Home Functional gold nanoparticles for sensing applications
Article Open Access

Functional gold nanoparticles for sensing applications

  • Guomei Zhang

    Guomei Zhang is an Associate Professor at the School of Chemistry and Chemical Engineering, Shanxi University. She earned her BSc from Shanxi University (Taiyuan, China) in 1997. She continued her education at Shanxi University and obtained her MSc in Analytical Chemistry in 2003 and her PhD in Inorganic Chemistry in 2006. She joined the Chemistry Faculty of Shanxi University in 2006 and is currently a Visiting Professor at Carnegie Mellon University. Her research interests are supramolecular assembly and analysis of nanoparticles.

    EMAIL logo
Published/Copyright: April 6, 2013
Become an author with De Gruyter Brill

Abstract

Nanoparticle-based technologies have played important roles in providing opportunities for the development of a new generation of sensing tools. Because of their unique optical, chemical, electrical, and catalytic properties, gold nanoparticles (AuNPs) have been extensively studied for biological and chemical detections as well as analytical applications. AuNP-based sensors are expected to change the foundations of sensing and detecting biomolecules and metal ions. The ease of surface functionalization of AuNPs allows chemists to create the desired functionalities for specific applications. In this review, we will discuss the use of surface-functionalized AuNPs for fabricating smart sensors that are capable of detecting heavy metal ions, glucose, and specific biomolecules such as protein and DNA.

1 Introduction

Nanotechnology and nanoscience have significantly advanced the contemporary fundamental research and technological applications in the past two decades. A variety of nanoscale materials are being intensely pursued, such as metal nanoparticles, quantum dots, nanowires, carbon nanotubes (CNTs), graphene, and so forth. No matter which type of nanomaterial will be first chosen for mass production, nanotechnology will undoubtedly be the major driving force for the next industrial revolution.

Among the nanomaterials currently under exploration, gold nanoparticles (AuNPs) and their colloidal dispersions are promising candidates for future scientific, industrial, and domestic applications. AuNPs have a rich history, dating back to ancient Roman times when they were used to stained glass for decoration purposes. The modern era of AuNP synthesis began over 150 years ago with the work of Michael Faraday, who was the first to observe that colloidal Au solutions exhibited properties that differ from bulk Au [1, 2], but it was not until 1908 that the color effects associated with colloidal AuNPs were rationalized by Gustav Mie [3]. The intense red color of AuNPs is now known to be caused by the interaction of incident light with the free electrons in the particles, creating a collective oscillation of electrons, the so-called localized surface plasmon resonance (LSPR). AuNPs with different diameters in the range of about 10–100 nm or AuNP aggregation produces color changes from red to blue. Colorimetric sensors based on AuNPs have been widely explored and shown promising applications [4, 5].

In contrast to the LSPR-active nanoparticles, ultrasmall AuNPs (typically <2 nm diameter) no longer support the LSPR excitation due to quantum size effect. Such ultrasmall particles are often called Au nanoclusters (AuNCs) to differentiate them from their larger counterparts – plasmonic nanoparticles, typically >2 nm). Owing to the ultrasmall size, AuNCs exhibit discrete electronic structure and distinctive properties that are fundamentally different from those of metallic nanoparticles [6]. AuNCs have received considerable research interest due to their strong fluorescence in the visible and near-infrared (IR) spectrum for promising applications in sensing and biological events. The discovery of AuNC photoluminescence was reported earlier, stating that luminescence should intensify with decreasing particle size [7]. This transition can be seen where LSPR of AuNPs diminishes and photoluminescence occurs in the AuNCs size regime.

In recent years, AuNPs have been functionalized using various methods, and they have been the focus of extensive research activities [8]. Functionalized AuNPs have been extensively studied in analytical applications. Although there have been many review articles published in the past on the use of AuNPs in biological and chemical applications [9–21], we feel it is time to write an updated review to discuss the most recent developments in analytical application, especially in chemical and biological sensing.

2 Functionalization of AuNPs

Surface functionalization of AuNPs is a key step for the application of AuNPs for three reasons: first, being of nanometer sizes, the high surface-to-volume ratio of AuNPs renders them highly active, which requires surface functionalization to lower the surface energy to attain chemical stability. Second, the advantages of AuNPs become available only when they are dispersed well in solution, at least prior to interaction with the target. Thus, surface functionalization is an effective and necessary strategy to improve the stability of AuNPs and to prevent their aggregation. Third and most importantly, the designed probes for specific analytical applications can be properly attached onto nanoparticles during the functionalization stage. Therefore, surface functionalization of AuNPs achieves two goals: one is dispersion stability and the other is target-specific.

The synthesis techniques of AuNPs have been continuously evolving. Chemists have now a well-equipped toolbox to provide functionality of AuNPs by attaching different chemicals and biomolecules onto the surface of AuNPs, such as small molecules, surfactants, dendrimers, polymers, and biomolecules. Using different strategies, nanoparticles can be readily functionalized with a variety of ligands, such as thiol (-SH) [22], hydroxyl (-OH) [23], phosphine (-PH2) [24], and amine (-NH2) [25]. These functionalized AuNPs show the desired reactivities and the expected optical, electronic, and biocompatible properties. Electrostatic interaction, specific recognition (e.g., antibody-antigen, biotin-avidin), and covalent coupling (Au-S bonding, etc.) are three kinds of widely used methods to synthesize AuNP probes to meet the specific application requirements.

2.1 Small molecule ligand-functionalized AuNPs

A wide variety of ligands have been incorporated into the surface layer of conventional LSPR-active nanoparticles (typically >5 nm), allowing them to be used in sensing of biomolecules and metal ions.

Meanwhile, the synthesis and functionalization of ultrasmall AuNCs still need some efforts. Many research groups are exploring different reducing agents to synthesize monodispersed AuNCs. In fact, some small molecules (such as glutathione [26], captopril [27]) can also be used to direct the synthesis of AuNCs. For example, Perrault and Chan [28] recently demonstrated the use of hydroquinone as a reducing agent and successfully produced AuNCs. Jin’s group produced glutathione (SG)-protected water-soluble AuNCs [Au25(SG)18] and conclude that Au25(SG)18 clusters should adopt the two-shell structure using mass spectrometry and optical spectroscopy analyses. Moreover, this work recommended that all Au25(SR)18 clusters capped by different types of thiolate ligands investigated in this work (R=G, CH2CH2Ph, C6H13, C12H23) should adopt a common two-shell structure, which benefits future studies of this unique Au25 cluster material. The two-shell structure of Au25(SR)18 clusters not being influenced by thiolate types indicates the particular structural stability of the cluster. The special chiral optical signals from the Au25(SG)18 clusters are demonstrated to be imparted by the chiral glutathione ligands, rather than by the chirality of the Au25 core. Because of the unsatisfactory stability of Au25(SG)18 in solution under thermal conditions, the same group further prepared thermally stable, water-soluble captopril (Capt)-protected Au25(Capt)18 nanoclusters. Both Au25(Capt)18 and Au25(SG)18 nanoclusters show fluorescence centered at ~700 nm and have intriguing chiroptical features. The high thermal stability and distinct optical properties of Au25(Capt)18 render this material quite promising for biological applications.

Very recently, Guo et al. [29] reported a simple, one-pot method for the synthesis of water-soluble, red-emitting, highly fluorescent AuNCs using 11-mercaptoundecanoic acid (11-MUA) as the protecting agent. It was found that the fluorescent AuNCs with a quantum yield of ~6.92% and a large Stokes shift could selectively detect Cu2+ in aqueous solution, with a detection limit of about 87 nm. The mechanism of the fluorescence quench of 11-MUA-AuNPs by Cu2+ was due to the coordination of Cu2+ with the carboxyl group of 11-MUA, which might block the charge transfer from the complex of S-Au to AuNPs. The carboxylic group is a poor donor and Cu2+ is a poor acceptor. Knoppe et al. [30] prepared novel camphor-10-thiolate protected AuNCs (Au25(CamS)18), which are characterized by circular dichroism and mass spectrometry. The crude reaction mixture was size-separated using gel permeation chromatography. Au25(CamS)18 shows clear chiroptical properties. In a similar approach, 1-phenylethylthiol was used as a protecting agent and yields a polydisperse mixture of clusters. These results indicated that size distribution was found to be ligand dependent. Other interesting chiral molecule-protected AuNPs have been reported recently using N-isobutyryl-l-cysteine or N-isobutyryl-d-cysteine as the stabilizer [31].

2.2 Polymer- or dendrimer-functionalized AuNPs

The polymer-assisted synthesis of AuNPs has received considerable attention because of the small concentrations of homopolymers and block copolymers capable of stabilizing nanoparticles effectively by steric stabilization. For example, Brust’s group [32] reported a one-step method that led to near-monodispersed AuNPs in the presence of a water-soluble alkyl thioether end-functionalized poly(methacrylic acid) stabilizer. The particle size could be controlled by the molar ratio of Au to the capping ligand, and the particles were readily obtained in both aqueous and nonaqueous solutions. Liao and Hafner [33] replaced the stabilizing surfactant bilayer surrounding the Au nanorods using thiol-terminated poly(ethylene glycol) (PEG). The amphiphilic characteristics of PEG ensures that particles coated with PEG have a high degree of biocompatibility and high affinity toward protein. The use of PEG to modify the surface of AuNPs strongly increases the efficiency of cellular uptake compared with the unmodified AuNPs [34]. In addition to the above novel polymer ligands, some other functional polymers such as polyampholyte [35], linear polymers [36], amphiphilic polymers [37], polyetherimide [38, 39] have been designed and used as good stabilizers for obtaining robust AuNPs probes for detection and biological applications. Gaikwad and Rout [38] group reported in situ generation of silver nanoparticles (AgNPs) in an amorphous polyetherimide film by thermal reduction and solvent-induced chemical reduction has shown fine control on their size and distribution. The polyetherimide’s Ag nanocomposite coating shows poorer barrier protection to the steal in the presence of sodium chloride and humid atmosphere than the polyetherimide alone. Duan and Niew [39] used a ligand-induced etching process in which hyperbranched and multivalent coordinating polyetherimide polymers react with preformed Au nanocrystals to form atomic Au clusters. The Au clusters are soluble in water and are highly fluorescent upon UV light excitation. Mass spectrometry data indicate that the light-emitting species is Au8.

Dendrimers are also a good type of stabilizer for nanoparticles because they can provide multiple metal-binding functionalities that are different from conventional linear polymers. Using dendrimers as protecting agents for the synthesis of AuNPs have the following advantages [40]: (1) the dendrimer templates themselves are of fairly uniform composition and structure, and therefore, they yield well-defined AuNPs; (2) the dendrimer arms are very effective in preventing nanoparticle aggregation; (3) the terminal groups on the dendrimer periphery can be modified for purposes of nanoparticle solubility in different media; (4) the AuNPs protected by dendrimers are typically very small in size (e.g., 1–5 nm), which will participate in various catalytic reactions. For early examples, Garcia et al. [41] and Esumi and Torigoe [42] studied the formation of AuNPs within poly(amidoamine) (PAMAM) dendrimers carrying sugar, amine, methyl ester, and alkyl groups on their periphery. However, relatively large particles were formed both in the interior and on the dendrimer exterior. Later, Crooks et al. [43] reported highly monodispersed, 1- to 2-nm-diameter AuNCs using OH-containing PAMAM dendrimers as agents. In addition to PAMAM dendrimers, other dendrimers such as poly(propyleneimine) dendrimers [44], oligothia, and dendron [45, 46] have recently been extended as novel ligands for the synthesis of AuNPs. Water-soluble Au8 nanoclusters have also been prepared by Zheng et al. [47] within hydroxy-terminated second- and fourth-generation (G2-OH and G4-OH) dendrimers. AuNCs fluoresce at various wavelengths that are tunable with the size as well as the type of ligands on the AuNCs surface.

2.3 Biomacromolecule-functionalized AuNPs

There are two methods to modify the surface of AuNPs with biomolecules, that is, through covalent and noncovalent interactions. Noncovalent interactions can provide interesting assemblies of AuNPs with biomolecules by simple physical methods such as hydrophobic-hydrophobic interaction and charge-pairing [48]. To efficiently enhance the specificity and sensitivity of the detection signal, it is necessary to seek suitable methods for the functionalization of NPs with biomolecules as recognition and signal-triggering elements. Thus, it is highly desirable to synthesize aqueous stabilized AuNPs using the covalent methods with biomacromolecules [such as oligonucleotides (ODN), DNA, and protein]. Among them, sulfur-containing ligands are predominant as the most effective functional group for AuNPs due to strong Au-thiol (Au-S) bonding, leading to highly stable AuNPs. In one of the early examples of bionanotechnology, Mirkin et al. [49] and Alivisatos et al. [50] independently reported the creation of ODN-AuNP conjugates through Au-S bond formation. Later, Rosi et al. [51] prepared antisense ODN-modified AuNPs with different numbers of ODN strands per particle. Antisense particle A prepared from a tetrathiol-modified antisense ODN have a lower quantity of ODN strands on the surface of AuNPs than antisense particles B modified with a monothiol species because tetrathiol with a higher binding affinity occupies a larger surface area of the AuNPs. Demers et al. [52] determined the number of thiol-derivatized single-stranded ODNs bound to AuNPs and their extent of hybridization with complementary ODNs in solution using a fluorescence-based method. The method presented here has an important application for optimizing the sensitivity of AuNP-based ODN detection methods. The protein- and DNA-protected AuNPs or AuNCs will be discussed next.

3 Applications of AuNPs

3.1 Detecting heavy metal ions

The development of precise and sensitive metal ion sensors in a solution has always been a major research thrust in the analytical application of AuNPs [53, 54]. The reason is simple – we need a sensor system that we can use to provide on-site and real-time monitoring of metal ions (e.g., Hg2+, Cd2+, Pb2+, Cu2+) in applications such as industrial wastewater monitoring, environmental biology, and clinical toxicology [55, 56]. Here, we review various designs of metal ion sensors based on AuNPs and their use for sensitive and selective detection and quantification of metal ions.

3.1.1 Colorimetric sensors using AuNPs

Colorimetric sensors using AuNPs have been widely explored and have important applications in the sensitive detection of metal ions [57–66]. The AuNP-based colorimetric assay does not use organic co-solvents, enzymatic reactions, light-sensitive dye molecules, or sophisticated instrumentation, thereby overcoming some of the limitations of conventional methods. A simple colorimetric sensor is desired because the cost can be minimized and they can be made for portable real-time detection platforms. Chai et al. [57] demonstrated a sensitive colorimetric detection method for sensing Pb2+ ions using glutathione (GSH)-functionalized AuNPs (GS-AuNPs). The Pb2+ ions were detected by colorimetric response of AuNPs due to the aggregation of GS-AuNPs in the presence of Pb2+. The GS-AuNPs showed excellent selectivity for Pb2+, and its detection limit was 100 nm. The colorimetric sensor can be used for on-site and real-time detection of Pb2+. Liu and Lu [58] reported a colorimetric Pb2+ sensor based on the assembly of AuNPs by a Pb2+-dependent DNAzyme. However, heating and cooling processes could give rise to color change in the sensor for reporting the target. Liu and Lu [59] further improved the sensor for the fast detection of Pb2+ at room temperature, rather than relying on the heating/cooling processes. This improvement is due to the alignment of the nanoparticles in a “tail-to-tail” manner, rather than “head-to-tail”. Moreover, AuNPs size is the key factor that allows a fast color change. Liu and coworkers [60–62] have developed a fast and simple colorimetric sensor for on-site and real-time heavy metal cation detection based on a DNAzyme modification of AuNPs. The sensor has a detection limit of 3 nm for Pb2+, which is much lower than the US Environmental Protection Agency limit for Pb2+ in drinking water.

Liu and colleagues [63] and Lee and Mirkin [64] have also developed a highly sensitive and selective Hg2+ detection assay based on the Hg2+-mediated formation of T-Hg2+-T base pairing. This is based on Hg2+-induced thymine-thymine (T-T) mismatches in DNA-modified AuNPs to form particle aggregates at room temperature with a concomitant colorimetric response. The concentration of Hg2+ can be determined by the change of the solution color at a given temperature or the melting temperature (Tm) of the DNA-AuNP aggregates. Significantly, this method can, in principle, be used to detect other metal ions by substituting the thymidine in the study with synthetic artificial bases that can selectively bind to other metal ions. Lee et al. [65] developed a chip-based scanometric method for the detection of Hg2+. This approach uses the cooperative binding and catalytic properties of DNA-functionalized AuNPs and the selective binding of a T-T mismatch for Hg2+. The sensitivity of this assay is estimated to be 10 nm Hg2+, and the assay showed an excellent selectivity for Hg2+ among many metal ions.

Wang et al. [66] recently demonstrated that Mg2+ could be detected based on EcoRI-modified AuNPs (Figure 1A). In this assay, a specifically designed double-stranded DNA (dsDNA) that contains an EcoRI recognition site and complementary sticky ends was used. The reason that this assay is able to discriminate Mg2+ from other metal ions is that the EcoRI could cleave the dsDNA in the presence of Mg2+ as a factor (Figure 1B).

Figure 1 EcoRI-modified AuNPs for colorimetric detection of Mg2+.(A) Schematic design of the method. (B) Colorimetric response of the detection system in the presence of different metal ions. Adapted from Ref. [66].
Figure 1

EcoRI-modified AuNPs for colorimetric detection of Mg2+.

(A) Schematic design of the method. (B) Colorimetric response of the detection system in the presence of different metal ions. Adapted from Ref. [66].

3.1.2 Fluorescent AuNCs as sensors for heavy metal ions

AuNCs (often <2 nm) differ from the above plasmonic nanoparticles (typically >2 nm) in many aspects. Owing to the ultrasmall size, nanoclusters exhibit discrete electronic structure and distinctive properties such as enhanced photoluminescence [6]. The luminescence-based detection methods are often more sensitive than the LSPR response-based detection schemes because the former involves much lower background. The properties of AuNCs are highly sensitive to the number of Au atoms in the nanocluster. Recently, an interesting structure-property relationship between AuNC size and its emission wavelength was reported, that is, the blue fluorescence shifts with decreasing number of Au atoms in the cluster. The fluorescent Au clusters could be synthesized in the solution using several methods: (1) chemical reduction of Au3+ ions in the presence of thiol ligands [67–69]; (2) core etching of AuNPs into smaller clusters by etchants such as polymers [70, 71]; (3) template-assisted synthesis inside the cavities of dendrimers [72] and proteins [73].

Bovine serum albumin (BSA), the most abundant plasma protein widely used in applications such as sensing, self-assembly, and imaging [74], was chosen as the model protein for the synthesis of AuNCs. It was recently used to stabilize Au particles with size ranging from nanometers to micrometers. The protein-directed synthesis was adapted to produce human apo-transferrin-stabilized AuNCs with strong emission in the near-IR region for cell imaging and targeting [75]. As described previously, reducing agents are avoided for protein-directed syntheses to improve biocompatibility and retain native protein structure. Xie et al. [76] first developed a simple, “green” method to synthesize highly fluorescent [quantum yield (QY) ~6%] AuNCs using a protein-templated method, which was subsequently adopted by many research groups. The AuNCs consist of 25 Au atoms (Au25) and emit intense red fluorescence (emission 640 nm) (Figure 2). The surface of the cluster is stabilized by a small amount of Au+ (about 17%), which should have strong and specific interactions with Hg2+. Xie et al. [77] further investigated the sensing mechanism. It was based on the high-affinity metallophilic Hg2+-Au+ interactions, which effectively quenched the fluorescence of AuNCs (Figure 3). This one-step method is simple, fast, highly selective, and ultrasensitive for Hg2+ over other metal ions. It can detect Hg2+ ions at concentrations as low as 0.5 nm. Moreover, it can be easily developed as a paper test strip to facilitate routine Hg2+ monitoring. Hu et al. [78] observed that the interaction of BSA-protected AuNCs consist of Au25 with Hg2+. In this work, ethylenediaminetetraacetate (EDTA) was used in competition with BSA-AuNCs for Hg2+. It is noted that the quenched fluorescence of BSA-AuNCs by Hg2+ was not recovered when adding to EDTA, which confirmed that the complex formation occurred between BSA and Hg2+ by S-Hg bonds and a photoinduced electron transfer process was the primary mechanism for fluorescence quenching.

Figure 2 (A) Photographs of BSA (1) powder and (2) aqueous solution and BSA-AuNCs (3) aqueous solution and (4) powder under (top) visible and (bottom) UV light. (B) Optical absorption (dash lines) and photoemission (solid lines, λex=470 nm) spectra of aqueous solution of BSA (blue) and BSA-AuNCs (red). The inset shows the photoexcitation spectrum of BSA-AuNCs. From Ref. [76].
Figure 2

(A) Photographs of BSA (1) powder and (2) aqueous solution and BSA-AuNCs (3) aqueous solution and (4) powder under (top) visible and (bottom) UV light. (B) Optical absorption (dash lines) and photoemission (solid lines, λex=470 nm) spectra of aqueous solution of BSA (blue) and BSA-AuNCs (red). The inset shows the photoexcitation spectrum of BSA-AuNCs. From Ref. [76].

Figure 3 (A) Schematic of Hg2+ sensing based on the fluorescence quenching of AuNCs resulting from high-affinity metallophilic Hg2+-Au+ bonds. (B) Photoemission spectra (λex=470 nm) and (inset) photographs under UV light (354 nm) of AuNCs (20 mm) in the (1) absence and (2) presence of Hg2+ ions (50 mm). From Ref. [77].
Figure 3

(A) Schematic of Hg2+ sensing based on the fluorescence quenching of AuNCs resulting from high-affinity metallophilic Hg2+-Au+ bonds. (B) Photoemission spectra (λex=470 nm) and (inset) photographs under UV light (354 nm) of AuNCs (20 mm) in the (1) absence and (2) presence of Hg2+ ions (50 mm). From Ref. [77].

Liu et al. [79] prepared BSA-stabilized AuNCs according to the method described by Xie et al. [76]. The BSA-stabilized AuNCs have a high selectivity toward CN- due to the unique Elsner reaction between cyanide (CN-) and the Au atoms of AuNCs, which is based on the CN- etching-induced fluorescence quenching of AuNCs. The relevant mechanism is shown in Figure 4. With this sensor, the lowest concentration to quantify toxic anions CN- could be down to 200 nm, which is approximately 14 times lower than the maximum level (2.7×10-6 m) of cyanide in drinking water permitted by the World Health Organization. Furthermore, experimental results show that this fluorescent sensor exhibits excellent recoveries (over 93%). This AuNC-based fluorescent sensor could find applications in highly sensitive and selective detection of CN- in food, soil, water, and biological samples.

Figure 4 Schematic representation of the AuNC-based sensor for CN-. From Ref. [79].
Figure 4

Schematic representation of the AuNC-based sensor for CN-. From Ref. [79].

Muhammed et al. [80] reported the synthesis of AuNC with an Au38 core using BSA as the etching agent (shown in Figure 5). Luminescence of the novel AuNC is exploited as a “turn-off” sensor for Cu2+ ions and a “turn-on”sensor for glutathione detection. Metal-enhanced luminescence (MEL) of AuNCs in the presence of AgNPs has been demonstrated, and a 9-fold maximum enhancement was observed [80]. This is the first report of the observation of MEL from AuNCs. The stability of the clusters in a wide pH range, and their luminescence, solvent stability, and minimum change in the secondary structure of BSA make the AuNC-BSA system very interesting for diverse applications in ion sensing and cell imaging.

Figure 5 (Left) Photoluminescence profiles of BSA (traces i and ii) and BSA protected gold quantum clusters (AuQC@BSA) (traces iii and iv). (Right) photographs of AuQC@BSA solution under white light (A) and UV light (B), confocal luminescence image of the QC (C), and photographs of QC powder under irradiation by white light (D) and UV light (E). From Ref. [80].
Figure 5

(Left) Photoluminescence profiles of BSA (traces i and ii) and BSA protected gold quantum clusters (AuQC@BSA) (traces iii and iv). (Right) photographs of AuQC@BSA solution under white light (A) and UV light (B), confocal luminescence image of the QC (C), and photographs of QC powder under irradiation by white light (D) and UV light (E). From Ref. [80].

Protein-mediated synthesis proves to be quite flexible. Subtle changes to the reaction can yield AuNCs with different emission properties. Inspired by this discovery, there have been many research works on protein-stabilized fluorescent AuNCs involving proteins such as lysozyme (Lyz) [81], lactoferrin (Lf) [81, 82], and pepsin [83, 84].

A new kind of highly fluorescent AuNCs has been synthesized through a protein-directed process in basic aqueous solution using Lyz as the reducing and stabilizing agent [81]. Lyz is a protein of choice for experimentation with bio-nanosystems because of its commercial availability and antibacterial properties. The Lyz-stabilized fluorescent Au clusters have an average size of 1 nm, emission at ~657 nm, and with a quantum yield of 5.6%. The fluorescence could be specifically quenched by Hg2+, and thus, the clusters can be used as a sensor for sensitive and selective Hg2+ detection. A detection limit of 10 nm has been demonstrated [81] compared with the 0.5-nm limit of detection (LOD) reported by Xie et al. [77]. Similar results were also reported by Lin and Tseng [82], who used Lyz as the reducing and stabilizing agent to synthesize fluorescent AuNCs (denoted as Au-631). The Au-631 clusters were capable of sensing Hg2+ and CH3Hg+ through the interaction between Hg2+ (or CH3Hg+) and Au+ on the Au surface; the LODs for Hg2+ and CH3Hg+ were 3 pm and 4 nm, respectively. Au-631 not only provided the first example for detecting CH3Hg+ but also offered a ~330-fold improvement in the detection of Hg2+ compared with the BSA-stabilized AuNCs.

Recently, Deng’s group [85] synthesized fluorescent AuNC and AgNC on an eggshell membrane (as shown in Figure 6), which contained the Lyz protein rich in cysteine units. The eggshell membrane is a solid-state platform and offers several advantages, including its unique near-IR emission and being cost-effective and “green”, which allows for many potential applications such as heterogeneous catalysis, surface-enhanced Raman scattering interface, fluorescent patterning, chemical sensing paper, fluorescent surface patterning, and anticounterfeiting.

Figure 6 Schematic representation of an eggshell membrane (ESM)-based multimodal platform for the synthesis of fluorescent AuNC and AgNC. From Ref. [85].
Figure 6

Schematic representation of an eggshell membrane (ESM)-based multimodal platform for the synthesis of fluorescent AuNC and AgNC. From Ref. [85].

Lf is a multifunctional protein in the transferrin family, which are all iron-binding glycoproteins. Owing to the composition of Lf (34 cysteine residues and 22 tyrosine residues) [86], it could be a candidate for making biocompatible and functionalized AuNCs and can be used for some interesting applications. Xavier et al. [87] synthesized the functional AuNCs and found the capability of the clusters for sensing Cu2+ selectively at concentration levels of parts per million. Further studies showed that Förster resonance energy transfer (FRET) occurred between the protein and the cluster (Figure 7).

Figure 7 Schematic of the occurrence of FRET between Lf (NLf) and cluster. Inset shows the photographs of (i) NLf and (ii) Lactoferrin protected gold quantum clusters (AuQC@NLf) (from left to right) taken in visible light (above) and in UV light (below). From Ref. [87].
Figure 7

Schematic of the occurrence of FRET between Lf (NLf) and cluster. Inset shows the photographs of (i) NLf and (ii) Lactoferrin protected gold quantum clusters (AuQC@NLf) (from left to right) taken in visible light (above) and in UV light (below). From Ref. [87].

From the above, it can be found that most of the different protein-stabilized AuNCs have red to near-IR fluorescence originating from AuNCs with an average size of 25 or 38 Au atoms. If smaller AuNCs can be synthesized, they would exhibit blue fluorescence. There is an interesting structure-property relationship between AuNC size and their emission wavelength, i.e., the blue fluorescence shifts with decreasing number of Au atoms in the cluster. Until now, there have been reports that AuNCs preferentially contain a magic number of Au atoms (e.g., 2, 8, 11, 13, 18, 22, 25, 28, 39, or 55), as these are the most stable arrangements of Au atoms [88, 89]. The number of Au atoms in AuNCs drastically influences the emission wavelength. For example, Au8 NCs give a maximum emission at 450 nm, Au10 NCs at ~490 nm, and Au13 at ~510 nm [47, 83, 90]. The emission wavelength of the red-emitting papain-AuNCs was close to that of BSA-Au25 NCs (λem=640 nm) [76] and pepsin-Au25 NCs (λem=670 nm) [83].

Recently, an impressive study has been carried out on the pH-dependent synthesis of pepsin-mediated AuNCs that emit blue, green, and red fluorescence from Au5 (Au8), Au13, and Au25, respectively, as shown in Figure 8 [83]. Pepsin is a gastric aspartic proteinase that plays an integral role in the digestive process of vertebrates. The red-emitting Au25 NCs were stabilized by pepsin in an alkaline solution. Strongly acidic conditions produced Au13 NCs stabilized by autolytic peptide strands from pepsin with a green fluorescence. To reduce the core size to blue-emitting Au8 and Au5, a dramatic jump to higher pH effectively etched the Au13 core to the much smaller size. The pepsin-mediated Au25 NCs were also found to be useful as fluorescent sensors for the detection of Pb2+ ions by fluorescence enhancement and the detection of Hg2+ ions by fluorescence quenching.

Figure 8 Schematic illustration of the pH-dependent synthesis of pepsin-mediated AuNCs with blue-, green-, and red-fluorescent emission. From Ref. [83].
Figure 8

Schematic illustration of the pH-dependent synthesis of pepsin-mediated AuNCs with blue-, green-, and red-fluorescent emission. From Ref. [83].

Glutathione (SG) was also used as a stabilizing biomolecule, producing red emission similar to BSA- and Lyz-AuNCs, but with an emission wavelength further red-shifted. The red shift indicates a larger size of the nanoclusters (~2 nm). Glutathione-protected AuNCs were highly sensitive to the essential biological metal ions Cu2+ based on aggregation-induced fluorescence quenching [91]. Wu et al. [92] reported a novel type of Ag+ sensor using well-defined AuNCs Au25(SG)18. Their experimental results demonstrated that Au25(SG)18 can be a potential Ag+ nanosensor with a detection limit of approximately 200 nm based on the fluorescence enhancement and good selectivity against other 20 types of metal cations. Furthermore, three factors were found to be primarily responsible for the unique fluorescence enhancement in Au25(SG)18 when sensing Ag+: the oxidation state change of Au25(SG)18, the interaction of Ag0 with Au25, and the interaction of Ag+ with Au25(SG)18. This work indicates another potential application of AuNCs and offers new strategies for NC-based chemical sensing and also reveals a new way to influence NCs chemistry for potential applications. Moreover, Wu et al. [93] investigated the potential use of Au25(SG)18 as a fluorescent iodide sensor. The detection limit of 400 nm and excellent selectivity among 12 types of anion (F-, Cl-, Br-, I-, NO3-, ClO4-, HCO3-, IO3-, SO42-, SO32-, CH3COO-, and C6H5O73-) make Au25(SG)18 a good candidate for iodide sensing. The sensing mechanism is affinity-induced ratiometric and enhanced fluorescence, which has rarely been reported previously and may provide an alternative strategy for devising nanocluster-based sensors.

Pradeep’s group [94] reported a FRET between the metal core and the ligand in Au25(SG)18 using dansyl chromophores attached to the cluster core through glutathione linkers. The dansyl chromophore functionalization of the cluster has been carried out by two different routes. Efficient energy transfer from the dansyl donor to the Au25 core is manifested by way of the reduced lifetime of the excited state of the former and drastic quenching of its fluorescence. The donor-acceptor separation observed in the two synthetic routes reflects the asymmetry in the ligand binding on the cluster core, which is in agreement with the recent theoretical and experimental results on the structure of Au25.

All the reports on the use of Au nanoparticles and nanoclusters have suggested that Au-based sensors are able to sense trace amounts of heavy metal ions. These reported sensors have a great potential for real-time monitoring of concentration of heavy metal ions in the industries, which use a high quantity of heavy metals in catalytic processes.

3.2 Sensing of glucose

The detection of glucose has been widely used as a clinical indicator of diabetes and recently gained more attention in the analytical biochemistry fields [95–98]. To date, electrochemical methods are considered to be useful for sensing glucose because a higher-sensitivity detection can be achieved. Most of the electrochemical methods are based on the use of the enzyme glucose oxidase (GOx), which selectively catalyzes the oxidation of β-d-glucose to glucolactone and reduction of oxygen to hydrogen peroxide. The electrochemical biosensing of glucose is based on two mechanisms: one is the redox reaction of mediators that are attached onto the electrode surface along with the enzyme and the other mechanism is the electrochemical oxidation of enzymatically generated H2O2. The flow of electrons released (or required) in this redox reaction can be measured as electrical current. AuNPs serve as excellent biocompatible surfaces for the immobilization of enzymes and proteins because the interaction between amino and cysteine groups of proteins with AuNPs is as strong as that of the commonly used thiols. Thus, amino acids and proteins may be directly immobilized on AuNPs without any modification [99, 100]. Much of the research on biosensors involving AuNPs has been devoted to enzyme electrodes [101, 102]. Among the various strategies followed, a useful and simple way consists of the direct deposition of NPs onto the electrode surface. The introduction of AuNPs has several advantages. First, an electrode covered with a layer of NPs has a much higher surface roughness and thus larger surface area, which leads to higher currents. Second, because of the small curvature of small Au particles, the contact of the Au particle with the enzyme can be more “intimate”, i.e., located in close to the reactive center, which can facilitate electron transport [9, 103]. For example, a glucose biosensor was prepared by the covalent attachment of GOx to an AuNP monolayer-modified Au electrode. Chen’s group [104] demonstrated a novel biocomposite made of chitosan hydrogel, GOx, and AuNPs by a direct and facile electrochemical deposition method under enzyme-friendly conditions for glucose biosensor. The biocomposite provided a shelter for the enzyme to retain its bioactivity even under harsh conditions, and the decorated AuNPs in the biocomposite offered excellent affinity to enzyme. The biosensor exhibited a rapid response (within 7 s) and a linear calibration range from 5.0 μm to 2.4 mm, with a detection limit of 2.7 μm for the detection of glucose. Fan’s group [105] recently coupled AuNPs with horseradish peroxidase (HRP) to assemble catalytic nanoconjugates (HRP-AuNPs) for indirect glucose detection. The results showed that a proper mixing ratio of HRP/AuNPs can significantly improve the catalytic activity for the reaction of glucose, an effect arising from increased spatial coupling between enzymes (Figure 9). This glucose sensor has a wide dynamic range (0.4–80 mm). The LOD was ~0.4 mm (note: normal blood glucose level in humans is about 4–6 mm). The conjugated nanostructure is extremely easy to prepare and thus holds good potential in developing simple, robust, and cost-effective biosensors.

Figure 9 Schematic showing HRP-AuNPs catalyzing the glucose involved cascade reaction [105].
Figure 9

Schematic showing HRP-AuNPs catalyzing the glucose involved cascade reaction [105].

Huang et al. [106] described a new method for a highly sensitive determination of hydrogen peroxide, glucose, and uric acid based on FRET using AuNPs as energy acceptors (Figure 10). The efficient FRET was been demonstrated between tyramide-labeled tetramethyl rhodamine (TMR, as energy donors) and HRP-conjugated AuNPs (as energy acceptors), which attributed to the formation of TMR-labeled HRP-AuNPs or TMR-labeled BSA-AuNPs in the presence of H2O2. The conjugation between the tyramide-labeled TMR and protein-conjugated AuNPs in the presence of H2O2 initiated the tyramide reaction and in turn served as a bridge to make the distance between the donor and the acceptor short enough for FRET to occur. The results suggest that the FRET system was simple and applicable for the detection of H2O2 with a low detection limit. The method was successfully applied for the determination of glucose by coupling with GOx- and uricase-mediated reaction. The established methods are at least one order of magnitude more sensitive than the commercially available methods.

Figure 10 Schematic illustration for the FRET process between tyramide-labeled TMR (donor) and HRP-AuNPs (acceptor). From Ref. [106].
Figure 10

Schematic illustration for the FRET process between tyramide-labeled TMR (donor) and HRP-AuNPs (acceptor). From Ref. [106].

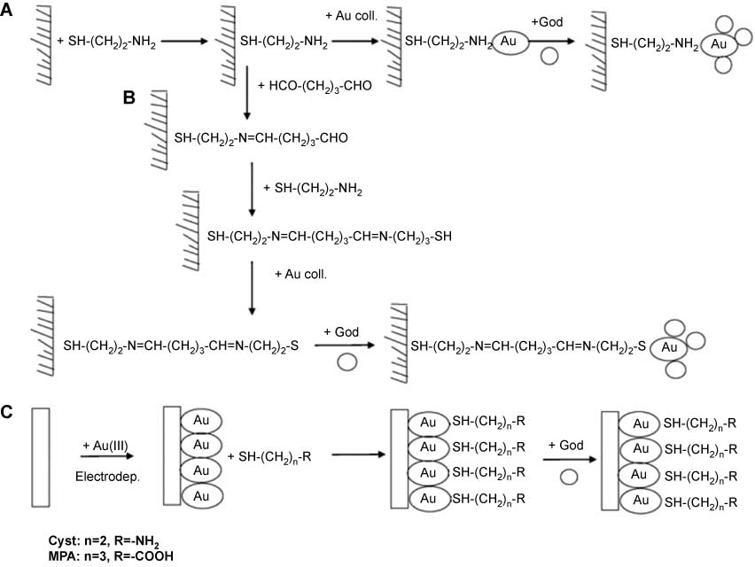
A comparison of the analytical performance of different GOx biosensor designs based on several SAM-modified electrodes shows that a configuration involving colloidal Au bound to cysteamine monolayers self-assembled on an Au disk electrode exhibited a high sensitivity and a long biosensor lifetime in comparison with other GOx biosensors [107]. Figure 11 shows the different strategies for GOx biosensors using tailored AuNP-modified electrodes.

Figure 11 Schemes of different GOx biosensors constructed by means of different tailored AuNP-modified electrode surfaces.(A) GOx/colloidal Au-cysteamine-AuE; (B) GOx/colloidal Au-cysteamine/cysteamine-AuE; (C) GOx/cysteamine-electrodeposited AuNP-GCE or GOx/3-mercaptopropionic acid (MPA)-electrodeposited AuNP-GCE. Adapted from Ref. [107].
Figure 11

Schemes of different GOx biosensors constructed by means of different tailored AuNP-modified electrode surfaces.

(A) GOx/colloidal Au-cysteamine-AuE; (B) GOx/colloidal Au-cysteamine/cysteamine-AuE; (C) GOx/cysteamine-electrodeposited AuNP-GCE or GOx/3-mercaptopropionic acid (MPA)-electrodeposited AuNP-GCE. Adapted from Ref. [107].

Kwon et al. [108] fabricated high-performance glucose biosensors based on enzyme precipitate coating in AuNP-conjugated single-walled carbon nanotube (SWCNT) network films. AuNPs were decorated in the SWCNT network films using spontaneous reduction of Au salt. The SWCNTs behaved as electron donors and the Au ions (Au3+) accepted electrons from SWCNTs, forming nanoparticles on the surface of SWCNTs, which increased the electron transfer rate. Recently, Zargoosha et al. [109] reported a novel glucose biosensor based on the chemiluminescence (CL) detection of enzymatically generated H2O2 by the effective immobilization of GOx/CNTs/AuNPs in nafion film on graphite support. CNTs and AuNPs offer excellent catalytic activity toward H2O2 generation in the enzymatic reaction between GOx and glucose, which would enable the sensitive determination of glucose. Under the optimum condition, the linear response range of glucose was found to be 2.25×10-6 to 1.75×10-4 m, and the detection limit was 1.00×10-6 m. The CL biosensor exhibited good storage stability, i.e., 80% of its initial response was retained after 10 days of storage at pH 7.0. Because the CL system is free of uric acid interference and the sensitivity of the CL permits glucose analysis of sample sizes as small as 10 μl, the method may be applied in both routine clinical analysis and research.

An ultrasensitive electrochemical biosensor for glucose determination was reported based on CdTe-CdS core-shell quantum dot as ultrafast electron transfer relay between graphene-Au nanocomposite and AuNPs [110]. The biosensor showed high sensitivity (5762.8 nA/nm/cm), low detection limit (S/N=3) (3×10-12 m), fast response time (0.045 s), wide calibration range (from 1×10-11 m to 1×10-8 m), and good long-term stability (26 weeks). This high sensitivity could be ascribed to the improvement of the conductivity between graphene nanosheets due to introduction of AuNPs as well as to the ultrafast charge transfer from CdTe-CdS quantum dot to graphene nanosheets and AuNPs due to the unique electrochemical properties of the quantum dot and good biocompatibility of AuNPs for GOx (Figure 12). The as-prepared biosensor provides the best sensitivity among all the biosensors based on graphene or its composites for the detection of glucose up to now. This study also opens up a new challenge and approach to explore the electrochemical features of graphene or its nanocomposites for the potential utilizations.

Figure 12 (A) Procedure for fabrication of GOx/AuNP/CdTe-CdS/G-AuNP/GE. (B) Electrocatalytic oxidation of glucose at the GOx/AuNP/CdTe-CdS/G-AuNP/GE. From Ref. [110].
Figure 12

(A) Procedure for fabrication of GOx/AuNP/CdTe-CdS/G-AuNP/GE. (B) Electrocatalytic oxidation of glucose at the GOx/AuNP/CdTe-CdS/G-AuNP/GE. From Ref. [110].

3.3 Protein analysis

The use of AuNPs for protein analysis/detection is also a very interesting research field. In the past decade, AuNPs/protein conjugates have found increasing applications as bioanalytical, diagnostic, and/or immunohistochemical probes. AuNP-based colorimetric assays for the detection of proteins or protein-protein interactions have been documented elsewhere.

Liu and Huo [111] reported AuNPs with 12-nm diameter as probes for the determination of proteins by resonance Rayleigh scattering (RRS) techniques. In a weak acidic solution, large amounts of citrate anions will self-assemble on the surface of positively charged AuNPs to form supermolecular compounds with negative charges. Below the isoelectric point, proteins with positive charges such as human serum albumin (HSA), BSA, and ovalbumin (Ova) can bind AuNPs to form larger-volume products (the diameter of the AuNP-HAS conjugates is ~23 nm) through electrostatic force, hydrogen bonds, and hydrophobic effects, which can result in a red shift of the maximum absorption wavelength, remarkable enhancement of the RRS, and the appearance of the RRS spectra. At the same time, the second-order scattering (SOS) and frequency-double scattering (FDS) intensities are also enhanced. The binding products of AuNPs with different proteins have similar spectral characteristics, and the maximum wavelengths are located near 303 nm for RRS, 540 nm for SOS, and 390 nm for FDS. The scattering enhancement is directly proportional to the concentration of proteins. Among them, the RRS method has the highest sensitivity, and the detection limit is 0.38 ng/ml for HSA, 0.45 ng/ml for BSA, and 0.56 ng/ml for Ova. The methods have good selectivity. Thus, the RRS method for the determination of trace proteins using an AuNPs probe has been developed. Because AuNP probes do not need to be modified chemically in advance, the method is very simple and fast.

With its strong light scattering, AuNPs could be an excellent light-scattering enhancer using light-scattering techniques. Huo’s group [112] and Dai’s group [113] demonstrated the proof of concept of light-scattering detections using AuNPs for light-scattering assay of both proteins and DNA targets as illustrated in Figure 13. Using a noncompetitive assay format, a sandwich-type antibody-antigen binding or DNA hybridization was transduced into AuNPs aggregation formation, which was detected by dynamic light scattering (DLS) and subsequently correlated to the target analyte concentration. Due to the extremely strong light-scattering intensity of AuNPs around their SPR band region, this assay can potentially be highly sensitive for biomolecular detection and analysis. It is a single-step, washing-free, and amplification-free process; therefore, it is very easy to conduct and may also be automated. In addition, the assay involves the use of very small volumes of samples and AuNP probes (total of 10 μl or less), which can lead to substantial reduction in cost. High throughput 96- or 384-microtiter plate readers are becoming a standard feature of current DLS instruments, which means the new assay developed in the research can be easily adapted for a high-throughput biomolecular analysis.

Figure 13 Illustration of a one-step homogeneous biomolecular assay using AuNP probes as lightscattering enhancers coupled with dynamic light-scattering detection. From Ref. [112].
Figure 13

Illustration of a one-step homogeneous biomolecular assay using AuNP probes as lightscattering enhancers coupled with dynamic light-scattering detection. From Ref. [112].

The highly specific molecular recognition properties of aptamers have been combined with the unique optical properties of AuNPs for the development of a dry-reagent strip biosensor that enables qualitative (visual-based)/quantitative detection of proteins within minutes. A model system comprising thrombin as an analyte and a pair of aptamer probes is used to demonstrate the proof of concept on the conventional lateral flow test strip by Xu et al. [114] (Figure 14). The assay avoids the multiple incubation and washing steps performed in most current aptamer-based protein analyses. Although qualitative tests are realized by observing the color change of the test zone, quantitative data are obtained by recording the optical responses of the test zone with a portable “strip reader”. The response of the biosensor is linear over the range of 5–100 nm of thrombin, with a detection limit of 2.5 nm (S/N=3). By comparing the analytical performance of the aptamer-based strip biosensor with the antibody-based strip sensor, we can demonstrate that aptamers are equivalent or superior to antibodies in terms of specificity and sensitivity. The sensor has been used successfully for the detection of thrombin in human plasma samples. It shows great promise for use of aptamer-functionalized AuNP probes in dry reagent strip biosensors for point-of-care or in-field detection of proteins.

Figure 14 Schematic illustration of the configuration and measurement principle of the aptamer-based strip biosensor.(A) Configuration of the biosensor. (B) The principle of visual detection in the presence and absence of thrombin. (C) Quantitative detection with a portable strip reader. From Ref. [114].
Figure 14

Schematic illustration of the configuration and measurement principle of the aptamer-based strip biosensor.

(A) Configuration of the biosensor. (B) The principle of visual detection in the presence and absence of thrombin. (C) Quantitative detection with a portable strip reader. From Ref. [114].

Wang et al. [115] developed protein biosensors using DNA-modified AuNPs by combining AuNPs (as the fluorescence quencher) and aptamer (as the probe). Three strategies, Ap-Ad-AuNP, Ap-Im-AuNP, and Ap-Hy-AuNP, were tested. Among the three strategies, the Ap-Ad-AuNP method was the simplest, but its protein detection was not satisfactory. Both the Ap-Im-AuNP and the Ap-Hy-AuNP strategies were more complicated in the preparation of probes, but they offered better performance in protein detection. The results showed that the Ap-Im-AuNP strategy had the highest affinity constant and, subsequently, the most sensitive detection limit. Therefore, under suitable experimental conditions, the Ap-Im-AuNP method was the best for protein detection.

Min et al. [116] developed for the first time a highly sensitive electrochemical lectin protein biosensor using carbohydrate-stabilized AuNPs and Ag-enhancement technique (Figure 15). Mannose-stabilized AuNPs on the sandwich-type complex of the concanavalin A (Con A) serve as the nucleation sites for the Ag-enhancement process and thus greatly amplify the electrochemical signals, which are dependent on Con A concentration. Based on this detection method, the present lectin protein biosensor exhibited a wide linear dynamic range of almost three orders of magnitude for Con A concentration from 0.084 to 50.0 g/ml, with a remarkable detection limit of 0.070 g/ml, which is much lower compared with those obtained with the reported microgravimetric and colorimetric detection methods. The present biosensing method is simple, rapid, sensitive, and inexpensive. Thus, it provides a versatile tool for the analysis of clinically important lectin proteins containing several binding sites.

Figure 15 Schematic illustration of the electrochemical lectin biosensor based on mannose-stabilized AuNPs and Ag enhancement. From Ref. [116].
Figure 15

Schematic illustration of the electrochemical lectin biosensor based on mannose-stabilized AuNPs and Ag enhancement. From Ref. [116].

The combination of optical and electrochemical properties of AuNPs with different detection techniques has been demonstrated in protein determination. Ambrosi et al. [117] synthesized a novel double-codified nanolabel based on an AuNP modified with an anti-human immunoglobulin G (IgG) peroxidase (HRP)-conjugated antibody that allows enhanced spectrophotometric and electrochemical detection of antigen human IgG (HIgG) as a model protein. The detection limit of this novel double-codified nanoparticle-based assay is much lower than those typically achieved by ELISA tests. Using the same detection principle, Zhu’s group also developed AuNPs/CNT hybrid platforms with HRP-functionalized AuNPs labels for a sensitive detection of HIgG as a model protein [118].

3.4 DNA determination

AuNPs are the most widely used nanoparticles for DNA detection for several reasons: simple synthetic procedures are available for obtaining AuNPs with well-controlled diameters, shapes, and optical properties; AuNPs possess extremely high extinction coefficients (e.g., 2.7×108 m-1 cm-1 at ~520 nm for 13-nm spherical AuNPs), and thus, slight aggregation may result in an intense color change; the large surface area of nanoparticles allows hundreds of capture probe DNAs to be loaded.

The aggregation of AuNPs leads to a new absorption band at longer wavelengths. The first reports by Mirkin et al. [49] focused on the detection of single-stranded DNA (ssDNA) by using two types of AuNPs, both coated with a complementary strand to a portion of the target ssDNA. Upon hybridization, the Au colloid changed its color from red to blue. The milestone discovery by Rosi and Mirkin [119] was that the red-to-blue color change from AuNP aggregation pointed out the possibility of using AuNPs as a DNA detection agent. Later, extensive investigations by Mirkin and coworkers were carried out to detect DNA [120–124]. In these experiments, two populations of Au nanospheres are functionalized with two noncomplementary strands of ODNs. When a solution mixture is exposed to target DNA that is complementary to both sequences of surface-bound DNA, the target DNA will bind to both nanoparticle probes via DNA hybridization and induce nanoparticle aggregation (Figure 16). Aggregation-induced SPR red shift, as visualized by the solution color change from red to blue, offers the capability to detect low concentrations of DNA using simple UV-vis spectroscopy. The signal for hybridization was governed by the optical properties of the nanoparticles, which depended in part on their spacing within the aggregate. Although the detection system was not optimized, it was able to detect 10 fm of target DNA. After the milestone work from Mirkin’s group, DNA-functionalized AuNPs have become popular sensing materials for DNA detection. ODN-functionalized AuNPs also exhibit sharper melting transitions and higher melting temperatures than the corresponding fluorophore-labeled ODN [125, 126], which made ODN-AuNPs particularly attractive and such ODN-AuNPs have become a widely applicable DNA probe. The ODN functionalization of AuNPs is usually achieved through covalent binding or electrostatic interactions [127]. Simple colorimetric hybridization assays that exploit the color change caused by nanoparticle aggregation can be designed and thiol-linked ODN-modified AuNPs represent inexpensive and easy ways to synthesize nanoparticles that can be used for colorimetric detection of DNA targets [128].

Figure 16 Schematic illustration of DNA detection based on hybridization-induced AuNP aggregation.The cross-link aggregation of ODN-functionalized AuNPs in the presence of complementary target DNA results in a change of solution color from red to blue [119].
Figure 16

Schematic illustration of DNA detection based on hybridization-induced AuNP aggregation.

The cross-link aggregation of ODN-functionalized AuNPs in the presence of complementary target DNA results in a change of solution color from red to blue [119].

Gao et al. [129] recently developed a novel approach for DNA detection using label-free citrate-protected AuNPs coupled with DLS. Most previous work on DNA detection involving the use of AuNP requires the conjugation of an ssDNA probe attached to AuNPs. The assay developed by Gao et al. is based on the different binding affinity of ssDNA and dsDNA to citrate-protected AuNPs. ssDNA can bind or adsorb to AuNPs through Au-N bonding between AuNPs and the base moiety on DNA to form a protective layer on the AuNP surface. Citrate-protected AuNPs tend to aggregate at a salt concentration higher than 10 mm due to the disruption of the electrical double layer. When the citrate-AuNPs are protected by an ssDNA layer, the AuNPs are well stabilized and remain monodispersed in high-salt-content solution. In contrast, when an ssDNA probe is hybridized with a target DNA to form a dsDNA, the dsDNA loses its binding affinity to citrate-AuNPs. Therefore, citrate-AuNPs are not protected by dsDNA molecules against salt, and thus, aggregation occurs. The detection limit can reach the 10-fm range. A recent side-by-side comparative study conducted by Pylaev et al. [130] on DNA sequence detection also confirmed that the dynamic light-scattering detection is significantly more sensitive than the colorimetric assay.

The interparticle aggregation of functionalized AuNPs, caused by probe-target hybridization, can occur through cross-linking and non-cross-linking events. Jian and Huang [131] reported a colorimetric detection of DNA sequences using a non-cross-linking approach. They found that the spatial distance between AuNP and thrombin (i.e., a serine protease involved in a multitude of biological processes) has a strong influence on the catalytic activity of thrombin. This effect can be harnessed to develop complementary colorimetric techniques for DNA assays. As shown in Figure 17, DNA-modified AuNPs are mixed with thrombin and a thrombin-binding aptamer. Upon addition of fibrinogen-modified AuNPs, thrombin is able to cleave fibrinogen into many fragments, resulting in the formation of particle aggregates. However, in the presence of a complementary target DNA, thrombin and AuNPs form a sandwich structure with the target DNA. Owing to the steric hindrance and the electrostatic charge of the particles, the biological activity of thrombin is substantially suppressed.

Figure 17 Schematic representation of colorimetric DNA detection based on enzymatic activity modulation. Adapted from Ref. [131].
Figure 17

Schematic representation of colorimetric DNA detection based on enzymatic activity modulation. Adapted from Ref. [131].

Other detection techniques have also been applied in the AuNP-based DNA assay for improving detection sensitivity and selectivity [112, 132]. It has been further reported that the DNA detection can be done by directly monitoring the light-scattering change of the assay solution. According to Mie or Rayleigh scattering theory, the scattered light intensity increases with increased particle size. For Rayleigh scattering, the scattering light intensity is proportional to the sixth power of the radius of the particle. When AuNPs form clusters in solution because of target analyte binding, the scattered light intensity could increase dramatically. This is the reason why light scattering-based detection techniques are generally far more sensitive than light absorption-based assays. Du et al. [133] demonstrated the detection of HIgG and DNA using resonance light-scattering technique of an AuNP-modified structure-switching aptamer. Dong et al. [134] reported a significant sensitivity enhancement in the electrical detection of DNA hybridization in SWCNT networks (SNFETs) via the introduction of reporter DNA-AuNP conjugates in the hybridization step. With detection limits in the femtomolar range, SNFET-based biosensors and immunosensors may be adapted to the detection of a variety of biomarkers for applications ranging from femtomolar diagnostics to in vitro diagnostics.

Liu et al. [135] calculated the interaction of water-soluble Au55(Ph2PC6H4SO3H)12Cl6 (~1.4 nm) with natural DNA (Figure 18). The molecular modeling calculations showed that interaction exists between bare Au55 clusters and the major grooves of B-DNA in aqueous media under the experimental conditions, which behave differently from that metal nanoparticles organize along the DNA double strands by electrostatic interactions. Although B-DNA could be transformed into A-DNA under the ultrahigh vacuum conditions in the electron microscope. The ultrahigh vacuum conditions lead to the loss of water from B-DNA, resulting in shrinking and reduction of the dehydrated major groove height from ca. 1.4 to 0.7 nm [136]. One might expect that the shrinking process is avoided due to the presence of the 1.4-nm Au spheres or, alternatively, the elimination of the clusters might occur. Instead, the 1.4-nm spheres are degraded to 0.7-nm clusters (corresponding to Au13) that form stable complexes with the water-free A-DNA. Interstrand interactions lead to the wire-like structure.

Figure 18 (Left) Modeling of the interaction of bare Au55 clusters with the major grooves of B-DNA. (Right) Molecular modeling of Au13 clusters in A-DNA. From Ref. [135].
Figure 18

(Left) Modeling of the interaction of bare Au55 clusters with the major grooves of B-DNA. (Right) Molecular modeling of Au13 clusters in A-DNA. From Ref. [135].

4 Summary and outlook

In summary, the research work discussed above provides a glimpse of the wide range of potential applications of AuNPs in current biosensing and analysis. Research on AuNPs is apparently fast evolving. The preparation and use of functionalized AuNPs continue to be an extremely active and important area of research in nanotechnology. Functionalized AuNPs are an excellent platform for developing analytical methods, and such nanoparticles have been used for a wide range of applications both in chemical and biological sensing and analysis. Moreover, several proteins and other biomolecules are successfully exploited as stabilizing agents for small AuNCs yielding highly stable products with promising light-emitting applications. These AuNCs have shown very good biological activity and photostability and high detection limits for various analytes. This field renders scientists facing major discoveries as well as new scientific challenges. The research has also attracted researchers crossing the chemistry discipline, such as materials scientists, biologists, engineers, and clinicians. There are a number of critical issues still to be addressed, including the development of highly reproducible and reliable manufacturing methods and the investigation on the long-term health effects of nanomaterials as well as the impacts on the environment. We can envision, in the near future, that increased collaboration between scientists from different disciplines will yield new fundamental insights into the AuNP-based nanotechnology.


Corresponding author: Guomei Zhang, School of Chemistry and Chemical Engineering, Center of Environmental Science and Engineering Research, Shanxi University, Taiyuan 030006, China and Department of Chemistry, Carnegie Mellon University, Pittsburgh, PA 15213, USA

About the author

Guomei Zhang

Guomei Zhang is an Associate Professor at the School of Chemistry and Chemical Engineering, Shanxi University. She earned her BSc from Shanxi University (Taiyuan, China) in 1997. She continued her education at Shanxi University and obtained her MSc in Analytical Chemistry in 2003 and her PhD in Inorganic Chemistry in 2006. She joined the Chemistry Faculty of Shanxi University in 2006 and is currently a Visiting Professor at Carnegie Mellon University. Her research interests are supramolecular assembly and analysis of nanoparticles.

This work was supported by the National Natural Science Foundation of China (No. 21175086 and No. 21175087) and the Natural Science Foundation of Shanxi Province (No. 2008021011 and No. 2012011007-2).

References

[1] Hayat MA. Colloidal Gold: Principles, Methods, and Applications, Academic Press: San Diego, CA, 1989.Search in Google Scholar

[2] Edwards PP, Thomas JM. Fein verteiltes Gold – Faradays Beitrag zu den heutigen Nanowissenschaften. Angew. Chem. 2007, 119, 5576–5582.Search in Google Scholar

[3] Mie G. Contributions to the optics of turbid media, especially colloidal metal solutions. Ann. Phys. 1908, 25, 377–445.10.1002/andp.19083300302Search in Google Scholar

[4] Stewart ME, Anderton CR, Thompson LB, Maria J, Gray SK, Rogers JA, Nuzzo RG. Nanostructured plasmonic sensors. Chem. Rev. 2008, 108, 494–521.Search in Google Scholar

[5] Katz E, Willner I. Integrated nanoparticle-biomolecule hybrid systems: synthesis, properties, and applications. Angew. Chem. Int. Ed. 2004, 43, 6042–6108.Search in Google Scholar

[6] Lee WI, Bae Y, Bard AJ. Strong blue photoluminescence and ECL from OH-terminated PAMAM dendrimers in the absence of gold nanoparticles. J. Am. Chem. Soc. 2004, 126, 8358–8359.Search in Google Scholar

[7] Wilcoxon JP, Martin JE, Parsapour F, Wiedenman B, Kelley DF. Photoluminescence from nanosize gold clusters. J. Chem. Phys. 1998, 108, 9137–9143.Search in Google Scholar

[8] De M, Rana S, Akpinar H, Miranda OR, Arvizo RR, Bunz UH, Rotello VM. Sensing of proteins in human serum using conjugates of nanoparticles and green fluorescent protein. Nat. Chem. 2009, 1, 461–465.Search in Google Scholar

[9] Sperling RA, Gil PR, Zhang F, Zanella M, Parak WJ. Biological applications of gold nanoparticles. Chem. Soc. Rev. 2008, 37, 1896–1908.Search in Google Scholar

[10] Zanoli LM, D’Agata R, Spoto G. Functionalized gold nanoparticles for ultrasensitive DNA detection. Anal. Bioanal. Chem. 2012, 402, 1759–1771.Search in Google Scholar

[11] Zhang XQ, Guo Q, Cui DX. Recent advances in nanotechnology applied to biosensors. Sensors 2009, 9, 1033–1053.10.3390/s90201033Search in Google Scholar PubMed PubMed Central

[12] Jans H, Huo Q. Gold nanoparticle-enabled biological and chemical detection and analysis. Chem. Soc. Rev. 2012, 41, 2849–2866.Search in Google Scholar

[13] Zeng SW, Yong KT, Roy I, Dinh XQ, Yu X, Luan F. A review on functionalized gold nanoparticles for biosensing applications. Plasmonics 2011, 6, 491–506.10.1007/s11468-011-9228-1Search in Google Scholar

[14] Wang ZX, Ma L. Gold nanoparticle probes. Coord. Chem. Rev. 2009, 253, 1607–1618.Search in Google Scholar

[15] Cobley CM, Chen JY, Cho EC, Wang LHV, Xia YN. Gold nanostructures: a class of multifunctional materials for biomedical applications. Chem. Soc. Rev. 2011, 40, 44–56.Search in Google Scholar

[16] Mout R, Moyano DF, Rana S, Rotello VM. Surface functionalization of nanoparticles for nanomedicine. Chem. Soc. Rev. 2012, 41, 2539–2544.Search in Google Scholar

[17] Sardar R, Funston AM, Mulvaney P, Murray RW. Gold nanoparticles: past, present, and future. Langmuir 2009, 25, 13840–13851.10.1021/la9019475Search in Google Scholar PubMed

[18] Chevrier DM, Chatt A, Zhang P. Properties and applications of protein-stabilized fluorescent gold nanoclusters: short review. J. Nanophoton. 2012, 6, 064504.Search in Google Scholar

[19] Giljohann DA, Seferos DS, Daniel WL, Massich MD, Patel PC, Mirkin CA. Gold nanoparticles for biology and medicine. Angew. Chem. Int. Ed. 2010, 49, 3280–3294.Search in Google Scholar

[20] Balasubramanian SK, Yang LM, Yung LYL, Ong CN, Ong WY, Yu LE. Characterization, purification, and stability of gold nanoparticles. Biomaterials 2010, 31, 9023–9030.10.1016/j.biomaterials.2010.08.012Search in Google Scholar PubMed

[21] Yu L, Andriola A. Quantitative gold nanoparticle analysis methods: a review. Talanta 2010, 82, 869–875.10.1016/j.talanta.2010.06.017Search in Google Scholar PubMed

[22] Wu Z, Jin R. On the ligand’s role in the fluorescence of gold nanoclusters. Nano Lett. 2010, 10, 2568–2573.Search in Google Scholar

[23] Yoo CI, Seo D, Chung BH, Chung IK, Song H. A facile one-pot synthesis of hydroxyl-functionalized gold polyhedrons by a surface regulating copolymer. Chem. Mater. 2009, 21, 939–944.Search in Google Scholar

[24] Shem PM, Sardar R, Shumaker-Parry JS. One-step synthesis of phosphine-stabilized gold nanoparticles using the mild reducing agent 9-BBN. Langmuir 2009, 25, 13279–13283.10.1021/la903003nSearch in Google Scholar PubMed

[25] Ding Y, Zhang X, Liu X, Guo R. Adsorption characteristics of thionine on gold nanoparticles. Langmuir 2006, 2, 2292–2298.10.1021/la052897pSearch in Google Scholar PubMed

[26] Wu Zk, Gayathri C, Gil R, Jin RC. Probing the structure and charge state of glutathione-capped Au25(SG)18 clusters by NMR and mass spectrometry. J. Am. Chem. Soc. 2009, 131, 6535–6542.Search in Google Scholar

[27] Kumar S, Jin RC. Water-soluble Au25(Capt)18 nanoclusters: synthesis, thermal stability, and optical properties. Nanoscale 2012, 4, 4222–4227.10.1039/c2nr30833aSearch in Google Scholar PubMed

[28] Perrault SD, Chan WCW. Synthesis and surface modification of highly monodispersed, spherical gold nanoparticles of 50–200 nm. J. Am. Chem. Soc. 2009, 131, 17042–17043.Search in Google Scholar

[29] Guo YM, Wang Z, Shao HW, Jiang XY. Stable fluorescent gold nanoparticles for detection of Cu2+ with good sensitivity and selectivity. Analyst 2012, 137, 301–304.10.1039/C1AN15877ESearch in Google Scholar

[30] Knoppe S, Kothalawala N, Jupally VR, Dassb A, Burgi T. Ligand dependence of the synthetic approach and chiroptical properties of a magic cluster protected with a bicyclic chiral thiolate. Chem. Commun. 2012, 48, 4630–4632.Search in Google Scholar

[31] Pal A. Photochemical synthesis of gold nanoparticles via controlled nucleation using a bioactive molecule. Mater. Lett. 2004, 58, 529–534.10.1016/S0167-577X(03)00540-8Search in Google Scholar

[32] Hussain I, Graham S, Wang ZX, Tan B, Sherrington DC, Rannard SP, Cooper AI, Brust M. Size-controlled synthesis of near-monodisperse gold nanoparticles in the 1–4 nm range using polymeric stabilizers. J. Am. Chem. Soc. 2005, 127, 16398–16399.Search in Google Scholar

[33] Liao H, Hafner JH. Gold nanorod bioconjugates. Chem. Mater. 2005, 17, 4636–4641.Search in Google Scholar

[34] Paciotti GF, Kingston DGI, Tamarkin L. Colloidal gold nanoparticles: a novel nanoparticle platform for developing multifunctional tumor-targeted drug delivery vectors. Drug Dev. Res. 2006, 67, 47–54.Search in Google Scholar

[35] Note C, Koetz J, Wattebled L, Laschewsky A. Effect of a new hydrophobically modified polyampholyte on the formation of inverse microemulsions and the preparation of gold nanoparticles. J. Colloid Interface Sci. 2007, 308, 162–169.Search in Google Scholar

[36] Teranishi T, Kiyokawa I, Miyake M. Synthesis of monodisperse gold nanoparticles using linear polymers as protective agents. Adv. Mater. 1998, 10, 596–599.Search in Google Scholar

[37] Zubarev ER, Xu J, Sayyad A, Gibson JD. Amphiphilic gold nanoparticles with V-SHAPED ARMS. J. Am. Chem. Soc. 2006, 128, 4958–4959.Search in Google Scholar

[38] Gaikwad AV, Rout TK. In situ synthesis of silver nanoparticles in polyetherimide matrix and its application in coating. J. Mater. Chem. 2011, 21, 1234–1239.Search in Google Scholar

[39] Duan HW, Nie SM. Etching colloidal gold nanocrystals with hyperbranched and multivalent polymers: a new route to fluorescent and water-soluble atomic clusters. J. Am. Chem. Soc. 2007, 129, 2412–2413.Search in Google Scholar

[40] Gautier C, Burgi T. Chiral Nz-isobutyryl-cysteine protected gold nanoparticles: preparation, size selection, and optical activity in the UV-vis and infrared. J. Am. Chem. Soc. 2006, 128, 11079–11087.Search in Google Scholar

[41] Garcia ME, Baker LA, Crooks RM. Preparation and characterization of dendrimer-gold colloid nanocomposites. Anal. Chem. 1999, 71, 256–258.Search in Google Scholar

[42] Esumi K, Torigoe K. Preparation and characterization of noble metal nanoparticles using dendrimers as protective colloids. Prog. Colloid Polym. Sci. 2001, 117, 80–87.Search in Google Scholar

[43] Crooks RM, Zhao MQ, Sun L, Chechik V, Yeung LK. Dendrimer-encapsulated metal nanoparticles: synthesis, characterization, and applications to catalysis. Acc. Chem. Res. 2001, 34, 181–190.Search in Google Scholar

[44] Sun X, Jiang X, Dong S, Wang E. One-step synthesis and size control of dendrimer-protected gold nanoparticles: a heat-treatment-based strategy. Macromol. Rapid Commun. 2003, 24, 1024–1028.Search in Google Scholar

[45] Love CS, Ashworth I, Brennan C, Chechik V, Smith DK. Dendron-protected Au nanoparticles – effect of dendritic structure on chemical stability. J. Colloid Interface Sci. 2006, 302, 178–186.Search in Google Scholar

[46] Kim MK, Jeon YM, Jeon WS, Kim HJ, Hong SG, Park CG, Kim K. Novel dendron-stabilized gold nanoparticles with high stability and narrow size distribution. Chem. Commun. 2001, 667–668.10.1039/b100575hSearch in Google Scholar

[47] Zheng J, Petty JT, Dickson RM. High quantum yield blue emission from water-soluble Au8 nanodots. J. Am. Chem. Soc. 2003, 125, 7780–7781.Search in Google Scholar

[48] Fischer NO, McIntosh CM, Simard JM, Rotello VM. Inhibition of chymotrypsin through surface binding using nanoparticle-based receptors. Proc. Natl. Acad. Sci. USA 2002, 99, 5013–5018.10.1073/pnas.082644099Search in Google Scholar PubMed PubMed Central

[49] Mirkin CA, Letsinger RL, Mucic RC, Storhoff JJ. A DNA-based method for rationally assembling nanoparticles into macroscopic materials. Nature 1996, 382, 607–609.10.1038/382607a0Search in Google Scholar PubMed

[50] Alivisatos P, Johnsson KP, Peng XG, Wilson TE, Loweth CJ, Bruchez MP, Schultz PG. Organization of ‘nanocrystal molecules’ using DNA. Nature 1996, 382, 609–611.10.1038/382609a0Search in Google Scholar PubMed

[51] Rosi NL, Giljohann DA, Thaxton CS, Lytton-Jean AKR, Han MS, Mirkin CA. Oligonucleotide-modified gold nanoparticles for intracellular gene regulation. Science 2006, 312, 1027–1030.10.1126/science.1125559Search in Google Scholar PubMed

[52] Demers LM, Mirkin CA, Mucic RC, Reynolds RA, Letsinger RL, Elghanian R, Viswanadham G. A fluorescence-based method for determining the surface coverage and hybridization efficiency of thiol-capped oligonucleotides bound to gold thin films and nanoparticles. Anal. Chem. 2000, 72, 5535–5541.Search in Google Scholar

[53] Li D, Wieckowska A, Willner I. Optical analysis of Hg2+ ions by oligonucleotide-gold-nanoparticle hybrids and DNA-based machines. Angew. Chem. Int. Ed. 2008, 47, 3927–3931.Search in Google Scholar

[54] He S, Li D, Zhu C, Song S, Wang L, Long Y, Fan C. Design of a gold nanoprobe for rapid and portable mercury detection with the naked eye. Chem. Commun. 2008, 40, 4885–4887.Search in Google Scholar

[55] Kim Y, Johnson RC, Hupp JT. Gold nanoparticle-based sensing of “spectroscopically silent” heavy metal ions. Nano Lett. 2001, 1, 165–167.Search in Google Scholar

[56] Liu CW, Hsieh YT, Huang CC, Lin ZH, Chang HT. Detection of mercury(II) based on Hg2+-DNA complexes inducing the aggregation of gold nanoparticles. Chem. Commun. 2008, 19, 2242–2244.Search in Google Scholar

[57] Chai F, Wang CA, Wang TT, Li L, Su ZM. Colorimetric detection of Pb2+ using glutathione functionalized gold nanoparticles. ACS Appl. Mater. Interfaces 2010, 2, 1466–1470.10.1021/am100107kSearch in Google Scholar PubMed

[58] Liu JW, Lu Y. A colorimetric lead biosensor using DNAzyme-directed assembly of gold nanoparticles. J. Am. Chem. Soc. 2003, 125, 6642–6643.Search in Google Scholar

[59] Liu JW, Lu Y. Accelerated color change of gold nanoparticles assembled by DNAzymes for simple and fast colorimetric Pb2+ detection. J. Am. Chem. Soc. 2004, 126, 12298–12305.Search in Google Scholar

[60] Lu Y, Liu J. Smart nanomaterials inspired by biology: dynamic assembly of error-free nanomaterials in response to multiple chemical and biological stimuli. Acc. Chem. Res. 2007, 40, 315–323.Search in Google Scholar

[61] Wang ZD, Lee JH, Lu Y. Label-free colorimetric detection of lead ions with a nanomolar detection limit and tunable dynamic range by using gold nanoparticles and DNAzyme. Adv. Mater. 2008, 20, 3263–3267.Search in Google Scholar

[62] Liu J, Lu Y. Rational design of “turn-on” allosteric DNAzyme catalytic beacons for aqueous mercury ions with ultrahigh sensitivity and selectivity. Angew. Chem. Int. Ed. 2007, 46, 7587–7590.Search in Google Scholar

[63] Xue XJ, Wang F, Liu XG. One-step, room temperature, colorimetric detection of mercury (Hg2+) using DNA/nanoparticle conjugates. J. Am. Chem. Soc. 2008, 130, 3244–3245.Search in Google Scholar

[64] Lee JS, Mirkin CA. Chip-based scanometric detection of mercuric ion using DNA-functionalized gold nanoparticles. Anal. Chem. 2008, 80, 6805–6808.Search in Google Scholar

[65] Wang Z, Lee JH, Lu Y. Label-free colorimetric detection of lead ions with a nanomolar detection limit and tunable dynamic range by using gold nanoparticles and DNAzyme. Adv. Mater. 2008, 20, 3263–3267.Search in Google Scholar

[66] Wang H, Xu W, Zhang H, Li D, Yang Z, Xie X, Li T, Liu X. EcoRI-modified gold nanoparticles for dual-mode colorimetric detection of magnesium and pyrophosphate ions. Small 2011, 7, 1987–1992.10.1002/smll.201100470Search in Google Scholar PubMed

[67] Zhu M, Aikens CM, Hollander FJ, Schatz GC, Jin RJ. Correlating the crystal structure of a thiol-protected Au25 cluster and optical properties. J. Am. Chem. Soc. 2008, 130, 5883–5885.Search in Google Scholar

[68] Chen W, Chen S. Oxygen electroreduction catalyzed by gold nanoclusters: strong core size effects. Angew. Chem. Int. Ed. 2009, 48, 4386–4389.Search in Google Scholar

[69] Wu Z, Gayathri C, Gil RR, Jin R. Probing the structure and charge state of glutathione-capped Au25(SG)18 clusters by NMR and mass spectrometry. J. Am. Chem. Soc. 2009, 131, 6535–6542.Search in Google Scholar

[70] Shang L, Dong SJ. Facile preparation of water-soluble fluorescent silver nanoclusters using a polyelectrolyte. Chem. Commun. 2008, 1088–1090.10.1039/b717728cSearch in Google Scholar PubMed

[71] Zhang JG, Xu SQ, Kumacheva E. Photogeneration of fluorescent silver nanoclusters in polymer microgels. Adv. Mater. 2005, 17, 2336–2340.Search in Google Scholar

[72] Zheng J, Dickson RM. Individual water-soluble dendrimer-encapsulated silver nanodot fluorescence. J. Am. Chem. Soc. 2002, 124, 13982–13983.Search in Google Scholar

[73] Tkachenko AG, Xie H, Coleman D, Glomm W, Ryan J, Anderson MF, Franzen S, Feldheim DL. Multifunctional gold nanoparticle-peptide complexes for nuclear targeting. J. Am. Chem. Soc. 2003, 125, 4700–4701.Search in Google Scholar

[74] Xie J, Lee JY, Wang DIC. Synthesis of single-crystalline gold nanoplates in aqueous solutions through biomineralization by serum albumin protein. J. Phys. Chem. C 2007, 111, 10226–10232.10.1021/jp0719715Search in Google Scholar

[75] Guével XL, Daum N, Schneider M. Synthesis and characterization of human transferrin-stabilized gold nanoclusters. Nanotechnology 2011, 22, 275103.10.1088/0957-4484/22/27/275103Search in Google Scholar PubMed

[76] Xie J, Zheng Y, Ying JY. Protein-directed synthesis of highly fluorescent gold nanoclusters. J. Am. Chem. Soc. 2009, 131, 888–889.Search in Google Scholar

[77] Xie J, Zheng Y, Ying JY. Highly selective and ultrasensitive detection of Hg2+ based on fluorescence quenching of Au nanoclusters by Hg2+-Au+ interactions. Chem. Commun. 2010, 46, 961–963.Search in Google Scholar

[78] Hu DH, Sheng ZH, Gong P, Zhang PF, Cai LT. Highly selective fluorescent sensors for Hg2+ based on bovine serum albumin-capped gold nanoclusters. Analyst 2010, 135, 1411–1416.10.1039/c000589dSearch in Google Scholar PubMed

[79] Liu Y, Ai K, Cheng X, Huo L, Lu L. Gold-nanocluster-based fluorescent sensors for highly sensitive and selective detection of cyanide in water. Adv. Funct. Mater. 2010, 20, 951–956.Search in Google Scholar

[80] Muhammed MAH, Verma PK, Pal SK. Retnakumari A, Koyakutty M, Nair S, Pradeep T. Luminescent quantum clusters of gold in bulk by albumin-induced core etching of nanoparticles: metal ion sensing, metal-enhanced luminescence, and biolabeling. Chem. Eur. J. 2010, 16, 10103–10112.Search in Google Scholar

[81] Wei H, Wang Z, Yang L, Tian S, Houc C, Lu Y. Lysozyme-stabilized gold fluorescent cluster: synthesis and application as Hg2+ sensor. Analyst 2010, 135, 1406–1410.10.1039/c0an00046aSearch in Google Scholar PubMed PubMed Central

[82] Lin YH, Tseng WL. Ultrasensitive sensing of Hg2+ and CH3Hg+ based on the fluorescence quenching of lysozyme type VI-stabilized gold nanoclusters. Anal. Chem. 2010, 82, 9194–9200.Search in Google Scholar

[83] Kawasaki H, Hamaguchi K, Osaka I, Arakawa R. pH-dependent synthesis of pepsin-mediated gold nanoclusters with blue green and red fluorescent emission. Adv. Funct. Mater. 2011, 21, 3508–3515.Search in Google Scholar

[84] Kawasaki H, Yoshimura K, Hamaguchi K, Arakawa R. Trypsin-stabilized fluorescent gold nanocluster for sensitive and selective Hg2+ detection. Anal. Sci. 2011, 27, 591–596.Search in Google Scholar

[85] Shao C, Yuan B, Wang HQ, Zhou Q, Li Y, Guan YF, Deng ZX. Eggshell membrane as a multimodal solid state platform for generating fluorescent metal nanoclusters. J. Mater. Chem. 2011, 21, 2863–2866.Search in Google Scholar

[86] Jenssen H, Hancock REW. Antimicrobial properties of lactoferrin. Biochimie 2009, 91, 19–29.10.1016/j.biochi.2008.05.015Search in Google Scholar PubMed

[87] Xavier PL, Chaudhari K, Verma PK, Pal SK, Pradeep T. Luminescent quantum clusters of gold in transferrin family protein, lactoferrin exhibiting FRET. Nanoscale 2010, 2, 2769–2776.10.1039/c0nr00377hSearch in Google Scholar PubMed

[88] Negishi Y, Takasugi Y, Sato S, Yao H, Kimura K, Tsukuda T. Magic-numbered Aun clusters protected by glutathione monolayers (n=18, 21, 25, 28, 32, 39): isolation and spectroscopic characterization. J. Am. Chem. Soc. 2004, 126, 6518–6519.Search in Google Scholar

[89] Pyykkö P. Structural properties: magic nanoclusters of gold. Nat. Nanotechnol. 2007, 2, 273–274.10.1038/nnano.2007.119Search in Google Scholar PubMed

[90] Yang X, Shi M, Zhou R, Chen X, Chen H. Blending of HAuCl4 and histidine in aqueous solution: a simple approach to the Au10 cluster. Nanoscale 2011, 3, 2596–2601.10.1039/c1nr10287gSearch in Google Scholar PubMed

[91] Chen WB, Tu XJ, Guo XQ. Fluorescent gold nanoparticles-based fluorescence sensor for Cu2+ ions. Chem. Commun. 2009, 13, 1736–1738.Search in Google Scholar

[92] Wu Z, Wang M, Yang J, Zheng X, Cai W, Meng G, Qian H, Wang H, Jin R. Well-defined nanoclusters as fluorescent nanosensors: a case study on Au25(SG)18. Small 2012, 8, 2028–2035.10.1002/smll.201102590Search in Google Scholar PubMed

[93] Wang M, Wu ZK, Yang J, Wang GZ, Wang HZ, Cai WP. Au25(SG)18 as a fluorescent iodide sensor. Nanoscale 2012, 4, 4087–4090.10.1039/c2nr30169eSearch in Google Scholar PubMed

[94] Habeeb Muhammed MA, Shaw AK, Pal SK, Pradeep T. Quantum clusters of gold exhibiting FRET. J. Phys. Chem. C. 2008, 112, 14324–14330.Search in Google Scholar

[95] Wilson GS, Hu YB. Enzyme based biosensors for in vivo measurements. Chem. Rev. 2000, 100, 2693–2704.Search in Google Scholar

[96] Zhang SX, Wang N, Yu HJ, Niu YM, Sun CQ. Covalent attachment of glucose oxidase to an Au electrode modified with gold nanoparticles for use as glucose biosensor. Bioelectrochemistry 2005, 67, 15–22.10.1016/j.bioelechem.2004.12.002Search in Google Scholar PubMed

[97] Jin LH, Shang L, Guo SJ, Fang YX, Wen D, Wang L, Yin JY, Dong SJ. Biomolecule-stabilized Au nanoclusters as a fluorescence probe for sensitive detection of glucose. Biosens. Bioelectron. 2011, 26, 1965–1969.Search in Google Scholar

[98] Wen F, Dong YH, Feng L, Wang S, Zhang SC, Zhang XR. Horseradish peroxidase functionalized fluorescent gold nanoclusters for hydrogen peroxide sensing. Anal. Chem. 2011, 83, 1193–1196.Search in Google Scholar

[99] Crespilho FN, Ghica ME, Florescu M, Nart FC, Oliveira ON, Brett CMA. A strategy for enzyme immobilization on layer-by-layer dendrimer-gold nanoparticle electrocatalytic membrane incorporating redox mediator. Electrochem. Commun. 2006, 8, 1665–1670.Search in Google Scholar

[100] Lia Y, Schluesenerb HJ, Xu S. Gold nanoparticle-based biosensors. Gold Bull. 2010, 43, 29–41.Search in Google Scholar

[101] Yehezkeli O, Vered RT, Raichlin S, Willner I. Nano-engineered flavin-dependent glucose dehydrogenase/gold nanoparticle-modified electrodes for glucose sensing and biofuel cell applications. ACS Nano 2011, 5, 2385–2391.10.1021/nn200313tSearch in Google Scholar PubMed

[102] Holland JT, Lau C, Brozik S, Atanassov P, Banta S. Engineering of glucose oxidase for direct electron transfer via site-specific gold nanoparticle conjugation. J. Am. Chem. Soc. 2011, 133, 19262–19265.Search in Google Scholar

[103] Yu A, Liang Z, Cho J, Caruso F. Nanostructured electrochemical sensor based on dense gold nanoparticle films. Nano Lett. 2003, 3, 1203–1207.Search in Google Scholar

[104] Luo X, Xu J, Du Y, Chen HA. glucose biosensor based on chitosan-glucose oxidase-gold nanoparticles biocomposite formed by one-step electrodeposition. Anal. Biochem. 2004, 334, 284–289.Search in Google Scholar

[105] Zeng DD, Luo WJ, Li J, Liu HJ, Wa MH, Huang Q, Fan CH. Gold nanoparticles-based nanoconjugates for enhanced enzyme cascade and glucose sensing. Analyst 2012, 137, 4435–4439.10.1039/c2an35900fSearch in Google Scholar PubMed

[106] Huang XG, Lan T, Zhang BC, Ren J. Gold nanoparticle-enzyme conjugates based FRET for highly sensitive determination of hydrogen peroxide, glucose and uric acid using tyramide reaction. Analyst 2012, 137, 3659–3666.10.1039/c2an35503eSearch in Google Scholar PubMed

[107] Mena ML, Yánez-Sedeno P, Pingarron JM. A comparison of different strategies for the construction of amperometric enzyme biosensors using gold nanoparticle-modified electrodes. Anal. Biochem. 2005, 336, 20–27.Search in Google Scholar

[108] Kwon KY, Yang SB, Kong BS, Kim JB, Jung HTJ. High-performance biosensors based on enzyme precipitate coating in gold nanoparticle-conjugated single-walled carbon nanotube network films. Carbon 2010, 48, 4504–4509.10.1016/j.carbon.2010.08.027Search in Google Scholar

[109] Zargoosha K, Chaichib MJ, Shamsipur M, Hossienkhanid S, Asgharib S, Qandalee M. Highly sensitive glucose biosensor based on the effective immobilization of glucose oxidase/carbon-nanotube and gold nanoparticle in nafion film and peroxyoxalate chemiluminescence reaction of a new fluorophore. Talanta 2012, 93, 37–43.10.1016/j.talanta.2011.11.029Search in Google Scholar PubMed

[110] Gu ZG, Yang SP, Li ZJ, Sun XL, Wang GL, Fang YJ, Liu JK. An ultrasensitive electrochemical biosensor for glucose using CdTe-CdS core-shell quantum dot as ultrafast electron transfer relay between graphene-gold nanocomposite and gold nanoparticle. Electrochim. Acta 2011, 56, 9162–9167.10.1016/j.electacta.2011.07.117Search in Google Scholar

[111] Liu X, Huo Q. A washing-free and amplification-free one-step homogeneous assay for, protein detection using gold nanoparticle probes and dynamic, light scattering, J. Immunol. Methods 2009, 349, 38–44.10.1016/j.jim.2009.07.015Search in Google Scholar PubMed

[112] Dai Q, Liu X, Coutts J, Austin L, Huo Q. A one-step highly sensitive method for DNA detection using dynamic light scattering. J. Am. Chem. Soc. 2008, 130, 8138–8139.Search in Google Scholar

[113] Liu X, Dai Q, Austin L, Coutts J, Chen H, Zou J. A one-step homogeneous immunoassay for cancer biomarker detection using gold nanoparticle probes coupled with dynamic light scattering. J. Am. Chem. Soc. 2008, 130, 2780–2782.Search in Google Scholar

[114] Xu H, Mao X, Zeng QX, Wang SF, Kawde A-N, Liu G. Aptamer-functionalized gold nanoparticles as probes in a dry-reagent strip biosensor for protein analysis. Anal. Chem. 2009, 81, 669–675.Search in Google Scholar

[115] Wang WJ, Chen CL, Qian MX, Zhao XS. Aptamer biosensor for protein detection using gold nanoparticles. Anal. Biochem. 2008, 373, 213–219.Search in Google Scholar

[116] Min IH, Choi L, Ahn KS, Kim BK, Lee BY, Kim KS, Choi HN, Lee WY. Electrochemical determination of carbohydrate-binding proteins using carbohydrate-stabilized gold nanoparticles and silver enhancement. Biosensors. Bioelectron. 2010, 26, 1326–1331.Search in Google Scholar

[117] Ambrosi A, Castaneda MT, Killard AJ, Smyth MR, Alegret S, Merkoci A. Double-codified gold nanolabels for enhanced immunoanalysis. Anal. Chem. 2007, 79, 5232–5240.Search in Google Scholar

[118] Cui R, Huang H, Yin Z, Gao D, Zhu JJ. Horseradish peroxidase-functionalized gold nanoparticle label for amplified immunoanalysis based on gold nanoparticles/carbon nanotubes hybrids modified biosensor. Biosens. Bioelectron. 2008, 23, 1666–1673.Search in Google Scholar

[119] Rosi NL, Mirkin CA. Nanostructures in biodiagnostics. Chem. Rev. 2005, 105, 1547–1562.Search in Google Scholar

[120] Elghanian R, Storhoff JJ, Mucic RC, Letsinger RL, Mirkin CA. Selective colorimetric detection of polynucleotides based on the distance-dependent optical properties of gold nanoparticles. Science 1997, 277, 1078–1081.10.1126/science.277.5329.1078Search in Google Scholar PubMed

[121] Mucic RC, Storhoff JJ, Mirkin CA, Letsinger RL. DNA-directed synthesis of binary nanoparticle network materials. J. Am. Chem. Soc. 1998, 120, 12674–12675.Search in Google Scholar

[122] Taton TA, Lu G, Mirkin CA. Two-color labeling of oligonucleotide arrays via size-selective scattering of nanoparticle probes. J. Am. Chem. Soc. 2001, 123, 5164–5165.Search in Google Scholar

[123] Storhoff JJ, Elghanian R, Mucic RC. One-pot colorimetric differentiation of polynucleotides with single base imperfections using gold nanoparticle probes. J. Am. Chem. Soc. 1998, 120, 1959–1964.Search in Google Scholar

[124] Storhoff JJ, Lazarides AA, Mucic RC, Mirkin CA, Letsinger RL, Schatz GC. What controls the optical properties of DNA-linked gold nanoparticle assemblies. J. Am. Chem. Soc. 2000, 122, 4640–4650.Search in Google Scholar

[125] Reynolds RA, Mirkin CA, Letsinger RL. Homogeneous, nanoparticle-based quantitative colorimetric detection of oligonucleotides. J. Am. Chem. Soc. 2000, 122, 3795–3796.Search in Google Scholar

[126] Jin R, Wu G, Li Z, Mirkin CA, Schatz GC. What controls the melting properties of DNA-linked gold nanoparticle assemblies. J. Am. Chem. Soc. 2003, 125, 1643–1654.Search in Google Scholar

[127] Pellegrino T, Kudera S, Liedl T, Javier AM, Manna L, Parak WJ. On the development of colloidal nanoparticles towards multifunctional structures and their possible use for biological applications. Small 2005, 1, 48–63.10.1002/smll.200400071Search in Google Scholar PubMed

[128] Storhoff JJ, Lucas AD, Garimella V, Bao YP, Muller UR. Homogeneous detection of unamplified genomic DNA sequences based on colorimetric scatter of gold nanoparticle probes. Nat. Biotechnol. 2004, 22, 883–887.Search in Google Scholar

[129] Gao D, Sheng Z, Han H. An ultrasensitive method for the detection of gene fragment from transgenics using label-free gold nanoparticle probe and dynamic light scattering. Anal. Chim. Acta 2011, 696, 1–5.10.1016/j.aca.2011.04.001Search in Google Scholar PubMed

[130] Pylaev TE, Khanadeev VA, Khlebtsov BN, Dykman LA, Bogatyrev VA, Khlebtsov NG. Colorimetric and dynamic light scattering detection of DNA sequences by using positively charged gold nanospheres: a comparative study with gold nanorods. Nanotechnology 2011, 22, 285501/1–285501/11.10.1088/0957-4484/22/28/285501Search in Google Scholar PubMed

[131] Jian J, Huang C. Colorimetric detection of DNA by modulation of thrombin activity on gold nanoparticles. Chem. Eur. J. 2011, 17, 2374–2380.Search in Google Scholar

[132] Chiu CS, Gwo S. Quantitative surface acoustic wave detection based on colloidal gold nanoparticles and their bioconjugates. Anal. Chem. 2008, 80, 3318–3326.Search in Google Scholar

[133] Du BA, Li ZP, Liu CH. One-step homogeneous detection of DNA hybridization with gold nanoparticle probes by using a linear light-scattering technique. Angew. Chem. Int. Ed. 2006, 45, 8022–8025.Search in Google Scholar

[134] Dong XC, Lau CM, Lohani A, Mhaisalkar SG, Kasim J, Shen ZX, Ho XN, Rogers JA, Li LJ. Electrical detection of femtomolar DNA via gold-nanoparticle enhancement in carbon-nanotube-network field-effect transistors. Adv. Mater. 2008, 20, 2389–2393.Search in Google Scholar

[135] Liu Y, Meyer-Zaika W, Franzka S, Schmid G, Tsoli M, Kuhn H. Gold-cluster degradation by the transition of B-DNA into A-DNA and the formation of nanowires. Angew. Chem. Int. Ed. 2003, 42, 2853–2857.Search in Google Scholar

[136] Neidle S, ed. Oxford Handbook of Nucleic Acid Structure, Oxford University Press: New York, 1999.Search in Google Scholar

Received: 2012-12-19
Accepted: 2013-2-12
Published Online: 2013-04-06
Published in Print: 2013-06-01

©2013 by Walter de Gruyter Berlin Boston

This article is distributed under the terms of the Creative Commons Attribution Non-Commercial License, which permits unrestricted non-commercial use, distribution, and reproduction in any medium, provided the original work is properly cited.

Downloaded on 3.11.2025 from https://www.degruyterbrill.com/document/doi/10.1515/ntrev-2012-0088/html?lang=en
Scroll to top button