Longitudinal changes of left ventricular hypoplasia and ventricular disproportion in congenital diaphragmatic hernia neonates
-
Flaminia Pugnaloni
, Bartolomeo Bo
, Judith Leyens , Irma Capolupo , Andrea Dotta , Pietro Bagolan , Andreas Mueller , Neil Patel and Florian Kipfmueller
Abstract
Objectives
Ventricular disproportion, defined as a ratio of right ventricle (RV) end-diastolic diameter to left ventricle (LV) end-diastolic diameter (RVD/LVD) ≥ 1.1 is commonly observed in neonates with congenital diaphragmatic hernia (CDH) and it is independently associated with adverse outcome. Longitudinal postnatal data on ventricular disproportion of CDH neonates are poorly studied and we aimed to evaluate changes in RVD/LVD through serial echocardiographic studies at selected timepoints in the neonatal period.
Methods
This retrospective observational study included CDH neonates admitted to the University Children’s Hospital of Bonn between January 2011 and March 2021. RVD/LVD was measured via apical 4-chamber echocardiographic views at admission, 48 h of life, pre-surgical repair, pre-extubation, and on day 5 of ECMO support, if applicable. Patients receiving palliative care, experiencing early death, or lacking follow-up echocardiographic data were excluded.
Results
Of 248 CDH neonates, 80 were excluded, leaving 168 in the final cohort. At baseline, 41.7 % had an RVD/LVD ≥1.1. Mortality (34.3 %) and ECMO rates (62.9 %) were significantly higher in these patients compared to those with RVD/LVD <1.1. Ventricular disproportion decreased over time: 41.7 % at admission, 23.1 % at 48 h, 15.7 % pre-repair, and 9.1 % pre-extubation. For ECMO patients, RVD/LVD ≥1.1 was found in 62.9 % at admission, decreasing over time. Non-survivors had significantly higher RVD/LVD at 48 h (p=0.020) and pre-extubation (p=0.001).
Conclusions
In CDH neonates, ventricular disproportion improves over time, but RVD/LVD≥1.1 remains strongly associated with mortality, particularly in ECMO patients, where non-survivors exhibit persistently elevated RVD/LVD.
Introduction
Congenital diaphragmatic hernia (CDH) is a complex disease that occurs in 1 of 2,500 births. Despite significant improvement in prenatal and postnatal management [1], [2], [3], CDH is still associated with a high neonatal morbidity and mortality [4], 5]. A profound understanding of the different pathophysiological components in CDH is fundamental to identify infants at high risk of adverse outcomes. Pulmonary hypoplasia and pulmonary hypertension (pH) have been largely recognized as well-established outcome determiners in CDH patients [6], 7] but recent studies suggest a crucial relationship between cardiac structural and functional changes and outcome in CDH neonates [8]. In fact, cardiac systolic and diastolic dysfunction in CDH neonates is associated with a significant increase in the need for ECMO [9] and has been identified as an independent risk factor for mortality [10] and adverse outcome [11].
Abnormal morphological cardiac development mainly characterized by fetal left ventricular (LV) hypoplasia has been associated with a more severe postnatal disease presentation [12], 13]. In fact, the North American Pediatric Pulmonary Hypertension Network recommends to incorporate fetal LV measurement into routine prenatal CDH assessment [14]. In addition to LV hypoplasia, the right ventricle (RV) frequently presents with dilatation and impaired function due to high pulmonary vascular resistance (PVR) [12]. Recently, our group demonstrated that ventricular disproportion, defined as a ratio of RV end-diastolic diameter to LV end-diastolic diameter (RVD/LVD) ≥1.1 is an independent determiner of poor outcome in CDH neonates [15]. Studies focusing on longitudinal changes in ventricular disproportion during the neonatal period are lacking.
The aim of this study was to investigate the longitudinal changes in RVD/LVD at selected timepoints and the relationship with outcome in a large cohort of CDH neonates.
Subjects and methods
Study design and population
CDH neonates treated at the neonatal intensive care unit (NICU) at University Children´s Hospital of Bonn, Germany between January 2011 and March 2021 were eligible for study participation. Retrospectively echocardiographic studies at preselected timepoints (see below) were identified for analysis. We excluded patients addressed to palliative care, early death within the first 48 h of life and those without longitudinal echocardiographic evaluation at selected timepoints. The study was approved by the local Ethical Committee and has been performed in accordance with the ethical standards described in the Declaration of Helsinki. Due to the retrospective design of the study, written informed consent was waived.
Echocardiographic data
Echocardiographic studies were performed according to the pediatric guidelines of the American Society of Echocardiography (ASE) [16] using a Philips CX50 CompactXtreme ultrasound system with an S12-4 sector array transducer (Philips Healthcare, Best, The Netherlands). All studies were recorded digitally and stored for subsequent analysis using an off-line software system (IntelliSpace Cardiovascular, Philips Healthcare, Best, The Netherlands). Echocardiographic studies were considered of sufficient technical quality if the endocardial surface of both ventricles was entirely visualized from the apical four-chamber view at end-diastole. The offline measurements were performed according to the ASE pediatric guidelines [16].
Using an apical four chamber view, we assessed ventricular disproportion measuring RVD and LVD directly distal to the atrioventricular valve annulus as a horizontal line from endocardium of the RV and LV free wall to endocardium of the interventricular septum as described before. The high interobserver agreement of this method has been previously demonstrated [15].
pH severity was assessed during the admission echocardiographic study based on the evaluation of: (1) peak velocity of tricuspid regurgitation (TR) jet; (2) interventricular septum position (normal, flattened or D-shaped); (3) ductal flow pattern. pH severity was classified as the relationship of the estimated pulmonary arterial pressure to the systemic systolic blood pressure as previously reported by Keller and colleagues: less than 2/3 systemic pressure (mild pH), 2/3 systemic pressure to systemic pressure (moderate pH), and suprasystemic pressure (severe pH) [17].
Evaluation for cardiac dysfunction was based on a combination of qualitative and quantitative parameters (TAPSE: tricuspid annular plane systolic excursion; RV FAC: right ventricular fractional area change; S′-wave: tissue Doppler systolic velocity; FS: fractional shortening; EF: ejection fraction; LV output) following ASE guidelines. RV dysfunction was defined as S′-wave <5 cm/s, TAPSE<0.7 cm, or RV FAC≤25 %; LV dysfunction as FS≤25 %, EF≤45 %, or LV output<100 mL/kg/min. Echocardiographic studies were categorized as: normal function, RV dysfunction only, LV dysfunction only, and biventricular dysfunction.
Echocardiographic data were collected at different timepoints as suggested by international CDH management guidelines [3]. The first echocardiographic evaluation was performed at admission, within the first 6 h of life. Subsequently, ventricular disproportion was assessed at 48 h after admission, before and after surgical defect repair (pre- and post-repair), and before extubation (pre-extubation). For patients receiving ECMO support, indications were based on the recommendations of the CDH Euro Consortium guidelines [3] and the RVD/LVD was measured at 5 days on ECMO. These timepoints were selected to reflect major landmarks in the clinical course of CDH neonates following early postnatal transition.
Data collection
Patient demographics collected included gender, gestational age, birth weight, prenatal diagnosis of CDH, defect side, inborn/outborn status, liver position, observed-to-expected lung-to-head ratio (o/e LHR) (evaluated at 27–29 weeks gestational age), history of fetal endoluminal tracheal occlusion (FETO), associated malformations, defect type according to the CDH study group scale [18]. Outcome parameters included mortality, need for ECMO, length of mechanical ventilation (days), and length of hospital stay (days).
Statistical analysis
For data analysis, SPSS version 27 (IBM Corp., Armonk, NY) was used. Continuous variables were described as median and interquartile range (IQR). Categorical variables were summarized as absolute number (n) and percentage. Mann-Whitney-U test and Wilcoxon rank sum test were used to compare continuous variables between patient groups with an RVD/LVD≥1.1 and an RVD/LVD<1.1 and Pearsons Chi2 test and Fisher’s exact test for categorical covariates. A mixed model with patient-ID as random factor was used to assess significant longitudinal changes of RVD/LVD, RVD, LVD, and LV length. A Bonferroni-correction for repeated measurements was applied to longitudinal data. A p-value of <0.05 was considered significant.
Results
During the study period a total of 248 CDH neonates were treated at our Institution. 80 patients were excluded due to early death (18), missing echo data (16), inadequate 4-chamber view (26), severe CHD (12), palliative care (5), or late-presenting CDH (3). Therefore, the final cohort consisted of 168 CDH neonates (CONSORT-diagram, Figure 1). Overall, 70 patients (41.7 %) had an RVD/LVD≥1.1. at admission and were allocated to Group 1. The remaining 98 patients (58.3 %) with an RVD/LVD<1.1 were assigned to Group 2. The baseline characteristics according to group allocation are summarized in Table 1. Patients with an RVD/LVD≥1.1 presented with worse CDH characteristics. The median age at echocardiographic assessment was 3.2 h (h), 45.3 h, 3.8 days (d), and 7.8 d, at admission, 48 h, pre-repair, and pre-extubation, respectively. In patients requiring ECMO support, echocardiography on fifth day of ECMO was obtained at a median age of 6.3 d. In 160 patients (95.2 %) an echocardiogram was available prior to surgical repair and in 142 patients (84.5 %) before the first extubation attempt.

Consort diagram.
Baseline characteristics, echocardiographic measurements, and outcome data in CDH patients according to RVD/LVD.
| Variables | CDH cohort (n=168) | p-Value | |
|---|---|---|---|
| RVD/LVD <1.1 (n=98) | RVD/LVD ≥1.1 (n=70) | ||
| Demographics | |||
| Gender (male) | 54 (55.1 %) | 43 (61.4 %) | 0.430 |
| Gestational age, weeks | 38.1 [36.8–39] | 37.7 [35.4–38.6] | 0.096 |
| Birthweight, kg | 3.0 [2.5–3.4] | 2.9 [2.4–3.3] | 0.117 |
| Outborn | 10 (10.2 %) | 7 (10.0 %) | 1.000 |
| Prenatally diagnosed CDH | 90 (91.8 %) | 64 (91.4 %) | 1.000 |
| Left-sided CDH | 86 (87.8 %) | 62 (88.6 %) | 1.000 |
| o/e LHR (28 GW), % | 42 (35–50) | 35 (29–44) | 0.001 |
| Liver-up CDH | 47 (48.0 %) | 42 (60.0 %) | 0.158 |
| FETO | 13 (13.3 %) | 14 (20.0 %) | 0.289 |
| Not isolated | 3 (3.1 %) | 5 (7.1 %) | 0.280 |
| Tracheostomy | 1 (1.1 %) | 0 | 1.000 |
| Defect size | |||
| A | 12 (12.2 %) | 1 (1.4 %) | 0.009 |
| B | 36 (36.7 %) | 16 (22.9 %) | 0.064 |
| C | 36 (36.7 %) | 26 (37.1 %) | 1.000 |
| D | 11 (11.2 %) | 22 (31.4 %) | 0.002 |
| Not recorded | 3 (3.1 %) | 5 (7.1 %) | 0.280 |
| RVEDd, mm | 11.9 [10.6–13.1] | 13.2 [11.6–14.7] | <0.001 |
| LVEDd, mm | 12.6 [11.1–13.8] | 10.1 [9.2–11.8] | <0.001 |
| Cardiac dysfunction | |||
| No cardiac dysfunction | 46 (46.9 %) | 13 (18.6 %) | <0.001 |
| Right ventricular dysfunction | 28 (28.6 %) | 25 (35.7 %) | 0.400 |
| Left ventricular dysfunction | 3 (3.1 %) | 2 (2.9 %) | 1.000 |
| Biventricular dysfunction | 21 (21.4 %) | 30 (42.9 %) | <0.004 |
| Pulmonary hypertension, pH | |||
| Early | |||
| No/Mild pH | 39 (39.8 %) | 9 (12.9 %) | <0.001 |
| Moderate pH | 44 (44.9 %) | 22 (31.4 %) | 0.081 |
| Severe pH | 15 (15.3 %) | 39 (55.7 %) | <0.001 |
| Outcome | |||
| Need for ECMO | 22 (22.4 %) | 44 (62.9 %) | <0.001 |
| Mortality | 10 (10.2 %) | 24 (34.3 %) | <0.001 |
| Mechanical ventilation, days | 8.7 [6.3–13.2] | 14.2 [8.4–29.1] | <0.001 |
| Length of hospital stay, days | 34.8 [24.0–58.9] | 46.2 [27.8–74.1] | 0.069 |
| Time of death, days | 14.2 [0.6–34.8] | 35.2 [6.8–121.9] | 0.077 |
-
o/e LHR, observed-to-expected Lung-to-Head Ratio; FETO, fetal endoscopic tracheal occlusion; RVEDd, right ventricular end-diastolic diameter; LVEDd, left ventricular end-diastolic diameter; ECMO, extracorporeal membrane oxygenation.
Among all patients, the presence of ventricular disproportion decreased from 41.7 % at admission to 9.1 % pre-extubation (Table 2). For ECMO patients, ventricular disproportion was present in 19.6 % of patients at 5 d of ECMO. Patients with an RVD/LVD≥1.1 at admission, 48 h, and pre repair had a significantly higher mortality compared to patients with an RVD/LVD<1.1. Mortality at 5 d of ECMO were 63.3 and 48.9 % for patients with and without ventricular disproportion, respectively (p=0.506). Sensitivity, Specificity, positive and negative predictive values for ventricular disproportion for predicting mortality are demonstrated in Table 2. For the pre-extubation time point, a cutoff value of 1.0 [19] was found to be more effective in predicting mortality. This is indicated in the final row of Table 2.
Sensitivity, specificity, positive predictive value (PPV), negative predictive value (NPV) for mortality rates in patients with and without ventricular disproportion at selected timepoints (admission, 48 h, 5 d on ECMO, pre repair and pre extubation).
| Timepoints | RVD/LVD ≥1.1, % | Mortality, % | p-Value | Sensitivity | Specificity | PPV | NPV | |
|---|---|---|---|---|---|---|---|---|
| RVD/LVD≥1.1 | RVD/LVD<1.1 | |||||||
| Admission | 41.7 | 34.3 | 10.2 | <0.001 | 70.6 % | 65.7 % | 34.3 % | 89.8 % |
| 48 h | 23.1 | 44.1 | 14.2 | 0.001 | 48.4 % | 83.6 % | 44.1 % | 85.8 % |
| 5 days ECMO | 19.6 | 63.3 | 48.9 | 0.506 | 24.1 % | 85.2 % | 63.3 % | 51.1 % |
| Pre repair | 15.7 | 32.0 | 12.7 | 0.031 | 32 % | 87.3 % | 32 % | 87.3 % |
| Pre extubation | 9.1 | 9.1 | 8.0 | 1.000 | 9.1 % | 92 % | 9.1 % | 92 % |
|
|
||||||||
| RV D /LV D ≥1.0 (%) | RV D /LV D ≥1.0 | RV D /LV D <1.0 | p-Value | Sensitivity | Specificity | PPV | NPV | |
|
|
||||||||
| Pre extubationa | 29.4 | 20.0 | 3.1 | 0.003 | 72.2 % | 74.4 % | 20.0 % | 96.9 % |
-
aFor the timepoint of pre-extubation, the table also presents the cutoff value of 1.0. ECMO, extracorporeal membrane oxygenation.
When analyzing RVD/LVD values stratified by survival status, non-survivors demonstrated significantly higher RVD/LVD ratios compared to survivors at admission, at 48 h of life, post-repair, and pre-extubation (Figure 2). However, an RVD/LVD value pre-extubation was available in only 50 % of non-survivors.

Longitudinal changes in RVD/LVD ratio stratified by cohort survival. The dashed line represents the RVD/LVD ratio of 1.1. Statistical comparison by Mann–Whitney U test.
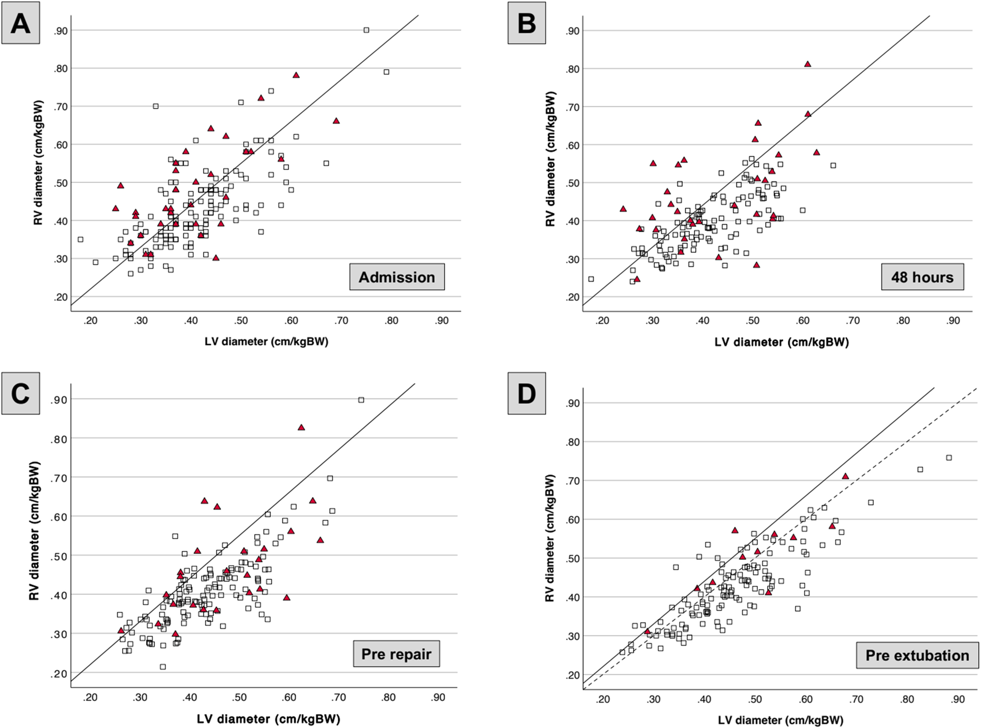
Figure 3 (A–D) illustrates the relationship between RV and LV diameter normalized by body weight (kg), in relation to survival at four different timepoints (i.e. admission, 48 h of life, pre repair and pre-extubation). The diagonal line marks the RVD/LVD ratio threshold of 1.1.

Relationship between normalized RV and LV diameters and survival at four timepoints. The diagonal solid line represents the RVD/LVD ratio of 1.1. The dashed line in Figure 2D represents the RVD/LVD ratio of 1.0. Triangles represent non-survivors, and squares represent survivors. Statistical comparison by Mann–Whitney U test.
For each analyzed timepoint, the mortality rate is significantly higher in cases with an RVD/LVD≥1.1 [15], further validating this indicator of poor prognosis in the postnatal period. Specifically, a 1.0 cutoff was more effective than 1.1 for the pre-extubation timing, as shown in Figure 3D.
Our finding seems to be reasonable, as the pre-extubation period is often characterized by a reduced degree of ventricular disproportion since patients have received treatments targeting cardiac dysfunction and pulmonary hypertension, making it likely that ventricular balance has improved compared to the early phase.
Over time, ventricular disproportion normalized in most patients with ventricular disproportion at admission. In patients with an RVD/LVD<1.1 at admission, ventricular disproportion occurred rarely at the follow-up timepoints (Table 3). When comparing longitudinal changes in neonates with ventricular disproportion at admission, a significant decrease was observed for RVD/LVD and RVD at 48 h, pre-repair, and pre-extubation (Figure 4A). LVD increased significantly from admission to subsequent timepoints. In patients without ventricular disproportion at admission RVD/LVD, RVD and LVD did not change significantly at follow-up time points. The significant difference of RVD/LVD, and LVD between patients with and without ventricular disproportion at admission remained present at 48 h but not at later timepoints (Figure 4A–C). No statistically significant differences are found when considering LV length at any timepoint (Figure 4D).
Rates of ventricular disproportion at selected timepoints in patients with and without VD at admission.
| RVD/LVD≥1.1 at admission (n=70) | RVD/LVD<1.1 at admission (n=98) | p-Value | |
|---|---|---|---|
| 48 h | 33.9 % | 15.3 % | 0.010 |
| 5 days of ECMO | 21.6 % | 15.8 % | 0.732 |
| Pre repair | 28.1 % | 7.4 % | <0.001 |
| Pre extubationa | 9.6 % | 7.1 % | 0.748 |
-
acut off=1.0. ECMO, extracorporeal membrane oxygenation.

Longitudinal evaluation at selected timepoints of RV diameter, LV diameter, LV length and RVD/LVD ratio in patients with ventricular disproportion (VD) at admission (filled box) and without VD at admission (empty box). Statistical comparison by Mann–Whitney U test.
Figure 5 shows longitudinal evaluation at selected timepoints of RVD/LVD in patients with ECMO support vs. non ECMO support.

Ventricular disproportion at selected timepoints in patients requiring ECMO support vs. patients without ECMO need. Statistical comparison by Mann–Whitney U test.
Patients requiring ECMO support presented with a significantly higher RVD/LVD both at admission and 48 h of life whereas no difference was observed pre-repair and pre-extubation. RVD/LVD gradually improved in patients receiving ECMO support during the neonatal period.
ECMO non-survivors (n=32) had a significantly higher RVD/LVD ratio compared to ECMO survivors at 48 h (p=0.020) and pre extubation (p=0.001), but not at admission, at 5 d ECMO, and pre-repair (Figure 6). RVD/LVD gradually improved in both ECMO survivors and ECMO non-survivors.

Rates of ventricular disproportion among ECMO survivors and ECMO non survivors.
Discussion
In this study, we investigated the longitudinal changes of ventricular disproportion in CDH neonates and its association with outcomes. Our findings confirm that ventricular disproportion is a common feature in the early postnatal phase for CDH neonates and is independently associated with increased mortality and need for ECMO [15]. This study reveals temporal changes in RVD/LVD across critical neonatal timepoints (admission, 48 h, during ECMO, pre-repair, and pre-extubation), underscoring the prognostic significance of this measure [20]. While ventricular disproportion was prevalent at admission, RVD/LVD values decreased significantly over time in most neonates, indicating that ventricular adaptation may occur as the neonate stabilizes. Despite the decline in the RVD/LVD ratio over time, non-survivors presented with significantly higher values at admission, 48 h, post-repair and pre-extubation compared to survivors. However, an RVD/LVD≥1.1 at 48 h and pre-repair remained strongly associated with increased mortality risk compared to an RVD/LVD<1.1. Importantly, RVD/LVD was also markedly worse in ECMO non-survivors, particularly at 48 h and pre-extubation, compared to ECMO survivors, indicating a potential role for this ratio in guiding management and risk stratification. Prior to extubation, an RVD/LVD≥1.0, which is used as a cut off value in pediatric pH patients [19], was associated with a significantly higher mortality. Although echocardiographic assessment was not performed on a predefined day of life, the selected timepoints correspond to important points in the CDH treatment timeline, reflecting the clinical significance of events like surgical repair and extubation which might be influenced by hemodynamics [21], 22]. For ECMO patients, a 5-day echocardiographic assessment was added for its prognostic value in CDH neonates [20].
In CDH neonates, ventricular disproportion reflects an imbalance of RV and LV size, which is caused either by RV dilation or LV hypoplasia. RV dilation is usually secondary to increased RV afterload due to high pulmonary arterial pressure. The etiology of LV hypoplasia is more complex and can be observed in a subgroup of CDH fetuses [12]. In CDH, LV hypoplasia has been linked to a preferential Ductus Venous streaming toward the RV and a decreased pulmonary venous return due to CDH-specific pulmonary vascular maldevelopment [14]. Postnatally, RV dilation worsens LV hypoplasia by shifting the septum and reducing LV filling.
Ventricular dysfunction can be frequently observed in the context of ventricular disproportion [15]. In our cohort, improvement of pH and cardiac dysfunction were associated with the observed reduction in ventricular disproportion over time. Furthermore, surgical correction of the diaphragmatic defect reduces the compression of the cardiac chambers by abdominal organs and therapeutic strategies including the use of inotropic agents and vasopressors might have been contributing factors. Prior studies demonstrated a reduction in pH severity and ventricular dysfunction over time in CDH neonates, although the variability in the timing and degree of improvement remains high [14]. In a recent report from the CDH study group, the proportion of infants with moderate-to-severe pH decreased from 77.5 % within the first 48 h to 25.7 % at a median follow-up of 31 days [23] Additionally, Leyens et al. demonstrated a significant reduction in moderate-to-severe pH from 72 % at 2–6 h to 41 % at 48 h in a cohort consisting of prenatally diagnosed CDH neonates [24].
Early and frequent echocardiographic assessment in CDH is essential for evaluating pH severity and ventricular function, all of which can influence clinical decision-making [15], [25], [26], [27]. Frequent reassessment should be emphasized during the postnatal course to guide treatment strategies and to early recognize hemodynamic instability [28]. Moreover, selected echocardiographic timepoints before and after surgical repair and extubation provide critical insights into the stability and functionality of the neonatal circulation.
Early identification of patients at high risk for poor outcome and clinical deterioration is crucial but easily applicable echocardiographic parameters predicting adverse outcome are still warranted [29]. The RVD/LVD, easily measurable from a standard apical four-chamber view without need for advanced echocardiographic skills or post-processing, is a valuable tool due to its high interobserver reproducibility and independence from gestational age. This measure reflects RV-LV interdependence and serves as a reliable early postnatal predictor of adverse outcome. Assessing RVD/LVD, especially when tricuspid regurgitation is absent, may offer valuable prognostic information on pH and cardiac dysfunction in CDH neonates.
This study highlights the importance of serial echocardiography in monitoring morphological and functional adaptations in CDH neonates. Echocardiographic studies focusing on the postnatal longitudinal morphological changes of cardiac chambers in CDH are limited. Long-term studies on MRI-derived ventricular measurements in CDH survivors have shown persistent diminished LV end-systolic and end-diastolic volumes compared to healthy controls, emphasizing the need for early identification of neonates at high risk for prolonged morbidity [30]. The significant advancements in CDH survival rates further underscore the importance of early risk stratification to manage potential long-term complications effectively [5].
However, this study has limitations, primarily due to its retrospective design and reliance on offline analysis of echocardiographic data. Although echocardiographic studies were performed in adherence to ASE guidelines, some studies were excluded due to low image quality, which may introduce a selection bias. The single-center design limits generalizability due to variable echo timing and treatment protocols. Despite these limitations, the large sample size and blinded data assessment strengthen the validity of our finding. Additionally, the absence of normal RVD/LVD values in healthy neonates limits our ability to comment on normal physiological changes of RVD/LVD over time in neonatal life and affects the interpretation of the contributions of RV dilatation vs. LV hypoplasia.
Further, it is important to note that some non-survivors who were never extubated and therefore are not included in the analyses at the pre-extubation time point. This might have introduced a selection bias that should be considered when interpreting these results.
Conclusions
Our study demonstrates that routine assessment of postnatal ventricular disproportion may be valuable for the early identification of CDH neonates at higher risk for adverse outcome. Sequential echocardiographic assessment at defined timepoints allows for the assessment of longitudinal changes in the RVD/LVD ratio. We demonstrated that persistent ventricular disproportion during the neonatal period is associated with poor outcomes, although prospective multicenter studies are needed to validate these preliminary findings and to establish normative RVD/LVD values.
Acknowledgments
This work was supported by the Italian Ministry of Health with “Current Research funds”.
-
Research ethics: The study was approved by the local Ethical Committee and has been performed in accordance with the ethical standards described in the Declaration of Helsinki.
-
Informed consent: Not applicable.
-
Author contributions: All authors have accepted responsibility for the entire content of this manuscript and approved its submission. Flaminia Pugnaloni, MD: conceptualization, data curation, methodology, validation, writing - original draft; Bartolomeo Bo, MD: validation, and writing - review and editing; Judith Leyens, MD: validation, writing - review and editing; Irma Capolupo, MD, Andrea Dotta, MD, Pietro Bagolan, MD, Andreas Mueller, MD: review and editing; Neil Patel, MD: methodology, validation, and writing - review and editing; Florian Kipfmueller, MD: conceptualization, data curation, investigation, methodology, validation, review and editing.
-
Use of Large Language Models, AI and Machine Learning Tools: None declared.
-
Conflict of interest: The authors state no conflict of interest.
-
Research funding: None declared.
-
Data availability: The datasets generated and/or analyzed during the current study are available from the corresponding author on reasonable request. Additional details on the methods used can be requested from the authors.
References
1. Jancelewicz, T, Brindle, ME, Harting, MT, Tolley, EA, Langham, MR, Lally, PA, et al.. Extracorporeal membrane oxygenation (ECMO) risk stratification in newborns with congenital diaphragmatic hernia (CDH). J Pediatr Surg 2018;53:1890–5. https://doi.org/10.1016/j.jpedsurg.2018.04.014.Search in Google Scholar PubMed
2. Snoek, KG, Capolupo, I, van Rosmalen, J, Hout, LdJvd, Vijfhuize, S, Greenough, A, et al.. Conventional mechanical ventilation versus high-frequency oscillatory ventilation for congenital diaphragmatic hernia: a randomized clinical trial (the VICI-trial). Ann Surg 2016;263:867–74. https://doi.org/10.1097/sla.0000000000001533.Search in Google Scholar
3. Snoek, KG, Reiss, IKM, Greenough, A, Capolupo, I, Urlesberger, B, Wessel, L, et al.. Standardized postnatal management of infants with congenital diaphragmatic hernia in Europe: the CDH EURO consortium consensus - 2015 update. NEO 2016;110:66–74. https://doi.org/10.1159/000444210.Search in Google Scholar PubMed
4. Putnam, LR, Harting, MT, Tsao, K, Morini, F, Yoder, BA, Luco, M, et al.. Congenital diaphragmatic hernia defect size and infant morbidity at discharge. Pediatrics 2016;138:e20162043. https://doi.org/10.1542/peds.2016-2043.Search in Google Scholar PubMed
5. Gupta, VS, Harting, MT, Lally, PA, Miller, CC, Hirschl, RB, Davis, CF, et al.. Mortality in congenital diaphragmatic hernia: a multicenter registry study of over 5000 patients over 25 years. Ann Surg 2023;277:520–7. https://doi.org/10.1097/sla.0000000000005113.Search in Google Scholar
6. Harting, MT. Congenital diaphragmatic hernia-associated pulmonary hypertension. Semin Pediatr Surg 2017;26:147–53. https://doi.org/10.1053/j.sempedsurg.2017.04.008.Search in Google Scholar PubMed
7. Mohseni-Bod, H, Bohn, D. Pulmonary hypertension in congenital diaphragmatic hernia. Semin Pediatr Surg 2007;16:126–33. https://doi.org/10.1053/j.sempedsurg.2007.01.008.Search in Google Scholar PubMed
8. Patel, N, Massolo, AC, Kipfmueller, F. Congenital diaphragmatic hernia-associated cardiac dysfunction. Semin Perinatol 2020;44:151168. https://doi.org/10.1053/j.semperi.2019.07.007.Search in Google Scholar PubMed
9. Altit, G, Bhombal, S, Van Meurs, K, Tacy, TA. Diminished cardiac performance and left ventricular dimensions in neonates with congenital diaphragmatic hernia. Pediatr Cardiol 2018;39:993–1000. https://doi.org/10.1007/s00246-018-1850-7.Search in Google Scholar PubMed
10. Patel, N, Massolo, AC, Paria, A, Stenhouse, EJ, Hunter, L, Finlay, E, et al.. Early postnatal ventricular dysfunction is associated with disease severity in patients with congenital diaphragmatic hernia. J Pediatr 2018;203:400–7.e1. https://doi.org/10.1016/j.jpeds.2018.07.062.Search in Google Scholar PubMed
11. Moenkemeyer, F, Patel, N. Right ventricular diastolic function measured by tissue Doppler imaging predicts early outcome in congenital diaphragmatic hernia. Pediatr Crit Care Med 2014;15:49–55. https://doi.org/10.1097/pcc.0b013e31829b1e7a.Search in Google Scholar PubMed
12. Massolo, AC, Romiti, A, Viggiano, M, Vassallo, C, Ledingham, MA, Lanzone, A, et al.. Fetal cardiac dimensions in congenital diaphragmatic hernia: relationship with gestational age and postnatal outcomes. J Perinatol 2021;41:1651–9. https://doi.org/10.1038/s41372-021-00986-y.Search in Google Scholar PubMed
13. Siebert, JR, Haas, JE, Beckwith, JB. Left ventricular hypoplasia in congenital diaphragmatic hernia. J Pediatr Surg 1984;19:567–71. https://doi.org/10.1016/s0022-3468(84)80105-0.Search in Google Scholar PubMed
14. Kinsella, JP, Steinhorn, RH, Mullen, MP, Hopper, RK, Keller, RL, Ivy, DD, et al.. The left ventricle in congenital diaphragmatic hernia: implications for the management of pulmonary hypertension. J Pediatr 2018;197:17–22. https://doi.org/10.1016/j.jpeds.2018.02.040.Search in Google Scholar PubMed
15. Pugnaloni, F, Bo, B, Hale, L, Capolupo, I, Dotta, A, Bagolan, P, et al.. Early postnatal ventricular disproportion predicts outcome in congenital diaphragmatic hernia. Am J Respir Crit Care Med 2023;208:325–8. https://doi.org/10.1164/rccm.202212-2306le.Search in Google Scholar
16. Lai, WW, Geva, T, Shirali, GS, Frommelt, PC, Humes, RA, Brook, MM, et al.. Guidelines and standards for performance of a pediatric echocardiogram: a report from the Task Force of the Pediatric Council of the American Society of Echocardiography. J Am Soc Echocardiogr 2006;19:1413–30. https://doi.org/10.1016/j.echo.2006.09.001.Search in Google Scholar PubMed
17. Keller, RL, Tacy, TA, Hendricks-Munoz, K, Xu, J, Moon-Grady, AJ, Neuhaus, J, et al.. Congenital diaphragmatic hernia. Am J Respir Crit Care Med 2010;182:555–61. https://doi.org/10.1164/rccm.200907-1126oc.Search in Google Scholar PubMed PubMed Central
18. Lally, KP, Lasky, RE, Lally, PA, Bagolan, P, Davis, CF, Frenckner, BP, et al.. Standardized reporting for congenital diaphragmatic hernia – an international consensus. J Pediatr Surg 2013;48:2408–15. https://doi.org/10.1016/j.jpedsurg.2013.08.014.Search in Google Scholar PubMed
19. Schweintzger, S, Kurath-Koller, S, Burmas, A, Grangl, G, Fandl, A, Noessler, N, et al.. Normal echocardiographic reference values of the right ventricular to left ventricular endsystolic diameter ratio and the left ventricular endsystolic eccentricity index in healthy children and in children with pulmonary hypertension. Front Cardiovasc Med 2022;9:950765. https://doi.org/10.3389/fcvm.2022.950765.Search in Google Scholar PubMed PubMed Central
20. Kipfmueller, F, Akkas, S, Pugnaloni, F, Bo, B, Lemloh, L, Schröder, L, et al.. Echocardiographic assessment of pulmonary hypertension in neonates with congenital diaphragmatic hernia using pulmonary artery flow characteristics. J Clin Med 2022;11:3038. https://doi.org/10.3390/jcm11113038.Search in Google Scholar PubMed PubMed Central
21. Gupta, VS, Shepherd, ST, Ebanks, AH, Lally, KP, Harting, MT, Basir, MA. Association of timing of congenital diaphragmatic hernia repair with survival and morbidity for patients not requiring extra-corporeal life support. J Neonatal Perinat Med 2022;15:759–65. https://doi.org/10.3233/npm-221072.Search in Google Scholar PubMed
22. Schroeder, L, Reutter, H, Gembruch, U, Berg, C, Mueller, A, Kipfmueller, F. Clinical and echocardiographic risk factors for extubation failure in infants with congenital diaphragmatic hernia. Pediatr Anesth 2018;28:864–72. https://doi.org/10.1111/pan.13470.Search in Google Scholar PubMed
23. Ferguson, DM, Gupta, VS, Lally, PA, Luco, M, Tsao, K, Lally, KP, et al.. Early, postnatal pulmonary hypertension severity predicts inpatient outcomes in congenital diaphragmatic hernia. Neonatology 2021;118:147–54. https://doi.org/10.1159/000512966.Search in Google Scholar PubMed
24. Leyens, J, Schroeder, L, Geipel, A, Berg, C, Bo, B, Lemloh, L, et al.. Dynamics of pulmonary hypertension severity in the first 48 h in neonates with prenatally diagnosed congenital diaphragmatic hernia. Front Pediatr 2023;11:1164473. https://doi.org/10.3389/fped.2023.1164473.Search in Google Scholar PubMed PubMed Central
25. Bo, B, Pugnaloni, F, Licari, A, Patel, N, Strizek, B, Lemloh, L, et al.. Ductus arteriosus flow predicts outcome in neonates with congenital diaphragmatic hernia. Pediatr Pulmonol 2023;58:1711–8. https://doi.org/10.1002/ppul.26385.Search in Google Scholar PubMed
26. Le, LS, Kinsella, JP, Gien, J, Frank, BS. Failure to normalize biventricular function is associated with extracorporeal membrane oxygenation use in neonates with congenital diaphragmatic hernia. J Pediatr 2023;260:113490. https://doi.org/10.1016/j.jpeds.2023.113490.Search in Google Scholar PubMed
27. Patel, N, Lally, PA, Kipfmueller, F, Massolo, AC, Luco, M, Van Meurs, KP, et al.. Ventricular dysfunction is a critical determinant of mortality in congenital diaphragmatic hernia. Am J Respir Crit Care Med 2019;200:1522–30. https://doi.org/10.1164/rccm.201904-0731oc.Search in Google Scholar PubMed
28. Patel, N, Kipfmueller, F. Cardiac dysfunction in congenital diaphragmatic hernia: pathophysiology, clinical assessment, and management. Semin Pediatr Surg 2017;26:154–8. https://doi.org/10.1053/j.sempedsurg.2017.04.001.Search in Google Scholar PubMed
29. de Boode, WP, van der Lee, R, Eriksen, BH, Nestaas, E, Dempsey, E, Singh, Y, et al.. The role of neonatologist performed echocardiography in the assessment and management of neonatal shock. Pediatr Res 2018;84:57–67. https://doi.org/10.1038/s41390-018-0081-1.Search in Google Scholar PubMed PubMed Central
30. Abolmaali, N, Koch, A, Götzelt, K, Hahn, G, Fitze, G, Vogelberg, C. Lung volumes, ventricular function and pulmonary arterial flow in children operated on for left-sided congenital diaphragmatic hernia: long-term results. Eur Radiol 2010;20:1580–9. https://doi.org/10.1007/s00330-010-1723-9.Search in Google Scholar PubMed
© 2025 the author(s), published by De Gruyter, Berlin/Boston
This work is licensed under the Creative Commons Attribution 4.0 International License.