Home An atlas of photonic and plasmonic materials for cathodoluminescence microscopy
Article Open Access

An atlas of photonic and plasmonic materials for cathodoluminescence microscopy

  • Sven Ebel ORCID logo , Yonas Lebsir ORCID logo , Torgom Yezekyan ORCID logo , N. Asger Mortensen ORCID logo and Sergii Morozov ORCID logo EMAIL logo
Published/Copyright: July 3, 2025
Become an author with De Gruyter Brill

Abstract

Cathodoluminescence (CL) microscopy has emerged as a powerful tool for investigating the optical properties of materials at the nanoscale, offering unique insights into the behavior of photonic and plasmonic materials under electron excitation. We introduce an atlas of bulk CL spectra and intensity for a broad range of materials used in photonics and plasmonics. Through a combination of experimental CL microscopy and Monte Carlo simulations, we characterize spectra and intensity of coherent and incoherent CL, electron penetration depth and energy deposition, offering a foundational reference for interpreting CL signals and understanding material behavior under electron excitation. Our atlas captures CL signals across a wide range of materials, offering valuable insight into intrinsic emission properties for informed material selection and device design in photonics and plasmonics.

1 Introduction

Cathodoluminescence (CL) microscopy is an indispensable tool for investigating the optical and electronic properties of materials at the nanoscale, providing valuable insights into photonic and plasmonic materials [1], [2], [3], [4], [5]. When an electron beam interacts with a material, it can generate a broad range of emissions, including X-rays, secondary and backscattered electrons, and photons spanning from the ultraviolet (UV) to the infrared (IR) spectral range. Among these, UV to IR photons are of particular interest for photonics and plasmonics.

The detection of CL optical signal combined with the techniques of electron microscopy allows for the spatial mapping of the material’s electronic and optical characteristics with nanoscale resolution, overcoming the constraints faced by photoluminescence (PL) microscopy, which is limited by optical diffraction and governed by optical selection rules [6]. In contrast, CL microscopy directly excites electronic states, revealing intrinsic material properties at nanoscale. The wavelength and intensity of the emitted light under electron beam excitation are influenced by the material’s composition, defects, and structural features, making CL microscopy particularly valuable for comprehensive characterization. For in-depth insights into various aspects of CL, readers are directed to several extensive reviews, which include discussions on the physical fundamentals of CL [6], [7], its historical development and methods [2], [3], [4], [8], [9], [10], [11], [12], overviews on CL origin in a variety of semiconductors [1], [13], [14], and developments on CL microscopy for the study of photonic and plasmonic systems [5], [15], [16].

In combination with far-field Fourier spectroscopy, CL microscopy offers a powerful method for distinguishing between coherent and incoherent light emission processes in materials [17], [18], [19], [20], [21]. Coherent CL arises from transition radiation, Smith–Purcell radiation, and collective oscillations of free electrons, such as surface-plasmon resonances in metals, while incoherent CL results from intrinsic processes (e.g., electron–hole recombination, defects) and extrinsic processes (e.g., dopants, impurity and color centers), which are typically observed in semiconductors and dielectrics [18], [22]. Differentiating and accurately attributing these mechanisms is important in photonic and plasmonic systems, as they often involve materials that support both processes. The relative strength of incoherent and coherent mechanisms strongly depends on the system’s material composition. Therefore, for effective experiment design and interpretation, it is essential to understand the CL response of the materials used, independent of geometric effects, and to identify the origins of the observed spectral features.

An important parameter in CL microscopy is the electron penetration depth, which refers to how deeply the electron beam penetrates the material before losing its kinetic energy. The penetration depth varies depending on the material’s atomic number (Z), atom density, and the energy of electrons in the electron beam [23]. For low-Z materials like carbon (C) or silicon (Si), penetration depths can be relatively large (on scale of microns), allowing for bulk material analysis even at lower electron beam voltages. Conversely, in high-Z materials like gold (Au) or platinum (Pt), the penetration depth is significantly reduced (down to sub 10 nm), restricting the interaction volume to the surface or near-surface layers. Understanding the electron penetration depth is relevant for interpreting CL accurately, as it determines whether the emission originates from the surface, subsurface, or bulk of the material [24], [25], [26]. The penetration depth and corresponding distribution of absorbed energy plays a key role in electron beam lithography, where precise energy deposition is essential for controlling pattern resolution and resist exposure [23].

In this article, we present a comprehensive study of the optical response from a wide range of materials under low-energy electron beam excitation (1–30 keV) in a scanning electron microscope (SEM), building up an atlas of CL spectra of materials for photonic and plasmonic systems. The materials studied include plasmonic and non-plasmonic metals, dielectrics, and semiconductors used in optics and photonics, as well as novel two-dimensional (2D) materials, topological insulators, and polymeric and resist materials used in the fabrication of nanostructured devices. Our aim is to probe the CL emission mechanisms (coherent/incoherent) and to characterize the emitted spectra and CL intensity from each material. We also perform numerical simulations of electron penetration depth and energy absorption using Monte Carlo methods via CASINO modeling tool [23]. These simulations provide detailed insights into the interaction of low-energy electrons with the investigated materials. Our work combines experimental CL analysis with Monte Carlo simulations, offering a robust dataset to understand the impact of material properties and electron interactions on CL behavior. Furthermore, this atlas serves as a reference for interpreting CL data in various experimental contexts, reducing the likelihood of misinterpretation of emission origins, material properties, or electron-matter interactions. By systematically documenting the CL characteristics of key materials, this work facilitates the development of next-generation photonic and plasmonic technologies, guiding both experimental design and theoretical modeling efforts.

2 Materials

We present CL properties of a diverse range of commercially available materials (Figure 1), which serve as potential building blocks and platforms for emerging photonic and plasmonic devices. Each material is examined using low-energy (1–30 keV) and low current (ca. 1.4 nA) electron beams, allowing us to characterize the origin of CL emissions – whether coherent or incoherent – and analyze their spectra and intensity. Furthermore, the Supplementary Materials (SM) provide detailed information on the investigated materials, including their suppliers and origins, Raman spectra, and morphological characterization using optical and electron-based imaging techniques, as well as simulation results of electron beam interaction with the materials.

Figure 1: 
An atlas of investigated photonic and plasmonic materials.
Figure 1:

An atlas of investigated photonic and plasmonic materials.

3 Monte Carlo simulations

We use Monte Carlo simulations performed with CASINO v2.42 [23] to model electron trajectories and the distribution of absorbed energy in various bulk materials under electron-beam excitation. CASINO software employs stochastic methods to simulate multiple electron scattering events, energy loss mechanisms, and backscattering, providing a spatial map of electron trajectories for primary electron (PE) and backscattered electrons (BSE). CASINO simulates elastic scattering and approximates inelastic events using the mean energy loss between successive elastic scattering interactions [27], [28]. All our simulations utilize interpolation from the Mott cross-section database [29], while the Joy–Luo stopping power model [30] is applied to account for ionization potential, collisions, and inelastic energy loss [27]. For a more in-depth discussion on the theory of free electron–matter interactions, which underpin the Monte Carlo simulations used in our work, we refer the reader to the books by Reimer [31] and Egerton [32].

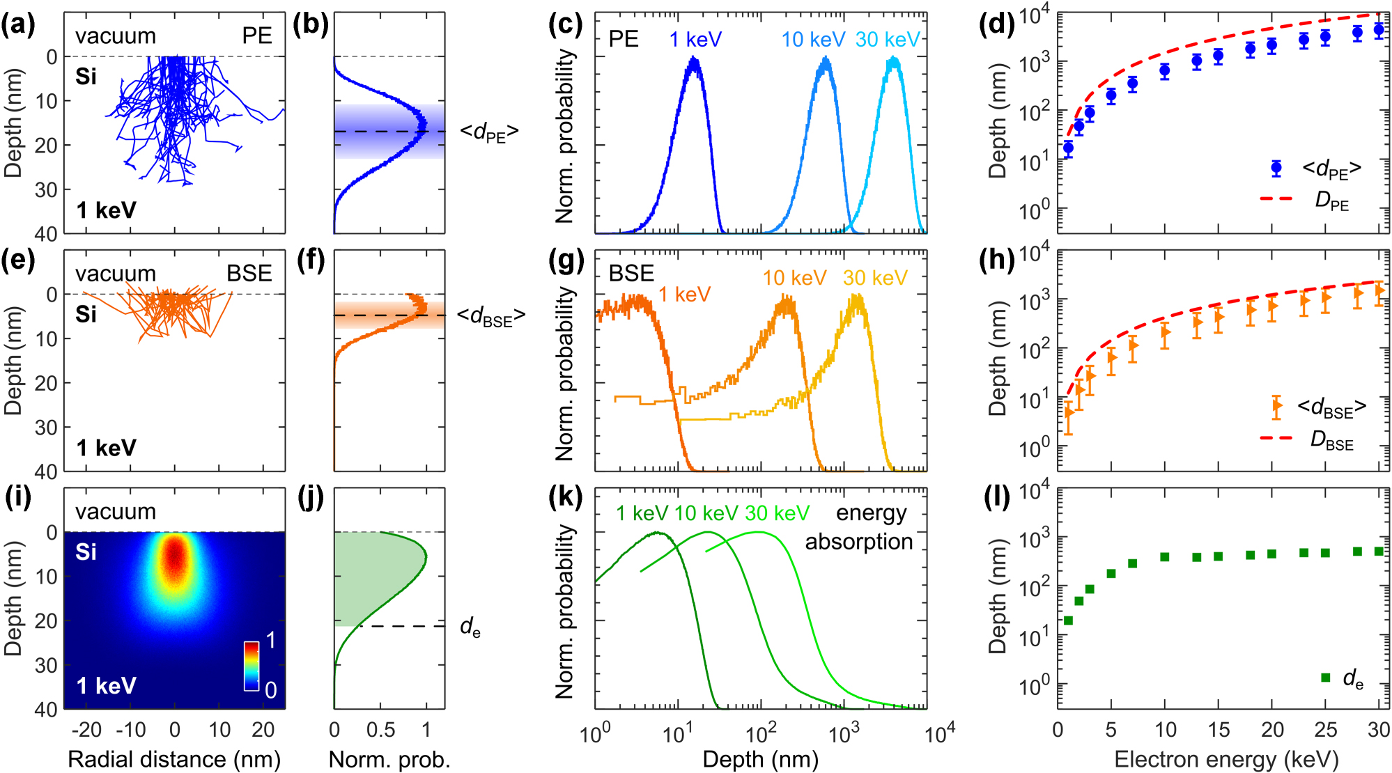
We begin by presenting simulation results in Figure 2 on electron beam interaction with silicon (Si), exploring how varying electron beam energy influences electron propagation and energy deposition. Figure 2a presents the PE trajectory maps at 1 keV. In total, we simulate 106 electrons, though only 50 trajectories are shown here for clarity. Figure 2b shows the corresponding statistics for the maximum penetration depth d PE – defined as the point where electron energy falls below 0.1 keV. Higher electron beam energy results in deeper PE distributions, as shown in Figure 2c. We quantify these results by calculating the weighted mean of PE depth ⟨d PE⟩ = ∑p i d PE,i where p i represents the normalized probabilities, and two standard deviations, as illustrated in Figure 2b. Figure 2d summarizes the obtained ⟨d PE⟩ in Si over the electron beam energy range of 1–30 keV. As the electron beam energy increases, ⟨d PE⟩ extends deeper into Si, from approximately 16 nm at 1 keV to nearly 5 μm at 30 keV. We compare these results to the Kanaya–Okayama range D PE, which provides an estimate of how deep an electron can travel in a material before being fully absorbed, primarily considering energy loss due to inelastic scattering [33]. The range is given by D PE [nm] = 27.61 ⋅ 10−5 AE 5/3/(ρZ 8/9), where 27.61 is a dimensional consistency factor, A is the atomic weight in g/mol, E is the electron energy in eV, ρ is the material density in g/cm3, and Z is the material’s atomic number. We plot D PE as a red dashed line alongside the Monte Carlo simulation results for ⟨d PE⟩ in Figure 2d. We note that the PE penetration depth increases with electron energy, following a power law trend.

Figure 2: 
Monte Carlo simulations of electron trajectories and energy deposition in bulk Si at increasing electron beam energy. (a, e) PE and BSE trajectories for an incident electron beam at 1 keV with 10 nm diameter (shown only 50 trajectories). Corresponding distributions of the PE (b) and BSE (f) depth at 1 keV (acquired for 106 incident electrons). The horizontal dashed lines represent the weighted mean ⟨d
PE⟩ and ⟨d
BSE⟩, while the shaded areas show two standard deviations. Distributions of the PE (c) and BSE (g) depth at increasing electron beam energy (acquired for 106 incident electrons). (d, h) Increase of ⟨d
PE⟩ and ⟨d
BSE⟩ with electron energy. The error bars represent two standard deviations as shown in the corresponding panels (b) and (f). The dashed red lines are the Kanaya–Okayama range D
PE for PE in (d), and BSE origin depth D
BSE in (h). (i) Energy deposition map at 1 keV. (j) Axial profile of the energy deposition map from panel (i). The dashed line indicates the 90 % energy loss depth d
e. (k) Axial profiles of the energy deposition at increasing electron beam energy. (l) Increase of d
e with electron beam energy.
Figure 2:

Monte Carlo simulations of electron trajectories and energy deposition in bulk Si at increasing electron beam energy. (a, e) PE and BSE trajectories for an incident electron beam at 1 keV with 10 nm diameter (shown only 50 trajectories). Corresponding distributions of the PE (b) and BSE (f) depth at 1 keV (acquired for 106 incident electrons). The horizontal dashed lines represent the weighted mean ⟨d PE⟩ and ⟨d BSE⟩, while the shaded areas show two standard deviations. Distributions of the PE (c) and BSE (g) depth at increasing electron beam energy (acquired for 106 incident electrons). (d, h) Increase of ⟨d PE⟩ and ⟨d BSE⟩ with electron energy. The error bars represent two standard deviations as shown in the corresponding panels (b) and (f). The dashed red lines are the Kanaya–Okayama range D PE for PE in (d), and BSE origin depth D BSE in (h). (i) Energy deposition map at 1 keV. (j) Axial profile of the energy deposition map from panel (i). The dashed line indicates the 90 % energy loss depth d e. (k) Axial profiles of the energy deposition at increasing electron beam energy. (l) Increase of d e with electron beam energy.

In CASINO simulations, BSEs are defined as PEs that escape the sample surface after multiple scattering events, provided their energy remains above 0.1 keV upon exiting the material. Figure 2e presents the BSE trajectory maps in Si at 1 keV, and Figure 2f shows the corresponding statistics for the BSE origin depth d BSE, which is defined as the depth of the first large-angle elastic scattering event (greater than 90° deflection) that initiates the trajectory leading the electron back to the surface. Higher electron beam energy results in deeper BSE origin depth distribution, as shown in Figure 2g. Similarly to PE, we characterize the BSE origin depth with weighted mean ⟨d BSE⟩ and two standard deviations, as illustrated in Figure 2f. Figure 2h summarizes the obtained ⟨d BSE⟩ in Si over the electron beam energy range of 1–30 keV. ⟨d BSE⟩ increases in Si with electron energy from about 5 nm at 1 keV to 1.5 μm at 30 keV. We compare these results with experimental observations of BSE range [31], [34], which is described by the empirical expression D BSE [nm] = 28 ⋅ E 1.54/ρ, where 28 is an experimental scaling factor, E is the electron energy in keV, and ρ is the material density in g/cm3. We plot D BSE as a red dashed line alongside the Monte Carlo simulation results for ⟨d BSE⟩ in Figure 2h, observing a power law trend.

We also investigate the impact of increasing electron beam energy on the spatial distribution of absorbed energy, as it is relevant for determining the origin of the CL signal. Figure 2i shows the spatial profile of electron energy deposition in Si at 1 keV, with the total energy summed for each depth in Figure 2j. We extract the depth d e at which incident electrons lose 90 % of their energy from the energy deposition profile, as illustrated in Figure 2j. Furthermore, Figure 2k presents the evolution of energy absorption distributions for 1 keV, 10 keV, and 30 keV. Figure 2l summarizes the increase of d e in Si with electron beam energy. Understanding the absorbed energy profiles helps in determining the effective electron-matter interaction volume, which is crucial for designing of CL experiments, CL characterization of photonic and plasmonic devices, and optimizing electron-beam lithography processes.

Taking a broader perspective, Figure 3 investigates how material density affects the characteristic depths ⟨d PE⟩, ⟨d BSE⟩ and d e. Figure 3a–c illustrate the reduction in electron–matter interaction volume as material density increases. To highlight these effects, we selected gallium phosphide (GaP, ρ = 4,138 kg/m3), tungsten ditelluride (WTe2, ρ = 9,430 kg/m3), and platinum (Pt, ρ = 21,450 kg/m3) for their distinctive densities. This selection emphasizes the differences in characteristic depth distributions of PE, BSE, and energy absorption at 1 keV, as shown in Figure 3d–f. We repeat these simulations for a wide range of materials with densities spanning from 2,100 kg/m3 for boron nitride (BN) to 21,450 kg/m3 for Pt and plot the characteristic depths at 1 keV and 30 keV in Figure 3g–i. The general trend indicates that characteristic electron depths decrease as material density increases. This effect is more pronounced at the higher electron beam energy of 30 keV (note the steeper slope for filled symbol dataset in Figure 3g–i).

Figure 3: 
Monte Carlo simulations of electron propagation and energy deposition in a variety of bulk materials. (a–c) Normalized spatial maps of 1 keV electron beam energy deposition in GaP, WTe2, and Pt. (d–f) 1 keV distributions of d
PE, d
BSE, and axial profiles of the absorbed power in GaP, WTe2 and Pt. (g–i) Decrease of ⟨d
PE⟩, ⟨d
BSE⟩, and d
e for denser bulk materials at 1 keV (open symbols) and 30 keV (filled symbols). Densities of Si, GaP, WTe2, and Pt are highlighted with vertical dashed lines. The error bars represent two standard deviations.
Figure 3:

Monte Carlo simulations of electron propagation and energy deposition in a variety of bulk materials. (a–c) Normalized spatial maps of 1 keV electron beam energy deposition in GaP, WTe2, and Pt. (d–f) 1 keV distributions of d PE, d BSE, and axial profiles of the absorbed power in GaP, WTe2 and Pt. (g–i) Decrease of ⟨d PE⟩, ⟨d BSE⟩, and d e for denser bulk materials at 1 keV (open symbols) and 30 keV (filled symbols). Densities of Si, GaP, WTe2, and Pt are highlighted with vertical dashed lines. The error bars represent two standard deviations.

Finally, Figure 4 summarizes the results of Monte Carlo simulations for backscattering coefficient β, which is the ratio of BSE to incident PE and provides an estimate of the electrons involved in inelastic interactions responsible for generating CL. A higher backscattering coefficient reduces the effective beam current available for generating CL, making it an important factor in evaluating CL efficiency. Interestingly, Figure 4 demonstrates that β is higher for low-density materials like Si at low electron beam energy of 1 keV, while the trend reverses for high-density materials like Pt. This result has been previously observed experimentally as a consequence of the interplay between elastic and inelastic scattering, where low-energy electrons in low-density materials penetrate deeper with less scattering, leading to higher β, while high-density materials exhibit stronger elastic scattering at higher energies, increasing β [35]. For reference, we provide a detailed listing in the SM of ⟨d PE⟩, ⟨d BSE⟩, d e, and β for all the investigated materials.

Figure 4: 
Monte Carlo simulations of backscattering coefficient β in bulk materials. Increase of β with material density at 1 keV (squares) and 30 keV (crosses). Densities of the selected materials are indicated by vertical dashed lines.
Figure 4:

Monte Carlo simulations of backscattering coefficient β in bulk materials. Increase of β with material density at 1 keV (squares) and 30 keV (crosses). Densities of the selected materials are indicated by vertical dashed lines.

Having modeled electron–material interactions through Monte Carlo simulations, we gained detailed insight into how electron beam energy and material properties influence penetration depth, energy deposition, and backscattering behavior. Low electron beam energies primarily excite near-surface regions, while high energies penetrate deeper, exciting a larger volume; in low-density materials, excitation occurs gradually over greater depths, whereas in high-density materials, energy is deposited closer to the surface due to stronger scattering. Building on these simulation results, the following sections outline the experimental procedures used to acquire and interpret CL emission data.

4 Experimental methods

4.1 Experimental setup

The experimental setup for CL microscopy (SPARC Spectral, Delmic) involves a scanning-electron microscope (SEM, TESCAN MIRA3) equipped with a parabolic mirror (effective NA = 0.97) to collect the generated emission (Figure 5a). The electron beam passes through a small aperture in the parabolic mirror, interacting with the sample in its focal spot. The generated CL is collected by the same mirror and directed towards a spectrometer (Kymera-193i with Newton 920P, Andor). Our CL spectral measurements were performed at room temperature using a 1 × 1 μm2 spot size with fuzzing (scanning within the pixel during signal acquisition); the integration time was adjusted based on the brightness of the CL signal, and dark counts were subtracted from all spectra. For angular-resolved measurements, a set of interchangeable lenses is used to image the Fourier plane, enabling the retrieval of angular radiation profiles and providing insight into the coherent or incoherent origin of the CL signal [17], [18].

Figure 5: 
Cathodoluminescence microscopy. (a) Experimental setup for detection of CL emission and angular spectra. (b) Incoherent CL originates from the recombination of electron–hole pairs generated by incident electrons in the bulk and is characterized by an isotropic angular radiation pattern (c). (d) Coherent CL arises from the interaction of an electron beam with collective electron oscillations, as for example transition radiation (TR), and is characterized by a dipolar emission pattern (e). (f–g) Experimental TR spectra of Pt and Ti at 30 keV (green circles) are used to calibrate instrument response by comparing them with theoretical TR spectra (red), and obtaining the corrected CL spectra (blue, see main text for details). (h) Instrument response functions obtained with TR of Pt (brown) and Ti (cyan), and their average (dashed black). (i) The averaged instrument response function is applied to the experimental CL spectrum of gold at 30 keV (green circles), producing a corrected spectrum (blue), that closely matches the theoretical TR spectrum of gold (red).
Figure 5:

Cathodoluminescence microscopy. (a) Experimental setup for detection of CL emission and angular spectra. (b) Incoherent CL originates from the recombination of electron–hole pairs generated by incident electrons in the bulk and is characterized by an isotropic angular radiation pattern (c). (d) Coherent CL arises from the interaction of an electron beam with collective electron oscillations, as for example transition radiation (TR), and is characterized by a dipolar emission pattern (e). (f–g) Experimental TR spectra of Pt and Ti at 30 keV (green circles) are used to calibrate instrument response by comparing them with theoretical TR spectra (red), and obtaining the corrected CL spectra (blue, see main text for details). (h) Instrument response functions obtained with TR of Pt (brown) and Ti (cyan), and their average (dashed black). (i) The averaged instrument response function is applied to the experimental CL spectrum of gold at 30 keV (green circles), producing a corrected spectrum (blue), that closely matches the theoretical TR spectrum of gold (red).

4.2 Angular emission

Due to the uncorrelated nature of incoherent CL processes (Figure 5b), the emitted light has an isotropic or Lambertian emission profile, where the intensity is uniform across all directions and decreases with the cosine of the emission angle (Figure 5c). In contrast, the coherent CL originates from ordered, collective oscillations of electrons (Figure 5d). These coherent processes result in a dipolar emission pattern, where the intensity is strongest along the interface, typically aligned with the orientation of the dipole or the surface-plasmon mode. This angular dependence is due to the phase coherence of the emitted light, which causes constructive interference in specific directions, resulting in a non-uniform emission profile. Due to the presence of the interface between vacuum and sample, the intensity I(θ) of the dipolar emission pattern is bent towards the normal to interface, and can be modeled as I(θ) ∝ sin2(θ) cos(θ) (Figure 5e), where θ is an angle from the normal (see Figure 5c). We note that all reported experimental angular radiation profiles are collected within a θ range of 7°–78°, with a dip around θ = 0° caused by the central hole in the parabolic mirror for the electron beam, and truncation at large angles due to the mirror’s limited numerical aperture.

The angular radiation pattern of CL provides insight into the specific radiation mechanism responsible for the emitted light. Furthermore, the intensity of coherent CL is strongly dependent on the electron beam energy and is generally dimmer compared to its incoherent counterpart [18]. In addition, coherent CL is broadband, whereas incoherent CL can exhibit very narrow emission lines, even at room temperature, as seen in color centers in diamonds [36]. We also observe that certain materials exhibit either coherent or incoherent CL, whereas others display a mixture of both or can transition from incoherent to coherent CL as the electron beam energy increases.

4.3 Instrument response

In CL spectroscopy, accurate broadband spectral measurements require correction for the instrument’s response function, which accounts for wavelength-dependent variations in detection efficiency [18]. Several factors can introduce spectral distortions in our measurements. The spectrometer grating used (150 lines/mm, 500 nm blaze) has its highest diffraction efficiency around 500–600 nm, meaning wavelengths outside this range may be underrepresented. Additionally, the silicon-based photodetector exhibits a significant drop in sensitivity below ca. 400 nm and beyond 950 nm, affecting signal strength in these spectral regions. Optical components in the CL system, such as the fused silica SEM window and focusing optics, have spectrally dependent transmittance, introducing further variations across the detection range.

To account for these potential distortions and ensure reliable spectral measurements, we apply an instrument response correction, which is particularly crucial for broadband emission sources like transition radiation. Ensuring accurate spectral calibration allows for a meaningful comparison between experimental data and theoretical models, which predict transition radiation based on the material’s optical properties and the electron beam parameters. In our study, transition radiation is modeled using the formalism described in prior work by García de Abajo [6], where Maxwell’s equations are solved for a fast electron interacting with a material, inducing surface currents that generate a characteristic transition radiation spectrum (see details in SM). This modeling approach incorporates ellipsometry data to determine the dielectric function of the investigated materials, ensuring accurate spectral predictions.

To implement the instrument response correction, we first measure CL spectra of platinum (Pt) and titanium (Ti), as these metals exhibit well-characterized and uniform transition radiation. We use two metals to measure the instrument response in order to account for metal-specific variations in transition radiation emission. Moreover, to minimize geometry-related spectral contribution, experimental CL spectra of Pt and Ti are averaged over multiple positions on the samples. These experimental CL spectra for Pt and Ti at 30 keV are shown in Figure 5f and g (green circles) along with their theoretical transition radiation spectra (red curves). For calculating the theoretical spectra, we employ ellipsometry data for Pt and Ti from different experimental groups [37], [38], which helps to further average our instrument response results. By comparing the experimental spectra with the theoretical ones, we extract instrument response functions for each metal (brown for Pt and cyan for Ti in Figure 5h). Here we smoothed the experimental CL spectra for the calculation of the instrument response functions, ensuring a more representative and uniform spectral correction. We average the two response functions to minimize material-specific variations and systematic errors (dashed black in Figure 5h). As expected, the instrument response remains flat in the 500–600 nm range, where the grating achieves its highest diffraction efficiency, but sharply diverges beyond 900 nm, resulting from the poor detection efficiency of the silicon-based CCD camera in that region. Finally, in Figure 5f and g this averaged instrument response is applied to the raw CL spectra of Pt and Ti (green circles), resulting in the corrected CL spectra (blue).

We validate independently the obtained instrument response function using CL of gold (Au), as it has a well-characterized spectrum [18]. Figure 5i presents the experimental spectrum of Au at 30 keV (green circles) alongside the theoretical transition radiation spectrum (red), calculated using ellipsometry data from Ref. [39]. The corrected spectrum (blue) is obtained by applying the instrument response function, showing excellent agreement with the theoretical spectrum and accurately reconstructing spectral features in the 400–600 nm range, attributed to distinct variations in the real and imaginary parts of the Au dielectric function, which influence the transition radiation intensity and spectral shape. As expected, the correction becomes unreliable beyond ca. 950 nm due to the low sensitivity of the silicon detector. Consequently, we report corrected spectra within the 400–950 nm range in our CL atlas, while raw spectra covering 400–1,100 nm are provided in SM Figures S1–S10. This process ensures that the spectral shape and intensity accurately reflect the intrinsic CL response of the materials reported in our atlas, eliminating distortions introduced by the CL detection system. Furthermore, another common source of distortion is the second-order diffraction artifact, which arises when bright emission sources produce unwanted spectral contributions at twice their fundamental wavelength. To mitigate this effect for materials with bright peaks in the UV region, we used a 450 nm long-pass filter and report CL spectra up to 900 nm.

5 Cathodoluminescence spectra

In this section, we present CL spectra obtained at electron beam voltages from 1 keV to 30 keV, demonstrating the effects of different voltages on various photonic and plasmonic materials. Lower beam voltages (≤5 kV) probe near-surface regions, revealing surface states and possible contaminants, while higher voltages (30 kV) penetrate deeper, uncovering bulk material response (Figures 2 and 3). This systematic reporting of CL spectra across a range of voltages helps to select appropriate experimental conditions, including background-free substrates for the desired spectral range and optimized beam energy for specific emission characteristics, aiding CL analysis in material science and nanotechnology.

5.1 Elemental metals

CL studies of elemental metals began gaining attention in the mid-20th century, focusing on the optical and electronic properties of metals under electron beam excitation. Metals like gold (Au), silver (Ag), copper (Cu), and aluminum (Al) were studied to explore their potential luminescence properties despite their free electron nature, primarily to elucidate the mechanism of transition radiation [40], [41], [42], [43]. The 1980s saw a significant increase in interest, particularly due to advancements in CL spectroscopy, which allowed for the study of metal-semiconductor interfaces and the identification of related interface states [8], [44], [45], [46]. CL emission from metals could reveal unique interactions between conduction band electrons and d-band holes [47], Mie resonances in metallic spheres [48], as well as surface plasmon effects [47], [49], [50], [51], [52], [53], [54], [55], [56], [57], [58], [59]. Today, CL methods are very appealing in nano-optics and plasmonics as they enable high-resolution, nanoscale mapping of modes in metallic nanostructures [16], [51], [52], [60], [61], [62], [63], [64], [65]. Accurate interpretation of CL arising from geometrically-induced plasmonic effects requires understanding the bulk optical response.

We begin our analysis by presenting CL spectra of bulk metal samples, including the transition metals Au, Ag, Cu, platinum (Pt), nickel (Ni), and chromium (Cr), as well as the post-transition metals such as aluminum (Al) and titanium (Ti). Figure 6a–h show the CL spectra of these metals across a range of electron beam energies from 1 keV to 30 keV. A common trend observed in the CL spectra of these metals is that the intensity generally decreases at longer wavelengths [66], a behavior governed by the dielectric response of the interface material. In metals like Au and Cu, interband transitions from occupied d-bands to the partially filled sp-band increase absorption at shorter wavelengths, thus reducing the transition radiation intensity [39]. At the high electron beam energy of 30 keV, CL spectra are broadband in all the tested metals, which is characteristic for the transition radiation with the distinctive dipolar, doughnut-shaped, angular radiation profile integrated over entire spectral range (green in Figure 6i–p). This occurs because faster electrons interact more strongly with the dense metal structure, generating stronger transition radiation as they cross the vacuum-metal interface [6], [67].

Figure 6: 
CL of elemental metals. Normalized CL spectra measured in a range of electron beam energies (see panel (h) for color coding, the spectra are vertically offset for clarity of presentation) for: (a) mono-crystalline Au, (b) Ag, (c) Cu, (d) Al, (e) Ti, (f) Pt, (g) Ni, (h) Cr. (i–p) Corresponding angular radiation profiles measured at 1 keV (dashed blue) and 30 keV (solid green).
Figure 6:

CL of elemental metals. Normalized CL spectra measured in a range of electron beam energies (see panel (h) for color coding, the spectra are vertically offset for clarity of presentation) for: (a) mono-crystalline Au, (b) Ag, (c) Cu, (d) Al, (e) Ti, (f) Pt, (g) Ni, (h) Cr. (i–p) Corresponding angular radiation profiles measured at 1 keV (dashed blue) and 30 keV (solid green).

At the lower electron beam energies, the contribution of transition radiation to the CL spectra is significantly reduced [68]. At 1 keV, we observe a perfectly isotropic angular radiation profile for Ag (blue in Figure 6j) and mixed isotropic-dipolar angular profiles for Au and Cu (Figure 6i and k), which are transition metals from group 11 of the periodic table. This indicates a surface-related and incoherent origin of CL at 1 keV. The CL spectra of Au and Cu exhibit well-resolved peaks around 500 nm and 590 nm, respectively, superimposed on the broadband transition radiation spectrum. These results align well with previous CL measurements on thin metal films [69], suggesting that this radiation stems from interband recombination in Au and surface-related emission of natural oxide layers in Ag and Cu [43]. The post-transition metals Al and Ti also display isotropic emission profiles at 1 keV, likely originating from their natural oxide surface layers. Finally, the transition metals from the group 10 of periodic table Pt, Ni, and Cr, exhibit the broad transition radiation spectra at 1 keV (Figure 6f–h) with the characteristic doughnut-shaped angular radiation profile (blue in Figure 6n–p). This is likely because they have closed orbitals, making them chemically inert under normal conditions and preventing the formation of oxides or other surface compounds.

5.2 Elemental metalloids

Elemental metalloids silicon (Si) and germanium (Ge) are group 14 elements in the periodic table, sharing the same valence electron configuration and exhibiting semiconductor behavior with an indirect bandgap. Previous CL studies of Si and Ge focused on their optical and electronic properties, especially concerning defect states, impurity levels, strain distributions, offering a high spatial resolution method to assess carrier lifetimes and electronic transitions [1], [70]. These experiments used significantly higher beam currents ranging from 100 nA to 10 μA, with electron energy adjustments allowing for depth profiling.

We report CL from bulk Si and Ge crystals in Figure 7a and b, generated at low beam current of ca. 1.4 nA, in contrast to the previous studies. Figure 7c and d show angular radiation profiles of Si and Ge, which are a linear mix of isotropic and dipolar emission patterns [18], [19]. The isotropic contribution from incoherent CL originates from indirect bandgap transitions in these materials with bandgap energies corresponding to the IR part of electromagnetic spectrum. The dipole emission from coherent CL stems from the transition radiation, which dominates at shorter wavelengths. We confirm this in spectral filtering experiments by separating the incoherent and coherent CL with optical filters (SM Figure S11). In summary, the CL emission of bulk Si and Ge consists of a combination of incoherent isotropic radiation from indirect bandgap transitions and coherent dipole-like emission from transition radiation, which can be separated using spectral filtering.

Figure 7: 
CL of elemental metalloids. Normalized CL spectra measured in a range of electron beam energies for: (a) Si, and (b) Ge. (c–d) Corresponding angular radiation profiles measured at 1 keV (dashed blue) and 30 keV (solid green).
Figure 7:

CL of elemental metalloids. Normalized CL spectra measured in a range of electron beam energies for: (a) Si, and (b) Ge. (c–d) Corresponding angular radiation profiles measured at 1 keV (dashed blue) and 30 keV (solid green).

5.3 Topological insulators

Topological insulators are materials that behave as insulators in their bulk form but have conductive states on their surfaces, protected by topological order, making them suitable for applications in quantum computing and photonics [71]. CL investigation of topological insulators allows for probing of their electronic band structure properties, defect states, exciton polaritons, and surface phenomena, providing insights into the unique optical and quantum properties of topological states [72], [73], [74], [75].

We report CL response of bismuth telluride (Bi2Te3) and antimony trisulfide (Sb2S3) crystals in Figure 8a and b. Bi2Te3 in Figure 8a exhibits broadband CL similar to elemental metals indicating on transition radiation origin of CL signal, which is further confirmed by the characteristic doughnut-shaped angular radiation profile in Figure 8c. In contrast, Sb2S3 crystal exhibits bright CL with spectrum peaking in the near IR spectral region (Figure 8b), corresponding to the quasi-direct bandgap emission [76]. The CL of Sb2S3 is characterized by isotropic angular radiation pattern (Figure 8d), confirming the incoherent, bandgap-related origin.

Figure 8: 
CL of topological insulators. Normalized CL spectra measured in a range of electron beam energies for: (a) Bi2Te3, and (b) Sb2S3. (c–d) Corresponding angular radiation profiles measured at 1 keV (dashed blue) and 30 keV (solid green).
Figure 8:

CL of topological insulators. Normalized CL spectra measured in a range of electron beam energies for: (a) Bi2Te3, and (b) Sb2S3. (c–d) Corresponding angular radiation profiles measured at 1 keV (dashed blue) and 30 keV (solid green).

5.4 TMD crystals

Transition metal dichalcogenide (TMD) materials are 2D layered crystals, where the layers are weakly bonded by van der Waals forces, allowing them to be exfoliated down to a monolayer. Electron beam excitation is inherently inefficient in TMD monolayers due to their extreme thinness, which results in an exceptionally short electron interaction length. Encapsulation with hexagonal boron nitride (hBN) increases the interaction length, enabling electron-hole pairs to form in the hBN, which then decay through the TMD monolayer generating CL [77]. Such CL studies have focused on exciton dynamics in monolayers, strain effects, and electron-hole interactions at the nanoscale, providing insights into their optical properties [26], [77], [78], [79], [80], [81], [82]. CL methods have been also applied in nano-optics research involving multilayer TMD flakes, which support various optical modes depending on their shape and thickness [58], [83], [84], [85], [86]. However, the CL response of bulk TMD crystals remains relatively underexplored, yet it is essential for establishing a reliable reference for CL experiments in photonics and plasmonics.

We report the CL emission properties of bulk TMDs in Figure 9, including semiconductor TMDs such as tungsten disulfide (WS2), molybdenum disulfide (MoS2) [both the rhombohedral (3R) and the hexagonal (2H) symmetry phases], tungsten diselenide (WSe2), molybdenum diselenide (MoSe2), rhenium disulfide (ReS2), as well as semimetal and metal TMDs such as molybdenum ditelluride (MoTe2), tungsten ditelluride (WTe2), titanium disulfide (TiS2), niobium diselenide (NbSe2), and tantalum diselenide (TaSe2). For each investigated TMD crystal we identified its symmetry phase based on Raman spectra (see SM).

Figure 9: 
CL of TMD crystals. Normalized CL spectra measured in a range of electron beam energies for a variety of TMD crystals: (a) 2H-WS2, (b) 3R-MoS2, (c) 2H-MoS2, (d) 2H-WSe2, (e) 2H-MoSe2, (f) 1T′-ReS2, (g) 2H-MoTe2, (h) Td-WTe2, (i) 1T-TiS2, (j) 2H-NbSe2, and (k) 2H-TaSe2. Spectral dips corresponding to excitons XA (red triangle) and XB (open magenta triangle) are indicated for relevant TMD crystals. (l–m) Mixed angular radiation profiles of WS2 and WTe2 at 1 keV. (n, p) Spectrally decomposed angular radiation profiles of WS2 at 30 keV into (n) coherent and (p) incoherent CL, which are representative for the semiconducting TMDs. (o) Dipolar angular radiation profile of WTe2, which is representative for the semimetallic TMDs. (q) Isotropic angular radiation profile of TaSe2 at 1 keV (dashed blue) and 30 keV (solid green).
Figure 9:

CL of TMD crystals. Normalized CL spectra measured in a range of electron beam energies for a variety of TMD crystals: (a) 2H-WS2, (b) 3R-MoS2, (c) 2H-MoS2, (d) 2H-WSe2, (e) 2H-MoSe2, (f) 1T′-ReS2, (g) 2H-MoTe2, (h) Td-WTe2, (i) 1T-TiS2, (j) 2H-NbSe2, and (k) 2H-TaSe2. Spectral dips corresponding to excitons XA (red triangle) and XB (open magenta triangle) are indicated for relevant TMD crystals. (l–m) Mixed angular radiation profiles of WS2 and WTe2 at 1 keV. (n, p) Spectrally decomposed angular radiation profiles of WS2 at 30 keV into (n) coherent and (p) incoherent CL, which are representative for the semiconducting TMDs. (o) Dipolar angular radiation profile of WTe2, which is representative for the semimetallic TMDs. (q) Isotropic angular radiation profile of TaSe2 at 1 keV (dashed blue) and 30 keV (solid green).

CL response of semiconducting TMD crystals (WS2, MoS2, WSe2, MoSe2, ReS2) exhibits a complex structure (Figure 9a–f), combining coherent and incoherent contributions as revealed from angular spectra measurements. Angular radiation profiles both at 1 keV and 30 keV measured in the broadband spectral range exhibit mixed isotropic-dipole patterns as in Figure 9l for WS2, while the spectral filtering experiments help to decompose them in coherent and incoherent contributions as in Figure 9n and p. CL intensity dominates at wavelengths longer than the expected A exciton line XA in Figure 9a–f (marked by the red filled triangle), and we attribute this emission to electron–hole recombination near the bandgap energy. Therefore, this bandgap-related emission is characterized by incoherent CL with isotropic angular radiation profile, which we demonstrate on the example of a WS2 crystal using a long-pass filter at 800 nm in Figure 9p. In contrast, at the wavelength below XA, CL emission exhibits perfectly dipolar angular radiation profile, as shown for WS2 crystal measured with a band-pass filter at 475–525 nm in Figure 9n. We repeated these optical filtering experiments for all the semiconducting TMD crystals from Figure 9a–f, confirming these CL emission properties (SM Figure S12).

Interestingly, we observe spectral dips at the position of A and B excitons in the semiconducting TMD crystals (indicated by the filled red and open magenta triangles in Figure 9a–f, respectively). We attribute these spectral features to self-absorption of bandgap-related emission in bulk TMD flakes by A and B excitons, which are consistent with refractometry measurements [87] (SM Figure S19). This is further supported by CL experiments of few layer MoS2 on emissive substrates, where spectral dips were observed around the exciton energies [88]. Additionally, similar spectral dips have been reported in CL studies of thin TMD crystal slabs, attributed to strong exciton–photon coupling between cavity modes and excitons [83], [84].

Semimetallic and metallic TMD crystals (MoTe2, WTe2, TiS2, NbSe2) exhibit broadband CL emission (Figure 9g–j), similar to the CL response of metals. This CL emission has the coherent origin as confirmed by the dipolar angular radiation profiles as shown on the example of WTe2 in Figure 9o (see also SM Figure S12). In contrast, the TaSe2 crystal is a metallic TMD that exhibits strong photoluminescence due to interband transitions [89]. We observe a similar response of TaSe2 in CL with strong emission around 675 nm and isotropic angular radiation profile (Figure 9k and q).

5.5 Boron nitride

Boron nitride (BN) exists in various structural forms, with cubic (cBN) and hexagonal (hBN) being the most commonly used in photonics due to their distinct optical and electronic properties. cBN has a structure similar to diamond, while hBN is a van der Waals layered material analogous to graphite. Both cBN and hBN have a wide bandgap (5.9–6.4 eV), which can host a variety of narrow-line emitters operating at room temperature, making the BN platform highly suitable for quantum emitter engineering [90], [91], [92], [93], [94], [95], [96], [97], [98], [99]. The high spatial resolution of CL methods aids in understanding defect-related emission while also providing insights into exciton behavior and phonon interactions at the nanoscale [100], [101], [102], [103], [104]. Additionally, the electron beam can create or activate defects in hBN [97], [98], [99], [104], unlocking potential for deterministic quantum emitter generation and integration with photonic and quantum devices. Furthermore, encapsulating TMD monolayers with hBN has enabled their efficient electron beam excitation [77].

We report the CL response of cBN and various hBN crystals sourced from different suppliers, along with observed narrow-line emission defects (Figure 10). Figure 10a–d present CL spectra of cBN and hBN crystals, which exhibit strong CL emission in the UV spectral region, in good agreement with previous CL studies [100], [101], [102]. We observe an isotropic angular radiation profile for this CL signal, as demonstrated on the example of an hBN crystal from HQ Graphene in Figure 10f (see also SM Figure S13).

Figure 10: 
CL of cBN and hBN crystals. Normalized CL spectra measured in a range of electron beam energies for: (a) micro-crystals of cBN; (b) hBN crystal from HQ Graphene (HQG); (c) hBN crystal from 2D Semiconductors (2DS); (d) hBN power from 2DS. (e) Normalized CL spectra of various defects and color centers measured from cBN (blue), hBN from 2DS (red), hBN from HQG (green), and hBN powder from 2DS (black). (f–g) Isotropic angular radiation profiles measured at 1 keV (dashed blue line) and 30 keV (solid green line) for hBN crystal from HQG and electron-beam-induced defect emission in hBN crystal from 2DS.
Figure 10:

CL of cBN and hBN crystals. Normalized CL spectra measured in a range of electron beam energies for: (a) micro-crystals of cBN; (b) hBN crystal from HQ Graphene (HQG); (c) hBN crystal from 2D Semiconductors (2DS); (d) hBN power from 2DS. (e) Normalized CL spectra of various defects and color centers measured from cBN (blue), hBN from 2DS (red), hBN from HQG (green), and hBN powder from 2DS (black). (f–g) Isotropic angular radiation profiles measured at 1 keV (dashed blue line) and 30 keV (solid green line) for hBN crystal from HQG and electron-beam-induced defect emission in hBN crystal from 2DS.

We examined multiple cBN and hBN crystals to identify defect sites characterized by narrow-line emission, as summarized in Figure 10e. In cBN micro-crystals (light blue in Figure 10e), we observe defect-related emission in the near-IR spectral range around 759 nm (1.634 eV), which may be associated with defects reported in Refs. [90], [93], along with a more prominent defect emission centered around 770 nm (1.610 eV), which, to the best of our knowledge, has not been previously reported. In hBN crystals from 2D Semiconductors (red in Figure 10e), we observe blue defects with a CL spectrum centered around 419 nm and 440 nm, which are related to nitrogen interstitial defects or B centers and can be electron-beam induced [98], [105]. We observe similar defects in hBN crystals from HQ Graphene (green in Figure 10e) and in hBN micropowder from 2D Semiconductors (black in Figure 10e). Finally, we observe a bright defect emission centered around 533 nm in hBN crystals from all suppliers, exhibiting an isotropic angular radiation profile (Figure 10g). Activation of this defect by an electron beam has been reported in Ref. [99], whereas we were able to induce its formation using an electron beam at ca. 1.4 nA in mechanically exfoliated hBN crystals regardless of the sample source (HQ Graphene or 2D Semiconductors).

5.6 Diamond and graphite

Carbon forms a variety of allotropes, such as diamond and graphite, each exhibiting unique and rich optoelectronic properties [106], [107]. Diamond, an insulator with a wide bandgap (5.5 eV), is among the most extensively studied materials in CL microscopy [13], [108]. It serves as a prominent platform for quantum emitter engineering, as its wide bandgap can host stable narrow-line emitters at room temperature, making it valuable for quantum technology applications [109]. Additionally, CL from these defects enables the study of the fundamental physical properties of electron-induced incoherent light emission [25], [36], [110], [111]. Graphite, the hexagonal allotrope of carbon, exhibits semimetallic characteristics and has primarily been studied for its CL properties in geological investigations [112], [113].

We report the CL response of synthetic diamond crystals from ThermoFisher and Adamas Nanotechnologies (Figure 11). The ThermoFisher diamonds are relatively large, measuring tens of microns across, and are not intentionally doped, allowing us to study the bulk CL response of diamond. Their CL spectra, shown in Figure 11a, peak in the UV region beyond our detection range. The bulk CL response is often accompanied by broad defect emission around 430 nm and 515 nm (black and green in Figure 11b), which correspond to the A and green bands, respectively [106]. Occasionally, these crystals also exhibit narrow-line defect or impurity emission, among which we observe emission from H3, N3, and Ni-related centers (marked by red triangles in Figure 11b).

Figure 11: 
CL of diamond and graphite. (a) Normalized CL spectra of a diamond crystal (ThermoFisher), measured at various electron beam energies. Data above 725 nm was excluded due to strong second-order diffraction artifacts. (b) Defect emission in diamond crystals (30–60 μm across, ThermoFisher). (c) Color centers in doped nanodiamonds (<1 μm across, Adamas Technologies). The spectral positions of the emission lines discussed in the main text are marked with red triangles. (d) Normalized CL spectra of graphite crystal, measured at various electron beam energies (see panel (a) for color coding). (e) Isotropic angular radiation profile of NV0 color center in a diamond nanocrystal at 1 keV (dashed blue) and 30 keV (solid green), respectively, measured with a short pass filter at 600 nm. (f) Mixed angular radiation pattern at 1 keV (dashed blue) and dipolar at 30 keV (solid green) of graphite.
Figure 11:

CL of diamond and graphite. (a) Normalized CL spectra of a diamond crystal (ThermoFisher), measured at various electron beam energies. Data above 725 nm was excluded due to strong second-order diffraction artifacts. (b) Defect emission in diamond crystals (30–60 μm across, ThermoFisher). (c) Color centers in doped nanodiamonds (<1 μm across, Adamas Technologies). The spectral positions of the emission lines discussed in the main text are marked with red triangles. (d) Normalized CL spectra of graphite crystal, measured at various electron beam energies (see panel (a) for color coding). (e) Isotropic angular radiation profile of NV0 color center in a diamond nanocrystal at 1 keV (dashed blue) and 30 keV (solid green), respectively, measured with a short pass filter at 600 nm. (f) Mixed angular radiation pattern at 1 keV (dashed blue) and dipolar at 30 keV (solid green) of graphite.

The diamonds from Adamas Nanotechnologies are submicron in size and are intentionally doped with NV and SiV centers at varying densities, enabling the isolation of single-photon emitters. Figure 11c presents the CL spectra of NV0 (574 nm), NV (638 nm), SiV (738 nm), and Si-related (722 nm) centers [36], [106], [114], [115], with some diamonds containing a mixture of these centers. Figure 11e shows a representative isotropic angular radiation profile of the NV0 center (see also SM Figure S14).

In contrast to diamond, the CL of graphite is much dimmer and is the weakest among all investigated materials in our atlas. Figure 11d shows the broadband CL spectrum of a graphite crystal, resembling the transition radiation observed in metals. The corresponding angular radiation profiles in Figure 11f are similar to those observed in metals and metalloids. The angular radiation profile at 30 keV is dipolar (green in Figure 11f), and, together with the broadband spectrum, suggests a coherent CL origin attributed to transition radiation.

5.7 Common glasses

CL methods are widely used for glass characterization, providing insights into their microstructural and optical properties [13], [116]. We report the CL response of SiO2-based glasses in Figure 12. CL emission from SiO2 is complex and originates from the luminescence associated with various defects [116], [117], [118], [119], [120]. Figure 12a presents CL spectra of a thin, 100 nm dry-grown oxide layer on Si, which is commonly used to exfoliate 2D materials, such as graphene and TMD monolayers. The three luminescent peaks in Figure 12a correspond to emission from non-bridging oxygen hole centers around 460 nm [117], [121], self-trapped excitons around 560 nm [121], and oxygen vacancies around 650 nm [117], [121]. Figure 12b shows CL spectra of α-quartz with a dominant peak around 650 nm, attributed to oxygen vacancies [116], [120].

Figure 12: 
CL of common glasses. Normalized CL spectra measured in a range of electron beam energies for: (a) 100 nm-thick layer of SiO2 on bulk Si, (b) α-quartz (SiO2), (c) Menzel coverslip, and (d) BK7 glass. (e) Isotropic angular radiation profiles of BK7 glass at 1 keV (dashed blue) and 30 keV (solid green), representative for all materials in panels (a–d).
Figure 12:

CL of common glasses. Normalized CL spectra measured in a range of electron beam energies for: (a) 100 nm-thick layer of SiO2 on bulk Si, (b) α-quartz (SiO2), (c) Menzel coverslip, and (d) BK7 glass. (e) Isotropic angular radiation profiles of BK7 glass at 1 keV (dashed blue) and 30 keV (solid green), representative for all materials in panels (a–d).

Amorphous SiO2 is frequently modified through the incorporation of additional oxides to tailor its optical properties. We present CL spectra of SiO2-based borosilicate glasses, specifically the commercial brands Menzel-Gläser and BK7, as shown in Figure 12c and d. Assigning these CL spectra to specific defect emissions is challenging due to the complex structural composition of borosilicates, but the observed spectral peaks are generally associated with SiO2-related defects [122]. Finally, Figure 12e shows isotropic angular radiation profiles of BK7, which are representative of all the glasses presented (see also SM Figure S15).

5.8 Silicon-based materials

We report the CL response of silicon-based materials, such as mica, silicon carbide (SiC), and silicon nitride (Si3N4), in Figure 13. Mica, a naturally occurring layered silicate, is used as an atomically flat substrate with a wide range of applications in photonics [123], and has also been employed to study Cherenkov and transition radiation generated in a transmission electron microscope [66]. Here we report CL of Muscovite mica (KO2Al2O3SiO2) in Figure 13a, which has broad spectra spanning the visible to near-IR regions with an isotropic angular radiation profile (SM Figure S16). This is indicative of an incoherent defect-related emission from oxide components in mica; notably, at higher electron beam energies, we observe an additional narrow-line emission around 764 nm.

Figure 13: 
CL of silicon-based materials. Normalized CL spectra measured in a range of electron beam energies for: (a) mica, (b) 4H-SiC, (c) 6H-SiC, (d) α-Si3N4 nanopowder, (e) crystalline β-Si3N4, and (f) 20 nm-thin Si3N4 membrane. (g) Isotropic angular radiation profiles of β-Si3N4 at 1 keV (dashed blue) and 30 keV (solid green), representative for materials in panels (a–e). (h) Isotropic and dipolar angular radiation profiles of 20 nm-thin Si3N4 membrane at 1 keV (dashed blue) and 30 keV (solid green), respectively.
Figure 13:

CL of silicon-based materials. Normalized CL spectra measured in a range of electron beam energies for: (a) mica, (b) 4H-SiC, (c) 6H-SiC, (d) α-Si3N4 nanopowder, (e) crystalline β-Si3N4, and (f) 20 nm-thin Si3N4 membrane. (g) Isotropic angular radiation profiles of β-Si3N4 at 1 keV (dashed blue) and 30 keV (solid green), representative for materials in panels (a–e). (h) Isotropic and dipolar angular radiation profiles of 20 nm-thin Si3N4 membrane at 1 keV (dashed blue) and 30 keV (solid green), respectively.

SiC, a wide-bandgap semiconductor, finds applications in optoelectronics due to its high thermal conductivity and stability. SiC can also host a range of CL-active defect centers [124], [125], [126], such as the silicon vacancy and divacancy complexes, with potential for quantum information and sensing technologies [127]. While SiC exists in various structural polytypes, here we focus on the 4H and 6H phases, which are widely used in photonics. Figure 13b and c show the CL spectra of the 4H and 6H phases, respectively. These SiC phases exhibit similar spectral features, including two broad emission bands centered around 470 nm and 680 nm. The emission band around 470 nm originates from boron impurities in SiC, while the band near 680 nm is associated with basal plane dislocations [125], [126]. Additionally, an emission line appears around 918 nm in the 6H-SiC sample, likely originating from silicon vacancies [124].

Figure 13d–f presents the CL spectra of Si3N4 in various forms: α-Si3N4 micro-powder, compressed crystals of β-Si3N4, and a 20 nm-thin Si3N4 membrane. α- and β-Si3N4 are used in low-loss photonics and support nano-structuring, having a wide bandgap (4.8–5.2 eV) and exhibiting defect-related emission in CL [128], [129], [130], [131]. Figure 13d presents CL spectra of α-Si3N4, with a strong emission band around 730 nm, and a minor peak around 540 nm, which are likely related to defect emission. Our α-Si3N4 sample also exhibits intense photoluminescence, preventing phase characterization via Raman microscopy (see corresponding spectrum in SM). In contrast, β-Si3N4 exhibits CL only in the UV region (Figure 13e), and shows no photoluminescence in the visible region. As a membrane, Si3N4 is commonly used in electron beam spectroscopy as a free-standing platform. With thicknesses down to 5 nm, it enables substrate-free CL measurements, minimizing background signals and improving sensitivity for optical mode characterization [21]. Therefore, its characterization is of particular importance for CL microscopy. Here we report CL of a 20 nm-thin Si3N4 membrane in Figure 13f. At low electron beam energies, it exhibits a CL peak around 620 nm, attributed to defect-related emission; this peak disappears at higher energies, as electrons pass through the membrane without interaction. In contrast, the high energy electrons cause transition radiation at the vacuum-membrane interface [66], which we confirm with angular emission measurements. Figure 13h shows an isotropic angular emission profile for defect emission around 620 nm efficiently excited at 1 keV, whereas at 30 keV, a dipolar angular emission profile characteristic of transition radiation is observed.

5.9 Common photonic materials and optical coatings

Understanding bulk CL emission is crucial for differentiating it from geometry-tailored emission arising from optical modes and resonances or from broadband transition radiation. We report CL response for common photonic materials and optical coatings in Figure 14, covering a broad range of semiconductors and dielectrics employed in photonic and plasmonic devices. We further divide this section into subsections, each focused on a specific material category, including oxides, gallium derivatives, fluorides, and nitrides.

Figure 14: 
CL of common photonic materials and optical coatings. Normalized CL spectra measured in a range of electron beam energies for: (a) ITO, (b) TiO2, (c) ZrO2, (d) Ta2O5, (e) MoO3, (f) LiNbO3, (g) α-Al2O3, (h) Yb2O3, (i) GaN, (j) GaP, (k) MgF2, (l) CaF2, (m) BaF2, and (n) AlN. (o) Isotropic angular radiation profiles of GaN at 1 keV (dashed blue line) and 30 keV (solid green line), representative for all materials in panels (a–n).
Figure 14:

CL of common photonic materials and optical coatings. Normalized CL spectra measured in a range of electron beam energies for: (a) ITO, (b) TiO2, (c) ZrO2, (d) Ta2O5, (e) MoO3, (f) LiNbO3, (g) α-Al2O3, (h) Yb2O3, (i) GaN, (j) GaP, (k) MgF2, (l) CaF2, (m) BaF2, and (n) AlN. (o) Isotropic angular radiation profiles of GaN at 1 keV (dashed blue line) and 30 keV (solid green line), representative for all materials in panels (a–n).

5.9.1 Oxides

We selected widely used oxides in photonics and nanotechnology such as indium tin oxide (ITO), titanium dioxide (TiO2), zirconium dioxide (ZrO2), tantalum pentoxide (Ta2O5), molybdenum trioxide (MoO3), lithium niobate (LiNbO3), aluminum oxide (Al2O3), and ytterbium oxide (Yb2O3), presenting their respective CL spectra along with their interpretation.

Figure 14a shows CL spectra of ITO, which combines optical transparency and electrical conductivity, functions as an epsilon-near-zero (ENZ) material, and offers tunable plasmonic properties in the near IR. The broad CL spectra from ITO are characterized by an emission band centered around 500 nm, attributed to its indirect bandgap and varies between 2 and 3.5 eV, depending on the exact doping composition of ITO [132], [133].

Figure 14b shows CL spectra of anatase-TiO2, which exhibits a high refractive index, wide bandgap, strong photocatalytic activity, and the ability to support localized surface plasmon resonances when doped. The CL from anatase exhibits an emission band centered around 490 nm, likely related to emission from Ti3+ ions, while the tail in the visible region is associated with oxygen vacancy centers and oxygen interstitials [134], [135], [136].

Figure 14c shows CL spectra of ZrO2, a high-temperature, chemically stable ceramic with a high dielectric constant and optical transparency. The CL from ZrO2 exhibits an emission band centered around 485 nm, originating from intrinsic oxygen vacancies within the bandgap [137], [138].

Figure 14d shows CL spectra of Ta2O5, a high-refractive-index dielectric with excellent insulating properties and transparency from the visible to IR range. The CL from Ta2O5 exhibits a broad emission band centered around 560 nm at 30 keV, slightly blueshifting to 540 nm at 1 keV, likely originating from defects within the oxide structure, such as oxygen vacancies or tantalum luminescence centers [139]. As with other oxides, oxygen vacancy formation within the 3.75 eV bandgap can strongly influence its optical response [140], contributing to the observed CL.

Figure 14e shows CL spectra of MoO3, which is characterized by a high refractive index, tunable bandgap, strong birefringence, and the ability to support surface plasmon polaritons. The CL from MoO3 exhibits a broad emission band spanning from the UV to the visible region, originating from its 3 eV bandgap [141], [142].

Figure 14f shows CL spectra of LiNbO3, which is characterized by a high refractive index, strong nonlinear optical coefficients, and excellent electro-optic properties. The CL from LiNbO3 exhibits a broad emission band peaking around 540 nm and a shoulder extending into the near-IR, primarily originating from defect-related emission [143].

Figure 14g shows CL spectra of α-Al2O3, the crystalline polymorph of sapphire. It is characterized by high transparency across a wide spectral range, exceptional hardness, high thermal stability, and excellent dielectric properties. The CL from α-Al2O3 features a band in the UV region related to oxygen vacancies center and a band centered around 750 nm attributed to Ti3+ impurities [144], [145]. The band at 750 nm is broad at 30 keV and becomes narrower as the electron energy decreases. We also observe a narrow emission line around 690 nm, attributed to Cr3+ impurities [144], [145].

Figure 14h shows CL spectra of Yb2O3, which is characterized by a high refractive index, a wide bandgap, efficient luminescence, and a high rare-earth doping potential [146]. The CL from Yb2O3 exhibits a broad spectral band centered in the UV spectral region. Additionally, we observe bright narrow spectral lines at 947 nm, 976 nm, 1,009 nm, and 1,033 nm in the near-IR region; due to their high brightness, the detection range for Yb2O3 was extended up to 1,050 nm in Figure 14h. These lines align well with the emission spectrum of the 4f-electron levels of Yb3+, where the brightest emission at 976 nm corresponds to the F 7 / 2 2 F 5 / 2 2 transition [147].

5.9.2 Gallium derivatives

Gallium (Ga) is primarily used in the form of III–V compound semiconductors, such as the gallium nitride (GaN) and gallium phosphide (GaP). Figure 14i shows CL spectra of GaN, which is characterized by a wide direct bandgap, high thermal conductivity, strong emission in the UV-visible range, and the ability to support surface plasmon polaritons. The CL exhibits a broad emission band centered around 630 nm at 1 keV relating to the ubiquitous defect and impurity emission in GaN [148], [149], [150].

Figure 14j shows CL spectra of GaP, which is characterized by an indirect bandgap with a high refractive index, high optical transparency, and strong dielectric properties, making it attractive material for optical nanoantennas. The CL from GaP exhibits a narrow peak at 548 nm superimposed on a broad band centered around 750–800 nm. The emission peak at 548 nm is characteristic of free exciton recombination from the indirect bandgap of GaP at room temperature [151]. The broadband emission can originate from various impurities and defects [152], [153]. Depending on the electron beam energy in Figure 14j, a different composition of impurities and defects alters the emission spectrum.

5.9.3 Fluorides

Fluoride materials have emerged as an important class of non-oxide glasses, offering a wide optical transmission bandwidth from the UV to IR, a low refractive index, and excellent durability, enabling numerous applications in photonics. We report CL of magnesium fluoride (MgF2), calcium fluoride (CaF2), and barium fluoride (BaF2) in Figure 14k–m. The observed CL emission originates from structural defects and vacancy centers [154], [155], [156].

5.9.4 Nitrides

We have previously presented nitride materials such as BN, Si3N4, and GaN. Here, we conclude with aluminum nitride (AlN), which is widely used in photonics due to its large bandgap of approximately 6.6 eV and broad transmission range [157]. The cathodoluminescence of AlN is characterized by a bright emission coming from the UV spectral region (see Figure 14n) and is usually attributed to the emission from oxygen color centers and aluminum vacancies [145], [148], [158].

Finally, Figure 14o shows the isotropic angular radiation profile of GaN, representative of all materials in this section, and indicating the incoherent origin of CL (see also SM Figure S17).

5.10 Polymeric and resist materials

Polymeric and resist materials are widely used in photonics, plasmonics, and nanotechnology fabrication as patternable substrates for lithography, enabling the creation of fine nanoscale features and complex optical structures. The materials selected here include polydimethylsiloxane (PDMS), poly(bisphenol A carbonate) or polycarbonate (PC), carbon tape (SPI Supplies), hydrogen silsesquioxane (HSQ), poly(methyl methacrylate) (PMMA), and the commercial photoresist SU8-2000 (Kayaku Advanced Materials). Awareness of their respective CL signals is of high importance, as these materials may serve as components in photonic and plasmonic devices or appear as residuals within them. Reliable CL measurements in polymeric materials require a tailored approach to prevent rapid degradation from extended electron beam exposure, which can significantly reduce signal intensity [159], [160]. An effective approach to mitigate this challenge is scanning a larger surface area of the polymer, capturing luminescence over a wider region to preserve signal quality while minimizing material damage.

The CL in polymers can arise from various mechanisms, one of which involves the formation of excitonic states that, upon relaxation to their ground state, generate light [159], [161]. The electron beam may also induce impact ionization of molecules, leading to luminescent recombination with secondary and backscattered electrons [161], [162], or the formation of a new luminescent molecule as a result of a chemical transformation [163]. These mechanisms exclude coherent CL processes in the emission from polymers that result in completely isotropic emission profiles in the angular resolved emission (see Figure 15g and SM Figure S18). CL measurements can induce structural changes in polymer resists, such as chain scission and crosslinking, potentially altering peak positions, intensities, or introducing new spectral features. To minimize beam-induced degradation, all measurements were performed using fuzzing (raster scanning within each pixel) combined with used beam currents (1.4 nA) and short acquisition times (1 s per 5 × 5 μm2 area), corresponding to a calculated dose below 0.06 nC/μm2 – well within the safe regime under electron irradiation [164]. To further mitigate cumulative effects, we shifted to adjacent sample regions between acquisitions.

Figure 15: 
CL of polymeric and resist materials. Normalized CL spectra measured in a range of electron beam energies for: (a) PDMS, (b) PC, (c) carbon tape, (d) HSQ, (e) PMMA, and (f) SU8. (g) Isotropic angular radiation profiles of PDMS at 1 keV (dashed blue) and 30 keV (solid green), representative for all materials in panels (a–f).
Figure 15:

CL of polymeric and resist materials. Normalized CL spectra measured in a range of electron beam energies for: (a) PDMS, (b) PC, (c) carbon tape, (d) HSQ, (e) PMMA, and (f) SU8. (g) Isotropic angular radiation profiles of PDMS at 1 keV (dashed blue) and 30 keV (solid green), representative for all materials in panels (a–f).

Figure 15 presents CL response of selected polymeric and resist materials. Figure 15a shows the CL of PDMS, a silicon-based polymer with high optical transparency, elasticity, and heat resistance. PDMS is widely used for the exfoliation of TMD monolayers, graphene, and 2D material assembly [165], [166], as well as for the fabrication of layered organic optoelectronic devices [167]. PDMS exhibits bright and broad CL, with a peak around 595 nm and a shoulder centered around 460 nm. Figure 15b shows the CL from PC, a thermoplastic polymer containing carbonate groups, commonly used in the pick-up assembly of van der Waals heterostructures [165]. The CL of PC is characterized by a broad peak around 530 nm. Carbon tape is a conductive carbon–acrylic mixture used for mounting samples in electron beam-based techniques. Figure 15c shows the CL signal of carbon tape, which exhibits a broad emission band centered around 590 nm. Figure 15d shows the CL response of HSQ, a resist material with a cage-like structure and chemical composition of [HSiO3/2]2n [168]. The CL spectra of HSQ in Figure 15d exhibit features as other SiO2 derivatives in Figure 12. CL from HSQ has been observed in nanostructures used as a platform for generating sub-keV electron beam-induced Smith–Purcell radiation [169]. PMMA is a thermoplastic resist material that is used in photo and electron beam lithography [170]. The CL from PMMA is shown in Figure 15e, exhibiting bright emission in the UV spectral region and extending into the visible region. We also observe a local emission maximum around 560 nm, attributed to emissions from C=C bonds formed due to electron irradiation [163]. Figure 15f shows CL spectra of SU8-2000, a photo- and electron-beam resist material [171]. The CL from SU8 features a broad emission band centered around 565 nm.

6 Cathodoluminescence intensity

Now we turn our discussion to the response of CL intensity to electron beam current and energy. The dependence of CL intensity on electron beam current is typically linear [13], [172], [173], as higher currents increase the probability of electron interactions with the material, leading to brighter luminescence. However, this trend may deviate depending on the CL mechanism, exhibiting sub- as well as super-linear trends [149], [174], [175]. The relationship between CL intensity and electron beam energy can follow a more complex trend. At low beam energies, CL intensity is primarily influenced by shallow electron penetration and scattering effects. In contrast, at higher energies, a larger material volume contributes to radiative recombination, while deeper electron penetration reduces energy loss to backscattered and secondary electrons [173]. Moreover, at higher electron beam energies, photons are generated deeper within the material, increasing their travel distances and the likelihood of reabsorption. As a result, CL intensity may saturate or even decrease due to self-absorption effects, particularly in materials with high optical absorption coefficients [176]. Understanding CL intensity dependencies on current and energy is necessary for optimizing CL microscopy, as they influence the resolution, sensitivity, and interpretability of the CL signal.

We investigate the dependence of CL intensity on electron beam current and energy for Pt, an hBN-encapsulated WSe2 monolayer, a bulk 3R-MoS2 crystal, and GaP. The CL spectra of these materials at 10 keV are presented in Figure 16a–d, using comparable intensity scales. These materials were selected as they represent the primary sources of CL, including transition radiation, excitonic emission, bandgap-related emission, and defect-related emission. Figure 16a shows a typical broadband CL spectrum of transition radiation measured from bulk Pt, fitted with a function inversely proportional to the emitted wavelength [66], i.e., I CL(λ) ∼ 1/λ. This fitting function allows us to extract the CL intensity I CL by integrating over the wavelength range from 400 nm to 950 nm. Figure 16e shows the evolution of the obtained CL intensity with electron beam current I at a fixed electron beam energy of 10 keV. We fit the data using a power law function of the form I CL ( I ) ( I / I 0 ) m I TR , where I 0 denotes the reference current. Figure 16i presents the results of CL intensity measurements for Pt where the electron beam current is fixed at 1.4 nA while the electron beam energy E is varied. Likewise, we fit the obtained CL intensity dynamics using a power law function of the form I CL ( E ) ( E / E 0 ) m E TR , where E 0 denotes the reference energy. The CL intensity fits for electron beam current and energy dependencies yield the scaling exponents m, summarized for all tested materials in Table 1. For transition radiation, we observe a linear dependence of CL intensity on both electron beam current and energy, with the scaling exponent m close to 1.

Figure 16: 
CL intensity at increasing electron beam current and energy. Spectral fit decomposition of CL from (a) Pt showing pure transition radiation, (b) hBN-encapsulated WSe2 monolayer where peaks correspond to the neutral exciton X0 (blue) and trion XT (light green), (c) bulk 3R-MoS2 with mix of transition radiation (magenta), direct (dashed green) and indirect (solid green) bandgap emission, and absorption peaks for XA (solid blue) and XB (dash-dotted black), and (d) GaP with indirect bandgap (green) and defect emission (black). The cumulative spectral fits are shown in red. Evolution of CL intensity with electron beam current (e–h) and voltage (i–l) for (e, i) transition radiation in Pt (magenta diamonds), (f, j) excitonic emission in WSe2 monolayer (blue squares), (g, k) bulk 3R-MoS2 with mixed transition radiation (magenta diamonds) and bandgap-related emission (green triangles), and (h, l) GaP with mixed indirect bandgap (green triangles) and defect emission (orange circles). The red lines represent power law fits; see text for details.
Figure 16:

CL intensity at increasing electron beam current and energy. Spectral fit decomposition of CL from (a) Pt showing pure transition radiation, (b) hBN-encapsulated WSe2 monolayer where peaks correspond to the neutral exciton X0 (blue) and trion XT (light green), (c) bulk 3R-MoS2 with mix of transition radiation (magenta), direct (dashed green) and indirect (solid green) bandgap emission, and absorption peaks for XA (solid blue) and XB (dash-dotted black), and (d) GaP with indirect bandgap (green) and defect emission (black). The cumulative spectral fits are shown in red. Evolution of CL intensity with electron beam current (e–h) and voltage (i–l) for (e, i) transition radiation in Pt (magenta diamonds), (f, j) excitonic emission in WSe2 monolayer (blue squares), (g, k) bulk 3R-MoS2 with mixed transition radiation (magenta diamonds) and bandgap-related emission (green triangles), and (h, l) GaP with mixed indirect bandgap (green triangles) and defect emission (orange circles). The red lines represent power law fits; see text for details.

Table 1:

Power law fitting of CL intensity evolution at increasing electron beam current (m I) and energy (m E). The superscript in scaling exponent m stands for emission of transition radiation (TR), excitons (X), bandgap-related emission (BG), and defects (D).

Material m I TR  m E TR m I X m E X m I BG m E BG m I D m E D
Pt 1.02 0.92
WSe2 monolayer 1.06 −0.65
Bulk 3R-MoS2 0.96 1.06 0.70 1.90
GaP 0.91 2.44 0.71 1.56

Figure 16b presents a narrow CL spectrum for exciton recombination in an hBN-encapsulated WSe2 monolayer on a Si substrate. THe hBN-WSe2 heterostructure is needed to generate CL because the monolayer is too thin to capture sufficient electron beam energy directly, so the electron beam excites carriers in the wide bandgap hBN, which then recombine through the monolayer to produce CL [77], [80]. To extract the CL intensity, we fit the spectrum with a two-Gaussian function, where the two components represent the neutral exciton and trion contributions to the CL spectrum [177]. Figure 16f and j present the results of CL intensity measurements at fixed electron beam energy and current, respectively. The power law fit in Figure 16f reveals a linear increase in exciton emission intensity with electron beam current. In contrast, Figure 16j shows a decrease in exciton emission intensity with increasing electron beam energy, also following a power law but with a negative exponent. The excitation of the hBN-WSe2 heterostructure is less efficient at higher electron energies because electrons pass through it without significant interaction and deposit their energy deeper in the Si substrate, where it does not contribute to monolayer excitation.

Figure 16c presents the complex CL spectrum of a bulk 3R-MoS2 crystal, similar to that reported in Figure 9b. Angular spectrum measurements, shown in Figure 9n and p (see SI Figure S12), confirm that the blue part of the emission spectrum has a coherent origin, while the red part originates from incoherent processes. Consequently, we attribute the blue part of the CL spectrum to transition radiation, the red part to the direct and indirect bandgap recombination – both of which can coexist in bulk 3R-MoS2 – and the spectral dips to absorption by A and B excitons [87]. Therefore, we fit the complex CL spectrum in Figure 16c as a sum of contributions from (i) transition radiation, modeled as 1 / λ (magenta), (ii) bandgap-related transitions, represented by two Gaussian peaks (solid and dashed green), and (iii) A and B exciton absorption peaks, modeled as negative Gaussians (solid blue and dashed black, respectively). This spectral decomposition enables us to distinguish between the coherent (transition radiation) and incoherent (bandgap-related emission) contributions to the CL intensity, plotted in Figure 16g and k by magenta diamonds and green triangles, respectively. We apply a power law fit and obtain a linear dependence of transition radiation intensity on the electron beam current and energy in Figure 16g and k, which agrees well with the results for bulk Pt. The intensity of bandgap-related emission exhibits sub-linear dependence on current and super-linear dependence on energy (Table 1).

Figure 16d presents the CL spectrum of GaP, where CL intensity originates from the indirect bandgap emission around 546 nm and broad defect emission. We fit the CL spectrum in Figure 16d as the sum of a Gaussian for the indirect bandgap emission (green) and four Gaussians for the broad defect emission (orange). Figure 16h and l present the results of spectral decomposition highlighting the contributions from indirect bandgap emission (green triangles) and defect emission (orange circles). The evolution of CL intensity for indirect bandgap and defect emission contributions with increasing electron beam current and energy are fitted with a power law, a sub-linear intensity dependence on current and a super-linear dependence on energy (Table 1). At higher acceleration voltages, the intensity of indirect bandgap emission saturates, a trend previously observed in doped GaP samples [178].

In summary, the CL intensity of transition radiation shows a clear linear dependence on both electron beam current and energy. This behavior occurs because transition radiation is a coherent process that scales directly with the number of electrons (beam current) and their energy, as higher-energy electrons generate more photons by more effectively perturbing the electromagnetic field at the material interface. Similarly, excitonic emission intensity increases linearly with current, as a higher beam current provides more electrons to excite the sample. However, as electron beam energy increases, excitonic emission intensity in thin heterostructures decreases due to reduced excitation efficiency. At higher energies, electrons pass through the thin sample with minimal interaction, reducing the excitation efficiency of the hBN-encapsulated monolayer. In contrast, the CL intensity of bandgap- and defect-related emission exhibits a super-linear increase with electron beam energy, likely due to enhanced excitation efficiency. Higher-energy electrons penetrate deeper into the material, exciting a larger volume and potentially generating additional photons through secondary processes. However, the increased penetration depth could lead to self-absorption effects, resulting in a saturation of the intensity trend.

Finally, we report the spectrally integrated CL intensity for a wide selection of materials under identical electron beam parameters of 1.4 nA and 10 kV. Each material was measured at five different points on the sample, with the setup realigned from scratch each time, allowing us to determine the mean CL intensity and its standard deviation, shown as error bars in Figure 17. As a reference, we used a ZnO powder, which commonly employed for alignment and calibration of CL systems, with its intensity indicated as a red-shaded area in Figure 17. Additionally, we report CL intensity for typical carbon tape used in CL microscopy. Reliable CL intensity values could not be obtained for polymeric and resist materials due to the specific CL measurement procedure and their rapid degradation under electron beam exposure.

Figure 17: 
Comparison of CL intensity for investigated materials. Spectrally integrated CL intensity measured at ca. 1.4 nA and 10 keV. The error bar represents one standard deviation. The horizontal red-shaded area serves as a reference, representing the response of ZnO powder under identical acquisition and electron beam parameters.
Figure 17:

Comparison of CL intensity for investigated materials. Spectrally integrated CL intensity measured at ca. 1.4 nA and 10 keV. The error bar represents one standard deviation. The horizontal red-shaded area serves as a reference, representing the response of ZnO powder under identical acquisition and electron beam parameters.

7 Conclusions

This work presents a comprehensive atlas of CL response for a broad range of materials relevant to photonic and plasmonic applications. Through Monte Carlo simulations, we demonstrate how variations in electron beam energy and material density affect electron penetration and energy deposition profiles. By systematically characterizing materials under electron beam excitation across a range of energies, we provide detailed insights into the origins of coherent and incoherent CL. Our results highlight the distinct CL properties of metals, metalloids, topological insulators, TMDs, boron nitride, carbon-based materials, commonly used photonic materials and optical coatings, and polymers. Our findings aid in the selection of materials and substrates for advanced photonic and plasmonic experiments in an electron microscope. Additionally, this atlas serves as a foundational resource for future CL studies, offering guidance on experimental parameters for optimal material characterization. This resource ultimately paves the way for novel applications in photonics and plasmonics, fostering innovative research in these fields.


Corresponding author: Sergii Morozov, POLIMA – Center for Polariton-Driven Light–Matter Interactions, University of Southern Denmark, Campusvej 55, DK-5230 Odense M, Denmark, E-mail: 

Award Identifier / Grant number: DNRF165

Acknowledgments

We thank Dr. Catarina Ferreira for her comments and suggestions during the revision of the manuscript.

  1. Research funding: The Center for Polariton-driven Light-Matter Interactions (POLIMA) is sponsored by the Danish National Research Foundation (Project No. DNRF165).

  2. Author contributions: The idea of an atlas was conceived by SE and SM, who, along with YL and TY, contributed to the sample preparations. Cathodoluminescence spectroscopy was carried out by SE and SM, while YL and TY performed Raman spectroscopy. The project was supervised by SM and NAM. All authors contributed to analyzing the data and writing the manuscript. All authors have accepted responsibility for the entire content of this manuscript and consented to its submission to the journal, reviewed all the results and approved the final version of the manuscript.

  3. Conflict of interest: Authors state no conflicts of interest.

  4. Data availability: The datasets generated and/or analyzed during the current study are available from the corresponding author upon reasonable request.

References

[1] B. G. Yacobi and D. B. Holt, “Cathodoluminescence scanning electron microscopy of semiconductors,” J. Appl. Phys., vol. 59, no. 4, pp. R1–R24, 1986. https://doi.org/10.1063/1.336491.Search in Google Scholar

[2] T. Coenen, S. V. den Hoedt, and A. Polman, “A new cathodoluminescence system for nanoscale optics, materials science, and geology,” Micros. Today, vol. 24, no. 3, pp. 12–19, 2016. https://doi.org/10.1017/s1551929516000377.Search in Google Scholar

[3] T. Coenen and N. M. Haegel, “Cathodoluminescence for the 21st century: learning more from light,” Appl. Phys. Rev., vol. 4, no. 3, p. 031103, 2017. https://doi.org/10.1063/1.4985767.Search in Google Scholar

[4] J. Christopher, M. Taleb, A. Maity, M. Hentschel, H. Giessen, and N. Talebi, “Electron-driven photon sources for correlative electron-photon spectroscopy with electron microscopes,” Nanophotonics, vol. 9, no. 15, pp. 4381–4406, 2020. https://doi.org/10.1515/nanoph-2020-0263.Search in Google Scholar

[5] C. Roques-Carmes, et al.., “Free-electron–light interactions in nanophotonics,” Appl. Phys. Rev., vol. 10, no. 1, p. 011303, 2023. https://doi.org/10.1063/5.0118096.Search in Google Scholar

[6] F. J. García de Abajo, “Optical excitations in electron microscopy,” Rev. Mod. Phys., vol. 82, no. 1, pp. 209–275, 2010. https://doi.org/10.1103/revmodphys.82.209.Search in Google Scholar

[7] F. J. García de Abajo and V. Di Giulio, “Optical excitations with electron beams: challenges and opportunities,” ACS Photonics, vol. 8, no. 4, pp. 945–974, 2021. https://doi.org/10.1021/acsphotonics.0c01950.Search in Google Scholar PubMed PubMed Central

[8] L. J. Brillson, “Applications of depth-resolved cathodoluminescence spectroscopy,” J. Phys. D: Appl. Phys., vol. 45, no. 18, p. 183001, 2012. https://doi.org/10.1088/0022-3727/45/18/183001.Search in Google Scholar

[9] M. Kociak and L. F. Zagonel, “Cathodoluminescence in the scanning transmission electron microscope,” Ultramicroscopy, vol. 176, pp. 112–131, 2017, https://doi.org/10.1016/j.ultramic.2017.03.014.Search in Google Scholar PubMed

[10] S. Meuret, et al.., “Complementary cathodoluminescence lifetime imaging configurations in a scanning electron microscope,” Ultramicroscopy, vol. 197, pp. 28–38, 2019, https://doi.org/10.1016/j.ultramic.2018.11.006.Search in Google Scholar PubMed

[11] M. Yoshikawa, Advanced Optical Spectroscopy Techniques for Semiconductors: Raman, Infrared, and Cathodoluminescence Spectroscopy, Cham, Switzerland, Springer International Publishing, 2023.10.1007/978-3-031-19722-2Search in Google Scholar

[12] Z. Dang, Y. Chen, and Z. Fang, “Cathodoluminescence nanoscopy: state of the art and beyond,” ACS Nano, vol. 17, no. 24, pp. 24431–24448, 2023. https://doi.org/10.1021/acsnano.3c07593.Search in Google Scholar PubMed

[13] B. G. Yacobi and D. B. Holt, Cathodoluminescence Microscopy of Inorganic Solids, New York, USA, Springer US, 1990.10.1007/978-1-4757-9595-0Search in Google Scholar

[14] H. Guthrey and J. Moseley, “A review and perspective on cathodoluminescence analysis of halide perovskites,” Adv. Energy Mater., vol. 10, no. 26, p. 1903840, 2020. https://doi.org/10.1002/aenm.201903840.Search in Google Scholar

[15] A. Polman, M. Kociak, and F. J. García de Abajo, “Electron-beam spectroscopy for nanophotonics,” Nat. Mater., vol. 18, no. 11, pp. 1158–1171, 2019. https://doi.org/10.1038/s41563-019-0409-1.Search in Google Scholar PubMed

[16] R. Gómez-Medina, N. Yamamoto, M. Nakano, and F. J. García de Abajo, “Mapping plasmons in nanoantennas via cathodoluminescence,” New J. Phys., vol. 10, no. 10, p. 105009, 2008. https://doi.org/10.1088/1367-2630/10/10/105009.Search in Google Scholar

[17] T. Coenen, E. J. R. Vesseur, and A. Polman, “Angle-resolved cathodoluminescence spectroscopy,” Appl. Phys. Lett., vol. 99, no. 14, p. 143103, 2011. https://doi.org/10.1063/1.3644985.Search in Google Scholar

[18] B. J. M. Brenny, T. Coenen, and A. Polman, “Quantifying coherent and incoherent cathodoluminescence in semiconductors and metals,” J. Appl. Phys., vol. 115, no. 24, p. 244307, 2014. https://doi.org/10.1063/1.4885426.Search in Google Scholar

[19] S. Mignuzzi, et al.., “Energy–momentum cathodoluminescence spectroscopy of dielectric nanostructures,” ACS Photonics, vol. 5, no. 4, pp. 1381–1387, 2018. https://doi.org/10.1021/acsphotonics.7b01404.Search in Google Scholar

[20] M. Scheucher, T. Schachinger, T. Spielauer, M. Stöger-Pollach, and P. Haslinger, “Discrimination of coherent and incoherent cathodoluminescence using temporal photon correlations,” Ultramicroscopy, vol. 241, p. 113594, 2022, https://doi.org/10.1016/j.ultramic.2022.113594.Search in Google Scholar PubMed

[21] S. Fiedler, et al.., “Disentangling cathodoluminescence spectra in nanophotonics: particle eigenmodes vs transition radiation,” Nano Lett., vol. 22, no. 6, pp. 2320–2327, 2022. https://doi.org/10.1021/acs.nanolett.1c04754.Search in Google Scholar PubMed

[22] S. Yanagimoto, N. Yamamoto, T. Yuge, T. Sannomiya, and K. Akiba, “Unveiling the nature of cathodoluminescence from photon statistics,” Commun. Phys., vol. 8, no. 56, 2025, https://doi.org/10.1038/s42005-025-01978-6.Search in Google Scholar

[23] D. Drouin, A. R. Couture, D. Joly, X. Tastet, V. Aimez, and R. Gauvin, “CASINO V2.42 – a fast and easy-to-use modeling tool for scanning electron microscopy and microanalysis users,” Scanning, vol. 29, no. 3, pp. 92–101, 2007. https://doi.org/10.1002/sca.20000.Search in Google Scholar PubMed

[24] C. B. Norris, C. E. Barnes, and W. Beezhold, “Depth-resolved cathodoluminescence in undamaged and ion-implanted GaAs, ZnS, and CdS,” J. Appl. Phys., vol. 44, no. 7, pp. 3209–3221, 1973. https://doi.org/10.1063/1.1662736.Search in Google Scholar

[25] L. H. G. Tizei and M. Kociak, “Spatially resolved quantum nano-optics of single photons using an electron microscope,” Phys. Rev. Lett., vol. 110, no. 15, p. 153604, 2013. https://doi.org/10.1103/physrevlett.110.153604.Search in Google Scholar PubMed

[26] L. Francaviglia, et al.., “Optimizing cathodoluminescence microscopy of buried interfaces through nanoscale heterostructure design,” Nanoscale, vol. 14, no. 20, pp. 7569–7578, 2022. https://doi.org/10.1039/d1nr08082b.Search in Google Scholar PubMed

[27] P. Hovington, D. Drouin, R. Gauvin, D. C. Joy, and N. Evans, “CASINO: a new Monte Carlo code in C language for electron beam interactions – part III: stopping power at low energies,” Scanning, vol. 19, no. 1, pp. 29–35, 1997. https://doi.org/10.1002/sca.4950190104.Search in Google Scholar

[28] P. Hovington, D. Drouin, and R. Gauvin, “Casino: CASINO: a new Monte Carlo code in C language for electron beam interactions – part I: description of the program,” Scanning, vol. 19, no. 1, pp. 1–14, 1997. https://doi.org/10.1002/sca.4950190101.Search in Google Scholar

[29] D. Drouin, P. Hovington, and R. Gauvin, “Casino: CASINO: a new Monte Carlo code in C language for electron beam interactions – part II: tabulated values of the Mott cross section,” Scanning, vol. 19, no. 1, pp. 20–28, 1997. https://doi.org/10.1002/sca.4950190103.Search in Google Scholar

[30] D. C. Joy and S. Luo, “An empirical stopping power relationship for low-energy electrons,” Scanning, vol. 11, no. 4, pp. 176–180, 1989. https://doi.org/10.1002/sca.4950110404.Search in Google Scholar

[31] L. Reimer, Scanning Electron Microscopy: Physics of Image Formation and Microanalysis, Berlin, Germany, Springer Berlin Heidelberg, 1998.10.1007/978-3-540-38967-5Search in Google Scholar

[32] R. F. Egerton, Electron Energy-Loss Spectroscopy in the Electron Microscope, New York, USA, Springer US, 2011.10.1007/978-1-4419-9583-4Search in Google Scholar

[33] K. Kanaya and S. Okayama, “Penetration and energy-loss theory of electrons in solid targets,” J. Phys. D: Appl. Phys., vol. 5, no. 1, pp. 43–58, 1972. https://doi.org/10.1088/0022-3727/5/1/308.Search in Google Scholar

[34] L. Reimer and H. Drescher, “Secondary electron emission of 10–100 kev electrons from transparent films of Al and Au,” J. Phys. D: Appl. Phys., vol. 10, no. 5, pp. 805–815, 1977. https://doi.org/10.1088/0022-3727/10/5/022.Search in Google Scholar

[35] E. H. Darlington and V. E. Cosslett, “Backscattering of 0.5–10 keV electrons from solid targets,” J. Phys. D: Appl. Phys., vol. 5, no. 11, pp. 1969–1981, 1972. https://doi.org/10.1088/0022-3727/5/11/305.Search in Google Scholar

[36] S. Fiedler, et al.., “Sub-to-super-Poissonian photon statistics in cathodoluminescence of color center ensembles in isolated diamond crystals,” Nanophotonics, vol. 12, no. 12, pp. 2231–2237, 2023. https://doi.org/10.1515/nanoph-2023-0204.Search in Google Scholar PubMed PubMed Central

[37] A. Tselin, et al.., “Exploring the dielectric function of platinum,” Phys. Rev. B, vol. 110, no. 19, p. 195130, 2024. https://doi.org/10.1103/physrevb.110.195130.Search in Google Scholar

[38] K. J. Palm, J. B. Murray, T. C. Narayan, and J. N. Munday, “Dynamic optical properties of metal hydrides,” ACS Photonics, vol. 5, no. 11, pp. 4677–4686, 2018. https://doi.org/10.1021/acsphotonics.8b01243.Search in Google Scholar

[39] R. L. Olmon, et al.., “Optical dielectric function of gold,” Phys. Rev. B, vol. 86, no. 23, p. 235147, 2012. https://doi.org/10.1103/physrevb.86.235147.Search in Google Scholar

[40] P. Goldsmith and J. V. Jelley, “Optical transition radiation from protons entering metal surfaces,” Philos. Mag., vol. 4, no. 43, pp. 836–844, 1959. https://doi.org/10.1080/14786435908238241.Search in Google Scholar

[41] L. S. Cram and E. T. Arakawa, “Bremsstrahlung and transition radiation from Ag foils bombarded by non-normal incidence electrons,” Phys. Rev., vol. 153, no. 2, pp. 455–459, 1967. https://doi.org/10.1103/physrev.153.455.Search in Google Scholar

[42] L. Wartski, S. Roland, J. Lasalle, M. Bolore, and G. Filippi, “Interference phenomenon in optical transition radiation and its application to particle beam diagnostics and multiple-scattering measurements,” J. Appl. Phys., vol. 46, no. 8, pp. 3644–3653, 1975. https://doi.org/10.1063/1.322092.Search in Google Scholar

[43] B. G. Papanicolaou, J. M. Chen, and C. A. Papageorgopoulos, “Cathodoluminescence of copper and nickel surfaces,” J. Phys. Chem. Solids, vol. 37, no. 4, pp. 403–409, 1976. https://doi.org/10.1016/0022-3697(76)90021-4.Search in Google Scholar

[44] L. Brillson, H. Richter, M. Slade, B. Weinstein, and Y. Shapira, “Cathodoluminescence spectroscopy studies of laser-annealed metal-semiconductor interfaces,” J. Vac. Sci. Technol. A, vol. 3, no. 3, pp. 1011–1015, 1985. https://doi.org/10.1116/1.573110.Search in Google Scholar

[45] L. J. Brillson, R. E. Viturro, J. L. Shaw, and H. W. Richter, “Cathodoluminescence spectroscopy of metal–semiconductor interface structures,” J. Vac. Sci. Technol. A, vol. 6, no. 3, pp. 1437–1445, 1988. https://doi.org/10.1116/1.575722.Search in Google Scholar

[46] R. E. Viturro, et al.., “Arsenic- and metal-induced GaAs interface states by low-energy cathodoluminescence spectroscopy,” J. Vac. Sci. Technol. B, vol. 6, no. 4, pp. 1397–1402, 1988. https://doi.org/10.1116/1.584229.Search in Google Scholar

[47] M. V. Bashevoy, F. Jonsson, A. V. Krasavin, N. I. Zheludev, Y. Chen, and M. I. Stockman, “Generation of traveling surface plasmon waves by free-electron impact,” Nano Lett., vol. 6, no. 6, pp. 1113–1115, 2006. https://doi.org/10.1021/nl060941v.Search in Google Scholar PubMed

[48] N. Yamamoto, K. Araya, and F. J. García de Abajo, “Photon emission from silver particles induced by a high-energy electron beam,” Phys. Rev. B, vol. 64, no. 20, p. 205419, 2001. https://doi.org/10.1103/physrevb.64.205419.Search in Google Scholar

[49] R. A. Ferrell, “Predicted radiation of plasma oscillations in metal films,” Phys. Rev., vol. 111, no. 5, pp. 1214–1222, 1958. https://doi.org/10.1103/physrev.111.1214.Search in Google Scholar

[50] J. T. van Wijngaarden, E. Verhagen, A. Polman, C. E. Ross, H. J. Lezec, and H. A. Atwater, “Direct imaging of propagation and damping of near-resonance surface plasmon polaritons using cathodoluminescence spectroscopy,” Appl. Phys. Lett., vol. 88, no. 22, p. 221111, 2006. https://doi.org/10.1063/1.2208556.Search in Google Scholar

[51] N. Yamamoto, M. Nakano, and T. Suzuki, “Light emission by surface plasmons on nanostructures of metal surfaces induced by high-energy electron beams,” Surf. Interface Anal., vol. 38, nos. 12–13, pp. 1725–1730, 2006. https://doi.org/10.1002/sia.2419.Search in Google Scholar

[52] E. J. R. Vesseur, R. de Waele, M. Kuttge, and A. Polman, “Direct observation of plasmonic modes in Au nanowires using high-resolution cathodoluminescence spectroscopy,” Nano Lett., vol. 7, no. 9, pp. 2843–2846, 2007. https://doi.org/10.1021/nl071480w.Search in Google Scholar PubMed

[53] N. Yamamoto, “Cathodoluminescence of surface plasmon induced light emission,” in The Transmission Electron Microscope, chapter 15, K. Maaz, Ed., Rijeka, IntechOpen, 2012.10.5772/35244Search in Google Scholar

[54] M. W. Knight, et al.., “Aluminum plasmonic nanoantennas,” Nano Lett., vol. 12, no. 11, pp. 6000–6004, 2012. https://doi.org/10.1021/nl303517v.Search in Google Scholar PubMed

[55] T. Coenen, F. B. Arango, A. F. Koenderink, and A. Polman, “Directional emission from a single plasmonic scatterer,” Nat. Commun., vol. 5, p. 3250, 2014, https://doi.org/10.1038/ncomms4250.Search in Google Scholar PubMed

[56] F.-P. Schmidt, A. Losquin, M. Horák, U. Hohenester, M. Stöger-Pollach, and J. R. Krenn, “Fundamental limit of plasmonic cathodoluminescence,” Nano Lett., vol. 21, no. 1, pp. 590–596, 2020. https://doi.org/10.1021/acs.nanolett.0c04084.Search in Google Scholar PubMed PubMed Central

[57] C. Chi, et al.., “Selectively steering photon spin angular momentum via electron-induced optical spin Hall effect,” Sci. Adv., vol. 7, no. 18, p. eabf8011, 2021. https://doi.org/10.1126/sciadv.abf8011.Search in Google Scholar PubMed PubMed Central

[58] D. T. Vu, N. Matthaiakakis, and T. Sannomiya, “Plasmonic nanopyramid array enhancing luminescence of MoS2 investigated by cathodoluminescence,” Adv. Opt. Mater., vol. 11, no. 20, 2023, https://doi.org/10.1002/adom.202300598.Search in Google Scholar

[59] E. Akerboom, V. Di Giulio, N. J. Schilder, F. J. García de Abajo, and A. Polman, “Free electron–plasmon coupling strength and near-field retrieval through electron energy-dependent cathodoluminescence spectroscopy,” ACS Nano, vol. 18, no. 21, pp. 13560–13567, 2024. https://doi.org/10.1021/acsnano.3c12972.Search in Google Scholar PubMed PubMed Central

[60] M. Kociak and O. Stéphan, “Mapping plasmons at the nanometer scale in an electron microscope,” Chem. Soc. Rev., vol. 43, no. 11, p. 3865, 2014. https://doi.org/10.1039/c3cs60478k.Search in Google Scholar PubMed

[61] A. Losquin, et al.., “Unveiling nanometer scale extinction and scattering phenomena through combined electron energy loss spectroscopy and cathodoluminescence measurements,” Nano Lett., vol. 15, no. 2, pp. 1229–1237, 2015. https://doi.org/10.1021/nl5043775.Search in Google Scholar PubMed

[62] J. K. Day, N. Large, P. Nordlander, and N. J. Halas, “Standing wave plasmon modes interact in an antenna-coupled nanowire,” Nano Lett., vol. 15, no. 2, pp. 1324–1330, 2015. https://doi.org/10.1021/nl5045428.Search in Google Scholar PubMed

[63] K. Singh, et al.., “Cathodoluminescence as a probe of the optical properties of resonant apertures in a metallic film,” Beilstein J. Nanotechnol., vol. 9, pp. 1491–1500, 2018, https://doi.org/10.3762/bjnano.9.140.Search in Google Scholar PubMed PubMed Central

[64] P. H. Bittorf, F. Davoodi, M. Taleb, and N. Talebi, “Mapping optical Bloch modes of a plasmonic square lattice in real and reciprocal spaces using cathodoluminescence spectroscopy,” Opt. Express, vol. 29, no. 21, p. 34328, 2021. https://doi.org/10.1364/oe.437984.Search in Google Scholar PubMed

[65] R. Lingstädt, et al.., “Electron beam induced circularly polarized light emission of chiral gold nanohelices,” ACS Nano, vol. 17, no. 24, pp. 25496–25506, 2023. https://doi.org/10.1021/acsnano.3c09336.Search in Google Scholar PubMed PubMed Central

[66] N. Yamamoto, H. Sugiyama, and A. Toda, “Cherenkov and transition radiation from thin plate crystals detected in the transmission electron microscope,” Proc. R. Soc. A, vol. 452, no. 1953, pp. 2279–2301, 1996.10.1098/rspa.1996.0122Search in Google Scholar

[67] M. A. Piestrup, et al.., “Generation of hard x rays from transition radiation using high-density foils and moderate-energy electrons,” Phys. Rev. A, vol. 43, no. 5, pp. 2387–2396, 1991. https://doi.org/10.1103/physreva.43.2387.Search in Google Scholar PubMed

[68] J. Chen, et al.., “Low-velocity-favored transition radiation,” Phys. Rev. Lett., vol. 131, no. 11, p. 113002, 2023. https://doi.org/10.1103/physrevlett.131.113002.Search in Google Scholar

[69] P. Borziak, I. Konovalov, Y. Kulyupin, and K. Pilipchak, “Cathodoluminescence from metal films,” Thin Solid Films, vol. 35, no. 2, pp. L9–L12, 1976. https://doi.org/10.1016/0040-6090(76)90265-0.Search in Google Scholar

[70] S. Myhajlenko, W. Ke, and B. Hamilton, “Cathodoluminescence assessment of electron beam recrystallized silicon,” J. Appl. Phys., vol. 54, no. 2, pp. 862–867, 1983. https://doi.org/10.1063/1.332028.Search in Google Scholar

[71] X.-L. Qi and S.-C. Zhang, “Topological insulators and superconductors,” Rev. Mod. Phys., vol. 83, no. 4, pp. 1057–1110, 2011. https://doi.org/10.1103/revmodphys.83.1057.Search in Google Scholar

[72] J.-Y. Ou, J.-K. So, G. Adamo, A. Sulaev, L. Wang, and N. I. Zheludev, “Ultraviolet and visible range plasmonics of a topological insulator,” Nat. Commun., vol. 5, p. 5139, 2014, https://doi.org/10.1038/ncomms6139.Search in Google Scholar PubMed

[73] R. Lingstädt, et al.., “Interaction of edge exciton polaritons with engineered defects in the hyperbolic material Bi2Se3,” Commun. Mater., vol. 2, no. 5, 2021, https://doi.org/10.1038/s43246-020-00108-9.Search in Google Scholar

[74] Q. Yan, S. Wang, K. Guan, X. Guan, and L. He, “Cathodoluminescence and tip-plasmon resonance of Bi2Te3 triangular nanostructures,” PLoS One, vol. 19, no. 1, p. e0291251, 2024. https://doi.org/10.1371/journal.pone.0291251.Search in Google Scholar PubMed PubMed Central

[75] I. Mediavilla-Martinez, et al.., “Temperature dependence of the Raman spectrum of orthorhombic Bi2Se3,” arXiv:2402.07256.Search in Google Scholar

[76] M. Zhong, et al.., “High-performance photodetectors based on Sb2S3 nanowires: wavelength dependence and wide temperature range utilization,” Nanoscale, vol. 9, no. 34, pp. 12364–12371, 2017. https://doi.org/10.1039/c7nr03574h.Search in Google Scholar PubMed

[77] S. Zheng, J.-K. So, F. Liu, Z. Liu, N. Zheludev, and H. J. Fan, “Giant enhancement of cathodoluminescence of monolayer transitional metal dichalcogenides semiconductors,” Nano Lett., vol. 17, no. 10, pp. 6475–6480, 2017. https://doi.org/10.1021/acs.nanolett.7b03585.Search in Google Scholar PubMed

[78] G. Nayak, et al.., “Cathodoluminescence enhancement and quenching in type-I van der Waals heterostructures: cleanliness of the interfaces and defect creation,” Phys. Rev. Mater., vol. 3, no. 11, p. 114001, 2019. https://doi.org/10.1103/physrevmaterials.3.114001.Search in Google Scholar

[79] N. Bonnet, et al.., “Nanoscale modification of WS2 trion emission by its local electromagnetic environment,” Nano Lett., vol. 21, no. 24, pp. 10178–10185, 2021. https://doi.org/10.1021/acs.nanolett.1c02600.Search in Google Scholar PubMed

[80] S. Fiedler, et al.., “Photon superbunching in cathodoluminescence of excitons in WS2 monolayer,” 2D Mater., vol. 10, no. 2, p. 021002, 2023. https://doi.org/10.1088/2053-1583/acbf66.Search in Google Scholar

[81] M. T. A. Borghi and N. R. Wilson, “Cathodoluminescence from interlayer excitons in a 2D semiconductor heterobilayer,” Nanotechnology, vol. 35, no. 46, p. 465203, 2024. https://doi.org/10.1088/1361-6528/ad70b3.Search in Google Scholar PubMed

[82] H. Sun, et al.., “Unveiling sulfur vacancy pairs as bright and stable color centers in monolayer WS2,” Nat. Commun., vol. 15, p. 9476, 2024, https://doi.org/10.1038/s41467-024-53880-4.Search in Google Scholar PubMed PubMed Central

[83] M. Taleb, F. Davoodi, F. K. Diekmann, K. Rossnagel, and N. Talebi, “Charting the exciton–polariton landscape of WSe2 thin flakes by cathodoluminescence spectroscopy,” Adv. Photonics Res., vol. 3, no. 1, p. 2100124, 2021. https://doi.org/10.1002/adpr.202100124.Search in Google Scholar

[84] F. Chahshouri, M. Taleb, F. K. Diekmann, K. Rossnagel, and N. Talebi, “Interaction of excitons with Cherenkov radiation in WSe2 beyond the non-recoil approximation,” J. Phys. D: Appl. Phys., vol. 55, no. 14, p. 145101, 2022. https://doi.org/10.1088/1361-6463/ac453a.Search in Google Scholar

[85] D. T. Vu, N. Matthaiakakis, H. Saito, and T. Sannomiya, “Exciton-dielectric mode coupling in MoS2 nanoflakes visualized by cathodoluminescence,” Nanophotonics, vol. 11, no. 9, pp. 2129–2137, 2022. https://doi.org/10.1515/nanoph-2021-0643.Search in Google Scholar PubMed PubMed Central

[86] S. Y. Woo and L. H. G. Tizei, “Nano-optics of transition metal dichalcogenides and their van der Waals heterostructures with electron spectroscopies,” 2D Mater., vol. 12, no. 1, p. 012001, 2024. https://doi.org/10.1088/2053-1583/ad97c8.Search in Google Scholar

[87] B. Munkhbat, P. Wróbel, T. J. Antosiewicz, and T. O. Shegai, “Optical constants of several multilayer transition metal dichalcogenides measured by spectroscopic ellipsometry in the 300–1700 nm range: high index, anisotropy, and hyperbolicity,” ACS Photonics, vol. 9, no. 7, pp. 2398–2407, 2022. https://doi.org/10.1021/acsphotonics.2c00433.Search in Google Scholar PubMed PubMed Central

[88] M. Negri, et al.., “Excitonic absorption and defect-related emission in three-dimensional MoS2 pyramids,” Nanoscale, vol. 14, no. 4, pp. 1179–1186, 2022. https://doi.org/10.1039/d1nr06041d.Search in Google Scholar PubMed PubMed Central

[89] M. Mahajan, S. Kallatt, M. Dandu, N. Sharma, S. Gupta, and K. Majumdar, “Light emission from the layered metal 2H-TaSe2 and its potential applications,” Commun. Phys., vol. 2, no. 88, 2019, https://doi.org/10.1038/s42005-019-0190-0.Search in Google Scholar

[90] B. V. Shipilo, A. M. Zaitsev, E. M. Shishonok, and A. A. Mel’nikov, “Effect of annealing on cathodoluminescence of cubic boron nitride,” J. Appl. Spectrosc., vol. 45, no. 4, pp. 1060–1063, 1986. https://doi.org/10.1007/bf00663590.Search in Google Scholar

[91] M. G. Silly, et al.., “Luminescence properties of hexagonal boron nitride: cathodoluminescence and photoluminescence spectroscopy measurements,” Phys. Rev. B, vol. 75, no. 8, p. 085205, 2007. https://doi.org/10.1103/physrevb.75.085205.Search in Google Scholar

[92] R. Bourrellier, et al.., “Bright UV single photon emission at point defects in h-BN,” Nano Lett., vol. 16, no. 7, pp. 4317–4321, 2016. https://doi.org/10.1021/acs.nanolett.6b01368.Search in Google Scholar PubMed

[93] A. Tararan, et al.., “Optical gap and optically active intragap defects in cubic BN,” Phys. Rev. B, vol. 98, no. 9, p. 094106, 2018. https://doi.org/10.1103/physrevb.98.094106.Search in Google Scholar

[94] B. Shevitski, et al.., “Blue-light-emitting color centers in high-quality hexagonal boron nitride,” Phys. Rev. B, vol. 100, no. 15, p. 155419, 2019. https://doi.org/10.1103/physrevb.100.155419.Search in Google Scholar

[95] F. Hayee, et al.., “Revealing multiple classes of stable quantum emitters in hexagonal boron nitride with correlated optical and electron microscopy,” Nat. Mater., vol. 19, no. 5, pp. 534–539, 2020. https://doi.org/10.1038/s41563-020-0616-9.Search in Google Scholar PubMed

[96] R. J. P. Roman, et al.., “Band gap measurements of monolayer h-BN and insights into carbon-related point defects,” 2D Mater., vol. 8, no. 4, p. 044001, 2021. https://doi.org/10.1088/2053-1583/ac0d9c.Search in Google Scholar

[97] A. Gale, et al.., “Site-specific fabrication of blue quantum emitters in hexagonal boron nitride,” ACS Photonics, vol. 9, no. 6, pp. 2170–2177, 2022. https://doi.org/10.1021/acsphotonics.2c00631.Search in Google Scholar

[98] S. Roux, et al.., “Cathodoluminescence monitoring of quantum emitter activation in hexagonal boron nitride,” Appl. Phys. Lett., vol. 121, no. 18, p. 184002, 2022. https://doi.org/10.1063/5.0126357.Search in Google Scholar

[99] F. Bianco, E. Corte, S. D. Tchernij, J. Forneris, and F. Fabbri, “Engineering multicolor radiative centers in hBN flakes by varying the electron beam irradiation parameters,” Nanomaterials, vol. 13, no. 4, p. 739, 2023. https://doi.org/10.3390/nano13040739.Search in Google Scholar PubMed PubMed Central

[100] C. A. Taylor, S. W. Brown, V. Subramaniam, S. Kidner, S. C. Rand, and R. Clarke, “Observation of near-band-gap luminescence from boron nitride films,” Appl. Phys. Lett., vol. 65, no. 10, pp. 1251–1253, 1994. https://doi.org/10.1063/1.112086.Search in Google Scholar

[101] W. J. Zhang, H. Kanda, and S. Matsumoto, “Cathodoluminescence of cubic boron nitride films deposited by chemical vapor deposition,” Appl. Phys. Lett., vol. 81, no. 18, pp. 3356–3358, 2002. https://doi.org/10.1063/1.1517717.Search in Google Scholar

[102] K. Watanabe, T. Taniguchi, and H. Kanda, “Direct-bandgap properties and evidence for ultraviolet lasing of hexagonal boron nitride single crystal,” Nat. Mater., vol. 3, no. 6, pp. 404–409, 2004. https://doi.org/10.1038/nmat1134.Search in Google Scholar PubMed

[103] L. Schué, et al.., “Dimensionality effects on the luminescence properties of hBN,” Nanoscale, vol. 8, no. 13, pp. 6986–6993, 2016. https://doi.org/10.1039/c6nr01253a.Search in Google Scholar PubMed

[104] M. Bogroff, et al.., “Non-perturbative cathodoluminescence microscopy of beam-sensitive materials,” Nanophotonics, vol. 14, no. 11, pp. 2095–2101, 2025. https://doi.org/10.1515/nanoph-2024-0724.Search in Google Scholar PubMed PubMed Central

[105] A. Ganyecz, R. Babar, Z. Benedek, I. Aharonovich, G. Barcza, and V. Ivády, “First-principles theory of the nitrogen interstitial in hBN: a plausible model for the blue emitter,” Nanoscale, vol. 16, no. 8, pp. 4125–4139, 2024. https://doi.org/10.1039/d3nr05811e.Search in Google Scholar PubMed

[106] A. M. Zaitsev, Optical Properties of Diamond, Berlin Heidelberg, Springer, 2001.10.1007/978-3-662-04548-0Search in Google Scholar

[107] E. H. L. Falcao and F. Wudl, “Carbon allotropes: beyond graphite and diamond,” J. Chem. Technol. Biotechnol., vol. 82, no. 6, pp. 524–531, 2007. https://doi.org/10.1002/jctb.1693.Search in Google Scholar

[108] G. S. Woods and A. R. Lang, “Cathodoluminescence, optical absorption and x-ray topographic studies of synthetic diamonds,” J. Cryst. Growth, vol. 28, no. 2, pp. 215–226, 1975. https://doi.org/10.1016/0022-0248(75)90237-7.Search in Google Scholar

[109] C. Bradac, W. Gao, J. Forneris, M. E. Trusheim, and I. Aharonovich, “Quantum nanophotonics with group IV defects in diamond,” Nat. Commun., vol. 10, p. 5625, 2019, https://doi.org/10.1038/s41467-019-13332-w.Search in Google Scholar PubMed PubMed Central

[110] S. Meuret, et al.., “Photon bunching in cathodoluminescence,” Phys. Rev. Lett., vol. 114, no. 19, p. 197401, 2015. https://doi.org/10.1103/physrevlett.114.197401.Search in Google Scholar

[111] V. Iyer, K. Roccapriore, J. Ng, B. Srijanto, D. Lingerfelt, and B. Lawrie, “Photon bunching in cathodoluminescence induced by indirect electron excitation,” Nanoscale, vol. 15, no. 22, pp. 9738–9744, 2023. https://doi.org/10.1039/d3nr00376k.Search in Google Scholar PubMed

[112] I. Kostova, L. Tormo, E. Crespo-Feo, and J. Garcia-Guinea, “Study of coal and graphite specimens by means of Raman and cathodoluminescence,” Spectrochim. Acta A Mol. Biomol. Spectrosc., vol. 91, pp. 67–74, 2012, https://doi.org/10.1016/j.saa.2012.01.056.Search in Google Scholar PubMed

[113] J. Garcia-Guinea, V. Correcher, N. Can, F. Garrido, and P. D. Townsend, “Cathodoluminescence spectra recorded from surfaces of solids with hydrous molecules,” J. Electron Spectrosc. Relat. Phenom., vol. 227, pp. 1–8, 2018, https://doi.org/10.1016/j.elspec.2018.05.008.Search in Google Scholar

[114] V. S. Sedov, et al.., “Color centers in silic on-doped diamond films,” J. Appl. Spectrosc., vol. 83, no. 2, pp. 229–233, 2016. https://doi.org/10.1007/s10812-016-0274-5.Search in Google Scholar

[115] J. N. Becker and E. Neu, “The silicon vacancy center in diamond,” Semiconduct. Semimet., vol. 103, pp. 201–235, 2020, https://doi.org/10.1016/bs.semsem.2020.04.001.Search in Google Scholar

[116] H. Koyama, “Cathodoluminescence study of SiO2,” J. Appl. Phys., vol. 51, no. 4, pp. 2228–2235, 1980. https://doi.org/10.1063/1.327846.Search in Google Scholar

[117] J. P. Mitchell and D. G. Denure, “A study of SiO layers on Si using cathodoluminescence spectra,” Solid-State Electron., vol. 16, no. 7, pp. 825–839, 1973. https://doi.org/10.1016/0038-1101(73)90179-2.Search in Google Scholar

[118] H. Koyama, K. Matsubara, and M. Mouri, “Cathodoluminescence study of a silicon dioxide layer on silicon with the aid of Auger electron spectroscopy,” J. Appl. Phys., vol. 48, no. 12, pp. 5380–5381, 1977. https://doi.org/10.1063/1.323546.Search in Google Scholar

[119] L. N. Skuja and W. Entzian, “Cathodoluminescence of intrinsic defects in glassy SiO2, thermal SiO2 films, and α-quartz,” Phys. Status Solidi A, vol. 96, no. 1, pp. 191–198, 1986. https://doi.org/10.1002/pssa.2210960123.Search in Google Scholar

[120] M. A. Stevens Kalceff and M. R. Phillips, “Cathodoluminescence microcharacterization of the defect structure of quartz,” Phys. Rev. B, vol. 52, no. 5, pp. 3122–3134, 1995. https://doi.org/10.1103/physrevb.52.3122.Search in Google Scholar PubMed

[121] H.-J. Fitting, et al.., “Cathodoluminescence of wet, dry, and hydrogen-implanted silica films,” J. Non-Cryst. Solids, vol. 351, no. 27, pp. 2251–2262, 2005. https://doi.org/10.1016/j.jnoncrysol.2005.06.017.Search in Google Scholar

[122] M. A. Stevens-Kalceff, “Cathodoluminescence microcharacterization of electron radiation induced defects in borosilicate glasses,” Microsc. Microanal., vol. 14, no. S2, pp. 650–651, 2008. https://doi.org/10.1017/s1431927608087886.Search in Google Scholar

[123] A. Fali, et al.., “Nanoscale spectroscopy of dielectric properties of mica,” ACS Photonics, vol. 8, no. 1, pp. 175–181, 2020. https://doi.org/10.1021/acsphotonics.0c00951.Search in Google Scholar

[124] E. Sörman, N. T. Son, W. M. Chen, O. Kordina, C. Hallin, and E. Janzén, “Silicon vacancy related defect in 4H and 6H SiC,” Phys. Rev. B, vol. 61, no. 4, pp. 2613–2620, 2000. https://doi.org/10.1103/physrevb.61.2613.Search in Google Scholar

[125] A. Kakanakova-Georgieva, R. Yakimova, A. Henry, M. K. Linnarsson, M. Syväjärvi, and E. Janzén, “Cathodoluminescence identification of donor–acceptor related emissions in as-grown 4H–SiC layers,” J. Appl. Phys., vol. 91, no. 5, pp. 2890–2895, 2002. https://doi.org/10.1063/1.1436293.Search in Google Scholar

[126] L. Ottaviani, P. Hidalgo, H. Idrissi, M. Lancin, S. Martinuzzi, and B. Pichaud, “Structural characterization of 6H-and 4H-SiC polytypes by means of cathodoluminescence and x-ray topography,” J. Phys.: Condens. Matter, vol. 16, no. 2, p. S107, 2003. https://doi.org/10.1088/0953-8984/16/2/013.Search in Google Scholar

[127] S. Castelletto, et al.., “Silicon carbide photonics bridging quantum technology,” ACS Photonics, vol. 9, no. 5, pp. 1434–1457, 2022. https://doi.org/10.1021/acsphotonics.1c01775.Search in Google Scholar

[128] J. Q. Hu, Y. Bando, T. Sekiguchi, F. F. Xu, and J. H. Zhan, “Two-dimensional extremely thin single-crystalline α-Si3N4 microribbons,” Appl. Phys. Lett., vol. 84, no. 5, pp. 804–806, 2004. https://doi.org/10.1063/1.1644911.Search in Google Scholar

[129] T. Sekiguchi, J. Hu, and Y. Bando, “Cathodoluminescence study of one-dimensional free-standing widegap-semiconductor nanostructures: GaN nanotubes, Si3N4 nanobelts and ZnS/Si nanowires,” J. Electron Microsc., vol. 53, no. 2, pp. 203–208, 2004. https://doi.org/10.1093/jmicro/53.2.203.Search in Google Scholar PubMed

[130] J. Huang, Z. Huang, S. Yi, Y. Liu, M. Fang, and S. Zhang, “Fe-catalyzed growth of one-dimensional α-Si3N4 nanostructures and their cathodoluminescence properties,” Sci. Rep., vol. 3, p. 3504, 2013, https://doi.org/10.1038/srep03504.Search in Google Scholar PubMed PubMed Central

[131] W. Zhu, B. McEntire, Y. Enomoto, M. Boffelli, and G. Pezzotti, “Point-defect populations as induced by cation/anion substitution in β-Si3N4 lattice. A cathodoluminescence study,” J. Phys. Chem. C, vol. 119, no. 6, pp. 3279–3287, 2015. https://doi.org/10.1021/jp509995c.Search in Google Scholar

[132] D. Maestre, A. Cremades, J. Piqueras, and L. Gregoratti, “Thermal growth and structural and optical characterization of indium tin oxide nanopyramids, nanoislands, and tubes,” J. Appl. Phys., vol. 103, no. 9, p. 093531, 2008. https://doi.org/10.1063/1.2919770.Search in Google Scholar

[133] K.-Y. Pan, L.-D. Lin, L.-W. Chang, and H. C. Shih, “Studies on the optoelectronic properties of the thermally evaporated tin-doped indium oxide nanostructures,” Appl. Surf. Sci., vol. 273, pp. 12–18, 2013, https://doi.org/10.1016/j.apsusc.2012.12.149.Search in Google Scholar

[134] S. Battiston, et al.., “Cathodoluminescence evaluation of oxygen vacancy population in nanostructured titania thin films for photocatalytic applications,” J. Phys. Chem. A, vol. 114, no. 16, pp. 5295–5298, 2010. https://doi.org/10.1021/jp100511f.Search in Google Scholar PubMed

[135] B. Santara, P. K. Giri, K. Imakita, and M. Fujii, “Evidence of oxygen vacancy induced room temperature ferromagnetism in solvothermally synthesized undoped TiO2 nanoribbons,” Nanoscale, vol. 5, no. 12, pp. 5476–5488, 2013. https://doi.org/10.1039/c3nr00799e.Search in Google Scholar PubMed

[136] M. Machreki, et al.., “The role of lattice defects on the optical properties of TiO2 nanotube arrays for synergistic water splitting,” ACS Omega, vol. 8, no. 37, pp. 33255–33265, 2023. https://doi.org/10.1021/acsomega.3c00965.Search in Google Scholar PubMed PubMed Central

[137] M. Boffelli, et al.., “Oxygen hole states in zirconia lattices: quantitative aspects of their cathodoluminescence emission,” J. Phys. Chem. A, vol. 118, no. 42, pp. 9828–9836, 2014. https://doi.org/10.1021/jp506923p.Search in Google Scholar PubMed

[138] J.-H. Hur, S. Park, and U.-I. Chung, “First principles study of oxygen vacancy states in monoclinic ZrO2: interpretation of conduction characteristics,” J. Appl. Phys., vol. 112, no. 11, p. 113719, 2012. https://doi.org/10.1063/1.4768894.Search in Google Scholar

[139] A. P. Baraban, V. A. Dmitriev, V. E. Drozd, V. A. Prokofiev, S. N. Samarin, and E. O. Filatova, “Interface properties of Si-SiO2-Ta2O5 structure by cathodoluminescence spectroscopy,” J. Appl. Phys., vol. 119, no. 5, p. 055307, 2016. https://doi.org/10.1063/1.4941270.Search in Google Scholar

[140] J. Lee, W. D. Lu, and E. Kioupakis, “Electronic and optical properties of oxygen vacancies in amorphous Ta2O5 from first principles,” Nanoscale, vol. 9, no. 3, pp. 1120–1127, 2017. https://doi.org/10.1039/c6nr07892c.Search in Google Scholar PubMed

[141] Y. Zhao, et al.., “Preparation of MoO3 nanostructures and their optical properties,” J. Phys.: Condens. Matter, vol. 15, no. 35, pp. L547–L552, 2003. https://doi.org/10.1088/0953-8984/15/35/101.Search in Google Scholar

[142] K. Koike, R. Wada, S. Yagi, Y. Harada, S. Sasa, and M. Yano, “Characteristics of MoO3 films grown by molecular beam epitaxy,” Jpn. J. Appl. Phys., vol. 53, no. 5S1, p. 05FJ02, 2014. https://doi.org/10.7567/jjap.53.05fj02.Search in Google Scholar

[143] J. Llopis, C. Ballesteros, R. González, and Y. Chen, “Cathodoluminescence emission from LiNbO3 single crystals,” J. Appl. Phys., vol. 56, no. 2, pp. 460–462, 1984. https://doi.org/10.1063/1.333932.Search in Google Scholar

[144] M. Ghamnia, C. Jardin, L. Martinez, M. Bouslama, and P. Durupt, “Electronic spectroscopy (AES, EELS) and cathodoluminescence (CL) for α-Al2O3 characterization,” Vacuum, vol. 48, no. 2, pp. 129–134, 1997. https://doi.org/10.1016/s0042-207x(96)00245-x.Search in Google Scholar

[145] G. Demol, T. Paulmier, and D. Payan, “Cathodoluminescence of aluminum ceramic compounds,” J. Appl. Phys., vol. 125, no. 2, p. 025110, 2019. https://doi.org/10.1063/1.5066434.Search in Google Scholar

[146] A. O. Dikovska, T. Okato, P. A. Atanasov, and M. Obara, “Cathodoluminscent properties of pulsed laser deposited Er, Yb co-doped Y2O3 thin films,” J. Phys. D: Appl. Phys., vol. 37, no. 23, pp. L41–L44, 2004. https://doi.org/10.1088/0022-3727/37/23/l01.Search in Google Scholar

[147] R. A. Buchanan, K. A. Wickersheim, J. J. Pearson, and G. F. Herrmann, “Energy levels of Yb3+ in gallium and aluminum garnets. I. Spectra,” Phys. Rev., vol. 159, no. 2, pp. 245–251, 1967. https://doi.org/10.1103/physrev.159.245.Search in Google Scholar

[148] T. Mattila and R. M. Nieminen, “Ab initio study of oxygen point defects in GaAs, GaN, and AlN,” Phys. Rev. B, vol. 54, no. 23, pp. 16676–16682, 1996. https://doi.org/10.1103/physrevb.54.16676.Search in Google Scholar PubMed

[149] S. O. Kucheyev, M. Toth, M. R. Phillips, J. S. Williams, and C. Jagadish, “Effects of excitation density on cathodoluminescence from GaN,” Appl. Phys. Lett., vol. 79, no. 14, pp. 2154–2156, 2001. https://doi.org/10.1063/1.1408273.Search in Google Scholar

[150] H. Lei, H. S. Leipner, J. Schreiber, J. L. Weyher, T. Wosiński, and I. Grzegory, “Raman and cathodoluminescence study of dislocations in GaN,” J. Appl. Phys., vol. 92, no. 11, pp. 6666–6670, 2002. https://doi.org/10.1063/1.1518793.Search in Google Scholar

[151] D. R. Wight, “Green luminescence efficiency in gallium phosphide,” J. Phys. D: Appl. Phys., vol. 10, no. 4, pp. 431–454, 1977. https://doi.org/10.1088/0022-3727/10/4/010.Search in Google Scholar

[152] C. A. Dimitriadis, E. Huang, and S. M. Davidson, “SEM cathodoluminescence studies of dislocation recombination in GaP,” Solid-State Electron., vol. 21, nos. 11–12, pp. 1419–1423, 1978. https://doi.org/10.1016/0038-1101(78)90218-6.Search in Google Scholar

[153] M. A. Stevens-Kalceff, I. M. Tiginyanu, S. Langa, H. Föll, and H. L. Hartnagel, “Correlation between morphology and cathodoluminescence in porous GaP,” J. Appl. Phys., vol. 89, no. 5, pp. 2560–2565, 2001. https://doi.org/10.1063/1.1337922.Search in Google Scholar

[154] M. Topaksu, V. Correcher, and J. Garcia-Guinea, “Luminescence emission of natural fluorite and synthetic CaF2:Mn (TLD-400),” Radiat. Phys. Chem., vol. 119, pp. 151–156, 2016, https://doi.org/10.1016/j.radphyschem.2015.10.002.Search in Google Scholar

[155] R. Rodríguez, V. Correcher, J. M. Gómez-Ros, J. L. Plaza, and J. Garcia-Guinea, “Cathodoluminescence, SEM and EDX analysis of CaF2 and Tm2O3 pellets for radiation dosimetry applications,” Radiat. Phys. Chem., vol. 188, p. 109621, 2021, https://doi.org/10.1016/j.radphyschem.2021.109621.Search in Google Scholar

[156] H. Yoshida, M. Hayashi, and M. Itoh, “Intensity enhancement of Auger-free luminescence in BaF2 and CsCl by acceleration voltage of electron-beam excitation,” Jpn. J. Appl. Phys., vol. 39, no. 3A, p. L215, 2000. https://doi.org/10.1143/jjap.39.l215.Search in Google Scholar

[157] N. Li, C. P. Ho, S. Zhu, Y. H. Fu, Y. Zhu, and L. Y. T. Lee, “Aluminium nitride integrated photonics: a review,” Nanophotonics, vol. 10, no. 9, pp. 2347–2387, 2021. https://doi.org/10.1515/nanoph-2021-0130.Search in Google Scholar

[158] R. A. Youngman and J. H. Harris, “Luminescence studies of oxygen-related defects in aluminum nitride,” J. Am. Ceram. Soc., vol. 73, no. 11, pp. 3238–3246, 1990. https://doi.org/10.1111/j.1151-2916.1990.tb06444.x.Search in Google Scholar

[159] P. J. Wellmann, U. Karl, S. Kleber, and H. Schmitt, “Cathodoluminescence characterization of organic semiconductor materials for light emitting device applications,” J. Appl. Phys., vol. 101, no. 11, p. 113704, 2007. https://doi.org/10.1063/1.2743090.Search in Google Scholar

[160] C. G. Bischak, et al.., “Cathodoluminescence-activated nanoimaging: noninvasive near-field optical microscopy in an electron microscope,” Nano Lett., vol. 15, no. 5, pp. 3383–3390, 2015. https://doi.org/10.1021/acs.nanolett.5b00716.Search in Google Scholar PubMed

[161] B. Qiao, G. Teyssedre, and C. Laurent, “Electroluminescence and cathodoluminescence from polyethylene and polypropylene films: spectra reconstruction from elementary components and underlying mechanisms,” J. Appl. Phys., vol. 119, no. 2, p. 024103, 2016. https://doi.org/10.1063/1.4939824.Search in Google Scholar

[162] A. P. Tyutnev, V. S. Saenko, A. V. Vannikov, and G. S. Mingaleev, “Radiation-induced conductivity in polyethylene,” Phys. Status Solidi A, vol. 78, no. 2, pp. 689–696, 1983. https://doi.org/10.1002/pssa.2210780238.Search in Google Scholar

[163] C. A. Barrios, et al.., “Fabrication of luminescent nanostructures by electron-beam direct writing of PMMA resist,” Mater. Lett., vol. 88, pp. 93–96, 2012, https://doi.org/10.1016/j.matlet.2012.08.035.Search in Google Scholar

[164] R. F. Egerton, “Radiation damage to organic and inorganic specimens in the tem,” Micron, vol. 119, pp. 72–87, 2019, https://doi.org/10.1016/j.micron.2019.01.005.Search in Google Scholar PubMed

[165] L. Wang, et al.., “One-dimensional electrical contact to a two-dimensional material,” Science, vol. 342, no. 6158, pp. 614–617, 2013. https://doi.org/10.1126/science.1244358.Search in Google Scholar PubMed

[166] A. Castellanos-Gomez, et al.., “Deterministic transfer of two-dimensional materials by all-dry viscoelastic stamping,” 2D Mater., vol. 1, no. 1, p. 011002, 2014. https://doi.org/10.1088/2053-1583/1/1/011002.Search in Google Scholar

[167] F. Yang, et al.., “2D organic materials for optoelectronic applications,” Adv. Mater., vol. 30, no. 2, p. 1702415, 2017. https://doi.org/10.1002/adma.201702415.Search in Google Scholar PubMed

[168] A. E. Grigorescu and C. W. Hagen, “Resists for sub-20-nm electron beam lithography with a focus on HSQ: state of the art,” Nanotechnology, vol. 20, no. 29, p. 292001, 2009. https://doi.org/10.1088/0957-4484/20/29/292001.Search in Google Scholar PubMed

[169] D. Roitman, A. Karnieli, S. Tsesses, Z. Barkay, and A. Arie, “Coherent radiation at visible wavelengths from sub-keV electron beams,” Opt. Lett., vol. 49, no. 8, p. 2013, 2024. https://doi.org/10.1364/ol.521354.Search in Google Scholar

[170] S. Y. Chou, P. R. Krauss, and P. J. Renstrom, “Nanoimprint lithography,” J. Vac. Sci. Technol. B, vol. 14, no. 6, pp. 4129–4133, 1996.10.1116/1.588605Search in Google Scholar

[171] M. Aktary, M. O. Jensen, K. L. Westra, M. J. Brett, and M. R. Freeman, “High-resolution pattern generation using the epoxy novolak SU-8 2000 resist by electron beam lithography,” J. Vac. Sci. Technol. B, vol. 21, no. 4, pp. L5–L7, 2003. https://doi.org/10.1116/1.1596216.Search in Google Scholar

[172] D. B. Wittry and D. F. Kyser, “Measurement of diffusion lengths in direct-gap semiconductors by electron-beam excitation,” J. Appl. Phys., vol. 38, no. 1, pp. 375–382, 1967. https://doi.org/10.1063/1.1708984.Search in Google Scholar

[173] J. Bok and P. Schauer, “Apparatus for temperature-dependent cathodoluminescence characterization of materials,” Meas. Sci. Technol., vol. 25, no. 7, p. 075601, 2014. https://doi.org/10.1088/0957-0233/25/7/075601.Search in Google Scholar

[174] T. S. Rao-Sahib and D. B. Wittry, “Measurement of diffusion lengths in p-type gallium arsenide by electron beam excitation,” J. Appl. Phys., vol. 40, no. 9, pp. 3745–3750, 1969. https://doi.org/10.1063/1.1658265.Search in Google Scholar

[175] P. H. Bittorf, F. Majstorovic, P. Ruchka, H. Giessen, and N. Talebi, “A multi-dimensional cathodoluminescence detector with 3D printed micro-optics on a fiber,” arXiv:2501.17723.Search in Google Scholar

[176] F. Koch, W. Hergert, G. Oelgart, and N. Puhlmann, “Determination of semiconductor parameters by electron beam induced current and cathodoluminescence measurements,” Phys. Status Solidi A, vol. 109, no. 1, pp. 261–272, 1988. https://doi.org/10.1002/pssa.2211090128.Search in Google Scholar

[177] S. Morozov, T. Yezekyan, C. Wolff, S. I. Bozhevolnyi, and N. A. Mortensen, “Inducing room-temperature valley polarization of excitonic emission in transition metal dichalcogenide monolayers,” npj 2D Mater. Appl., vol. 8, no. 24, 2024, https://doi.org/10.1038/s41699-024-00459-8.Search in Google Scholar

[178] H. C. Casey and J. S. Jayson, “Cathodoluminescent measurements in GaP (Zn, O),” J. Appl. Phys., vol. 42, no. 7, pp. 2774–2776, 1971. https://doi.org/10.1063/1.1660623.Search in Google Scholar


Supplementary Material

This article contains supplementary material (https://doi.org/10.1515/nanoph-2025-0135).


Received: 2025-03-20
Accepted: 2025-06-24
Published Online: 2025-07-03

© 2025 the author(s), published by De Gruyter, Berlin/Boston

This work is licensed under the Creative Commons Attribution 4.0 International License.

Downloaded on 19.11.2025 from https://www.degruyterbrill.com/document/doi/10.1515/nanoph-2025-0135/html
Scroll to top button