Home Technology Photonics of DNA/ruthenium(II) complexes
Article Open Access

Photonics of DNA/ruthenium(II) complexes

  • Norihisa Kobayashi EMAIL logo , Haruki Minami and Kazuki Nakamura
Published/Copyright: July 17, 2018
Become an author with De Gruyter Brill

Abstract

In this review, we describe the investigation of a ruthenium [Ru(II)] complex-based, AC voltage-driven, electrochemiluminescent (ECL) device first. The ECL turn-on response time and intensity were dramatically improved by introducing the AC method. The turn-on response time was speeded up by increasing the applied frequency: 4 ms response time was achieved at 200 Hz, which was much faster than when using the DC method (1.5 s). We also introduced rutile-type titanium dioxide nanoparticles (TiO2 NPs) in a Ru(II) complex-based AC-ECL device. The ECL intensity and the lifetimes of the ECL device with TiO2 NPs were greatly improved compared to those of the device without nanoparticles. Then we tried to improve photoelectrochemical properties of the Ru(II) complex by combining it with DNA molecules. We fabricated a novel DNA/Ru(bpy)32+ hybrid film that could immobilize the ECL-active Ru(bpy)32+ onto the electrode surface through electrophoretic migration. The hybrid film contained unique micrometer-scale aggregates of Ru(bpy)32+ in the DNA matrix. Surprisingly, by using the DNA/Ru(bpy)32+ hybrid film for the ECL device, luminescence could be obtained at frequencies as high as 10kHz, which corresponds to a response time shorter than 100μs.

1 Introduction

1.1 Photoelectrochemical functionality of Ru(II) complexes

Ruthenium complexes are among the most extensively investigated transition-metal complexes from a photoelectrochemical viewpoint. Their unique combination of chemical stability, redox properties, excited state reactivity, luminescence emission, and excited state lifetime has attracted the attention of many researchers [1], [2], [3], [4], [5], [6]. In particular, Ru(II) polypyridine complexes, typified by Ru(bpy)32+ (bpy=2,2′-bipyridine), continue to play a key role in stimulating the development of several branches of chemistry, including photochemistry, photophysics, photocatalysis, electrochemistry, photoelectrochemistry, chemiluminescence/electrochemiluminescence (ECL) [7], [8], [9], [10], [11], and electron and energy transfer.

1.2 Electrochemiluminescence of Ru(II) complexes

ECL is a light-emitting phenomenon whereby species that are electrochemically generated at the anode and cathode undergo electron-transfer reactions to form excited states that emit light [12], [13], [14]. The emission of light can be induced by the application of a bias voltage to an electrolyte solution containing ECL materials. This process can be used to detect the emitting molecules at less than nanomolar concentrations. Therefore, ECL has analytical applications in the detection of some important biological molecules, such as proteins, antibodies, and DNA [15]. The first detailed ECL study was reported in the mid-1960s [16], [17], and today ECL is used as a highly sensitive and selective analytical method for many analytes.

Ru(bpy)32+ has been widely used as an ECL material since it was first reported in 1972 [18]. It is frequently used in co-reactant ECL systems with tripropylamine (TPrA) [19] and the oxalate molecule [20] in the analytical field [21]. However, this mini-review focuses on its use to generate annihilation ECL. In an annihilation ECL system, Ru(bpy)32+ and its redox species, such as its reduced form Ru(bpy)31+ and its oxidized form Ru(bpy)33+, show relatively high electrochemical stability and high ECL efficiency. Therefore, many researchers have investigated the mechanism of ECL in Ru(bpy)32+ in detail. Ru(bpy)32+ generates ECL by the annihilation of its oxidized and reduced forms, as shown below:

(1)Ru(bpy)32++eRu(bpy)31+,
(2)Ru(bpy)32+eRu(bpy)33+,
(3)Ru(bpy)31++Ru(bpy)33+*Ru(bpy)32++Ru(bpy)32+,
(4)*Ru(bpy)32+Ru(bpy)32++hυ.

The oxidized and reduced states of Ru(bpy)32+ are electrochemically generated at the anode and the cathode, respectively, and collide with each other to generate the excited state of Ru(bpy)32+, which subsequently produces the luminescence.

In a sandwich cell operated with DC (direct current) voltage, annihilation ECL is caused by the reduced and oxidized species generated at the cathode and anode, respectively. The redox species diffuse away from the electrodes because of the concentration gradient. The oxidized and reduced species meet at the center of the cell and undergo an electron-transfer reaction by which one of them generates the excited state (Figure 1).

Figure 1: Model of annihilation ECL in a two-electrode cell under DC operation.
Figure 1:

Model of annihilation ECL in a two-electrode cell under DC operation.

1.3 Interaction between DNA chains and photofunctional materials

In recent years, biopolymer-based materials have attracted a great deal of attention for possible applications in photonic and electronic materials because of their highly ordered structures and unique properties. In particular, DNA has unique features that allow it to incorporate various kinds of functional materials, such as organic dyes [22], [23], [24], metal complexes [25], [26] or conductive polymers [27], [28], [29]. The DNA molecule possesses unique features that enable it to form functional complexes with other materials through three general interactions: (i) its polyelectrolyte nature, which enables electrostatic interactions; (ii) its selective affinity for small molecules via intercalation; (iii) the binding of specific molecules into its grooves. The electrostatic properties of DNA as a highly charged polyelectrolyte are important to the formation of functional complexes and have been widely exploited in various DNA-based applications. The backbones of the double helix chains of DNA contain negatively charged phosphate groups in a regular arrangement. Therefore, DNA is an ideal template for the fabrication of highly ordered nanostructures via the binding of cationic agents such as metal ions, cationic surfactants, and polycationic agents [30]. The second feature of DNA is its ability to selectively incorporate small molecules. The most common DNA structure is the B type, in which the stacked bases are regularly spaced at 0.34 nm intervals. Some small planar molecules can intercalate into the spaces between the stacked bases; however, intercalation interactions are highly selective in terms of the structure of the small molecules [31]. The third feature of DNA is its groove-binding ability. The helical structure of DNA consists of a wide major groove and a narrow minor groove of approximately the same depth, which enable the binding of specific small or large molecules into the grooves between the two backbones [32].

Because of these unique features, the macromolecule DNA has been utilized in the creation of novel functional materials, such as optical amplifiers [33], transistors [34], [35], [36] and biosensors [37]. These devices have demonstrated performance exceeding that of state-of-the-art devices made with currently available organic materials. Among the many DNA-based functional materials, we have chosen to focus on DNA/Ru(II) complexes because of their characteristic optical and electronic properties [38], [39]. We have previously reported DNA-based organic light-emitting diodes (OLEDs) [40], [41] in which a Ru(II) complex functioned as both a carrier-transporting material and a luminescent material.

2 Improvement of ruthenium(II) complex-based ECL

2.1 Changing the driving mode of the ECL devices from DC to AC

As described in the introduction, Ru(II) complexes have great appeal as ECL materials. Like the majority of reported ECL devices, most previously reported Ru(II) complexes have been driven using DC. In such devices, there is a long delay (approximately 1 s) between the time the applied voltage is switched on and the observation of emission from the cell [42]. This is because the emission is derived from the collision of cation radicals and anion radicals generated at the cathode and anode, respectively. As described above, the radicals generated at each electrode must move toward the other electrode to meet at the center of the electrolyte layer. The collision between the anion and cation radicals generates excited-state and ground-state emissive species, and the emission is observed from the excited state. The delay in the generation of the excited state of the emissive species is due to the slow diffusion of the radical species in the emitting solution.

We reported the use of alternating current (AC)-driven ECL to improve the slow turn-on response. A fast response (approximately 10 ms) was achieved by applying an AC voltage at 50 Hz [43]. In this section, we introduce our reported frequency dependence of the response time and the efficiency of the emission, and provide a detailed mechanism for AC-driven ECL.

To prepare the ECL-emitting solution, 10 mm Ru(bpy)3(PF6)2 and 100 mm tetrabutylammonium perchlorate (TBAP) were dissolved in propylene carbonate (PC). The ECL device was prepared by placing the solution between a pair of indium tin oxide (ITO) electrodes, with an interelectrode distance of 70 μm maintained using a spacer. The emission area of the ECL device was 1.5×1.5 cm2. The ECL spectra obtained from the device under the application of 4 V DC or 4 V AC at 50 Hz are shown in Figure 2. Both ECL devices emitted orange luminescence. The ECL bands exhibited an emission maximum at 620 nm and were almost identical to the photoluminescence (PL) bands of the Ru(bpy)32+ complexes, indicating that the light was emitted from the Ru(bpy)32+ complexes in the solution. On examining the emission spectra in greater detail, the emission peak was found to have red-shifted from 610 nm in the PL spectrum to 620 nm in the ECL spectrum in solution, and the ECL spectrum was observed to be slightly broader than the PL spectrum. This was probably due to the electronic interactions between the Ru(bpy)32+ complexes during the collision of the radical molecules. The observed luminance of the AC-driven ECL device (AC-ECLD) and the DC-driven ECL device (DC-ECLD) were ~45.6 and 1.43 cd m−2, respectively. Despite using the same voltage and same concentration of Ru(bpy)32+ complexes, the ECL intensity of the AC-ECLD was dramatically improved compared to that of the DC-ECLD.

Figure 2: Electrochemiluminescence spectra of an ECL cell containing 10 mm Ru(bpy)32+ under an applied voltage of 4 V AC at (A) 50 Hz and (B) 4 V DC, and (C) the normalized photoluminescence spectra of 1 mm Ru(bpy)32+ dissolved in propylene carbonate under 455 nm excitation.Reprinted with permission from Ref. [43]. Copyright (2010) The Royal Society of Chemistry.
Figure 2:

Electrochemiluminescence spectra of an ECL cell containing 10 mm Ru(bpy)32+ under an applied voltage of 4 V AC at (A) 50 Hz and (B) 4 V DC, and (C) the normalized photoluminescence spectra of 1 mm Ru(bpy)32+ dissolved in propylene carbonate under 455 nm excitation.

Reprinted with permission from Ref. [43]. Copyright (2010) The Royal Society of Chemistry.

We also measured the turn-on response time of the AC-ECLD (4 V, 50 Hz) and DC-ECLD (4 V). As can be seen in Figure 3A, the maximum emission was observed within 15 ms of the application of the AC bias voltage in the AC-ECLD. In contrast, the DC-ECLD device began to emit light ~0.5 s after the DC bias voltage was switched on (Figure 3B), and required over 1 s (~1.5 s) to reach maximum emission. This indicates that the turn-on response of the AC-ECLD was 100 times faster than that of the DC-ECLD.

Figure 3: Emission turn-on response of the ECL cell after the application of (A) 4 V AC at 50 Hz and (B) 4 V DC.Reprinted with permission from Ref. [43]. Copyright (2010) The Royal Society of Chemistry.
Figure 3:

Emission turn-on response of the ECL cell after the application of (A) 4 V AC at 50 Hz and (B) 4 V DC.

Reprinted with permission from Ref. [43]. Copyright (2010) The Royal Society of Chemistry.

In order to explain the higher maximum emission intensity and the faster response of the AC-ECLD, the emission mechanism was reconsidered. The emission mechanism of ECL from Ru(bpy)32+ is believed to obey the reaction scheme described in the introduction. That is, the oxidized and reduced forms of the Ru(bpy)32+ complexes, which are electrochemically produced at the anode and the cathode, respectively, collide with each other to generate the excited state of the Ru(bpy)32+ complex, which subsequently emits light.

In order to evaluate the turn-on response time quantitatively, the effect of the applied frequency on the response time of the device was studied. The response time was defined as the delay between switching on the AC voltage at the first AC cycle and the emission of light. The results are plotted as a function of frequency in Figure 4. As can be seen in Figure 4, the response became faster as the frequency increased. A response time of ~4 ms was achieved at a frequency of 200 Hz. This response time satisfies the requirements for practical video displays. As mentioned above, collision between the oxidized and reduced complexes is required for the emission of light in the present ECLD. Therefore, at least half the period of a given frequency is required in order for both the oxidized and reduced species to be present near the same electrode. The half-period of the frequency is also plotted in Figure 4 as open triangles. A deviation in the turn-on response time trend is observed in the initial 2–3 ms, during which the turn-on time was not strongly dependent on the frequency. This deviation was possibly due to the charging process of the electric double layer (EDL) generated at the electrodes. These results indicate that AC-ECLD can achieve a very fast turn-on response of less than 10 ms, which is comparable to that of practical TV displays.

Figure 4: Applied frequency dependence of the turn-on response time of the ECL cell under the application of 4 V AC (filled squares).The half-period of each frequency is also shown (open triangles). Reprinted with permission from Ref. [43]. Copyright (2010) The Royal Society of Chemistry.
Figure 4:

Applied frequency dependence of the turn-on response time of the ECL cell under the application of 4 V AC (filled squares).

The half-period of each frequency is also shown (open triangles). Reprinted with permission from Ref. [43]. Copyright (2010) The Royal Society of Chemistry.

2.2 Increase in ECL lifetime with the addition of TiO2 nanoparticles

By introducing the AC operation method, the ECL characteristics (responsivity and ECL intensity) of Ru(II) complexes were greatly improved. In particular, the turn-on response was greatly improved by introducing the AC-driven procedure. However, the device lifetime of the Ru(II) complex was still not satisfactory for practical use. To improve the lifetime of the ECL devices, the concentration of the reduced species must exactly match the concentration of the oxidized species [44], [45]. We then investigated the balance between electrochemically reduced and oxidized species in the ECL device. Furthermore, we improved the redox balance and ECL lifetime by introducing metal oxide nanoparticles (NPs) [46].

First, to understand the degradation mechanism of the Ru(bpy)32+-based ECL device, we estimated the stability of the reduced and oxidized species of Ru(bpy)32+ through rotating ring-disk electrode (RRDE) measurements. Figure 5 shows the current versus potential curves of the Ru(bpy)32+ complex-based ECL solution obtained using the RRDE method at various rotation frequencies. When the disk electrode potential was linearly swept in the anodic direction with the application of a 0 V potential to the ring electrode, Ru(bpy)33+ was detected as the oxidized species in the form of the reverse reaction current at the ring electrode under a potential more negative than its oxidative potential at the disk electrode. The collection efficiency (N), which can be used to discuss the stability of redox species, is determined using the expression N=|iring|/|idisk|. The collection efficiency of the oxidized species, Nox, which was normalized by the theoretical efficiency, was found to be 98.7% at a rotation speed of 1000 rpm. In contrast, the collection efficiency of the reduced species, Nred, was lower than that of the oxidized species at all rotation frequencies, as shown in Table 1. At a rotation speed of 1000 rpm, the ratio was only 78.8%, indicating that the reduced species of Ru(bpy)32+ was less stable than its oxidized counterpart. The lower stability of the reduced species relative to the oxidized species indicated that an excess of the residual oxidized species would be accumulated near the electrodes during the continuous polarity-switching of the applied AC. This loss of redox balance in the Ru(bpy)32+-based AC-ECL would decrease the long-term stability of the device.

Figure 5: Current versus potential curves of the Ru(bpy)32+ complex-based ECL solution measured using the RRDE method at various rotation frequencies.(A) Anodic region and (B) cathodic region. Scan rate: 50 mV s−1. Reprinted with permission from Ref. [46]. Copyright (2016) The Royal Society of Chemistry.
Figure 5:

Current versus potential curves of the Ru(bpy)32+ complex-based ECL solution measured using the RRDE method at various rotation frequencies.

(A) Anodic region and (B) cathodic region. Scan rate: 50 mV s−1. Reprinted with permission from Ref. [46]. Copyright (2016) The Royal Society of Chemistry.

Table 1:

Results of the RRDE measurements: arrival times and collection efficiencies of the oxidized (Nox) and reduced (Nred) species at various rotation frequencies.

Rotation frequency (rpm)Arrival time (s)Nox (%)Nred (%)
5000.4983.272.1
10000.2498.778.8
20000.1299.989.9
30000.08299.592.9

Therefore, ECL can be improved by suppressing the formation of excess oxidized species. In order to improve the lifetime of the Ru(II) complex-based ECL, we introduced TiO2 nanoparticles, which are known to act as electron acceptors, into the ECL device. To prepare the ECL solution, Ru(bpy)3(PF6)2 (10 mmol l−1) and TBAP (100 mmol l−1) were dissolved in PC. Subsequently, 30 wt% of rutile-type TiO2 NPs was added. The ECL devices were fabricated by sandwiching the ECL solution between pairs of ITO electrodes, with an interelectrode distance of 300 μm maintained by silicone spacers. The effective electrode area of the ECL devices was 1.0×1.0 cm2. The ECL devices were fabricated in a glove box under Ar atmosphere.

We first investigated the change in the ECL intensity and the long-term stability of the ECL device after the addition of TiO2 NPs to the Ru(bpy)32+-based ECL solution. The ECL spectra of the Ru(bpy)32+-based ECL device under an applied AC voltage of ±3 V at 50 Hz are shown in Figure 6.

Figure 6: ECL spectra of the two-electrode devices with and without TiO2 NPs under an applied AC voltage of ±3 V at 50 Hz.Reprinted with permission from Ref. [46]. Copyright (2016) The Royal Society of Chemistry.
Figure 6:

ECL spectra of the two-electrode devices with and without TiO2 NPs under an applied AC voltage of ±3 V at 50 Hz.

Reprinted with permission from Ref. [46]. Copyright (2016) The Royal Society of Chemistry.

The orange ECL band with an emission peak at ~620 nm was almost identical to the PL peak of Ru(bpy)32+ [47], [48]. These results clearly indicate the generation of AC-ECL from Ru(bpy)32+ in these devices. With the addition of TiO2 NPs to the solution, the emission luminescence of the ECL device increased to 165 cd m−2, which was 1.4 times higher than that of the device without TiO2 NPs (120 cd m−2).

The time dependence of the ECL intensity of the ECL devices under an applied AC voltage of ±3 V at 50 Hz is shown in Figure 7. Without the TiO2 NPs, the half-life of the ECL device was ~250 s, while that of the ECL device with the TiO2 NPs was extended by a factor of 4 to ~1000 s. Thus, the ECL intensity and long-term stability of the device were greatly improved by the addition of TiO2 NPs to the Ru(bpy)32+-based ECL solution.

Figure 7: Time dependence of the ECL intensity of the two-electrode devices with or without TiO2 NPs under an applied AC voltage of ±3 V at 50 Hz.Reprinted with permission from Ref. [46]. Copyright (2016) The Royal Society of Chemistry.
Figure 7:

Time dependence of the ECL intensity of the two-electrode devices with or without TiO2 NPs under an applied AC voltage of ±3 V at 50 Hz.

Reprinted with permission from Ref. [46]. Copyright (2016) The Royal Society of Chemistry.

Based on detailed electrochemical measurements, it was suggested that electron transfer between Ru(bpy)32+ and TiO2 NPs played an important role in increasing the ECL lifetime. The possible electron-transfer mechanisms are shown in Figure 8, in which electrons are transferred from the reduced species of Ru(bpy)32+ to the TiO2 NPs and, subsequently, from the TiO2 NPs to the oxidized species of Ru(bpy)32+. This electron transfer was thought to improve the balance between the redox reactions in the ECL device, leading to long-term stability.

Figure 8: Schematic energy diagrams of Ru(bpy)32+ and TiO2, describing the (A) reductive and (B) oxidative reaction processes.Reprinted with permission from Ref. [46]. Copyright (2016) The Royal Society of Chemistry.
Figure 8:

Schematic energy diagrams of Ru(bpy)32+ and TiO2, describing the (A) reductive and (B) oxidative reaction processes.

Reprinted with permission from Ref. [46]. Copyright (2016) The Royal Society of Chemistry.

3 Emission enhancement by interaction between Ru(II) complexes and DNA

3.1 DNA/Ru(bpy)32+

As mentioned in the introduction, DNA is known to have the ability to incorporate various functional materials in its structure, leading to the addition or improvement of functionalities such as luminescence and electrical properties [31], [32]. In particular, many studies have been conducted on the interaction between DNA and Ru(bpy)32+, which is an optoelectronic functional metal complex [49], [50].

We introduce the interaction between DNA and Ru(bpy)32+ and the molecular structure of the DNA/Ru(bpy)32+ complex. The concentration of DNA was defined as the concentration of the phosphate groups. In general, cationic Ru(bpy)32+ is thought to associate with the anionic DNA through electrostatic interactions [51], [52], [53]. The emission intensity and lifetime increased with the DNA concentration, as shown in Figure 9. The intensity of the emission from excited Ru(bpy)32+ at ~600 nm initially increased with the DNA concentration, and then plateaued at a constant intensity above a DNA/Ru(bpy)32+ molar ratio of 10:1 (Figure 10).

Figure 9: Emission spectra of the DNA/Ru(bpy)32+ aqueous solution containing 0.1 mm Ru(bpy)32+ as a function of DNA concentration (0–2 mm).Reprinted with permission from Ref. [53]. Copyright (2017) Springer.
Figure 9:

Emission spectra of the DNA/Ru(bpy)32+ aqueous solution containing 0.1 mm Ru(bpy)32+ as a function of DNA concentration (0–2 mm).

Reprinted with permission from Ref. [53]. Copyright (2017) Springer.

Figure 10: DNA concentration dependence of the emission intensity at ~600 nm from excited Ru(bpy)32+ in a DNA/Ru(bpy)32+ complex solution containing 0.1 mm of Ru(bpy)32+.Reprinted with permission from Ref. [53]. Copyright (2017) Springer.
Figure 10:

DNA concentration dependence of the emission intensity at ~600 nm from excited Ru(bpy)32+ in a DNA/Ru(bpy)32+ complex solution containing 0.1 mm of Ru(bpy)32+.

Reprinted with permission from Ref. [53]. Copyright (2017) Springer.

The saturation of the emission intensity at a DNA/Ru(bpy)32+ molar ratio of 10:1 indicated that five base pairs (on average) of DNA could bind each Ru(bpy)32+ to form DNA/Ru(bpy)32+ in a solution containing 0.1 mm Ru(bpy)32+. The increase in emission intensity was due to the decrease in nonemissive transitions as a result of the interaction between DNA and Ru(bpy)32+. That is, the diffusional movements and intramolecular motion of Ru(bpy)32+ were restricted by its association with macromolecular DNA.

3.2 DNA/Ru(phen)32+

Organization of DNA and chiral luminescent metal complexes has attracted much attention for many years. Chiral luminescent complexes are known to show chiral optical properties such as circular dichroism (CD) and circularly polarized luminescence (CPL) as a result of the structural chirality of the complex [54], [55]. Therefore, the DNA/chiral material complexes formed through the association of the chiral materials with DNA, which possesses the well-known double-helical chiral structure [56], were expected to exhibit unique chiral optical properties.

Among them, the interaction between chiral Δ- or Λ-Ru(phen)32+ and DNA is expected to be applied to DNA chiral sensors and new functional materials [57], [58]. It is known that enantioselective emission change could be achieved by the interaction of DNA and chiral Ru(phen)32+ [59]. We also analyzed the interaction form of DNA/chiral Ru(phen)32+ from the viewpoint of the change of optical properties [60]. As well as the luminescence property of Ru(bpy)32+, those of the chiral Ru(II) complexes [Δ-/Λ-Ru(phen)32+] are expected to improve through interaction with DNA.

We first prepared aqueous solutions of Δ- or Λ-Ru(phen)32+ and DNA (purified from salmon testes) in various molar ratios. The overall concentration of DNA was determined as the phosphate concentration. In the absence of DNA ([DNA]:[Ru(phen)32+]=0:1), the luminescence bands of Δ- and Λ-Ru(phen)32+ showed similar shapes and intensities (Figure 11). As the proportion of DNA was increased, the luminescence intensities for both Δ- and Λ-Ru(phen)32+ increased without significant change in their spectral shapes. This emission enhancement was a result of the immobilization of the Ru(phen)32+ through its interaction with DNA, as the immobilization of luminescent molecules suppresses the emission quenching caused by molecular vibration and vibration excitation of matrices [61], [62], [63].

Figure 11: Photoluminescence spectra of the DNA/Δ-Ru(II) complex in aqueous solution at various [DNA]:[Ru(II)] ratios.The concentration of Ru(phen)32+ was 0.10 mm, and the excitation wavelength was 450 nm. Inset: Normalized emission intensity of the DNA/Δ-Ru and Λ-Ru(II) complexes in aqueous solution at various [DNA]/[Ru(II)] ratios. Reprinted with permission from Ref. [60]. Copyright (2018) SPIE.
Figure 11:

Photoluminescence spectra of the DNA/Δ-Ru(II) complex in aqueous solution at various [DNA]:[Ru(II)] ratios.

The concentration of Ru(phen)32+ was 0.10 mm, and the excitation wavelength was 450 nm. Inset: Normalized emission intensity of the DNA/Δ-Ru and Λ-Ru(II) complexes in aqueous solution at various [DNA]/[Ru(II)] ratios. Reprinted with permission from Ref. [60]. Copyright (2018) SPIE.

Interestingly, the Δ and Λ isomers exhibited different degrees of emission enhancement. The inset in Figure 11 shows the changes in the emission intensities of Δ- and Λ-Ru(phen)32+ as a function of the [DNA]/[Ru(phen)32+] ratio. The luminescence enhancement of the Δ form [3.1 times larger than that of free Δ-Ru(phen)32+] was found to be greater than that of the Λ form [2.4 times larger than that of free Λ-Ru(phen)32+]. Therefore, enantioselectivity was observed in the enhancement of the luminescence of Ru(phen)32+ through interaction with DNA. This enantioselective property suggested that Δ- and Λ-Ru(phen)32+ interacted differently with DNA.

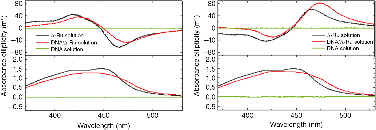
In order to investigate these binding modes, the absorption and CD spectra of mixed solutions of DNA/ Δ-Ru(phen)32+ and DNA/Λ-Ru(phen)32+, as well as of separate solutions of DNA, Δ-Ru(phen)32+, and Λ-Ru(phen)32+, were obtained (Figure 12). The absorbance of the MLCT (metal-to-ligand charge-transfer) band in the absorbance spectra of the mixed solutions containing DNA was found to be decreased compared those of the Ru(phen)32+ complexes alone. These behaviors suggested that Δ- and Λ-Ru(phen)32+ likely intercalated between the base pairs in the DNA chains [64], [65], [66]. In the CD measurements, symmetric CD signals with exciton-splitting-type Cotton effects were observed for both the Δ- and Λ-Ru(phen)32+ solutions. Upon association with DNA, the CD signals of both the positive (at 420 nm) and negative (at 470 nm) bands were reduced for DNA/Δ-Ru(phen)32+, whereas the longer wavelength band increased in the DNA/Λ-Ru(phen)32+ spectrum. These results suggest that the Δ- and Λ-Ru(phen)32+ complexes undergo structural and/or electronic changes upon DNA association. The binding modes between DNA and Ru(phen)32+ were different for the two enantiomers, as indicated by the different changes in their CD spectra.

Figure 12: CD and absorbance spectra of Δ-, Λ-Ru(phen)32+, DNA, and DNA/Δ-, Λ-Ru(phen)32+ solutions.The concentration of Ru(phen)32+ was set to 0.10 mm and the optical path length was 1.0 cm. Reprinted with permission from Ref. [60]. Copyright (2018) SPIE.
Figure 12:

CD and absorbance spectra of Δ-, Λ-Ru(phen)32+, DNA, and DNA/Δ-, Λ-Ru(phen)32+ solutions.

The concentration of Ru(phen)32+ was set to 0.10 mm and the optical path length was 1.0 cm. Reprinted with permission from Ref. [60]. Copyright (2018) SPIE.

Table 2 shows the luminescence lifetimes of Ru(phen)32+, DNA/Ru(phen)32+, and DNA/Ru(phen)32+ in the presence of excess Na+ ions. In the free Ru(phen)32+ solution, the luminescence lifetimes of both the Δ and Λ forms were ~590 ns and showed only a single component. Upon association with DNA ([DNA]:[Ru(phen)32+]=30:1), the luminescence lifetimes of both Δ- and Λ-Ru(phen)32+ increased. This increase was attributed to the suppression of vibrational quenching of the excited state of Ru(phen)32+ due to its immobilization on DNA. The lifetimes of the DNA/Ru(phen)32+ complexes consisted of two components with lifetimes of 1500–1600 and 700–800 ns. The appearance of two separate emission lifetimes clearly suggested that DNA and Ru(phen)32+ had two different binding modes. Based on the changes in their various optical properties, intercalation and the electrostatic interaction were thought to be the major binding modes between DNA and Ru(phen)32+.

Table 2:

Emission lifetimes of Δ-, Λ-Ru(phen)32+ solution, DNA/Δ-, Λ-Ru(phen)32+ solution, and DNA/Δ-, Λ-Ru(phen)32+/NaCl solution.

SampleΔ formΛ form
Ru(II) complex585 ns (100%)583 ns (100%)
Ru(II) complex/DNA1620 ns (87%)

826 ns (13%)
1520 ns (72%)

734 ns (28%)
Ru(II) complex/DNA/NaCl1650 ns (36%)

589 ns (64%)
1450 ns (28%)

604 ns (73%)

In order to clarify the relationships between the binding modes and the lifetime components, electrostatic interaction was excluded with the addition of an excess of Na+ ions to the DNA/Ru(phen)32+ aqueous solution. By the addition of excess Na+ ion into the DNA/[cationic Ru(II) complex] solutions, near-quantitative disassociation of the Ru(II) complexes from DNA occurs because of cation exchange with Na+ [67], [68]. For the free Δ- and Λ-Ru(phen)32+ solutions, the emission lifetime did not show any changes even after the addition of excess Na+ ions. In the case of the DNA/Ru(phen)32+ complex, the components of longer lifetimes (Δ: 1620 ns, Λ: 1520 ns) remained very similar, but the shorter lifetime components (Δ: 826 ns, Λ: 734 ns) decreased to the lifetimes of free Ru(phen)32+ (~600 ns). Based on the changes in the luminescence lifetimes, it was hypothesized that the longer lifetime components originated from the intercalation of Ru(phen)32+ into DNA. The shorter lifetime components were classified as due to electrostatic interactions. We then estimated the percentage contribution of each lifetime component to the total emission. The intercalation of Ru(phen)32+ was found to account for ~90% for the Δ isomer and 70% for the Λ isomer. These experiments showed that Δ-Ru(phen)32+ tends to intercalate into DNA more effectively than the Λ enantiomer, leading to the enantioselective emission enhancement shown in Figure 11. The enantioselectivity of the interaction between Ru(phen)32+ and DNA was previously investigated using NMR measurements and molecular modeling [57], [58], [59]. According to the literature, the interaction of Δ-Ru(phen)32+ with DNA produces only minor distortions in the DNA structure, whereas the Λ enantiomer causes greater distortion of the DNA structure upon complexation as a result of steric considerations. This enantioselective affinity would be expected to affect the luminescent properties of the complexes, such as their luminescence intensities and lifetimes. This enantioselective luminescence enhancement could also be useful for applications involving photoelectro-functional devices, such as chiral sensors and ECL devices.

4 Ultrafast-responsive electrochemiluminescence from DNA/Ru(II) complex hybrid electrode

The optical properties of Ru(II) complexes can be improved through interactions with DNA as mentioned above. Application of improved optical properties of the DNA/Ru(II) complexes for ECL devices are expected to enhance the ECL properties. However, the DNA/Ru(II) complexes will be difficult to be utilized for ECL devices because the complexes are soluble only in water. Aqueous solutions of the DNA/Ru(II) complexes cannot be used in ECL devices because of the low electrochemical stability of the aqueous medium. Therefore, we attempted to the utilize the DNA/Ru(II) complex in the film state for the fabrication of an ECL device [69].

First, a native DNA film (thickness: 0.5μm) was prepared by casting the DNA solution on an ITO electrode. Then, Ru(bpy)32+ was introduced by placing the film in a Ru(bpy)3Cl2 aqueous solution (10mmol l−1) and then applying a −1.5V (vs. Ag/Ag+) voltage to the DNA film electrode. No supporting electrolyte was used in the solution during this step. Therefore, Ru(bpy)32+ was likely transported by migration and incorporated into the DNA film through electrostatic interactions. The ECL device was prepared by placing a PC solution containing TBAP (100mm) between a pair of DNA/Ru(bpy)32+ hybrid film-modified electrodes placed 75μm apart.

As shown in Figure 13A–C, the film consisted of flat regions and embedded micro-aggregates. The fluorescence micrograph of the hybrid film (Figure 13B) indicated that Ru(bpy)32+ was distributed throughout the film. However, when an AC voltage was applied, ECL emission was observed only from the aggregates (Figure 13C). Therefore, the flat and aggregated areas have different electrochemical responses. Based on the optical microscopy images of the DNA/Ru(bpy)32+ film, this micro-aggregate array structure self-assembled during the drying process of the DNA film. The mechanism of the formation of this specific mesoscopic-scale array of aggregations is not clear at present. However, such structures are not found in other polyanion films such as Nafion, Flemion, or polystyrene sulfonate.

Figure 13: (A) Microscopy and (B) fluorescence microscopy images of a DNA/Ru(bpy)32+ hybrid film, showing the flat and aggregated regions. (C) Microscopic images of the film under a ±4V, 500Hz AC voltage in the ECL device.Reprinted with permission from Ref. [69]. Copyright (2017) Springer Nature.
Figure 13:

(A) Microscopy and (B) fluorescence microscopy images of a DNA/Ru(bpy)32+ hybrid film, showing the flat and aggregated regions. (C) Microscopic images of the film under a ±4V, 500Hz AC voltage in the ECL device.

Reprinted with permission from Ref. [69]. Copyright (2017) Springer Nature.

We measured the microscopic Fourier transform infrared spectroscopy (FT-IR) spectra of Ru(bpy)3Cl2, pure DNA, and the flat and aggregated regions of the hybrid film to analyze the membrane structure in detail. In Figure 14, the peaks at 1085 and 1224cm−1 observed for both the flat and aggregated regions of the DNA/Ru(bpy)32+ hybrid film were assigned to the asymmetric and symmetric stretching vibrations of PO2. These peaks were blue-shifted, indicating that Ru(bpy)32+ interacts electrostatically with the anionic phosphate group. The intensities of the absorptions at 1420–1463 and 1605 cm−1, which were assigned to Ru(bpy)32+, were higher for the aggregated regions than for the flat regions. Further, the absorption peaks due to the phosphate groups were also observed in the aggregated regions. These spectral features indicate that the aggregated regions in the film consisted of both Ru(bpy)32+ and DNA and that their Ru(bpy)32+ content was greater than that of the flat regions.

Figure 14: Micro FT-IR spectra of the DNA/Ru(bpy)32+ hybrid and pure DNA films on the ITO electrode and the spectrum of Ru(bpy)3Cl2.Reprinted with permission from Ref. [69]. Copyright (2017) Springer Nature.
Figure 14:

Micro FT-IR spectra of the DNA/Ru(bpy)32+ hybrid and pure DNA films on the ITO electrode and the spectrum of Ru(bpy)3Cl2.

Reprinted with permission from Ref. [69]. Copyright (2017) Springer Nature.

The cross-sectional scanning electron microscopy (SEM) image of DNA/Ru(bpy)32+ hybrid film at low magnification (Figure 15A) also showed the existence of flat and aggregated regions; the thickness of the latter was approximately 5μm. Under higher magnification (Figure 15B), the thickness of the flat region was found to be ~1μm.

Figure 15: Cross-sectional SEM images of a DNA/Ru(bpy)32+ hybrid film at (A) low and (B) high magnification.Reprinted with permission from Ref. [69]. Copyright (2017) Springer Nature.
Figure 15:

Cross-sectional SEM images of a DNA/Ru(bpy)32+ hybrid film at (A) low and (B) high magnification.

Reprinted with permission from Ref. [69]. Copyright (2017) Springer Nature.

Subsequently, an AC-driven ECL device was fabricated by sandwiching the electrolyte solution between a pair of hybrid-film-modified ITO electrodes. For reference, another solution-based ECL device was fabricated by placing a PC solution containing Ru(bpy)32+ and TBAP between a pair of bare ITO electrodes. When an AC voltage of ±4.0V was applied at a known frequency, an orange-colored ECL emission with a peak wavelength at 620nm was observed from both devices (Figure 16, inset). Figure 16 shows the frequency dependence of the normalized ECL intensities under a ±4V rectangular voltage. ECL was observed only from the solution-based device at frequencies below 500Hz. On the other hand, in the DNA/Ru(bpy)32+ hybrid-film-based device, ECL was surprisingly observed at frequencies as high as 10kHz.

Figure 16: Frequency dependence of the ECL intensity of the two devices under ±4V AC voltage.Inset: ECL spectra of the devices under ±3 V, 50 Hz AC voltage. Reprinted with permission from Ref. [69]. Copyright (2017) Springer Nature.
Figure 16:

Frequency dependence of the ECL intensity of the two devices under ±4V AC voltage.

Inset: ECL spectra of the devices under ±3 V, 50 Hz AC voltage. Reprinted with permission from Ref. [69]. Copyright (2017) Springer Nature.

Next, the transient ECL intensity and current response of the devices were investigated in order to understand the origin of the rapid ECL response (Figure 17). Generally, when a bias voltage is applied to an electrochemical device, an EDL forms, inducing the electrochemical redox reaction. In the solution-based conventional electrochemical device with an electrode area of 25 mm2, the experimentally measured EDL charging time was ~1 ms (since ECL was obtained only at frequencies below 500Hz). At 10kHz, the corresponding half-cycle time (50μs) was too short to allow complete charging of the EDL in this device. In contrast, based on its measured current response, the EDL in the DNA/Ru(bpy)32+ hybrid-film-based ECL device could be completely charged within 10μs. Such quick charging of the EDL allows the redox reactions of Ru(bpy)32+ in the film to occur during the subsequent AC cycle. The continuous rectangular AC wave caused Ru(bpy)33+ and Ru(bpy)3+ to collide with each other to form the excited state of Ru(bpy)32+, thereby generating the ECL. The quick charging of the EDL film is thought to be key to the fast ECL response (less than 100μs) in the DNA/Ru(bpy)32+ hybrid film device. As discussed above, the ECL emission was produced only from the aggregated regions of the DNA/Ru(bpy)32+ hybrid film, which possibly act as microelectrodes to allow the quick charging of the EDL.

Figure 17: (A) Transient ECL response, (B) transient current, and (C) applied voltage (±4 V, 10 kHz AC) of two devices.Reprinted with permission from Ref. [69]. Copyright (2017) Springer Nature.
Figure 17:

(A) Transient ECL response, (B) transient current, and (C) applied voltage (±4 V, 10 kHz AC) of two devices.

Reprinted with permission from Ref. [69]. Copyright (2017) Springer Nature.

5 Summary and outlook

In this review, Ru(II) complex-based AC-ECL devices were overviewed. By introducing the AC method, the ECL turn-on response time and ECL intensity were dramatically improved in comparison with conventional DC method. The turn-on response time of 4 ms was achieved at 200 Hz, which was much faster than that obtained the DC method (1.5 s). We also introduced rutile-type titanium dioxide nanoparticles (TiO2 NPs) in a Ru(II) complex-based AC-ECL device. The properties ECL intensity and lifetimes of the ECL device with TiO2 NPs were greatly improved compared to the ECL device without nanoparticles. Then, the photoelectrochemical properties of the Ru(II) complex were improved by combining it with DNA molecules. We fabricated a novel DNA/Ru(bpy)32+ hybrid film that immobilizes the ECL active Ru(bpy)32+ onto the electrode surface through electrophoretic migration. The hybrid film contains unique micrometer-scale aggregates of Ru(bpy)32+ in the DNA matrix. Surprisingly, by using the DNA/Ru(bpy)32+ hybrid film for ECL device, the ECL could be obtained at frequencies as high as 10kHz, which corresponds to a response time shorter than 100μs. Moreover, hybridization of DNA and Ru(II) complexes shows enantioselective luminescence enhancement, which has large possibility for obtaining circular polarized emission from the ECL devices containing DNA/Ru(II) complex hybrid materials.

As we mentioned in the introduction, a combination of DNA and functional materials is useful for creating novel DNA-oriented optoelectronic materials. Moreover, electrochemical devices such as the ECL system can be easily fabricated without strict limitations on the device structure or the choice of electrodes; solutions, thick films, or gel states can be applied. Therefore, DNA-based optoelectrochemical devices will open up new fields of emitting devices, telecommunication systems, sensors, biochemical applications, and so on.

Acknowledgments

This work was supported by JSPS KAKENHI Grant Numbers 17H06377 and 16H00955.

  1. Disclosures: There are no conflicts to declare.

References

[1] Juris A, Balzani V, Barigelletti F, Campagna S, Belser P, von Zelewsky A. Ru(II) polypyridine complexes: photophysics, photochemistry, electrochemistry, and chemiluminescence. Coord Chem Rev 1988;84:85–277.10.1016/0010-8545(88)80032-8Search in Google Scholar

[2] Balzani V, Juris A, Venturi M, Campagna S, Serroni S. Luminescent and redox-active polynuclear transition metal complexes. Chem Rev 1996;96:759–834.10.1021/cr941154ySearch in Google Scholar PubMed

[3] Meyer TJ. Photochemistry of metal coordination complexes: metal to ligand charge transfer excited states. Pure Appl Chem 1986;58:1193–206.10.1351/pac198658091193Search in Google Scholar

[4] Chen P, Meyer TJ. Medium effects on charge transfer in metal complexes. Chem Rev 1998;98:1439–78.10.1021/cr941180wSearch in Google Scholar PubMed

[5] O’Regan B, Grätzel M. A low-cost, high-efficiency solar cell based on dye-sensitized colloidal TiO2 films. Nature 1991;353:737–40.10.1038/353737a0Search in Google Scholar

[6] Mobian P, Kern JM, Sauvage JP. Light-driven machine prototypes based on dissociative excited states: photoinduced decoordination and thermal recoordination of a ring in a ruthenium(II)-containing [2]catenane. Angew Chem Int Ed 2004;43:2392–5.10.1002/anie.200352522Search in Google Scholar PubMed

[7] Watanabe Y, Nakamura K, Kobayashi N. Fabrication of novel reflectiveemissive dual-mode display cell based on electrochemical reaction. Chem Lett 2010;39:1309–11.10.1246/cl.2010.1309Search in Google Scholar

[8] Moon HC, Lodge TP, Frisbie CD. Solution-processable electrochemiluminescent ion gels for flexible, low-voltage, emissive displays on plastic. J Am Chem Soc 2014;136:3705–12.10.1021/ja5002899Search in Google Scholar PubMed

[9] Nishimura R, Nihei E. Color control of electrochemiluminescence based on duty ratio of applied waveform voltage. Jpn J Appl Phys 2016;55:042101.10.7567/JJAP.55.042101Search in Google Scholar

[10] Moon HC, Lodge TP, Frisbie CD. Electrochemiluminescent displays based on ion gels: correlation between device performance and choice of electrolyte. J Mater Chem C 2016;4:8448–53.10.1039/C6TC02414ASearch in Google Scholar

[11] Shin S, Park YS, Cho S, et al. Effect of ion migration in electro-generated chemiluminescence depending on luminophore types and operating conditions. Chem Sci 2018;9:2480–28.10.1039/C7SC03996DSearch in Google Scholar PubMed

[12] Bard AJ. Electrogenerated chemiluminescence. New York, USA, Marcel Dekker, 2004.10.1201/9780203027011Search in Google Scholar

[13] Richter MM. Electrochemiluminescence (ECL). Chem Rev 2004;104:3003–36.10.1021/cr020373dSearch in Google Scholar PubMed

[14] Hwang H, Kim JK, Moon HC. Improvement of brightness, color purity, and operational stability of electrochemiluminescence devices with diphenylanthracene derivatives. J Mater Chem C 2017;47:12513–9.10.1039/C7TC03389CSearch in Google Scholar

[15] Hu L, Xu G. Applications and trends in electrochemiluminescence. Chem Soc Rev 2010;39:3275–304.10.1039/b923679cSearch in Google Scholar PubMed

[16] Visco RE, Chandross EA. Electroluminescence in solutions of aromatic hydrocarbons. J Am Chem Soc 1964;86:5350–1.10.1021/ja01077a073Search in Google Scholar

[17] Santhanam KSV, Bard AJ. Chemiluminescence of electrogenerated 9,10-diphenylanthracene anion radical. J Am Chem Soc 1965;87:139–40.10.1021/ja01079a039Search in Google Scholar

[18] Tokel NE, Bard AJ. Electrogenerated chemiluminescence. IX. Electrochemistry and emission from systems containing tris(2,2′-bipyridine)ruthenium(II) dichloride. J Am Chem Soc 1972;94:2862–3.10.1021/ja00763a056Search in Google Scholar

[19] Noffsinger JB, Danielson ND. Generation of chemiluminescence upon reaction of aliphatic amines with tris(2,2′-bipyridine)ruthenium(III). Anal Chem 1987;59:865–8.10.1021/ac00133a017Search in Google Scholar

[20] Moon HC, Lodge TP, Frisbie CD. DC-driven, sub-2 V solid-state electrochemiluminescent devices by incorporating redox coreactants into emissive ion gels. Chem Mater 2014;26:5358–64.10.1021/cm502491nSearch in Google Scholar

[21] Wang D, Li Y, Lin Z, Qiu B, Guo L. Surface enhanced electrochemiluminescence of Ru(bpy)32+. Sci Rep 2015;87:5966–72.10.1038/srep07954Search in Google Scholar PubMed PubMed Central

[22] Kahn JS, Freage L, Enkin N, Garcia MAA, Willner I. Stimuli-responsive DNA-functionalized metal–organic frameworks (MOFs). Adv Mater 2017;29:1–6.10.1002/adma.201602782Search in Google Scholar PubMed

[23] Li H, Chang J, Hou T, Ge L, Li F. A facile, sensitive, and highly specific trinitrophenol assay based on target-induced synergetic effects of acid induction and electron transfer towards DNA-templated copper nanoclusters. Talanta 2016;160: 475–80.10.1016/j.talanta.2016.07.030Search in Google Scholar PubMed

[24] Chovelon B, Fiore E, Faure P, Peyrin E, Ravelet C. A lifetime-sensitive fluorescence anisotropy probe for DNA-based bioassays: the case of SYBR green. Biosens Bioelectron 2017;90:140–5.10.1016/j.bios.2016.11.049Search in Google Scholar PubMed

[25] Mazlan NF, Tan LL, Karim NHA, Heng LY, Reza MIH. Optical biosensing using newly synthesized metal salphen complexes: a potential DNA diagnostic tool. Sens Actuators B Chem 2017;242:176–88.10.1016/j.snb.2016.11.032Search in Google Scholar

[26] Lin S, Lu L, Kang T-S, Mergny J-L, Leung C-H, Ma D-L. Interaction of an iridium(III) complex with G-quadruplex DNA and its application in luminescent switch-on detection of Siglec-5. Anal Chem 2016;88:10290–5.10.1021/acs.analchem.6b03128Search in Google Scholar PubMed

[27] Mondal PC, Fontanesi C, Waldeck DH, Naaman R. Spin-dependent transport through chiral molecules studied by spin-dependent electrochemistry. Acc Chem Res 2016;49:2560–8.10.1021/acs.accounts.6b00446Search in Google Scholar PubMed PubMed Central

[28] Watson SMD, Hedley JH, Galindo MA, et al. Synthesis, characterisation and electrical properties of supramolecular DNA-templated polymer nanowires of 2,5-(bis-2-thienyl)-pyrrole. Chem Eur J 2012;18:12008–19.10.1002/chem.201201495Search in Google Scholar PubMed

[29] Sakurai K, Uezu K, Numata M, et al. β-1,3-Glucan polysaccharides as novel one-dimensional hosts for DNA/RNA, conjugated polymers and nanoparticles. Chem Commun 2005;21:4383.10.1039/b506673pSearch in Google Scholar PubMed

[30] Matulis D, Rouzina I, Bloomfield VA. Thermodynamics of DNA binding and condensation: isothermal titration calorimetry and electrostatic mechanism. J Mol Biol 2000;296:1053–63.10.1006/jmbi.1999.3470Search in Google Scholar PubMed

[31] Long EC, Barton JK. On demonstrating DNA intercalation. Acc Chem Res 1990;23:271–3.10.1021/ar00177a001Search in Google Scholar

[32] Krowicki K, Balzarini J, De Clercq E, Newman RA, Lown JW. Novel DNA groove binding alkylators: design, synthesis, and biological evaluation. J Med Chem 1988;31:341–5.10.1021/jm00397a012Search in Google Scholar PubMed

[33] Kawabe Y, Wang L, Horinouchi S, Ogata N. Amplified spontaneous emission from fluorescent-dye-doped DNA–surfactant complex films. Adv Mater 2000;12:1281–3.10.1002/1521-4095(200009)12:17<1281::AID-ADMA1281>3.0.CO;2-0Search in Google Scholar

[34] Grote JG, Hopkins FK. Bio-organic-semiconductor-field-effect-transistor based on deoxyribonucleic acid gate dielectric. J Appl Phys 2006;100:024514.10.1063/1.2220488Search in Google Scholar

[35] Yukimoto T, Uemura S, Kamata T, Nakamura K, Kobayashi N. Non-volatile transistor memory fabricated using DNA and eliminating influence of mobile ions on electric properties. J Mater Chem 2011;21:15575–9.10.1039/c1jm12229kSearch in Google Scholar

[36] Liang L, Kazuki N, Sei U, Toshihide K, Norihisa K. Structure of DNA-octadecyltrimethylammonium chloride biopolymer complex and the application to non-volatile BiOTFT memory. Sci Adv Mater 2014;6:1516–9.10.1166/sam.2014.1835Search in Google Scholar

[37] Mirkin CA, Letsinger RL, Mucic RC, Storhoff JJ. A DNA-based method for rationally assembling nanoparticles into macroscopic materials. Nature 1996;382:607–9.10.1038/382607a0Search in Google Scholar PubMed

[38] Freadman AE, Chambron JC, Sauvage JP, Turro NJ, Barton JK. A molecular light switch for DNA: Ru(bpy)2(dppz)2+. J Am Chem Soc 1990;112:4960–2.10.1021/ja00168a052Search in Google Scholar

[39] Gill ME, Garcia-Lara J, Foster SJ, Smythe C, Battaglia G, Thomas JA. A ruthenium(II) polypyridyl complex for direct imaging of DNA structure in living cells. Nature Chem 2007;1:662–7.10.1038/nchem.406Search in Google Scholar

[40] Kobayashi N, Uemura S, Kusabuka K, Nakahirac T, Takahashia H. An organic red-emitting diode with a water-soluble DNA–polyaniline complex containing Ru(bpy)32+. J Mater Chem 2001;11:1766–8.10.1039/b102882kSearch in Google Scholar

[41] Nakamura K, Ishikawa T, Nishioka D, Ushikubo T, Kobayashi N. Color-tunable multilayer organic light emitting diode composed of DNA complex and tris(8-hydroxyquinolinato)aluminum. Appl Phys Lett 2010;97:193301.10.1063/1.3512861Search in Google Scholar

[42] Pei Q, Yu G, Zhang C, Yang Y, Heeger AA. Polymer light-emitting electrochemical cells. Science 1995;269:1086.10.1126/science.269.5227.1086Search in Google Scholar PubMed

[43] Nobeshima T, Morimoto T, Nakamura K, Kobayashi N. Advantage of an AC-driven electrochemiluminescent cell containing a Ru(bpy)32+ complex for quick response and high efficiency. J Mater Chem 2010;20:10630.10.1039/c0jm02123gSearch in Google Scholar

[44] Laser D, Bard AJ. Electrogenerated chemiluminescence XXIII. On the operation and lifetime of ECL devices. J Electrochem Soc 1975;122:632–40.10.1149/1.2134278Search in Google Scholar

[45] Patel NK, Cina S, Burroughes JH. High-efficiency organic light-emitting diodes. IEEE J Quantum Electron 2002;8:346–61.10.1109/2944.999190Search in Google Scholar

[46] Tsuneyasu S, Ichihara K, Nakamura K, Kobayashi N. Why were alternating-current-driven electrochemiluminescence properties from Ru(bpy)32+ dramatically improved by the addition of titanium dioxide nanoparticles? Phys Chem Chem Phys 2016;18:16317–24.10.1039/C6CP02881KSearch in Google Scholar PubMed

[47] Tokei-Takvoryan NE, Hemingwar RE, Bard AJ. Electrogenerated chemiluminescence. XIII. Electrochemical and electrogenerated chemiluminescence studies of ruthenium chelates. J Am Chem Soc 1973;95:6582–9.10.1021/ja00801a011Search in Google Scholar

[48] Barbante GJ, Francis PS, Hogan CF, Kheradmand PR, Wilson DJD, Barnard PJ. Electrochemiluminescent ruthenium(II) N-heterocyclic carbene complexes: a combined experimental and theoretical study. Inorg Chem 2013;52:7448–59.10.1021/ic400263rSearch in Google Scholar PubMed

[49] Miao W, Bard AJ. Electrogenerated chemiluminescence. 77. DNA hybridization detection at high amplification with [Ru(bpy)3]2+-containing microspheres. Anal Chem 2004;76:5379–86.10.1021/ac0495236Search in Google Scholar PubMed

[50] Vrábel M, Horáková P, Pivonková H, et al. Base-modified DNA labeled by [Ru(bpy)3]2+ and [Os(bpy)3]2+ complexes: construction by polymerase incorporation of modified nucleoside triphosphates, electrochemical and luminescent properties, and applications. Chem Eur J 2009;15:1144–54.10.1002/chem.200801538Search in Google Scholar PubMed

[51] Li GY, Ji L-N, Chao H. DNA condensation induced by metal complexes. Coord Chem Rev 2014;281:100–13.10.1016/j.ccr.2014.09.005Search in Google Scholar

[52] Yang G, Wu JZ, Wang L, Ji LN, Tian X. Study of the interaction between novel ruthenium(II)-polypyridyl complexes and calf thymus DNA. J Inorg Biochem 1997;66:141–4.10.1016/S0162-0134(96)00194-8Search in Google Scholar PubMed

[53] Kobayashi N, Nakamura K. Interelectrode stretched photoelectro-functional DNA nanowire. In: Ogawa T., ed. Molecular architectonics: the third stage of single molecule electronics. Berlin, Germany, Springer, 2017, 321–40.10.1007/978-3-319-57096-9_12Search in Google Scholar

[54] Dai L, Lo W-S, Coates ID, Pal R, Law G-L. New class of bright and highly stable chiral cyclen europium complexes for circularly polarized luminescence applications. Inorg Chem 2016;55:9065–70.10.1021/acs.inorgchem.6b01546Search in Google Scholar PubMed

[55] Yuasa J, Ohno T, Miyata K, Tsumatori H, Hasegawa Y, Kawai T. Noncovalent ligand-to-ligand interactions alter sense of optical chirality in luminescent tris(β-diketonate) lanthanide(III) complexes containing a chiral bis(oxazolinyl) pyridine ligand. J Am Chem Soc 2011;133:9892–902.10.1021/ja201984uSearch in Google Scholar PubMed

[56] Watson JD, Crick FHC. Molecular structure of nucleic acids: a structure for deoxyribose nucleic acid. Nature 1953;171: 737–8.10.1038/171737a0Search in Google Scholar PubMed

[57] Coggan DZM, Haworth IS, Bates PJ, Robinson A, Rodger A. DNA binding of ruthenium tris(1,10-phenanthroline): evidence for the dependence of binding mode on metal complex concentration. Inorg Chem 1999;38:4486–97.10.1021/ic990654cSearch in Google Scholar PubMed

[58] Hiort C, Norddn B, Rodgerf A. Enantiopreferential DNA binding of [Ru(II)(1,10-phenanthroline)3]2+ studied with linear and circular dichroism. J Am Chem Soc 1990;112:1971–82.10.1021/ja00161a050Search in Google Scholar

[59] Barton JK, Danishefsky A, Goldberg J. Tris(phenanthroline)ruthenium(II). J Am Chem Soc 1986;108:2081–8.10.1021/ja00268a057Search in Google Scholar

[60] Minami H, Nakamura K, Kobayashi N. Enantioselective luminescence enhancement of chiral Ru(phen)32+ complexes by interaction with DNA. J Nanophotonics 2018;12:033005.10.1117/1.JNP.12.033005Search in Google Scholar

[61] Wada Y, Okubo T, Ryo M, Nakazawa T, Hasegawa Y, Yanagida S. High efficiency near-IR emission of Nd(III) based on low-vibrational environment in cages of nanosized zeolites. J Am Chem Soc 2000;122:8583–4.10.1021/ja0020557Search in Google Scholar

[62] Ishida Y, Shimada T, Takagi S. Surface-fixation induced emission of porphyrazine dye by a complexation with inorganic nanosheets. J Phys Chem C 2014;118:20466–71.10.1021/jp506766tSearch in Google Scholar

[63] Villemure G, Detellier C, Szabo AG. Fluorescence of clay-intercalated methylviologen. J Am Chem Soc 1986;108:4658–9.10.1021/ja00275a071Search in Google Scholar

[64] Annaraj J, Srinivasan S, Ponvel KM, Athappan P. Mixed ligand copper(II) complexes of phenanthroline/bipyridyl and curcumin diketimines as DNA intercalators and their electrochemical behavior under Nafion® and clay modified electrodes. J Inorg Biochem 2005;99:669–76.10.1016/j.jinorgbio.2004.11.018Search in Google Scholar PubMed

[65] Ganeshpandian M, Loganathan R, Suresh E, Riyasdeen A, Akbarsha MA, Palaniandavar M. New ruthenium(II) arene complexes of anthracenyl-appended diazacycloalkanes: effect of ligand intercalation and hydrophobicity on DNA and protein binding and cleavage and cytotoxicity. Dalton Trans 2014;43:1203–19.10.1039/C3DT51641ESearch in Google Scholar PubMed

[66] Li H, Le XY, Pang DW, Deng H, Xu ZH, Lin ZH. DNA-binding and cleavage studies of novel copper(II) complex with l-phenylalaninate and 1,4,8,9-tetra-aza-triphenylene ligands. J Inorg Biochem 2005;99:2240–7.10.1016/j.jinorgbio.2005.08.005Search in Google Scholar PubMed

[67] Mizuo M, Koji N, Shinji U, Makoto T. Mg2+-selective electrode comprising double-helical DNA as receptive entity. Chem Lett 1994;23:1805–8.10.1246/cl.1994.1805Search in Google Scholar

[68] Pang DW, Abruña HD. Micromethod for the investigation of the interactions between DNA and redox-active molecules. Anal Chem 1998;70:3162–9.10.1021/ac980211aSearch in Google Scholar PubMed

[69] Tsuneyasu S, Takahashi R, Minami H, Nakamura K, Kobayashi N. Ultrafast response in AC-driven electrochemiluminescent cell using electrochemically active DNA/Ru(bpy)32+ hybrid film with mesoscopic structures. Sci Rep 2017;7:1–7.10.1038/s41598-017-09123-2Search in Google Scholar PubMed PubMed Central

Received: 2018-02-28
Revised: 2018-05-16
Accepted: 2018-05-29
Published Online: 2018-07-17

©2018 Norihisa Kobayashi et al., published by De Gruyter, Berlin/Boston

This work is licensed under the Creative Commons Attribution-NonCommercial-NoDerivatives 4.0 License.

Downloaded on 10.12.2025 from https://www.degruyterbrill.com/document/doi/10.1515/nanoph-2018-0029/html
Scroll to top button