzed C–H arylations using C–O electrophiles
  12. Nickel-catalyzed oxidative cross-coupling of arylboronic acids with olefins
  13. Stereoselective C-glycosylation of furanosyl halides with arylzinc reagents
  14. Transition-metal clusters as catalysts for chemoselective transesterification of alcohols in the presence of amines
  15. Cu(I)/Cu(III) catalytic cycle involved in Ullmann-type cross-coupling reactions
  16. Beyond C–H and C–O activation: the evolution of components in cross-coupling reactions
  17. The effect of acceptor-substituted alkynes in gold-catalyzed intermolecular reactions
  18. Chemoselective silver-catalyzed nitrene insertion reactions
  19. The strategic generation and interception of palladium-hydrides for use in alkene functionalization reactions
  20. 3-Acyloxy-1,4-enyne: A new five-carbon synthon for rhodium-catalyzed [5 + 2] cycloadditions
  21. Cobalt-catalyzed directed alkylation of arenes with primary and secondary alkyl halides
  22. IUPAC Technical Report
  23. Assessment of international reference materials for isotope-ratio analysis (IUPAC Technical Report)
Downloaded on 6.10.2025 from https://www.degruyterbrill.com/document/doi/10.1515/pac-2014-5042/html?srsltid=AfmBOopWNtNQHzSyMDHKssfs5FEx498v3_0IBjHRZd_ox7bgdbdEN2ZS
Scroll to top button