Abstract
The most applicable method to produce polylactic acid (PLA) is via ring opening polymerization of lactide, which involves three steps: polycondensation of low-molecular-weight PLA (LMW PLA), depolymerization or dimerization of a prepolymer into a cyclic dimer of lactic acid (lactide) and ring opening polymerization of lactide to achieve high-molecular-weight PLA. This work aimed to optimize the reaction conditions of lactide synthesis. Reactions at different temperatures and pressures were carried out in the presence of tin (II) oxide, tin (II) chloride, tin (II) octate, antimony trioxide, sulfuric acid and no catalyst in a semi-batch reactor. Different analytical techniques such as gas chromatography, gel permeation chromatography, differential scanning calorimetry, nuclear magnetic resonance and Fourier transform infrared spectroscopy have been used to evaluate the LMW PLA properties, rate of lactide synthesis and racemization. Results showed that the highest rate of conversion occurred in the presence of tin (II) chloride and octate. Synthesis rate increased with the increase in reaction temperature and the decrease in pressure. Increasing temperature also resulted in higher amounts of optical and chemical impurities in the crude lactide.
1 Introduction
Polylactic acid or poly lactide (PLA) has drawn the attention of several researchers owing to its biodegradability and mechanical properties, which are similar to those of polyethylene terephthalate, polystyrene and other common petrol-based plastics (1, 2). It has a wide range of applications in medical devices, food packaging, electronics and engineering devices (3, 4). Recently, owing to the improvements in bacterial fermentation, optically pure monomer, lactic acid (LA), is produced through the fermentation process of sugar and other carbohydrates (5). Production of PLA with low molecular weight (LMW) through direct polycondensation (PC) has been known since 1932 (6). LA is a di-functional monomer that undergoes self-esterification through a reversible step-growth mechanism in which polymer chains react together, leading to longer chains (7, 8). The reaction scheme is represented in Scheme 1.

Lactic acid polycondensation scheme (8).
Water is the by-product of the reaction, which has to be removed from the reaction in order to shift the chemical equilibrium to the product side. The viscosity of the reacting mixture increases during polymerization, which makes the water removal very difficult; thus, only LMW polymers can be produced by PC (8). A wide variety of metal-based catalysts such as tin and zinc compounds, as well as strong acids, were found to be effective in the polycondensation of lactic acid (8–10). Occurrence of cyclization and transesterification side reactions is a major concern in the polycondensation of lactic acid. The impact of ring formation and intermolecular transesterification on PC reactions has been extensively studied in the literature (10–14). As reported by Kotliar (11), among the possible transesterification reactions, alcoholysis is the most favorable.
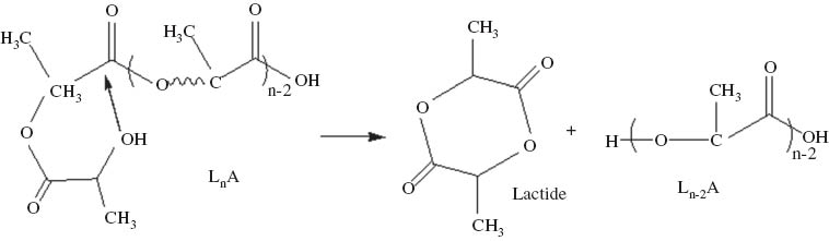
High-molecular-weight PLA is produced by ring opening polymerization (ROP) of the cyclic dimer of LA (lactide). Lactide is produced through the depolymerization of oligomeric LMW PLA that involves back-biting and end-biting reactions (15, 16). In particular, back-biting reaction refers to the formation of cyclic compounds through the intramolecular reaction between the carboxylic end group of the chain and the ester bond of the chain back-bone (Scheme 2). These reactions are equilibrium reactions that mainly depend on the temperature and the catalyst used. In contrast, end-biting refers to the ring closure reaction of a linear chain.

Details of the back-biting reaction of the OH group in a general chain of PLA (16).
Lactide also has three different isomeric forms: l-lactide, d-lactide and meso-lactide. d- and l-Lactide have a melting point of 97°C, whereas meso-lactide has a melting point of 52°C (3). Lactide purity is a function of the prepolymer composition and the reaction conditions of the lactide synthesis. Therefore, both steps have to be taken into account in optimizing lactide production. Although LA polycondensation and lactide synthesis have been studied before (8–10, 16, 17), a comprehensive study of the parameters affecting the process is missing. Reaction temperature, time and pressure, as well as catalyst type and concentration, and prepolymer molecular weight are the parameters that have to be optimized in order to achieve high lactide conversion with the lowest degree of racemization. This work aims to optimize the conventional process used in lactide production.
2 Materials and methods
2.1 Materials
Lactic acid (C3 H6 O3, Mw=90) (90%) was purchased from Merck Millipore (Schwalbach, Germany). Tin (II) octate ([CH3(CH2)3 CH(C2 H5)CO2]2 Sn), tin(II) 2-ethylhexanoate (95%), tin (II) oxide (SnO) (97%), tin (II) chloride (SnCl2) (99%), antimony trioxide (Sb2 O3) (99%), ethyl acetate, toluene and 18 mol/l of sulfuric acid were all supplied by Sigma Aldrich (Sigma-Aldrich Chemie Gmbh, Munich, Germany) and used as received.
2.2 Experimental design, setup and sample preparation
The reaction conditions used in different experiments are listed in Table 1. Samples were prepared under specific conditions as illustrated in Table 1. For instance, in PC6, a prepolymer sample was prepared using 70 ml of LA in the presence of 0.4 mol% of sulfuric acid as the catalyst, at 170°C for 6 h, in the reaction setup shown in Figure 1A. All reactions were repeated three times to ensure the reproducibility of results with a maximum of ±4% deviation of error. PC reactions were carried out using 70 g of lactic acid in a 100-ml stirred glass reactor with a sealed four-necked cap (Figure 1A). The reactor outlet was connected to a condenser, set at 95°C, to recover back lactic acid vapor to the reaction mixture. To determine the non-extractable content, PC samples were first prepared by producing 10% chloroform solutions. The solutions were then slowly added to the anhydrous alcohol up to eight times the volume, with continuous agitation. The non-extractable content (%) was measured by dividing the sample weight after extraction to its initial weight.
Reaction conditions used in this work.
Batch size (g) | Catalyst concentration (mol%) | Catalyst | Time (h) | Temperature (°C) | Pressure (mm Hg) | Mixing speed (rpm) | N2 flow rate (ml/min) | Reacting vessel | Samples |
---|---|---|---|---|---|---|---|---|---|
70 | – | – | 6 | 170 | Atm | 400 | 300 | Figure 1 | PC 1 |
70 | 0.4 | SnO | 6 | 170 | Atm | 400 | 300 | Figure 1 | PC 2 |
70 | 0.4 | SnCl2 | 6 | 170 | Atm | 400 | 300 | Figure 1 | PC 3-0.4 |
70 | 0.4 | Sb2 O3 | 6 | 170 | Atm | 400 | 300 | Figure 1 | PC 4 |
70 | 0.4 | Sn(Oc)2 | 6 | 170 | Atm | 400 | 300 | Figure 1 | PC 5 |
70 | 0.4 | H2 SO4 | 6 | 170 | Atm | 400 | 300 | Figure 1 | PC 6 |
70 | 1 | SnCl2 | 6 | 170 | Atm | 400 | 300 | Figure 1 | PC 7-1 |
70 | 2 | SnCl2 | 6 | 170 | Atm | 400 | 300 | Figure 1 | PC 8-2 |
70 | 0.2 | SnCl2 | 6 | 170 | Atm | 400 | 300 | Figure 1 | PC 9-0.2 |
50 | – | – | 5 | 195–210 | 25 | – | – | Figure 2 | Lactide 1 |
50 | 0.4 | SnO | 5 | 195–210 | 25 | – | – | Figure 2 | Lactide 2 |
50 | 0.4 | SnCl2 | 5 | 195–210 | 25 | – | – | Figure 2 | Lactide 3 |
50 | 0.4 | Sb2 O3 | 5 | 195–210 | 25 | – | – | Figure 2 | Lactide 4 |
50 | 0.4 | Sn(Oc)2 | 5 | 195–210 | 25 | – | – | Figure 2 | Lactide 5 |
50 | 0.4 | H2 SO4 | 5 | 195–210 | 25 | – | – | Figure 2 | Lactide 6 |
50 | 1 | SnCl2 | 5 | 195–210 | 25 | – | – | Figure 2 | Lactide 7 |
50 | 2 | SnCl2 | 5 | 195–210 | 25 | – | – | Figure 2 | Lactide 8 |
50 | 0.2 | SnCl2 | 5 | 195–210 | 25 | – | – | Figure 2 | Lactide 9 |
50 | 0.4 | SnCl2 | 5 | 195–210 | 75 | – | – | Figure 2 | Lactide 10 |
50 | 0.4 | SnCl2 | 5 | 195–210 | 150 | – | – | Figure 2 | Lactide 11 |
50 | 0.4 | SnCl2 | 5 | 195–210 | 250 | – | – | Figure 2 | Lactide 12 |
50 | 0.4 | SnCl2 | 5 | 195–210 | Atm | – | – | Figure 2 | Lactide 13 |
50 | 0.4 | SnCl2 | 2 | 200–230 | 25 | – | – | Figure 2 | Lactide 14 |

Schematics of the reaction setup used in (A) PC experiments and (B) lactide synthesis experiments.
Lactide synthesis experiments were carried out using 50 g of prepolymer in 75-ml glass reactors connected to a 100-ml two-necked glass balloon via a glass connector. A condenser was installed vertically on top of the 100-ml glass balloon, which was connected to a cold trap and a vacuum pump. All connecting lines were thermally isolated (Figure 1B). Crude lactide was purified, where needed, by means of a solvent recrystallization technique using a 50:50 mixture of ethyl acetate and toluene as solvents.
2.3 Characterizations
In order to measure the amount of material loss during the PC process, samples were weighed before and after each experiment. The crude lactide production rate was evaluated by measuring the lactide weight produced during each experiment. Molecular weight and polydispersity values were measured using a gel permeation chromatography system (Agilent 1100 series, Agilent Technologies) and polystyrene standards. The samples were injected into a column which was suitable for measuring polymers with molecular weights in the range of 1000–10,000 g/mol. The detection was performed using a refractive index detector. Thermal analysis of the samples was carried out using a differential scanning calorimetry (DSC) device (DSC 200 F3, NETZSCH, NETZSCH group) at a heating range of 20–220°C, with a heating rate of 10°C/min. IR spectra of the samples were monitored in the frequency range of 600–4000 cm-1 using KBr pellets in a Fourier transform infrared spectroscopy device (Equinox 55, Bruker). Gas chromatography (GC) experiments were carried out in an Agilent 6890 series (Agilent Technologies) GC system with a 30-m fused silica capillary column (HP-5ms) at 140°C, using helium as the carrier gas. A 0.1% (v/v) sample solution in dichloromethane was prepared, and 0.2 μl of the solution was injected. Peaks were identified by an Agilent 5973 (Agilent Technologies) network mass selective detector. 1H NMR sample was prepared by dissolving the purified lactide in CDCl3. The spectrum was obtained at 400 MHz, 300 K, on a Bruker AVANCE DRX 400 (Bruker).
3 Results
Figure 2A and B shows a typical DSC thermogram of a LMW PLA synthesized through PC in this work and the IR spectra of PC samples using different catalysts, respectively. GC chromatograms of a crude and purified lactide are shown in Figure 2C. Figure 2D shows the 1H NMR spectrum of purified lactide. Other results relating to the PC reactions are shown in Table 2I and II.

(A) DSC thermogram of the LMW PLA sample synthesized through polycondensation using PC6 conditions. (B) IR spectra of the LMW PLA samples synthesized using different catalysts. (C) GC chromatogram of crude and purified lactide. (D) 1H NMR spectrum of purified lactide, using lactide 3 synthesis conditions.
PC sample properties and oligomeric content of the PC samples.
Part I: General properties of the PC samples | |||||||
---|---|---|---|---|---|---|---|
ΔHma (J/g) | Tg (°C) | Tc (°C) | Tm (°C) | Polydispersity (PD) | Weight average molecular weight (Mw) | Prepolymer weight (%)b | Samples |
7 | –c | 95d | 94/105 | 1.43 | 2211 | 64 | PC1 |
1 | 44 | 110 | 115 | 1.49 | 2692 | 69 | PC2 |
7 | 40 | 103 | 124/133 | 1.27 | 5669 | 64 | PC3-0.4 |
42 | – | 92 | 120/131 | 1.61 | 3405 | 72 | PC4 |
8 | – | 100 | 115 | 1.60 | 3289 | 73 | PC5 |
48 | 35 | 98 | 123/135 | 2.00 | 10,500 | 30 | PC6 |
6 | 37 | 99 | 121 | 1.76 | 5516 | 62 | PC7-1 |
7 | 35 | 99 | 127 | 1.97 | 3827 | 69 | PC8-2 |
2 | 41 | 109 | 133 | 1.13 | 7670 | 53 | PC9-0.2 |
Part II: Oligomeric content of the PC samples measured by GPC and precipitation | |||||||
Non-extractable content (%) | Overall oligomeric ratio (%) | Oligomer/polymer concentration ratio (%) | Dimer/polymer concentration ratio (%) | Monomer/polymer concentration ratio (%) | Weight average molecular weight (Mw) | Samples | |
9 | 67 | 38 | 16 | 13 | 2211 | PC1 | |
16 | 51 | 12 | 20 | 19 | 2692 | PC2 | |
37 | 44 | 11 | 26 | 7 | 5669 | PC3-0.4 | |
26 | 45 | 19 | 9 | 17 | 3405 | PC4 | |
20 | 49 | 20 | 14 | 15 | 3289 | PC5 | |
71 | 36 | 22 | 11 | 3 | 10,500 | PC6 | |
39 | 41 | 11 | 27 | 3 | 3827 | PC7-1 | |
42 | 39 | 7 | – | 2 | 5516 | PC8-2 | |
18 | 52 | 12 | 31 | 9 | 7670 | PC9-0.2 |
aΔHm of 100% crystalline PLA: 92 J/g.
bPrepolymer weight divided by initial reaction mixture weight (%).
cOverlap with the melting peak.
dNot observable.
Lactide production rates at different temperatures and catalyst concentrations were determined by measuring the weight of the product produced in 1 h. Results are shown in Figure 3A. Figure 3B shows the lactide production rate at different temperatures using different catalysts. Prepolymers with different values of polymerization degree were synthesized randomly using 0.4 mol% of SnCl2 at different polymerization times. The influence of polymerization degree of the prepolymer on the yield of lactide conversion after 3 h at 210°C is shown in Figure 3C. The influence of reaction pressure was studied at five different pressures of 25, 75, 150, 250 and 760 mm Hg (Figure 3D). The pre-polymer used had a molecular weight of 30 DP.

(A) Lactide production rate (lactide weight after 1 h divided by initial prepolymer weight) at different temperatures and SnCl2 concentrations. (B) Lactide production rate (using 50 g of prepolymer) at different temperatures using different catalysts. (C) Lactide conversion against polymerization degree of the prepolymer after 3 h at 210°C. (D) Influence of the reaction pressure on lactide production using 50 g of LMW PLA and 0.4 mol% of SnCl2.
4 Discussion
4.1 Prepolymer synthesis
Reactions in the presence of different catalysts and without a catalyst were performed to fully characterize the PC of LA. The effect of addition of various catalysts at different concentrations on LMW PLA production is discussed here. A pure PLA sample has an exothermic peak of crystallization at 103°C and an endothermic peak with a shoulder at 169°C. As seen in Figure 2A, the Tg, Tc and Tm of this particular sample were at 35°C, 98°C and 122/135°C, respectively. The appearance of the double melting peak could be due to the presence of two distinct crystal structures (α-form and stereocomplex crystals) or to the result of annealing occurring during the DSC scans whereby crystals of low perfection melt have time to recrystallize a few degrees above and to remelt (17).
Table 2I shows that using sulfuric acid, SnCl2 and Sb2 O3 as catalysts resulted in the production of polymers with higher melting points but with different values of enthalpy of fusion. As reported by Hiltunen et al. (9), using sulfuric acid as the catalyst led to the production of a polymer with the highest molecular weight and crystallinity (above 50%), whereas tin-based catalyts produced amorphous LMW PLA. The lower Tm obtained were due to the imperfect crystalline structure of the LMW samples. Polymers with lower optical purity show their crystallization peak and double melting peaks at higher and lower temperatures, respectively. During PC, ester interchange reactions cause racemization, which occurs through the cleavage of an ester group, which can take place at two points: the carbonyl-oxygen bond and the alkyl-oxygen bond. Only the breakage of an alkyl-oxygen bond leads to racemization. It has been reported (9) that Lewis acid catalysts catalyze the breakage of the alkyl-oxygen bond, while strong proton acids, like sulfuric acid, catalyze the carbonyl-oxygen bond. Consequently, LMW PLA samples with lower optical purity produce lactides with higher racemic content.
The prepolymer produced was weighed after each experiment. It is believed that, under these operating conditions, apart from water, the volatilization of other species can be neglected. The relationship between molecular weight and prepolymer weight can be seen in Table 2I. The weight of a product decreased with the increase in polymerization degree. This is because of the evaporation of the water produced as a byproduct during the PC process.
As seen in Table 2I, for a given reaction time and temperature, higher catalyst concentrations resulted in increased polymer polydispersity (PD) and decreased molecular weight. This broadness is due to the enhanced rate of the side reactions at higher catalyst concentrations. Lactic acid, lactide and oligomers in PLA can be extracted through precipitation. When a PLA solution in chloroform is added to excess anhydrous alcohol, most of the PLA, except for some with a low molecular weight, will become a flocculent precipate, while the smaller molecules remain in the solution (18). Table 2II shows the oligomeric mole fractions for all the reactions. In reactions catalyzed by SnCl2, the mole fractions of monomer and short-chain oligomers decreased with increasing catalyst concentrations, because there were more initiating centers for monomers to participate in the polymerization. Among all catalyts used, sulfuric acid produced the least oligomeric content and the highest non-extractable content.
PLA has a simple molecular structure with no strong hydrogen bonds in its chain, and only weak C-H···O hydrogen bonds, dipole-dipole interaction and van der Waals interactions are expected (19). The weak band at 908 cm-1 in Figure 2B (4) is the characteristic band of the poly (l-lactide) (PLLA)/poly (d-lactide) (PDLA) stereocomplex (β crystals) that formed because of racemization. In the range of 1500–1000 cm-1, bands are highly overlapped. Bands at 1460 and 1387 cm-1 are due to the CH3 asymmetric and symmetric deformation modes, respectively (20). The band at 1043 cm-1 is assigned to the stretching vibration of the C-CH3 group of both amorphous and semicrystalline PLA samples. The crystalline sensitive bands are 1460, 1190, 1120 and 1090 cm-1. With the transformation of the PLA samples from the amorphous state to the semicrystalline state, the band at 1756 cm-1 shifts to 1754 cm-1. Bands at 2999 and 2948 are assigned to the CH3 and CH2 stretching modes, respectively. It is well known that the frequency shifts are characteristic of the magnitude of the hydrogen bonds formed, which shift to lower values as a consequence of the weakening of the A-H bond (19). The broad band at 3425–3505 cm-1 is attributed to the hydroxyl groups of the unreacted monomer (lactic acid).
4.2 Lactide synthesis
There are many mechanisms and factors that influence the depolymerization of lactide. It has been reported that racemization proceeds via the ester-semiacetal tautomerization on the PLA main chain (21). Another mechanism has also been proposed (22), which is a nucleophilic substitution reaction (SN 2) at an asymmetrical methane carbon that occurs as a back-biting reaction from an active chain end structure: R-COO-Ca+ of PLA.
4.3 Influence of catalyst type
According to Table 3I, using Sb2 O3 as the catalyst in the synthesis of lactide from prepolymers resulted in the highest conversion after 5 h, whereas sulfuric acid produced the lowest amount. Therefore, in the specific case of intramolecular transesterification, the best catalysts were Sb2 O3, tin (II) octate and SnCl2, respectively. Tin (II) octate led to the highest overall yield. It has also been reported (23, 24) that aluminum compounds are the least reactive catalysts in intramolecular transesterification. However, neither of these catalysts achieved the yield of lactide obtained by the use of tin-based catalysts.
Influence of catalyst type and concentration and of reaction temperature on the lactide synthesis process.
Part I: Influence of catalyst type | |||||||
---|---|---|---|---|---|---|---|
Overall production (%)a | Lactide production (%)b | Total l-lactide concentration (%) | Meso-lactide concentration (%)c | Width of half peak of fusion (°C)d | Heat of fusion (J/g) | Melting point (°C) | Samples |
25 | 39 | 77.54 | 4.36 | 22.5 | 47 | 57, 69 | Lactide 1 |
45 | 65 | 87.64 | 3.96 | 12.5 | 81 | 60, 88 | Lactide 2 |
63 | 99 | 96.33 | 1.11 | 7.5 | 103 | 96 | Lactide 3 |
68 | 94 | 92.92 | 4.05 | 10 | 99 | 93 | Lactide 4 |
71 | 98 | 93.56 | 3.7 | 11 | 90 | 92 | Lactide 5 |
8 | 28 | 97.75 | 1.67 | 8 | 92 | 95 | Lactide 6 |
Part II: Influence of catalyst concentration | |||||||
Total l-lactide concentration (%) | meso-Lactide concentration (%)e | Overall production rate (%) | Lactide production rate (%) | Width of the half peak of fusion (°C) | Heat of fusion (J/g) | Melting point (°C) | Concentration mol/mol, (%) |
77.54 | 4.36 | 25 | 39 | 22.5 | 47 | 50, 69 | 0 |
94.95 | 4.9 | 30 | 57 | 10 | 100 | 93 | 0.2 |
96.33 | 1.11 | 63 | 99 | 7.5 | 103 | 96 | 0.4 |
93.9 | 5.21 | 60 | 97 | 14 | 88 | 89 | 1 |
92.45 | 5.98 | 67 | 97 | 17.5 | 80 | 87 | 2 |
Part III: Influence of reaction temperature | |||||||
Total dimer and trimer concentrations (%) | Total lactic acid concentration (%) | Total meso-lactide concentration (%) | Total l/d-lactide concentration (%) | Temperature (°C) | |||
5.6 | 27.41 | 1.2 | 65.76 | 200 | |||
4.63 | 16.46 | 1.78 | 77.11 | 205 | |||
4.11 | 11.45 | 1.14 | 83.3 | 210 | |||
4.23 | 8.86 | 1.55 | 85.26 | 215 | |||
0.55 | 0.2 | 25.52 | 73.73 | 230 |
aProduced lactide divided by the initial LA weight used in the prepolymerization.
bProduced lactide divided by the initial oligomeric weight.
cCorrelation area of meso-lactide peak to l-lactide, as measured in GC (ratio/%).
dMeasured as shown in Ref. (23).
eCorrelation area of meso-lactide peak to l-lactide, as measured in GC (ratio/%).
GC has been used to determine the meso-lactide content in l/d-lactide. Due to the identical physical and chemical properties of d- and l-lactide, they cannot be separated from each other in a conventional capillary GC (25). It has been reported that (26) the optical and chemical yields of lactide are dependent on the coordination activity of the catalysts. Using sulfuric acid and SnCl2 as catalysts resulted in the production of the purest lactide and to the lowest amount of meso-lactide, respectively. There was also a small trace of lactic acid, dimer and trimer in all the produced lactide samples. The width of the half peak of fusion (WHPF) in a DSC thermogram and the Tm of lactide samples were also measured and used as a reference of purity. l-, d- and meso-Lactides and LA have different melting points, which are 96°C, 96°C, 53°C, and 53°C, respectively. So, samples with a Tm closer to 53°C contained higher amounts of either LA or meso-lactide or both. In general, samples with a lower Tm and a higher WHPF contain more optical or chemical (i.e., LA, dimer and trimer) impurities. Figure 2C and D shows that all chemical and optical impurities have been extracted in the purification step.
4.4 Influence of catalyst concentration
As seen in Table 3II, the lactide production yield increased with the increase in catalyst concentrations up to 0.4 mol%. It was observed that lactide conversion was completed after 5 h using ≥0.4 mol% of SnCl2 as the catalyst. Any excess amount of catalyst used in the reaction resulted in an enhanced rate of racemization and an increased amount of impurities (26).
As expected, the rate of lactide production increased with the increase in catalyst concentration and temperature (Figure 3A) (15). High product yields were obtained using 0.4, 1 and 2 mol% of the catalyst at 200°C. It was shown that, even at elevated temperatures, lower catalyst concentrations resulted in the decreased rate of lactide production.
4.5 Influence of reaction temperature
Reactions were carried out at temperatures ranging from 195°C to 210°C and from 200°C to 230°C. At higher reaction temperatures, lactide was produced with a higher production rate. According to Figure 3B, reactions in the presence of sulfuric acid and with no catalyst led to low production rates even at 210°C.
During the lactide synthesis experiments, samples were collected after 2 h for analysis. Table 3III summarizes the GC results obtained at different synthesis temperatures. It was observed that the dimer and trimer concentrations decreased with the increase in temperature. LA PC and lactide formation are parallel reactions, and from the experimental data, it can be concluded that increasing the temperature resulted in the suppression of PC and a shift in the back-biting equilibrium reaction toward the ring side in Scheme 2. At temperatures <215°C, conversion to meso-lactide was scarcely found. At a temperature of 230°C, conversions to meso-lactide increased significantly, reaching a value of 25.52 wt.%. Oligomers were found at temperatures below 230°C, and the weight ratio of linear oligomers never exceeded 6 wt.% at any temperatures studied in this work. The measured composition ratio of l/d-lactide at 230°C must be a result of an aggregate of factors that includes not only the conversion to meso-lactide, but also the reverse reactions from oligomers (27, 28). These results indicated that synthesizing lactide in the presence of 0.4 mol% of SnCl2 at <215°C was a stable reaction with low possibility of racemization. However, a relatively high amount of LA was detected at lower temperatures. LA content could form due to the hydrolysis of lactide in the presence of moisture or as a by-product of the back-biting reactions in Scheme 2 (29) and the remaining unconverted monomer molecules from the PC process. Therefore, a prepolymer with a lower degree of monomer conversion and molecular weight obtained in the PC process leads to the production of a crude lactide with higher LA content.
4.6 Influence of prepolymer molecular weight
Figure 3C shows that the highest lactide production rates were achieved when prepolymers with DP in the range of 15–30 were used. Above this range, the viscosity of the reacting medium was too high for a proper mass transfer. Therefore, it is believed that higher temperatures are needed to distill lactide as the molecular weight and melt viscosity increase (15, 16). Below the mentioned range, the LA content in the prepolymer was too high. At the elevated temperature of lactide synthesis reaction, LA evaporates off the system before lactide does, which results in the production of a crude lactide with higher chemical impurities.
4.7 Influence of reaction pressure
As seen in Figure 3D, at higher pressures, the driving force for lactide evaporation was lower and so was the overall reaction rate. However, GC analysis showed that monomer and LMW oligomer fractions in crude lactide increased for reactions performed at lower pressures. This was because of the ranking of the volatilities, with monomer and dimer being much more volatile than lactide and longer chains.
Acknowledgment
The authors gratefully thank the Iran National Science Foundation (INSF) for its financial support of this project.
References
1. Mohanty AK, Misra M, Drzal LT, editors. Natural fibers, biopolymers, and biocomposites: polylactic acid technology. Boca Raton, FL: CRC Press-Taylor & Francis Group; 2005. 527 p.10.1201/9780203508206.ch1Search in Google Scholar
2. Auras R, Lim LT, Selke SEM, Tsuji H. Poly(lactic acid). New Jersey: Wiley; 2010. 43 p.10.1002/9780470649848Search in Google Scholar
3. Garlotta D. A literature review of poly lactic acid. J Polym Environ 2001;9(2):63–84.10.1023/A:1020200822435Search in Google Scholar
4. Codari F, Moscatelli D, Storti G, Morbidelli M. Characterization of low molecular weight PLA using HPLC. Macro Mat Eng 2010;295(1):58–66.10.1002/mame.200900172Search in Google Scholar
5. Stevens C. Renewable bioresources: scope and modification for non-food applications. London: Wiley; 2004, 104 p.Search in Google Scholar
6. Yu YC, Storti G, Morbidelli M. Ring opening polymerization of l,l-lactide: kinetic and modeling study. Macromolecules 2009;42(21):8187–97.10.1021/ma901359xSearch in Google Scholar
7. Odian G. Principle of polymerization. New York: Wiley; 2004; 462 p.10.1002/047147875XSearch in Google Scholar
8. Maharana T, Mohanty B, Negi YS. Melt solid polycondensation of polylactic acid and its biodegradability. Prog Polym Sci 2009;34(1):99–124.10.1016/j.progpolymsci.2008.10.001Search in Google Scholar
9. Hiltunen K, Seppala JV, Harkonen M. Effect of catalyst and polymerization conditions on the preparation of low molecular weight lactic acid polymers. Macromolecules 1997;30(3):373–9.10.1021/ma960919wSearch in Google Scholar
10. Moon SI, Lee CW, Miyamoto M, Kimura Y. Melt polycondensation of L-lactic acid with Sn(II) catalysts activated by various proton acids, J Polym Sci Part A: Polym Chem 2000;38(9):1673–9.10.1002/(SICI)1099-0518(20000501)38:9<1673::AID-POLA33>3.0.CO;2-TSearch in Google Scholar
11. Kotliar AM. Interchange reactions involving condensation polymers. Macromol Rev Part D: J Polym Sci 1981;16(1): 367–95.10.1002/pol.1981.230160106Search in Google Scholar
12. Stanford MJ, Dove AP. Stereocontrolled ring opening polymerization of lactide. Chem Soc Rev 2010;39(2):486–94.10.1039/B815104KSearch in Google Scholar
13. Fang Q, Hanna MA. Rheological properties of amorphous and semicrystalline polylactic acid polymers. Ind Crops Prod 1999;10(1):47–53.10.1016/S0926-6690(99)00009-6Search in Google Scholar
14. Lunt J. Large scale production properties and commercial applications of polylactic acid. Polym Degrad Stab 1998;59(1):145–52.10.1016/S0141-3910(97)00148-1Search in Google Scholar
15. Yoo DK, Kim D, Lee DS. Synthesis of lactide from oligomeric PLA. Macromol Res 2006;14(5):510–6.10.1007/BF03218717Search in Google Scholar
16. Sinclair R. Lactide production from dehydration of aqueous lactic acid feed. Golden, CO: BioPak Technology; 1983.Search in Google Scholar
17. Sarasua JR, Prud’homme RE, Wisniewski M, Borgne AL, Spassky N. Crystallization and melting behavior of polylactides. Macromolecules 1998;31(12):3895–905.10.1021/ma971545pSearch in Google Scholar
18. Feng LD, Bian XC, Chen ZM, Chen XS. Determination of d-lactate content in polylactic acid using polarimetry. Polym Test 2010;29(7):771–6.10.1016/j.polymertesting.2010.06.005Search in Google Scholar
19. Zhang J, Sato H, Tsuji H, Noda I, Ozaki Y. Infrared spectroscopy study of poly(l-lactide)/poly(d-lactide) stereocomplex formation. Macromolecules 2005;38(5):1822–8.10.1021/ma047872wSearch in Google Scholar
20. Braun B, Dorgan JR, Dec SF. Infrared spectroscopy determination of lactide concentration in polylactide. Macromolecules 2006;39(26):9302–10.10.1021/ma061922aSearch in Google Scholar
21. Kopinke FD, Remmler M, Mackenzie K, Moder M, Wachsen O. Thermal decomposition of biodegradable polyesters II. Polym Degrad Stab 1996;53(3):329–42.10.1016/0141-3910(96)00102-4Search in Google Scholar
22. Fan Y, Nishida H, Shirai Y, Endo T. Racemization on thermal degradation of polylactide with calcium salt end structure. Polym Degrad Stab 2003;80(3):503–11.10.1016/S0141-3910(03)00033-8Search in Google Scholar
23. Khodabakhshi K, Gilbert M, Fathi S, Dickens P. Anionic polymerization of caprolactam at the small scale via DSC investigations. J Therm Anal Calorim 2014;115(1):383–91.10.1007/s10973-013-3344-4Search in Google Scholar
24. Noda M, Okuyama H. Thermal catalytic depolymerization of poly(l-lactic acid)oligomer into l,l-lactide. Chem Pharm Bull 1999;47(4):467–71.10.1248/cpb.47.467Search in Google Scholar
25. Feng LD, Bian XC, Chen ZM, Chen XS, Li G. Determination of d-lactide content on purified l-lactide using gas chromatography-high performance liquid chromatography. Polym Test 2011;30(8):876–80.10.1016/j.polymertesting.2011.07.007Search in Google Scholar
26. Xavier AMM. Study of lactic acid polycondensation and lactide production. Master’s thesis, Chemical Engineering Department, Universidade do Porto; 2010. p. 12.Search in Google Scholar
27. Tsukegi T, Motoyama T, Shirai Y, Nishida H, Endo T. Racemization behavior of l,l-lactide during heating. Polym Degrad Stab 2007;92(4):552–9.10.1016/j.polymdegradstab.2007.01.009Search in Google Scholar
28. Upare PP, Hwang YK, Chang JS, Hwang DW. Synthesis of lactide from alkyl lactate via a prepolymer route. Ind Eng Chem Res 2012;51(13):4837–42.10.1021/ie202714nSearch in Google Scholar
29. Feng LD, Chen X, Sun B, Bian XC, Chen ZM. Water-catalyzed racemization of lactide. Polym Degrad Stab 2011;96(10): 1745–50.10.1016/j.polymdegradstab.2011.07.024Search in Google Scholar
©2014 by De Gruyter
This article is distributed under the terms of the Creative Commons Attribution Non-Commercial License, which permits unrestricted non-commercial use, distribution, and reproduction in any medium, provided the original work is properly cited.
Articles in the same Issue
- Frontmatter
- In this Issue
- Editorial
- Editorial
- Full length articles
- Modulation of cell behaviors by electrochemically active polyelectrolyte multilayers
- Electrospun PMMA/AB nanofiber composites for hydrogen storage applications
- Cobalt and nickel nanoparticles fabricated p(NIPAM-co-MAA) microgels for catalytic applications
- Investigating the influence of temperature on electrospinning of polycaprolactone solutions
- Synthesis of two AMPS-based polymerizable room temperature ionic liquids and swelling difference between their co-polymeric gels with HEMA
- Manufacturing method of carbon and glass fabric composites with dispersed nanofibers using vacuum-assisted resin transfer molding
- Lactide synthesis optimization: investigation of the temperature, catalyst and pressure effects
- Influence of KMnO4 concentration and treatment time on PAN precursor and the resulting carbon nanofibers’ properties
- A study on obtaining nonwovens using polyhydroxyalkanoates and the melt-blown technique
Articles in the same Issue
- Frontmatter
- In this Issue
- Editorial
- Editorial
- Full length articles
- Modulation of cell behaviors by electrochemically active polyelectrolyte multilayers
- Electrospun PMMA/AB nanofiber composites for hydrogen storage applications
- Cobalt and nickel nanoparticles fabricated p(NIPAM-co-MAA) microgels for catalytic applications
- Investigating the influence of temperature on electrospinning of polycaprolactone solutions
- Synthesis of two AMPS-based polymerizable room temperature ionic liquids and swelling difference between their co-polymeric gels with HEMA
- Manufacturing method of carbon and glass fabric composites with dispersed nanofibers using vacuum-assisted resin transfer molding
- Lactide synthesis optimization: investigation of the temperature, catalyst and pressure effects
- Influence of KMnO4 concentration and treatment time on PAN precursor and the resulting carbon nanofibers’ properties
- A study on obtaining nonwovens using polyhydroxyalkanoates and the melt-blown technique