Home Mathematics On bivariate Archimedean copulas with fractal support
Article Open Access

On bivariate Archimedean copulas with fractal support

  • Juan Fernández Sánchez and Wolfgang Trutschnig EMAIL logo
Published/Copyright: May 16, 2025

Abstract

Due to their simple analytic form (bivariate) Archimedean copulas are usually viewed as very smooth and handy objects, which should distribute mass in a fairly regular and certainly not in a pathological way. Building upon recently established results on the Archimedean family and working with iterated function systems with probabilities, we falsify this natural conjecture and derive the surprising result that for every s [1, 2] there exists some bivariate Archimedean copula A s fulfilling that the Hausdorff dimension of the support of A s is exactly s .

MSC 2010: 62H20; 60E05; 28A80; 26A30

1 Introduction

Considering Lipschitz continuity and the fact that bivariate copulas are distributions functions (restricted to [0, 1]2) of random vectors ( X , Y ) with X , Y being uniformly distributed on [ 0 , 1 ] , it seems somehow natural to conjecture that copulas distribute their mass in a fairly regular way. Using iterated function systems (IFSs) in 2005, Fredricks et al. [15] falsified this very conjecture by constructing bivariate copulas with fractal support. In fact, the authors showed the existence of families ( A r ) r ( 0 , 1 2 ) of bivariate copulas fulfilling the following property: for every s (1, 2), there exists some r s ( 0 , 1 2 ) such that the Hausdorff dimension of the support Z r s of A r s is exactly s ; in other words, the smallest closed subset of [0, 1]2 with full mass 1 has Hausdorff dimension s .

Since then various papers on copulas with fractal support have appeared in the literature, each of them underlining the fact that analytically nice objects (Lipschitz continuous, common marginals, etc.) like copulas may exhibit surprisingly irregular/pathological analytic behavior: In [28], we showed that the result by Fredricks et al. also holds for the subclass of the so-called idempotent copulas (idempotent with respect to the star-product going back to Darsow et al. in [7] and corresponding to the standard composition of transition probabilities well known from the Markov chain setting) and generalized the IFS construction to arbitrary dimensions d 3 . Families ( A r ) r ( 0 , 1 2 ) of copulas with fractal support were also studied by de Amo et al. in [1,2], moments of these copulas were calculated in [3]. Some exotic properties of homeomorphisms between fractal supports of copulas were studied in [4], an alternative proof for the result by Durante et al. via the so-called spatially homogeneous copulas was provided in [10], and Kendall’s τ of mutually completely dependent copulas with self-similar support was determined in [14].

While each of the afore-mentioned contributions illustrates that the family C of all bivariate copulas contains analytically highly irregular elements, one might still conjecture that standard, commonly used subclasses like the bivariate extreme-value and the bivariate Archimedean family do not allow for such pathological behavior. The results given in [23,29] verify this conjecture in the extreme-value setting – in this case, the support of the copula has integer Hausdorff dimension 1 or 2 and coincides with the area between the graphs of two nondecreasing functions. As we will show in this note, however, in the Archimedean setting, it is indeed possible to establish a result analogous to the one by Fredrick et al. In fact, for every fixed s [1, 2], we will construct an Archimedean copula A s whose support has Hausdorff dimension s , i.e., dim H ( supp ( A s ) ) = s holds. Contrary to the afore mentioned papers, we do not work with the IFS approach directly in the class C of bivariate copulas but use it to construct Archimedean generators φ of sufficient irregularity, which is then shown to propagate to the corresponding Archimedean copula A φ . As a nice by-product of the studied construction, we derive an analogous result for the (measure corresponding to the) Kendall distribution function F A φ Kendall , i.e., we show that for every r [ 0 , 1 ] , there exists some copula A r whose Kendall distribution function has support with Hausdorff dimension r .

The remainder of this note is organized as follows: Section 2 gathers notation and preliminaries, Section 3 presents some auxiliary results on Cantor functions needed in the sequel. All main results are presented in Section 4. Several graphics and an example corresponding to the classical middle third Cantor set illustrate the chosen procedures and underlying ideas.

2 Notation and preliminaries

For every metric space ( Ω , ρ ) , the Borel σ -field on Ω will be denoted by ( Ω ) , the family of all probability measures on ( Ω ) by P ( Ω ) . The support of a measure ϑ P ( Ω ) , defined as the set of all points x Ω such that every open ball B ( x , r ) of radius r > 0 around x fulfills ϑ ( B ( x , r ) ) > 0 , will be denoted by supp ( ϑ ) . It is well-known [26] that supp ( ϑ ) is closed and that supp ( ϑ ) is the complement of the union of all open sets U Ω fulfilling ϑ ( U ) = 0 .

As already mentioned, C will denote the family of all two-dimensional copulas, i.e., the family of distribution functions (restricted to [0, 1]2) of random vectors ( X , Y ) on a probability space ( Ω , A , P ) , fulfilling that the marginal distributions P X , P Y coincide with the Lebesgue measure λ on [ 0 , 1 ] . Letting d denote the uniform metric on C , it is well known that ( C , d ) is a compact metric space. M will denote the minimum copula, Π the product copula, and W the lower Fréchet-Hoeffding bound. For every C C , the corresponding doubly stochastic measure will be denoted by μ C and P C P ( [ 0 , 1 ] 2 ) will denote the family of all doubly stochastic measures. By definition, the support of a copula C is the support of its corresponding doubly stochastic measure μ C . Considering compactness of [0, 1]2, the support of every copula is (as closed subset of a compact set) compact. For general background on copulas and doubly stochastic measure, we refer to the textbooks [9,24].

A Markov kernel from R to ( R ) is a mapping K : R × ( R ) [ 0 , 1 ] such that x K ( x , B ) is measurable for every fixed B ( R ) and B K ( x , B ) is a probability measure for every fixed x R . Given real-valued random variables X , Y on a joint probability space ( Ω , A , P ) , then a Markov kernel K : R × ( R ) [ 0 , 1 ] is called a regular conditional distribution of Y given X if for every B ( R )

(1) K ( X ( ω ) , B ) = E ( 1 B Y X ) ( ω )

holds for P -almost every ω Ω . It is well known that for each pair ( X , Y ) of real-valued random variables a regular conditional distribution K ( , ) of Y given X exists, that K ( x , ) is unique P X -almost everywhere (i.e., unique for P X – almost all x R ) and that K ( , ) only depends on the joint distribution P ( X , Y ) of ( X , Y ) . Hence, given C C , we will denote (a version of) the regular conditional distribution of Y given X by K C ( , ) , view it directly as a function mapping [ 0 , 1 ] × ( [ 0 , 1 ] ) [ 0 , 1 ] and refer to K C ( , ) simply as regular conditional distribution of C or as Markov kernel of C. Note that for every C C , its Markov kernel K C ( , ) , and every Borel set G ( [ 0 , 1 ] 2 ) , we have ( G x { y [ 0 , 1 ] : ( x , y ) G } denoting the x -section of G for every x [ 0 , 1 ] )

(2) [ 0 , 1 ] K C ( x , G x ) d λ ( x ) = μ C ( G ) .

As a special case, the latter yields that

(3) [ 0 , 1 ] K C ( x , F ) d λ ( x ) = λ ( F )

holds for every F ( [ 0 , 1 ] ) . On the other hand, every Markov kernel K : [ 0 , 1 ] × ( [ 0 , 1 ] ) [ 0 , 1 ] fulfilling equation (3) induces a unique element μ P C via equation (2). For every C C and x [ 0 , 1 ] , the function y G x C ( y ) K C ( x , [ 0 , y ] ) will be called conditional distribution function of C at x. Moreover, considering that K C ( x , ) is a probability measure for every x [ 0 , 1 ] , the afore-mentioned definition of the support of a measure directly carries over to K C ( x , ) . For more details and properties of conditional expectation, regular conditional distributions, Markov kernels, and disintegration, we refer to the excellent textbooks [17,20].

Archimedean copulas can be expressed via generators φ : [ 0 , 1 ] [ 0 , ] (see, e.g., [13,24]) or, equivalently, via generators ψ : [ 0 , 1 ] [ 0 , ) (see, e.g., [19,22]). Here, we use the former approach since it facilitates our construction. Following [24], a function φ : [ 0 , 1 ] [ 0 , ] is called generator if φ is convex on ( 0 , 1 ] , continuous and strictly decreasing on [ 0 , 1 ] and fulfills φ ( 1 ) = 0 . A generator φ is called strict if φ ( 0 ) = holds; in case of φ ( 0 ) < , we will refer to φ as nonstrict. For every generator φ , we will let ψ : [ 0 , ) [ 0 , 1 ] denote its pseudo-inverse, defined by

ψ ( t ) = φ 1 ( t ) if t [ 0 , φ ( 0 ) ) 0 if t φ ( 0 ) .

To simplify notation in what follows, we will work with the convention ψ ( ) 0 . If φ is strict, then obviously ψ coincides with the standard inverse. Every (strict or nonstrict) generator φ induces a symmetric copula A φ via

A φ ( x , y ) = ψ ( φ ( x ) + φ ( y ) ) , x , y [ 0 , 1 ] ,

to which we will refer as the (strict or nonstrict) Archimedean copula induced by φ . The family of all bivariate Archimedean copulas will be denoted by C a r . Since for our construction of Archimedean copulas with fractal support we will only work with nonstrict generators, in the sequel, we only focus on the nonstrict case without explicit mention and refer to [19,22]) for the general setting.

In what follows, we will let [ A φ ] t denote the lower t -cut of A φ , i.e.,

[ A φ ] t = { ( x , y ) [ 0 , 1 ] 2 : A φ ( x , y ) t } .

According to [24] for every Archimedean copula A φ , the level set L t { ( x , y ) [ 0 , 1 ] 2 : A φ ( x , y ) = t } is a convex curve for every t ( 0 , 1 ] . For t = 0 , the set L 0 has positive area. Defining the function f t : [ t , 1 ] [ 0 , 1 ] for t ( 0 , 1 ] by

(4) f t ( x ) ψ ( φ ( t ) φ ( x ) )

have that f t is continuous and that

(5) Γ ( f t ) { ( x , f t ( x ) ) : x [ t , 1 ] } = L t

for every t ( 0 , 1 ] , i.e., the graph Γ ( f t ) of f t coincides with the level curve L t . For t = 0 , we define f 0 analogous to equation (4) for every x > 0 and set f 0 ( 0 ) = 1 . Then L 0 = { ( x , y ) [ 0 , 1 ] 2 : y f 0 ( x ) } holds, i.e., the graph of f 0 is the upper bound of L 0 . As a direct consequence, for arbitrary 0 s < t 1 and every x [ t , 1 ] we have f t ( x ) > f s ( x ) . Moreover, it is straightforward to verify that for every A φ C a r and every x ( 0 , 1 ] , the function y A φ ( x , y ) is strictly increasing on [ f 0 ( x ) , 1 ] .

Before providing an explicit expression of the Markov kernel of a general (nonstrict) Archimedean copula, we first recall some analytic properties of generators that will be used in the sequel: For every generator φ : [ 0 , 1 ] [ 0 , ] , we will let D + φ ( x ) ( D φ ( x ) ) denote the right-hand (left-hand) derivative of φ at x ( 0 , 1 ) . Convexity of φ implies that D + φ ( x ) = D φ ( x ) holds for all but at most countably many x ( 0 , 1 ) , i.e., φ is differentiable outside a countable subset of (0, 1), and that D + φ is nondecreasing and right-continuous while D φ is nondecreasing and left continuous (see [18,25]). Setting D + φ ( 1 ) = 0 allows to view D + φ as nondecreasing and right-continuous function on the full unit interval [ 0 , 1 ] . In addition, (again see [18,25]), we have D φ ( x ) = D + φ ( x ) for every x ( 0 , 1 ) .

To simplify notation, for every a R , expressions of the from a will be interpreted as zero in what follows. According to [13], for nonstrict φ the mapping K A φ ( , ) , defined by

(6) K A φ ( x , [ 0 , y ] ) 1 if x { 0 , 1 } D + φ ( x ) ( D + φ ) ( A φ ( x , y ) ) if x ( 0 , 1 ) and y f 0 ( x ) 0 if x ( 0 , 1 ) and y < f 0 ( x )

is a Markov kernel of A φ . For every generator φ [13,24], the following identity holds for the mass of the level sets L t = Γ ( f t ) :

(7) μ A φ ( L t ) = φ ( t ) D + φ ( t ) + φ ( t ) D + φ ( t ) = φ ( t ) D + φ ( t ) + φ ( t ) D φ ( t ) , t ( 0 , 1 ) .

Moreover we have μ A φ ( L 0 ) = φ ( 0 ) D + φ ( 0 ) , so in the latter case L 0 may or may not have mass depending on whether D + φ ( 0 ) is unbounded or not. Notice that formula (7) offers a nice geometric interpretation (see [13, Figure 1]): μ A φ ( L t ) coincides with the length of the line segment on the x -axis generated by left- and right-hand tangents of φ at t .

As shown in [13,24], the Kendall distribution function F A φ Kendall of a nonstrict Archimedean copula A φ is given by

(8) F A φ Kendall ( t ) = μ A φ ( [ A φ ] t ) = φ ( 0 ) D + φ ( 0 ) if t = 0 t φ ( t ) D + φ ( t ) if t ( 0 , 1 ] ,

We will directly use these expressions in the next sections in order to show that the probability measure κ A φ corresponding to the Kendall distribution function, i.e., the measure fulfilling κ A φ ( ( a , b ] ) = F A φ Kendall ( b ) F A φ Kendall ( a ) for all intervals ( a , b ] [ 0 , 1 ] , has fractal support.

Remark 2.1

Our construction of Archimedean copulas with fractal support in Section 4 is based on nonstrict generators, which are continuously differentiable, so the (two-sided) derivative φ exists on (0, 1), is negative, and coincides with D + φ on (0, 1). The reason for considering the general case of not necessarily differentiable φ in the previous paragraphs lies in the fact that our approach can be easily modified to construct other Archimedean copulas with fractal support (we could, e.g., construct other examples by gluing together a part of φ r with a linear segment) and for those modifications the derivative might not exist everywhere in (0, 1).

Keeping notation simple, for (continuously) differentiable generators φ , we will simple write φ for the derivative and for the boundary points set φ ( 0 ) D + φ ( 0 ) as well as φ ( 1 ) = 0 . For such φ according to equation (7), we have μ A φ ( L t ) = 0 for every t ( 0 , 1 ) , only L 0 may carry mass. In the same manner, the Kendall distribution function F A φ Kendall , given by

(9) F A φ Kendall ( t ) = φ ( 0 ) φ ( 0 ) if t = 0 t φ ( t ) φ ( t ) if t ( 0 , 1 ] ,

is continuous on ( 0 , 1 ] .

As a last key component, we recall the definition of an IFS and some main results about IFSs [5,11,12,21]. Suppose for the following that ( Ω , ρ ) is a compact metric space and let δ H denote the Hausdorff metric on the family K ( Ω ) of all nonempty compact subsets of Ω . A mapping w : Ω Ω is called contraction if there exists a constant L < 1 such that ρ ( w ( x ) , w ( y ) ) L ρ ( x , y ) holds for all x , y Ω . A family ( w l ) l = 1 N of N 2 contractions on Ω is called IFS and will be denoted by { Ω , ( w l ) l = 1 N } . Every IFS induces the so-called Hutchinson operator : K ( Ω ) K ( Ω ) , defined by

(10) ( Z ) l = 1 N w l ( Z ) .

It can be shown [5,12,21] that is a contraction on the compact metric space ( K ( Ω ) , δ H ) , so Banach’s fixed point theorem implies the existence of a unique, globally attractive fixed point Z K ( Ω ) of . Hence, for every R K ( Ω ) , we have

lim n δ H ( n ( R ) , Z ) = 0 .

The attractor Z will be called self-similar if all contractions in the IFS are similarities, i.e., if for every w l , there exists some constant L l ( 0 , 1 ) such that ρ ( w l ( x ) , w l ( y ) ) = ρ ( x , y ) holds for all x , y Ω . An IFS { Ω , ( w l ) l = 1 N } is called totally disconnected (or disjoint) if the sets w 1 ( Z ) , w 2 ( Z ) , , w N ( Z ) are pairwise disjoint.

An IFS together with a vector ( p l ) l = 1 N ( 0 , 1 ] N fulfilling l = 1 N p l = 1 is called iterated function system with probabilities (IFSP) and will be denoted by { Ω , ( w l ) l = 1 N , ( p l ) l = 1 N } . In addition to the operator every IFSP also induces a (Markov) operator V : P ( Ω ) P ( Ω ) , defined by ( ϑ w i denoting the push-forward of ϑ via w i )

(11) V ( μ ) i = 1 N p i ϑ w i .

The so-called Hutchison metric h (sometimes also called Kantorovich or Wasserstein metric) on P ( Ω ) is defined by

(12) h ( ϑ , ν ) sup Ω f d ϑ Ω f d ν : f Lip 1 ( Ω , R ) ,

where Lip 1 ( Ω , R ) is the class of all nonexpanding functions f : Ω R , i.e., functions fulfilling f ( x ) f ( y ) ρ ( x , y ) for all x , y Ω . It is not difficult to show that V is a contraction on ( P ( Ω ) , h ) , that h is a metrization of the topology of weak convergence on P ( Ω ) and that ( P ( Ω ) , h ) is a compact metric space [5,8]. Consequently, again by Banach’s fixed point theorem, it follows that there is a unique, globally attractive fixed point ϑ P ( Ω ) of V , i.e., for every ν P ( Ω ) , we have

lim n h ( V n ( ν ) , ϑ ) = 0 .

The fixed point ϑ will be called invariant measure. It is well known that the support supp ( ϑ ) of ϑ is exactly the attractor Z [5,11,12,21]. The measure ϑ will be called self-similar if Z is self-similar, i.e., if all contractions in the IFSP are similarities.

Attractors of IFSs are strongly interrelated with symbolical dynamical systems via the so-called address map [5,21]: For every N N , the code space of N symbols will be denoted by Σ N , i.e.,

Σ N { 1 , 2 , , N } N = { ( k i ) i N : 1 k i N i N } .

To simplify notation in what follows, we will write k = ( k 1 , k 2 , ) for element of Σ N . Moreover, the (left-) shift operator on Σ N will be denoted by σ , i.e., σ ( ( k 1 , k 2 , ) ) = ( k 2 , k 3 , ) . Defining a metric m on Σ N by setting

m ( k , l ) 0 if k = l 2 1 min { i : k i l i } if k l ,

it is straightforward to verify that ( Σ N , m ) is a compact ultrametric space and that m is a metrization of the product topology.

Suppose now that { Ω , ( w l ) l = 1 N } is an IFS with attractor Z , fix an arbitrary x Ω and define the address map G : Σ N Ω by

(13) G ( k ) lim n w k 1 w k 2 w k n ( x ) ,

then [21] G ( k ) is independent of x , G : Σ N Ω is Lipschitz continuous and G ( Σ N ) = Z . Furthermore, G is injective (and hence a homeomorphism) if, and only if the IFS is totally disconnected. Given z Z every element of the preimage G 1 ( { z } ) will be called address of z . Considering a IFSP { Ω , ( w l ) l = 1 N , ( p l ) l = 1 N } with attractor Z and invariant measure μ , we can further define a probability measure P on ( Σ N ) by setting

(14) P ( { k Σ N : k 1 = i 1 , k 2 = i 2 , , k m = i m } ) = j = 1 m p i j

and extending in the standard way to full ( Σ N ) . According to [21], μ is the push-forward of P via the address map, i.e., P G ( B ) = P ( G 1 ( B ) ) = μ ( B ) holds for each B ( Z ) .

3 Auxiliary results on Cantor functions

Since for the construction of Archimedean copulas with fractal support, we will work with Cantor functions, we recall their construction via IFSs (only consisting of two functions) and then derive some properties needed in the sequel. For every r ( 0 , 1 2 ) , let the similarities w 1 r , w 2 r : [ 0 , 1 ] [ 0 , 1 ] be defined by

(15) w 1 r ( x ) = r x , w 2 r ( x ) = 1 r x ,

set p 1 = p 2 = 1 2 , consider the totally disconnected IFSP { [ 0 , 1 ] , ( w l r ) l = 1 2 , ( p l ) l = 1 2 } and denote the corresponding Hutchinson and Markov operator by r and V r , respectively. As mentioned earlier, both r and V r have unique fixed points Z r K ( [ 0 , 1 ] ) and ϑ r P ( [ 0 , 1 ] ) , respectively, which are linked via

supp ( ϑ r ) = Z r .

Obviously Z r and ϑ r are self-similar, so [5,12] the Hausdorff dimension dim H ( Z r ) of Z r is the unique solution s of the equation 2 r s = 1 , i.e.,

(16) dim H ( Z r ) = log ( 2 ) log ( r ) ( 0 , 1 )

holds. Defining ι : ( 0 , 1 2 ) ( 0 , 1 ) by ι ( r ) = log ( 2 ) log ( r ) , obviously ι is a bijection. Considering that the IFS { [ 0 , 1 ] , ( w l r ) l = 1 2 } is totally disconnected, the address map G , defined according to equation (13), is a homeomorphism. Hence, using the fact that the product measure P on Σ 2 has no atoms, it follows that the invariant measures ϑ r does not have any point masses. Letting G r denote the distribution function (restricted to [ 0 , 1 ] ) corresponding to ϑ r shows that G r : [ 0 , 1 ] [ 0 , 1 ] is continuous. The construction of Z r implies that [ 0 , 1 ] \ Z r can be expressed as follows:

[ 0 , 1 ] \ Z r = i = 1 J i ,

with J 1 , J 2 , denoting pairwise disjoint, nondegenerated open intervals, given by

(17) J 1 = ( r , 1 r ) , J 2 = w 1 r ( J 1 ) = ( r 2 , r ( 1 r ) ) , J 3 = w 2 r ( J 1 ) = ( 1 r ( 1 r ) , 1 r 2 ) , J 4 = w 1 r w 1 r ( J 1 ) = ( r 3 , r 2 ( 1 r ) ) ,

Note that by using the Hutchinson operator, we obviously have

i = 1 J i = i = 1 r i ( ( r , 1 r ) ) .

Considering that the IFSP construction of ϑ r implies that G r is constant on each J i , it follows immediately that G r is a singular distribution function, i.e., G r is a continuous distribution function fulfilling that the derivative ( G r ) is identical to zero λ -almost everywhere in [ 0 , 1 ] . Moreover, the property supp ( ϑ ) = Z r implies that for every x [ 0 , 1 ] , the following equivalence holds (extend G r to R by setting G ( x ) = 0 for x < 0 and G ( x ) = 1 for x > 0 to assure that all expressions are well defined):

(18) x Z r G r ( x + Δ ) G r ( x Δ ) > 0 for every Δ > 0 .

For confirming that the function φ r considered in the next section is indeed an Archimedean generator, we need the property

(19) [ 0 , 1 ] G r ( x ) d λ ( x ) = 1 2 ,

which either follows geometrically by using symmetry (the endo- and the hypergraph of G r have the same area) or, alternatively, as follows: the measure ϑ r obviously is symmetric in the sense that ( ϑ r ) 1 i d = ϑ r holds, whereby ( ϑ r ) 1 i d is the push-forward of ϑ via the transformation ( 1 i d ) : [ 0 , 1 ] [ 0 , 1 ] with i d denoting the identity on [ 0 , 1 ] . In fact, for every measure ϑ P ( [ 0 , 1 ] ) , the measure V r ( ϑ ) has this property. Using change of coordinates shows

[ 0 , 1 ] t d ϑ r ( t ) = [ 0 , 1 ] t d ( ϑ r ) 1 i d ( t ) = [ 0 , 1 ] ( 1 t ) d ϑ r ( t ) = 1 [ 0 , 1 ] t d ϑ r ( t ) ,

implying [ 0 , 1 ] t d ϑ r ( t ) = 1 2 . Finally, by using the fact that for nonnegative, integrable random variables X with distribution function F , we have E ( X ) = [ 0 , ) ( 1 F ( t ) ) d λ ( t ) yields equation (19).

Example 3.1

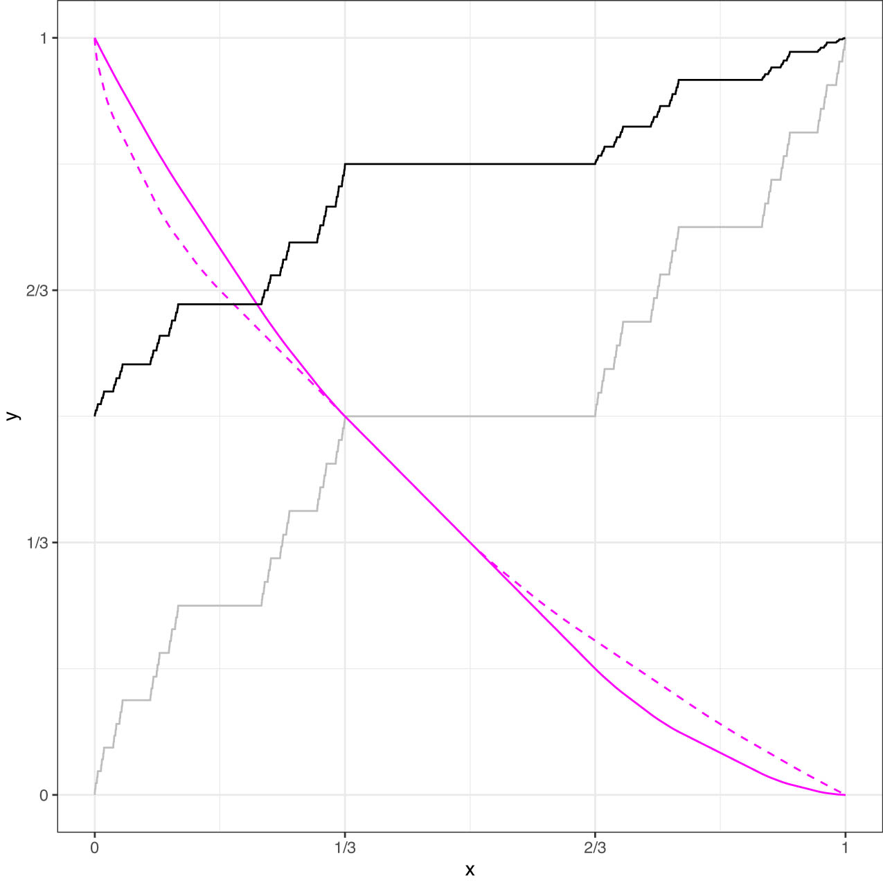
For the case r 0 = 1 3 , the fixed point Z r 0 is the classical (middle third) Cantor set [12] with Hausdorff dimension dim H ( Z r 0 ) = log ( 2 ) log ( 3 ) . The distribution function G r 0 is the classical Cantor function (also known as devil’s staircase). Figure 1 depicts an approximation of G r 0 – in fact, the gray line is the graph of the distribution function corresponding to the probability measure V r 0 n ( λ ) for n = 8 .

Figure 1 
               Approximation of the classical (middle third) Cantor function 
                     
                        
                        
                           
                              
                                 G
                              
                              
                                 
                                    
                                       r
                                    
                                    
                                       0
                                    
                                 
                              
                              
                                 ⋆
                              
                           
                        
                        {G}_{{r}_{0}}^{\star }
                     
                   as considered in Examples 3.1 and 4.3 (gray line). The black line depicts (an approximation of) the Kendall distribution function of the copula 
                     
                        
                        
                           
                              
                                 A
                              
                              
                                 
                                    
                                       r
                                    
                                    
                                       0
                                    
                                 
                              
                           
                        
                        {A}_{{r}_{0}}
                     
                  , the solid magenta line is (an approximation of) the generator 
                     
                        
                        
                           
                              
                                 φ
                              
                              
                                 
                                    
                                       r
                                    
                                    
                                       0
                                    
                                 
                              
                           
                        
                        {\varphi }_{{r}_{0}}
                     
                  , and the dashed line is the corresponding pseudo-inverse 
                     
                        
                        
                           
                              
                                 ψ
                              
                              
                                 
                                    
                                       r
                                    
                                    
                                       0
                                    
                                 
                              
                           
                        
                        {\psi }_{{r}_{0}}
                     
                  .
Figure 1

Approximation of the classical (middle third) Cantor function G r 0 as considered in Examples 3.1 and 4.3 (gray line). The black line depicts (an approximation of) the Kendall distribution function of the copula A r 0 , the solid magenta line is (an approximation of) the generator φ r 0 , and the dashed line is the corresponding pseudo-inverse ψ r 0 .

4 Constructing bivariate Archimedean copulas with fractal support

Let r ( 0 , 1 2 ) be arbitrary but fixed and define the function φ r : [ 0 , 1 ] R by

(20) φ r ( x ) [ 0 , x ] ( 2 + 2 G r ( t ) ) d λ ( t ) + 1 .

Then obviously we have φ r ( 0 ) = 1 and, using equation (19), φ r ( 1 ) = 0 follows. Moreover, considering that the integrand in equation (20) is negative on [ 0 , 1 ) and nondecreasing on [ 0 , 1 ] , it follows that φ r is convex (see [18,25]) and strictly decreasing on [ 0 , 1 ] . Altogether, φ r is a nonstrict generator with right-hand derivative given by D + φ r ( t ) = 2 + 2 G r ( t ) . The magenta line in Figure 1 depicts the generator φ r for the case r = 1 3 , and the dashed magenta line is the corresponding pseudo-inverse ψ r .

Letting A r A φ r C a r denote the induced Archimedean copula (see Figure 2 for the case r = 1 3 ), using the results from Section 2, it follows that

μ A r ( L 0 ) = μ A r ( Γ ( f 0 ) ) = φ r ( 0 ) D + φ r ( 0 ) = 1 2 ,

i.e., the copula A r assigns half of its mass to the graph of f 0 . Using continuity of D + φ r and equation (7), all other level sets L t carry no mass, i.e., μ A r ( L t ) = 0 holds for every t ( 0 , 1 ] . Moreover, the Kendall distribution function F A r Kendall fulfills F A r Kendall ( 0 ) = 1 2 as well as

F A r Kendall ( t ) = t φ r ( t ) 2 + 2 G r ( t )

for every t ( 0 , 1 ] .

Figure 2 
               3D-plot of (an approximation of) the copula 
                     
                        
                        
                           
                              
                                 A
                              
                              
                                 
                                    
                                       r
                                    
                                    
                                       0
                                    
                                 
                              
                           
                        
                        {A}_{{r}_{0}}
                     
                   considered in Examples 3.1 and 4.3; the lines depict the graphs of the function 
                     
                        
                        
                           
                              
                                 f
                              
                              
                                 t
                              
                           
                        
                        {f}^{t}
                     
                   with 
                     
                        
                        
                           t
                           ∈
                           
                              
                              
                                 0
                                 ,
                                 
                                    
                                       1
                                    
                                    
                                       6
                                    
                                 
                                 ,
                                 
                                    
                                       1
                                    
                                    
                                       3
                                    
                                 
                                 ,
                                 
                                    
                                       1
                                    
                                    
                                       2
                                    
                                 
                                 ,
                                 
                                    
                                       2
                                    
                                    
                                       3
                                    
                                 
                                 ,
                                 
                                    
                                       5
                                    
                                    
                                       6
                                    
                                 
                              
                           
                        
                        t\in \left\{\phantom{\rule[-0.95em]{}{0ex}},0,\frac{1}{6},\frac{1}{3},\frac{1}{2},\frac{2}{3},\frac{5}{6}\right\}
                     
                  .
Figure 2

3D-plot of (an approximation of) the copula A r 0 considered in Examples 3.1 and 4.3; the lines depict the graphs of the function f t with t 0 , 1 6 , 1 3 , 1 2 , 2 3 , 5 6 .

We are now going to show that the Hausdorff dimension of the support of μ A r is given by supp ( μ A r ) = 1 log ( 2 ) log ( r ) and the one of the support of the measure κ A r by log ( 2 ) log ( r ) . Doing so, we proceed in several steps formalized as lemmas and work with the sets L J [ 0 , 1 ] 2 , defined by

L J { ( x , y ) [ 0 , 1 ] 2 : A r ( x , y ) J } ,

for every interval J [ 0 , 1 ] .

Lemma 4.1

Letting J 1 , J 2 , denote the open intervals defined according to equation (17), the following identity holds:

μ A r i = 1 L J i = 0 = κ A r i = 1 J i .

Proof

Notice that each of the intervals J i has the property that the function G r ; hence, the function D + φ r , is constant on J i . As a direct consequence, writing J i = ( a , b ) , it follows that φ r ( b ) = φ r ( a ) + ( b a ) φ r ( a ) , from which we directly obtain

μ A r ( L ( a , b ] ) = κ A r ( ( a , b ] ) = F A r Kendall ( b ) F A r Kendall ( a ) = b φ r ( b ) φ r ( b ) a φ r ( a ) φ r ( a ) = b a φ r ( a ) + ( b a ) φ r ( a ) φ r ( a ) φ r ( a ) = 0 .

Having this, using L ( a , b ) L ( a , b ] as well as σ -additivity of μ A r and κ A r yields the desired identity.□

Lemma 4.2

The support supp ( μ A r ) of μ A r is given by

(21) supp ( μ A r ) = t Z r L t = t Z r Γ ( f t ) .

Moreover, the support of the probability measure κ A r corresponding to the Kendall distribution function F A r Kendall coincides with Z r .

Proof

Considering that supp ( μ A r ) is closed, it suffices to show that for every t ( 0 , 1 ) Z r and every x > t , the point ( x , f t ( x ) ) ( 0 , 1 ) 2 is an element of supp ( μ A r ) , which can be done as follows: (i) Choose δ > 0 sufficiently small so that f t ( x ) δ > f 0 ( x ) as well as I ( f t ( x ) δ , f t ( x ) + δ ] [ 0 , 1 ] holds. Then the Markov kernel K A r ( , ) , defined according to equation (6) fulfills

K A r ( x , I ) = φ r ( x ) φ r ( A r ( x , f t ( x ) + δ ) ) φ r ( x ) φ r ( A r ( x , f t ( x ) δ ) ) .

Considering A r ( x , f t ( x ) + δ ) > t , A r ( x , f t ( x ) δ ) < t and using equivalence (18)

φ r ( A r ( x , f t ( x ) δ ) ) < φ r ( A r ( x , f t ( x ) + δ ) )

follows, which directly yields K A r ( x , I ) > 0 . Since δ > 0 can be chosen arbitrarily small, it follows that f t ( x ) supp ( K A r ( x , ) ) . As x > t was arbitrary, we have already shown that f t ( z ) supp ( K A r ( z , ) ) holds for every z > t .

(ii) For sufficiently small Δ > 0 , consider the open square

S ( x Δ , x + Δ ) × ( f t ( x ) Δ , f t ( x ) + Δ ) ( t , 1 ) × ( 0 , 1 ) .

Continuity of f t implies the existence of some nondegenerated open interval U ( x Δ , x + Δ ) such that f t ( z ) ( f t ( x ) Δ , f t ( x ) + Δ ) for every z U . Applying disintegration and the property of f t ( z ) supp ( K A r ( z , ) ) as established earlier therefore yields

μ A r ( S ) = ( x Δ , x + Δ ) K A r ( z , ( f t ( x ) Δ , f t ( x ) + Δ ) ) d λ ( z ) U K A r ( z , ( f t ( x ) Δ , f t ( x ) + Δ ) ) > 0 d λ ( z ) > 0 .

Considering that Δ > 0 was arbitrarily small, we have shown that every nondegenerated open square around ( x , f t ( x ) ) has positive mass, so ( x , f t ( x ) ) supp ( A r ) follows.

(í) Proceeding in the same manner shows that for every x > 0 , we have ( x , f 0 ( x ) ) supp ( A r ) . Therefore, using the fact that supp ( μ A r ) is compact (hence closed), it follows that

supp ( μ A r ) t Z r Γ ( f t ) .

Since the set i = 1 L J i from Lemma 4.1 is as union of open sets open too, Lemma 4.1 implies

supp ( μ A r ) [ 0 , 1 ] 2 \ i = 1 L J i = t Z t Γ ( f t ) ,

which completes the proof of the first assertion. The second assertion follows from equivalence (18).□

Example 4.3

For the case r 0 = 1 3 considered in Example 3.1, the support supp ( μ A r 0 ) consists of uncountably many convex curves – the contour lines connecting the points ( t , 1 ) and ( 1 , t ) with t being an element of the classical (middle third) Cantor set G r 0 . In Lemma 4.4, we will show that the support of A r 0 has Hausdorff dimension 1 + log ( 2 ) log ( 3 ) . Figure 3 depicts an approximation of the support. Moreover, the black line in Figure 1 is an approximation of the corresponding Kendall distribution function F A r 0 Kendall – notice that it obviously has the same plateaus but is not just a rescaled version of the Cantor function G r 0 .

Figure 3 
               Approximation of the support of the copula 
                     
                        
                        
                           
                              
                                 A
                              
                              
                                 
                                    
                                       r
                                    
                                    
                                       0
                                    
                                 
                              
                           
                        
                        {A}_{{r}_{0}}
                     
                   as considered in Examples 3.1 and 4.3 (black curves). The set 
                     
                        
                        
                           Λ
                        
                        \Lambda 
                     
                   used in the proof of Lemma 4.4 (light gray).
Figure 3

Approximation of the support of the copula A r 0 as considered in Examples 3.1 and 4.3 (black curves). The set Λ used in the proof of Lemma 4.4 (light gray).

Lemma 4.4

The support supp ( μ A r ) of μ A r has Hausdorff dimension

(22) dim H ( supp ( μ A r ) ) = 1 log ( 2 ) log ( r ) .

Proof

We will use the fact that bi-Lipschitz transformtions [12] preserve the Hausdorff dimension and proceed as follows: Define the sets Λ and T by

Λ t Z r [ t , 1 ] × { t } , T { ( x , y ) [ 0 , 1 ] 2 : y x } .

Then proceeding as with the support of μ A r before it is straightforward to show that Λ is compact, implying Λ ( [ 0 , 1 ] 2 ) . Letting the transformation h : T [ 0 , 1 ] 2 be defined by

h ( x , t ) ( x , ψ ( φ ( t ) φ ( x ) ) ) = ( x , f t ( x ) ) ,

obviously h maps Λ to supp ( μ A r ) , i.e., we have h ( Λ ) = supp ( μ A r ) . It is easy to verify that h is not bi-Lipschitz on the set T – in fact, the function f t has unbounded derivative to the right of t and arbitrary small derivative close to 1. Considering, however, the triangle T n T , defined as the convex hull of the three points

E n 1 = 1 2 3 n , 0 , E n 2 1 1 2 3 n , 0 , E n 3 1 1 2 3 n , 1 1 3 n

for every 2 n N , using the fact that both the derivative of φ r and ψ r is bounded from above and from below on every interval of the form [ a , b ] ( 0 , 1 ) , it is straightforward to show that h is indeed bi-Lipschitz on every T n . As a direct consequence [12] the Hausdorff dimension of the set Λ T n and the Hausdorff dimension of h ( Λ T n ) coincide, and by applying the Marstrand Product Theorem (see [6, Theorem 3.2.1] or the first paragraph in [16]), we have

dim H ( Λ T n ) = 1 log ( 2 ) log ( r ) .

Using countable stability of the Hausdorff dimension (again see [12]) therefore yields

dim H n = 2 h ( Λ T n ) = sup n 2 dim H ( h ( Λ T n ) ) = 1 log ( 2 ) log ( r ) .

Having that, considering that both the sets { 1 } × Z r and Z r × { 1 } both have Hausdorff dimension log ( 2 ) log ( r ) , it altogether follows that

dim H ( supp ( μ A r ) ) = max dim H n = 2 h ( Λ T n ) , log ( 2 ) log ( r ) = 1 log ( 2 ) log ( r ) ,

which completes the proof.□

Summing up, we can finally formulate and prove our main result:

Theorem 4.5

For every s [1, 2], there exists some bivariate Archimedean copula A with the following properties:

  1. dim H ( supp ( μ A ) ) = s .

  2. dim H ( supp ( κ A ) ) = s 1 .

Proof

Considering the fact that the aforementioned mapping ι : ( 0 , 1 2 ) ( 0 , 1 ) , given by ι ( r ) = log ( 2 ) log ( r ) is surjective, using Lemmas 4.2 and 4.4 immediately yields both assertions for the case s ( 1 , 2 ) . The remaining cases s = 1 and s = 2 are, however, trivial: for s = 1 , consider W C a r , whose support is a straight line and for s = 2 use Π C a r , whose support is [0, 1]2.□

Remark 4.6

Recently established results focusing on the interplay of Archimedean copulas and the so-called Williamson measures [19] allow for alternative ways to construct Archimedean copulas with fractal support. One may, for instance, start with the classical Cantor measure ϑ r 0 as Williamson measure and consider the (pseudo-inverse of the) generator ψ = W 2 ( ϑ r 0 ) , where W 2 denotes the Williamson transform in dimension d = 2 . We opted for the approach via φ r since in this case calculating the Hausdorff dimension of μ A r is much simpler.

Acknowledgments

The second author gratefully acknowledges the support of the WISS 2025 project ‘IDA-lab Salzburg’ (20204-WISS/225/197-2019 and 20102-F1901166-KZP).

  1. Author contributions: Both authors have accepted responsibility for the entire content of this manuscript and consented to its submission to the journal, reviewed all the results, and approved the final version of the manuscript. JFS: conceptualization and methodology. WT: conceptualization, methodology, and writing.

  2. Conflict of interest: The authors state no conflict of interest.

  3. Data availability statement: Data sharing is not applicable to this article as no datasets were generated or analysed during the current study.

References

[1] de Amo, E., Díaz Carrillo, M., & Fernández-Sánchez, J. (2011). Measure-Preserving Functions and the Independence Copula. Mediterr. J. Math. 8, 431–450, DOI: https://doi.org/10.1007/s00009-010-0073-9. 10.1007/s00009-010-0073-9Search in Google Scholar

[2] de Amo, E., Díaz Carrillo, M., & Fernández-Sánchez, J. (2012). Copulas and associated fractal sets. Journal of Mathematical Analysis and Applications, 386, 528–541, DOI: https://doi.org/10.1016/j.jmaa.2011.08.017. 10.1016/j.jmaa.2011.08.017Search in Google Scholar

[3] de Amo, E., Díaz Carrillo, M., Fernández-Sánchez, J., & Salmerón, A. (2012). Moments and associated measures of copulas with fractal support. Applied Mathematics and Computation, 218, 8634–8644, DOI: https://doi.org/10.1016/j.amc.2012.02.025. 10.1016/j.amc.2012.02.025Search in Google Scholar

[4] De Amo, E., Díaz Carrillo, M., Fernández-Sánchez, J., & Trutschnig, W. (2013). Some results on homeomorphisms between fractal supports of copulas. Nonlinear Anal-Theor, 85, 132–144, DOI: https://doi.org/10.1016/j.na.2013.02.027. 10.1016/j.na.2013.02.027Search in Google Scholar

[5] Barnsley, M. F. (1993). Fractals everywhere. Cambridge: Academic Press. Search in Google Scholar

[6] Bishop, C. J., & Peres, Y. (2016). Fractals in Probability and Analysis. Cambridge: Cambridge University Press. 10.1017/9781316460238Search in Google Scholar

[7] Darsow, W. F., Nguyen, B., & Olsen, E. T. (1992). Copulas and Markov processes. Illinois Journal of Mathematics, 36, 600–642. https://api.semanticscholar.org/CorpusID:119359664. 10.1215/ijm/1255987328Search in Google Scholar

[8] Dudley, R. M. (2002). Real Analysis and Probability. Cambridge: Cambridge University Press. 10.1017/CBO9780511755347Search in Google Scholar

[9] Durante, F., & Sempi, C. (2015). Principles of Copula Theory. Chapman and Hall/CRC. 10.1201/b18674Search in Google Scholar

[10] Durante, F., Fernández Sánchez, J., & Trutschnig, W. (2020). Spatially homogeneous copulas. Annals of the Institute of Statistical Mathematics, 72, 607–626, DOI: https://doi.org/10.1007/s10463-018-0703-8. 10.1007/s10463-018-0703-8Search in Google Scholar

[11] Edgar, G. A. (1990). Measure, Topology and Fractal Geometry. Heidelberg New York: Springer Berlin. 10.1007/978-1-4757-4134-6Search in Google Scholar

[12] Falconer, K. (2003). Fractal Geometry, Mathematical Foundations and Applications, 2nd Edition, New York and London: John Wiley and Sons. 10.1002/0470013850Search in Google Scholar

[13] Fernández Sánchez, J., & Trutschnig, W. (2015). Singularity aspects of Archimedean copulas. Journal of Mathematical Analysis and Applications, 432, 103–113, DOI: https://doi.org/10.1016/j.jmaa.2015.06.036. 10.1016/j.jmaa.2015.06.036Search in Google Scholar

[14] Fernández Sánchez, J., & Trutschnig, W. (2023). A link between Kendallas tau, the length measure and the surface of bivariate copulas, and a consequence to copulas with self-similar support. Dependence Model, 11, 20230105, DOI: https://doi.org/10.1515/demo-2023-0105. 10.1515/demo-2023-0105Search in Google Scholar

[15] Fredricks, G., Nelsen, R., & Rodríguez-Lallena, J. A. (2005). Copulas with fractal supports. Insurance: Mathematics and Economics, 37, 42–48, DOI: https://doi.org/10.1016/j.insmatheco.2004.12.004. 10.1016/j.insmatheco.2004.12.004Search in Google Scholar

[16] Hatano, K. (1971). Notes on Hausdorff dimensions of Cartesian product sets. Hiroshima Mathematical Journal, 1, 17–25, DOI: https://doi.org/10.32917/hmj/1206138139. 10.32917/hmj/1206138139Search in Google Scholar

[17] Kallenberg, O. (1997). Foundations of modern probability. New York Berlin Heidelberg: Springer Verlag. Search in Google Scholar

[18] Kannan, R., & Krueger, C. K. (1996). Advanced analysis on the real line. New York: Springer Verlag. Search in Google Scholar

[19] Kasper, T., Dietrich, N., & Trutschnig, W. (2024). On convergence and mass distributions ofmultivariate Archimedean copulas and their interplay with the Williamson transform. Journal of Mathematical Analysis and Applications, 529, 127555, DOI: https://doi.org/10.1016/j.jmaa.2023.127555. 10.1016/j.jmaa.2023.127555Search in Google Scholar

[20] Klenke, A. (2007). Probability Theory - A Comprehensive Course. Berlin Heidelberg: Springer Verlag. Search in Google Scholar

[21] Kunze, H., LaTorre, D., Mendivil, F., & Vrscay, E. R. (2012). Fractal Based Methods in Analysis. New York Dordrecht Heidelberg London: Springer. 10.1007/978-1-4614-1891-7Search in Google Scholar

[22] McNeil, A., & Nešlehová, J. (2009). Multivariate Archimedean Copulas, d-monotone functions and ℓ1-norm symmetric distributions. Annals of Statistics, 37, 3059–3097, DOI: https://doi.org/10.1214/07-AOS556. 10.1214/07-AOS556Search in Google Scholar

[23] Mai, J. F., & Scherer, M. (2011). Bivariate extreme-value copulas with discrete Pickands dependence measures. Extreme, 14, 311–324, DOI: https://doi.org/10.1007/s10687-010-0112-8. 10.1007/s10687-010-0112-8Search in Google Scholar

[24] Nelsen, R. B. (2006). An Introduction to Copulas. New York: Springer Series in Statistics. Search in Google Scholar

[25] Pollard, D. (2001). A Useras Guide to Measure Theoretic Probability. Cambridge: Cambridge University Press. 10.1017/CBO9780511811555Search in Google Scholar

[26] Rudin, W. (1966). Real and Complex Analysis. New York: McGraw-Hill. Search in Google Scholar

[27] Trutschnig, W. (2011). On a strong metric on the space of copulas and its induced dependence measure. Journal of Mathematical Analysis and Applications, 384, 690–705, DOI: https://doi.org/10.1016/j.jmaa.2011.06.013. 10.1016/j.jmaa.2011.06.013Search in Google Scholar

[28] Trutschnig, W., & Fernández-Sánchez, J. (2012). Idempotent and multivariate copulas with fractal support. Journal of Statistical Planning and Inference, 142, 3086–3096, DOI: https://doi.org/10.1016/j.jspi.2012.06.012. 10.1016/j.jspi.2012.06.012Search in Google Scholar

[29] Trutschnig, W., Schreyer, M., & Fernández-Sánchez, J. (2016). Mass distributions of two-dimensional extreme-value copulas and related results. Extremes, 19, 405–427, DOI: https://doi.org/10.1007/s10687-016-0249-1. 10.1007/s10687-016-0249-1Search in Google Scholar

Received: 2024-12-16
Revised: 2025-03-31
Accepted: 2025-04-01
Published Online: 2025-05-16

© 2025 the author(s), published by De Gruyter

This work is licensed under the Creative Commons Attribution 4.0 International License.

Downloaded on 20.12.2025 from https://www.degruyterbrill.com/document/doi/10.1515/demo-2025-0013/html
Scroll to top button