Abstract
This article reviews the research progress in the intercalation compounds for cathode materials for supercapacitors. Typical methods to prepare various intercalation compounds with different nanostructures are summarized. More specifically, the approaches can be subdivided into physical routes such as sonication and microwaves, and chemical routes such as hydrothermal, sol-gel and template methods. The most recent work on nanostructured intercalation compounds including LiCoO2, LiMn2O4, Li[Ni1/3Co1/3Mn1/3]O2, Li1+xV3O8, NaxMnO2, and KxMnO2 is mainly focused including their preparation and electrochemical performance, and new trends in nanomaterials development for supercapacitors are pointed out.
Introduction
With the rapid development of the global economy, the depletion of fossil fuels and increasing environmental pollution, there is an urgent need for clean, efficient, and sustainable sources of energy, as well as new technologies associated with energy conversion and storage [1].
Currently, the fast-growing interest in portable electronic devices and electric vehicles has stimulated extensive research in high performance energy storage devices, such as supercapacitors (SCs), which are also named ultracapacitors (UCs) or electrochemical capacitors (ECs), are a new class of energy storage devices that can store a large amount of charge, and deliver it at high power rates [2, 3]. However, we need to improve their performance substantially to meet the higher requirements of future systems, ranging from portable electronics to hybrid electric vehicles and large industrial equipment, by developing new materials and advancing our understanding of the electrochemical interfaces at the nanoscale [4]. The earliest ECs patent was filed in 1957. However, not until the 1990s did ECs technology begin to draw some attention in the field of hybrid electric vehicles [5]. It was found that the main function of ECs could be to promote the battery or fuel cell in a hybrid electric vehicle and provide necessary power for acceleration, with an additional function being to recuperate the braking energy [6]. Thus, the capacitor technology is regarded as a promising means for storing electricity [7].
Nanomaterials and nanostructures play a pivotal role in the recent advancement of some key technologies. Nanomaterials differ from microsized and bulk materials not only in the scale of their characteristic dimensions, but also in the fact that they may possess new physical properties and offer new possibilities for various technical applications [8]. Moreover, nanomaterials have higher surface energy compared with micro- or submilli-meter materials, which means higher surface activity, and thus more electro-active sites in the nanostructured electrodes, leading to high capacity utilization of the electrode materials [9, 10]. In addition, their intrinsic inner porous structures allow for effective electrolyte infiltration, and the reduced dimensions of particle size can shorten the transport and diffusion path lengths of electrolyte ions, facilitating fast kinetics and high charge-discharge rates [2, 11]. As mentioned above, nanomaterials have been shown to possess most of characteristics and therefore are being extensively investigated as electrode materials in energy systems [12].
Metal oxides, especially in the form of intercalation compounds, have been studied as potential electrode materials for pseudocapacitors because of their ease large-scale preparation and their rapid intercalation/deintercalation process involving different ions, which contributes to higher capacitances than double-layer carbonaceous materials [13]. In addition, intercalation compounds have attracted a lot of interest thanks to their large specific capacity. They have been typically used in organic electrolytes but aqueous examples are more interesting [14].
Given that nanostructure materials can help ameliorate the electrochemical performances of intercalation compounds, the aim of this review summarizes the recent investigations of using intercalation compounds as cathode materials for SCs as well as their electrochemical performance, which are advantageous to achieve high energy density [15]. Moreover, future developments on these kinds of electrode materials are also discussed.
Fundamentals of supercapacitors
Supercapacitors may be distinguished by several criteria such as the energy storage mechanism, the electrode material utilized, the electrolyte, or the cell design [16]. With respect to the energy storage mechanism there are two main types: electric double layer capacitors (EDLCs) and Faradic pseudo-capacitors.
Two types of SCs
One is the electrical double layer capacitor (EDLC), where the capacitance comes from the pure electrostatic charge accumulated at the electrode/electrolyte interface; therefore it is strongly dependent on the surface area of the electrode materials that is accessible to the electrolyte ions [17]. The thickness of the double layer depends on the concentration of the electrolyte and on the size of the ions and is in the order of 5–10 Å for concentrated electrolytes. The double layer capacitance is about 10–20 μF/cm2 for a smooth electrode in concentrated electrolyte solution and can be estimated according to equation eq. (1)
assuming a relative dielectric constant εr of 10 for water in the double layer. The thickness and surface area of the double-layer are expressed as d and A, respectively. The corresponding electric field in the electrochemical double layer is very high and up to 106 V/cm [5].
Supercapacitors are constructed much like a battery in that there are two electrodes immersed in an electrolyte, with ion permeable separator located between the electrodes (Fig. 1) [18]. In such a device, each electrode/electrolyte interface represents a capacitor so that the complete cell can be considered as two capacitors in series. For a symmetrical capacitor (similar electrodes), the cell capacitance (Ccell), will therefore be:
![Fig. 1 Schematic representation of an electrochemical double layer capacitor in its charged state (modified from ref. [18]).](/document/doi/10.1515/pac-2013-1204/asset/graphic/pac-2013-1204_fig1.jpg)
Schematic representation of an electrochemical double layer capacitor in its charged state (modified from ref. [18]).
where C1and C2 represent the capacitance of the first and second electrodes, respectively [19]. In the case of EDLCs, carbon materials are used the most often because of their low electrical resistance, easy processability, chemical inertness, stability, and low cost. Typical materials include activated carbon, carbon aero gels, and carbide-derived carbon/ordered mesoporous carbon, carbon nanotubes and graphene [8].
The other one is pseudo-capacitance, which is originated from the redox reaction of the electrode material with the electrolyte [20]. The accumulation of electrons at the electrode is a Faradaic process where the electrons produced by the redox reactions are transferred across the electrolyte/electrode interface (Fig. 2) [11]. The theoretical pseudo-capacitance of metal oxide can be calculated as eq. (3):
![Fig. 2 Charge storage mechanism of pseudocapacitive materials showing the surface charge transfer reaction (modified from ref. [11]).](/document/doi/10.1515/pac-2013-1204/asset/graphic/pac-2013-1204_fig2.jpg)
Charge storage mechanism of pseudocapacitive materials showing the surface charge transfer reaction (modified from ref. [11]).
where n is the mean number of the electrons transferred in the redox reaction, F is the Faraday constant, M is the molar mass of the metal oxide and V is the operating voltage window [21]. Redox reactions occur in the electro-active material because of several oxidation states. Often, reactions do not propagate into the bulk material, and occur only at the electrode/electrolyte interface [22]. Typical pseudocapacitive materials include conducting polymers [23] such as polypyrrole, polythiophene and polyaniline, and metal oxides [24] such as RuO2, MnO2, LiCoO2 and LiMn2O4. Subsequently, intercalation oxides will be predominantly discussed in this review.
Main parameters of SCs
The key performance parameters of SCs include specific capacitance (normalized by electrode mass, volume, or area), energy density, power density, rate capability (retained capacitance at a high current loading) and cycling stability [25]. The energy density (E) of an SC is expressed as eq. (4):
the maximum power density of an SC is determined by eq. (5):
where C is the direct current capacitance in Farads, V the nominal voltage and R is the equivalent series resistance (ESR) in ohms [26]. In order to increase the energy density and power density of an SC, it is desirable to increase the specific capacitance (C) and the operating voltage window (V) as well as reduce the equivalent series resistance (R).
The capacitance of a SC is largely dependent on the characteristics of the electrode material, specifically, the surface-area and the pore-size distribution. Due to the high porosity, and correspondingly low density of electrode materials, it is generally the volumetric capacitance of each electrode that determines the energy density [18].
The maximum operating voltage window (Vm) is mainly dependent on the electrolyte used, which is limited by the electrochemical window of the electrolyte. Aqueous electrolytes have the advantage of high ionic conductivity (up to about 1 S cm–1) and low cost. On the other hand, they have the inherent disadvantage of a restricted voltage range with a relatively low decomposition voltage of about 1.23 V [27]. Non-aqueous electrolytes of various types have been developed and the operating voltages of SCs based on them can be up to 3.5 V [28]. The electrical resistivity of non-aqueous electrolytes is, however, at least an order of magnitude higher than that of aqueous electrolytes and therefore the resulting capacitors generally have a higher internal resistance.
A high internal resistance limits the power capability of the SC and its application. In SCs, a number of sources contribute to the internal resistance and are collectively measured and referred to as the equivalent series resistance (ESR) [19]. There are several contributors to the ESR of SCs as follows:
electrolyte resistance;
ionic resistance of ions moving through the separator;
ionic diffusion resistance of ions moving in small pores;
electronic resistance of the electrode material; and
interfacial resistance between electrode and current collector.
Preparation methods of nanomaterials
With the development of nanoscience and technology, various metal oxide nanomaterials including nanoporous [29], nanorod [30], nanobelt [31], nanowire [32], nanotube [33] and nanoplate [34] have been synthesized. Different preparation routes to nanomaterials have been employed. Such approaches can be subdivided into physical routes (e.g. sonication, microwaves) and chemical routes (e.g. hydrothermal, sol-gel). These will now be discussed in more detail.
Physical routes
Ball milling method
Ball milling, also named as mechanochemistry, has become an important way to prepare ultrafine materials. Traditionally, the generation of new material, crystal type transformation or lattice deformation is achieved by high temperature or chemical changes. However, mechanical energy is directly used to induce a chemical reaction, which may provide a new way to synthesize novel materials. As a new technology, it has significantly reduced the reaction activation energy, refined grain, greatly improved the activity of powder and the uniformity of particle size distribution, enhanced the combination of the interface between the body and matrix, and promoted solid-state ion diffusion as well as chemical reaction induced by low temperature, thereby to improve the compactness, electrical and thermal performance of the material, which is a kind of energy saving and high efficient preparation technology.
Sonochemical method
Sonochemistry deals with the understanding of the effect of sonic wave properties on chemical systems. There are several interesting features in the use of sonication. Ultrasound (US) remarkably enhances mass transport, reducing the diffusion layer thickness and may also affect the surface morphology of the treated materials; typically enhancing the surface contact area [35]. Deposition and reduction of the particles (induced by ultrasonic waves) takes place almost consecutively so that the heating step normally employed in other protocols can be avoided [36]. The chemical effects of ultrasound do not come from a direct interaction with precursors but from the acoustic cavitation. When a liquid is exposed to strong ultrasound stimulation, the bubbles will experience the process of formation, growth, and implosive collapse. The bubble collapse brings intense local heating (about 5000 K), high pressures (over 1800 atm), and enormous cooling rates (about 1010 K s–1), which enable many chemical reactions to occur [37]. The major advantages of sonochemical method contain rapid reaction rate, controllable reaction parameters, and the ability to generate highly pure nanocrystals with uniform shapes and narrow size distribution [38–40].
Microwave method
Microwave chemistry has been well expanded for the liquid phase preparation of various metal oxide nanomaterials due to its specific advantages such as high reaction rate (reaction time can often be reduced by orders of magnitude), low processing costs, high yields and side reaction depression [41]. The efficient heating of matter is processed with energy by electromagnetic radiation in the frequency range of 0.3–2.45 GHz. The microwave dielectric heating mechanism contains two main processes, namely dipolar polarization and ionic conduction [41], which is different from the direct absorption of high energy electromagnetic radiation needed to induce chemical reaction. Due to the microwave-enhanced chemistry based on the efficient heating of materials, the selected microwave frequency of 2.45 GHz with energy of only about 1 J mol–1 is the optimized frequency to convert the microwave energy into thermal energy, which, however, is too low to cleave chemical bonds [42].
Chemical routes
Hydrothermal method
The hydrothermal method has been widely used for the synthesis of a variety of functional nanomaterials with specific sizes and shapes since the 1960s [43]. The hydrothermal process uses water as the reaction medium in sealed steel pressure vessels with Teflon liners, which are then heated to a designed temperature to promote the reaction. The temperature adopted is often higher than 100°C in order to reach the pressure of vapor saturation, so that autogenously pressure will be developed in a closed system [44]. The generated pressure within the reactor not only strongly relies on the reaction temperature, but also depends on other experimental factors, such as the amount of solvent added and the dissolved solute. Moreover, the main advantages of hydrothermal processes contain fast reaction kinetics, short processing time, phase purity, high crystalline, low cost and so on [45]. Furthermore, the process is environmentally benign and versatile, since it does not involve any organic solvents or post-treatments such as calcinations [46]. In a hydrothermal reaction system, water is used as the main reaction medium; so many inorganic salts containing the source of the metal ions can be well dissolved. In addition, water is also beneficial to introduce small coordinating molecules to adjust the growth of the final nanocrystals [47].
Sol-gel method
Sol-gel method generally refers to the hydrolysis and condensation of metal alkoxides or alkoxide precursors, leading to dispersions of oxide particles in a sol. The sol is then dried or gelled by solvent removal or by chemical reaction. The solvent used is generally water, but the precursors can also be hydrolyzed by an acid or base. Basic catalysis induces the formation of a colloidal gel, whereas acid catalysis yields a polymeric form of the gel [48]. The rates of hydrolysis and condensation are important parameters that affect the properties of the final products. Smaller particle sizes are obtained at slower and more controlled hydrolysis rates. The particle size is also dependent on the solution composition, pH, and temperature. Magnetic ordering in the sol-gel system depends on the phases formed and the particle volume fraction, and is very sensitive to the size distribution and dispersion of the particles [49]. In the case of nanocomposites derived from gels, structural parameters and material porosity are determined by the rate of hydrolysis and condensation of the gel precursors and also by other oxidation-reduction reactions that occur during the gelling and subsequent heat treatment stages [49, 50].
Template method
Template synthesis has become a very popular method for the preparation of functional materials with various nanostructures [51, 52]. The template method is a straightforward way to fabricate nanostructures by inducing the target materials to grow according to the patterns of the templates. This strategy provides an easy way for the synthesis of nanomaterials with desired shape and size, and has been widely applied in the construction of 1D nanostructure [53]. Generally, templates employed in the synthesis can be classified into two categories: (1) soft templates, which contain ligands, surfactants, polymers, and organogelators; and (2) hard templates, which are either used as physical scaffolds for the next deposition of desired material coatings or employed not only as shape-defining templates, but also as chemical reagents that react with other chemicals to create desired nanostructures [54]. Possin was the first to use this technique to prepare nanowires in the 1970s [55], and later this technique was extended and the term “template synthesis” was first put forward in the 1990s [56]. Now the commonly used templates include but are not limited to ordered porous membranes prepared with anodized aluminum oxide (AAO) [57], silica [58], nanochannel glass [59], and ion-track-etched polymers [60].
Electrodeposition method
The electrodeposition method is attractive to produce a metallic coating on a surface by the cathodic reduction reaction in aqueous or organic solvents. The substrate material is used as a cathode and is immersed into a solution containing a salt of the metal to be deposited. The dissolved metallic ions are attracted to the cathode and then reduced to the metallic form [61]. The distinctive advantages of the electrodeposition method are that it contains the capacity to enable the conformal deposition of structures and it can easily control the thickness of deposited films [62]. It has been found that the pore diameters of the substrate have little effect on the crystallite sizes of nanomaterial at the higher overpotential. The effect, however, is very large at the lower overpotential [63].
Co-precipitation method
The co-precipitation method involves the simultaneous precipitation of the metal and the support. This approach has been expanded to include other inorganic oxide supports [64]. However, the approach has its associated drawbacks. The presence of the metallic precursors in solution may interfere with the polymerization chemistry of the material, often resulting in samples with undesirable properties including less well defined pore size and shape. Furthermore, this approach has limited applicability to polymeric supports [65].
Other methods
In addition to the synthetic approaches discussed above, some other emerging methods for fast and facile preparation of nanomaterials have been reported in the past few years, such as physical routes including hot-injection method [66] and chemical routes including microemulsions method [67] and chemical vapor deposition [68]. Moreover, a range of other physico-chemical routes to prepare nanomaterials have also been reported. These include sonoelectrochemistry [69] and flame spray pyrolysis [70]. As to these methods, however, there are very rare reports about nanostructure intercalation compounds and they are not discussed here.
Intercalation compounds as cathode materials for SCs
Generally, the electrode materials of SCs can be categorized into three types [71, 72]: (1) carbon materials with high specific surface area, (2) conducting polymers, and (3) metal oxides. However, metal oxides can provide higher energy density for SCs than conventional carbon materials and better electrochemical stability than polymer materials. They not only store energy like electrostatic carbon materials but also exhibit electrochemical Faradaic reactions between electrode materials and ions within appropriate potential windows [73]. Moreover, intercalation compounds have attracted a lot of interest due to the development of lithium ion batteries. They have been typically used in organic electrolytes but aqueous examples are more interesting. Hence, in this part we focus on the most recent work regarding the latest development on intercalation compounds as cathode for SCs.
LiCoO2
LiCoO2 is a hexagonal layered structure belonging to Pnm space group with a=0.2816 nm and c=1.4056 nm. It is widely applied in lithium ion batteries due to its stable structure during charging and discharging process. Due to the good reversibility of intercalation/deintercalation of Li+ ions, which is shown in eq. (6), it could be used as positive electrode for aqueous SCs [74].
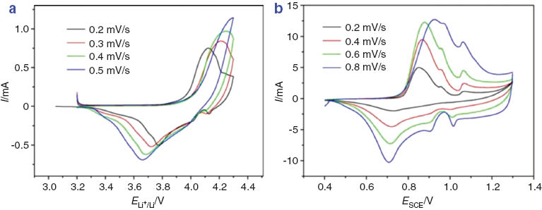
Its traditional preparation method is solid-state reaction. In order to get better electrochemical performance, nanostructured LiCoO2 has been prepared by sol-gel methods for application in SCs [75, 76]. CV curves (Fig. 3) of LiCoO2 in a saturated aqueous Li2SO4 solution show that the intercalation and deintercalation of lithium ions are similar to organic electrolyte solutions [77]. There are also three couples of redox peaks for LiCoO2 in the aqueous solution, located at 0.87/0.71, 0.95/0.90 and 1.06/1.01 V (vs. SCE), which agree well with those in the organic electrolyte solution at 4.08/3.83, 4.13/4.03 and 4.21/4.14 V (vs. Li/Li+), respectively. The evolution of oxygen (about 1.7 V vs. SCE) in the aqueous electrolyte occurs at much higher potential, indicating the good electrochemical stability of LiCoO2 as the positive electrode of the SCs. The diffusion coefficient of the lithium ions is of the same magnitude as that in the organic electrolyte; however, the current response and reversibility of redox behavior in the aqueous solution are better than those in the organic electrolytes due to its higher ionic conductivity [78, 79].
![Fig. 3 Cyclic voltammogram of the LiCoO2-electrode at different scan rates: (a) in the organic electrolyte and (b) in the saturated Li2SO4 solution (modified from ref. [77]).](/document/doi/10.1515/pac-2013-1204/asset/graphic/pac-2013-1204_fig3.jpg)
Cyclic voltammogram of the LiCoO2-electrode at different scan rates: (a) in the organic electrolyte and (b) in the saturated Li2SO4 solution (modified from ref. [77]).
The SC of AC//nano-LiCoO2 in 0.5 M Li2SO4 solution at 1 A g–1 between 0 and 1.8 V shows high capacitance and efficiency. The efficiency of this system increases to nearly 100 % after the initial cycle and the capacity does not change much after 40 cycles [80]. Due to the high cost of cobalt, there is not much work on its redox behavior in aqueous solutions.
LiMn2O4
LiMn2O4, whose reaction mechanism is shown in eq. (7), is found to be a good positive electrode for aqueous SCs due to its low cost compared to LiCoO2 [81]. It mainly exists in a spinel structure. Manganese cations occupy half of the octahedral interstitial sites and Li+ ions occupy one eighth of tetrahedral sites. The Mn2O4 framework provides 3D interstitial space for Li+ ion transport, maintaining its structure over the compositional range LixMnO4 (0 < x < 1) by changing the average Mn oxidation state between 3.5 and 4.0 [82]. As early as 1994, it was reported for the first time that LiMn2O4 can deintercalate and intercalate Li+ ions in aqueous electrolyte [83].
The LiMn2O4 spinel can be prepared by solid-state reaction, sol-gel method and hydrothermal methods [76]. Among them, one-dimensional (1D) nanostructures including nanowires, nanotubes and nanorods have attracted special attention [84, 85]. To improve the structural stability of LiMn2O4 from solid-state reaction, it can also be doped by heteroatoms such as Al, Cr, Cr–Fe and Ni like in organic electrolytes [86–88]. As it can be seen from Fig. 4a, a LiMn2O4 nanohybrid (LMO-NH) consisting of nanotubes, nanorods and nanoparticles has been synthesized using α-MnO2 nanotubes from hydrothermal reaction as a precursor. This LiMn2O4 nanohybrid exhibits a high specific discharge capacitance of 415 F g–1 at 0.5 A g–1 in 0.5 M Li2SO4 aqueous solution. Even at 10 A g–1, it still has a specific discharge capacitance of 208 F g–1. The Ragone plots of the asymmetric SC based on AC/0.5 M Li2SO4/LMO-NH and the symmetric SC based on AC/0.5 M Li2SO4/AC are shown in Fig. 4b. The asymmetric SC presents an energy density of 29.8 Wh kg–1 at the power density of 90 W kg–1, much higher than that of the symmetric AC//AC capacitor. Moreover, it keeps an energy density of 11.2 Wh kg–1 at power density of 1500 W kg–1. Moreover, the capacity retention is 91 % after 1000 cycles [89].
![Fig. 4 (a) The formation process of LiMn2O4 nanohybrid and (b) Ragone plots of the SC AC//LMO-NH and AC//AC (modified from ref. [89]).](/document/doi/10.1515/pac-2013-1204/asset/graphic/pac-2013-1204_fig4.jpg)
(a) The formation process of LiMn2O4 nanohybrid and (b) Ragone plots of the SC AC//LMO-NH and AC//AC (modified from ref. [89]).
LiMn2O4 nanochains exhibit a high reversible capacity of 110 mA h g–1 at 4.5 C and 95 mAh g–1 even at 91 C in 0.5 M Li2SO4 aqueous electrolyte. When charged at 136 C, 84 % capacity could be obtained [90]. As for the nanostructured LiMn2O4, when they are assembled into SCs, power density and cycling behavior are greatly improved. For example, the SC of AC// LiMn2O4 nanorod presents very high power density in 0.5 M Li2SO4, up to 14.5 kW kg–1, and there is still 94 % capacity retention after 1200 full cycles [84]. The SC of AC//porous LiMn2O4 in 0.5 M Li2SO4 aqueous solution shows excellent cycling performance at the rate of 9C (1000 mA g–1), with no more than 7 % capacity loss after 10 000 cycles [85]. The cycling behavior of AC//porous LiMn2O4 is the best amongst the reported LiMn2O4. The nanograins in the porous LiMn2O4 could restrain the Mn3+ on the surface from dissolution, which can also accommodate effectively the strain caused by Jahn–Teller distortion during the charge and discharge process and favor the morphological and structural stability [85]. Nanoporous LiMn2O4 spinel with a pore size of about 40–50 nm exhibits a high specific capacitance of 189 F g–1 at 0.3 A g–1. Even at 12 A g–1, it still has a capacitance of 166 F g–1. After 1500 cycles, there is no evident capacity fading [91].
Doping the LiMn2O4 with several cations is also a good way to effectively reduce the Jahn–Teller distortion and further improve the cycling stability [92]. In the CV curve of LiCr0.15Mn1.85O4 in the saturated aqueous LiNO3 (9 mol l–1) solution, faster ‘‘CV response’’ of LiCr0.15Mn1.85O4 is in correlation with higher capacity retention in comparison to undoped LiMn2O4 [86]. The Ni-doped LiMn2O4 presents much better rate capability and cycling behavior [87].
Li[Ni1/3Co1/3Mn1/3]O2
Li[Ni1/3Co1/3Mn1/3]O2 has a rhombohedral structure belonging to the R3m space group of a hexagonal α-NaFeO2 structure. The lattice is formed by oxygen atoms in ABC stacking with alternating layers containing mixtures of nickel (+2), cobalt (+3), and manganese (+4) atoms. Its reaction mechanism as a positive electrode for SCs is as shown in eq. (8). During the de-intercalation of Li+ ions, the valence of Ni is changed from +2 to +3, and that of Co from +3 to +4. In the meanwhile, Mn stays at +4. Li[Ni1/3Co1/3Mn1/3]O2 powders are traditionally synthesized from heat-treating the coprecipitated spherical metal hydroxide with lithium salt or hydroxide [93].
The electrochemical stability of Li[Ni1/3Co1/3Mn1/3]O2 in a Li+-containing aqueous solution is critically dependent on the pH value [94]. As shown in Fig. 5, one couple of its redox peaks in 2 M Li2SO4 solution are situated at 0.48 and 0.68 V (vs. SCE), corresponding to the intercalation and de-intercalation of lithium ions in Li[Ni1/3Co1/3Mn1/3]O2, respectively. The oxygen evolution potential shifts to 1.29 V (vs. SCE), which is much lower than those for LiCoO2 and LiMn2O4 systems. It shows that it is possible to extract lithium ions from the host before the evolution of oxygen [95]. The species of aqueous electrolyte, current density, scan rate and potential limit have influence on the capacitive property of Li[Ni1/3Co1/3Mn1/3]O2. The initial discharge specific capacitance of 298 F g−1 was obtained in 1 M Li2SO4 solution within potential range 0–1.4 V at the current density of 100 mA g−1 and was cut down <0.058 F g−1 per cycling period in 1000 cycles [96]. In addition, it is curious that Li[Ni1/3Co1/3Mn1/3]O2 synthesized by the sol-gel method can also exhibit a good cycling performance in a 2 M LiNO3 aqueous solution at different charge/discharge rates from 80 to 200 C in spite of low capacity [97].
![Fig. 5 CV curve of Li[Ni1/3Co1/3Mn1/3]O2 in 2 M Li2SO4 aqueous solution (modified from ref. [95]).](/document/doi/10.1515/pac-2013-1204/asset/graphic/pac-2013-1204_fig5.jpg)
CV curve of Li[Ni1/3Co1/3Mn1/3]O2 in 2 M Li2SO4 aqueous solution (modified from ref. [95]).
The electrochemical performance of Li[Ni1/3Co1/3Mn1/3]O2 in aqueous solution can be modified by mixing with PPy. The redox reversibility and capacity retention are much improved compared to those of the pristine Li[Ni1/3Co1/3Mn1/3]O2. The main reason is that the added PPy could enhance the electronic conductivity of Li[Ni1/3Co1/3Mn1/3]O2 electrode [98].
Li1+xV3O8
Li1+xV3O8can be used as a lithium insertion host, and possess many advantages such as the large discharge capacity, the high rate capability and the good cycle performance. These are caused by the uptake of more than three moles of lithium per formula unit, the fast diffusion of lithium in the compound, and the structural stability against lithium insertion and extraction, respectively [99]. This vanadate belongs to a monoclinic system with the space group P21/m and has a layered structure where adjacent layers with the nominal composition of V3O8- are held together by Li ions at the octahedral sites in the interlayer. Excess lithium corresponding to the amount x is accommodated at the tetrahedral sites between the layers [100]. Lithium insertion reaction of Li1+xV3O8 is described as three steps composed of a single-phase reaction for the range 0 < x < 2.0 in Li1+xV3O8, a two-phase reaction for 2.0 < x < 3.2, and a single-phase reaction for 3.2 < x < 4.0. Phase transformation occurs at x=2.0 from the original LiV3O8 phase to the second Li4V3O8 one [101].
It is well known that the preparation method for Li1+xV3O8 strongly influences its electrochemical properties. Traditional synthesis method of Li1+xV3O8 was that Li2CO3 reacted with V2O5 at 680 °C [102]. To improve the electrochemical properties of this material, much attention has been paid to the new synthetic methods and post treatments, mainly the sol–gel method [103], hydrothermal reaction [104], microwave-assisted synthesis [105], and ultrasonic treatment [106]. To be more precise, single-crystalline LiV3O8 nanobelts have been synthesized by using V2O5 nanobelts as the vanadium resource via a facile solid-state reaction method. The LiV3O8 nanobelts with thickness of <20 nm, width of 100–300 nm, and length up to several micrometers can grow along the [–201] direction [107]. In addition, an amorphous wrapped [98] orientated nanorod structure has been fabricated in a LiV3O8 thin film by adjusting the oxygen partial pressure in the deposition process using radio frequency (RF) magnetron sputtering [108].
LiV3O8 nanobelts exhibit stable lithium-ion intercalation/deintercalation reversibility and deliver initial specific discharge capacities of around 356.2 mA h/g at 0.02 A/g and 234 mAh g–1 at 0.1 A/g, respectively. After 30 cycles, the specific discharge capacities are lowered to 298.6 mAh g–1 at 0.02 A/g and 195.5 mAh g–1 at 0.1 A/g, respectively [107]. In addition, LiV3O8 nanorods with a (100) preferred orientation can provide more entrances and shorter diffusion pathways for insertion of Li ions, which facilitate high capacity and excellent rate capability. However, the lithiation planes are perpendicular to the Li ion transport pathways when the (100) planes are parallel to the substrate for the film electrode, which blocks the flow of Li ions, as shown in Fig. 6a. Li ions therefore have to move through the close-packed oxygen layer, which leads to poor rate properties for a film electrode. After introducing the amorphous wrapping layer, the migration of Li ions proceeds firstly in a three-dimensional manner along the outside of the nanorods and then across the interface towards the (100) plane. This amorphous wrapping layer can avoid the close-packed oxygen layer and remove the anisotropy of the nanorods, which therefore improves the sluggish kinetics of Li ion insertion, as shown schematically in Fig. 6a. Moreover, the amorphous layer is not an inert phase but the same as the bulk material, so that it can provide Li ions in various sites and be convenient for delivery of Li ions to the (100) planes where it can be inserted [108].
![Fig. 6 (a) Illustration of the diffusion pathway for Li ions in LiV3O8 nanorods with and without amorphous wrapping and (b) cyclic voltammograms of nanostructured LiV3O8 thin film recorded in the first 5 cycles (modified from ref. [108]).](/document/doi/10.1515/pac-2013-1204/asset/graphic/pac-2013-1204_fig6.jpg)
(a) Illustration of the diffusion pathway for Li ions in LiV3O8 nanorods with and without amorphous wrapping and (b) cyclic voltammograms of nanostructured LiV3O8 thin film recorded in the first 5 cycles (modified from ref. [108]).
The cyclic voltammogram (Fig. 6b) exhibits two reduction peaks, at 2.56 V and 2.81 V, and oxidation peaks at 2.52 V and 2.78 V, corresponding to the extraction and insertion of Li ions in monoclinic LiV3O8, respectively. The sharp peaks at 2.81 and 2.52 V indicate the depth of the phase transformation during the charge and discharge processes. The curves obtained for five cycles remain identical to each other, indicating a stable and good reversible insertion/extraction reaction [108]. As for the Co0.58Ni0.42 oxide coated LiV3O8 nanomaterials, 5.0 wt % Co0.58Ni0.42 oxide coated LiV3O8 shows the best rate capability and cyclability. The initial discharge capacity of 5.0 wt % Co0.58Ni0.42 oxide coated LiV3O8 is 243.3 mAh g–1 at 1 C, which is nearly the same as that at 0.5 C. After 60 cycles, the discharge capacity of 5.0 wt % Co0.58Ni0.42 oxide coated LiV3O8 remains at 203.9 mAh g–1 [109].
NaxMnO2
The known phases of NaxMnO2 (x=0.2, 0.40, 0.44, 0.70, 1) have been summarized [110]. There are two phases for NaMnO2. Low-temperature α-NaMnO2has an O3 layered structure with a monoclinic structural distortion due to the Jahn-Teller distortion of the Mn3+ ion. At high temperature, the orthorhombic β-NaMnO2 forms in a different layered structure containing MnO2 sheets consisting of a double stack of edge-sharing MnO6 octahedra. Na occupies the octahedral sites between two neighboring sheets [111]. First principles computations indicate that the monoclinic NaMnO2 is energetically more stable than other competing phases. This is in contrast to LiMnO2, which prefers an orthorhombic structure [112, 113]. Both α- and β-NaMnO2 were electrochemically tested as a positive electrode material in 1985. Their results showed that only 0.22 and 0.15 Na could be reversibly extracted and reintercalated in α- and β-NaMnO2 respectively. Besides NaMnO2, Na0.4MnO2 and Na0.6MnO2 have also been studied as a positive electrode [113].
Among the small number of oxide materials of potential interest identified, Na0.44MnO2 is particularly attractive because of its adequate crystal structure forming suitable large-size tunnels for sodium incorporation [114]. Moreover, in previous reports, the phases prepared by solid-state synthesis contained Mn2O3-bixbyite impurities. To avoid the presence of such parasitic phases, acidic treatment using HCl is used for their dissolution. However, this procedure concomitantly induces sodium leaching, leading to an isostructurally deficient sodium phase of approximate composition Na0.2MnO2 [114]. Recently, some researchers pointed out the possibility of preparing pure Na0.44MnO2 powders by accurately adjusting the solid-state synthesis parameters [115]. In addition, NaMnO2 was synthesized by ball milling mixtures of Na2CO3 and MnO2 at a molar ratio of 1:2 for 12 h followed by heating at 870 °C for 10 h [116]. Na0.35MnO2 nanowire is prepared by a simple and low energy consumption hydrothermal method [117].
The capacitance of the nanowire Na0.35MnO2 (157 F g–1) is much higher than that of the rod-like Na0.95MnO2 (92 F g–1). It presents excellent cycling performance even the oxygen in the aqueous electrolyte is not removed, no evident capacitance fading after 5000 cycles. The Na0.35MnO2 nanowire delivers an energy density 42.6 Wh kg–1 at a power density of 129.8 W kg–1 when testing using activated carbon as the anode, higher than that of the rod-like Na0.95MnO2, 27.3 Wh kg–1 at a power density of 74.8 W kg–1 [117]. Fig. 7a shows the cyclic voltammogramms (CV) of NaMnO2 electrode in 0.5 M Na2SO4 aqueous solution at a scan rate of 5 mV s−1. The current collector (Ni-mesh) is very stable in the range −1.0 < ESCE< 1.2 V in Na2SO4 aqueous solution. Hydrogen and oxygen evolutions occur at ESCE < −1.0 V and > 1.2 V, respectively, because of significant overpotentials consistent with results previously reported for aqueous Li2SO4 solution [118]. In the potential range of 0–1.1 V the behavior of the NaMnO2 electrode slightly deviates from the ideal rectangular shape with two small redox couples, indicative of the pseudocapacitance properties of NaMnO2 cathode. These redox peaks are similar to that of NaxMnO2·H2O, which can be definitely ascribed to the intercalation/deintercalation of Na+ into and from the solid lattice [119]. The SC exhibits a sloping voltage–time curve in the entire voltage region of 0–1.9 V and delivers an energy density of 19.5 Wh kg−1 at a power density of 130 W kg−1 based on the total mass of the active electrode materials. It can be seen from Fig. 7b that also shows excellent cycling behavior with not more than 3 % capacitance loss after 10 000 cycles at a current rate of 10C [116].
![Fig. 7 (a) CV curves of NaMnO2 in 0.5 M Na2SO4 aqueous solution and (b) the cycling behavior of the asymmetric AC//NaMnO2 SC (modified from ref. [116]).](/document/doi/10.1515/pac-2013-1204/asset/graphic/pac-2013-1204_fig7.jpg)
(a) CV curves of NaMnO2 in 0.5 M Na2SO4 aqueous solution and (b) the cycling behavior of the asymmetric AC//NaMnO2 SC (modified from ref. [116]).
KxMnO2
Lithium and sodium intercalation compounds can be a promising cathode for SCs as mentioned above, potassium intercalation compounds can also be used as positive electrodes. The lamellar structure of LiMnO2 has been demonstrated to be unstable during cycling and it transforms into the spinel form easily since the lamellar compound has a cubic-close-packed arrangement of oxide ions which is identical to that of a spinel [120], therefore introduction of large alkali ions and H2O molecules into the interlayer space of manganese oxide could stabilize the lamellar structure [121]. For example, lamellar KxMnO2, with the large K+ ions as pillars, shows better cycling performance than LixMnO2 during the Li+ intercalation/deintercalation in organic electrolytes. This can be ascribed to the expansion of the interlayer space. At the same time, large K+ ions make manganese cations diffusion into the interlayer region to form spinel structure less favorable [122]. When KxMnO2·yH2O is used as electrode material in an aqueous capacitor, the existence of these interlayer H2O molecules is not supposed to influence the performance of the capacitor, unlike commercial lithium-ion batteries using organic electrolytes, which require anhydrous environment for the assembly of battery. In addition, lamellar KxMnO2·yH2O lattice possesses a large interlayer distance of about 0.7 nm that could be intercalated by large quaternary ammonium cations and other alkaline cations [123–125].
There are many scientific reports about the synthetic routes to prepare KxMnO2. For instance, sol–gel synthesis usually involves various sugars and other organic polyalcohols as well as further heating to develop good crystallinity and remove the organic additives [126]. Precipitation routes usually involve not only the oxidation of aqueous Mn2+ cations but also the oxidation of amorphous solid precursors via the redox reaction between Mn2+ and MnO4− [127]. A soft-template method for the synthesis of layered manganate (KxMnO2, birnessite) compounds with a relatively good control at the nanoscale regime on the number of octahedral layers is described [128]. KxMnO2 precursor is prepared by ball milling the mixture of K2CO3 and MnO2 in a molar ratio of 1:2 for 12 h, followed by calcination at 550 °C for 8 h. The precursor is further washed several times with water to remove residual K2CO3 [129].
A schematic diagram is shown in Fig. 8a to illustrate the different impedance behaviors of KxMnO2·nH2O electrodes in Li2SO4, Na2SO4 and K2SO4 aqueous electrolytes. The molar ionic conductivity of the three types of alkaline cations in aqueous solutions (K: 73.5 S cm2mol–1, Na: 50.1 S cm2 mol–1, Li: 38.6 S cm2mol–1) [130], namely their migration rate, is supposed to account for the different electrolyte resistance. Since the hydrated ionic radius of the three alkaline cations are similar (K+: 3.31 Å, Na+: 3.58 Å, and Li+: 3.82 Å) [130], the different capacitive features should be mainly affected by their different solvation interactions. K+ possesses the weakest solvation interaction with H2O due to its smallest charge density, making it dehydrate readily in the interior of the porous electrode. As a result, the charge transfer process occurs facilely and the double-layer capacitance is formed rapidly on the electrode/electrolyte interface. All the above results explain the best power ability of KxMnO2·nH2O in the K2SO4 electrolyte [131].
![Fig. 8 (a) Schematic illustration of the hydrated ionic radius and migration rate of three alkaline cations and (b) CV curves of KxMnO2·nH2O electrodes in the three aqueous electrolytes at the scan rate of 5 mV s–1 (modified from ref. [131]).](/document/doi/10.1515/pac-2013-1204/asset/graphic/pac-2013-1204_fig8.jpg)
(a) Schematic illustration of the hydrated ionic radius and migration rate of three alkaline cations and (b) CV curves of KxMnO2·nH2O electrodes in the three aqueous electrolytes at the scan rate of 5 mV s–1 (modified from ref. [131]).
CV curves of KxMnO2·nH2O electrodes in the three aqueous electrolytes at the scan rate of 5 mV s–1 are presented in Fig. 8b. A couple of reversible redox peaks can be observed distinctly for all the three electrolytes, suggesting the Faradic pseudocapacitive nature of KxMnO2·nH2O material. Previous work on the crystalline structure and chemical composition of KxMnO2·nH2O during electrochemical cycling in K2SO4 electrolyte indicates that this couple of redox peaks is concerned with the reversible intercalation/deintercalation of K+ into/from crystalline KxMnO2·nH2O lattice [132]. In this case, the three electrolytes lead to slightly different potentials of these redox peaks. In addition, the redox peaks of KxMnO2·nH2O electrodes are considerably more distinct than those of MnO2 reported in literatures, which can be ascribed to the high crystallinity of KxMnO2·nH2O material [131]. Studies of the electrochemical behavior of K0.27MnO2·0.6H2O in K2SO4 show an energy density of 25.3 Wh kg−1 at power density of 140 W kg−1 based on the total mass of the active electrode materials. It also shows excellent cycling behavior with no more than 2 % capacitance loss after 10 000 cycles at a current rate of 25C [129].
Conclusions and outlook
This paper has reviewed the research progress in intercalation compounds for SC electrodes. As illustrated throughout this paper, many kinds of typical and mostly used methods for intercalation compounds with different nanostructures are summarized. In general, nanostructures provide higher surface area, easier access of electrolyte to the active material, and shorter diffusion distances, leading to improved energy storage and performance in SCs. Moreover, the performance in terms of stability, capacity and efficiency of the intercalation compounds can be further refined by modifying with other functional nanostructured materials [133, 134]. These newly emerging nanostructured intercalation compounds are now offering significant opportunities for the development of cost-effective, efficient and environmentally benign SC devices.
Although the last decade has witnessed progress in the synthesis of nanostructured metal oxide and their applications for SC devices, challenges still exist at the current stage of technology. More exactly, one of the key challenges for SCs is their limited energy density, which has hindered their wider application in the field of energy storage [135]. To overcome this challenge, a major focus of SCs research and development should be to discover new electrode materials with high capacitance and a wide potential window. The porosity of SCs materials should be particularly emphasized here. Nano-micropores are necessary to achieve higher specific surface area, and these micropores must be ensured to be electrochemically accessible for ions. Hence, pore network, the availability and wettability of pores, and dimensions matching with the size of solvated anions and cations are crucial for SCs electrode materials [1]. Moreover, two or more kinds of metal element formed mixed oxidation state can further boost energy density and cycling stability [87, 136], which may provide a new path to explore excellent performance for SCs.
It is worth noting that by using nanostructured materials, the inner stress can be alleviated and the ion diffusion length is reduced. Therefore, better rate capability and cycling performance can be expected. Electrode materials with porous nanostructures can accommodate large volume changes during the charge/discharge process, and the hollow structures may provide extra space for ion storage [137, 138]. Hierarchical nanostructures, combining nanoscale and microscale materials, may capitalize on the advantages and restrain the shortcomings of the two components [139, 140]. Besides, nanostructured current collectors and flexible paper/textile electrodes will gain attention in the future [141, 142]. Nanostructured current collectors, which have much larger surface areas and good mechanical robustness, can provide both efficient pathways for ion and electron transport through the entire electrode architecture.
In the future, research directions on metal oxide nanomaterials for SCs applications would be proposed as following. At first, not only the existing synthetic methods should be further developed but also new and advanced synthetic strategies to prepare high-quality intercalation compounds should be explored. It is necessary to make more efforts to understand the relationship between the reaction parameters and the final structure and properties of the intercalation compound nanocrystals as well as their underlying nucleation and growth mechanism in solution, which act as a guide to the design of desired intercalation compounds rather than just their preparation.
Secondly, the material engineering of intercalation compounds should be paid high attention to generate combined composite/hybrid nanomaterials. The modification techniques could help us access a huge number of new intercalation compounds, which not only integrate the properties of the virginal intercalation compounds but also bring new collective functions. Moreover, enhanced performances of intercalation compounds at the nanoscale can be achieved due to the synergetic chemical coupling effects. Recently, although progress has shown successful cases for intercalation compounds, a wide range of other mixed oxide state is highly pursued for broadening and enhancing the applications of intercalation compounds.
Lastly, it is important to understand the fundamental principles of SCs. For example, an in-depth understanding of the pseudocapacitance mechanisms and their relationship with the structure and composition of the active sites is beneficial to prepare new nanomaterials. Furthermore, more theoretical investigations into the electrochemical properties and surface structure as well as synergetic effects of intercalation compounds/modified-intercalation compounds should be made based on first-principle calculations, which in combination with smart experimental strategies will greatly shorten the development process of highly efficient intercalation compounds-based nanocomposites for SC applications.
Article note: A collection of invited papers based on presentations at the 9th International Conference on Novel Materials and their Synthesis (NMS-IX) and the 23rd International Symposium on Fine Chemistry and Functional Polymers (FCFP-XXIII), Shanghai, China, 17–22 October 2013.
Acknowledgements
Financial supports from the PhD Start-up Fund of Jiangxi Normal University and Science & Technology Support Program of Jiangxi Province (20133BBE50008) are gratefully appreciated.
References
[1] G. P. Wang, L. Zhang, J. J. Zhang. Chem. Soc. Rev. 41, 797 (2012).Search in Google Scholar
[2] C. Liu, F. Li, L. P. Ma, H. M. Cheng. Adv. Mater. 22, E28 (2010).10.1002/adma.200903328Search in Google Scholar
[3] S. Chen, W. Xing, J. Duan, X. Hu, S. Z. Qiao. J. Mater. Chem. A 1, 2941 (2013).10.1039/C2TA00627HSearch in Google Scholar
[4] P. Simon, Y. Gogotsi. Nat. Mater. 7, 845 (2008).Search in Google Scholar
[5] R. Kotz, M. Carlen. Electrochim. Acta 45, 2483 (2000).10.1016/S0013-4686(00)00354-6Search in Google Scholar
[6] R. Kotz, S. Müller, M. Bärtschi, B. Schnyder, P. Dietrich, F. N. Büchi, A. Tsukada, G. G. Scherer, P. Rodatz, O. Garcia, P. Barrade, V. Hermann, R. Gallay. Electrochem. Soc. Proc. 21, 564 (2001).Search in Google Scholar
[7] K. Naoi, W. Naoi, S. Aoyagi, J. Miyamoto, T. Kamino. Accounts Chem. Res. 46, 1075 (2013).Search in Google Scholar
[8] Q. F. Zhang, E. Uchaker, S. L. Candelaria, G. Cao. Chem. Soc. Rev. 42, 3127 (2013).Search in Google Scholar
[9] Q. Zhang, G. Cao. Nano Today 6, 91 (2011).10.1016/j.nantod.2010.12.007Search in Google Scholar
[10] C. Cheng, H. J. Fan. Nano Today 7, 327 (2012).10.1016/j.nantod.2012.06.002Search in Google Scholar
[11] R. Liu, J. Duay, S. B. Lee. Chem. Commun. 47, 1384 (2011).Search in Google Scholar
[12] A. Chandra, A. J. Roberts, E. Lam How Yee, R. C. T. Slade. Pure Appl. Chem. 81, 1489 (2009).Search in Google Scholar
[13] J. Jiang, Y. Y. Li, J. P. Liu, X. T. Huang, C. Z. Yuan, X. W. Lou. Adv. Mater. 24, 5166 (2012).Search in Google Scholar
[14] F. X. Wang, S. Y. Xiao, Y. Y. Hou, C. L. Hu, L. L. Liu, Y. P. Wu. RSC Adv. 3, 13059 (2013).Search in Google Scholar
[15] X. Y. Lang, A. Hirata, T. Fujita, M. W. Chen. Nat. Nanotech. 6, 232 (2011).Search in Google Scholar
[16] C. D. Lokhande, D. P. Dubal, O. S. Joo. Curr. Appl. Phy. 11, 255 (2011).Search in Google Scholar
[17] L. L. Zhang, X. S. Zhao. Chem. Soc. Rev. 38, 2520 (2009).Search in Google Scholar
[18] A. G. Pandolfo, A. F. Hollenkamp. J. Power Sources 157, 11 (2006).10.1016/j.jpowsour.2006.02.065Search in Google Scholar
[19] X. Andrieu. Electron.: New Trends Electrochem. Tech. 1, 521 (2000).Search in Google Scholar
[20] H. Jiang, J. Ma, C. Li. Adv. Mater. 24, 4197 (2012).Search in Google Scholar
[21] M. Zhi, C. Xiang, J. Li, M. Li, N. Wu. Nanoscale 5, 72 (2013).10.1039/C2NR32040ASearch in Google Scholar
[22] P. J. Hall, M. Mirzaeian, S. I. Fletcher, F. B. Sillars, A. J. R. Rennie, G. O. Shitta Bey, G. Wilson, A. Cruden, R. Carter. Energy Environ. Sci. 3, 1238 (2010).Search in Google Scholar
[23] S. Ghosh, O. Inganas. Adv. Mater. 11, 1214 (1999).Search in Google Scholar
[24] T. Cottineau, M. Toupin, T. Delahaye, T. Brousse, D. Bélanger. Appl. Phy. A 82, 599 (2006).10.1007/s00339-005-3401-3Search in Google Scholar
[25] M. D. Stoller, R. S. Ruoff. Energy Environ. Sci. 3, 1294 (2010).Search in Google Scholar
[26] H. Nishihara, T. Kyotani. Adv. Mater. 24, 4473 (2012).Search in Google Scholar
[27] O. Haas, E. J. Cairns. Annu. Rep. Sect. C 95, 163 (1999).10.1039/pc095163Search in Google Scholar
[28] A. Balducci, R. Dugas, P. L. Taberna, P. Simon, D. Plée, M. Mastragostino, S. Passerini. J. Power Sources 165, 922 (2007).10.1016/j.jpowsour.2006.12.048Search in Google Scholar
[29] Y. Hu, J. Wang, X. Jiang, Y. Zheng, Z. Chen. Appl. Surf. Sci. 271, 193 (2013).Search in Google Scholar
[30] W. Tang, L. L. Liu, S. Tian, L. Li, L. L. Li, Y. B. Yue, Y. Bai, Y. P. Wu, K. Zhu, R. Holze. Electrochem. Commun. 13, 1159 (2011).Search in Google Scholar
[31] X. Rui, D. Sim, C. Xu, W. Liu, H. Tan, K. Wong, H. H. Hng, T. M. Lim, Q. Yan. RSC Adv. 2, 1174 (2012).Search in Google Scholar
[32] W. Tang, X. W. Gao, Y. S. Zhu, Y. B. Yue, Y. Shi, Y. P. Wu, K. Zhu. J. Mater. Chem. 22, 20143 (2012).Search in Google Scholar
[33] W. Tang, Y. Y. Hou, F. X. Wang, L. L. Liu, Y. P. Wu, K. Zhu. Nano Lett. 13, 2036 (2013).Search in Google Scholar
[34] W. Tang, L. L. Liu, S. Tian, L. Li, Y. Yue, Y. P. Wu, K. Zhu. Chem. Commun. 47, 10058 (2011).Search in Google Scholar
[35] A. Gedanken. Ultrason. Sonochem. 11, 47 (2004).10.1016/j.ultsonch.2004.01.037Search in Google Scholar PubMed
[36] N. Perkas, Z. Zhong, J. Grinblat, A. Gedanken. Catal. Lett. 120, 19 (2008).Search in Google Scholar
[37] H. Wang, J. J. Zhu, J. M. Zhu, H. Y. Chen. J. Phys. Chem. B 106, 3848 (2002).10.1021/jp0135003Search in Google Scholar
[38] B. Li, Y. Xie, Y. Liu, J. X. Huang, Y. T. Qia. J. Solid State Chem. 158, 260 (2001).Search in Google Scholar
[39] B. Li, Y. Xie, J. Huang, Y. Liu, Y. Qian. Chem. Mater. 12, 2614 (2000).Search in Google Scholar
[40] P. Salinas Estevané, E. M. Sánchez. Cryst. Growth Des. 10, 3917 (2010).Search in Google Scholar
[41] I. Bilecka, M. Niederberger. Nanoscale 2, 1358 (2010).10.1039/b9nr00377kSearch in Google Scholar PubMed
[42] M. R. Gao, Y. F. Xu, J. Jiang, S. H. Yu. Chem. Soc. Rev. 42, 2986 (2013).Search in Google Scholar
[43] Z. Zhuang, Q. Peng, Y. Li. Chem. Soc. Rev. 40, 5492 (2011).Search in Google Scholar
[44] M. R. Gao, J. Jiang, S. H. Yu. Small 8, 13 (2012).10.1002/smll.201101573Search in Google Scholar PubMed
[45] M. K. Devaraju, I. Honma. Adv. Energy Mater. 2, 284 (2012).Search in Google Scholar
[46] K. Sue, K. Kimura, K. Arai. Mater. Lett. 58, 3229 (2004).Search in Google Scholar
[47] A. H. Lu, E. L. Salabas, F. Schuth. Angew Chem. Int. Edit. 46, 1222 (2007).Search in Google Scholar
[48] U. T. Lam, R. Mammucari, K. Suzuki, N. R. Foster. Industr. Engineering Chem. Res. 47, 599 (2008).Search in Google Scholar
[49] A. Tavakoli, M. Sohrabi, A. Kargari. Chem. Pap. 61, 151 (2007).Search in Google Scholar
[50] A. S. Teja, P. Y. Koh. Prog. Cryst. Growth Character. Mater. 55, 22 (2009).Search in Google Scholar
[51] H. W. Liang, S. Liu, S. H. Yu. Adv. Mater. 22, 3925 (2010).Search in Google Scholar
[52] X. W. D. Lou, L. A. Archer, Z. Yang. Adv. Mater. 20, 3987 (2008).Search in Google Scholar
[53] Y. S. Zhao, H. Fu, A. Peng, Y. Ma, D. Xiao, J. Yao. Adv. Mater. 20, 2859 (2008).Search in Google Scholar
[54] H. Fan, Y. G. Zhang, M. F. Zhang, X. Y. Wang, Y. T. Qian. Cryst. Growth Des. 8, 2838 (2008).Search in Google Scholar
[55] G. E. Possin. Rev. Sci. Instrum. 41, 772 (1970).10.1063/1.1684640Search in Google Scholar
[56] C. R. Martin. Science 266, 1961 (1994).10.1126/science.266.5193.1961Search in Google Scholar PubMed
[57] H. Murakami, M. Kobayashi, H. Takeuchi, Y. Kawashima. Int. J. Pharm. 187, 143 (1999).Search in Google Scholar
[58] T. Kim, I. Park, R. Ryoo. Angew. Chem. Int. Ed. 42, 4375 (2003).Search in Google Scholar
[59] A. D. Berry, R. J. Tonucci, M. Fatemi. Appl. Phys. Lett. 69, 2846 (1996).Search in Google Scholar
[60] S. K. Chakarvarti, J. Vetter. Radiat. Meas. 29, 149 (1998).Search in Google Scholar
[61] X. B. Chen, S. S. Mao. Chem. Rev. 107, 2891 (2007).Search in Google Scholar
[62] G. W. She, X. H. Zhang, W. S. Shi, Y. Cai, N. Wang, P. Liu, D. M. Chen. Cryst. Growth Des. 8, 1789 (2008).Search in Google Scholar
[63] D. Pinisetty, D. Davis, E. J. Podlaha-Murphy, M. C. Murphy, A. B. Karki, D. P. Young, R. V. Devireddy. Acta Mater. 59, 2455 (2011).Search in Google Scholar
[64] A. Barau, V. Budarin, A. Caragheorgheopol, R. Luque, D. J. Macquarrie, A. Prelle, V. S. Teodorescu, M. Zaharescu. Catal. Lett. 124, 204 (2008).Search in Google Scholar
[65] R. J. White, R. Luque, V. L. Budarin, J. H. Clark, D. J. Macquarrie. Chem. Soc. Rev. 38, 481 (2009).Search in Google Scholar
[66] C. M. Donegá, P. Liljeroth, D. Vanmaekelbergh. Small 1, 1152 (2005).10.1002/smll.200500239Search in Google Scholar PubMed
[67] A. Martínez, G. Prieto. Catal. Commun. 8, 1479 (2007).Search in Google Scholar
[68] P. Serp, P. Kalck, R. Feurer. Chem. Rev. 102, 3085 (2002).Search in Google Scholar
[69] R. G. Compton, J. C. Eklund, F. Marken. Electroanal. 9, 509 (1997).Search in Google Scholar
[70] R. Strobel, S. E. Pratsinis, A. Baiker. J. Mater. Chem. 15, 605 (2005).Search in Google Scholar
[71] H. Lee, M. S. Cho, I. H. Kim, J. D. Nam, Y. Lee. Synthetic Met. 160, 1055 (2010).Search in Google Scholar
[72] D. Choi, P. N. Kumta. J. Electrochem. Soc. 153, A2298 (2006).10.1149/1.2359692Search in Google Scholar
[73] D. D. Zhao, S. J. Bao, W. J. Zhou, H. L. Li. Electrochem. Commun. 9, 869 (2007).Search in Google Scholar
[74] Y. G. Wang, J. Y. Luo, C. X. Wang, Y. Y. Xia. J. Electrochem. Soc. 153, A1425 (2006).10.1149/1.2203772Search in Google Scholar
[75] W. Tang, L. L. Liu, S. Tian, L. Li, Y. B. Yue, Y. P. Wu, S. Y. Guan, K. Zhu. Electrochem. Commun. 12, 1524 (2010).Search in Google Scholar
[76] L. J. Fu, H. Liu, C. Li, Y. P. Wu, E. Rahm, R. Holze, H. Q. Wu. Prog. Mater. Sci. 50, 881 (2005).Search in Google Scholar
[77] G. J. Wang, Q. T. Qu, B. Wang, Y. Shi, S. Tian, Y. P. Wu, R. Holze. Electrochim. Acta 54, 1199 (2009).10.1016/j.electacta.2008.08.047Search in Google Scholar
[78] G. J. Wang, L. J. Fu, N. H. Zhao, L. C. Yang, Y. P. Wu, H. Q. Wu. Angew. Chem. Int. Ed. 46, 295 (2007).Search in Google Scholar
[79] G. J. Wang, L. C. Yang, Q. T. Qu, B. Wang, Y. P. Wu, R. Holze. J. Solid State Electrochem. 14, 865 (2010).Search in Google Scholar
[80] M. Winter, J. O. Besenhard, M. E. Spahr, P. Novak. Adv. Mater. 10, 725 (1998).Search in Google Scholar
[81] Y. P. Wu, X. Y. Yuan, C. Dong, J. Y. Duan. Lithium Ion Batteries: Practice and Applications, 2nd ed., Chemical Industry Press, Beijing (2012).Search in Google Scholar
[82] K. M. Shaju, P. G. Bruce. Chem. Mater. 20, 5557 (2008).Search in Google Scholar
[83] W. Li, J. R. Dahn, D. S. Wainwright. Science 264, 1115 (1994).10.1126/science.264.5162.1115Search in Google Scholar
[84] M. S. Zhao, X. P. Song, F. Wang, W. M. Dai, X. G. Lu. Electrochim. Acta 56, 5673 (2011).10.1016/j.electacta.2011.04.025Search in Google Scholar
[85] Q. T. Qu, L. J. Fu, X. Y. Zhan, D. Samuelis, J. Maier, L. Li, S. Tian, Z. H. Li, Y. P. Wu. Energy Environ. Sci. 4, 3985 (2011).Search in Google Scholar
[86] I. B. Stojković, N. D. Cvjetićanin, S. V. Mentus. Electrochem. Commun. 12, 371 (2010).Search in Google Scholar
[87] F. X. Wang, S. Y. Xiao, Y. Shi, L. L. Liu, Y. S. Zhu, Y. P. Wu, J. Z. Wang, R. Holze. Electrochim. Acta 93, 301 (2013).10.1016/j.electacta.2013.01.106Search in Google Scholar
[88] A. B. Yuan, L. Tian, W. M. Xu, Y. Q. Wang. J. Power Sources 195, 5032 (2010).10.1016/j.jpowsour.2010.01.074Search in Google Scholar
[89] F. X. Wang, S. Y. Xiao, Y. S. Zhu, Z. Chang, C. L. Hu, Y. P. Wu, R. Holze. J. Power Sources 246, 19 (2014).10.1016/j.jpowsour.2013.07.046Search in Google Scholar
[90] W. Tang, S. Tian, L. L. Liu, L. Li, H. P. Zhang, Y. B. Yue, Y. Bai, Y. P. Wu, K. Zhu. Electrochem. Commun. 13, 205 (2011).Search in Google Scholar
[91] F. X. Wang, S. Y. Xiao, X. W. Gao, Y. S. Zhu, H. P. Zhang, Y. P. Wu, R. Holze. J. Power Sources 242, 560 (2013).10.1016/j.jpowsour.2013.05.115Search in Google Scholar
[92] G. J. Wang, H. P. Zhang, L. J. Fu, B. Wang, Y. P. Wu. Electrochem. Commun. 9, 1873 (2007).Search in Google Scholar
[93] L. Liu, F. Tian, X. Wang, Z. Yang, Q. Chen, X. Wang. J. Solid State Electrochem. 16, 491 (2012).Search in Google Scholar
[94] Y. G. Wang, J. Y. Lou, W. Wu, C. X. Wang, Y. Y. Xia. J. Electrochem. Soc. 154, A228 (2007).10.1149/1.2432056Search in Google Scholar
[95] G. J. Wang, L. J. Fu, B. Wang, N. H. Zhao, Y. P. Wu, R. Holze. J. Appl. Electrochem. 38, 579 (2007).Search in Google Scholar
[96] Y. Zhao, Y. Y. Wang, Q. Y. Lai, L. M. Chen, Y. J. Hao, X. Y. Ji. Synthetic Met. 159, 331 (2009).Search in Google Scholar
[97] J. Zheng, J. J. Chen, X. Jia, J. Song, C. Wang, M. S. Zheng, Q. F. Dong. J. Electrochem. Soc. 157, A702 (2010).10.1149/1.3374663Search in Google Scholar
[98] R. B. Shivashankaraiah, H. Manjunatha, K. C. Mahesh, G. S. Suresh, T. V. Venkatesha. J. Solid State Electrochem. 16, 1279 (2012).Search in Google Scholar
[99] J. Kawakita , T. Miura, T. Kishi. Solid State Ionics 120, 109 (1999).10.1016/S0167-2738(98)00555-4Search in Google Scholar
[100] X. Zhang, R. Frech. Electrochim. Acta 43, 861 (1997).10.1016/S0013-4686(97)00246-6Search in Google Scholar
[101] J. Kawakita, T. Miura, T. Kishi. J. Power Sources 83, 79 (1999).10.1016/S0378-7753(99)00270-0Search in Google Scholar
[102] S. Panero, M. Pasquali, G. Pistoia. J. Electrochem. Soc. 130, 1225 (1983).Search in Google Scholar
[103] M. Dubarry, J. Gaubicher, D. Guyomard, N. Steunou, J. Livage, N. Dupré, C. P. Grey. Chem. Mater. 18, 629 (2006).Search in Google Scholar
[104] H. Y. Xu, H. Wang, Z. Q. Song, Y. W. Wang, H. Yan, M. Yoshimura. Electrochim. Acta 49, 349 (2004).10.1016/j.electacta.2003.08.017Search in Google Scholar
[105] G. Yang, G. Wang, W. H. Hou. J. Phys. Chem. B 109, 11186 (2005).10.1021/jp050448sSearch in Google Scholar PubMed
[106] Y. M. Liu, X. C. Zhou, Y. L. Guo. J. Power Sources 184, 303 (2008).10.1016/j.jpowsour.2008.06.031Search in Google Scholar
[107] W. Wu, J. Ding, H. Peng, G. Li. Mater. Lett. 65, 2155 (2011).Search in Google Scholar
[108] Q. Shi, J. Liu, R. Hu, M. Zeng, M. Dai, M. Zhu. RSC Adv. 2, 7273 (2012).Search in Google Scholar
[109] F. H. Tian, L. Liu, X. Y. Wang, Z. H. Yang, M. Zhou, X. Y. Wang. Compos. Sci. Technol. 72, 344 (2012).Search in Google Scholar
[110] J. P. Parant, R. Olazcuaga, M. Devalette, C. Fouassier, E. T. P. Hagenmuller. J. Solid State Chem. 3, 1 (1971).Search in Google Scholar
[111] A. Mendiboure, C. Delmas, P. Hagenmuller. J. Solid State Chem. 57, 323 (1985).Search in Google Scholar
[112] R. Hoppe, G. Brachtel, M. Jansen. Z. Anorg. Allg. Chem. 417, 1 (1975).Search in Google Scholar
[113] X. H. Ma, H. L. Chen, G. B. Ceder. J. Electrochem. Soc. 158, A1307 (2011).10.1149/2.035112jesSearch in Google Scholar
[114] M. M. Doeff, T. J. Richardson, L. Kepley. J. Electrochem. Soc. 143, 2507 (1996).Search in Google Scholar
[115] F. Sauvage, L. Laffont, J. M. Tarascon, E. Baudrin. Inorg. Chem. 46, 3289 (2007).Search in Google Scholar
[116] Q. T. Qu, Y. Shi, S. Tian, Y. H. Chen, Y. P. Wu, R. Holze. J. Power Sources 194, 1222 (2009).10.1016/j.jpowsour.2009.06.068Search in Google Scholar
[117] B. H. Zhang, Y. Liu, Z. Chang, Y. Q. Yang, Z. B. Wen, Y. P. Wu, R. Holze. J. Power Sources 253, 98 (2014).10.1016/j.jpowsour.2013.12.011Search in Google Scholar
[118] G. J. Wang, L. J. Fu, N. H. Zhao, L. C. Yang, Y. P. Wu, H. Q. Wu. Angew. Chem. Int. Ed. 117, 299 (2007).Search in Google Scholar
[119] L. Athouël, F. Moser, R. Dugas, O. Crosnier, D. Belanger, T. Brousse. J. Phys. Chem. C 112, 7270 (2008).10.1021/jp0773029Search in Google Scholar
[120] Y. L. Lu, M. Wei, Z. Q. Wang, D. G. Evans, X. Duan. Electrochim. Acta 49, 2361 (2004).10.1016/j.electacta.2004.01.017Search in Google Scholar
[121] Y. Lu, L. Yang, M. Wei, Y. Xie, T. Liu. J. Solid State Electrochem. 11, 1157 (2007).Search in Google Scholar
[122] R. J. Chen, M. S. Whittingham. J. Electrochem. Soc. 144, L64 (1997).10.1149/1.1837554Search in Google Scholar
[123] Y. Omomo, T. Sasaki, L. Z. Wang, M. Watanabe. J. Am. Chem. Soc. 125, 3568 (2003).Search in Google Scholar
[124] L. Z. Wang, Y. Omomo, N. Sakai, K. Fukuda, I. Nakai, Y. Ebina, K. Takada, M. Watanabe, T. Sasaki. Chem. Mater. 15, 2873 (2003).Search in Google Scholar
[125] M. Nakayama, S. Konishi, H. Tagashira, K. Ogura. Langmuir 21, 354 (2005).10.1021/la048173fSearch in Google Scholar
[126] S. Ching, J. A. Landrigan, M. L. Jorgensen. Chem. Mater. 7, 1604 (1995).Search in Google Scholar
[127] D. G. Shchukin, G. B. Sukhorukov. Adv. Mater. 16, 671 (2004).Search in Google Scholar
[128] P. Tartaj. J. Mater. Chem. 22, 17718 (2012).10.1039/c2jm32583gSearch in Google Scholar
[129] Q. T. Qu, L. Li, S. Tian, W. L. Guo, Y. P. Wu, R. Holze. J. Power Sources 195, 2789 (2010).10.1016/j.jpowsour.2009.10.108Search in Google Scholar
[130] R. N. Reddy, R. G. Reddy. J. Power Sources 124, 330 (2003).10.1016/S0378-7753(03)00600-1Search in Google Scholar
[131] J. Shao, X. Y. Li, Q. T. Qu, Y. P. Wu. J. Power Sources 223, 56 (2013).10.1016/j.jpowsour.2012.09.046Search in Google Scholar
[132] S. H. Kim, S. J. Kim, S. M. Oh. Chem. Mater. 11, 557 (1999).Search in Google Scholar
[133] Y. Liu, B. H. Zhang, Y. Q. Yang, Z. Chang, Z. B. Wen, Y. P. Wu. J. Mater. Chem. A 1, 13582 (2013).10.1039/c3ta12902kSearch in Google Scholar
[134] M. X. Tang, A. B. Yuan, H. B. Zhao, J. Q. Xu. J. Power Sources 235, 5 (2013).10.1016/j.jpowsour.2013.01.182Search in Google Scholar
[135] W. Wei, X. Cui, W. Chen, D. G. Ivey. Chem. Soc. Rev. 40, 1697 (2011).Search in Google Scholar
[136] L. Q. Mai, F. Yang, Y. L. Zhao, X. Xu, L. Xu, Y. Z. Luo. Nat. Commun. 2, 381 (2011).Search in Google Scholar
[137] W. Li, F. Zhang, Y. Q. Dou, Z. X. Wu, H. J. Liu, X. F. Qian, D. Gu, Y. Y. Xia, B. Tu, D. Y. Zhao. Adv. Energy Mater. 1, 382 (2011).Search in Google Scholar
[138] Q. T. Qu, Y. S. Zhu, X. W. Gao, Y. P. Wu. Adv. Energ. Mater. 2, 950 (2012).Search in Google Scholar
[139] W. Zhou, L. J. Lin, W. J. Wang, L. L. Zhang, Q. Wu, J. H. Li, L. Guo. J. Phys. Chem. C 115, 7126 (2011).10.1021/jp2011606Search in Google Scholar
[140] Y. Luo, J. Luo, J. Jiang, W. Zhou, H. Yang, X. Qi, H. Zhang, H. J. Fan, D. Y. W. Yu, C. M. Li, T. Yu. Energy Environ. Sci. 5, 6559 (2012).Search in Google Scholar
[141] P. L. Taberna, S. Mitra, P. Poizot, P. Simon, J. M. Tarascon. Nat. Mater. 5, 567 (2006).Search in Google Scholar
[142] J. Jiang, J. P. Liu, W. W. Zhou, J. H. Zhu, X. T. Huang, X. Y. Qi, H. Zhang, T. Yu. Energy Environ. Sci. 4, 5000 (2011).Search in Google Scholar
©2014 IUPAC & De Gruyter Berlin/Boston
Articles in the same Issue
- Frontmatter
- Preface
- 9th International Conference on Novel Materials and their Synthesis (NMS-IX) and 23rd International Symposium on Fine Chemistry and Functional Polymers (FCFP-XXIII)
- Conference papers
- Fabrication and enhanced light-trapping properties of three-dimensional silicon nanostructures for photovoltaic applications
- Light harvester band gap engineering in excitonic solar cells: A case study on semiconducting quantum dots sensitized rainbow solar cells
- A safe and superior propylene carbonate-based electrolyte with high-concentration Li salt
- Nanostructured intercalation compounds as cathode materials for supercapacitors
- Synthesis, properties, and performance of nanostructured metal oxides for supercapacitors
- Ion exchange membranes for vanadium redox flow batteries
- AlPO4-coated V2 O5 nanoplatelet and its electrochemical properties in aqueous electrolyte
- Electrolytes for vanadium redox flow batteries
- Biomineralized organic–inorganic hybrids aiming for smart drug delivery
- Novel π-conjugated bio-based polymer, poly(3-amino-4-hydroxybenzoic acid), and its solvatochromism
- Enoxaparin-immobilized poly(ε-caprolactone)- based nanogels for sustained drug delivery systems
- Chemoenzymatic synthesis of functional amylosic materials
- Soybean hulls residue adsorbent for rapid removal of lead ions
- Silk sericin/poly (NIPAM/LMSH) nanocomposite hydrogels: Rapid thermo-responsibility and good carrier for cell proliferation
- On the copolymerization of monomers from renewable resources: l-lactide and ethylene carbonate in the presence of metal alkoxides
- Correlation between bowl-inversion energy and bowl depth in substituted sumanenes
- Integrated reactions based on the sequential addition to α-imino esters
- Manufacture and characterization of conductor-insulator composites based on carbon nanotubes and thermally reduced graphene oxide
- Synthesis of CuO–ZnO–Al2O3 @ SAPO-34 core@shell structured catalyst by intermediate layer method
- Synthetic versatility of nanoparticles: A new, rapid, one-pot, single-step synthetic approach to spherical mesoporous (metal) oxide nanoparticles using supercritical alcohols
- Synthesis by successive ionic layer deposition (SILD) methodology and characterization of gold nanoclusters on the surface of tin and indium oxide films
- Preface
- 2nd Brazilian Symposium on Biorefineries (II SNBr)
- Conference papers
- Biorefineries – their scenarios and challenges
- Perspectives for the Brazilian residual biomass in renewable chemistry
- Catalytic chemical processes for biomass conversion: Prospects for future biorefineries
- Production of lignocellulosic gasoline using fast pyrolysis of biomass and a conventional refining scheme
- Use of Raman spectroscopy for continuous monitoring and control of lignocellulosic biorefinery processes
Articles in the same Issue
- Frontmatter
- Preface
- 9th International Conference on Novel Materials and their Synthesis (NMS-IX) and 23rd International Symposium on Fine Chemistry and Functional Polymers (FCFP-XXIII)
- Conference papers
- Fabrication and enhanced light-trapping properties of three-dimensional silicon nanostructures for photovoltaic applications
- Light harvester band gap engineering in excitonic solar cells: A case study on semiconducting quantum dots sensitized rainbow solar cells
- A safe and superior propylene carbonate-based electrolyte with high-concentration Li salt
- Nanostructured intercalation compounds as cathode materials for supercapacitors
- Synthesis, properties, and performance of nanostructured metal oxides for supercapacitors
- Ion exchange membranes for vanadium redox flow batteries
- AlPO4-coated V2 O5 nanoplatelet and its electrochemical properties in aqueous electrolyte
- Electrolytes for vanadium redox flow batteries
- Biomineralized organic–inorganic hybrids aiming for smart drug delivery
- Novel π-conjugated bio-based polymer, poly(3-amino-4-hydroxybenzoic acid), and its solvatochromism
- Enoxaparin-immobilized poly(ε-caprolactone)- based nanogels for sustained drug delivery systems
- Chemoenzymatic synthesis of functional amylosic materials
- Soybean hulls residue adsorbent for rapid removal of lead ions
- Silk sericin/poly (NIPAM/LMSH) nanocomposite hydrogels: Rapid thermo-responsibility and good carrier for cell proliferation
- On the copolymerization of monomers from renewable resources: l-lactide and ethylene carbonate in the presence of metal alkoxides
- Correlation between bowl-inversion energy and bowl depth in substituted sumanenes
- Integrated reactions based on the sequential addition to α-imino esters
- Manufacture and characterization of conductor-insulator composites based on carbon nanotubes and thermally reduced graphene oxide
- Synthesis of CuO–ZnO–Al2O3 @ SAPO-34 core@shell structured catalyst by intermediate layer method
- Synthetic versatility of nanoparticles: A new, rapid, one-pot, single-step synthetic approach to spherical mesoporous (metal) oxide nanoparticles using supercritical alcohols
- Synthesis by successive ionic layer deposition (SILD) methodology and characterization of gold nanoclusters on the surface of tin and indium oxide films
- Preface
- 2nd Brazilian Symposium on Biorefineries (II SNBr)
- Conference papers
- Biorefineries – their scenarios and challenges
- Perspectives for the Brazilian residual biomass in renewable chemistry
- Catalytic chemical processes for biomass conversion: Prospects for future biorefineries
- Production of lignocellulosic gasoline using fast pyrolysis of biomass and a conventional refining scheme
- Use of Raman spectroscopy for continuous monitoring and control of lignocellulosic biorefinery processes