Abstract
Spintronics and Photonics constitute separately two disciplines of huge scientific and technological impact. Exploring their conceptual and practical overlap offers vast possibilities of research and a clear scope for the corresponding communities to merge and consider innovative ideas taking advantage of each other’s potentials. As an example, here we review the magnetic field modification of the optical response of photonic systems fabricated out of spintronic materials, or in which spintronic components are incorporated. This magnetic actuation is due to the Magneto Refractive Effect (MRE), which accounts for the change in the optical constants of a spintronic system due to the magnetic field induced modification of the electrical resistivity. Due to the direct implication of conduction electrons in this phenomenon, this change in the optical constants covers from the mid-infrared to the THz regime. After introducing the non-expert reader into the spintronic concepts relevant to this work, we then present the MRE exhibited by a variety of spintronic systems, and finally show the different applications of this property in the generation of active spintronic-photonic platforms.
1 Introduction
The combination of different disciplines that merge to generate added value materials and novel phenomena is a powerful route to face nowadays technological demands of the society. For example, great efforts have been made in connecting photonics and magnetism and exploring the control of one by the other. Considering the magnetic field control of the optical response of materials, and focusing specifically into achieving active control of photonic devices, the use of an external magnetic field has many advantages: First, no electrical or any other kind of physical contact with the photonic device is needed to apply a magnetic field on it. In addition, since the magnetization reversal processes in ferromagnets is very fast, the time response of the photonic device to the magnetic field will therefore be very short, provided the suitable magnetic component is smartly incorporated in the design. Finally, many practical applications use magnetic fields. To name a few: magnetic separation, levitation or isolation; generation of electrical currents via electromagnetic induction; magnetic focusing and control of charged particle beams; many types of magnetic based sensors; magnetic storage, writing and reading of information … all of them rely on the magnetic field action. All these examples make us consider that magnetism-related technologies are at a such mature stage that the technological integration of photonic systems with magnetic capabilities is realistic.
On the other hand, even though not considered in the present review, the control of magnetism using light offers also huge potential. For example, plasmon resonance assisted local heating is currently used for the so called Heat Assisted Magnetic Recording. On the other hand, Inverse Faraday Effect allows for direct magnetic writing using light of the adequate state of polarization. Additionally, the availability of ultrafast light sources allows for the subsequent ultrafast switching of magnetic domains.
Focusing on the realization of magnetically active photonic systems, several approaches have already been taken. For example, the so-called magneto photonic crystal structures allow a strong miniaturization of Magneto Optical (MO) components, with applications in information and communication technologies [1]. Another example is the case of Magneto Plasmonic (MP) systems, which combine MO and plasmonic materials, exploiting the synergy of their corresponding functionalities. In this sense, many approaches based on the plasmon enhanced MO activity of different MP nanostructures have been considered up to date, showing great potential in sensing and telecom applications in the visible and near-infrared (NIR) ranges [2], [3], [4], [5], [6]. Unfortunately, the MO activity of most materials is strongly reduced in the infrared (IR) and lower energies and, if the magnetic field action is desired to modulate nanophotonic platforms in this spectral range, a different magnetic mechanism is needed.
Luckily enough, this mechanism is at hand and is linked to the discipline that has been responsible, for example, of the exponential increase in the last decades in magnetic storage capabilities in hard disk drives (HDD) heads. We are talking about the so-called Spin Electronics or Spintronics, the discipline which for the first time made use of both the charge and spin character of electrons for practical applications (Figure 1). Spintronics took off thanks to the revolutionary discovery by Fert and Grünberg’s groups (1988–1989) of the Giant Magneto Resistance (GMR) effect in magnetic multilayers, which demonstrated a very large magnetic field induced change in electrical resistivity of a number of ferromagnetic systems [7], [8]. The technological impact of successive Spintronics breakthroughs into the magnetic storage area has not stopped ever since: inductive heads were substituted in 1991 by those based in the Anisotropic Magneto Resistance or AMR effect; these by GMR heads, introduced in 1997; taken then over by the Tunnel Magneto Resistance (TMR) or TMR based heads, incorporated in 2007. Quantitatively, in this span of time, the impact of Spintronics in this field implied an almost four orders of magnitude increase in the magnetic storage areal density [9]. Foremost academic recognition took place in 2007 with the Nobel Prize in physics awarded to the two GMR discoverers [10], [11], [12].

Common room for Spintronics and Photonics. These two disciplines overlap in the low frequency range of the electromagnetic spectrum in which both, electrical conductivity and optical properties, rely on conduction electrons and are connected by the Magneto Refractive Effect.
So, how can one then use Spintronics to act on Photonics? A pretty straightforward way to make this happen is actually at hand thanks to the so-called Magneto Refractive Effect (MRE), that describes the change in the refractive index of GMR systems due to magnetic field induced changes in electrical resistivity. The spin-dependent conduction electron transport inherent to GMR manifests directly in the optical properties from the NIR all the way to the THz range, where the contribution to the optical properties of conduction electrons dominate. The MRE was discovered in 1995 by Jacquet and Valet [13] in GMR magnetic multilayers, and since then has been applied for non-contact probing of the magnetotransport properties of a number of materials systems and spintronic devices.
Bearing in mind the great scientific and technological impact that Spintronics and Photonics already offer separately, the aim of this review is to describe the current understanding of the potential of their combination in one of the directions previously described. Namely, we will present a detailed description of the spintronic effects on the optical properties of a variety of materials systems, and subsequently of the different approaches and proposals to exploit these effects in modulating or controlling photonic platforms. For this, we will first of all introduce the main spintronic effects, in a clear and concise way that allows the non-expert reader to understand the basic concepts involved. Due to the huge volume of literature published in this field, here we will just mention the pioneering publications where the different spintronic effects were first presented and those which for materials reasons may have a close connection to this review. We will then go into revisiting the main MRE studies in fully metallic, metal-insulator and oxide spintronic systems, as candidates for their possible incorporation as active building blocks in photonic platforms. Finally, the description of a number of these photonic platforms based on spintronic concepts will follow, covering both metal based plasmonic systems and dielectric based photonic structures. We will then summarize, with the main conclusions and the potential perspectives of this novel approach.
2 Brief tutorial on Spintronics
In this section we will present a general outlook of the main magnetotransport effects responsible for the magnetic field induced modification of the optical properties of spintronic systems. A more complete and extended discussion of these magnetotransport phenomena can be found in reviews and books already published on this subject. The effects described in what follows correspond to a large variety of materials: fully metallic, metal-dielectric and oxide-like systems, that therefore offer a wide variety of possibilities in the design of the photonic platforms, either fully made out of them, or into which they can be incorporated.
2.1 Anisotropic Magneto Resistance (AMR)
It has long been recognized that an externally applied magnetic field modifies the electrical properties of ferromagnetic materials. Back in 1856, W. Thompson already observed a magnetic field induced increase (decrease) of the electrical resistivity of iron and nickel when the current was applied parallel (perpendicular) to the direction of the magnetization [14]. This anisotropy in the magneto resistance of ferromagnets was studied in depth by Smit a century later [15], considering both pure ferromagnetic metals and alloys, explaining the difference between the longitudinal and transverse resistivities in base of the spin–orbit interaction. The use of the current term describing this phenomenon (Anisotropic Magneto Resistance - AMR) had to wait till 1975, when McGuire and Potter [16] extended Smit’s work. As an example, in Figure 2A we present characteristic curves of the modification of the resistivity of a ferromagnet as a function of the applied magnetic field. As it can be observed, the resistivity depends, on one hand, on the magnetization (M) of the material and, on the other hand, on the orientation of the applied magnetic field with respect to the current. The relative change of the saturated resistivity for the magnetic field applied parallel and perpendicular to the current, Δρ/ρ=(ρ//-ρper)/ρper, is the AMR ratio. For ferromagnetic metals the highest AMR ratios have been obtained in Ni based alloys, with values around 5% for NixFe1-x (x≈0.9), around 6% for NixCo1-x (x≈0.8) at room temperature (RT) for bulk samples, and slightly lower values for thin films [16], [17].
![Figure 2: Four spintronic phenomena leading to MRE. (A) Anisotropic magnetoresistance (AMR): black and green curves represent, respectively, the dependence of electrical resistivity and magnetization on the applied magnetic field for a ferromagnetic layer. The magnetic field varies from positive to negative (dotted lines) or from negative to positive (full lines). (B) Giant magneto resistance (GMR): Left panel. - black and green curves represent, respectively, the dependence of electrical resistivity and magnetization on the applied magnetic field for a ferromagnetic/non ferromagnetic metallic multilayer. The magnetic field varies from positive to negative (dotted lines) or from negative to positive (full lines). Right panel. - Schematic representation of the Density of States (DOS) of a multilayer in the P state for different types of electrons. (C) Tunnel Magneto Resistance (TMR) : Left panel. - Black curves represent the dependence of the tunnel resistivity on the magnetic field, whereas the green, red and blue curves represent the dependence of the total magnetization and the magnetizations of the FM1 (represented in red) and FM2 (represented in blue) layers on the magnetic field, respectively. The insulator spacer layer is represented in grey. The magnetic field is applied in the plane and varies from positive to negative (dotted lines) or from negative to positive (full lines). Right panel. - Schematic representation of the DOS of all the electrons, for the parallel (P) and antiparallel (AP) configurations, for the two ferromagnetic electrodes FM1 and FM2, respectively. The blue (red) regions correspond to the electrons whose spin points to the positive (negative) direction. The blue and red arrows represent the tunnel current of each spin channel. (D) Colossal Magnetoresistance (CMR) (From ref [29], https://doi.org/10.1103/PhysRevLett.75.3336, with permission): Left panel. - Resistivity (upper graph) and magnetization (lower graph) as a function of the temperature for different values of the applied magnetic field. The values of the magnetic field in Tesla along with the corresponding line colors are indicated in each graph. Crystal structure of a representative CMR compound.](/document/doi/10.1515/nanoph-2020-0250/asset/graphic/j_nanoph-2020-0250_fig_002.jpg)
Four spintronic phenomena leading to MRE. (A) Anisotropic magnetoresistance (AMR): black and green curves represent, respectively, the dependence of electrical resistivity and magnetization on the applied magnetic field for a ferromagnetic layer. The magnetic field varies from positive to negative (dotted lines) or from negative to positive (full lines). (B) Giant magneto resistance (GMR): Left panel. - black and green curves represent, respectively, the dependence of electrical resistivity and magnetization on the applied magnetic field for a ferromagnetic/non ferromagnetic metallic multilayer. The magnetic field varies from positive to negative (dotted lines) or from negative to positive (full lines). Right panel. - Schematic representation of the Density of States (DOS) of a multilayer in the P state for different types of electrons. (C) Tunnel Magneto Resistance (TMR) : Left panel. - Black curves represent the dependence of the tunnel resistivity on the magnetic field, whereas the green, red and blue curves represent the dependence of the total magnetization and the magnetizations of the FM1 (represented in red) and FM2 (represented in blue) layers on the magnetic field, respectively. The insulator spacer layer is represented in grey. The magnetic field is applied in the plane and varies from positive to negative (dotted lines) or from negative to positive (full lines). Right panel. - Schematic representation of the DOS of all the electrons, for the parallel (P) and antiparallel (AP) configurations, for the two ferromagnetic electrodes FM1 and FM2, respectively. The blue (red) regions correspond to the electrons whose spin points to the positive (negative) direction. The blue and red arrows represent the tunnel current of each spin channel. (D) Colossal Magnetoresistance (CMR) (From ref [29], https://doi.org/10.1103/PhysRevLett.75.3336, with permission): Left panel. - Resistivity (upper graph) and magnetization (lower graph) as a function of the temperature for different values of the applied magnetic field. The values of the magnetic field in Tesla along with the corresponding line colors are indicated in each graph. Crystal structure of a representative CMR compound.
2.2 Giant Magneto Resistance (GMR)
Chronologically, the breakthrough following the use of AMR in practical applications was the discovery of the Giant Magnetoresistance (GMR) [7], [8]. First reported for the Fe/Cr/Fe system, large changes of electrical resistivity were observed when switching with a magnetic field the relative orientation of the magnetizations of the individual Fe layers from antiparallel (AP) to parallel (P) states, linked to a high and low electrical resistivity state, respectively. These large changes of the electrical resistivity only occur for specific Cr thickness, for which the adjacent Fe layers are coupled antiparallel. This antiparallel orientation of the magnetization of the adjacent Fe layers can be switched to parallel orientation by the application of a large enough magnetic field (see Figure 2 B). After this discovery, the portfolio of multilayered systems based on different components rapidly expanded. GMR ratios as high as 65% at RT were soon reported in Co/Cu structures for saturation magnetic fields of 10 KOe [18], while ratios of 12% were obtained for Ni81Fe19/Au structures, but for much lower saturation fields (30 Oe) [19]. A drawback of these multilayered systems is that the thickness of the spacer to get AP configuration may require accuracy at the atomic level. As an alternative, the so-called spin valves [20], [21] utilize two magnetically uncoupled ferromagnetic layers separated by a metallic spacer, one of the layers for example magnetically pinned to an antiferromagnet via exchange bias [22], so that magnetization reversal of the pinned and the unpinned layers occurs at different magnetic fields, controlling with a magnetic field the P and AP states.
Regarding the physical mechanism responsible for GMR, the change in the resistivity of these systems can be understood taking into account that the main scattering mechanisms are spin-conserving and that the electrical conductivity is the sum of the conductivity of majority (spin up) and minority (spin down) electrons (two current model) [23]. In Figure 2B we present a very schematic representation of the Density of Sates (DOS) for the parallel state (P), split into localized and propagative electrons, as a function of the energy. Due to the exchange interaction, the energy dependence of the DOS of the localized electrons, responsible for the magnetization, is different for spin up (e-↑) and spin down (e-↓) electrons. Besides, the localized states of the spin up electrons are nearly all occupied, whereas the spin-down localized states are partially occupied. On the contrary, the DOS of the propagative electrons, which are responsible for the electric conductivity, is very similar for both spins. At the Fermi energy, the scattering time of these propagative electrons depends on the number of states available for scattering which, due to the occupation of the localized band, is different for the spin up and spin down electrons. As a consequence, a much higher conductivity (and, therefore a low resistivity) for the spin up current than for the spin down current is obtained for the P state. On the other hand, for the AP state the conduction electrons are indistinguishable, which results in a symmetrization of the available scattering channels and, therefore, an increase of the resistivity.
2.3 Tunnel Magneto Resistance (TMR)
So far, the described AMR and GMR spintronic effects are both spin dependent electron transport properties characteristic of fully metallic systems. Interestingly enough, this spin dependence of the electron transport manifests also in tunnel junction systems, i.e. metal-insulator-metal structures with a very thin insulator spacer. This was first observed by Tedrow and Meservey in 1971 [24]. Two decades after this discovery, coincident with the Spintronics boom, the study of Magnetic Tunnel Junctions (MTJ), where the metallic electrodes are ferromagnetic, acquired renewed interest. Many groups started then working in this topic, and nowadays MTJs are applied in a wide variety of uses, such as data storage, generation of THz radiation, or other spintronic systems [25].
In an MTJ, the electrical resistivity between the two ferromagnetic electrodes depends dramatically on the relative orientation of their magnetizations (see Figure 2C). Such behavior is due to the magnetization dependence of the tunnel probability between these two electrodes. Generally speaking, when the two metallic electrodes magnetizations are parallel, the majority electrons (spin up) tunnel toward majority electrons (spin up), whereas the minority electrons (spin down) tunnel toward spin minority down electrons (spin down). On the other hand, when the two electrodes magnetizations are oriented antiparallel, the majority electrons of the emitting electrode tunnel toward states which have the same orientation of spin (minority electrons for the receiving electrode), whereas the minority electrons (spin down) tunnel toward majority electrons. As the tunnel current depends on the DOS of the initial and final electrodes, the tunnel current is different for the P and AP relative orientation of the two electrodes magnetizations.
The values of TMR depend on a large variety of parameters, such as the composition, nanostructure and interface quality of both the electrodes and the dielectric barrier. Just to mention, values as high as 400 % at RT and magnetic fields of 200 Oe have been reported for MTJs using Co2FeAl0.5Si0.5 electrodes and MgO barriers [26]. Both the large changes in resistance and the low magnetic fields required made TMR a very promising candidate mechanism for practical applications.
2.4 Colossal Magneto Resistance (CMR)
The last spintronic phenomenon to be considered here, exhibiting huge changes in electrical resistance upon application of a magnetic field, involves neither metal nor metal-insulator materials, but this time pure oxide systems (see Figure 2D). In the time scope of the nineties of the last century, MR values as high as 105 % at 77 K where reported in perovskite-like manganite thin films [27]. Obviously these impressive figures, motivating the “colossal” adjective to the observed MR effect, promised great potential for this kind of systems, opening a new research route for the development of spintronic devices based on these materials. Their magnetotransport behavior and the corresponding interpretation moved away from the other type of MR structures involving pure metallic components. These systems exhibit a combined metal-insulator and ferro-paramagnetic transition, and a complete interpretation of such complex phenomenology lies beyond the present review, addressing the reader to specialized works [28]. As an example, in Figure 2D we present characteristic resistivity curves as a function of the temperature for a Mn-based perovskite oxide (La0.75Ca0.25MnO3) [29]. As it can be observed, starting from low temperatures the resistivity of these materials increases with temperature, with a dramatic jump at a particular temperature, Ts. This large jump happens to be magnetic field dependent, and the relative change of the resistivity with the magnetic field can be huge. This interesting effect has been observed in a variety of oxide compounds and, as mentioned, its origin is related to a ferromagnetic metal - paramagnetic insulator transition. In Figure 2D we also present characteristic curves of the magnetization as a function of temperature for different magnetic fields. There we can see that, for temperatures lower than Ts, where the resistivity is low, the magnetization follows the magnetic field dependence of a ferromagnet, whereas above Ts, where the resistivity is much higher, the magnetization follows the magnetic field dependence of a paramagnet. So far, and even though progress has been made to increase Ts and decrease the required magnetic fields, the results thus obtained are still too low and too high, respectively, for many practical applications.
To conclude this Section 2, we would like to emphasize that there are a pretty large variety of structures and materials combinations which share the common characteristic of providing a change in electrical resistivity under application of a magnetic field. This wide diversity, from a photonic point of view, provides with a huge versatility since a large range of optical constants will be available depending on the selected spintronic material/component.
3 The Magneto Refractive Effect (MRE)
In the preceding section we have discussed the spintronic effects on the DC conductivity; in this section, we will review the optical counterpart of these effects. The linear optical response of materials can be described either by the dielectric tensor, ε(ω) (or complex refractive index, n+ ik :

Linear and quadratic dependence of magnetization related optical effects. (A) Dielectric tensor of an isotropic ferromagnet fully magnetized along the x direction. M represents the magnetization, and a, b and c are coefficients related to the Magneto Optical (MOE), Magneto Refractive (MRE) and Orientational Magneto Optical (OME) effects, respectively. (B) Reflectivity vs magnetic field curves showing the different magnetic field dependence of the linear (OME) and quadratic (MRE, OME) effects, respectively.
![Figure 4: Magnetic field dependence of magneto-transport and corresponding MRE in different types of spintronic structures. (A) Curves of the relative change of the resistivity (black) and optical transmission at 10.6 μm ( red ) as a function of the in-plane magnetic field for a Ni80Fe20/Cu/Co/Cu multilayer. From ref [13], J. C. Jacquet and T. Valet, “A new magnetooptical effect discovered in magnetic multilayers: the magnetorefractive effect,” Mat. Res. Soc. Symp. Proc., vol. 384, 477, 1995, with permission. (B) Curves of the relative change of the resistivity (upper panel) and optical transmission at 5 μm (lower panel) as a function of the in-plane magnetic field for a Fe/Cr/Fe trilayer From ref [52], https://doi.org/10.1103/PhysRevB.57.2705, with permission. (C) Curves of the relative change of the resistivity (black) and IR integral reflectivity (red) as a function of the in-plane magnetic field for a Spin Valve. From M. Vopsaroiu, M. G. Cain, and V. Kuncser, “The integral magnetorefractive effect: a method of probing magneto-resistance,” J. Appl. Phys., vol. 110, p. 056103, 2011, with the permission of AIP Publishing. (D) Curves of the relative change of the resistivity (dots) and reflectivity at 8.84 μm (squares) as a function of the in-plane magnetic field for a Co43Al22O35 nanocomposite film Reprinted by permission from Springer Nature: Springer Nature Physics of the Solid State, Magnetorefractive effect in granular alloys with tunneling magnetoresistance, I. V. Bykov et al, [77], Copyright 2005.](/document/doi/10.1515/nanoph-2020-0250/asset/graphic/j_nanoph-2020-0250_fig_004.jpg)
Magnetic field dependence of magneto-transport and corresponding MRE in different types of spintronic structures. (A) Curves of the relative change of the resistivity (black) and optical transmission at 10.6 μm ( red ) as a function of the in-plane magnetic field for a Ni80Fe20/Cu/Co/Cu multilayer. From ref [13], J. C. Jacquet and T. Valet, “A new magnetooptical effect discovered in magnetic multilayers: the magnetorefractive effect,” Mat. Res. Soc. Symp. Proc., vol. 384, 477, 1995, with permission. (B) Curves of the relative change of the resistivity (upper panel) and optical transmission at 5 μm (lower panel) as a function of the in-plane magnetic field for a Fe/Cr/Fe trilayer From ref [52], https://doi.org/10.1103/PhysRevB.57.2705, with permission. (C) Curves of the relative change of the resistivity (black) and IR integral reflectivity (red) as a function of the in-plane magnetic field for a Spin Valve. From M. Vopsaroiu, M. G. Cain, and V. Kuncser, “The integral magnetorefractive effect: a method of probing magneto-resistance,” J. Appl. Phys., vol. 110, p. 056103, 2011, with the permission of AIP Publishing. (D) Curves of the relative change of the resistivity (dots) and reflectivity at 8.84 μm (squares) as a function of the in-plane magnetic field for a Co43Al22O35 nanocomposite film Reprinted by permission from Springer Nature: Springer Nature Physics of the Solid State, Magnetorefractive effect in granular alloys with tunneling magnetoresistance, I. V. Bykov et al, [77], Copyright 2005.
In the previous section we have put in evidence the different nature of the mentioned spintronic effects, the materials systems or complex structures exhibiting them, and the corresponding physical mechanisms underlying. This section now will follow a parallel logic, describing the corresponding optical phenomena associated to the spintronic AMR, GMR, TMR and CMR effects.
3.1 The MRE for AMR systems: The Orientational Magneto Optic Effect
Interestingly enough, three decades before the advent of Spintronics Krinchik and coworkers discovered what they called the Orientational Magnetooptic Effect (OME). It consisted on a change in intensity of the reflected light off different ferromagnetic metals in the 0.8–2.5 µm spectral range, which depended on the relative orientation of the magnetization with respect to the light polarization plane [44], [45]. This pretty much corresponds to the optical counterpart of the AMR, which accounts for the dependence of the electrical resistivity on the relative orientation of the electrical current and the magnetization. Krinchik’s measurement configuration was basically that of the equatorial (or transverse) Kerr effect but, unlike it, the OME did not change sign when reverting sign of the magnetization. This means it was quadratic instead of linear with respect with the magnetization, as we have shown in the R vs H graph for MRE and OME in Figure 3B. In Krinchik’s work considered spectral range, the main contribution to the optical properties comes from interband transitions, and the observed effect was attributed to modification of these transitions, induced by the spin–orbit interaction.
Moving forward to the Spintronics era, the consequences on the optical properties of systems due to the presence of AMR were also studied. In 1999 [46] van Driel and coworkers carried out a systematic investigation measuring the magnetic linear dichroism for IR light in several ferromagnetic alloy films. They attributed the observed difference in transmission between light polarized parallel and perpendicular to the magnetization direction of the films to the AMR. Explored in this case in the 2.5–20 µm range, again with conduction electrons as main contributors to the optical properties, the observed effect was considered as the analogous to the MRE observed in GMR systems recently discovered, and was interpreted in terms of a Drude-type two current model.
3.2 MRE in GMR systems
Right after its discovery, the number of systems where the presence and optimization of GMR was studied rapidly increased, with a large diversity of proposals in terms of structuring and materials choices. A large variety of works appeared, growing and characterizing multilayers based in the periodic repetition of a bilayer building block (like the Fe/Cr in the pioneering works). Other alternatives were also considered, such as multiple layers of different ferromagnetic materials each with a specific functionality to optimize antiparallel arrangement of the ferromagnets (exchange biased spin valves), or even granular alloys where metallic aggregates of ferromagnetic metals were embedded in a metallic matrix. However, the exploration of the GMR effects on the IR optical properties was limited by the availability in the same laboratory of magneto transport and magnetic characterization techniques, as well as suitable MO setups. In spite of the technical challenge, different groups involved in the growth and study of spintronic systems soon explored the corresponding MRE properties. Apart from the Ni80Fe20/Cu/Co/Cu multilayers of Jacquet and Valet MRE pioneering work [13], various other systems have been studied in the near and far infrared range, such as Co/Cu [34], [36], [47], [48] and CoFe/Cu multilayers [40], [49], [50], [51]; Fe/Cr structures [52], [53], [54]; granularly alloyed CoAg films [32], [33], [55]; or spin valves with CoFe ferromagnetic layers [39], [56], [57]; and others [37], [58]. In nearly all these systems the strength of the magnetic field that is needed to change the relative orientation of the magnetization of the ferromagnetic entities (i.e.: from AP to P states) is in the range of KOe, and the maximum intensity of the magnetic modulation of the IR optical response depends on the material, varying between 0.2 to 7% (see Table 1).
MRE intensities in a variety of spintronic structures: Columns from left to right: Type and composition of the structures. Representative values of the magnetic field induced changes of the electrical resistivity. Spectra range of the optical measurements. Absolute value of the maximum of the MRE spectra in transmission (ΔT/T) or reflection (ΔR/R). Characteristic magnetic fields at which the MRE spectra were obtained.
| Material GMR-Like | Δρ/ρ (%) | Spectral Range (μm) | ΔT/T (%) | ΔR/R (%) | H (Oe) | Ref. |
|---|---|---|---|---|---|---|
| Ni80Fe20/Cu/Co | 13.9 | 2–20 | 5 | - | 600 | (13) |
| Co/Cu | 50–65 | 2.5–22.5 | - | 5.4–7.2 | 13K–9 K | (34),(47) |
| CoFe/Cu | 13–28.3 | 1–25 | 1.5 | 0.08–1.2 | 2 K–12 K | (40),(49), (50),(51) |
| Fe/Cr | 3.8–11 | 2-13 | 1.1-0.8 | 0.18–1.8 | 3.5 K–9 K | (52),(53),(54) |
| NiCoFe/Cu | 20 | THz | 20 | - | 1 K | (42) |
| Ni81Fe19/Au | 4 | 2–15 | 2.8 | 0.045 | 30 | (61),(63) |
| CoAg granular | 5.5–6.5 | 2–18.2 | 1.1 | 0.75 | 1.5 K–4 K | (55),(32) |
| Spin-Valves | ||||||
| PtMn/CoFe-Ru/Cu/CoFe-Py FeMn;NiO/Py/Cu CoOx/Co/Cu/Co/Fe | 7.2 3.6–6.4 2.2 | 2.5–20 2.5–22.5 2.5–25 | - 2-2.5 1.4 | 1.8 - - | 9 K 50 300 | (56) (60) (57) |
| Granular dielectric TMR-like | ||||||
| CoFe- Al2O3 (HfO2) CoFe/ Al2O3 (MLs) CoFe-MgF CoFeZr-SiO2 Co- Al2O3 Fe-SiOn | 4.3-7.5 5.5 7.5 3.5 8 1.2 | 2.5–25 2.5–22 2-20 1.43–20 1.43–20 1.43–20 | - - - - - - | 0.35–0.45 2.55 1.5 0.1 0.8 0.2 | 12 K 4 K 1.7 K 1.7 K 2.2 K 2.2 K | (70) (65),(66) (75) (76) (76) (76) |
There is experimental evidence of MRE mediated magnetic modulation all the way to the THz regime, where transmission measurements under a magnetic field have been also carried out. In Figure 5 we present a layout of the transmission experiment using a standard THz time-domain spectroscopy arrangement, and the results as a function of the applied magnetic field obtained by Jin and coworkers [42]. As it can be seen, the THz transmitted pulse gradually decreases its amplitude as the magnetic field increases, along with the corresponding increase of the sample conductivity concomitant to the GMR effect. In their work, Jin et al. obtained a magnetic modulation of the transmission as high as a 20% relative change for applied magnetic fields around 1 KOe in NiCoFe/Cu multilayers with GMR values of 20%.
![Figure 5: Terahertz magnetospectroscopy experiment showing 20% magnetic modulation. Schematic of the terahertz magnetospectroscopy experimental setup. The polarization of the electric field of the terahertz pulse and that of the applied magnetic field are in the plane of the sample. Transmitted terahertz pulse as a function of applied magnetic field for a NiCoFe/Cu GMR multilayer. A reduction of the pulse amplitude by 20% is clearly observed (see lower inset). Reprinted by permission from Springer Nature: Springer Nature, Nature Physics, Accessing the fundamentals of magnetotransport in metals with terahertz probes, Zuanming Jin et al, [42] Copyright 2015.](/document/doi/10.1515/nanoph-2020-0250/asset/graphic/j_nanoph-2020-0250_fig_005.jpg)
Terahertz magnetospectroscopy experiment showing 20% magnetic modulation. Schematic of the terahertz magnetospectroscopy experimental setup. The polarization of the electric field of the terahertz pulse and that of the applied magnetic field are in the plane of the sample. Transmitted terahertz pulse as a function of applied magnetic field for a NiCoFe/Cu GMR multilayer. A reduction of the pulse amplitude by 20% is clearly observed (see lower inset). Reprinted by permission from Springer Nature: Springer Nature, Nature Physics, Accessing the fundamentals of magnetotransport in metals with terahertz probes, Zuanming Jin et al, [42] Copyright 2015.
Regarding the physical mechanism responsible for the MRE in GMR systems, and despite the fact that interband transitions may play a role [48], it has been shown that a good description of the effect can be obtained taking only into account the contributions of conduction electrons. In this context, the conductivity is more suited to describe the linear optical response. Moreover, the contribution of the conduction electrons to the conductivity can be split into two parts, each one corresponding to one of the two spin orientations. Therefore, according to this simple model, when the system is in the parallel configuration (fully magnetized), the conductivity can be expressed as:
τ↓,↑ and σ↓,↑(DC) are the spin-dependent electron relaxation times and the dc conductivities for each spin channel. This DC conductivity is related to the electron mass (m) and electron density (n) as :
σAP(DC) and τAP are the DC conductivity and relaxation time for the AP configuration, respectively. They can also be treated as empirical parameters. Obviously, the conductivity of the AP and P states must be related, and different approaches have been proposed to connect them, such as to assume equal electron concentration and masses for both spins and correlate the relaxation times of the AP and P states as: 1/τAP =(1/2)*(1/τ↑+1/τ↓), or to express the conductivities of the AP and P states in terms of the conductivities of the spin up and spin down electrons [13], [59], [60], [61]. Finally, the differences in the conductivity results in a difference of the optical properties for the two magnetic states of the system.
In terms of practical applications, to maximize the MRE signal along with reducing the required magnetic field is an extremely important added value. In this sense, the use of the NixFe1-x (x≈0.8) type of alloys is of great convenience due to their very low saturation fields, and multilayers, spin valves and granular systems in which the ferromagnetic component is this material have demonstrated large GMR values at low magnetic fields [19], [20], [21], [62]. With this in mind, and for example using Ni80Fe20 as the ferromagnetic component, MRE values equivalent to those obtained for high fields in other systems were reported in a series of spin valves by van Driel et al. [60]. As it can be seen in Figure 6, the spectra of the magnetic field modulation of the transmission at normal incidence are presented for two different types of Ni80Fe20 based exchange-biased spin valves. The difference between these two groups is the antiferromagnetic (AF) exchange biasing layer, which pins the magnetization of the adjacent Ni80Fe20 layer. In one group this AF layer is metallic (Fe50Mn50) and it is located at the top of the structure and in the other group it is insulating (NiO) and located at the bottom of the structure. In these structures, the Ni80Fe20 layer which is not in contact with the AF layer can switch the relative orientation of its magnetization with respect to the pinned Ni80Fe20 layer, between parallel (P) and antiparallel (AP), giving rise to a change of the in-plane resistivity (GMR). The magnetic field needed to produce this switching is approximately 50 Oe. The GMR value depends on the thickness of the non-magnetic Cu layer, and so do the MRE spectra, which also show a tendency to increase their intensities with the increase of the GMR values.
![Figure 6: MRE in two Ni80Fe20 based types of spin valves.MRE spectra (ΔT/T=(TAP-TP)/Tp ) of unpolarized light at normal incidence of the spin valves schematically represented on the top part of the figure for different values of the Cu layer thickness. The lines are guides to the eye. From ref [60], https://doi.org/10.1103/PhysRevB.61.15321, with permission.](/document/doi/10.1515/nanoph-2020-0250/asset/graphic/j_nanoph-2020-0250_fig_006.jpg)
MRE in two Ni80Fe20 based types of spin valves.MRE spectra (ΔT/T=(TAP-TP)/Tp ) of unpolarized light at normal incidence of the spin valves schematically represented on the top part of the figure for different values of the Cu layer thickness. The lines are guides to the eye. From ref [60], https://doi.org/10.1103/PhysRevB.61.15321, with permission.
Recently, sizeable MRE values at very low magnetic fields (a few tens of Oe) have been reported in the Ni81Fe19/Au multilayer system [61], [63]. In the upper panel of Figure 7A we show schematics of such multilayer, typically deposited on CaF2(111) single crystalline substrates with a Ti seed layer. Accordingly, in the lower panel of Figure 7A we present the magnetic field modulation of the transmission at normal incidence for two Ni81Fe19/Au multilayers with different Au layer thicknesses. The difference in the Au thicknesses results in a difference of the GMR values (4% for 2.3 nm Au, 0.8% for 3.3 nm), with in turns give rise to a difference in the intensity of the magnetically modulated IR signals. However, the effect of this variation in the Au thickness on the optical properties of the multilayer is very small. For example, in the upper panel of Figure 7B we present the effective dielectric constant for the two Ni81Fe19/Au multilayers shown in Figure 7A. As it can be observed the effective dielectric constants are very similar, showing the multilayer with higher amount of Au a more metallic character. However, and in accordance with the MRE spectra, the magnetic modulation of the effective dielectric constant for these two multilayers is very different (lower panel of Figure 7B). In particular, the intensity of such modulation increases as we increase the GMR value of the multilayer. The dots correspond to the experimental data and the lines are fits using the model of ref 61. Worth to mention is the information that can be extracted from the spectral dependence of the magnetic modulation of the optical properties and, in particular, of the spin up vs. spin down ratio of both, scattering time and electron concentration. For example, in the lower panel of Figure 7B we also present the theoretical changes of the effective dielectric constants for a multilayer with 4% GMR value, but with different relative concentration of spin up and spin down conduction electrons and relaxation times (black lines and gray dashed lines). A change of only 5% in the relative concentration of the conduction electrons, Δn/n=(n↓-n↑)/ (n↓+n↑), gives rise to a strong increase and a red shift of the real part of the dielectric constant, but with similar changes in the imaginary part (gray dashed lines Δn/n = 0, black lines Δn/n = 5%). On the other hand, in this spectral range the changes of the dielectric constants are less sensitive to the differences of the relaxations times between the two spins, which for this specific case are very similar, 19.6% (gray dashed lines) and 24.5% (black lines), respectively.
![Figure 7: Schematic, MRE spectra, dielectric constant and magnetic modulation of dielectric constant in Ni81Fe19/Au multilayers with different values of GMR. (A) Upper panel. - Schema of the Ni81Fe19/Au multilayer internal structure. Lower panel. - MRE spectra (ΔT/T=(TP -TAP)/TAP) of unpolarized light at normal incidence for two multilayers with different Au thicknesses. (B) Upper panel. - Spectra of the real (full dots) and imaginary (empty dots) parts of the effective dielectric constant of the two multilayers: dots are experimental values and lines theoretical fits. Lower panel. - Spectra of the difference of the dielectric constants, Δε = εP-εAP (full dots: real part; empty dots: imaginary part) for the two multilayers. The dots correspond to experimental values, the red lines represent a theoretical fit for a multilayer with 0.8% GMR, and the gray dashed lines and black lines represent two theoretical simulations for a multilayer with 4% GMR, (see text). Adapted with permission from ref [61], © The Optical Society.](/document/doi/10.1515/nanoph-2020-0250/asset/graphic/j_nanoph-2020-0250_fig_007.jpg)
Schematic, MRE spectra, dielectric constant and magnetic modulation of dielectric constant in Ni81Fe19/Au multilayers with different values of GMR. (A) Upper panel. - Schema of the Ni81Fe19/Au multilayer internal structure. Lower panel. - MRE spectra (ΔT/T=(TP -TAP)/TAP) of unpolarized light at normal incidence for two multilayers with different Au thicknesses. (B) Upper panel. - Spectra of the real (full dots) and imaginary (empty dots) parts of the effective dielectric constant of the two multilayers: dots are experimental values and lines theoretical fits. Lower panel. - Spectra of the difference of the dielectric constants, Δε = εP-εAP (full dots: real part; empty dots: imaginary part) for the two multilayers. The dots correspond to experimental values, the red lines represent a theoretical fit for a multilayer with 0.8% GMR, and the gray dashed lines and black lines represent two theoretical simulations for a multilayer with 4% GMR, (see text). Adapted with permission from ref [61], © The Optical Society.
3.3 MRE in TMR and nanocomposite systems
Not surprisingly, the interest raised about the MRE in GMR systems occurred again with the discovery of the TMR. This was specially so because magnetic tunnel junctions are extremely delicate devices, very sensitive to statics, and whose cross checking without the need of electrical contacts is a great advantage. To mention a few examples, TMR systems where the MRE has been studied includes: different ferromagnetic continuous layers with spacers like MgO [64], Al2O3 [65], [66], or C [67]; a variety of metal-dielectric granular structures such as CoFe and similar ferromagnetic clusters in Al2O3, HfO2, SiOx or MgO matrices [68], [69], [70], [71], [72], [73], [74], [75], [76]; or so-called metal-insulator alloys [77]. As a representative example, in Figure 8 A we present MRE reflectivity spectra corresponding to (CoFe)x(Al2O3)1-x (upper graph) and (CoFe)x(HfO2)1-x (lower graph) granular films for different compositions (x). As it can be observed, both compounds show sharp features in the MRE spectra around the frequencies of the longitudinal optical phonon modes of the dielectric matrices [70]. Also in Figure 8B we present experimental (upper graph) and simulated (lower graph) reflectivity and MRE reflectivity spectra of a CoAlO nanocomposite film [77]. As it can be seen, both, reflectivity and MRE spectra, show an oscillatory behavior due interference effects between the film and substrate. A good description of the experimental spectra is obtained assuming that the MRE effect is due to the magnetic field dependence of the tunnel current between adjacent grains, being the tunnel probability between the grains independent on the frequency. Therefore, the magnetic field dependence of the conductivity can be expressed as:
with ρ(H) the DC electric resistivity, which depends on the applied magnetic field. Consequently, the changes in the complex refractive index can be related to the changes in the DC resistivity as follows.
with n0, k0 the refractive index and absorption coefficient at cero field [76] (for simplicity the frequency dependence of n0, k0 has been omitted). This simple model serves also for a qualitative description of other granular systems, but fails at explaining the observed features related to the longitudinal optical modes in CoFe-Al2O3, CoFe-HfO2 granular films or Fe/MgO tunnel junctions, which strongly suggests that the optical vibrational modes of the matrix/spacer layer may also play a role in this magnetic field dependence of the optical response [78]. In fact, this represents a very good example of the complexity of describing MRE effects in TMR-like systems, where tunnel current between adjacent metallic entities may depend of several factors such as the nature of the barrier, the quality and crystallographic orientation of the metal/dielectric interface, etc. In spite of this lack for a simple theoretical interpretation, the TMR values as high as 400% at RT reported in specific systems [26] offer great deal of motivation for further exploring the MRE associated to TMR systems.
![Figure 8: MRE spectra for different types of TMR systems. (A) p-polarized MRE spectra (ΔR/R=(RH-RH=0)/RH=0) for (CoFe)x (Al2O3)1-x (upper graph) and (CoFe)x (HfO2)1-x (lower graph) granular films with different metallic concentration (x) for H = 12 kOe, Reproduced from ref [70], https://doi.org/10.1103/PhysRevB.79.144409, with permission. (B) Experimental (upper graph) and simulated (lower graph) MRE spectra (ΔR/R=(RH=0-RH)/RH=0 (solid lines) and reflectivity R spectra (dashed lines) for a Co51.5Al19.5O29 nanocomposite film obtained with s- and p-polarized light for H = 1600 Oe, Reprinted by permission from Springer Nature: Springer Nature Physics of the Solid State, Magnetorefractive effect in granular alloys with tunneling magnetoresistance, I. V. Bykov et al, [77], Copyright 2005.](/document/doi/10.1515/nanoph-2020-0250/asset/graphic/j_nanoph-2020-0250_fig_008.jpg)
MRE spectra for different types of TMR systems. (A) p-polarized MRE spectra (ΔR/R=(RH-RH=0)/RH=0) for (CoFe)x (Al2O3)1-x (upper graph) and (CoFe)x (HfO2)1-x (lower graph) granular films with different metallic concentration (x) for H = 12 kOe, Reproduced from ref [70], https://doi.org/10.1103/PhysRevB.79.144409, with permission. (B) Experimental (upper graph) and simulated (lower graph) MRE spectra (ΔR/R=(RH=0-RH)/RH=0 (solid lines) and reflectivity R spectra (dashed lines) for a Co51.5Al19.5O29 nanocomposite film obtained with s- and p-polarized light for H = 1600 Oe, Reprinted by permission from Springer Nature: Springer Nature Physics of the Solid State, Magnetorefractive effect in granular alloys with tunneling magnetoresistance, I. V. Bykov et al, [77], Copyright 2005.
3.4 MRE in CMR-like and oxide systems
In connection with the large changes in the resistivity observed in manganites with CMR, magnetic field modulations of the far infrared optical response of the order of 30-50% have been observed at low temperature in a variety of CMR manganites compounds [43], [79]. However, the number of manganites with sizable RT magnetic modulation is much more scarce. For example, a 6% magnetic modulation for a magnetic field of 8 KOe has been obtained in La0.67Sr0.33MnO3 [80], whereas values of 15% have been reported for La0.8Ag0.1MnO3+d [81]. On the other hand, the magnetic field induced modifications of the optical properties in CMR oxides involve, not only the change in the conductivity induced by the magnetic field, but also other aspects, such as modifications of the band structure, or the appearance of different magnetic phases within the compound. All these mechanisms make the description of the MRE effect in CMR oxides very challenging. Finally it is worth mentioning that MRE has also been reported in a number of manganite/oxide systems that exhibit CMR in the visible and near-IR NIR [82], [83], [84], [85], [86], [87], [88].
4 Photonic structures controlled via MRE
In this final section we are going to present a compilation of the results where spintronic-based systems are utilized to develop a variety of active photonic platforms. Several approaches have been pursuit, including their use in granular structures where the granulates themselves are spintronic materials, the use of GMR multilayers as base material to fabricate the building blocks of metasurfaces or, finally, the incorporation of CMR materials into photonic crystals (PC) or hybrid plasmonic structures.
4.1 Spin plasmonics in granular systems
Following their work on plasmonic enhanced THz transmission in random metallic media [89], [90], Elezzabi and co-workers have recently studied the effect that a magnetic field has on the light transmitted through millimeter thick layers of Co microparticles aggregates. They observed a strong dependence of the THz transmission attenuation and delay on the relative orientation of the applied magnetic field and the polarization of the incident light, denoting the effect as Photonic Anisotropic Magnetoresistance (PAM) [91] (see Figure 9 A).
![Figure 9: THz spin plasmonics in granular systems. (A) Time domain transmitted THz waveforms through a 2 mm thick sample of 74 μm Co particles for different values of the magnetic field applied parallel (right panel) or perpendicular (left panel) to the polarization of the pulse. From ref [91], https://doi.org/10.1103/PhysRevLett.96.033903, with permission. (B) Normalized THz electric field amplitude (left panel) and magnetic field induced delay (right panel) of the THz pulse transmitted through Co particle ensembles having different Au surface coverages versus magnetic field strength for a magnetic field applied parallel to the polarization of the pulse. Au surface coverage: 0% (red diamonds), 35% (blue circles) and 42%( green squares). From ref [93], https://doi.org/10.1103/PhysRevLett.98.133901, with permission.](/document/doi/10.1515/nanoph-2020-0250/asset/graphic/j_nanoph-2020-0250_fig_009.jpg)
THz spin plasmonics in granular systems. (A) Time domain transmitted THz waveforms through a 2 mm thick sample of 74 μm Co particles for different values of the magnetic field applied parallel (right panel) or perpendicular (left panel) to the polarization of the pulse. From ref [91], https://doi.org/10.1103/PhysRevLett.96.033903, with permission. (B) Normalized THz electric field amplitude (left panel) and magnetic field induced delay (right panel) of the THz pulse transmitted through Co particle ensembles having different Au surface coverages versus magnetic field strength for a magnetic field applied parallel to the polarization of the pulse. Au surface coverage: 0% (red diamonds), 35% (blue circles) and 42%( green squares). From ref [93], https://doi.org/10.1103/PhysRevLett.98.133901, with permission.
The Photonic Anisotropic Magnetoresistance effect is somehow the equivalent to a plasmon-mediated OME in the THz range, with relative differences of the transmission delays as high as 15% for 1800 Oe. Elezzabi and co-workers latter showed that such asymmetry of the THz transmission and delay could be modified by changing the particle surface morphology and the material (Ni instead of Co) [92], expanding the versatility of this approach. Worth to mention is that in these Ni microparticles aggregates the relative change of the transmitted power induced by the magnetic field can be as high as 20% at 1200 Oe.
These studies have also been extended to assemblies of bimetallic ferromagnetic/non ferromagnetic microparticles [93]. The ferromagnetic microparticles were made of Co, with 74 µm average diameter and were covered with Au layers deposited by sputtering. The number of successive Au deposits on reoriented Co microparticles controlled the full coverage of the Co particles with Au as well as the Au percentage in the final assembly. In these structures, they observed that the Au coated Co microparticles exhibited an enhancement of the magnetic field controlled attenuation of the THz radiation propagated through the sample (Figure 9 B left panel) as well as an increase of the magnetic field induced delay (Figure 9 B right panel). This effect was attributed to an electromagnetically induced electron spin accumulation in the non-ferromagnetic coating, and were also observed for other bimetallic microparticles [94].
In the same vein, metal-dielectric composites with variable metal volume fraction, have been analyzed. They were obtained by mixing Co and sapphire microparticles in different proportions. In these systems, a magnetic field induced modification of the direction of the propagation of THz pulses was shown [95]. Besides, active plasmonic directional routers and active plasmonic cylindrical lenses where also theoretically explored based on these ensembles of ferromagnetic and dielectric microparticles [96].
Also in the line of this subsection, mention that very recently Bhatta and co-workers [97] were able to synthesize single-domain 8.7 nm size Co nanoparticles. They observed a sharp absorption peak at 280 nm, which they attributed to a spin polarized Plasmon resonance. Spin-polarization transfer [98] and plasmon-induced carrier polarization [99] are two effects that have also been observed in different types of nanocrystals.
4.2 Active IR Spintronic-plasmonic metasurfaces
As mentioned in Section 3.2, Ni81Fe19/Au multilayers present sizeable MRE values at pretty low magnetic fields, and can be deposited using standard thin film techniques, such as thermal evaporation or sputtering, which allow the required control of the individual Au layers’ thickness at the atomic level. For example, 4% GMR is achieved for 2.3 nm Au spacer thickness, while it vanishes for 1.9 and 2.6 nm [61].
Based on Ni81Fe19/Au multilayers, magnetic field control of the mid IR response in a variety of metastructures has recently been demonstrated, with predicted perspectives of continuous increased modulation for longer wavelengths [100], [101], [102]. Different aspects have actually been considered, such as the magnetic modulation of propagating and localized plasmons, or how the shape and size of the nanostructures affect their performance. In this line, in Figure 10 we show the first example, consisting of an ordered array of circular micrometric holes in an extraordinary optical transmission like fashion fabricated in a Ni81Fe19/Au GMR multilayer [101]. The ordering and lattice parameter of the array of the holes makes possible the excitation of propagating plasmon polaritons at the desired wavelength. Two multilayers (one presenting and one lacking GMR) were patterned with a 5 µm periodicity holes’ array. Since, as mentioned before, achieving GMR depends so critically on the Au spacer thickness, this allowed handling multilayers with just minute differences in Au amount (and therefore almost identical Ni81Fe19 vs Au concentration) but with presence or absence of GMR. A third one, exhibiting GMR, was patterned with a 7 µm periodicity holes’ array. In Figure 10 A we present transmission spectra for these three samples, with well-defined peaks well known to be associated to the excitation of propagating plasmons. As it can be seen, the transmission spectra for the two samples with identical periodicity and just slightly different amount of Au was basically the same, while the multilayer patterned with a different periodicity shows a similar spectral structure but with the peaks shifted. A more systematic analysis [101] reveals the dispersive nature of the excited modes. The results on the magnetic field modulation in these structures are shown in Figure 10 B. As it can be seen, clear derivative-like features appear in the spectral positions corresponding to the resonances of the two structures fabricated out of GMR multilayers. Interestingly enough, no feature whatsoever is observed in the structure lacking GMR. Since the only difference between this structure and the equivalent one was the absence/presence of GMR, this clearly allows concluding that the mechanism underlying this magnetic modulation lies in the GMR, namely in the MRE that carries as a consequence of the spintronic effect the change in the optical constants of the GMR multilayer.

MRE mediated magnetic modulation of propagating plasmons in the mid IR. (A) Normalized transmission spectra at normal incidence for unpolarized light for membranes fabricated on Ni81Fe19/Au multilayers without GMR (blue line 5 μm period) or with GMR (black line 3.8% GMR and 5 μm period, red line 4.2% GMR and 7 μm period). The spectra show the characteristic Extraordinary Optical transmission (EOT) peaks, linked to the excitation of propagative plasmons. The inset shows an SEM image of a membrane fabricated on a Ni81Fe19/Au multilayer. (B) MRE spectra (ΔT/T=(TP-TAP)/TAP) for the same membranes. The membrane fabricated on the multilayer without GMR shows no signal (blue line), whereas the membranes fabricated on the multilayers with GMR (black and red lines) show derivative like features at the position of the EOT peaks, due to the modulation of propagative plasmons, superimposed to a broad band originated from the multilayer. The inset shows a schema of the membrane with its internal structure.
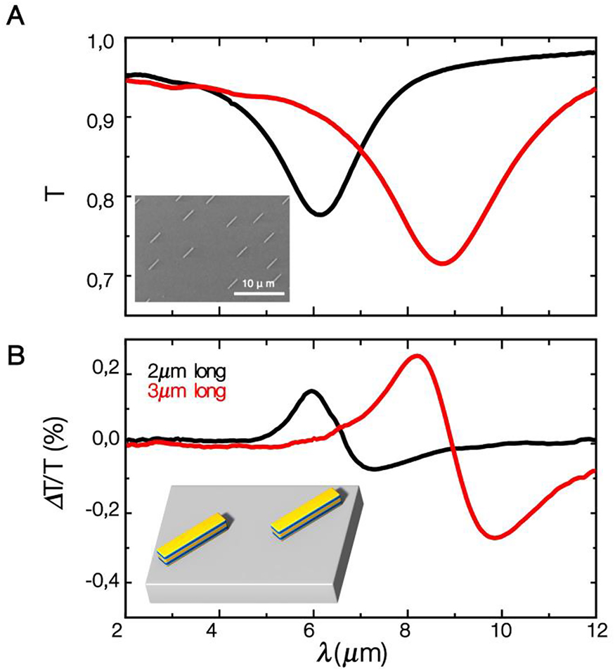
In the second example, a disordered array of rods is considered. Rods are extensively studied as plasmonic nanoantennas and are well known to exhibit strong electric dipolar resonances when excited with the electric field along the main axis. The rods dimensions were chosen to observe the desired electric dipolar resonance in the 2–12 µm range. In Figure 11 A we show the transmission spectra for the electric field polarization along the rods main axis, clearly observing the excitation of the rods localized plasmon resonance, which is characterized by a profound dip in the transmission spectrum. As we increase the rod length, the position of the resonance shifts towards longer wavelengths. Application of magnetic field again gives rise to a clear modulation of this resonance, as it can be seen in Figure 11 B. As in the previous case, a derivative-like spectral feature appears now in the modulation spectra in the wavelength region corresponding to the rod resonance.

MRE mediated magnetic modulation of rods localized plasmons in the mid IR. (A) Transmission spectra for random arrays of rods fabricated on a Ni81Fe19/Au multilayer with 3.8 % GMR, for two different rod lengths 2 μm (black line) and 3 μm (red line), respectively. The rod width is in both cases 0.3 μm. Light is polarized along the rod long axis and the dips in the transmission correspond to the excitation of the rod localized plasmon resonance. The inset shows an SEM image of the 3 μm rod array. (B) MRE spectra (ΔT/T=(TP-TAP)/TAP) for the same rod arrays (black line: 2 μm long rods, red line: 3 μm long rods). Light is polarized along the rod long axis. The spectra show a derivative like features at the position of rod resonances. The inset shows a schema of the Ni81Fe19/Au multilayer rods.
Finally, the third system consists of a disordered array of slits [102]. This last example allows exploring additional aspects with respect to the two previous ones. Unlike the ordered circular holes, the disorder arrangement of the slits minimizes the excitation of propagating plasmons and other possible diffraction effects. In addition, its in-plane aspect ratio is such that strong magnetic dipole localized resonances can be excited provided the electric field is perpendicular to the slit main axis. With this in mind, the reflectivity spectra of two arrays with different slit lengths are plotted in Figure 12 A. The expected redshift for the slit resonance upon increasing the slit length is well observed, with also an increase in the intensity of the resonance peak for longer wavelengths, due to the improved coupling of the light with the slit. Finally, the results of the magnetic modulation of these resonances are shown in Figure 12 B. As it can be seen, and as already observed in the previous sections, the dip feature in the reflectivity is associated now with a derivative-like feature in the magnetic modulation spectra, its position red shifting and intensity increasing accordingly with the optical part.

MRE mediated magnetic modulation of slits localized plasmons in the mid IR. (A) Reflectivity spectra for random arrays of slits fabricated on a Ni81Fe19/Au multilayer with 3.8 % GMR, for two different slit lengths 2 μm (black line) and 3 μm (red line), respectively. The slit width is in both cases 0.3 μm. Light is polarized perpendicular the slit long axis and the dips in the reflectivity correspond to the excitation of the slit localized plasmon resonance. The inset shows an SEM image of the 3 μm slit array. (B) MRE spectra (ΔR/R=(RP-RAP)/RAP) for the same slit arrays (black line: 2 μm slit length, red line: 3 μm slit length). Light is polarized perpendicular to the slit long axis. The spectra show a derivative like feature at the position of slit resonance superimposed to a broad band originated from the multilayer. The inset shows a schema of the slits fabricated on a Ni81Fe19/Au multilayer.
From an applied point of view, a very clear practical realization of the spintronic control of resonant antennas as non-volatile optical switches was proposed in 2012 by Ogasawara and co-workers [103]. In their work, they theoretically considered the use of an array of nanoscale dipole antennas composed of Co/Cu GMR multilayers with parallel (P) and antiparallel (AP) magnetization alignments by using a fist-principle electronic structure calculation and a finite difference time domain electromagnetic field analysis. They predict changes in the extinction efficiency of more than 40% in the IR region due to AP-P magnetic induced switching.
4.3 MRE modulation of fully dielectric photonic systems
So far, in all the structures considered in the previous subsections the spintronic character is introduced via a ferromagnetic metal. Due to this metallic character, the optical response of all these structures involves plasmonic-like excitations, being the magnetic field control induced by the metallic component of the structure. In this section here the spintronic material will be an oxide, with optical properties obviously quite different from those of a metal, difference that should be taken into consideration for the design of the corresponding active photonic structures. In this context, two approaches have been considered to exploit the magnetic field induced changes of the optical response of CMR oxides.
The first approach exploits the dielectric-like character of the CMR oxides integrating them into resonant dielectric structures, such as PC. PC structures, a concept first developed for dielectric compounds [104], [105], exploit the different optical properties of their constituents to control the flow of light and optical response of system. A smart inclusion of the CMR oxide into the PC structure allows an enhancement of the oxide MRE response and, therefore, a magnetic field control of the optical response of the system, generating the so-called Magneto Photonic crystals [106]. As an example, lanthanum strontium manganese oxide (La0.67Sr0.63MnO3) has been proposed as CMR material, exhibiting 6% magneto resistance at RT and 8 KOe magnetic field. The complete proposed structure is a 1D magneto photonic crystal with the following multilayer structure: (SiO2/Ta2O5)n/La0.67Sr0.63MnO3/(Ta2O5/SiO2)m. The SiO2/Ta2O5 multilayers behave as Bragg mirrors with light localized inside the magnetic active layer. The operating wavelength is determined by the different parameters of the structure. In particular, sharp features with magnetic modulation of the reflectivity as high as 100%, have been theoretically predicted at 3.5 μm for a symmetric structure (n = m = 6), being the thickness of the SiO2, Ta2O5, and La0.67Sr0.63MnO3 layers 600 nm, 580 nm, and 300 nm, respectively (see Figure 13) [106], [107], [108], [109].

MRE modulation in CMR optical platforms. Spectra of the magnetic modulation of the reflectivity in a 1D Magneto Photonic Crystal for two different photonic structures. The dotted curve corresponds to a configuration with Bragg mirrors of different thicknesses (m = 6,n = 12) and the solid curve to a configuration with symmetric Bragg mirrors (m = n = 6). The active material is a CMR magnesium oxide (La0.67Sr0.63MnO3). Reprinted by permission from Springer Nature: Springer eBook, Nano-Magnetophotonics, Mitsuteru Inoue, Alexander Khanikaev, Alexander Baryshev, Copyright 2009.
In the second approach [110], noble metals and CMR oxides are combined. In this case the structure sustains plasmon-like excitations, and the magnetic control is induced by the oxide material. The proposed device is based on a periodic structure in which the unit cell consists of two Au stripes separated by a CMR manganese oxide (La0.7Ca0.3MnO3) stripe. The whole structure sustains Fano resonances which can be controlled by an external magnetic field. Theoretical calculations show a strong change in the optical response in the 40 to 200 THZ range.
At this point, it is worth to mention that the development of CMR based photonic systems is limited by the available materials, and the lack of CMR materials with adequate properties at RT. Besides, the deposition of CMR manganite thin films usually require the use of high temperature processes, which makes their integration into optical systems an issue.
Worth to mention, non-metallic materials susceptible of exhibiting plasmon resonances in the IR [111] can also be considered as useful components in the systems considered in this section.
5 Conclusions and perspectives
Spintronics and Photonics are two fields with tremendous impact in our current lives, with concepts derived from them existing in a wide variety of practical applications. Information and communication society greatly benefit from spintronic and photonic solutions, and many other areas indirectly make use of devices that are result of research in these disciplines. Our current and continuously increasing technological needs make actually very appealing to explore the feasibility and routes to merge Spintronics and Photonics, as they host the potential to generate great added value functions and devices as a result of their interaction. With this in mind, the purpose of this work has been to compile the up-to-date efforts to explore the common spaces for interaction between these two disciplines and in particular how Photonics may benefit from the Spintronics-related structures and phenomena.
In this review we have presented how Spintronics and Photonics interact in the common space offered by the Magneto Refractive Effect (MRE), making it possible to generate active photonic systems utilizing spintronic mechanisms. For this, we have first introduced the main spintronic phenomena capable of efficiently affecting the optical properties of different photonic platforms. Then, the current understanding of the MRE properties in the different types of spintronic “families” has been detailed. Finally, we have presented the current approaches to achieve active photonic platforms by the use of a spintronic mechanism, covering a wide range of wavelengths. We have also shown the ample variety of materials systems and complex spintronic platforms susceptible of magnetic field modifications of their optical properties. This versatility in types of spintronic materials at hand makes it possible to face the magnetic actuation on photonic platforms of diverse nature, covering from the metallic plasmonic systems, all the way to the dielectric photonic crystals.
The advantages of a magnetic-spintronic actuation are multiple. The external magnetic field acting on the photonic system does not require of any physical contact in the photonic system itself. The magnetic action in the ferromagnetic component and as a consequence in the photonic response is very fast. The different spintronic systems and the so generated photonic platforms demonstrate magnetic actuation of optical properties in a wide variety of ranges, covering from the mid-IR to the THz. Spintronics is deeply incorporated in the manufacturing processes of devices and, even though the very demanding requirements regarding chemical composition, preparation routes or individual layer thickness in the case of multilayered structures, the fabrication techniques to obtain spintronic materials are very well established.
Regarding the perspectives of this intertwined field, we would like to mention that there are several aspects which have not yet been explored. To name a few, the potentiality of OME effect in fabricating optical structures with magnetically induced optical anisotropy, and its use to modulate the polarization state of the light in a wide spectral range. Also, the use of spin-valve structures or magnetic tunnel junctions with high MR values and low operating magnetic fields as building blocks for active metasurfaces. Another area of development is the implementation of resonant spintronic systems for active elements in the THz spectral range, where active devices are very much welcome. High values of magnetic modulation of the optical response in the THz range have been already obtained in GMR multilayers, and the incorporation of such structures into magnetically actuated photonic THz structures is very appealing. Besides, there is also the possibility of exploring new phenomena controlled by both the spintronic nature of the structure and the enhanced optical response such as for example, photonic induced spin accumulation, already advanced in granular systems. Not to forget is the contribution that this magnetic modulation approach may have in the development of faster and more accurate sensing platforms based for example in plasmonic and photonic transducers in the mid and far infrared range, where most of the molecular vibrational modes are located.
On the other hand, the development of ultrashort laser sources has opened new perspectives to the study of magnetization dynamics and spin polarized transport phenomena [112], [113], [114], [115], [116]. In a ferromagnetic layer a femtosecond laser pulse is able to trigger spin-polarized currents. These spin current pulses can propagate through ferromagnetic/non ferromagnetic layers and different phenomena have been observed such as, for example, the excitation of high frequency magnetic modes in ferromagnetic films via the Spin Transfer Torque mechanism [117], or the modification of the spin polarization of hot electrons upon interactions with no collinear magnetization at the ferromagnetic/non ferromagnetic interfaces, opening the door to the development of different kinds of ultrafast spintronic devices like spin polarizers and rotators [118]. Besides, if the non-ferromagnetic layer is a metal with a strong spin–orbit coupling, such as Pt or Pd, at the interface between the ferromagnetic and non-ferromagnetic layer, the spin current pulse can be transformed into a transverse charge current via the Inverse Spin Hall Effect, giving rise to the emission of THz electromagnetic pulses. High efficient and broad band THz sources have been already obtained with these metallic spintronic structures [119]. More recently, combining inverse spin Hall effects concepts and an appropriate photonic design, wavelength-selective spin current generation has also been demonstrated in the mid IR region [120].
To finish, up to know there is still very little overlap between Spintronics and Photonics in what refers to research, and much still needs to be done to make this happen. With only a few groups in the world combining both concepts, most materials, characterization techniques, and theoretical tools are not common. But this simply means that there is still much margin for improvement. For example, exploring spintronic platforms susceptible of exhibiting large MRE values while maintaining low working magnetic fields is a line to be considered. For this, it would be necessary to revisit the huge diversity of spintronic materials and devices already existing and explore which could fulfill both requirements. In this sense, the use of low magnetic saturation materials or weakly magnetically coupled elements should be a route to explore into first place. Besides, it has been shown that the MO activity of magnetoplasmonic structures can be enhanced by putting the MO active material at particular places within the structure [121], [122]. On the other hand, metamaterials structures have shown their ability to design tailored electromagnetic fields in a very wide spectral range [123], and resonant meta-atoms with both plasmonic and (opto)-magnetic functionalities have shown great potential [124]. Therefore, exploring the use of metamaterials to maximize the electromagnetic field at the position of the spintronic component may be a way to further improve the performance of MRE based photonic platforms. In this case, the required external magnetic field can also be reduced via magnetic shape anisotropy of the fabricated structures by favoring specific magnetization reversal directions. All this said, it is our strong belief that incorporating spintronic functionalities into photonic platforms hosts multiple areas of practical applicability with the needed combined efforts of the scientific communities studying these two disciplines.
Funding source: Ministerio de Economía y Competitividad
Award Identifier / Grant number: Quantum Spin Plasmonics (FIS2015-72035-EXP)AMES (MAT 2014-58860-P)CSIC13-4E-1794MIRRAS (MAT2017-84009-R)
Funding source: Comunidad de Madrid
Award Identifier / Grant number: S2013/ICE- 2822 (Space-Tec)SINOXPHOS-CM (S2018/BAA-4403)
Funding source: Comunidad de Madrid, Spain
Acknowledgments
We acknowledge financial support from MINECO through projects AMES (MAT 2014-58860-P), Quantum Spin Plasmonics (FIS2015-72035-EXP), MIRRAS (MAT2017-84009-R), and Comunidad de Madrid through project SINOXPHOS-CM (S2018/BAA-4403). We acknowledge the service from the MiNa Laboratory at IMN and funding from MINECO under project CSIC13-4E-1794 and from CM under project S2013/ICE- 2822 (Space-Tec), both with support from EU (FEDER, FSE).
Author contribution: All the authors have accepted responsibility for the entire content of this submitted manuscript and approved submission.
Research funding: None declared.
Conflict of interest statement: The authors declare no conflicts of interest regarding this article.
References
[1] “Magnetophotonics: from theory to applications,” in Springer Series in Material Science 178, M Inoue, M Levy, A Baryshev, Eds., Springer-Verelag Berlin, 2013.Search in Google Scholar
[2] G. Armelles, A. Cebollada, A. García-Martín, and M. U. González, “Magnetoplasmonics: combining magnetic and plasmonic functionalities,” Adv. Opt. Mater., vol. 1, pp. 10–35, 2013, https://doi.org/10.1002/adom.201200011.Search in Google Scholar
[3] D. Bossini, V. I. Belotelov, A. K. Zvezdin, A. N. Kalish, and A. V. Kimel, “Magnetoplasmonics and femtosecond optomagnetism at the nanoscale,” ACS Phot., vol. 3, pp. 1385–400, 2016, https://doi.org/10.1021/acsphotonics.6b00107.Search in Google Scholar
[4] I. Maksymov, “Magneto-plasmonics and resonant interaction of light with dynamic magnetisation in metallic and all-magneto-dielectric nanostructures,” Nanomaterials, vol. 5, pp. 577–613, 2015, https://doi.org/10.3390/nano5020577.Search in Google Scholar
[5] D. Floess and H. Giessen, “Nonreciprocal hybrid magnetoplasmonics,” Rep. Prog.Phys., vol. 81, p. 116401, 2018, https://doi.org/10.1088/1361-6633/aad6a8.Search in Google Scholar
[6] N. Maccaferri, I. Zubritskaya, I. Razdolski, et al., “Nanoscale magnetophotonics,” J. Appl. Phys., vol. 127, p. 080903, 2020, https://doi.org/10.1063/1.5100826.Search in Google Scholar
[7] M. N. Baibich, J. M. Broto, A. Fert, et al., “Giant magnetoresistance of (001)Fe/(001)Cr magnetic superlattices,” Phys Rev Lett, vol. 61, pp. 2472–2475, 1988, https://doi.org/10.1103/physrevlett.61.2472.Search in Google Scholar
[8] G. Binasch, P. Grünberg, F. Saurenbach, and W. Zinn, “Enhanced magnetoresistance in layered magnetic structures with antiferromagnetic interlayer exchange,” Phys. Rev. B, vol. 39, pp. 4828–4830, 1989, https://doi.org/10.1103/physrevb.39.4828.Search in Google Scholar
[9] E. Grochowski and R. E. FontanaJr., “Future Technology Challenges for NAND Flash and HDD Products,” Flash Memory Summit, 2012.Search in Google Scholar
[10] https://www.nobelprize.org/prizes/physics/2007/summary/.Search in Google Scholar
[11] A. Fert, “Nobel Lecture: origin, development, and future of spintronics,” Rev. Mod. Phys., vol. 80, pp. 1517–30, 2008, https://doi.org/10.1103/revmodphys.80.1517.Search in Google Scholar
[12] P. A. Grünberg, “Nobel Lecture: from spin waves to giant magnetoresistance and beyond,” Rev. Mod. Phys., vol. 80, pp. 1531–1540, 2008, https://doi.org/10.1103/revmodphys.80.1531.Search in Google Scholar
[13] J. C. Jacquet and T. Valet, “A new magnetooptical effect discovered in magnetic multilayers: the magnetorefractive effect,” Mat. Res. Soc. Symp. Proc., vol. 384, pp. 477–490, 1995, https://doi.org/10.1557/proc-384-477.Search in Google Scholar
[14] W. Thompson, “On the electro-dynamic qualities of metals: effects of magnetization on the electric conductivity of nickel and of iron,” Proc. R. Soc. London, vol. 8, pp. 546–550, 1857.10.1098/rspl.1856.0144Search in Google Scholar
[15] J. Smit, “Magnetoresistance of ferromagnetic metals and alloys at low temperatures,” Physica, vol. 17, pp. 612–27, 1951, https://doi.org/10.1016/0031-8914(51)90117-6.Search in Google Scholar
[16] T. R. Mcguire and R. I. Potter, “Anisotropic magnetoresistance in ferromagnetic 3D alloys,” IEEE. Trans. Mag., vol. 11, pp. 1018–38, 1975, https://doi.org/10.1109/tmag.1975.1058782.Search in Google Scholar
[17] T. Miyazaki, T. Ajima, and F. Sato, “Dependence of magnetoresistance on thickness and substrate temperature for 82Ni-Fe alloy film,” J. Mag. Mag. Mater., vol. 81, pp. 86–90, 1989, https://doi.org/10.1016/0304-8853(89)90232-1.Search in Google Scholar
[18] SSP Parkin, ZG Li, and DJ Smith, “Giant magnetoresistance in antiferromagnetic Co/Cu multilayers,” Appl. Phys. Lett., vol. 58, pp. 2710–2712, 1991, https://doi.org/10.1063/1.104765.Search in Google Scholar
[19] S. S. P. Parkin, R. F. C. Farrow, R. F. Marks, A. Cebollada, G. R. Harp, and R. J. Savoy, “Oscillations of interlayer exchange coupling and giant magnetoresistance in (111) oriented permalloy/Au multilayers,” Phys. Rev. Lett., vol. 72, pp. 3718–3721, 1994, https://doi.org/10.1103/physrevlett.72.3718.Search in Google Scholar
[20] B. Dieny, V. S. Speriosu, S. S. P. Parkin, B .A Gurney, D. R. Wilhoit, and D. Mauri, “Giant magnetoresistance in soft ferromagnetic multilayers,” Phys. Rev. B., vol. 43, pp. 1297–1300, 1991, https://doi.org/10.1103/physrevb.43.1297.Search in Google Scholar
[21] B. Dieny, “Giant magnetoresistance in spin-valve multilayers,” J. Mag. Mag. Mater., vol. 136, pp. 335–359, 1994, https://doi.org/10.1016/0304-8853(94)00356-4.Search in Google Scholar
[22] J. Nogues and I. K. Schuller, “Exchange bias,” J. Mag. Mag. Mater., vol. 192, pp. 203–232, 1999, https://doi.org/10.1016/s0304-8853(98)00266-2.Search in Google Scholar
[23] N. F. Mott and H. H. Wills, “The electrical conductivity of transition metals,” Proc. Roy. Soc. London A-Math.Phy. Sci., vol. 153, pp. 699–717, 1936.10.1098/rspa.1936.0031Search in Google Scholar
[24] P. M. Tedrow and R. Meservey, “Spin-dependent tunneling into ferromagnetic nickel,” Phys. Rev. Lett., vol. 26, pp. 192–195, 1971, https://doi.org/10.1103/physrevlett.26.192.Search in Google Scholar
[25] G. X. Miao, M. Münzenberg, and J. S. Moodera, “Tunneling path toward spintronics,” Rep. Prog. Phys., vol. 74, p. 036501, 2011, https://doi.org/10.1088/0034-4885/74/3/036501.Search in Google Scholar
[26] N. Tezuka, N. Ikeda, S. Sugimoto, and K. Inomata, “Giant tunnel magnetoresistance at room temperature for junctions using full-Heusler Co2FeAl0.5Si0.5 electrodes,” Jap. J. Appl. Phys., vol. 46, pp. L455–L456, 2007, https://doi.org/10.1143/jjap.46.l454.Search in Google Scholar
[27] S. Jin, T. H. Tiefel, M. McCormack, R. A. Fastnacht, R. Ramesh, and L. H. Chen, “Thousandfold change in resistivity in magnetoresistive La-Ca-Mn-O films,” Science, vol. 264, pp. 413–415, 1994, https://doi.org/10.1126/science.264.5157.413.Search in Google Scholar
[28] A. Ramirez, “Colossal magnetoresistance,” J. Phys. Cond. Mat., vol. 9, pp. 8171–99, 1997, https://doi.org/10.1088/0953-8984/9/39/005.Search in Google Scholar
[29] P. Schiffer, A. P. Ramirez, W. Bao, and S. W. Cheong, “Low temperature magnetoresistance and the magnetic phase diagram of La1-xCaxMnO3,” Phys. Rev. Lett., vol. 75, pp. 3336–9, 1995, https://doi.org/10.1103/physrevlett.75.3336.Search in Google Scholar
[30] J. Kerr, “On rotation of the plane of polarization by reflection from the pole of a magnet,” Phil. Mag., vol. 3, pp. 321–343, 1877, https://doi.org/10.1080/14786447708639245.Search in Google Scholar
[31] N. F. Kubrakov, A. K. Zvezdin, K. A. Zvezdin, V. A. Kotov, and R. Atkinson, “New intensity magneto-optical effect in materials exhibiting giant magnetoresistance,” J. Exp. Theor. Phys., vol. 87, pp. 600–607, 1998, https://doi.org/10.1134/1.558699.Search in Google Scholar
[32] M. Gester, A. Schlapka, R. A. Pickford, et al., “Contactless measurement of giant magnetoresistance in CoAg granular films using infrared transmission spectroscopy,” J Appl Phys, vol. 85, pp. 5045–5047, 1999, https://doi.org/10.1063/1.370086.Search in Google Scholar
[33] J. P. Camplin, S. M. TChompson, D. R. Loraine, et al., “Contactless measurement of giant magnetoresistance in thin films by infrared reflection,” J. Appl. Phys., vol. 87, pp. 4846–4848, 2000, https://doi.org/10.1063/1.373178.Search in Google Scholar
[34] M. Vopsaroiu, D. Bozec, J. A. D. Matthew, S. M. Thompson, C. H. Marrows, and M. Perez, “Contactless magnetoresistance studies of Co/Cu multilayers using the infrared magnetorefractive effect,” Phys. Rev. B., vol. 70, p. 214423, 2004, https://doi.org/10.1103/physrevb.70.214423.Search in Google Scholar
[35] R. F. C. Marques, P. R. Abernethy, J. A. D. Matthew, et al., “Contactless measurement of colossal magnetoresistance in La1−xSrxMnO3 using the infrared magnetorefractive effect,” J. Mag. Mag. Mater, vol. 272-276, pp. 1740–1, 2004.10.1016/j.jmmm.2003.12.737Search in Google Scholar
[36] S. M. Stirk, S. M. Thompson, and J. A. D. Matthew, “Emissivity - a remote sensor of giant magnetoresistance,” Appl. Phys. Lett., vol. 86, p. 102505, 2005, https://doi.org/10.1063/1.1880437.Search in Google Scholar
[37] M. Vopsaroiu, T. Stanton, O. Thomas, M. Cain, and S. M. Thompson, “Infrared metrology for spintronic materials and devices,” Meas. Sci. Technol., vol. 20, p. 045109, 2009, https://doi.org/10.1088/0957-0233/20/4/045109.Search in Google Scholar
[38] S. M. Thompson, V. K. Lazarov, R. C. Bradley, et al., “Using the infrared magnetorefractive effect to compare the magnetoresistance in (100) and (111) oriented Fe3O4 films,” J. Appl. Phys., vol. 107, p. 09B102, 2010, https://doi.org/10.1063/1.3350911.Search in Google Scholar
[39] M. Vopsaroiu, M. G. Cain, and V. Kuncser, “The integral magneto-refractive effect: a method of probing magneto-resistance,” J. Appl. Phys., vol. 110, p. 056103, 2011, https://doi.org/10.1063/1.3631778.Search in Google Scholar
[40] C. S. Kelley, S, M. Thompson, M. D. Illman, S. LeFrançois, and P. Dumas, “Spatially resolving variations in giant magnetoresistance, undetectable with four-point probe measurements, using infrared microspectroscopy,” Appl. Phys. Lett., vol. 101, p. 162402, 2012, https://doi.org/10.1063/1.4760282.Search in Google Scholar
[41] C. S. Kelley, J. Naughton, E. Benson, et al., “Investigating the magnetic field-dependent conductivity in magnetite thin films by modelling the magnetorefractive effect,” J. Phys. Condens. Matter, vol. 26, p. 036002, 2014, https://doi.org/10.1088/0953-8984/26/3/036002.Search in Google Scholar
[42] Z. Jin, A. Tkach, F. Casper et al., “Accessing the fundamentals of magnetotransport in metals with terahertz probes,” Nat. Phys., vol. 11, pp. 761–766, 2015, https://doi.org/10.1038/nphys3384.Search in Google Scholar
[43] A. Granovsky, Y. P. Sukhorukov, E. Gan’shina, and A. Telegin, “Magnetorefractive effect in magnetoresistive materials,” In Magnetophotonics: From Theory to Applications Magnetophotonics, M. Inoue, M. Levy, and A.V. Baryshev, Eds., Berlin, Heidelberg, Germany, Springer Series in Materials Science, vol. 178, pp. 107–133, 2013.10.1007/978-3-642-35509-7_5Search in Google Scholar
[44] G. S. Krinchik and V. S. Gushchin, “Magnetooptical effect of change of electronic structure of a ferromagnetic metal following rotation of the magnetization vector,” JETP Lett., vol. 10, pp. 24–26, 1969.Search in Google Scholar
[45] G. S. Krinchik and E. E. Chepurova, “Dependence of the orientational magnetooptic effect on magnetization,” JETP Lett., vol. 11, pp. 64–66, 1970.Search in Google Scholar
[46] J. Van Driel, F. R de Boer, R. Coehorn, and G. H. Riethens, “Magnetic linear dichroism of infrared light in ferromagnetic alloy films,” Phys .Rev. B, vol. 60, pp. R6949–6952, 1999, https://doi.org/10.1103/physrevb.60.r6949.Search in Google Scholar
[47] I. D. Lobov, M. M. Kirillova, A. A. Makhnev, M. A. Milyaev, L. N. Romashev, and V. V. Ustinov, “Spin-dependent scattering of conduction electrons in Co/Cu multilayers,” J. Mag. Mag. Mater, vol. 389, p. 169, 2015, https://doi.org/10.1016/j.jmmm.2015.04.063.Search in Google Scholar
[48] R. J. Baxter, D. G. Pettifor, E. Y. Tsymbal, D. Bozec, J. A. D. Matthew, and S. M. Thompson, “Importance of the interband contribution to the magneto-refractive effect in Co/Cu multilayers,” J. Phys: Cond Mat., vol. 15, pp. L695–702, 2003, https://doi.org/10.1088/0953-8984/15/45/l02.Search in Google Scholar
[49] S. M. Stirk, S. M. Thompson, R. T. Mennicke, J. D. Matthew, and A. F. Lee, “Remote two-dimensional imaging of giant magnetoresistance with spatial resolution,” Appl. Phys. Lett., vol. 88, p. 022502, 2006, https://doi.org/10.1063/1.2158152.Search in Google Scholar
[50] V. G. Kravets, “Correlation between the magnetoresistance, IR magnetoreflectance, and spin-dependent characteristics of multilayer magnetic films,” Phys. Res. Int., vol. 2012, p. 323279, 2012, https://doi.org/10.1155/2012/323279.Search in Google Scholar
[51] A. N. Yurasov, A. V. Telegin, N. S. Bannikova, M. A. Milyaev, and Y. P. Sukhorukov, “Features of Magnetorefractive effct in a (CoFe/Cu) multilayer metallic nanostructure,” Phys. Solid. Sate., vol. 60, p. 281, 2018, https://doi.org/10.1134/s1063783418020300.Search in Google Scholar
[52] S. Uran, M. Grimsditch, E. E. Fullerton, and S. D. Bader, “Infrared spectra of giant magnetoresistance Fe/Cr/Fe trilayers,” Phys. Rev. B, vol. 57, pp. 2705–2708, 1998, https://doi.org/10.1103/physrevb.57.2705.Search in Google Scholar
[53] I. D. Lobov, M. M. Kirillova, A. A. Makhnev, L. N. Romashev, and U. V. V. Ustinov, “Parameters of Fe/Cr interfacial electron scattering from imfrared magnetoreflection,” Phys. Rev B, vol. 2010, vol. 81, p. 134436, 1998, https://doi.org/10.1103/physrevb.81.134436.Search in Google Scholar
[54] I. D. Lobov, M. M. Kirillova, A. A. Makhnev, L. N. Romashev, and U. V. V. Ustinov, “Magnetorefractive effect and giant magnetoresistanbce in Fe(tx)/Cr superlattices,” Phys. Solid. State, vol. 51,p. 2480, 2009, https://doi.org/10.1134/s1063783409120099.Search in Google Scholar
[55] V. G. Kravets, D. Bozec, J. A. D. Mattew, et al., “Correlation between the magnetorefractive effect, giant magnetoresistance, and optical properties of Co-Ag granular magnetic films,” Phys. Rev. B., vol. 65, p. 054415, 2002, https://doi.org/10.1103/physrevb.65.054415.Search in Google Scholar
[56] M. Vopsaroiu, J. A. D. Matthew, K. A. McNeil, and S. M. Thompson, “Noncontact GMR measurements of synthetic spin valves using IR reflection spectroscopy,” IEEE Trans. Mag., p. 392830, 2003.10.1109/TMAG.2003.815726Search in Google Scholar
[57] J. Q. Wang, M. T. Sidney, J. D. Rokitowski, N. H. Kim, and K. Wang, “Magnetorefractive effect in annealed Co/Cu/Co/Fe pseudo-spin-valve thin films,” J. Appl. Phys., vol. 103, p. 07F316, 2008, https://doi.org/10.1063/1.2837631.Search in Google Scholar
[58] A. B. Granovskii, M. V. Kuz’michev, and J. P. Clerc, “Optical and magnetooptical properties of granular alloys with giant magnetoresistance in the IR region of the spectrum,” J. Exp. Theor. Phys., vol. 89, pp. 955–999, 1999, https://doi.org/10.1134/1.558937.Search in Google Scholar
[59] R. T. Mennicke, D. Bozec, V. G. Kravets , M. Vopsaroiu, J. A. D. Matthew, and S. M. Thompson, “Modelling the magnetorefractive effect in giant magnetoresistive granular and layered materials,” J. Magn. Mag. Mater., vol. 303, pp. 92–110, 2006, https://doi.org/10.1016/j.jmmm.2005.10.233.Search in Google Scholar
[60] J. Van Driel, F. R. de Boer, R. Coehorn, G. H. Rietjens, and E. S. J. Heevelmans-Wijdenes, “Magnetorefractive and magnetic-linear-dichroism effect in exchange-biased spin valves,” Phys. Rev. B., vol. 61, pp. 15321–15326, 2000, https://doi.org/10.1103/physrevb.61.15321.Search in Google Scholar
[61] G. Armelles, A. Cebollada, and F. García, “Au dependence of the mid infrared optical and magnetorefractive properties of Ni81Fe19/Au GMR multilayers,” Opt. Mater. Expr., vol. 9, pp. 923–931, 2019, https://doi.org/10.1364/ome.9.000923.Search in Google Scholar
[62] T. L. Hylton, K. R. Coffey, M. A. Parker, and J. K. Howard, “Giant magnetoresistance at low fields in discontinuous NiFe-Ag multilayer thin films,” Science, vol. 261, pp. 1021–1024, 1993, https://doi.org/10.1126/science.261.5124.1021.Search in Google Scholar
[63] G. Armelles, A. Cebollada, F. García, and C. Pecharromán, “Magnetic modulation of mid-infrared plasmons using Giant Magnetoresistance,” Opt. Expr., vol. 25, pp. 18784–18796, 2017, https://doi.org/10.1364/oe.25.018784.Search in Google Scholar
[64] R. T. Mennicke, R. Berryman, J. A. D. Matthew, et al., “Detection of an infrared magnetorefractive effect from a layered Fe/MgO/Fe magnetic tunnel junction,” IEEE Trans. Magnetics., vol. 44, pp. 2566–2568, 2008, https://doi.org/10.1109/tmag.2008.2001676.Search in Google Scholar
[65] V. G. Kravets, “Determining the tunnel spin-polarization density of states near the Fermi level using IR magnetoreflectance spectroscopy,” Sol State. Comm., vol. 153, pp. 8–12, 2013, https://doi.org/10.1016/j.ssc.2012.08.030.Search in Google Scholar
[66] V. G. Kravets. “Comparison of magnetoreflection from CoFe-Al2O3 multilayers and granular films in the infrared spectral region,” Optics. and Spectroscopy., vol. 102, p. 717, 2007, https://doi.org/10.1134/s0030400x07050116.Search in Google Scholar
[67] V. I. Belotelov, A. K. Zvezdin, V. A. Kotov, and A. P. Pyatakov, “Nongyrotropic magneto-optical effects in metal-insulator magnetic multilayer thin films,” Phys. Sol. State, vol. 45, pp. 1957–1965, 2003, https://doi.org/10.1134/1.1620102.Search in Google Scholar
[68] D. Bozec, V. G. Kravets, J. A. D. Matthew, S. M. Thompson, and A. F. Kravets, “Infrared reflectance and magnetorefractive effects in metal–insulator CoFe–Al2O3 granular films,” J. Appl. Phys., vol. 91, pp. 8795–8797, 2002, https://doi.org/10.1063/1.1452655.Search in Google Scholar
[69] V. G. Kravets, L. V. Poperenko, I. V. Yurgelevych, A. M. Pogorily, and A. F. Kravets, “Optical and magneto-optical properties and magnetorefractive effect in metal-insulator CoFe-Al2O3 granular films,” J. Appl. Phys., vol. 98, p. 043705, 2005, https://doi.org/10.1063/1.2009814.Search in Google Scholar
[70] V. G. Kravets, L. V. Poperenko, and A. F. Kravets, “Magnetoreflectance of ferromagnetic metal-insulator granular films with tunneling magnetoresistance,” Phys. Rev. B, vol. 79, p. 144409, 2009, https://doi.org/10.1103/physrevb.79.144409.Search in Google Scholar
[71] I. V. Bykov, E. A. Gan’shina, A. B. Granovskii, and V. S. Gushchin, “Magnetorefractive effect in granular films with tunneling magnetoresistance,” Phys. Sol. State, vol. 42, pp. 498–502, 2000, https://doi.org/10.1134/1.1131238.Search in Google Scholar
[72] A. B. Granovsky, M. Inoue, J. P. Clerc, and A. N. Yurasov, “Magnetorefractive effect in nanocomposites: dependence on the angle of incidence and on light polarization,” Phys. Sol. State., vol. 46, pp. 498–501, 2004, https://doi.org/10.1134/1.1687868.Search in Google Scholar
[73] A. B. Granovsky, M. Inoue, “Spin-dependent tunnelling at infrared frequencies: magnetorefractive effect in magnetic nanocomposites,” J. Magn. Magn. Mater., vol. 272-276, pp. e1601–e1605, 2004, https://doi.org/10.1016/j.jmmm.2003.12.949.Search in Google Scholar
[74] A. F. Kravets, V. G. Kravets, and V. Korenivski, “Magneto-optical and magnetoresistive properties of CoFe–MgO nanocomposite films,” J. Appl. Phys., vol. 107, p. 09A947, 2010, https://doi.org/10.1063/1.3367967.Search in Google Scholar
[75] A. Granovski, V. Gushchin, I. Bykov et al., “Giant magnetorefractive effect in magnetic granular CoFe-MgF alloys,” Phys. Sol. State, vol. 45, pp. 911–913, 2003.10.1134/1.1575334Search in Google Scholar
[76] A. B. Granovsky, I. V. Bykov, E. A. Gan’shina et al., “Magnetorefractive effect in magnetic nanocomposites,” J. Exp. Theor. Phys., vol. 96, pp. 1104–1112, 2003, https://doi.org/10.1134/1.1591221.Search in Google Scholar
[77] I. V. Bykov, E. A. Gan’shina, A. B. Granovsky et al., “Magnetorefractive effect in granular alloys with tunneling magnetoresistance,” Phys. Sol. State, vol. 47, pp. 281–286, 2005, https://doi.org/10.1134/1.1866407.Search in Google Scholar
[78] A.F. Kravets, Y. I. Dzhezherya, V.G. Kravets, and E. Klimuk “Specific features of the reflection of infrared radiation by crystalline dielectrics in a Magnetic field,” J. Exper. Theoretical. Phys., vol. 99, p. 189. 2004, https://doi.org/10.1134/1.1854805.Search in Google Scholar
[79] A. V. Telegin, Y. P. Sukhorukov, N. N. Loshkareva et al., “Giant magnetotransmission and magnetoreflection in ferromagnetic materials,” J. Magn. Magn. Mater., vol. 383, pp. 104–109, 2015, https://doi.org/10.1016/j.jmmm.2014.11.080.Search in Google Scholar
[80] Y. P. Sukhorukov, A. P. Nosov, N. N. Loshkareva et al., “The influence of magnetic and electronic inhomogeneities on magnetotransmission and magnetoresistance of films,” J. Appl. Phys., vol. 97, p. 103710, 2005, https://doi.org/10.1063/1.1897484.Search in Google Scholar
[81] Y. P. Sukhorukov, A. V. Telegin, E. A. Gan’shina et al., “Tunneling of spin-polarized charge carriersin La0.8Ag0.1MnO3+d film with variant structure: magnetotransport and magnetooptical data,” Tech. Phys. Lett., vol. 31, pp. 484–487, 2005, https://doi.org/10.1134/1.1969772.Search in Google Scholar
[82] D. Hrabovský, J. M. Caicedo, G. Herranz, I. C. Infante, F. Sánchez, and J. Fontcuberta, “Jahn-Teller contribution to the magneto-optical effect in thin-film ferromagnetic manganites,” Phys. Rev. B, vol. 79, p. 052401, 2009, https://doi.org/10.1103/physrevb.79.052401.Search in Google Scholar
[83] J. M. Caicedo, S. K. Arora, R. Ramos, I. V. Schvets, J. Fontcuberta, and G. Herranz, “Large magnetorefractive effect in magnetite,” New J. Phys., vol. 12, p. 103023, 2010, https://doi.org/10.1088/1367-2630/12/10/103023.Search in Google Scholar
[84] D. Hrabovský, G. Herranz, J. M. Caicedo, I. C. Infante, F. Sánchez, and J. Fontcuberta, “Strong magnetorefractive effect in epitaxial La2/3Ca1/3MnO3 thin films,” J. Magn. Magn. Mater., vol. 322, pp. 1481–1483, 2010, https://doi.org/10.1016/j.jmmm.2009.06.012.Search in Google Scholar
[85] J. M. Caicedo, M. C. Dekker, K. Dörr, J. Fontcuberta, and G. Herranz, “Strong magnetorefractive and quadratic magneto-optical effects in (Pr0.4La0.6)0.7Ca0.3MnO3,” Phys. Rev. B, vol. 82, p. 140410(R), 2010, https://doi.org/10.1103/physrevb.82.140410.Search in Google Scholar
[86] Y. P. Sukhorukov, A. V. Telegin, A. B. Granovsky et al., “Magnetorefractive effect in manganites with a colossal magnetoresistance in the visible spectral region,” J. Exp. and Theor., vol. 114, pp. 141–149, 2012, https://doi.org/10.1134/s1063776111160151.Search in Google Scholar
[87] J. M. Caicedo, J. Fontcuberta, and G. Herranz, “Magnetopolaron-induced optical response in transition metal oxides,” Phys. Rev. B, vol. 89, p. 045121, 2014, https://doi.org/10.1103/physrevb.89.045121.Search in Google Scholar
[88] S. T. Malak, R. Clayton-Cox, J. R. Scheuermann, J. Stehlik, and J-Q. Wang, “Magnetotransmission spectra in La0.7Pb0.3MnO3-δ epitaxial thin film with colossal magnetoresistance effect,” J. Appl. Phys., vol. 105, p. 07D727, 2009, https://doi.org/10.1063/1.3068131.Search in Google Scholar
[89] K. J. Chau, G. D. Dice, and A. Y. Elezzabi, “Coherent plasmonic enhanced terahertz transmission through random metallic media,” Phys. Rev. Lett., vol. 94, p. 173904, 2005, https://doi.org/10.1103/physrevlett.94.173904.Search in Google Scholar
[90] K. J. Chau and A. Y. Elezzabi, “Terahertz transmission through ensembles of subwavelength-size metallic particles,” Phys. Rev. B., vol. 72, p. 075110, 2005, https://doi.org/10.1103/physrevb.72.075110.Search in Google Scholar
[91] K. J. Chau and A. Y. Elezzabi, “Photonic anisotropic magnetoresistance in dense Co particle ensembles,” Phys. Rev. Lett., vol. 96, p. 033903, 2006, https://doi.org/10.1103/physrevlett.96.033903.Search in Google Scholar
[92] K. J. Chau, C. A. Baron, and A. Y. Elezzabi, “Isotropic photonic magnetoresistance,” Appl. Phys. Lett., vol. 90, pp. 88–91, 2007, https://doi.org/10.1063/1.2715533.Search in Google Scholar
[93] K. J. Chau, M. Johnson, and A. Y. Elezzabi, “Electron-spin-dependent terahertz light transport in spintronic-plasmonic media,” Phys. Rev. Lett., vol. 98, p. 133901, 2007, https://doi.org/10.1103/physrevlett.98.133901.Search in Google Scholar
[94] C. J. E. Straatsma, M. Johnson, and A. Y. Elezzabi, “Terahertz spinplasmonics in random ensembles of Ni and Co microparticles,” J. Appl. Phys., vol. 112, pp. 103904–103911, 2012, https://doi.org/10.1063/1.4765028.Search in Google Scholar
[95] C. A. Baron and A. Y. Elezzabi, “A magnetically active terahertz plasmonic artificial material,” Appl. Phys. Lett., vol. 94, p. 071115, 2009, https://doi.org/10.1063/1.3086880.Search in Google Scholar
[96] C. A. Baron and A. Y. Elezzabi, “Active plasmonic devices via electron spin,” Opt. Expr, vol. 7117, p. 29, 2009.10.1364/OE.17.007117Search in Google Scholar
[97] H. L. Bhatta, A. E. Aliev, and V. P. Drachev, “New mechanims of plasmons for spin-polarized nanoparticles,” Scientific. Reports., vol. 9, p. 1, 2019, https://doi.org/10.1038/s41598-019-38657-w.Search in Google Scholar
[98] F. Pineider, C. de Julián Fernández, V. Videtta et al., “Spin-polarization transfer in coloidal magnetic-plasmonic Au/iron oxide hetero-nanocrystals,” ACS Nano, vol. 7, pp. 857–866, 2013, https://doi.org/10.1021/nn305459m.Search in Google Scholar
[99] P. Yin, H. Fang, M. Hedge, and P. V. Radovanovic, “Plasmon-induced carrier polarization in semiconductor nanocrystals,” Nat. Nanotech, vol. 13, pp. 463–467, 2018, https://doi.org/10.1038/s41565-018-0096-0.Search in Google Scholar
[100] G. Armelles, F. García, A. Cebollada, L. Torne, and M. L. Dotor, “Active mid IR plasmonics using giant magneto resistance,” SPIE. Conf. Proc. Spintronics X, vol. 10357, p. 61, 2017.10.1117/12.2273690Search in Google Scholar
[101] G. Armelles, L. Bergamini, N. Zabala et al., “Metamaterial platforms for spintronic modulation of mid-infrared response under very weak magnetic field,” ACS Phot, vol. 5, pp. 3956–3961, 2018, https://doi.org/10.1021/acsphotonics.8b00866.Search in Google Scholar
[102] G. Armelles, L. Bergamini, N. Zabala et al., “Broad band infrared modulation using spintronic-plasmonic metasurfaces,” Nanophotonics, vol. 8, pp. 1847–1854,2019, https://doi.org/10.1515/nanoph-2019-0183.Search in Google Scholar
[103] T. Ogasawara, H. Kuwatsuka, T. Hasama, and H. Ishiwara, “Proposal of an optical nonvolatile switch utilizing surface plasmon antenna resonance controlled by giant magnetoresistance,” Appl. Phys. Lett., vol. 100, p. 251112, 2012, https://doi.org/10.1063/1.4730406.Search in Google Scholar
[104] E. Yablonovitch, “Inhibited spontaneous emission in solid-state physics and electronics,” Phys. Rev. Lett., vol. 58, p. 2059, 1987, https://doi.org/10.1103/physrevlett.58.2059.Search in Google Scholar
[105] S. John, “Strong localization of photons in certain disordered dielectric superlattices,” Phys. Rev. Lett., vol. 58, p. 2486, 1987, https://doi.org/10.1103/physrevlett.58.2486.Search in Google Scholar
[106] M. Inoue, A. Khanikaev, and A. Baryshev, “Nano-Magnetophotonics,” In Nanoscale Magnetic Materials and Applications, Liu, JP, Fullerton, E, Gutfleisch, O, and Sellmyer, DJ, ed. . Boston, MA, USA, Springer US, 2009, pp. 627–659.10.1007/978-0-387-85600-1_21Search in Google Scholar
[107] J. V. Boriskina, S. G. Erokhin, A. B. Granovsky, A. P. Vinogradov, and M. Inoue, “Enhancement of the magnetorefractive effect in magnetophotonic crystals,” Phys. Sol. State, vol. 48, pp. 717–721. 2006, https://doi.org/10.1134/s1063783406040160.Search in Google Scholar
[108] A. B. Granovskii, E. A. Gan’shina, A. N. Yurasov et al., “Magnetorefractive effect in nanostructures, manganites, and magnetophotonic crystals based on these materials,” J. Comms. Tech. Electr., vol. 52, pp. 1065–1071, 2007, https://doi.org/10.1134/s1064226907090185.Search in Google Scholar
[109] A. N. Yurasov, Y. V. Boriskina, E. A. Gan’shina, A. B. Granovsky, and Y. P. Sukhorukov, “Magnetorefractive effect in manganites,” Phys. Sol. State, vol. 49, pp. 1121–1124, 2007, https://doi.org/10.1134/s1063783407060170.Search in Google Scholar
[110] J-B. Tian, Ch-Ch. Yan, Ch. Wang et al., “Actively tunable Fano resonances based on colossal magneto-resistant metamaterials,” Opt. Lett., vol. 40, pp. 1286–1289, 2015, https://doi.org/10.1364/ol.40.001286.Search in Google Scholar
[111] W. T. Hsieg, P. C. Wu, J. B. Khurgin, D. P. Tsai, N. Liu,and G. Sun, “Comparative analysis of metals and infrared plasmonic materials,” ACS Phot., vol. 5, pp. 2541–2548, 2018.10.1021/acsphotonics.7b01166Search in Google Scholar
[112] T. Kampfrath, A. Sell, G. Klatt et al., “Coherent terahertz control of antiferromagnetic spin waves,” Nat. Phot., vol. 5, pp. 31–34, 2010, https://doi.org/10.1038/nphoton.2010.259.Search in Google Scholar
[113] J. Walowski and M. Münzenberg, “Ultrafast magnetism and THz spintronics,” J. Appl. Phys., vol. 120, p. 140901, 2016, https://doi.org/10.1063/1.4958846.Search in Google Scholar
[114] S. Baierl, J. H. Mentink, M. Hohenleutner et al., “Terahertz-driven nonlinear spin response of antiferromagnetic nickel oxide,” Phys. Rev. Lett., vol. 117, p. 197201, 2016, https://doi.org/10.1103/physrevlett.117.197201.Search in Google Scholar
[115] F. Siegrist, J. A. Gessner, M. Ossiander et al., “Light-wave dynamic control of magnetism,” Nature. Vol. 571, pp. 240–244, 2019, https://doi.org/10.1038/s41586-019-1333-x.Search in Google Scholar
[116] A. Stupakiewicz, A. Chizhik, A. Zhukov, M. Ipatov, J. Gonzalez, and I. Razdolski, “Ultrafast magnetization dynamics in metallic amorphous ribbons with a giant magnetoimpedance response,” Phys. Rev. Appl,. vol. 13, p. 044058, 2020, https://doi.org/10.1103/physrevapplied.13.044058.Search in Google Scholar
[117] I. Razdolski, A. Alekhin, N. llin et al., “Nanoscale interface confinement of ultrafast spin transfer torque driving non-uniform spin dynamics,” Nat Comm., vol. 8, p. 15007, 2017, https://doi.org/10.1038/ncomms15007.Search in Google Scholar
[118] A. Alekhin, I. Razdolski, N. Ilin et al., “Femtosecond spin current pulses generated by the nonthermal spin-dependent Seebeck effect and interacting with ferromagnets in spin valves,” Phys. Rev. Lett., vol. 119, p. 017202, 2017, https://doi.org/10.1103/physrevlett.119.017202.Search in Google Scholar
[119] T. Seifert, S. Jaiswal, U. Martens et al., “Efficient metallic spintronic emitters of ultrabroadband terahertz radiation,” Nat Phot., vol. 10, p. 483, 2016, https://doi.org/10.1038/nphoton.2016.91.Search in Google Scholar
[120] S. Ishii, K. Uchida, T. Dao, Y. Wada, E. Saitoh, and T. Nagao, “Wavelength-selective spin-current generator using infrared plasmonic metamaterials,” APL Phot., vol. 2, p. 106103, 2017, https://doi.org/10.1063/1.4991438.Search in Google Scholar
[121] H. Y. Feng, F. Luo, R. Arenal et al.. Active magnetoplasmonic split-ring/ring nanoantennas Nanoscale, vol. 9, pp. 37–44, 2017, https://doi.org/10.1039/c6nr07864h.Search in Google Scholar
[122] A. López-Ortega, M. Zapata-Herrera, N. Maccaferri et al., “Enhanced magnetic modulation of light polarization exploiting hybridization with multipolar dark plasmons in magnetoplasmonic nanocavities,” Light: Sci. Appl., vol. 9, p. 49, 2020, https://doi.org/10.1038/s41377-020-0285-0.Search in Google Scholar
[123] D. Polley, N. Z. Hagström, C. von Korff Schmising, S. Eisebitt, and S. Bonetti, “Terahertz magnetic field enhancement in an asymmetric spiral metamaterial,” J. Phys. B: At. Mol. Opt. Phys., vol. 51, p. 224001, 2018, https://doi.org/10.1088/1361-6455/aae579.Search in Google Scholar
[124] N. Maccaferri, “Coupling phenomena and collective effects in resonant meta-atoms supporting both plasmonic and (opto-) magnetic functionalities: an overview on properties and applications,” J. Opt. Soc. Am .B., vol. 36, pp. E112–E131, 2019, https://doi.org/10.1364/josab.36.00e112.Search in Google Scholar
© 2020 Gaspar Armelles & Alfonso Cebollada, published by De Gruyter, Berlin/Boston
This work is licensed under the Creative Commons Attribution 4.0 International License.
Articles in the same Issue
- Reviews
- Low-dimensional saturable absorbers for ultrafast photonics in solid-state bulk lasers: status and prospects
- Recent progress on applications of 2D material-decorated microfiber photonic devices in pulse shaping and all-optical signal processing
- Superconducting nanowire single-photon detectors for quantum information
- Light-field and spin-orbit-driven currents in van der Waals materials
- Active photonic platforms for the mid-infrared to the THz regime using spintronic structures
- Dynamics of carbon nanotube-based mode-locking fiber lasers
- Research Articles
- 164 fs mode-locked erbium-doped fiber laser based on tungsten ditelluride
- Convolution operations on time-domain digital coding metasurface for beam manipulations of harmonics
- Tellurene-based saturable absorber to demonstrate large-energy dissipative soliton and noise-like pulse generations
- Controllable all-optical modulation speed in hybrid silicon-germanium devices utilizing the electromagnetically induced transparency effect
- Simultaneous field enhancement and loss inhibition based on surface plasmon polariton mode hybridization
- Robust optical physical unclonable function using disordered photonic integrated circuits
- Broadband and high-efficiency accelerating beam generation by dielectric catenary metasurfaces
- Broadband photonic topological insulator based on triangular-holes array with higher energy filling efficiency
- 3D super-resolved imaging in live cells using sub-diffractive plasmonic localization of hybrid nanopillar arrays
- Real-time terahertz meta-cryptography using polarization-multiplexed graphene-based computer-generated holograms
- Thermal-responsive multicolor emission of single NaGdF4:Yb/Ce/Ho upconversion nanocrystals for anticounterfeiting application
- Yttrium oxide as a Q-switcher for the near-infrared erbium-doped fiber laser
- High-quality micropattern printing by interlacing-pattern holographic femtosecond pulses
- End-emitting nano organic light emitting diodes (OLEDs) with directional output
- Multiphysical sensing of light, sound and microwave in a microcavity Brillouin laser
- Ultra-wideband enhancement on mid-infrared fingerprint sensing for 2D materials and analytes of monolayers by a metagrating
- Microcavity-coupled emitters in hexagonal boron nitride
- Exploiting deep learning network in optical chirality tuning and manipulation of diffractive chiral metamaterials
- Time-varying optical vortices enabled by time-modulated metasurfaces
- Direct routing of intensity-editable multi-beams by dual geometric phase interference in metasurface
- Fabrication of highly uniform nanoprobe via the automated process for tip-enhanced Raman spectroscopy
- Ultra-thin curved visible microdisk lasers with three-dimensional whispering gallery modes
- Spatial multiplexing holographic combiner for glasses-free augmented reality
- Terahertz plasmonic phase-jump manipulator for liquid sensing
- Facile sonochemical-assisted synthesis of orthorhombic phase black phosphorus/rGO hybrids for effective photothermal therapy
- Facile integration of MoS2/SiC photodetector by direct chemical vapor deposition
Articles in the same Issue
- Reviews
- Low-dimensional saturable absorbers for ultrafast photonics in solid-state bulk lasers: status and prospects
- Recent progress on applications of 2D material-decorated microfiber photonic devices in pulse shaping and all-optical signal processing
- Superconducting nanowire single-photon detectors for quantum information
- Light-field and spin-orbit-driven currents in van der Waals materials
- Active photonic platforms for the mid-infrared to the THz regime using spintronic structures
- Dynamics of carbon nanotube-based mode-locking fiber lasers
- Research Articles
- 164 fs mode-locked erbium-doped fiber laser based on tungsten ditelluride
- Convolution operations on time-domain digital coding metasurface for beam manipulations of harmonics
- Tellurene-based saturable absorber to demonstrate large-energy dissipative soliton and noise-like pulse generations
- Controllable all-optical modulation speed in hybrid silicon-germanium devices utilizing the electromagnetically induced transparency effect
- Simultaneous field enhancement and loss inhibition based on surface plasmon polariton mode hybridization
- Robust optical physical unclonable function using disordered photonic integrated circuits
- Broadband and high-efficiency accelerating beam generation by dielectric catenary metasurfaces
- Broadband photonic topological insulator based on triangular-holes array with higher energy filling efficiency
- 3D super-resolved imaging in live cells using sub-diffractive plasmonic localization of hybrid nanopillar arrays
- Real-time terahertz meta-cryptography using polarization-multiplexed graphene-based computer-generated holograms
- Thermal-responsive multicolor emission of single NaGdF4:Yb/Ce/Ho upconversion nanocrystals for anticounterfeiting application
- Yttrium oxide as a Q-switcher for the near-infrared erbium-doped fiber laser
- High-quality micropattern printing by interlacing-pattern holographic femtosecond pulses
- End-emitting nano organic light emitting diodes (OLEDs) with directional output
- Multiphysical sensing of light, sound and microwave in a microcavity Brillouin laser
- Ultra-wideband enhancement on mid-infrared fingerprint sensing for 2D materials and analytes of monolayers by a metagrating
- Microcavity-coupled emitters in hexagonal boron nitride
- Exploiting deep learning network in optical chirality tuning and manipulation of diffractive chiral metamaterials
- Time-varying optical vortices enabled by time-modulated metasurfaces
- Direct routing of intensity-editable multi-beams by dual geometric phase interference in metasurface
- Fabrication of highly uniform nanoprobe via the automated process for tip-enhanced Raman spectroscopy
- Ultra-thin curved visible microdisk lasers with three-dimensional whispering gallery modes
- Spatial multiplexing holographic combiner for glasses-free augmented reality
- Terahertz plasmonic phase-jump manipulator for liquid sensing
- Facile sonochemical-assisted synthesis of orthorhombic phase black phosphorus/rGO hybrids for effective photothermal therapy
- Facile integration of MoS2/SiC photodetector by direct chemical vapor deposition