The process and outcomes of chronic low back pain treatment provided by osteopathic and allopathic physicians: a retrospective cohort study
-
John C. Licciardone
, Joel Kellerlee
, Matthew Joseph , Moath B. Mohammad , Kelly G. Kim , Jyotirmaya Jain and Subhash Aryal
Abstract
Context
Osteopathic physicians are trained to treat patients with musculoskeletal symptoms, to treat somatic dysfunction with osteopathic manipulative treatment (OMT), and to avoid unnecessarily prescribing drugs such as opioids. It is also generally believed that osteopathic physicians provide a unique patient-centered approach to medical care that involves effective communication and empathy. Such training and characteristics of osteopathic medical care (OMC) may enhance clinical outcomes among patients with chronic pain.
Objectives
The objectives of this study were to measure and compare the process and longitudinal outcomes of chronic low back pain (CLBP) treatment provided by osteopathic and allopathic physicians and to identify mediators of the treatment effects of OMC.
Methods
This retrospective cohort study was conducted utilizing adult participants with CLBP within the Pain Registry for Epidemiological, Clinical, and Interventional Studies and Innovation (PRECISION) from April 2016 through December 2022. Participants having an osteopathic or allopathic physician for at least 1 month prior to registry enrollment were included and followed at quarterly intervals for up to 12 months. Physician communication and physician empathy were measured at registry enrollment. Opioid prescribing and effectiveness and safety outcomes were measured at registry enrollment and for up to 12 months and were analyzed with generalized estimating equations to compare participants treated by osteopathic vs. allopathic physicians. Multiple mediator models, including physician communication, physician empathy, opioid prescribing, and OMT, with covariate adjustments, were utilized to identify mediators of OMC treatment effects.
Results
A total of 1,079 participants and 4,779 registry encounters were studied. The mean (SD) age of participants at enrollment was 52.9 (13.2) years, 796 (73.8 %) were female, and 167 (15.5 %) reported having an osteopathic physician. The mean physician communication score for osteopathic physicians was 71.2 (95 % CI, 67.6–74.7) vs. 66.2 (95 % CI, 64.8–67.7) for allopathic physicians (p=0.01). The respective mean scores for physician empathy were 41.6 (95 % CI, 39.9–43.2) vs. 38.3 (95 % CI, 37.6–39.1) (p<0.001). There was no significant difference in opioid prescribing for low back pain between osteopathic and allopathic physicians. Although participants treated by osteopathic physicians reported less severe nausea and vomiting as adverse events potentially attributable to opioids in a multivariable model, neither result was clinically relevant. OMC was associated with statistically significant and clinically relevant outcomes pertaining to low back pain intensity, physical function, and health-related quality of life (HRQOL) over 12 months. Physician empathy was a significant mediator of OMC treatment effects in each of the three outcome domains; however, physician communication, opioid prescribing, and OMT were not mediators.
Conclusions
The study findings indicate that osteopathic physicians provide a patient-centered approach to CLBP treatment, particularly involving empathy, that yields significant and clinically relevant outcomes pertaining to low back pain intensity, physical function, and HRQOL over 12 months of follow-up.
Over 500 million persons worldwide have low back pain, making it the leading cause of years lived with disability [1, 2]. In the United States, the Centers for Disease Control and Prevention (CDC) recently disseminated updated guidelines for the treatment of chronic pain that recommend utilizing nonpharmacological treatments and nonopioid therapies as first-line interventions [3]. There are over 134,000 osteopathic physicians in the United States [4]. They have been trained to utilize osteopathic manipulative treatment (OMT) to improve somatic dysfunction associated with musculoskeletal disorders and to avoid unnecessary drug prescribing. Indeed, data from the National Ambulatory Medical Care Survey demonstrated that osteopathic physicians provided a disproportionately large volume of medical visits for low back pain and prescribed nonsteroidal anti-inflammatory drugs less frequently than allopathic physicians [5]. The American Medical Association has acknowledged that the distinctive training of osteopathic physicians may enable them to treat such conditions as chronic low back pain (CLBP) without resorting to opioids or other pharmacological treatment [6]. Previous research found that OMT was a significant mediator of the pain reduction reported by patients with CLBP treated by osteopathic physicians [7].
Holistic and patient-centered approaches have also been recognized as potentially unique aspects of osteopathic medical care (OMC) [6, 8]. Treatment provided by osteopathic physicians may integrate osteopathic tenets with biopsychosocial approaches to chronic pain management [9, 10], thereby uniquely positioning them to manage patients with chronic pain [11]. The relationship between the patient and osteopathic physician, involving such factors as communication style, may have an important role in satisfaction with and outcomes of CLBP treatment [12]. Physician empathy is another aspect of the patient–physician relationship that is strongly associated with satisfaction with pain care [13, 14]. Emerging evidence indicates that patients with low back pain view osteopathic physicians as more empathic than their allopathic counterparts [15].
The objectives of this study were to measure the process and longitudinal outcomes of CLBP treatment provided by osteopathic and allopathic physicians and to identify mediators of the treatment effects of OMC.
Methods
Study design and participants
This retrospective cohort study measured patient-physician interactions, opioid prescribing, OMT use, and related effectiveness and safety outcomes over 12 months. Participants were selected from the Pain Registry for Epidemiological, Clinical, and Interventional Studies and Innovation (PRECISION) from April 2016 through December 2022. The registry screened and recruited participants from the 48 contiguous states and the District of Columbia utilizing clinic referrals, community-based promotions, and social media advertising. Registry participants ranged from 21 to 79 years of age at enrollment and had sufficient English language proficiency to complete case report forms independently or with staff assistance. For inclusion in the present study, registry participants must have reported low back pain for at least 3 months prior to enrollment. Participants were also required to have a physician who regularly provided low back pain treatment for at least 1 month prior to enrollment. Being pregnant or residing in an institutional facility were exclusion criteria. Registry data were self-reported by participants at enrollment and subsequent quarterly encounters utilizing a digital research platform and electronic data capture. This research was approved by the North Texas Regional Institutional Review Board (protocol 2015–169), and all participants provided informed consent prior to contributing data. This study is reported following the Strengthening the Reporting of Observational Studies in Epidemiology (STROBE) guidelines [16]. Further information about PRECISION is available at ClinicalTrials.gov [17].
Treating physician for low back pain
Beginning in September 2016, registry participants were required to have a physician who regularly treated their low back pain at the time of enrollment. Consistent with such federal programs as the National Ambulatory Medical Care Survey [18], the registry considers only osteopathic and allopathic physicians as medical treatment providers. Therefore, it does not collect data on other practitioners who offer treatment for low back pain, such as chiropractors, physical therapists, or other manual therapy providers. The registry collected treating physician data at enrollment and each quarterly encounter utilizing an item wherein participants were offered the response options “DO (osteopathic doctor)” or “MD (medical doctor).” Participants who reported having an osteopathic physician at enrollment and then having an allopathic physician at a subsequent encounter (or vice versa) were considered to have physician crossover and were excluded from the study.
Measures of the patient–physician relationship
Participants reported measures of physician communication and physician empathy at registry enrollment. The Communication Behavior Questionnaire was developed and validated as a measure of patient preferences regarding physician communications pertaining to low back pain [19]. It consists of 23 items that represent four scales, with scores potentially ranging from 0 to 100 on each scale. Cronbach’s α for these scales ranges from 0.88 to 0.92. A composite measure of communication style was computed as the mean across all four scales. The Consultation and Relational Empathy measure was developed and validated as a process measure of empathy during physician encounters for primary care [20]. It consists of 10 items, with scores potentially ranging from 10 to 50. Cronbach’s α for the measure is 0.93. It is applicable to virtually all clinical encounters and is not influenced by the patient’s chief complaint, socioeconomic status, chronicity of disease, or emotional state [21]. Higher scores represent more favorable patient perceptions of physician communication and physician empathy on each respective measure.
Opioid therapy for low back pain
Participants reported their use of opioids for low back pain at enrollment and each quarterly encounter on an item within the Minimum Dataset recommended by the National Institutes of Health Research Task Force (NIH-RTF) to describe drug prescribing in research studies involving CLBP [22]. This item queried participants about the current use of “opioid (narcotic) painkillers” and included specific prompts for the following drugs: codeine, hydrocodone, hydromorphone, fentanyl, methadone, morphine, oxycodone, oxymorphone, and tramadol. Responses to this item were coded as a binary variable to represent either physician prescribing or nonprescribing of opioids for low back pain.
Osteopathic manipulative treatment for low back pain
Participants reported their current use of spinal manipulation for low back pain at enrollment and each quarterly encounter. Such spinal manipulation was classified as OMT when it was reported by participants treated by osteopathic physicians. However, it was considered to be chiropractic, physical therapy, or another practitioner-based therapy when reported by participants treated by allopathic physicians, and therefore was not classified as OMT.
Effectiveness outcomes
Three effectiveness measures recommended by the NIH-RTF [22] were assessed as the primary outcomes. A numerical rating scale ranging from 0 to 10 was utilized to measure average low back pain intensity during the 7 days prior to a registry encounter. The Roland-Morris Disability Questionnaire was utilized as a legacy measure of physical function [22]. It consists of 24 items that measure back-related disability on an encounter date, with scores ranging from 0 to 24 [23]. Health-related quality-of-life (HRQOL) measures included four scales in the Minimum Dataset [22] derived from the Patient-Reported Outcomes Measurement Information System with 29 items (PROMIS-29) [24]. These scales measured sleep disturbance, pain interference, depression, and low energy or fatigue. A fifth PROMIS scale was utilized to measure anxiety [24]. Collectively, these 20 PROMIS items (four items in each scale) comprise the SPADE cluster (sleep disturbance, pain interference, anxiety, depression, and low energy or fatigue) that measures HRQOL deficits. All SPADE scale scores, except sleep disturbance, are normed according to the general US population and have a mean of 50 and SD of 10 [24]. The sleep disturbance scale is similarly scored; however, it is normed with a calibration sample enriched for chronic illness. The SPADE cluster score is the mean of its five scales and may range from 38 to 77. Each effectiveness outcome was measured at registry enrollment and at up to four quarterly encounters over 12 months. Higher scores on each measure represent worse outcomes.
Safety outcomes
Safety measures were utilized as secondary outcomes because the registry did not begin collecting them at enrollment until October 2017, and at the 12-month encounter until May 2019. These measures assessed symptoms potentially associated with opioid therapy, including nausea, vomiting, constipation, drowsiness, dizziness, itching, dry mouth, and headache. Participants were queried about the presence and severity of these eight symptoms during the 7 days prior to registry enrollment and the 12-month encounter. To minimize potential reporting bias among opioid users, these items asked participants about each symptom generally rather than asking them to assign attribution to a particular drug or medical condition (i.e., participants were blinded to the purpose of these items). A numerical rating scale was utilized to measure responses, ranging from 0 (symptom not reported) to 10 (worse possible symptom severity).
Statistical analysis
Descriptive statistics were utilized to characterize participants at registry enrollment according to type of treating physician. For race and ethnicity, participants reported the group with which they most closely identified (i.e., American Indian or Alaskan Native, Asian, Black or African American, Native Hawaiian or Other Pacific Islander, or White for race; Hispanic or Latino, or not Hispanic or Latino, for ethnicity). Differences between groups at enrollment were assessed with the chi-square test for binary or categorical variables, and with the t test for continuous variables. Generalized estimating equations were utilized to assess repeated measures for up to 12 months (i.e., for up to five registry encounters, including at enrollment and four quarterly encounters). An autoregressive correlation matrix and exponential parameter estimates were utilized to measure the odds ratio (OR) and 95 % confidence interval (CI) for opioid prescribing for low back pain among participants treated by osteopathic physicians relative to those treated by allopathic physicians. Additionally, a risk ratio (RR) was estimated utilizing the OR [25] to facilitate the interpretation of clinical relevance. Similarly, an autoregressive correlation matrix was utilized to compute estimates for each of the three effectiveness outcomes and eight safety outcomes. Effectiveness outcomes were measured as between-group differences for osteopathic vs. allopathic physicians. The clinical relevance of these differences was assessed with the RR for opioid prescribing (RR≤0.80 or RR≥1.25 considered clinically relevant) [26], and with Cohen’s d statistic for effectiveness and safety outcomes (d values≥0.2 in magnitude considered clinically relevant) [27]. The aforementioned univariable analyses were repeated as multivariable analyses utilizing participant age, gender, race, ethnicity, and general health (measured as the sum of current comorbidities reported at registry enrollment) to control for potential confounding.
A comprehensive multiple mediator model was utilized to further assess any significant difference in effectiveness outcomes reported by participants treated by osteopathic vs. allopathic physicians. This was performed with the PROCESS program, utilizing a regression-based approach to mediation analysis [28], and all participants with complete data over 12 months of follow-up. The type of treating physician was entered as the independent variable and each respective effectiveness outcome as the dependent variable, with physician communication, physician empathy, opioid prescribing, and OMT as the potential mediators. Data for opioid prescribing, OMT, and each of the effectiveness outcomes reflected the overall experience of participants during 12 months of follow-up. Participant age, gender, race, ethnicity, and general health were also included in the model to adjust for potential confounding. A total of 50,000 resamples of the data were utilized to compute percentile bootstrap 95 % CIs for the OMC treatment effect. All data management and analyses were performed with the IBM SPSS Statistics (Version 29) software. Hypotheses were tested at the 0.05 level of statistical significance utilizing two-sided tests.
Results
Flow of participants through the study
Among the 1516 PRECISION participants with CLBP, 1,079 participants met the criteria of having a treating physician for at least 1 month and not reporting physician crossover during follow-up (Figure 1). Their mean (SD) age at enrollment was 52.9 (13.2) years, and 796 (73.8 %) were female. There were 167 (15.5 %) participants who reported having an osteopathic physician at enrollment. Participants treated by osteopathic physicians were less likely to be current cigarette smokers and less likely to report current diagnoses of hypertension, diabetes mellitus, and asthma (Table 1). During the follow-up period, participants may have remained active through various stages of the study, or they may have withdrawn for any reason. The 4,779 registry encounters completed throughout the study, including 739 (15.5 %) encounters reporting on OMC and 4,040 (84.5 %) encounters reporting on allopathic medical care, were utilized to measure opioid prescribing and OMT for low back pain and the primary effectiveness outcomes. A total of 929 participants and 1,625 registry encounters were included in the analyses for secondary safety outcomes. These included 213 (13.1 %) encounters reporting on OMC and 1,412 (86.9 %) encounters reporting on allopathic medical care.

Flow of participants through the study. A total of 4,779 registry encounters were completed by the 1,079 participants during the study, including 739 encounters reporting on osteopathic medical care and 4,040 encounters reporting on allopathic medical care.
Participant characteristics upon enrollment in the registry according to type of treating physician (n=1,079).
| No. (%) | |||
|---|---|---|---|
|
Characteristic |
Osteopathic physician (n=167) | Allopathic physician (n=912) | p-Value |
| Age, years | |||
| 21–49 | 62 (37.1) | 344 (37.7) | 0.81 |
| 50–64 | 66 (39.5) | 375 (41.1) | |
| 65–79 | 39 (23.4) | 193 (21.2) | |
| Gender | |||
| Male | 46 (27.5) | 237 (26.0) | 0.67 |
| Female | 121 (72.5) | 675 (74.0) | |
| Race | |||
| Black | 16 (9.6) | 152 (16.7) | 0.053 |
| Other | 8 (4.8) | 31 (3.4) | |
| White | 143 (85.6) | 729 (79.9) | |
| Ethnicity | |||
| Hispanic | 9 (5.4) | 83 (9.1) | 0.11 |
| Non-Hispanic | 158 (94.6) | 829 (90.9) | |
| Educational level | |||
| High school or lower | 21 (12.6) | 158 (17.3) | 0.16 |
| Some post-secondary education | 66 (39.5) | 380 (41.7) | |
| College degree or higher | 80 (47.9) | 374 (41.0) | |
| Cigarette smoking status | |||
| Nonsmoker | 150 (89.8) | 761 (83.4) | 0.04 |
| Smoker | 17 (10.2) | 151 (16.6) | |
| Duration of low back pain, years | |||
| ≤5 | 56 (33.5) | 290 (31.8) | 0.66 |
| >5 | 111 (66.5) | 622 (68.2) | |
| Prior low back surgery | |||
| No | 141 (84.4) | 739 (81.0) | 0.30 |
| Yes | 26 (15.6) | 173 (19.0) | |
| Current comorbidities | |||
| Hypertension | |||
| No | 141 (84.4) | 656 (71.9) | <0.001 |
| Yes | 26 (15.6) | 256 (28.1) | |
| Heart disease | |||
| No | 159 (95.2) | 854 (93.6) | 0.44 |
| Yes | 8 (4.8) | 58 (6.4) | |
| Diabetes mellitus | |||
| No | 161 (96.4) | 807 (88.5) | 0.002 |
| Yes | 6 (3.6) | 105 (11.5) | |
| Asthma | |||
| No | 152 (91.0) | 774 (84.9) | 0.04 |
| Yes | 15 (9.0) | 138 (15.1) | |
The patient-physician relationship
The mean physician communication score reported by participants treated by osteopathic physicians was 71.2 (95 % CI, 67.6–74.7) vs. 66.2 (95 % CI, 64.8–67.7) reported by participants treated by allopathic physicians (p=0.01). The corresponding mean scores for physician empathy were 41.6 (95 % CI, 39.9–43.2) vs. 38.3 (95 % CI, 37.6–39.1) (p<0.001).
Opioid therapy for low back pain
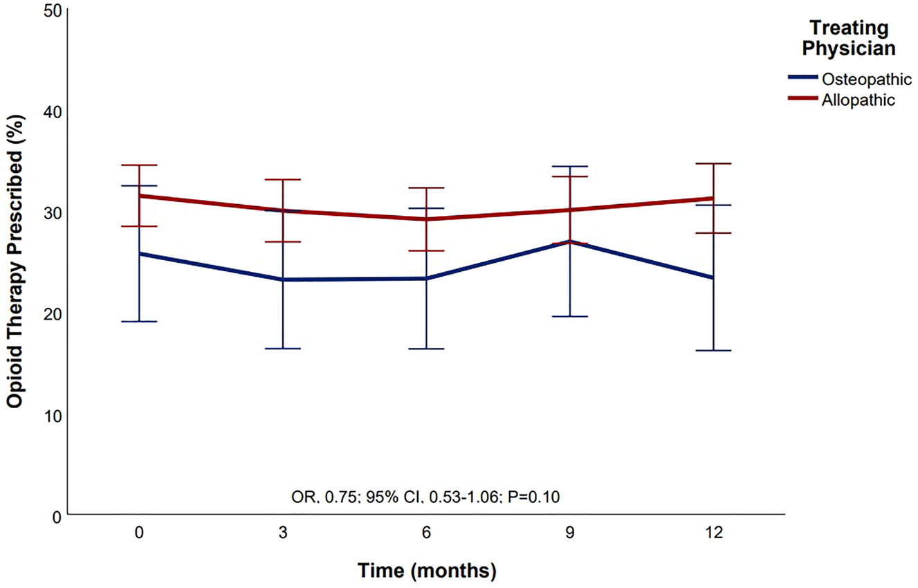
Participants treated by osteopathic physicians generally reported that opioids were less often prescribed for low back pain at their encounters compared with participants treated by allopathic physicians (Figure 2); however, the overall difference during 12 months of follow-up was not significant (unadjusted OR, 0.75; 95 % CI, 0.53–1.06; p=0.10). Almost identical results were observed in the analysis that controlled for potential confounders (adjusted OR, 0.76; 95 % CI, 0.54–1.08; p=0.12). Moreover, neither the unadjusted nor adjusted results reached the threshold for a clinically relevant OMC treatment effect when RRs were computed from the observed ORs (RR=0.81 for both the unadjusted and adjusted results).

Opioid prescribing for low back pain according to type of treating physician. The 4,779 registry encounters were completed by 1,079 participants during the study, including 739 encounters reporting on osteopathic medical care and 4,040 encounters reporting on allopathic medical care.
Osteopathic manipulative treatment for low back pain
A total of 23 (13.8 %), 19 (12.8 %), 23 (15.8 %), 24 (17.0 %), and 37 (27.0 %) participants reported currently utilizing OMT for low back pain at registry enrollment and four subsequent quarterly encounters, respectively.
Effectiveness outcomes
Participants treated by osteopathic physicians reported better outcomes pertaining to low back pain intensity, physical function, and HRQOL over 12 months of follow-up (Figure 3). The mean pain intensity reported by participants treated by osteopathic physicians was 5.14 (95 % CI, 4.88–5.40) vs. 5.83 (95 % CI, 5.72–5.94) reported by participants treated by allopathic physicians (p<0.001) (Table 2). Correspondingly, mean back-related disability was 11.50 (95 % CI, 10.56–12.44) vs. 13.95 (95 % CI, 13.57–14.34) (p<0.001), and mean HRQOL deficits was 55.55 (95 % CI, 54.63–56.48) vs. 57.47 (95 % CI, 57.04–57.91) (p<0.001). These univariable results were clinically relevant, with d scores ranging from 0.27 for HRQOL to 0.38 for physical function. Similar results were observed in the multivariable analyses, except that the OMC treatment effect for HRQOL did not reach the threshold for clinical relevance.

Effectiveness outcomes according to type of treating physician. The 4,779 registry encounters were completed by 1,079 participants during the study, including 739 encounters reporting on osteopathic medical care and 4,040 encounters reporting on allopathic medical care. (A) Low back pain intensity was measured with a numerical rating scale. (B) Back-related disability was measured with the Roland-Morris Disability Questionnaire for physical function. (C) Health-related quality-of-life deficits were measured with the Patient-Reported Outcomes Measurement Information System (PROMIS), including the SPADE cluster for sleep disturbance, pain interference, anxiety, depression, and low energy or fatigue.
Clinical outcomes over time according to type of treating physician (n=1,079)a.
| Univariable results | Multivariable results | |||||||||||
|---|---|---|---|---|---|---|---|---|---|---|---|---|
| Osteopathic | Allopathic | Osteopathic | Allopathic | |||||||||
| Outcome domain | Mean | 95 % CI | Mean | 95 % CI | p-Value | d | Mean | 95 % CI | Mean | 95 % CI | p-Value | d |
| Effectiveness (primary outcomes) | ||||||||||||
|
|
||||||||||||
| Low back pain intensity | 5.14 | 4.88–5.40 | 5.83 | 5.72–5.94 | <0.001 | 0.34 | 5.78 | 5.44–6.12 | 6.32 | 6.08–6.57 | <0.001 | 0.27 |
| Physical function | 11.50 | 10.56–12.44 | 13.95 | 13.57–14.34 | <0.001 | 0.38 | 12.61 | 11.36–13.86 | 14.50 | 13.60–15.41 | <0.001 | 0.29 |
| Health-related quality of life | 55.55 | 54.63–56.48 | 57.47 | 57.04–57.91 | <0.001 | 0.27 | 55.94 | 54.59–57.30 | 57.35 | 56.32–58.38 | 0.008 | 0.19 |
|
|
||||||||||||
| Safety (secondary outcomes) | ||||||||||||
|
|
||||||||||||
| Nausea | 0.98 | 0.68–1.28 | 1.55 | 1.40–1.70 | <0.001 | 0.24 | 1.54 | 0.96–2.13 | 1.92 | 1.46–2.38 | 0.02 | 0.16 |
| Vomiting | 0.12 | 0.03–0.21 | 0.40 | 0.31–0.48 | <0.001 | 0.20 | 0.51 | 0.22–0.79 | 0.69 | 0.44–0.94 | 0.004 | 0.13 |
| Constipation | 1.61 | 1.18–2.04 | 2.12 | 1.95–2.30 | 0.03 | 0.18 | 2.08 | 1.41–2.76 | 2.41 | 1.88–2.94 | 0.16 | 0.12 |
| Drowsiness | 2.70 | 2.27–3.13 | 3.09 | 2.90–3.28 | 0.10 | 0.13 | 2.45 | 1.79–3.12 | 2.73 | 2.22–3.25 | 0.24 | 0.09 |
| Dizziness | 1.01 | 0.76–1.26 | 1.51 | 1.36–1.65 | <0.001 | 0.22 | 1.50 | 1.05–1.96 | 1.79 | 1.41–2.17 | 0.053 | 0.13 |
| Itching | 1.44 | 1.06–1.82 | 1.58 | 1.43–1.74 | 0.49 | 0.06 | 1.70 | 1.14–2.26 | 1.68 | 1.28–2.07 | 0.92 | −0.01 |
| Dry mouth | 2.08 | 1.61–2.55 | 2.57 | 2.38–2.77 | 0.06 | 0.16 | 2.38 | 1.68–3.08 | 2.62 | 2.10–3.14 | 0.35 | 0.08 |
| Headache | 2.59 | 2.13–3.05 | 2.82 | 2.63–3.01 | 0.37 | 0.08 | 2.89 | 2.21–3.57 | 2.91 | 2.38–3.44 | 0.93 | 0.01 |
-
aEffectiveness outcomes were measured at enrollment and at each quarterly encounter utilizing a numerical rating scale for low back pain intensity, the Roland-Morris disability questionnaire for physical function, and the Patient-Reported Outcomes Measurement Information System for health-related quality of life deficits. Safety outcomes were measured at enrollment and at the 12-month encounter. Higher scores represent worse outcomes on all measures. p-Values were computed utilizing generalized estimating equations for outcomes over 12 months. Cohen’s d statistic represents the standardized mean difference between groups. Multivariable results were adjusted for participant age, gender, race, ethnicity, and general health. Effectiveness outcomes were based on 4,779 registry encounters completed by the 1,079 participants during the study, including 739 encounters reporting on osteopathic medical care and 4,040 encounters reporting on allopathic medical care. Safety outcomes were based on 1,625 registry encounters completed by 929 participants during the study, including 213 encounters reporting on osteopathic medical care and 1,412 encounters reporting on allopathic medical care.
Safety outcomes
Participants treated by osteopathic physicians generally reported lesser severity of symptoms that may potentially have been attributable to opioid therapy than participants treated by allopathic physicians (Table 2). However, only the results for nausea (mean, 0.98 [95 % CI, 0.68–1.28] vs. mean, 1.55 [95 % CI, 1.40–1.70] [p<0.001]), vomiting (mean, 0.12 [95 % CI, 0.03–0.21] vs. mean, 0.40 [95 % CI, 0.31–0.48] [p<0.001]), dizziness (mean, 1.01 [95 % CI, 0.76–1.26] vs. mean, 1.51 [95 % CI, 1.36–1.65] [p<0.001], and constipation (mean, 1.61 [95 % CI, 1.18–2.04] vs. mean, 2.12 [95 % CI, 1.95–2.30] [p=0.03]) achieved statistical significance in the univariable analyses, and the result for constipation was not clinically relevant. Only the results for nausea (mean, 1.54 [95 % CI, 0.96–2.13] vs. 1.92 [95 % CI, 1.46–2.38] [p=0.02]) and vomiting (mean, 0.51 [95 % CI, 0.22–0.79] vs. mean, 0.69 [95 % CI, 0.44–0.95] [p=0.004]) remained significant in the multivariable analyses; however, neither result was clinically relevant.
Mediation analysis
A total of 801 participants were included in the mediation analysis. There were 121 (15.1 %) participants treated by osteopathic physicians and 680 (84.9 %) participants treated by allopathic physicians. Participants treated by osteopathic physicians again reported better overall outcomes pertaining to low back pain intensity, physical function, and HRQOL than participants treated by allopathic physicians, as indicated by the OMC total treatment effect (Table 3). Physician empathy clearly emerged as the only significant mediator in each of the three analyses for effectiveness outcomes. It accounted for 13.0 , 20.1, and 31.0 % of the OMC total treatment effect in reducing low back pain intensity, back-related disability, and HRQOL deficits.
Mediation effects associated with osteopathic medical care for chronic low back pain according to effectiveness outcome domain (n=801)a.
| Regression model estimates | ||||
|---|---|---|---|---|
| Effect | β | 95 % CI | p-Value | Pm |
| Low back pain intensity | ||||
|
|
||||
| OMC-total treatment effect | 0.60 | 0.29–0.91 | <0.001 | … |
| OMC-direct treatment effect | 0.45 | 0.10–0.80 | 0.01 | 75.4 |
| Effect mediated by physician communication | 0.01 | −0.03–0.06 | 0.70 | 1.5 |
| Effect mediated by physician empathy | 0.08 | 0.02–0.16 | 0.03 | 13.0 |
| Effect mediated by opioid prescribing | 0.05 | −0.02–0.11 | 0.18 | 7.6 |
| Effect mediated by osteopathic manipulative treatment | 0.01 | −0.13–0.16 | 0.84 | 2.5 |
|
|
||||
| Physical function | ||||
|
|
||||
| OMC–total treatment effect | 2.00 | 0.85–3.14 | <0.001 | … |
| OMC–direct treatment effect | 1.02 | −0.22–2.25 | 0.11 | 50.9 |
| Effect mediated by physician communication | −0.01 | −0.19–0.15 | 0.85 | −0.7 |
| Effect mediated by physician empathy | 0.40 | 0.14–0.73 | 0.008 | 20.1 |
| Effect mediated by opioid prescribing | 0.25 | −0.11–0.61 | 0.17 | 12.5 |
| Effect mediated by osteopathic manipulative treatment | 0.34 | −0.12–0.84 | 0.16 | 17.2 |
|
|
||||
| Health-related quality of life deficits | ||||
|
|
||||
| OMC-total treatment effect | 1.47 | 0.21–2.73 | 0.02 | … |
| OMC-direct treatment effect | 0.59 | −0.79–1.98 | 0.40 | 40.3 |
| Effect mediated by physician communication | 0.01 | −0.17–0.20 | 0.92 | 0.6 |
| Effect mediated by physician empathy | 0.46 | 0.17–0.82 | 0.006 | 31.0 |
| Effect mediated by opioid prescribing | 0.21 | −0.09–0.52 | 0.18 | 14.2 |
| Effect mediated by osteopathic manipulative treatment | 0.20 | −0.41–0.83 | 0.52 | 13.8 |
-
aOMC, osteopathic medical care; Pm, the percentage of the OMC total treatment effect mediated by each variable in the model. Mediation analyses were performed utilizing a multiple mediator model including participants with complete data over 12 months. Physician communication and physician empathy were measured at registry enrollment with the Communication Behavior Questionnaire and Consultation and Relational Empathy measure, respectively. Opioid prescribing and use of osteopathic manipulative treatment were measured at registry enrollment and each subsequent quarterly encounter. Effectiveness outcomes were measured at registry enrollment and each subsequent quarterly encounter with a numerical rating scale for low back pain intensity, the Roland-Morris Disability Questionnaire for physical function, and the Patient-Reported Outcomes Measurement Information System for health-related quality-of-life deficits. Data for opioid prescribing, use of osteopathic manipulative treatment, and each of the effectiveness outcomes reflect the overall experience of participants during 12 months of follow-up. Outcome measures were subsequently recoded so that positive β coefficients represent better outcomes and favor OMC compared with allopathic medical care. The results were adjusted for participant age, gender, race, ethnicity, and general health.
Discussion
This study found that the OMC total treatment effects pertaining to low back pain intensity, physical function, and HRQOL among participants with CLBP over 12 months of follow-up were mediated by physician empathy. This not only corroborates prior findings involving longitudinal OMC outcomes [7, 29, 30] and patient perceptions of osteopathic physician empathy [15], but now directly links the latter with better outcomes among patients with CLBP. Although decreased opioid prescribing and OMT both contributed to the OMC total treatment effect for each effectiveness outcome, neither was a significant mediator. Moreover, physician communication mediated essentially none of the OMC total treatment effect in our comprehensive model. It is interesting to note that the percentage of the OMC total treatment effect mediated by physician empathy increased steadily as outcome domains progressed from localized low back pain (13.0 %) to more general physical and mental health (31.0 %).
Previous research did not find physician empathy to be a significant mediator of the OMC total treatment effect [7]. However, there are several methodological factors in the present study that enhanced its sensitivity in identifying physician empathy as a mediator. First, a more comprehensive multiple mediator model for each outcome was utilized, including potentially four mediators. Second, adjustment for additional participant demographic characteristics and general health was also performed in the mediation analyses. Finally, the number of participants included was about twice as great as in the previous study [7], thereby increasing statistical power to detect significant mediation effects [31]. Parenthetically, it should be noted that OMT was identified as a mediator of the OMC total treatment effect for one of three clinical outcomes (i.e., low back pain intensity) in the previous study [7], but not in this study. A possible explanation for this discrepancy is that OMT was measured retrospectively at only the 12-month encounter in the prior study, whereas it was measured prospectively at each of the five encounters in the present study.
Physician empathy has been recognized as an important element of high-quality medical care, particularly for patients with chronic pain who are often misunderstood, isolated, and compromised [32]. In particular, patients with CLBP often express a desire for physician interactions that involve listening and showing empathy in such various ways as getting to know them, understanding how pain affects their lives, and not feeling rushed through their office visits [33]. Such patient-physician interactions are often cited as examples of the osteopathic approach to medical care, and prior research has shown that patients with CLBP report osteopathic physicians being more empathic than allopathic physicians [15]. Physician empathy has been associated with a stronger patient-physician alliance, which may enhance adherence to treatment recommendations [34], and thereby promote better outcomes as observed in our study. There is also evidence of a neural basis for empathy derived from brain studies involving functional magnetic resonance imaging (MRI), particularly within the anterior insula and anterior cingulate cortex [35]. Such studies have demonstrated consistency in activations in parts of the pain network elicited by first-hand pain experience (e.g., by the patient) and vicariously felt pain (e.g., by the physician).
There were several strengths of our study. First, it utilized participants in a national pain research registry, thereby rendering the results more generalizable to patients with CLBP throughout the United States. Second, the digital research platform utilized by the registry provided electronic data capture and precluded missing data during any encounters that were undertaken by participants. Finally, the registry routinely collected data that facilitated mediation analyses involving four possible mediators and five potential confounders. Nevertheless, there were study limitations. First, participants were not randomized to OMC or allopathic medical care. Thus, there were some differences between treatment groups at registry enrollment, most notably involving current comorbidities. We attempted to mitigate this limitation by performing multivariable analyses that adjusted for participant demographic characteristics and general health. Second, OMT use was based on a composite measure requiring participant reporting of the use of spinal manipulation and current treatment for low back pain by an osteopathic physician. However, OMT may have been misclassified if spinal manipulation was provided by chiropractors, physical therapists, or other manual therapy providers rather than by osteopathic physicians. Third, the mediation analyses required complete data for all participants. This reduced the sample size from 1,079 to 801 participants. Although this smaller number of participants provided greater statistical power than in our prior research [7], it may have diminished our ability to detect relatively smaller, but significant, mediation effects attributable to opioid prescribing or OMT in this study.
Conclusions
Medical care provided by osteopathic physicians for participants with CLBP was associated with better outcomes pertaining to low back pain intensity, physical function, and HRQOL over 12 months of follow-up. Osteopathic physicians were also viewed as more empathic than allopathic physicians. Physician empathy was the only significant mediator of the OMC total treatment effect in each of the three effectiveness outcome domains. These findings support the claim that osteopathic physicians offer a unique, patient-centered approach to medical care that enhances clinical outcomes.
-
Research funding: This work was supported by the American Osteopathic Association (grant number 21011842).
-
Author contributions: All authors provided substantial contributions to conception and design, acquisition of data, or analysis and interpretation of data; all authors drafted the article or revised it critically for important intellectual content; all authors contributed to the analysis and interpretation of data; all authors gave final approval of the version of the article to be published; and all authors agree to be accountable for all aspects of the work in ensuring that questions related to the accuracy or integrity of any part of the work are appropriately investigated and resolved.
-
Competing interests: None reported.
-
Ethical approval: This study was approved by the North Texas Institutional Review Board (protocol 2015–169); ClinicalTrials registry number: NCT04853732.
-
Informed consent: All participants in this study provided informed consent prior to entering the study.
References
1. Vos, T, Flaxman, AD, Naghavi, M, Lozano, R, Michaud, C, Ezzati, M, et al.. Years lived with disability (YLDs) for 1160 sequelae of 289 diseases and injuries 1990–2010: a systematic analysis for the global burden of disease study 2010. Lancet 2013;380:2163–96. https://doi.org/10.1016/s0140-6736(12)61729-2.Search in Google Scholar
2. Wu, A, March, L, Zheng, X, Huang, J, Wang, X, Zhao, J, et al.. Global low back pain prevalence and years lived with disability from 1990 to 2017: estimates from the global burden of disease study 2017. Ann Transl Med 2020;8:299. https://doi.org/10.21037/atm.2020.02.175.Search in Google Scholar PubMed PubMed Central
3. Dowell, D, Ragan, KR, Jones, CM, Baldwin, GT, Chou, R. CDC clinical practice guideline for prescribing opioids for pain – United States, 2022. MMWR Recomm Rep 2022;71:1–95. https://doi.org/10.15585/mmwr.rr7103a1.Search in Google Scholar PubMed PubMed Central
4. American Osteopathic Association. Osteopathic medical profession report, 2020–2021. Chicago, IL: American Osteopathic Association; 2021:1–12 pp. https://osteopathic.org/wp-content/uploads/OMP-Report-2020-21.pdf [Accessed 17 May 2023].Search in Google Scholar
5. Licciardone, JC. The epidemiology and medical management of low back pain during ambulatory medical care visits in the United States. Osteopath Med Prim Care 2008;2:11. https://doi.org/10.1186/1750-4732-2-11.Search in Google Scholar PubMed PubMed Central
6. American Medical Association. AOA and AMA stand against misrepresentation of osteopathic physicians. Published 2020 https://www.ama-assn.org/press-center/ama-statements/aoa-and-ama-stand-against-misrepresentation-osteopathic-physicians [Accessed 20 February 2023].Search in Google Scholar
7. Licciardone, JC, Aryal, S. Patient-centered care or osteopathic manipulative treatment as mediators of clinical outcomes in patients with chronic low back pain. J Osteopath Med 2021;121:795–804. https://doi.org/10.1515/jom-2021-0113.Search in Google Scholar PubMed
8. Howell, JD. The paradox of osteopathy. N Engl J Med 1999;341:1465–8. https://doi.org/10.1056/nejm199911043411910.Search in Google Scholar
9. Kuchera, ML. Osteopathic manipulative medicine considerations in patients with chronic pain. J Am Osteopath Assoc 2005;105:S29–36.Search in Google Scholar
10. Kuchera, ML. Applying osteopathic principles to formulate treatment for patients with chronic pain. J Am Osteopath Assoc 2007;107:ES28–38.Search in Google Scholar
11. Minotti, D, Licciardone, JC, Kearns, C, Gatchel, RJ. Osteopathic medicine: approach to pain management. Pract Pain Manag 2010;28–29:37–8.Search in Google Scholar
12. Carey, TS, Motyka, TM, Garrett, JM, Keller, RB. Do osteopathic physicians differ in patient interaction from allopathic physicians? An empirically derived approach. J Am Osteopath Assoc 2003;103:313–8.Search in Google Scholar
13. Walsh, S, O’Neill, A, Hannigan, A, Harmon, D. Patient-rated physician empathy and patient satisfaction during pain clinic consultations. Ir J Med Sci 2019;188:1379–84. https://doi.org/10.1007/s11845-019-01999-5.Search in Google Scholar PubMed
14. Licciardone, JC, Patel, S, Kandukuri, P, Beeton, G, Nyalakonda, R, Aryal, S. Patient satisfaction with medical care for chronic low back pain: a pain research registry study. Ann Fam Med 2023;21:125–31. https://doi.org/10.1370/afm.2949.Search in Google Scholar PubMed PubMed Central
15. Licciardone, JC, Schmitt, ME, Aryal, S. Osteopathic and allopathic physician interpersonal manner, empathy, and communication style and clinical status of their patients: a pain registry-based Study. J Am Osteopath Assoc 2019;119:499–510. https://doi.org/10.7556/jaoa.2019.092.Search in Google Scholar PubMed
16. von Elm, E, Altman, DG, Egger, M, Pocock, SJ, Gøtzsche, PC, Vandenbroucke, JP. The Strengthening the Reporting of Observational Studies in Epidemiology (STROBE) statement: guidelines for reporting observational studies. Ann Intern Med 2007;147:573–7. https://doi.org/10.1371/journal.pmed.0040296.Search in Google Scholar PubMed PubMed Central
17. ClinicalTrials.gov. PRECISION pain research registry (PRECISION). Published 2021. https://clinicaltrials.gov/ct2/show/NCT04853732 [Accessed 20 February 2023].Search in Google Scholar
18. National Center for Heatlh Statistics. NAMCS micro-data file documentation; 2010. https://ftp.cdc.gov/pub/Health_Statistics/NCHS/Dataset_Documentation/NAMCS/doc2010.pdf [Accessed 20 February 2023].Search in Google Scholar
19. Farin, E, Gramm, L, Schmidt, E. Taking into account patients’ communication preferences: instrument development and results in chronic back pain patients. Patient Educ Counsel 2012;86:41–8. https://doi.org/10.1016/j.pec.2011.04.012.Search in Google Scholar PubMed
20. Mercer, SW, Maxwell, M, Heaney, D, Watt, GC. The consultation and relational empathy (CARE) measure: development and preliminary validation and reliability of an empathy-based consultation process measure. Fam Pract 2004;21:699–705. https://doi.org/10.1093/fampra/cmh621.Search in Google Scholar PubMed
21. Mercer, SW, McConnachie, A, Maxwell, M, Heaney, D, Watt, GC. Relevance and practical use of the consultation and relational empathy (CARE) measure in general practice. Fam Pract 2005;22:328–34. https://doi.org/10.1093/fampra/cmh730.Search in Google Scholar PubMed
22. Deyo, RA, Dworkin, SF, Amtmann, D, Andersson, G, Borenstein, D, Carragee, E, et al.. Report of the NIH task force on research standards for chronic low back pain. J Pain 2014;15:569–85. https://doi.org/10.1111/pme.12538.Search in Google Scholar PubMed
23. Roland, M, Morris, R. A study of the natural history of back pain. Part I: development of a reliable and sensitive measure of disability in low-back pain. Spine 1983;8:141–4. https://doi.org/10.1097/00007632-198303000-00004.Search in Google Scholar PubMed
24. HealthMeasures. PROMIS adult profile instruments. Evanston, IL: Northwestern University; 2021.Search in Google Scholar
25. Zhang, J, Yu, KF. What’s the relative risk? A method of correcting the odds ratio in cohort studies of common outcomes. JAMA 1998;280:1690–1. https://doi.org/10.1001/jama.280.19.1690.Search in Google Scholar PubMed
26. Furlan, AD, Pennick, V, Bombardier, C, van Tulder, M. 2009 Updated method guidelines for systematic reviews in the cochrane back review group. Spine 2009;34:1929–41, https://doi.org/10.1097/brs.0b013e3181b1c99f.Search in Google Scholar PubMed
27. Faraone, SV. Interpreting estimates of treatment effects: implications for managed care. P T 2008;33:700–11.Search in Google Scholar
28. Hayes, AF. Introduction to mediation, moderation, and conditional process analysis: a regression-based approach. New York: The Guilford Press; 2018.Search in Google Scholar
29. Licciardone, JC. Preventing progression from chronic to widespread pain and its impact on health-related quality of life: a historical cohort study of osteopathic medical care. J Osteopath Med 2022;122:21–9. https://doi.org/10.1515/jom-2021-0105.Search in Google Scholar PubMed
30. Licciardone, JC, Moore, S, Fix, K, Gowen Blair, L, Ta, K. Osteopathic manipulative treatment of patients with chronic low back pain in the United States: a retrospective cohort study. J Osteopath Med 2023;123:259–67. https://doi.org/10.1515/jom-2022-0212.Search in Google Scholar PubMed
31. Fritz, MS, Mackinnon, DP. Required sample size to detect the mediated effect. Psychol Sci 2007;18:233–9. https://doi.org/10.1111/j.1467-9280.2007.01882.x.Search in Google Scholar PubMed PubMed Central
32. Roche, J, Harmon, D. Exploring the facets of empathy and pain in clinical practice: a review. Pain Pract 2017;17:1089–96. https://doi.org/10.1111/papr.12563.Search in Google Scholar PubMed
33. Evers, S, Hsu, C, Sherman, KJ, Balderson, B, Hawkes, R, Brewer, G, et al.. Patient perspectives on communication with primary care physicians about chronic low back pain. Perm J 2017;21:16–177. https://doi.org/10.7812/tpp/16-177.Search in Google Scholar
34. Dorflinger, L, Kerns, RD, Auerbach, SM. Providers’ roles in enhancing patients’ adherence to pain self management. Transl Behav Med 2013;3:39–46. https://doi.org/10.1007/s13142-012-0158-z.Search in Google Scholar PubMed PubMed Central
35. Bernhardt, BC, Singer, T. The neural basis of empathy. Annu Rev Neurosci 2012;35:1–23. https://doi.org/10.1146/annurev-neuro-062111-150536.Search in Google Scholar PubMed
© 2023 the author(s), published by De Gruyter, Berlin/Boston
This work is licensed under the Creative Commons Attribution 4.0 International License.
Articles in the same Issue
- Frontmatter
- General
- Original Article
- Assessing patient experience of the tenets of osteopathic medicine
- Medical Education
- Brief Report
- Awareness and interest in osteopathic manipulative treatment in allopathic medical students
- Musculoskeletal Medicine and Pain
- Original Article
- The process and outcomes of chronic low back pain treatment provided by osteopathic and allopathic physicians: a retrospective cohort study
- Neuromusculoskeletal Medicine (OMT)
- Review Article
- Osteopathic manipulative treatment for concussions and postconcussive syndrome in athletes: a literature review
- Public Health and Primary Care
- Brief Report
- Associations of intimate partner violence and maternal comorbidities: a cross-sectional analysis of the Pregnancy Risk Assessment Monitoring System
- Clinical Images
- Rotator cuff injuries: improving identification with bedside ultrasound
- Superior-medial pole of the bipartate patella
Articles in the same Issue
- Frontmatter
- General
- Original Article
- Assessing patient experience of the tenets of osteopathic medicine
- Medical Education
- Brief Report
- Awareness and interest in osteopathic manipulative treatment in allopathic medical students
- Musculoskeletal Medicine and Pain
- Original Article
- The process and outcomes of chronic low back pain treatment provided by osteopathic and allopathic physicians: a retrospective cohort study
- Neuromusculoskeletal Medicine (OMT)
- Review Article
- Osteopathic manipulative treatment for concussions and postconcussive syndrome in athletes: a literature review
- Public Health and Primary Care
- Brief Report
- Associations of intimate partner violence and maternal comorbidities: a cross-sectional analysis of the Pregnancy Risk Assessment Monitoring System
- Clinical Images
- Rotator cuff injuries: improving identification with bedside ultrasound
- Superior-medial pole of the bipartate patella