Dear Editor,
The discovery and subsequent understanding of genetically determined differences in drug metabolism capacity, especially where a population may be divided into two or more sub-groups (polymorphism), was one of the major advances to occur in pharmacology during the last half-century. Amidst the many biotransformation reactions available is that of sulfur oxygenation, most notably undertaken by isoforms of cytochromes P450 and the flavin-dependent monooxygenases, some of which are polymorphic. Another enzyme system that may effectuate sulfur oxygenation is phenylalanine monooxygenase. Seemingly capricious in nature and hence initially doubted, the underlying enzymology of this ‘sulfoxidation polymorphism’ has now been firmly established and the relevant data extensively documented [1, 2, plus references therein]. As far as the realm of drug metabolism was concerned it appeared to be of little clinical consequence as it was substrate limited to one therapeutic agent. Nevertheless, during an extensive and prolonged exploration, several aspects emerged, providing examples and highlighting diverse phenomena which undoubtedly have relevance to drug metabolism and other areas of pharmacology. These salient points are summarised below.
Drug efficacy: The employed probe drug, S-carboxymethyl-L-cysteine (SCMC), is a mucoactive agent administered clinically in relatively large doses as supportive therapy in respiratory disorders. However, not all patients respond favourably and this has led to fluctuating opinions as to its efficacy; in some patients it is of value whilst in others it is not. This controversy has been ongoing for decades. It has been proposed and generally accepted that the drug primarily acts as a free radical scavenger undergoing sacrificial oxidation at the sulfur moiety [3]. It is thus the administered sulfide, or sulfide-containing metabolites, that are the active principles whereas any other means of increasing the oxidation state of the sulfur offsets this activity and decreases its effectiveness. A patient with an efficient xenobiotic sulfoxidation capacity will convert a proportion of the dose to sulfoxide metabolites thereby removing some of the active drug. A patient who lacks such a sulfoxidation ability would contrariwise be exposed to a greater proportion of the administered dose in its initial active form and thereby reap clinical benefit from its administration. This underlying genotypic/phenotypic difference in sulfoxidation capacity explains the contradictory and conflicting observations regarding the clinical efficacy of SCMC. Phenotyping before administration could help to distinguish which patients would benefit from this mucoactive therapy. However, clinical practice is more pragmatic; it is recommended that if no benefit is observed following a month of therapy then administration of the compound should be halted.
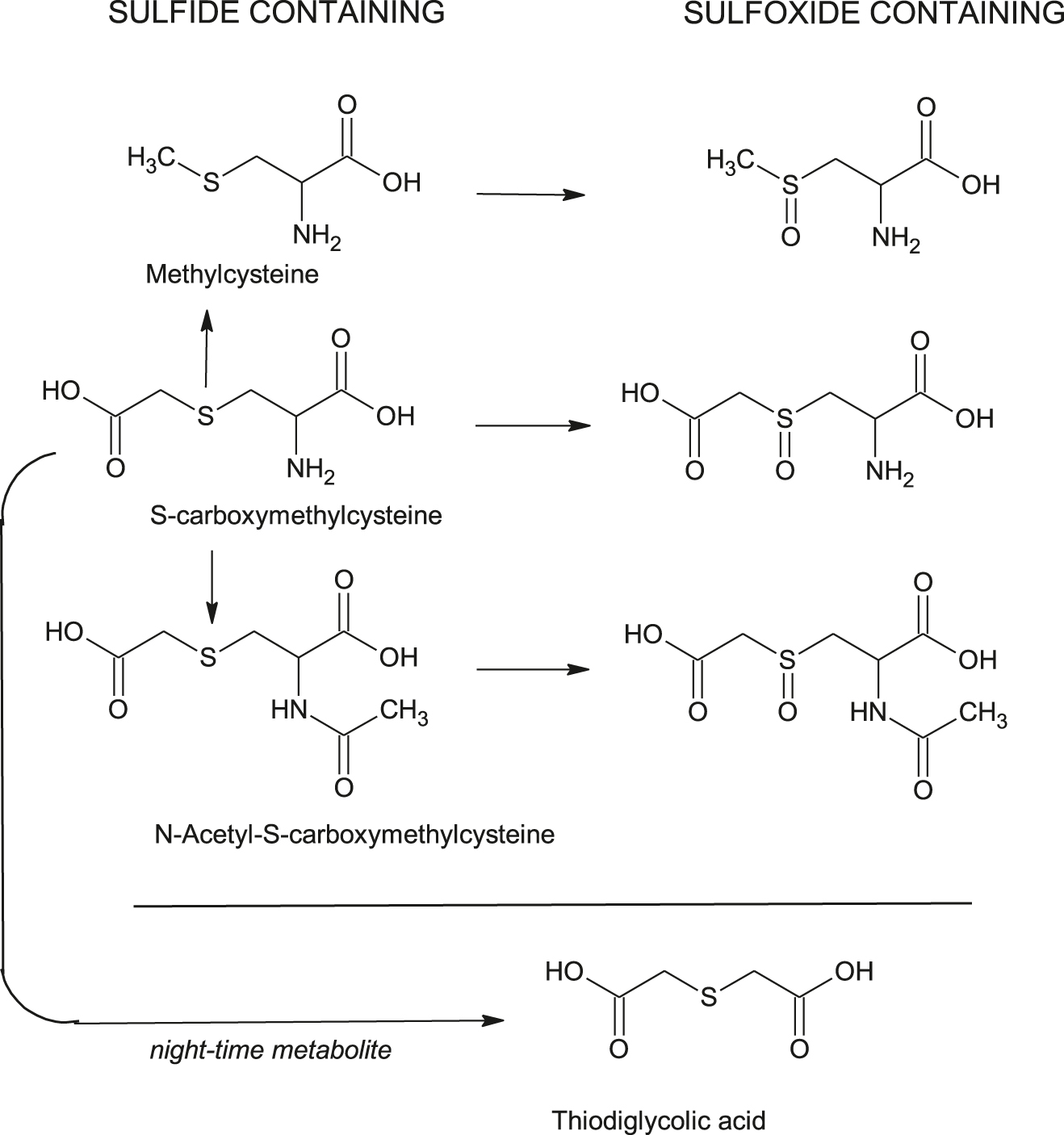
Diurnal variation in metabolism: Within the same individual, metabolic profiles obtained after morning dosing of SCMC differed widely from those obtained following night-time drug administration. In particular, sulfur oxygenation of this compound appeared to be minimal during the night-time hours [4] (Figure 1). In many instances diurnal variation may have little consequence; usually any chemical alteration serves to remove the active drug. However, when one deactivating process is limited (sulfoxidation in this case) more of the active agent (the sulfide) remains to exert its desired clinical effect. The lack of this particular sulfoxidation activity during night-time may advocate a better therapeutic benefit for night-time dosing. This is yet another factor that may influence the outcome when evaluating the efficacy of a medication. Conversely, the formation of a differing array of metabolic products following daytime and night-time drug dosing also may have unforeseen consequences relating to drug toxicity. Thiodiglycolic acid, a metabolite produced in abundance after the night-time ingestion of SCMC, has been proposed as the causative agent in the development of the rare but disturbing fixed drug eruptions observed during the use of this medication. Controlled investigation has shown that administration to a susceptible patient during the daytime produced no cutaneous events but night-time intake by the same patient induced fixed drug eruptions [5]. The timing of drug administration to hospital patients is an issue that has attracted attention in recent times and an interest in chronobiology as related to drug therapy is being presently resurrected by investigators [6].

Urinary metabolites produced following the daytime administration of S-carboxymethyl-L-cysteine indicating the major S-oxide products obtained. The enzyme, phenylalanine monooxygenase, has been shown to be capable of undertaking the sulfur oxygenation of all of these compounds. Thiodiglycolic acid (thiodiacetic acid) is a metabolite produced after night-time dosing. This compound is not a substrate for phenylalanine monooxygenase activity.
Endobiotic-xenobiotic enzymes: The identification of phenylalanine monooxygenase as the hepatic cytosolic enzyme responsible for undertaking the sulfur oxygenation of SCMC provided another example of an enzyme previously regarded as functioning only within intermediary metabolism as being able to undertake a secondary role. This enzyme ‘moonlighting’ (‘Janus hypothesis’) has been shown previously and the list of enzymes involved is growing, suggesting that the formerly perceived (and accepted) schism between enzymes of intermediary metabolism and those undertaking xenobiotic biotransformation may be somewhat artificial, although this notion has served well for many years. This phenomenon appears to occur when a xenobiotic substrate, or part of the substrate, resembles the three-dimensional structure of an endogenous compound, sometimes difficult to envisage when looking at two-dimensional formulae. In these cases it is thus not unreasonable to expect that such molecules will engage with enzymes of intermediary metabolism as they journey through the body.
Interestingly, when phenylalanine monooxygenase is acted upon by reactive (oxygen, nitrogen) species that interfere with its function by altering parts of its structure, its substrate specificity is widened and its ability to undertake metabolism of alternative substrates is enhanced [7]. Could this be an inherent defencive mechanism, whereby toxic species inadvertently release enzymes previously constrained by a finely honed function, thereby enabling them to metabolise and hopefully deactivate invading chemicals?
Indication of disease association: The incidence of individuals showing a lack or a diminished production of urinary sulfoxide metabolites following a morning oral dose of SCMC was significantly increased amongst groups of patients displaying certain neurological diseases when compared to relatively healthy populations. It was unclear if this phenomenon was owing to a contributory genetic constitution rendering these patients more susceptible or if it could have arisen as a consequence of the disease itself, but detailed studies hinted at the former explanation. In such enquiries it is accepted that patient cohorts will never be large enough to offset criticism, but nonetheless they provide an indication of potential underlying biochemical associations and thereby signal a direction for further comprehensive investigations.
The incidence of ‘poor sulfoxidisers’ in control populations has been quoted as 3.9% whereas that in a cohort of Parkinson’s disease subjects was 38.9% and those with amylotrophic lateral sclerosis showed 39.9% [8, 9]. It is proposed to exploit this phenomen during treatment of Parkinson’s disease [10]. Certain allelic variants of phenylalanine monooxygenase, although performing admirably in their classical role of converting phenylalanine to tyrosine (a lack of which leads to phenylketonuria), may be a facet in the permitted progression of neurodegenerative disease once initiated by other causative factors. Undoubtedly, a stark deficiency in phenylalanine monooxygenase function is associated with phenylketonuria and the widespread research undertaken around this subject may have inadvertently masked the more subtle roles that this enzyme may play within the neurochemical arena.
Afterword: Journeying through the four decades or more of investigation into this seemingly academic phenomenon has led to the emergence of several salient points, as teased out and outlined above, which are pertinent to many other avenues of xenobiochemistry and related scientific endeavour. Such observations must not be allowed to evanesce but be highlighted for integration into the fabric of scientific understanding. It is hoped that this brief memorandum may go some way to facilitate this.
-
Research funding: None declared.
-
Author contributions: All authors have accepted responsibility for the entire content of this manuscript and approved its submission.
-
Competing interests: Authors state no conflict of interest.
-
Informed consent: Not applicable.
-
Ethical approval: Not applicable.
References
1. Mitchell, SC, Steventon, GB. S-Carboxymethyl-L-cysteine. Drug Metab Rev 2012;44:129–47. https://doi.org/10.3109/03602532.2011.631015.Search in Google Scholar PubMed
2. Mitchell, SC, Steventon, GB. Phenylalanine 4-monooxygenase: the “sulfoxidation polymorphism”. Xenobiotica 2020;50:51–63. https://doi.org/10.1080/00498254.2019.1636419.Search in Google Scholar PubMed
3. Brandolini, L, Allegretti, M, Berdini, V, Cervellera, MN, Mascagni, P, Rinaldi, M, et al.. Carbocysteine lysine salt monohydrate (SCMC-LYS) is a selective scavenger of reactive oxygen intermediates (ROIs). Eur Cytokine Netw 2003;14:20–6.Search in Google Scholar
4. Steventon, GB. Diurnal variation in the metabolism of S-carboxymethyl-L-cysteine in humans. Drug Metab Dispos 1999;27:1092–7.10.1042/bst027a121cSearch in Google Scholar
5. Fukuda, H, Takahashi, M. S-Carboxymethyl-L-cysteine-induced fixed drug eruption. Acta Derm Venereol 2019;99:689–90. https://doi.org/10.2340/00015555-3193.Search in Google Scholar PubMed
6. Lu, D, Zhao, M, Chen, M, Wu, B. Circadian clock-controlled drug metabolism; Implications for chronotherapeutics. Drug Metab Dispos 2020;48:395–406. https://doi.org/10.1124/dmd.120.090472.Search in Google Scholar PubMed
7. Antypa, A, Rebello, C, Biernacka, A, Krajewski, K, Cassam, J, Mitchell, SC, et al.. Post-translational activation of human phenylalanine 4-monooxygenase from an endobiotic to a xenobiotic enzyme by reactive oxygen and reactive nitrogen species. Xenobiotica 2010;40:319–30. https://doi.org/10.3109/00498251003675207.Search in Google Scholar PubMed
8. Steventon, GB, Waring, RH, Williams, AC. An investigation into the inter-relationships of sulphur xeno-biotransformation pathways in Parkinson’s and motor neurone disease. Drug Metabol Drug Interact 2003;17:223–40.10.1515/DMDI.2003.19.4.223Search in Google Scholar PubMed
9. Steventon, GB, Mitchell, SC. Phenylalanine hydroxylase: a biomarker of disease susceptibility in Parkinson’s disease and Amylotrophic lateral sclerosis. Med Hypotheses 2018;118:29–33. https://doi.org/10.1016/j.mehy.2018.06.018.Search in Google Scholar PubMed
10. Catanesi, M, Brandolini, L, d’Angelo, M, Tupone, MG, Benedetti, E, Alfonsetti, M, et al.. S-Carboxymethyl cysteine protects against oxidative stress and mitochondrial impairement in a Parkinson’s disease in vitro model. Biomedicines 2021;9:1467. https://doi.org/10.3390/biomedicines9101467.Search in Google Scholar PubMed PubMed Central
© 2022 the author(s), published by De Gruyter, Berlin/Boston
This work is licensed under the Creative Commons Attribution 4.0 International License.
Articles in the same Issue
- Frontmatter
- Review
- Impact of environmental toxicants exposure on gut-brain axis in Parkinson disease
- Original Articles
- The effect of nonadherence on phenobarbital concentrations and recommendations on the replacement dose using Monte Carlo simulation
- SLCO1B1 c.521T>C gene polymorphism decreases hypoglycemia risk in sulfonylurea-treated type 2 diabetic patients
- Association of VKORC1 and CYP2C9 single-nucleotide polymorphisms with warfarin dose adjustment in Saudi patients
- Effect of CYP2C9, PTGS-1 and PTGS-2 gene polymorphisms on the efficiency and safety of postoperative analgesia with ketoprofen
- No association between LDL receptor and CETP genetic variants and atorvastatin response in Jordanian hyperlipidemic patients
- Type 2 diabetes: an exploratory genetic association analysis of selected metabolizing enzymes and transporters and effects on cardiovascular and renal biomarkers
- Potential factors of Helicobacter pylori resistance to clarithromycin
- Letter to the Editor
- Phenylalanine monooxygenase and the ‘sulfoxidation polymorphism’; the salient points
Articles in the same Issue
- Frontmatter
- Review
- Impact of environmental toxicants exposure on gut-brain axis in Parkinson disease
- Original Articles
- The effect of nonadherence on phenobarbital concentrations and recommendations on the replacement dose using Monte Carlo simulation
- SLCO1B1 c.521T>C gene polymorphism decreases hypoglycemia risk in sulfonylurea-treated type 2 diabetic patients
- Association of VKORC1 and CYP2C9 single-nucleotide polymorphisms with warfarin dose adjustment in Saudi patients
- Effect of CYP2C9, PTGS-1 and PTGS-2 gene polymorphisms on the efficiency and safety of postoperative analgesia with ketoprofen
- No association between LDL receptor and CETP genetic variants and atorvastatin response in Jordanian hyperlipidemic patients
- Type 2 diabetes: an exploratory genetic association analysis of selected metabolizing enzymes and transporters and effects on cardiovascular and renal biomarkers
- Potential factors of Helicobacter pylori resistance to clarithromycin
- Letter to the Editor
- Phenylalanine monooxygenase and the ‘sulfoxidation polymorphism’; the salient points