Home Mathematics Semistable Lefschetz pencils
Article Open Access

Semistable Lefschetz pencils

  • Hélène Esnault ORCID logo EMAIL logo and Moritz Kerz ORCID logo
Published/Copyright: November 20, 2025

Abstract

We study the geometry and cohomology of Lefschetz pencils for semistable schemes over a discrete valuation ring. We relate the global cohomological properties of the Lefschetz pencil and the monodromy-weight conjecture; in particular, we show that if one assumes the monodromy-weight conjecture in smaller dimensions, then one can obtain a rather complete understanding of the relative cohomology of the pencil. This reduces the monodromy-weight conjecture to an arithmetic variant of a conjecture of Kashiwara for the projective line.

1 Introduction

1.1 Background

The theory of Lefschetz pencils is an important tool in the study of the topology of algebraic varieties which originates in the work of Picard and Lefschetz [37]. The theory has been extended to positive characteristic and étale cohomology by Deligne and Katz [14]. The idea of Lefschetz is to fiber a smooth projective variety 𝑋 of dimension 𝑛 over a field 𝑘 after a certain blow-up X ̃ X into a pencil ϕ : X ̃ P k 1 such that 𝜙 is smooth except for a finite number of quadratic singular points located in different fibers, i.e. 𝜙 is like a real Morse function in differential topology. The Leray spectral sequence for the pencil map 𝜙 allows one to study the cohomology of 𝑋. This topological idea was a key ingredient in Deligne’s first proof of the Weil conjectures [10].

The geometric theory of Lefschetz pencils was generalized by Jannsen–Saito [29] to smooth projective schemes over a discrete valuation ring. In this note, we study the geometry and cohomology of Lefschetz pencils of (strict) semistable schemes over discrete valuation rings.

One motivation for this study is the monodromy-weight conjecture [9, Section 8.5], [45, p. 23], which is an analog of the Riemann hypothesis part of the Weil conjectures over a 𝑝-adic local field. In [45], Rapoport–Zink studied the monodromy-weight conjecture in terms of a monodromy-weight spectral sequence of a semistable model, which they define. The key unsolved problem is that the d 1 -differential in their spectral sequence is not well-understood in relation to the monodromy operator 𝑁. It turns out that, assuming the monodromy-weight conjecture is known in smaller dimensions, the analog of this d 1 -differential in the relative cohomology of the semistable Lefschetz pencil is easy to control. This allows us to reduce the monodromy-weight conjecture to an unsolved problem about the cohomology of a Picard–Lefschetz sheaf on P 1 ; see Section 9.3.

1.2 Geometry of semistable Lefschetz pencils

Let 𝒪 be a henselian discrete valuation ring with perfect residue field 𝑘 of characteristic ch ( k ) 2 . Define 𝐾 to be the field of fractions K = frac ( O ) , which we assume to be of characteristic zero. Let X P O N be a (strict) semistable projective scheme over 𝒪, i.e. its special fiber X k is a simple normal crossings divisor. We endow 𝑋 with the usual stratification; see the beginning of Section 4. A sufficiently general linear subspace of codimension two A P O N gives rise to a pencil map

ϕ : X ̃ P O 1 ,

where X ̃ = Bl A X ( X ) ; see Section 5.

A point x X ̃ is called critical if either 𝑥 lives over 𝐾 and is a non-smooth point of ϕ K or if 𝑥 lives over 𝑘 and ϕ | Z : Z P k 1 is non-smooth at 𝑥, where Z X ̃ k is the stratum containing 𝑥.

Roughly speaking, we say that the pencil ϕ k : X ̃ k P k 1 is a stratified Lefschetz pencil over 𝑘 if ϕ k : X ̃ k P k 1 is a stratified Morse function in the usual sense, Definition 3.3, with at most one critical point per geometric fiber; for the precise definition of stratified Lefschetz pencil, see Definition 5.1. It is not hard to show that, after a suitable Veronese embedding, a generic choice of A k gives rise to a stratified Lefschetz pencil ϕ k .

The following theorem has been observed in [29, Theorem 1] in the smooth case.

Theorem 1.1

Theorem 1.1 (see Theorem 5.4)

Assume that ch ( k ) > dim ( X K ) + 1 or ch ( k ) = 0 . Then the following properties hold.

  1. If ϕ k is a stratified Lefschetz pencil, then ϕ K is a Lefschetz pencil.

  2. The subset 𝑆 of critical points in 𝑋 is closed, and with the reduced subscheme structure, it maps isomorphically onto its image in P O 1 .

  3. Each connected component of 𝑆 is a trait (i.e. the spectrum of a henselian discrete valuation ring) which is finite and of ramification index over 𝒪 equal to the number of irreducible components of X k it meets.

For ch ( k ) 2 , one only obtains a slightly weaker result which we formulate in Theorem 4.2 for a general stratified Morse function.

1.3 Cohomology of semistable Lefschetz pencils

Let ℓ be a prime number invertible in 𝒪 and assume that the residue field 𝑘 is finite. Set Λ = Q ̄ and n = dim ( X K ) . Let ϕ : X ̃ P O 1 be a semistable Lefschetz pencil, i.e. ϕ k is a stratified Lefschetz pencil and ϕ K is a Lefschetz pencil.

We endow 𝑋 with the middle perversity (see Section A.4) so that Λ [ n + 1 ] D c b ( X K , Λ ) is a perverse sheaf. In order to understand the relative cohomology of a semistable Lefschetz pencil, one has to study the degeneration of the classical Picard–Lefschetz perverse sheaf L K = R 0 p ϕ K , ( Λ [ n + 1 ] ) in terms of its nearby cycle perverse sheaf L k = R Ψ X / O ( L K ) [ 1 ] . Note that, for i 0 , the perverse sheaf R i p ϕ K , ( Λ [ n + 1 ] ) is geometrically constant, and it can be analyzed by the weak Lefschetz theorem [4, Théorème 4.1.1] by cutting with a hyperplane section.

As a consequence of results of Grothendieck [22, Exposé I] and Rapoport–Zink [45], the monodromy action on L k is unipotent (see Proposition 8.8 and Lemma 9.2); in particular, it is given in terms of a nilpotent operator N : L k L k ( 1 ) . This operator induces a monodromy filtration fil M on the perverse sheaf L k ; see (7.1).

In order to understand the structure of L k , we have to assume that the monodromy-weight conjecture holds in dimensions smaller than dim ( X K ) ; see Section 9.3. Recall that the monodromy-weight conjecture is known for dimension at most two [45, Satz 2.13].

Theorem 1.2

Theorem 1.2 (see Theorem 9.4)

Assume that the monodromy-weight conjecture is known over 𝐾 for dimensions smaller than n = dim ( X K ) . Then the following properties hold.

  1. For any a Z , the monodromy graded piece gr a M L k is pure of weight n + a ; in particular, it is geometrically semisimple [4, Corollaire 5.4.6].

  2. The non-constant part of gr a M L k ̄ satisfies multiplicity one.

In Corollary 9.5, we show that, in order to prove the monodromy-weight conjecture by induction on n = dim ( X K ) , one would have to prove that the monodromy filtration of H 0 ( P k ̄ 1 , L k ̄ ) agrees with the filtration induced by the spectral sequence of the filtered perverse sheaf ( L k ̄ , fil M ) . We call this the monodromy property; see Definition 7.2. The monodromy property is of “purely topological” nature and is known to hold in our setting for 𝒪 of equal characteristic. It plays an important role in the theory of Hodge modules [46] and twistor 𝒟-modules [41]. In mixed characteristic, it fits into what we like to call the arithmetic Kashiwara conjecture (see Conjecture 9.7), motivated by the Kashiwara conjecture in complex geometry [30]. We defer the study to a forthcoming work.

Because the monodromy action on L k is unipotent, it is tame. This tameness generalizes to all models of P K 1 in the following sense.

Theorem 1.3

Theorem 1.3 (see Corollary 10.7)

Assume ch ( k ) > n + 1 . For any closed point x P K 1 and any i Z , the Gal ( x ̄ / x ) -action on H i ( ϕ 1 ( x ̄ ) , Λ ) is tame.

In fact, we prove a slightly weaker result for ch ( k ) 2 in Theorem 10.6. For 𝑥 specializing to a regular value in P k 1 , Theorem 1.3 is an immediate consequence of the aforementioned results of Rapoport–Zink about semistable reduction. The proof of Theorem 1.3 uses the Grothendieck–Murre criterion of tameness and Nakayama’s generalization [42, Theorem 0.1] of the work of Rapoport–Zink to the log-smooth case applied to a certain blow-up. It also relies on the tameness statement in the Picard–Lefschetz formula; see Proposition 6.3.

In forthcoming work, we will study the monodromy property in terms of a tilting to equal characteristic zero, for which the tameness as formulated in Theorem 1.3 plays a role.

1.4 Content

As a technical ingredient, which is not well-documented in the literature and which is necessary for our study of semistable Lefschetz pencils, we develop the algebraic theory of stratified Morse functions for special algebraic analogs of Whitney stratifications, which we call regular stratifications, in Sections 2 and 3.

In Section 4, we prove the main theorem about Morse functions for semistable schemes. In Section 5, we generalize without difficulty the usual geometric theory of Lefschetz pencils to the stratified and semistable context.

In Section 6, we recast the classical cohomology theory of Lefschetz pencils in terms of perverse sheaves. The only new result is the generalization of a central observation of Katz [14, Exposé XVIII, Théorème 5.7] for type (A) pencils to the general case.

Section 7 summarizes properties of the monodromy filtration in the context of perverse sheaves.

Our presentation of the theory of Rapoport–Zink in Section 8 is novel in that we make full use of the duality theory of the nearby cycle functor. This allows us to give a clear-cut axiomatic description of their construction, and of its perverse formulation in [48, Section 2.2]. In order to give a coordinate-free presentation in the case of Z / ν Z -coefficients, we use Beilinson’s Iwasawa twist. As this formalism, which is extremely useful for unipotent nearby cycles, is not well-documented in the literature, we summarize it in Appendix A.

Our main cohomological results about semistable Lefschetz pencils and the relation to the monodromy-weight conjecture are studied in Section 9.

Section 10 discusses tameness of the Picard–Lefschetz sheaf.

Notation

By 𝑘, we denote a field of characteristic different from 2, which is assumed to be perfect if not stated otherwise. By 𝒪, we denote a henselian discrete valuation ring with residue field 𝑘. We always assume that K = frac ( O ) has characteristic 0. When mentioning the dimension of a scheme, we assume that it is equidimensional. By ℓ, we denote a prime number invertible in 𝑘.

2 Morse morphisms and Morse functions

2.1 Morse morphisms

Let 𝑋 be a scheme locally of finite type over a field 𝐹 with ch ( F ) 2 . For 𝐹 algebraically closed, we say that X Spec F is a Morse morphism or simply that 𝑋is Morse if, for any closed point x X , either 𝑋 is regular at 𝑥 or there is an isomorphism of 𝐹-algebras

O X , x h F [ X 0 , , X n ] h / ( X 0 2 + + X n 2 ) for some n 0 .

Here h denotes the henselization with respect to the maximal ideal ( X 0 , , X n ) . Over a general field 𝐹, we say that X Spec F is a Morse morphism if X F F ̄ Spec F ̄ is a Morse morphism, where F ̄ / F is an algebraic closure. A non-smooth point of a Morse morphism X Spec F is called a non-degenerate quadratic singularity.

Let now 𝑋 and 𝑌 be schemes on which 2 is invertible. A morphism of schemes ϕ : X Y is called a Morse morphism if it is locally finitely presented, flat and, for any point y Y , the fiber X y is Morse over k ( y ) . Clearly, Morse morphisms are preserved by base change. Observe that, in [12, Section (3.6)], it is called “essentiellement lisse”; in [29, Section 4], the terminology “almost good reduction” is used.

Recall the deformation theory of non-degenerate quadratic singularities [14, Exposé XV, Théorème 1.1.4].

Proposition 2.1

Suppose that ϕ : X Y is flat and locally of finite presentation such that ϕ 1 ( y ) is Morse over k ( y ) for a y Y with k ( y ) separably closed. Let x ϕ 1 ( y ) be a singular point of ϕ 1 ( y ) . Then there exists an isomorphism of O Y , y h -algebras

O X , x h O Y , y [ X 0 , , X n ] h / ( X 0 2 + + X n 2 α ) ,

where 𝛼 is in the maximal ideal m y O Y , y h .

Here, on the right, the henselization is with respect to the maximal ideal generated by m y and ( X 0 , , X n ) .

2.2 Morse functions

Let in the following 𝑋 be a regular noetherian scheme and let 𝐷 be a one-dimensional, regular, noetherian scheme. We always assume that 2 is invertible on 𝑋 and on 𝐷. Let ϕ : X D be a morphism of finite type. A non-smooth point x X of 𝜙 is called a critical point of 𝜙; the image ϕ ( x ) of a critical point x X is called a critical value of 𝜙. In particular, the closed points 𝑥 with dim x X = 0 are critical. We say that ϕ : X D is a Morse function if 𝜙 is a Morse morphism around any point x X with dim x ( X ) > 0 . We call a critical point x X non-degenerate if 𝜙 is a Morse function in a neighborhood of 𝑥.

Note that, in Morse theory, one sometimes asks that additionally a Morse function has at most one critical point per fiber.

Remark 2.2

The set of critical points of a Morse function 𝜙 consists of finitely many closed points; compare the proof of Corollary 2.3 below.

For us, 𝑘 will be a perfect field of characteristic different from two. For the rest of this section, we assume that 𝑘 is algebraically closed, that 𝑋 and 𝐷 are of finite type over 𝑘 and that ϕ : X D is a 𝑘-morphism, n = dim ( X ) . Proposition 2.1 has the following corollary.

Corollary 2.3

Corollary 2.3 (Morse lemma)

For x X a critical point of a Morse function ϕ : X D with n 1 , there exist 𝑘-isomorphisms O X , x h k [ X 1 , , X n ] h , O D , ϕ ( x ) h k [ T ] h such that ϕ x h : O D , ϕ ( x ) h O X , x h maps 𝑇 to X 1 2 + + X n 2 . If n = 0 , then O X , x h = k and ϕ ( x ) h ( T ) = 0 .

Here the henselizations h are with respect to the maximal ideals ( X 1 , , X n ) and ( T ) .

Proof

It suffices to show the corollary for 𝑥 a closed point as then, a posteriori, it follows that there are no non-closed critical points, using that the set of critical points is closed. Looking at the henselian local presentation of O X , x as an O D , ϕ ( x ) -algebra from Proposition 2.1, we see that necessarily α O D , ϕ ( x ) is a uniformizer, as otherwise O X , x would be singular. ∎

Let J ϕ be the Jacobian ideal of 𝜙; see [24, Section 4.4].

Lemma 2.4

The following statements hold.

  1. J ϕ = O X ϕ is smooth ;

  2. V ( J ϕ ) is a finite disjoint union of copies of Spec k ⇔ 𝜙 is a Morse function.

The proof of part (ii) of the lemma is explained in [14, Exposé XV, Section 1.2].

3 Regular stratifications

3.1 Regular stratifications and critical points

Let 𝑋 be a noetherian scheme and let 𝐷 be a one-dimensional, regular, noetherian scheme. We always assume that 2 is invertible on 𝑋 and on 𝐷.

Definition 3.1

A stratification of 𝑋 is a finite set 𝐙 consisting of disjoint locally closed subsets Z X called strata such that 𝑋 is the disjoint union of the strata and such that the Zariski closure Z ̄ of a stratum Z Z is a union of strata. If 𝑋 is a scheme and 𝐙 a stratification of 𝑋, the pair ( X , Z ) is called a stratified scheme.

For ( X , Z ) a stratified scheme and x X , we denote by Z x X the stratum of 𝑥. We usually endow a stratum with its reduced subscheme structure. What we call a stratification is called a good stratification in [8, Definition 09XZ]. We call the stratification 𝐙regular if the closure Z ̄ with the reduced subscheme structure is regular for any stratum Z Z .

Note that, for a morphism of finite type f : Y X , the set-theoretic pullback f 1 ( Z ) of 𝐙 to 𝑌 is in general not a stratification but just a partition of 𝑌 into locally closed subsets which we call the pullback partition. If 𝑓 is flat, then f 1 ( Z ) is automatically a stratification.

Now assume that 𝑋 is endowed with a regular stratification 𝐙. Consider a morphism ϕ : X D of finite type.

A point x X is called a critical point of 𝜙 (with respect to the stratification 𝐙) if ϕ | Z : Z D is non-smooth at 𝑥, where 𝑍 is the stratum containing 𝑥 endowed with the reduced subscheme structure. Otherwise, 𝑥 is called non-critical. For x X a critical point, we call ϕ ( x ) D a critical value.

Lemma 3.2

The set of critical points of 𝜙 is closed in 𝑋.

Proof

Let C X be the subset of critical points. As, for any stratum Z Z , the subset C Z is the non-smooth locus of ϕ | Z : Z D , we see that C Z Z is closed. Therefore, 𝐶 is constructible in 𝑋. So, by [8, Lemma 0903 (2)], we just have to show that 𝐶 is closed under specialization. So consider points x 2 { x 1 } ̄ with x 1 Z 1 Z and x 2 Z 2 Z . Assume x 1 C and Z 1 Z 2 .

First case: Z 2 is non-flat over 𝐷 at x 2 . Then, of course, Z 2 is not smooth over 𝐷 at x 2 , so x 2 C .

Second case: Z 2 is flat over 𝐷 at x 2 . Then also Z ̄ 1 is flat over 𝐷 at x 2 , because flatness is equivalent to being dominant over 𝐷. As Z 2 Z ̄ 1 is a closed immersion of regular schemes, there exists a regular sequence a ¯ in O Z ̄ 1 , x 2 with O Z ̄ 1 , x 2 / ( a ¯ ) = O Z 2 , x 2 . Let π O D , ϕ ( x 2 ) be a uniformizer. As 𝜋 is a non-zero divisor on O Z 2 , x 2 , we see that a ¯ , π is also a regular sequence in O Z ̄ 1 , x 2 , so the image of a ¯ in O Z ̄ 1 , x 2 / ( π ) is also a regular sequence, and it remains a regular sequence after the base change by the algebraic closure k ( ϕ ( x 2 ) ) ̄ / k ( ϕ ( x 2 ) ) . So, as O Z ̄ 1 , x 2 O D , ϕ ( x 2 ) k ( ϕ ( x 2 ) ) ̄ is singular, since x 1 C and since the non-smooth locus of the map Z ̄ 1 D is closed, then also O Z 2 , x 2 O D , ϕ ( x 2 ) k ( ϕ ( x 2 ) ) ̄ is singular, because it is a quotient of the ring O Z ̄ 1 , x 2 O D , ϕ ( x 2 ) modulo a regular sequence. We have shown x 2 C . This finishes the proof. ∎

The following definition is copied from stratified Morse theory [20, Chapter 2, Section 2.0].

Definition 3.3

Definition 3.3 (Non-degenerate critical points)

A critical point 𝑥 of 𝜙 is called non-degenerate if, for Z X the stratum containing 𝑥 and for any stratum Z Z with Z Z ̄ , the following holds:

  1. ϕ | Z has a non-degenerate critical point at 𝑥 in the sense of Section 2;

  2. ϕ | Z ̄ is smooth at 𝑥.

If every critical point of 𝜙 is non-degenerate, we say that 𝜙 is a stratified Morse function.

Lemma 3.4

The set of critical points of a stratified Morse function 𝜙 consists of finitely many closed points.

Proof

Any critical point 𝑥 of 𝜙 is closed. Indeed, let 𝑍 be the stratum of 𝑥. Assume 𝑥 is not closed in 𝑋. Then there exists a proper specialization x of 𝑥. If x lies in 𝑍, then this contradicts Remark 2.2 applied to ϕ | Z : Z D . If x lies in a different stratum Z , then ϕ | Z : Z D is non-smooth at x by Lemma 3.2. As also ϕ | Z ̄ : Z ̄ D is non-smooth at x , this would contradict the condition that 𝜙 is a stratified Morse function around x .

To conclude, use that the set of critical points is closed by Lemma 3.2. ∎

3.2 Stratified regular immersions

Let ( X , Z X ) , ( Y , Z Y ) be two noetherian schemes with regular stratifications. Let i : Y X be a regular closed immersion of codimension 𝑐. We say that 𝑖 is stratified regular if, for any point y Y , after replacing 𝑋 by an open neighborhood of i ( y ) and 𝑌 by its preimage, the following holds:

  1. the schematic pullback i 1 ( Z i ( y ) ) is reduced and equal to Z y ;

  2. i | Z y : Z y Z i ( y ) has codimension 𝑐.

Here Z y is the stratum of y Y and Z i ( y ) is the stratum of i ( y ) X .

For a stratified regular closed immersion i : Y X and for a stratum Z X , each connected component of i 1 ( Z ) is a connected component of a stratum of 𝑌. Note that, locally around x = i ( y ) , a regular sequence for 𝑖 restricts to a regular sequence for Z y Z x by [39, Theorem 17.4].

If 𝑌 is not endowed with a stratification but ( X , Z X ) has a regular stratification, we call the closed immersion i : Y X stratified regular if the partition i 1 ( Z X ) is a regular stratification, and with this stratification, 𝑖 is stratified regular.

Lemma 3.5

For a stratified regular immersion i : ( Y , Z Y ) ( X , Z X ) and a stratum Z Z X , the preimage i 1 ( Z ̄ ) is regular.

Proof

Consider a point y i 1 ( Z ̄ ) , x = i ( y ) and a regular sequence a ¯ O X , x generating the ideal of 𝑖. Then the image of a ¯ in O Z ̄ , x is part of a regular parameter system as its image in O Z x , x has this property. ∎

The proof of the following lemma is similar.

Lemma 3.6

For a regularly stratified scheme ( X , Z X ) and for a regular closed immersion i : Y X and a point y Y , the following are equivalent:

  1. 𝑖 is a stratified regular immersion in a neighborhood of 𝑦;

  2. for a regular sequence a ¯ O X , i ( y ) locally generating the ideal of 𝑖, the sequence a ¯ | Z i ( y ) is part of a regular parameter system in O Z i ( y ) , i ( y ) .

Let now 𝑘 be an infinite perfect field and X P k N an immersion. Recall the following Bertini type theorem.

Proposition 3.7

For a regularly stratified scheme ( X , Z X ) , the following properties are verified.

  1. For a generic hypersurface H P k N , the map i : X H X is a stratified regular immersion.

  2. Assume given a closed point x X contained in the stratum 𝑍. Then there exists a hypersurface H P k N of large degree such that i : X H X is stratified regular away from 𝑥 and such that the schematic intersection H Z is singular at 𝑥, i.e. 𝐻 contains the tangent space to 𝑍 at 𝑥.

Proof

Part (i) holds by the classical theorem of Bertini. Indeed, 𝑖 is a stratified regular immersion if and only if 𝐻 intersects each stratum transversally by Lemma 3.6.

Part (ii) follows from Bertini theorems for hypersurface sections containing a subscheme; see [34, Theorem 1]. ∎

3.3 Stratified local complete intersection (lci) morphisms

Let ( X , Z X ) and ( Y , Z Y ) be two noetherian schemes with regular stratifications. We call a morphism which is of finite type f : Y X stratified lci if, for any locally given factorization

(3.1) f = [ W g X ] [ Y i W ]

with 𝑔 smooth and 𝑖 a closed immersion, we have that 𝑖 is stratified regular once 𝑊 is endowed with the stratification g 1 ( Z X ) . If 𝑌 is not endowed with a stratification a priori but becomes regularly stratified by f 1 ( Z X ) and, with this stratification, 𝑓 is stratified lci, we call 𝑓stratified lci.

Lemma 3.8

The following statements hold.

  1. If, for one factorization (3.1) with 𝑔 smooth and 𝑖 a closed immersion,

    i : ( Y , Z Y ) ( W , g 1 ( Z X ) )

    is a stratified regular immersion, then 𝑓 is stratified lci.

  2. The composition of stratified lci morphisms is stratified lci.

  3. Let ( X , Z X ) be a regularly stratified scheme and let Y X be a stratified regular immersion. Then the blow-up Bl Y ( X ) X is stratified lci.

Proof

We only prove part (iii), since we use it below. The blow-up along a regular immersed center is lci and commutes with base change which preserves the normal bundle of the regular immersion of the center; see [40, Chapitre I, Théorème 1]. So we just have to observe that the blow-up Bl Y Z ̄ ( Z ̄ ) is regular for any stratum Z Z X . Here we use Lemma 3.5 and that the blow-up of a regular scheme in a regular center is regular [40, Chapitre I, Théorème 1]. ∎

3.4 Simple normal crossings varieties

Consider a reduced, separated, equidimensional scheme 𝑋 of finite type over a perfect field 𝑘 of characteristic different from two. Let X ( 1 ) , , X ( s ) be the different irreducible components of 𝑋, endowed with the reduced subscheme structure. For I = { i 1 , , i r } { 1 , , s } a non-empty subset, we denote by

X ( I ) = X ( i 1 ) X ( i r )

the schematic intersection.

We call 𝑋 a simple normal crossings variety or strict normal crossings variety (snc variety) of dimension 𝑛 if X ( 1 ) , , X ( s ) are smooth over 𝑘 of dimension 𝑛 and, for an algebraic closure k ̄ of 𝑘 and any closed point x X k ̄ , there exists an isomorphism of k ̄ -algebras

(3.2) O X k ̄ , x h k ̄ [ X 0 , , X n ] h / ( X 0 X m ) .

Here h denotes the henselization with respect to the ideal ( X 0 , , X n ) . Note that, for an snc variety 𝑋, the X ( I ) are smooth and equidimensional over 𝑘 for any I { 1 , , n } .

For an snc variety 𝑋 over 𝑘, let κ : X Z be defined by κ ( x ) = # { i x X ( i ) } . Then 𝜅 is upper semi-continuous. We let 𝐙 be the set of all connected components of κ 1 ( j ) for all j Z . Then 𝐙 is a regular stratification of 𝑋, which we will always use in the following. For each stratum Z Z , there exists a canonical non-empty subset I Z { 1 , , n } such that Z ̄ is a connected component of X ( I Z ) . Set X ( a ) = κ 1 ( [ a + 1 , ) ) .

In the following, let 𝐷 be smooth of dimension one over 𝑘 and let ϕ : X D be a 𝑘-morphism, where 𝑋 is an snc variety over 𝑘.

Proposition 3.9

Proposition 3.9 (Normal crossings Morse lemma)

Assume 𝑘 is algebraically closed. For a stratified Morse function ϕ : X D with a critical point x X , there exist a 𝑘-algebra isomorphism as in (3.2) and a 𝑘-algebra isomorphism O D , ϕ ( x ) h k [ T ] h such that

ϕ x h : O D , ϕ ( x ) h O X , x h

maps 𝑇 to X 0 + + X m + X m + 1 2 + + X n 2 .

Here the henselization h of k [ T ] is with respect to the ideal ( T ) .

Proof

Set z = ϕ ( x ) . Say 𝑋 is presented by (3.2) at 𝑥. Then, after replacing 𝑋 by an étale neighborhood of 𝑥, there exists a smooth map

h : X Spec k [ X 0 , , X m ] / ( X 0 X m ) = : Y

sending 𝑥 to the origin y Y . Together with 𝜙, this defines g = ( h , ϕ ) : X Y × k D . We assume n > m and leave the similar but easier case n = m to the reader. Then the map 𝑔 is flat. Indeed, by the fiberwise criterion for flatness [8, Lemma 00MP] and as 𝑋 and Y × k D are both flat (even smooth) over 𝑌, we just have to check that g | h 1 ( y ) : h 1 ( y ) { y } × D is flat, which holds as this map is the restriction of the stratified morphism to the stratum ( X 0 = = X m = 0 ).

By assumption, the fiber ϕ 1 ( z ) is Morse over k ( z ) = k ; thus its restriction to the stratum ( X 0 = = X m = 0 ) is still Morse. In other words, the fiber g 1 ( y , z ) is Morse over k = k ( y ) k k ( z ) . So, by Proposition 2.1, there exists an O Y × D , y × z h -algebra isomorphism

O X , x h k [ X 0 , , X n , T ] h / ( X 0 X m , X m + 1 2 + + X n 2 α ) ( = : A )

with 𝛼 a non-unit in O Y × D , y × z h k [ X 0 , , X m , T ] h / ( X 0 X m ) ( = : B ) . In 𝐴, the henselization is with respect to ( X 0 , , X n , T ) , in 𝐵 with respect to ( X 0 , , X m , T ) . Write

α = c 0 X 0 + + c m X m + b T with c 0 , , c m , b B .

As A / ( X 0 , , X m ) is the henselian local ring at 𝑥 of the stratum containing 𝑥, this ring is regular. This means b B × . Reparametrizing Y i b 1 2 Y i for m < i n and replacing c j by b 1 c j , we can assume without loss of generality that b = 1 . As A / ( T , X 1 , , X m ) is the henselization at 𝑥 of ϕ 1 ( z ) Z ̄ , where 𝑍 is a stratum with x Z ̄ Z , this ring is regular, since 𝜙 is a stratified Morse function. This means c 0 B × . By a reparametrization, we can assume without loss of generality that c 0 = 1 . Similarly, we can assume that c 1 = = c m = 1 . This finishes the proof. ∎

3.5 Stratified base change for unipotent nearby cycles

Let the notation be as in Section A.3. Consider regular schemes ( X , Z X ) and ( Y , Z Y ) of finite type over 𝒪 endowed with regular stratifications. We assume that the (connected components of) X K and Y K are strata.

Proposition 3.10

For a stratified lci morphism f : Y X over 𝒪, the base change map of unipotent nearby cycles f ψ ( Λ X K ) ψ ( f Λ X K ) D nil ( Y , Λ ) is an isomorphism.

Proof

By smooth base change, we can assume without loss of generality that 𝑓 is a stratified regular immersion. By Lemma A.2, it is sufficient to show the isomorphism in restriction to the 𝐺-invariants. This means we have to show that f i j Λ X K i j f Λ X K is an isomorphism. Here 𝑖 is the immersion of the closed fiber and 𝑗 the immersion of the generic fiber. By the exact triangle (A.5) and the fact that the closed fiber is a union of strata, we only have to show that the map f i ! Λ X i ! f Λ X is an isomorphism.

Claim 3.11

For any closed immersion i ̃ : X ̃ X , where X ̃ is a union of strata, the map f i ̃ ! Λ X i ̃ ! f Λ X is an isomorphism.

Consider an open stratum Z X ̃ and set Z 1 = Z ̄ . Set Z 2 = X ̃ Z . Let i 1 : Z 1 X ̃ , i 2 : Z 2 X ̃ , i 12 : Z 1 Z 2 X ̃ be the closed immersions. By the exact triangle

i 12 , i 12 ! i ̃ ! Λ X i 1 , i 1 ! i ̃ ! Λ X i 2 , i 2 ! i ̃ ! Λ X i ̃ ! Λ X ,

the corresponding triangle for 𝑌 and noetherian induction, we have to show that

f ( i ̃ i ̃ 1 ) ! Λ X ( i ̃ i ̃ 1 ) ! f Λ X

is an isomorphism, which follows from Gabber’s absolute purity theorem [18, Theorem 2.1.1] as Z 1 and the schematic pullback f 1 ( Z 1 ) are regular by Lemma 3.5. ∎

4 Semistable Morse functions

Let 𝒪 be a henselian discrete valuation ring. We assume that K = frac ( O ) has characteristic zero and that the residue field k = O / ( π ) of 𝒪 is perfect of characteristic different from two. A regular scheme 𝑋 separated, flat and of finite type over 𝒪 is called semistable if X k is an snc variety over 𝑘. In this section, 𝑋 is assumed to be semistable. Let 𝐷 be a scheme which is separated, smooth and of finite type over 𝒪 of relative dimension one.

Note that our semistable concept is sometimes called strictly semistable in the literature. We always endow a semistable scheme 𝑋 with the standard stratification with strata being the connected components of X K and the strata of X k as in Section 3.4.

4.1 Main geometric theorem

Recall the local structure of semistable schemes.

Lemma 4.1

If 𝑘 is algebraically closed and x X k is a closed point, there exists an isomorphism of 𝒪-algebras O X , x h O [ X 0 , , X n ] h / ( X 0 X m π ) for some 0 m n .

Here the henselization h is with respect to the ideal ( π , X 0 , , X n ) . Our main theorem about stratified Morse functions for semistable schemes is the following.

Theorem 4.2

Assume that 𝑋 is proper over 𝒪. Let ϕ : X D be an 𝒪-morphism such that ϕ k : X k D k is a Morse function. Then

  1. ϕ K : X K D K is a Morse function;

  2. the specialization map sp : | X K | | X k | on closed points induces a bijection between the critical points { x K } of ϕ K and the critical points { x k } of ϕ k ;

  3. for a critical point x K of ϕ K , let 𝑚 be codim X k ( Z ) , where Z X k is the stratum of the point x k = sp ( x K ) ; then the schematic closure 𝑆 of x K in 𝑋 is a trait of ramification degree m + 1 over 𝒪;

  4. ϕ | S : S D is a closed immersion if ch ( k ) m + 1 .

Here we use the word trait for the spectrum of a henselian discrete valuation ring.

The proof of the theorem relies on the following semistable version of the Morse lemma, the proof of which is almost verbatim the same as the proof of Proposition 3.9.

Proposition 4.3

Proposition 4.3 (Semistable Morse lemma)

Assume that 𝑘 is algebraically closed and that ϕ : X D is an 𝒪-morphism such that ϕ k : X k D k is a Morse function. Let x X k be a closed point. Then there exist isomorphisms of 𝒪-algebras

O D , ϕ ( x ) h O [ T ] h , O X , x h O [ X 0 , , X n ] h / ( X 0 X m u π ) ,

where 𝑢 is a unit in O [ X 0 , , X m ] h such that

  1. if x X k is non-critical, then ϕ x h : O D , ϕ ( x ) h O X , x h sends 𝑇 to X m + 1 , in particular n > m ;

  2. if x X k is critical, then ϕ x h : O D , ϕ ( x ) h O X , x h sends 𝑇 to

    X 0 + + X m + X m + 1 2 + + X n 2 ,

    where m = n is allowed.

Here the henselization h of O [ T ] is with respect to the ideal ( π , T ) and the henselization of O [ X 0 , , X n ] with respect to the ideal ( π , X 0 , , X n ) .

4.2 Local version and proof

Theorem 4.2 follows immediately from the following local version.

Proposition 4.4

Let ϕ : X D be an 𝒪-morphism such that ϕ k : X k D k is a Morse function with only one critical point x k X k . Let 𝑚 be the codimension in X k of the stratum containing x k . Then, after replacing 𝑋 by a small Zariski neighborhood of x k , the morphism ϕ K : X K D K has precisely one critical point x K X K , and it satisfies the following properties:

  1. x K is non-degenerate;

  2. the schematic closure 𝑆 of x K is a trait which is finite of ramification index m + 1 over 𝒪 with S k = { x k } ;

  3. the morphism ϕ | S : S D is a closed immersion if ch ( k ) m + 1 .

Proof

Case m = 0 . This is classical and follows from Proposition 2.1.

Case m > 0 . After base change by O O sh , we can assume that 𝑘 is algebraically closed. We can check the uniqueness of x K and the required properties of the map S Spec O after formally completing 𝑋 at x k . Note that the map S Spec O is finite, because 𝒪 is henselian. We can also assume without loss of generality that 𝒪 is complete.

Let J ϕ be the Jacobian ideal sheaf of 𝜙 and set J = J ϕ , x k O ̂ X , x k . Set I = ( J : π ) , i.e. I = { α O ̂ X , x k π N α J for some N 0 } . Set

A = O ̂ X , x k / I .

Take a presentation as in the semistable Morse lemma, Proposition 4.3. By abuse of notation, we will identify 𝐼 and 𝐽 with their preimage in O [ [ X 0 , , X n ] ] . We can assume without loss of generality that n = m by using that the external sum of Morse functions is a Morse function and using case m = 0 above.

Lemma 4.5

There exist elements u 1 , , u m O [ [ X 0 , , X m ] ] such that the ideal 𝐼 is generated by the power series

(4.1) X 0 X i u i X 0 X i ( 1 i m ) ,
(4.2) X 0 X m u π .
Here u O [ [ X 0 , , X m ] ] × is the unit from the semistable Morse lemma (Proposition 4.3). In particular, A 0 is finite flat over 𝒪.

Before proving Lemma 4.5, we observe the following.

Claim 4.6

Let I O [ [ X 0 , , X m ] ] be the ideal generated by the elements (4.1)–(4.2) for arbitrary u 1 , , u m O [ [ X 0 , , X m ] ] and for an arbitrary unit u O [ [ X 0 , , X m ] ] . Then A = O [ [ X 0 , , X m ] ] / I is a discrete valuation ring which is totally ramified of degree m + 1 over 𝒪.

Proof

The implicit function theorem implies the existence of formal power series

f 1 , , f n O [ [ X ] ]

with the property f i X + X 2 O [ [ X ] ] , such that X i = f i ( X 0 ) A . Then the formal power series

h = X f 1 ( X ) f m ( X ) u ( X , f 1 ( X ) , , f m ( X ) ) π O [ [ X ] ]

satisfies

h X m + 1 + π O [ [ X ] ] + X m + 2 O [ [ X ] ]

with constant coefficient indivisible by π 2 . So, by the Weierstraß preparation theorem, h = v h ̃ with v O [ [ X ] ] × and h ̃ O [ X ] is an Eisenstein polynomial of degree m + 1 .

As h ̃ ( X 0 ) = v 1 ( X 0 ) h ( X 0 ) = 0 A , we obtain a surjective 𝒪-algebra homomorphism

θ : O [ X ] / ( h ̃ ) A , X X 0 .

This implies that A is finite over 𝒪, but then, by [39, Theorem 22.6], A is also flat over 𝒪. As K [ X ] / ( h ̃ ) is a field by the Eisenstein irreducibility criterion, and as A O K 0 , we deduce that 𝜃 is an isomorphism. ∎

Proof of Lemma 4.5

Note that 𝐽 is the (continuous) Jacobian ideal of the local ring homomorphism

O [ [ T ] ] O [ [ T , X 1 , , X m ] ] / ( g ) ,

where g = X 1 X m ( T X 1 X m ) u π is the element from the semistable Morse lemma in which we made the substitution X 0 = T X 1 X m . So 𝐽 is the ideal generated by the m + 1 elements

( 1 i m ) : X i g = 2 X 1 X m + X 1 X ̂ i X m ( T i j 1 X j ) π u u i = ( X 0 X i ) X 1 X ̂ i X m π u u i , and X 0 X m u π

in the coordinates X 0 , , X m . Here the partial derivative X i is the one killing T , X j for i j 1 and u i = u 1 X i u . Multiplying the expression on the right side of the equation for X i g by X 0 X i and substituting u π for X 0 X m , we obtain the element (4.1) times u π .

Let I O [ [ X 0 , , X m ] ] be the ideal generated by the elements (4.1) and (4.2) with the u i as above. We have just shown π I J . A simple calculation shows that J I . Therefore, I = ( I : π ) = I , where the second equality follows from Claim 4.6. We have shown Lemma 4.5. ∎

Now parts (i) and (ii) of Proposition 4.4 follow by combining Claim 4.6 and Lemma 4.5. For part (iii), observe that ϕ | S : S D is given locally by the ring homomorphism O [ [ T ] ] A which sends 𝑇 to

X 0 + f 1 ( X 0 ) + + f m ( X 0 ) ( m + 1 ) X 0 + X 0 2 A

with the notation of the proof of Claim 4.6. So this ring homomorphism is surjective if m + 1 is invertible in 𝒪. ∎

5 Geometry of Lefschetz pencils

5.1 Stratified Lefschetz pencils

Let 𝑋 be a projective scheme over 𝑘 together with a regular stratification. Fix a closed immersion ι : X P k N .

A 𝑘-rational point 𝑉 of the Grassmannian Gr ( 2 , H 0 ( P k N , O ( d ) ) ) is called a pencil of hypersurfaces of degree 𝑑. The base𝐴 of the pencil is the intersection of two different hypersurfaces of the pencil. The pencil map is the canonical map P k N A P ( V ) P k 1 sending a point to the unique hypersurface of the pencil containing it. The compactified pencil map (or for short just pencil map) is the induced morphism Bl A ( P k N ) P k 1 .

Definition 5.1

Definition 5.1 (Lefschetz pencil)

A pencil of degree 𝑑 hypersurfaces is called a Lefschetz pencil for 𝑋 if

  1. the base 𝐴 of the pencil intersects each stratum Z X transversally, i.e. A X X is a stratified regular immersion of codimension two;

  2. the pencil map X ( A X ) P k 1 is a stratified Morse function and has at most one critical point per geometric fiber.

If, for a Lefschetz pencil for 𝑋, we set X ̃ = ι Bl A ( P k N ) , then we obtain the pencil map ϕ : X ̃ P k 1 . Note that, as A P k N and A X X are regular closed immersions of the same codimension ( = 2 ), we have an isomorphism Bl A X ( X ) ι Bl A ( P k N ) (see [40, Chapitre I, Théorème 1]). The pullback of the stratification of 𝑋 to X ̃ is a regular stratification by Lemma 3.8. The compactified pencil map ϕ : X ̃ P k 1 is a Morse function which has no critical points over A X .

Proposition 5.2

For 𝑑 large, there is an open dense subset of Lefschetz pencils of 𝑋 in Gr ( 2 , H 0 ( P k N , O ( d ) ) ) .

Proof

For simplicity of notation, we replace 𝜄 by its composition with the Veronese embedding

P k N P k ( N + d d ) 1

of degree 𝑑, so now P ( V ) is a line in the dual space P ̌ k N . We also assume for simplicity that 𝑘 is algebraically closed.

For a smooth closed subscheme Z X , let Z ̌ P ̌ k N be its dual variety, i.e. the closure of the set of hyperplanes 𝐻 with H Z singular. For d > 1 , the reference [14, Exposé XVII, Proposition 3.5] implies that Z ̌ is a hypersurface and a line P ( V ) in P ̌ k N with associated base A P k N is a Lefschetz pencil for Z ̄ if and only if

  1. 𝐴 intersects Z ̄ transversally and

  2. P ( V ) does not intersect Z ̌ sing .

The critical values are P ( V ) Z ̌ . By Proposition 3.7, we obtain that, for d 0 , the dual varieties Z ̄ ̌ for strata Z Z are different. Then any pencil 𝑉 which satisfies (I) and such that

( Z Z Z ̌ ) sing P ( V ) =

is a stratified Lefschetz pencil. The set of those 𝑉 is clearly open and non-empty by the theorem of Bertini. ∎

5.2 Semistable Lefschetz pencils

Let 𝑋 be a projective semistable scheme over 𝒪 of relative dimension 𝑛. Fix a closed immersion ι : X P O N . Recall that we endow 𝑋 with the standard stratification as in Section 4.

An 𝒪-point 𝑉 of the Grassmannian Gr ( 2 , H 0 ( P O N , O ( d ) ) ) is called a pencil of hypersurfaces of degree 𝑑. This is the same as a rank 2 free 𝒪-submodule of H 0 ( P O N , O ( d ) ) which has a free complementary submodule.

Definition 5.3

If V k defines a stratified Lefschetz pencil for X k and V K defines a Lefschetz pencil for X K , then we say that 𝑉 defines a semistable Lefschetz pencil for 𝑋. The set of critical points resp. critical values is the union of the set of critical points resp. critical values of the pencil maps ϕ K and ϕ k .

Note that if V k defines a stratified Lefschetz pencil, the base 𝐴 has the property that A X X is a stratified regular immersion by Lemma 3.6. So if, under this assumption, we set X ̃ = Bl A X ( X ) = ι Bl A ( P O N ) , then we get the pencil map ϕ : X ̃ P O 1 which is stratified lci by Lemma 3.8.

Let us recall the properties we showed in Theorem 4.2 in the case of large residue characteristic.

Theorem 5.4

If ch ( k ) > n + 1 or ch ( k ) = 0 and V k defines a Lefschetz pencil for X k , then 𝑉 defines a Lefschetz pencil for 𝑋. Moreover, the set of critical points on 𝑋 is closed and maps isomorphically (as a scheme) onto the set of critical values. Each connected component of the critical points is a trait which is finite and of ramification index over 𝒪 equal to the number of irreducible components of X k it meets.

In case 0 < ch ( k ) n + 1 , we cannot combine Proposition 5.2 and Theorem 4.2 to deduce the existence of a Lefschetz pencil over 𝒪, since using them, it is not clear whether ϕ K has at most one critical point per geometric fiber. However, one easily proves the following proposition.

Proposition 5.5

For 𝑑 large, there is an open dense subset in Gr ( 2 , H 0 ( P k N , O ( d ) ) ) such that if V k lies in this subset, then 𝑉 defines a Lefschetz pencils for 𝑋.

Proof

Let B F Gr ( 2 , H 0 ( P F N , O ( d ) ) ) be the Zariski closure of all non-Lefschetz pencils over 𝐹 for F = K or F = k . Then B F is not dense in Gr ( 2 , H 0 ( P F N , O ( d ) ) ) for F = K and F = k . Thus B K ̄ O k is a proper closed subset of Gr ( 2 , H 0 ( P k N , O ( d ) ) ) , so the open subset

Gr ( 2 , H 0 ( P k N , O ( d ) ) ) ( B K ̄ O k B k )

has the required properties. ∎

6 Reminder on the cohomology of Lefschetz pencils

In this section, we reformulate the classical results about the cohomology of Lefschetz pencils in terms of perverse sheaves. This has the advantage that one gets rid of the unpleasant dichotomy of cases (A) and (B) in [14, Exposé XVII].

6.1 Picard–Lefschetz theory

Let ℓ be a prime number invertible in 𝑘 and let Λ be equal to Z / ν Z or be an algebraic field extension of Q . Let f : X Spec k be a smooth projective morphism of schemes, n = dim X . In this section, we use the perversity associated to δ X : X Z , δ X ( x ) = dim { x } ̄ ; see Section A.4.

For Λ = Q ̄ , a perverse sheaf F D c b ( X , Λ ) is called geometrically semisimple if

F k ̄ D c b ( X k ̄ , Λ )

is semisimple. For 𝑋 geometrically connected, a geometrically semisimple perverse sheaf F D c b ( X , Λ ) has a canonical decomposition F = F c F nc into a geometrically constant part F c = f ( F ) [ n ] , where F D c b ( Spec k , Λ ) is situated in degree 0, and a part F nc which has no non-trivial geometrically constant subsheaves; see [4, Corollaire 4.2.6.2 and following comment]. We say that a geometrically semisimple perverse sheaf 𝖥 on 𝑋 satisfies multiplicity one if F k ̄ is a direct sum of pairwise non-isomorphic irreducible perverse sheaves. Let C = Λ [ n ] be the constant perverse sheaf on 𝑋.

Fix an immersion X P k N . Consider a Lefschetz pencil with center 𝐴 as above and

X ̃ = Bl X A ( X ) .

Let ϕ : X ̃ P k 1 be the pencil map. We call the perverse sheaf L = R 0 p ϕ C on P k 1 the associated Picard–Lefschetz sheaf.

Theorem 6.1

Assume Λ = Q ̄ . Then the following properties are verified:

  1. R i p ϕ C is a geometrically semisimple perverse sheaf for all i Z ;

  2. R i p ϕ C is geometrically constant for i 0 ;

  3. L nc = ( R 0 p ϕ C ) nc satisfies multiplicity one.

More precisely, if 𝑋 is geometrically connected, then either
  1. there is no skyscraper in 𝖫 and L nc is geometrically irreducible or

  2. L nc is a sum of one-dimensional skyscrapers at the critical values of 𝜙.

Remark 6.2

By [14, Théorème 6.3], the Lefschetz pencil is of type (A) if the degree of the pencil is sufficiently large. For 𝑛 odd, type (B) does not occur.

From a modern point of view, Theorem 6.1 (i) is simply the decomposition theorem for proper morphisms [4, Théorème 6.2.5], while Theorem 6.1 (ii) is a simple consequence of the weak Lefschetz theorem. The proof of Theorem 6.1 (iii) uses the local Picard–Lefschetz formula; see [14, Exposé XV]. In the following, we recall the part of the local theory which we use explicitly in this paper.

Consider a point x P k 1 . Fix a geometric point η ̄ x over the generic point

η x Spec O P k 1 , x h .

Set G x = Gal ( η ̄ x / η x ) . Consider ȷ ̄ x : η ̄ x P k 1 , i x : Spec k ( x ) P k 1 . The Λ-module of pre-vanishing cycles at 𝑥 is defined by

V x : = H 1 ( x , cone ( i x L i x ȷ ̄ x , ȷ ̄ x L ) ) .

Note that all other cohomology groups in degree different from −1 vanish as 𝖫 is perverse. One can deduce this directly from the definition of a perverse sheaf or interpret it as a special case of [25, Corollaire 4.6] applied to the identity morphism.

The following proposition is a consequence of the Picard–Lefschetz formula [14, Exposé XV].

Proposition 6.3

Let 𝑥 be a critical value of 𝜙.

  • If 𝑛 is even, there is a canonical isomorphism V x Λ ( n 2 ) up to sign.

  • If 𝑛 is odd, there is a canonical isomorphism V x Λ ( n 1 2 ) up to sign.

The proposition means that the homomorphism of G x Aut ( V x ) / { ± id } is given in terms of a power of the cyclotomic character. In particular, the order of im ( G x ) Aut ( V x ) divides 2 if G x acts trivially on Λ ( 1 ) .

6.2 The middle primitive cohomology

The results of this section are due to [14, Exposé XVIII, Théorème 5.7] for Lefschetz pencils of type (A). In Proposition 6.4, we formulate our result, and in Remark 6.5, we explain what this means in the novel case of Lefschetz pencils of type (B).

Let Λ be an algebraic field extension of Q , C = Λ X [ n ] , n = dim ( X ) . Consider the Lefschetz operator L : H i ( X k ̄ , C ) H i + 2 ( X k ̄ , C ( 1 ) ) associated to the given polarization. By the hard Lefschetz theorem [12, Théorème 6.2.13], the canonical map from the kernel of 𝐿 to its (Tate twisted) cokernel is an isomorphism in degree 0. We write this group

H prim = H 0 ( X k ̄ , C ) L H 0 ( X k ̄ , C ) L .

Let L = R 0 p ϕ C be a Picard–Lefschetz sheaf as in Theorem 6.1.

Proposition 6.4

The Gal ( k ̄ / k ) -module H prim is canonically a direct summand of the Gal ( k ̄ / k ) -module H 0 ( P k ̄ 1 , L ) .

Proof

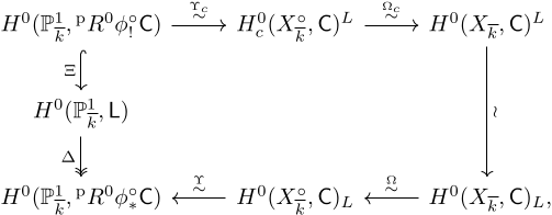
Set X = X ( X A ) , ϕ = ϕ | X . Let Y X be a generic hypersurface section in the fixed Lefschetz pencil; in particular, 𝑌 is smooth over 𝑘. Observe that

Y = Y ( Y A ) and X Y = X Y

are affine. We study the commutative diagram

(6.1)

where Υ and Υ c are induced by the Leray spectral. Below, we will show that the horizontal maps are isomorphisms. We deduce that Ξ is injective and Δ is surjective. So we see that the upper part of the diagram induces an injection H prim H 0 ( P k ̄ 1 , L ) with splitting H 0 ( P k ̄ 1 , L ) H prim induced by the lower part of the diagram.

In order to show that the upper and the lower horizontal maps in (6.1) are isomorphisms, it suffices by duality to consider the upper part of the diagram. In the sequel, the cohomology groups are meant to be with coefficients in 𝖢, and we assume that k = k ̄ . We now proceed by a series of claims (I)–(VI).

(I) H c 0 ( X ) H 0 ( X ) is injective. This follows from a diagram chase in the following commutative diagram with exact rows:

The right vertical Lefschetz arrow is an isomorphism by the hard Lefschetz theorem. The vanishing of the right bottom group follows from the exact sequence

0 = H c 2 ( X Y 1 ) H c 2 ( X Y 2 ) H c 2 ( X ) H c 1 ( X ( Y 1 Y 2 ) ) = 0 ,

where Y 1 and Y 2 are two different hypersurfaces of the fixed Lefschetz pencil. Indeed, the weak Lefschetz theorem implies that the groups on the right and on the left vanish in this exact sequence.

(II) It holds

H c 0 ( X ) L ker ( H c 0 ( X ) H c 0 ( Y ) ) , H 0 ( X ) L = im ( H c 0 ( X Y ) H 0 ( X ) ) .

For the first inclusion, use that L : H c 0 ( X ) H c 2 ( X ) ( 1 ) is the composition of

H c 0 ( X ) H c 0 ( Y ) H c 2 ( X ) ( 1 ) .

For the second equality, use the exact sequence H c 0 ( X Y ) H 0 ( X ) H 0 ( Y ) and the description of L : H 0 ( X ) H 0 ( X ) as the composition H 0 ( X ) H 0 ( Y ) H 2 ( X ) ( 1 ) , in which the second arrow is injective by the weak Lefschetz theorem as H 1 ( X Y ) = 0 .

(III) The maps ker ( H c 0 ( X ) H c 0 ( Y ) ) H c 0 ( X ) L H 0 ( X ) L are isomorphisms. The first (injective) map is well-defined by (II). The second map is injective by (I). From (II), we get a surjection H c 0 ( X Y ) H 0 ( X ) L , which factors through these maps as

X Y = X Y .

In particular, (III) implies that Ω c is an isomorphism.

(IV) 0 H 0 ( P k 1 , R 0 p ϕ ! C ) H c 0 ( X ) β H 1 ( P k 1 , R 1 p ϕ ! C ) is exact. This sequence is induced by the perverse Leray spectral sequence, and the exactness follows since

H a ( P k 1 , G ) = 0

for any perverse sheaf 𝖦 and a < 1 and since R a p ϕ ! C = 0 for a < 0 by the weak Lefschetz theorem.

(V) R 1 p ϕ ! C is smooth. Let E X ̃ be the exceptional divisor of the blow-up X ̃ X . Then E ( A X ) × P k 1 and ϕ E : = ϕ | E : E P k 1 is given by the projection; see [14, Exposé XVIII, 2]. We consider the exact sequence

R 0 p ϕ E C | E R 1 p ϕ ! C R 1 p ϕ C .

Then the perverse sheaf on the left is smooth by smooth base change and the one on the right is smooth by Theorem 6.1.

(VI) It holds ker ( β ) = ker ( H c 0 ( X ) H c 0 ( Y ) ) . By (V) and proper base change, the restriction map

H 1 ( P k 1 , R 1 p ϕ ! C ) H c 0 ( Y )

is injective.

The combination of (III), (IV) and (VI) gives the isomorphism Υ c . ∎

Remark 6.5

If a geometrically connected 𝑋 has a Lefschetz pencil of type (B), Proposition 6.4 combined with Proposition 6.3 yields an isomorphism

H prim Λ ( n 2 ) r ,

where 𝑟 is the number of critical points, which is canonical up to signs on each summand on the right. For Lefschetz pencils of type (A), the complement in the direct sum decomposition in Proposition 6.4 is calculated in [14, Exposé XVIII, Théorème 5.7].

7 Monodromy filtration and weight filtration

7.1 Monodromy filtration for perverse sheaves

Let 𝑘 be a field. Let X , Y be separated schemes of finite type over 𝑘. Let Λ = Z / n Z or let Λ be an algebraic field extension of Q . We use the notation of Section A.3.

Consider a perverse sheaf F D nil ( X , Λ ) with its nilpotent endomorphism

N : F F ( 1 ) Iw .

Note that if Q Λ , there is a canonical isomorphism between the Iwasawa twist and the Tate twist F ( 1 ) Iw F ( 1 ) by Section A.2, so in this case, one can also write N : F F ( 1 ) .

We use the perverse t-structure from Section 6. Consider the two filtrations by perverse subsheaves of 𝖥,

fil a F = ker [ N a + 1 : F F ( a 1 ) Iw ] , fil a F = im [ ( N ( 1 ) Iw ) a : F ( a ) Iw F ]

for a Z . We denote by gr a F , gr a F the corresponding graded subquotients. Set

gr a b F = fil a F fil b F / ( fil a 1 F + fil b + 1 F ) fil a F fil b F .

The monodromy filtration is the increasing convolution

(7.1) fil a M F = b c = a fil b F fil c F ,

filtration. See [48, Section 2.1], where one finds a proof of the following lemma.

Lemma 7.1

The following statements hold.

  1. The canonical map

    b c = a gr b c F gr a M F

    is an isomorphism.

  2. 𝑁 sends fil a M F to fil a 2 M F ( a ) Iw for all a Z , and it induces an isomorphism

    gr a M F N a gr a M F ( a ) Iw

    for all a 0 .

  3. The monodromy filtration is the only finite filtration of 𝖥 by perverse subsheaves which satisfies (ii).

Definition 7.2

For f : X Y a proper 𝑘-morphism and for F D nil ( X , Λ ) perverse, we say that the monodromy property holds (for 𝖥 and 𝑓) if

(7.2) fil a M R i p f F = im [ R i p f fil a M F R i p f F ]

in the category of perverse sheaves for all a , i Z .

Remark 7.3

A variant of a conjecture of Kashiwara [30] says that, for 𝑘 separably closed and Λ an algebraic extension of Q ̄ , any F = ψ ( G ) D nil ( ψ 1 ( 0 ) , Λ ) D nil ( X , Λ ) produced by the unipotent nearby cycle functor ψ for a morphism X A k 1 and a semisimple perverse G D c b ( X , Λ ) satisfies the monodromy property for any proper morphism f : X Y . If ch ( k ) = 0 , one can deduce this conjecture from the work by T. Mochizuki [41] or by applying the method of Drinfeld [15]. If ch ( k ) > 0 and 𝖦 is arithmetic in the sense of [16, Definition 1.4], one can deduce it from the work of [36] and Gabber [3, Section 5].

7.2 mw pure sheaves

Assume now that 𝑘 is a finite field, that Λ is an algebraic extension of Q and that F D nil ( X , Λ ) is mixed and perverse. Then there is a canonical weight filtration fil a W F F ; see [4, Théorème 5.3.5].

Definition 7.4

We call the mixed perverse sheaf 𝖥monodromy-weight pure (or mw pure) of weight w Z if gr a M F is pure of weight w + a for all a Z , i.e. if fil a M F = fil a + w W F .

Recall the following well-known result; see e.g. [17, Theorem 2.49] for the case of X = Spec ( F q ) .

Proposition 7.5

For fixed w Z , the mw pure perverse sheaves F D nil ( X , Λ ) of weight 𝑤 form an abelian subcategory of all perverse sheaves closed under extensions.

Proof

Mixed perverse sheaves form an abelian category for which every morphism is strict with respect to the weight filtration [4, Théorème 5.3.5]. On the other hand, for a morphism of perverse sheaves F G in D nil ( X , Λ ) which is strict with respect to the monodromy filtration, the monodromy filtration on the kernel and cokernel is the induced subspace and quotient filtration. This shows that the mw pure perverse sheaves in D nil ( X , Λ ) form an abelian subcategory. Similarly, one sees that this category is closed under extensions. ∎

Assume in the following that f : X Y is a proper 𝑘-morphism.

Proposition 7.6

If 𝖥 is mw pure, the monodromy spectral sequence

E 1 p , q = R p + q p f gr p M F R p + q p f F

degenerates at the E 2 -page.

Proof

The perverse sheaf R p + q p f gr p M F is pure of weight w + q if 𝖥 is mw pure of weight 𝑤; see [4, Corollaire 5.4.2]. So the differentials d 2 , d 3 , vanish by weight reasons. ∎

Proposition 7.7

If 𝖥 is mw pure of weight 𝑤, the following are equivalent.

  1. The monodromy property holds for 𝖥 and 𝑓.

  2. R i p f F is mw pure of weight w + i for all 𝑖.

  3. The map N a : E 2 a , i + a E 2 a , i a ( a ) is an isomorphism for all a 0 and i Z .

Proof

(i) ⇒ (ii): By [4, Corollaire 5.4.2], the filtration on the right of (7.2) is the shifted weight filtration.

(ii) ⇒ (iii): As in the proof of Proposition 7.6, the perverse sheaf E 2 a , i + a is the weight w + i + a graded piece of R i p f F , so if the weight filtration agrees up to shift with the monodromy filtration on R i p f F , we obtain part (iii) by Lemma 7.1 (ii).

(iii) ⇒ (i): Similarly, this follows from Lemma 7.1 (iii). ∎

8 Rapoport–Zink sheaves

The study of the nearby cycle functor for the constant sheaf on a semistable scheme originated from [22, Exposé I]. In the complex analytic framework, a more precise calculation was envisioned in [50], which was made precise in the étale setting by [45, Abschnitt 2]. However, the latter approach is not formulated in terms of perverse sheaves, which was done later in [47, Theorem 3.3] in the setting of 𝒟-modules, and by [48, 7] in the étale setting. In this section, we give a summary of the theory based on the duality of the nearby cycle functor.

We make systematic use of the notion of Iwasawa twist developed by Beilinson, which is necessary in order to give a coordinate free description; see Appendix A.

8.1 Constant sheaf

Let 𝑘 be a field. Let f : X Spec k be a simple normal crossings variety of dimension 𝑛. Let Λ be Z / ν Z or an algebraic extension of Q . Set ϖ = f ! Λ . We use the notation introduced in Section 3.4. We consider the perverse t-structure on D c b ( X , Λ ) as in Section 6.1.

For a perverse sheaf F D c b ( X , Λ ) , we denote by fil S a F the largest perverse subsheaf of 𝖥 supported in codimension at least 𝑎. Set C = Λ X [ n ] . Note that 𝖢 is perverse as 𝑓 is a local complete intersection (lci) [33, Lemma 6.5]. In this subsection, we recall the description of its support filtration fil S C from [48, Section 1.1]. We refer to Section 3.4 for the notation used below. In particular, X ( a ) denotes the union of all strata in 𝑋 with codimension at least 𝑎, and for a set of irreducible components 𝐼 of 𝑋, we denote the intersection of the irreducible components in 𝐼 by X ( I ) . These are closed subschemes of 𝑋.

Let π : X ̃ X be the normalization and set

Λ X ( 0 ) = π Λ X ̃ and Λ X ( a ) = Λ a + 1 Λ ( 0 ) for a > 0 .

Note that if one chooses an ordering X ( 1 ) , , X ( r ) of the irreducible components of 𝑋, then

Λ X ( a ) 1 i 0 < < i a r Λ X ( i 0 ) X ( i a ) ,

so Λ X ( a ) [ n a ] is perverse.

The canonical map Λ X π π Λ X = Λ X ( 0 ) defines a Koszul complex

Ko X = [ Λ X ( 0 ) Λ X ( 1 ) Λ X ( 2 ) ] ,

where Λ X ( 0 ) is placed in degree 0, which resolves Λ X , i.e. we have a quasi-isomorphism

C Ko X [ n ] .

We consider the truncation filtration

fil a Ko X = [ 0 Λ X ( a ) Λ X ( a + 1 ) ] .

By descending induction on 𝑎 and the exact triangle

(8.1) fil a + 1 Ko X fil a Ko X Λ X ( a ) [ a ] fil a + 1 Ko X [ 1 ] ,

we deduce the following lemma.

Lemma 8.1

The following statements hold.

  1. fil a Ko X [ n ] is perverse for all a Z .

  2. The isomorphism C Ko X [ n ] induces an isomorphism of perverse subsheaves

    fil S a C fil a Ko X [ n ]

    for all a Z .

  3. There is a canonical isomorphism

    κ : Λ X ( a ) [ n a ] gr S a C

    which induces a canonical perfect pairing c a : gr S a C gr S a C ( n a ) ϖ .

Following the sign convention of M. Saito in [46, Section 5.4], one should incorporate the sign ( 1 ) b ( b 1 ) / 2 in the perfect pairing Λ Y [ b ] Λ Y [ b ] ( b ) g ! Λ for a smooth scheme g : Y Spec k of dimension 𝑏. The reason is that we have a shift −1 in the unipotent nearby cycle functor ψ , so we need this sign for Proposition 8.7 below to hold.

Lemma 8.2

For any point x X ( a + 1 ) with a 0 , it holds

Hom Λ ( Λ X ( a ) [ n a ] , C ) x ̄ = 0 .

Proof

We reduce to the case when Λ = F . We consider the exact sequence of perverse sheaves

0 Λ X ( a + 1 ) [ n a 1 ] fil S a C / fil S a + 2 C α Λ X ( a ) [ n a ] 0 .

As End ( Λ X ( a ) [ n a ] ) = Λ X ( a ) , a homomorphism

σ : Λ X ( a ) [ n a ] fil a C / fil a + 2 C

defined étale locally around 𝑥 forces the boundary map Λ X ( a ) [ n a ] Λ X ( a + 1 ) [ n a ] to vanish on the image of α σ . This image is a direct sum of Λ X ( I ) [ n a ] with # I = a + 1 . Therefore, on those summands, the boundary map has to vanish, but from its description in the Koszul complex, it does not vanish on any summand; thus there is no such summand and 𝜎 can only be zero. On the other hand,

Hom Λ ( Λ X ( a ) [ n a ] , fil S a + 2 C ) = 0 , Hom Λ ( Λ X ( a ) [ n a ] , C / fil S a C ) = 0 ,

as Λ X ( a ) [ n a ] is a simple perverse sheaf with support of dimension n a and there are no such subquotients in the perverse sheaves on the right sides. Therefore,

Hom Λ ( Λ X ( a ) [ n a ] , C ) Hom Λ ( Λ X ( a ) [ n a ] , fil a C / fil a + 2 C ) .

This finishes the proof. ∎

Proposition 8.3

There are canonical isomorphisms of étale sheaves on 𝑋,

Hom Λ ( fil S a C , fil S b C ) { 0 for b > a 0 , Λ X ( a ) for a b 0 , Ext Λ 1 ( Λ X ( I ) [ n a ] , Λ X ( J ) [ n b ] ) { 0 for | a b | 1 , Λ X ( J ) for a + 1 = b , a 0 , Λ X ( I ) ( 1 ) for a = b + 1 , b 0 ,

for 𝐼 and 𝐽 sets of irreducible components of 𝑋 and a = # I 1 , b = # J 1 .

Proof

We prove the first case in the first isomorphism. The complex fil S a C is supported on X ( a ) in degree a n by the exactness of the Koszul complex above and therefore Hom Λ ( fil S a C , fil S b C ) = 0 for a < b .

For the second case in the first isomorphism, one has to show that the canonical map

Λ X ( a ) Hom Λ ( fil S a C , fil S a C )

is an isomorphism. This is clear away from X ( a + 1 ) as there fil S a C = Λ X ( a ) . We prove isomorphy at the stalk of a fixed geometric point x ̄ over x X by descending induction on 𝑎 using the exact sequence of sheaves

Hom Λ ( Λ X ( a ) [ n a ] , fil S a C ) Hom Λ ( fil S a C , fil S a C ) Hom Λ ( fil S a + 1 C , fil S a C )

induced by (8.1). For x X ( a + 1 ) , the stalk at x ̄ of the sheaf on the left vanishes by Lemma 8.2 and the canonical map

Λ Hom Λ ( fil S a + 1 C , fil S a C ) x ̄ = Hom Λ ( fil S a + 1 C , fil S a + 1 C ) x ̄

is an isomorphism by the induction assumption, so Λ Hom Λ ( fil S a C , fil S a C ) x ̄ is an isomorphism.

The second isomorphism is immediate if I = J , so assume I J . Write I = K I and J = K J and observe

1 + a b = 1 + # I # J 2 # I = 2 codim X J ( X ( I ) X ( J ) ) .

If the inequality is strict, then

Ext Λ 1 ( Λ X ( I ) [ n a ] , Λ X ( J ) [ n b ] ) = H X ( I ) X ( J ) 1 + a b ( Λ X ( J ) ) = 0

by purity. Else 1 = # I + # J . If # I = 1 and # J = 0 , then by purity,

Ext Λ 1 ( Λ X ( I ) [ n a ] , Λ X ( J ) [ n b ] ) Λ X ( I ) ( 1 ) .

If # I = 0 and # J = 1 , then Ext Λ 1 ( Λ X ( I ) [ n a ] , Λ X ( J ) [ n b ] ) = Λ X ( J ) . ∎

8.2 Rapoport–Zink sheaves

We use the notation of Sections 7.1, 8.1 and of Section A.3. We consider the corresponding derived category of Λ-sheaves with a continuous unipotent Z ( 1 ) -action D nil ( X , Λ ) ; see Section A.2. Any object 𝖥 in D nil ( X , Λ ) has a canonical Λ-linear nilpotent morphism N Iw : F F ( 1 ) Iw . For simplicity of notation, we also write 𝑁 for N Iw .

We define the category RZ pre ( X , Λ ) of pre-Rapoport–Zink sheaves. Its objects are pairs ( RZ , ι ) , where RZ D nil ( X , Λ ) is a perverse sheaf and

ι : C ker [ RZ N RZ ( 1 ) Iw ]

is an isomorphism. A morphism ϕ : ( RZ , ι RZ ) ( RZ , ι RZ ) in RZ pre ( X , Λ ) is a morphism ϕ : RZ RZ in D nil ( X , Λ ) such that ϕ ι RZ = ι RZ . Note that RZ pre ( X , Λ ) is a groupoid by Lemma A.2.

The category of Rapoport–Zink sheaves RZ ( X , Λ ) is now defined as a full subcategory of RZ pre ( X , Λ ) .

Definition 8.4

We call ( RZ , ι ) RZ pre ( X , Λ ) a Rapoport–Zink sheaf (RZ-sheaf) if

  1. [compatibility of filtrations] ι 1 ( fil a RZ ) = fil S a C for all a Z ;

  2. [polarizability] there exists a perfect pairing

    p : RZ Λ Iw RZ ϖ ( n )

    in D nil ( X , Λ ) such that the induced pairing

    gr 0 a RZ gr a 0 RZ ϖ ( n )

    coincides with the pairing

    gr 0 a RZ gr a 0 RZ id N a gr 0 a RZ gr 0 a RZ ( a ) Iw ι 1 ι 1 gr S a C gr S a C ( a ) c a ϖ ( n )

    for all a > 0 , where c a is defined in Lemma 8.1 (iii).

Here we use the notation as in Section A.2 for Iwasawa module sheaves and ϖ = f ! Λ .

Remark 8.5

(i) For an RZ-sheaf ( RZ , ι ) , we have canonical isomorphisms

gr b a RZ N b gr 0 a + b RZ ( b ) ι gr S a + b C ( b ) , gr a M RZ p q = a Λ X ( p + q ) ( p ) [ n p q ] , gr a RZ N a fil a RZ fil 0 RZ ( 1 ) a ι fil S a C ( a ) .

(ii) The local extension class of gr b a RZ by gr b 1 a RZ , resp. the local extension class of gr b a RZ by gr b a + 1 RZ are, using the last identification in (i), given by ( 1 , 1 , , 1 ) on the Λ X ( I ) factors, resp. on the Λ X ( J ) factors (forgetting the Tate twists), where the summands come from the formula in Proposition 8.3. The latter is clear by comparing with the extensions in 𝖢 and one deduces the former from the polarizability in Definition 8.4. All other contributions in the extension of gr a M RZ by gr a 1 M RZ are trivial by Proposition 8.3.

Proposition 8.6

For Λ an algebraic extension of Q , the following properties hold.

  1. For 𝑘 a finite field, an RZ-sheaf in RZ ( X , Λ ) is mw pure of weight 𝑛.

  2. If additionally 𝑋 is proper over 𝑘, then the groupoid RZ ( X , Λ ) is either empty or contractible. So, in this case, our axioms uniquely determine an RZ-sheaf if it exists.

Recall that a groupoid (or to be precise its nerve) is contractible if it is non-empty and there is exactly one morphism between any two objects.

Proof

For part (i) observe that Λ X ( a + b ) [ n a b ] ( 1 ) b is pure of weight n + b a . Then the statement follows from Remark 8.5 and Lemma 7.1.

For part (ii), let ( RZ , ι ) be in RZ ( X , Λ ) . We first show that the only automorphism of this RZ-sheaf is the identity by showing that a Λ Iw -linear ϕ : RZ RZ which vanishes on the image of 𝜄 has to be zero. By Remark 8.5 and Proposition 8.3, we obtain an isomorphism of sheaves

Hom Λ ( gr a RZ , gr b RZ ) { Λ X ( a ) ( a b ) for a b 0 , 0 for 0 a < b ,

which induces an isomorphism

Hom Λ ( gr a RZ , gr b RZ ) { H 0 ( X , Λ X ( a ) ) for a = b 0 , 0 else ,

by weight reasons. So 𝜙 is strict with respect to the filtration fil a RZ ; in other words, it suffices to show that gr a ϕ vanishes for all a Z . One checks this by ascending induction using the commutative diagram

in which the vertical maps are injective.

Now we show that, up to isomorphism, there is at most one RZ-sheaf ( RZ , ι ) on 𝑋. One can build the RZ-sheaf successively along the monodromy filtration via the extensions

(8.2) 0 fil a 1 M RZ fil a M RZ gr a M RZ 0 ,

where the graded piece on the right is described by Remark 8.5. We will use a weight argument to show that this extension class is uniquely characterized by the description of RZ-sheaves in Remark 8.5.

As Hom Λ ( gr a M RZ , gr a i M RZ ) has weight at most 2 i for i 1 by Remark 8.5 and 𝑋 proper, we obtain

H 1 ( X , Hom Λ ( gr a M RZ , gr a i M RZ ) ) = 0 for i 1

by applying the Hochschild–Serre spectral sequence. So

Ext Λ 1 ( gr a M RZ , gr a i M RZ ) H 0 ( X , Ext Λ 1 ( gr a M RZ , gr a i M RZ ) )

is injective for i 1 and the group on the right vanishes for i > 1 by Proposition 8.3 and weight reasons. This argument demonstrates that the extension class of gr a M RZ by gr a 1 M RZ is determined by Remark 8.5 and that the map

Ext Λ 1 ( gr a M RZ , fil a 1 M RZ ) Ext Λ 1 ( gr a M RZ , gr a 1 M RZ )

is injective. So the extension class (8.2) is uniquely determined by the properties of an RZ-sheaf. ∎

Let f : X Y be a proper 𝑘-morphism. For an RZ-sheaf ( RZ , ι ) , we can write the monodromy spectral sequence from Proposition 7.6 explicitly as

(8.3) E 1 p , q = i max ( 0 , p ) R p + q p f ( Λ X ( p + 2 i ) ( i ) [ n p 2 i ] ) R p + q p f ( RZ )

Note that, for Λ an algebraic extension of Q and 𝑘 finite, E 1 p , q is a pure perverse sheaf of weight n + q by [4, Corollaire 5.4.2].

8.3 Construction via nearby cycles

Let 𝑋 be a semistable scheme over 𝒪 with generic fiber j : X K X and special fiber i : X k X , n = dim ( X K ) . Note that

H 1 p ( i j Λ [ n + 1 ] ) = Λ [ n ]

is the constant perverse sheaf which we also denote 𝖢; see Remark A.3. Set RZ = ψ ( Λ [ n + 1 ] ) and let ι : C RZ N be the isomorphism induced by the fundamental exact triangle (A.4). Let p : RZ Λ Iw RZ ϖ ( n ) be the perfect pairing defined in Section A.6.

The following proposition is essentially shown in [48], so we provide only a sketch of a proof. Another argument in the setting of 𝒟-modules is given in [47, Theorem 3.3].

Proposition 8.7

The above ( RZ , ι ) together with the pairing 𝗉 satisfy the properties of a Rapoport–Zink sheaf from Definition 8.4.

Proof sketch

It is shown in [22, Exposé I] that 𝑁 acts trivially on H a ( RZ ) for all a Z . In [48, Lemma 2.5], it is shown that the fundamental exact triangle (A.4) induces the horizontal quasi-isomorphisms in the commutative diagram for a n ,

Here { π } H 1 ( Spec K , Λ ( 1 ) ) is the tame symbol of 𝜋. Note that, by the purity isomorphism

(8.4) H a n ( i j C ) ( 1 ) Λ X ( a ) ( a ) ,

the objects in the diagram are perverse sheaves and the right vertical map is a monomorphism. So, by definition of the filtration fil a , we obtain that fil a RZ = τ a n RZ .

The isomorphisms

gr a 0 RZ H a n ( i j C ) ( 1 ) [ n a ] ( 8.4 ) Λ X ( a ) ( a ) [ n a ]

are dual to the isomorphisms

Λ X ( a ) ( n ) [ n a ] κ gr S a C ( n ) ι gr 0 a RZ ( n )

in view of (A.7) and the definition of the purity isomorphism.

Finally, the purity isomorphism (8.4) also induces the right vertical isomorphism of complexes in the commutative diagram in D c b ( X k , Λ ) ,

This proves parts (i) and (ii) of Definition 8.4 for ( RZ , ι ) and the polarization 𝗉. ∎

Proposition 8.8

The nearby cycles R Ψ X / O ( Λ ) are unipotent and in particular tame, i.e. the canonical map ψ ( Λ ) R Ψ X / O ( Λ ) [ 1 ] is an isomorphism.

Tameness is shown in [45, Satz 2.23]; for a simple proof, see [26, Theorem 1.2]. Under the assumption of tameness and a semistable case of absolute purity [45, Korollar 3.7], the unipotence was shown much earlier by Grothendieck; see [22, Exposé I].

9 Cohomology of semistable Lefschetz pencils

In this section, we establish a close connection between the monodromy-weight conjecture and properties of the cohomology of semistable Lefschetz pencils. We assume that 𝑘 is a finite field.

9.1 The monodromy-weight conjecture

For 𝑋 a projective semistable scheme over 𝒪, we know by Proposition 8.8 that the inertia subgroup of Gal ( K ̄ / K ) acts unipotently on

H i ( X K ̄ , Q ) H i ( X k ̄ , R Ψ X / O Q )

for all i Z , which means that it is given in terms of a nilpotent operator

N : H i ( X K ̄ , Q ) H i ( X K ̄ , Q ( 1 ) ) ;

see [22, Exposé I] and Section A.2.

The operator 𝑁 induces the monodromy filtration fil M H i ( X K ̄ , Q ) as in (7.1). We say that H i ( X K ̄ , Q ) is mw pure of weight 𝑖 if gr a M H i ( X K ̄ , Q ) is pure of weight a + i as a Gal ( k ̄ / k ) -module. Equivalently, its associated perverse sheaf in D nil ( Spec k , Q ) is mw pure of weight 𝑖 in the sense of Definition 7.4.

Consider the following property depending on an integer n 0 .

  1. For all projective, semistable 𝑋 over 𝒪 with dim ( X K ) n , the cohomology groups H i ( X K ̄ , Q ) are mw pure of weight 𝑖 for all i Z .

Remark 9.1

Deligne conjectures that ( mw ) n holds for all 𝑛 (see [9, Section 8.5]), the so called monodromy-weight conjecture in the semistable case. In fact, the general monodromy-weight conjecture follows from the semistable case by de Jong’s alteration theorem. For a general exposition, see [25, Section 3].

Grothendieck’s degeneration theory of abelian varieties essentially implies ( mw ) 1 ; a simplified argument was given by Deligne [22, Exposé I, Section 6, Appendice]. Using their spectral sequence (8.3), Rapoport–Zink showed ( mw ) 2 (see [45, Satz 2.13]).

In equal positive characteristic, the conjecture is a theorem which is essentially due to Deligne; see [12, Théorème (1.8.4)] and [28].

The monodromy-weight conjecture was shown by Scholze for set-theoretic complete intersections in P K N or more generally in a projective toric variety in [49, Theorem 9.6]. See [49, after Conjecture 1.13] for a summary of further results for special varieties.

9.2 A Lefschetz pencil approach

Set Λ = Q ̄ . For schemes of finite type over 𝒪, we use the perversity as in Section A.4. In particular, for 𝑋 regular and flat over 𝒪 with dim ( X K ) = n , the sheaf C = Λ X [ n + 1 ] is perverse. Recall that the unipotent nearby cycle functor

ψ : D c b ( X K , Λ ) D nil ( X k , Λ )

maps perverse sheaves to perverse sheaves; see Section A.3.

Let ϕ : X ̃ P O 1 be a semistable Lefschetz pencil as in Definition 5.3. In this section, we study the cohomological degeneration over 𝒪 of the perverse Picard–Lefschetz sheaf

L K = R 0 p ϕ K , C D c b ( P K 1 , Λ ) .

In Section 10, we study the tameness of L K . Let L k : = ψ ( L K ) be the unipotent nearby cycles of L K ; see Section A.3.

Lemma 9.2

The perverse sheaf L K is unipotent along P k 1 , i.e.

ψ ( L K ) R Ψ P O 1 / O ( L K ) [ 1 ]

is an isomorphism.

Proof

Consider the RZ-sheaf ( RZ , ι ) on X ̃ k as in Section 8.3 with

RZ = ψ ( C ) R Ψ X ̃ / O ( C ) [ 1 ] ,

where the last isomorphism is Proposition 8.8. So, by proper base change,

R Ψ P O 1 / O ( L K ) [ 1 ] R ϕ k , RZ

has a unipotent inertia action. ∎

In [10], Deligne uses Lefschetz theory to prove the Weil conjectures over a finite field, so it is natural to try to use the following proposition to proceed analogously over the local field 𝐾.

Proposition 9.3

Assume that 𝑛 is fixed and that ( mw ) n 1 holds. Let 𝑋 be a projective, semistable scheme over 𝒪 with dim ( X K ) = n . Then H a ( X K ̄ , Λ ) is mw pure of weight 𝑎 for all a Z if there exists a semistable Lefschetz pencil ϕ : X ̃ P O 1 such that

(9.1) H 1 ( P K ̄ 1 , L K ) H 0 ( P k ̄ 1 , L k )

is mw pure of weight 𝑛 for the Picard–Lefschetz sheaves

L K = R 0 p ϕ K , C on P K 1 and L k = ψ ( L K ) on P k 1 .

Proof

Recall that a direct summand of an mw pure structure is again mw pure, Proposition 7.5. Isomorphism (9.1) follows from proper base change and Lemma 9.2. Fix a semistable Lefschetz pencil as in the proposition with associated Lefschetz operator

L : H i ( X K ̄ , C ) H i + 2 ( X K ̄ , C ( 1 ) ) .

Let Y K X K be a smooth fiber of the pencil over 𝐾. By the hard and weak Lefschetz theorems, the restriction map

H i ( X K ̄ , C ) H i ( Y K ̄ , C )

is an isomorphism for i < 2 and a split injection for i = 2 with inverse the composition of

H 2 ( Y K ̄ , C ) H 0 ( X K ̄ , C ( 1 ) ) L H 2 ( X K ̄ , C ) .

So we conclude by the Lefschetz decomposition and by Proposition 6.4 (𝖢 has a different shift there). ∎

9.3 Main cohomological theorem

By Proposition 8.6, the Rapoport–Zink sheaf RZ as in the proof of Lemma 9.2 is mw pure of weight 𝑛, so in order to check whether (9.1) is mw pure of weight 𝑛, it would suffice to answer positively the following two questions in view of Proposition 7.7. Recall that the monodromy property is defined in Definition 7.2.

  1. Is L k mw pure of weight 𝑛?

  2. Does the monodromy property hold for L k ̄ and P k ̄ 1 Spec k ̄ ?

In Theorem 9.4, we give a positive answer to (I) assuming the monodromy-weight conjecture is known in smaller dimensions. Question (II) can be seen as an arithmetic variant of a conjecture of Kashiwara [30] (see Section 9.4) about the topology of complex varieties. The complex version has been proved by T. Mochizuki [41]. We defer the study of the arithmetic variant to a forthcoming work.

Theorem 9.4

Assume ( mw ) n 1 holds. Then the following properties are satisfied.

  1. The sheaf RZ satisfies the monodromy property for ϕ k in the sense of Definition 7.2. In particular, L k as in Proposition 9.3 is mw pure of weight 𝑛 and the monodromy graded pieces gr a M L k ̄ are semisimple for all a Z .

  2. The non-constant part of gr a M L k ̄ satisfies multiplicity one in the sense of Section 6.1 for all a Z .

Corollary 9.5

Assume ( mw ) n 1 holds. In order to show ( mw ) n , it would “suffice” to show the monodromy property for L k ̄ and the morphism P k ̄ 1 Spec k ̄ .

Proof of Corollary 9.5

By Theorem 9.4, the perverse sheaf L k is mw pure of weight 𝑛. Then, by Proposition 7.7, the monodromy property for L k ̄ and for the morphism P k ̄ 1 Spec k ̄ implies that H 0 ( P k ̄ 1 , L k ̄ ) is mw pure of weight 𝑛. We finish the proof using Proposition 9.3. ∎

Proof of Theorem 9.4

We check the mw property for RZ and ϕ k via the criterion of Proposition 7.7 (iii) for f = ϕ k and F = RZ . By the characterizing property of the monodromy filtration, Lemma 7.1 (ii),

(9.2) N a : E 1 a , i + a E 1 a , i a ( a )

is an isomorphism for a > 0 in view of the definition of the spectral sequence. By Remark 8.5 and by Theorem 6.1, E 1 p , q is geometrically constant for p + q 0 . So the non-constant part of the d 1 -differential vanishes, which means

(9.3) E 2 p , q = ( E 1 p , q ) nc H ( ( E 1 p 1 , q ) c d 1 ( E 1 p , q ) c d 1 ( E 1 p + 1 , q ) c ) .

Recall that the upper indices “c” and “nc” stand for the geometrically constant part and the geometrically non-constant part as in Section 6.1.

On the first summand on the right of (9.3), the map N a is an isomorphism in the bidegrees as in (9.2) as observed above. The second summand is geometrically constant, so we only need to check that the map of perverse sheaves in D nil ( x , Λ ) ,

(9.4) N a : E 2 a , i + a | x [ 1 ] E 2 a , i a ( a ) Iw | x [ 1 ] ,

is an isomorphism for a > 0 , where x P k 1 is a closed non-critical value, which we will assume to be 𝑘-rational after possibly replacing 𝑘 by a finite extension.

Lift 𝑥 arbitrarily to an 𝒪-point s : Spec O P O 1 . By Lemma 3.6, Y : = ϕ 1 ( s ) X ̃ is a stratified regular immersion of semistable schemes (see Section 3.2), where X ̃ and 𝑌 have the standard stratification as in Section 4. Then, by Proposition 3.5, we get the base change isomorphism of perverse sheaves RZ | Y k [ 1 ] ψ ( C | Y K [ 1 ] ) . Note that

( fil a M RZ ) | Y k [ 1 ] = fil a M ( RZ | Y k [ 1 ] ) ,

because no irreducible perverse constituent of RZ is supported on Y k . In particular, the spectral sequence in (9.4) is nothing but the monodromy spectral sequence for H ( Y K ̄ , Λ ) with respect to the model 𝑌. Finally, by our assumption ( mw ) n 1 , we get the isomorphy of (9.4). This proves part (i).

Part (ii) is then clear as the critical values of ϕ k coming from different strata 𝑍 of X ̃ k are disjoint, but these critical values are just the non-smooth loci of R 0 p ( ϕ k | Z ̄ ) Λ [ dim Z ] . As the non-constant parts of these perverse sheaves satisfy multiplicity one by Theorem 6.1 individually, so does their direct sum. ∎

Example 9.6

If case (B) in Theorem 6.1 holds for the Lefschetz pencil ϕ K ̄ : X K ̄ P K ̄ 1 , the monodromy property for L k ̄ is clear, because this perverse sheaf is then a direct sum of a constant perverse sheaf and of skyscraper sheaves.

9.4 Arithmetic Kashiwara conjecture

Motivated by the Kashiwara conjecture in complex geometry [30], we suggest that the following arithmetic Kashiwara conjecture holds.

Let 𝒪 be a strictly henselian discrete valuation ring. We do not have to assume that K = frac ( O ) has characteristic zero or that the residue field 𝑘 is perfect in this subsection. Let 𝑋 be a proper scheme over 𝒪.

Conjecture 9.7

For a perverse sheaf F K D c b ( X K , Q ̄ ) such that its base change F K ̄ to a separable closure K ̄ of 𝐾 is semisimple and arithmetic (in the sense of [16, Definition 1.4]), the following holds for the perverse sheaf F k = ψ ( F K ) :

  1. gr a M F k is semisimple for all a Z ,

  2. F k satisfies the monodromy property with respect to the morphism X k Spec k ; see Definition 7.2.

The condition of being arithmetic in the conjecture cannot be omitted by a counterexample of T. Mochizuki. In equal characteristic, one can establish many cases of the conjecture by a spreading argument and the techniques mentioned in Remark 7.3. We defer the study to a forthcoming work, a special case of this spreading is presented in [52].

As a corollary to the results in Section 9.3, we obtain the following.

Corollary 9.8

The arithmetic Kashiwara conjecture for X = P O 1 and for mixed characteristic 𝒪 would imply the monodromy-weight conjecture.

Remark 9.9

There exists a version of the monodromy-weight conjecture for the operator 𝑁 on the monodromy spectral sequence over any strictly henselian discrete valuation ring 𝒪; see [28, Conjecture 1.2]. By [28, Remark 6.2], one can reduce this conjecture to the case in which the residue field 𝑘 of 𝒪 is a perfection of a finitely generated field. An immediate generalization of our argument shows that the arithmetic Kashiwara conjecture would also imply this version of the monodromy-weight conjecture.

10 Tameness of the cohomology of semistable Lefschetz pencils

10.1 Reminder on log structures

For a background on log geometry, see [43]. In this subsection, we do not assume that the residue field of 𝒪 is perfect. Let 𝑋 be a scheme flat and of finite type over 𝒪. Let j : X K X be the open immersion of the generic fiber. Let M O X be a log structure. We always endow Spec O with the canonical log structure defined by N O , 1 π . If the fine and saturated (fs) log scheme ( X , M ) is log smooth over 𝒪, then it is log regular; in particular, 𝑋 is normal. If additionally the trivial locus of the log structure is X K , then M = O X j O X K × , so the log structure 𝑀 is not an extra datum. If no explicit log structure is given on 𝑋, we say that it is log smooth over 𝒪 if it is fs and log smooth over 𝒪 with respect to the log structure M = O X j O X K × . By abuse of notation, we also call a scheme log smooth if it is pro étale over a log smooth scheme over 𝒪.

Our basic source of log smooth schemes over 𝒪 stems from the following lemma, which is a consequence of [43, Theorem III.2.5.5, Example IV.3.1.17].

Lemma 10.1

The morphism of fs log schemes Spec Z [ N m ] Spec Z [ N ] induced by the monoid homomorphism 1 ( 1 , , 1 ) is log smooth and saturated.

Recall that, for a saturated morphism of fs log schemes, the base change in the category of log schemes and in the category of fs log schemes coincide [43, Proposition 2.5.3].

Example 10.2

Let X = Spec O [ X 1 , , X n ] / ( X 1 X m π e ) with 1 m n and e > 0 . Then 𝑋 is log smooth over 𝒪. This follows from Lemma 10.1 since 𝑋 is smooth and strict over the log smooth schemes Spec ( Z [ N m ] Z [ N ] O ) , where we use from left to right the monoid homomorphisms N N m , 1 ( 1 , , 1 ) , N O , 1 π e .

Example 10.3

Let

X = Spec O [ X 1 , , X n , T 1 , T 2 ] / ( T 1 T 2 π , X 1 X m T 1 d T 2 e )

with 1 m n and e , d > 0 . Then 𝑋 is log smooth over 𝒪. This follows from Lemma 10.1 since 𝑋 is smooth and strict over the log smooth scheme

Spec ( Z [ N m ] Z [ N ] ( Z [ N 2 ] Z [ N ] O ) ) ,

where we use from left to right the monoid homomorphisms

N N m , 1 ( 1 , , 1 ) , N N 2 , 1 ( d , e ) , N N 2 , 1 ( 1 , 1 ) , N O , 1 π .

10.2 Reminder on tame coverings

In this subsection, we do not assume that the residue field of 𝒪 is perfect. Tame étale coverings have been studied systematically for the first time in [21, Exposé XIII] in the form of the so called Grothendieck–Murre tameness. The notion of curve tameness was first studied by [51] and later in [32].

Consider an excellent discrete valuation ring 𝐴, K = frac ( A ) , and a finite field extension K L . Let B L be the integral closure of 𝐴. Then 𝐿 is a tame extension of the discretely valued field 𝐾 if the residue field extensions of A B are separable and the ramification indices at all maximal ideals of 𝐵 are coprime to the residue characteristic.

Let now 𝑋 be a regular, separated scheme of finite type over K = frac ( O ) . Consider a proper normal scheme X ̄ over 𝒪 which contains 𝑋 as an open subscheme. Consider an étale covering f : X X . For a point x X ̄ of codimension one, we call X X tame over { x } ̄ if the normalization X ̄ of X ̄ in X is tame in the above sense with respect to the discrete valuation defined by 𝑥.

We say that X X ̄ is curve tame (or for short just tame) if, for any closed point x X , the finite morphism ( X × X x ) x is tame with respect to the unique extension of the discrete valuation from 𝐾 to k ( x ) . The following lemmas are a consequence of [32, Theorem. 4.4].

Lemma 10.4

If O O is a finite extension of henselian discrete valuation rings and U X is a dense open subscheme, then (i) ⇔ (ii) ⇒ (iii) with

  1. X X is curve tame;

  2. U = X × X U U is curve tame;

  3. the base change X O X O is curve tame.

If moreover O is a tame extension of 𝒪, then all conditions are equivalent.

Assume moreover that X ̄ X is a simple normal crossings divisor. We say that X X is Grothendieck–Murre tame if it is tame over all irreducible components of X ̄ X .

Lemma 10.5

Under the above assumptions, an étale covering X X is curve tame if and only if it is Grothendieck–Murre tame.

A constructible sheaf 𝖥 on 𝑋 is called tame if, for any closed point x X , the Gal ( x ̄ / x ) -representation F x ̄ is tame.

10.3 Tameness of Picard–Lefschetz sheaves

Consider a semistable Lefschetz pencil of 𝑋 and let ϕ : X ̃ P O 1 be the pencil map. Let U P K 1 be the set of regular values over 𝐾. Consider the constructible sheaves L i = R i ϕ K , Λ on P K 1 for i Z and set L = i L i .

Note that 𝖫 is tame over the prime divisor P k 1 of P O 1 by Proposition 8.8, since 𝑋 has semistable reduction over the maximal point of P k 1 . We do not know whether 𝖫 is tame over 𝒪. The main result of this section is the potential tameness of 𝖫. In order to formulate it, let K / K be a finite splitting field of all the field extensions k ( x ) / K for x P K 1 U and let O K be its ring of integers. Recall that we can bound K by Theorem 4.2. In the following, p = ch ( k ) .

Theorem 10.6

The sheaf L K on P K 1 is tame if p 2 .

From Theorem 10.6 and Lemma 10.4, we deduce the following corollary. In fact, by Theorem 4.2 (iii), we can choose K / K to be a tame extension under the assumption p > n + 1 .

Corollary 10.7

For p > n + 1 or p = 0 , the sheaf 𝖫 is tame.

Proof of Theorem 10.6

We will assume without loss of generality that Λ = Z / Z and that 𝒪 is strictly henselian. The major part of the proof consists in showing the following claim.

Claim 10.8

L U K is a tame local system.

Assuming Claim 10.8, let us prove Theorem 10.6. The sheaf L i is unramified over P K 1 for i { n 1 , n } by Theorem 6.1, so Lemma 10.4 and Claim 10.8 imply that L i is tame in this case. With the notation of Section 6.1, consider a critical value x P K 1 . We have the exact sequence

(10.1) 0 H n 1 ( X ̃ x ̄ ) H n 1 ( X ̃ η ̄ x ) V x ̄ H n ( X ̃ x ̄ ) H n ( X ̃ η ̄ x ) 0 ,

where we omit the coefficients Λ for simplicity. We consider the action of G x = Gal ( η ̄ x / η x ) on this sequence, where η x Spec O P K 1 , x h is the generic point. The order of

im ( G x ) Aut ( H ( X ̃ η ̄ x ) )

is coprime to 𝑝 by Lemma 10.5, Claim 10.8 and the Abhyankar lemma [22, Exposé XIII, Proposition 5.2] applied to a semistable model 𝑍 of P K 1 over O as in the proof of Claim 10.8 below. Here we use the Abhyankar lemma in order to see that, for the specialization v Z k of 𝑥,

im ( π 1 ( Spec ( O Z , v h [ 1 / π ] ) S st , η ̄ x ) ) Aut ( L η ̄ x )

is prime to 𝑝, where S st is as in the proof of Claim 10.8. The order of im ( G x ) Aut ( V x ̄ ) is coprime to 𝑝 by Proposition 6.3.

So, from the exact sequence (10.1), we deduce that the order of im ( G x ) Aut ( H i ( X ̃ x ̄ ) ) is coprime to 𝑝 for i { n 1 , n } . This means that the action of Gal ( x ̄ / x ) on L x ̄ i = H i ( X ̃ x ̄ ) is tame. ∎

Proof of Claim 10.8

By replacing O by a further tame extension, we can in the following assume that the ramification index 𝑒 of O / O satisfies e > n + 1 ; see Lemma 10.4. (We use this assumption in the proof of Lemma 10.11 below.) Let π O be a uniformizer. Let S P O 1 be the set of critical values. We construct a semistable model of P K 1 and check Grothendieck–Murre tameness over this model, which is sufficient by Lemma 10.5.

By our assumption on O , we deduce that 𝑆 is the union of the images of finitely many sections of P O 1 Spec O . There is an iterated blow-up θ : Z P O 1 of closed points in the smooth locus over O such that the strict transform S st Z of 𝑆 is a finite disjoint union of sections of Z Spec O ; this is a special case of Néron desingularization; see [1, Corollary 4.6]. As in the process we only blow up smooth closed points, the scheme 𝑍 is semistable over O .

Let 𝑧 be a maximal point of Z k such that θ ( z ) is a closed point of P O 1 . Consider the henselian discrete valuation ring R = O Z , z h . Then

θ z : O P O 1 , θ ( z ) h R

sends both π and 𝑇 to uniformizers, where π , T O P O 1 , θ ( z ) h is a regular parameter system. Say T = v π with v R × .

Let x X k ( X ) be a non-critical point of ϕ k and denote by abuse of notation its unique preimage in X R under the morphism X R X by the same symbol. Then, by Proposition 4.3, we obtain an isomorphism of 𝑅-algebras

O X R , x h R [ X 0 , , X n ] h / ( X 0 X m u π , X m + 1 + v π )

which after a coordinate transformation can be rewritten as

O X R , x h R [ X 0 , , X n 1 ] h / ( X 0 X m π e ) .

Here the henselization h is with respect to the maximal ideal generated by π and the X i .

In particular, X R is log smooth over 𝑅 around 𝑥 by Example 10.2. By a similar calculation, one sees that, at a critical point 𝑥, the scheme X R is at least nearly semistable over 𝑅 as defined in Section 10.4 below. By Proposition 10.9 applied over 𝑅, we see that L K is tame over the divisor { z } ̄ for all i Z . So L K is Grothendieck–Murre tame over O . ∎

10.4 Nearly semistable reduction

In this subsection, we do not assume that the residue field 𝑘 of 𝒪 is perfect, but we assume that 𝑘 is separably closed for simplicity. A scheme 𝑋 which is flat and of finite type over 𝒪 is said to have nearly semistable reduction at x X if either it is log smooth at 𝑥 over 𝒪 with the standard log structure 1 π , a uniformizer of 𝒪, or if there is an isomorphism of 𝒪-algebras O X , x h A . Here 𝐴 is of the following form: consider an 𝒪-algebra

B = O [ X 0 , , X m ] h / ( X 0 X m u π e ) ,

where m 0 , u ( O [ X 0 , , X m ] h ) × and where e > m + 1 . Here the henselization h is with respect to the ideal ( π , X 0 , , X m ) . Set α = X 0 + + X m + π B . Then 𝐴 is of the form

A = B [ X m + 1 , , X n ] h / ( X m + 1 2 + + X n 2 α )

for some n m .

Proposition 10.9

Assume that 𝑋 is nearly semistable at all points of its closed fiber. Then the following properties are satisfied.

  1. If 𝑋 is proper over 𝒪, then the action of Gal ( K ̄ / K ) on H ( X K ̄ , Λ ) is tame.

  2. The action of Gal ( K ̄ / K ) on R Ψ X / O ( Λ ) is tame.

Proof

Without loss of generality, Λ = Z / Z . Part (i) follows from part (ii) and proper base change. If 𝑋 is log smooth around x X k , then part (ii) follows from [42, Theorem 0.1]. So, for part (ii), we have to consider a closed point x X k with O X , x h A . Write g : X x Y y for Spec ( A ) Spec ( B ) , y = g ( x ) . Observe that the critical values of 𝑔 are Y crit = V ( α ) . Set

Y ̃ = Bl { y } ( Y y ) σ Y y and X ̃ = X x × Y y Y ̃ σ X x .

Let x ̃ X ̃ be a closed point over 𝑥 with image y ̃ Y ̃ .

Consider the morphisms of henselian local schemes g ̃ x ̃ : X ̃ x ̃ Y ̃ y ̃ and h ̃ y ̃ : Y ̃ y ̃ Spec O . We consider the object F = cone [ Λ Y ̃ y ̃ R g ̃ x ̃ , Λ X ̃ x ̃ ] of D c b ( Y ̃ y ̃ , Λ ) which is constructible by [44, Corollaire 6.2] in which we do not have to perform the modification by [44, Proposition 4.1]. We need to show that R Ψ X ̃ / O ( Λ ) x ̃ = [ R h ̃ y ̃ , R g ̃ x ̃ , Λ X ̃ x ̃ ] K ̄ is tame, since then, by proper base change, ( R σ R Ψ X ̃ / O ( Λ ) ) x R Ψ X / O ( Λ ) x is also tame. By [42, Theorem 0.1] and Lemma 10.11, we obtain that R Ψ Y ̃ / O ( Λ ) y ̃ = R h ̃ y ̃ , ( Λ ) K ̄ is tame. So it remains to show that R Ψ Y ̃ / O ( F ) y ̃ = R h ̃ y ̃ , ( F ) K ̄ is tame.

Lemma 10.10

H i ( F ) vanishes for i n m 1 and H n m 1 ( F ) = j ! L , where

j : Y ̃ y ̃ σ 1 Y crit Y ̃ y ̃ .

Here 𝖫 is a Λ-rank one local system of order 1 or 2. In the latter case, 𝖫 becomes trivial after taking a square root of σ 1 ( α ) .

Proof

Combine [14, Exposé XV, Section 2.2] and [44, Proposition 4.1].∎

We can locally factor σ 1 ( α ) in the ring O Y ̃ , y ̃ as α st β , where the vanishing locus of 𝛽 is contained in the exceptional divisor of the blow-up, i.e. 𝛽 is invertible over 𝐾, while α st does not vanish on the exceptional divisor.

Lemma 10.11

Étale locally on the exceptional divisor, Y ̃ looks like Example 10.2 or Example 10.3 with α st invertible or corresponding to the variable X m + 1 . In particular, Y ̃ y ̃ and its closed subscheme V ( α st ) are essentially log smooth over 𝒪 and the immersion is strict.

Proof

It suffices to consider without loss of generality the following two blow-up charts of Y ̃ over 𝑌. For simplicity of notation, we assume that 𝑘 is algebraically closed.

First chart. Y ̃ contains as an open subscheme the spectrum of the ring

B [ X ̃ 0 , , X ̃ m ] / ( X ̃ i π X i , X ̃ 0 X ̃ m u π e m 1 ) ,

where 1 i m . On this chart, α st = X ̃ 0 + + X ̃ m + 1 . Consider a closed point y ̃ of the exceptional divisor in this chart which satisfies without loss of generality

X ̃ 0 ( y ̃ ) = = X ̃ m ̃ ( y ̃ ) = 0 and X ̃ m ̃ + 1 ( y ̃ ) , , X ̃ m ( y ̃ ) 0 .

We obtain

O Y ̃ , y ̃ h O [ X 0 , , X m ] h / ( X 0 X m ̃ π e m 1 ) ,

in which α st is a unit or α st = X m ̃ + 1 . In this case, O Y ̃ , y ̃ h is as in Example 10.2.

Second chart. Y ̃ contains as an open subscheme the spectrum of the ring

B [ X ̃ 1 , , X ̃ m , π ̃ ] / ( X ̃ i X 0 X i , π ̃ X 0 π , X ̃ 1 X ̃ m u π ̃ m + 1 π e m 1 ) ,

where 1 i m . On this chart, α st = 1 + X ̃ 1 + + X ̃ m + π ̃ . Consider a closed point y ̃ of the exceptional divisor in this chart. We can assume without loss of generality π ̃ ( y ̃ ) = 0 as other points are already in the first chart above. Say for simplicity that

X ̃ 1 ( y ̃ ) = = X ̃ m ̃ ( y ̃ ) = 0 and X ̃ m ̃ + 1 ( y ̃ ) , , X ̃ m ( y ̃ ) 0 .

Then we get

O Y ̃ , y ̃ h O [ X 0 , , X m , π ̃ ] h / ( π ̃ X 0 π , X 1 X m ̃ π ̃ m + 1 X 0 e m 1 ) ,

in which α st is a unit or α st = X m ̃ + 1 . In this case, O Y ̃ , y ̃ h is as in Example 10.3. ∎

We resume the proof of Proposition 10.9. We argue case by case.

First case: 𝖫 is constant. Consider the exact sequence of sheaves on Y ̃ y ̃ ,

0 j ! j Λ Λ i i Λ 0 ,

where i : σ 1 ( Y crit ) Y ̃ y ̃ is the closed immersion and 𝑗 the complementary open immersion. The corresponding long exact sequence for R h ̃ y ̃ , ( ) K ̄ , [42, Theorem 0.1] and Lemma 10.11 imply the requested tameness for R h ̃ y ̃ , ( j ! L ) K ̄ .

Second case: 𝖫 is non-constant (in particular, 2 ). Let Y ̂ y ̃ Y ̃ y ̃ be the Kummer covering corresponding to adjoining the square root of α st . Then, by Lemma 10.11, Y ̂ y ̃ and its closed subscheme V ( α st ) are essentially log smooth over 𝒪 and the immersion is strict, as Kummer coverings are log smooth.

Consider the morphism of log schemes

Y ̂ y ̃ Spec Z [ T ] , T β .

Consider the Kummer log étale covering

Spec Z [ T ] Spec Z [ T ] , T ( T ) 2

and the corresponding Kummer log étale covering of fs log schemes

Y y ̃ L : = Y ̂ y ̃ O [ T ] fs O [ T ] Y ̂ y ̃ .

Note that this fs log base change agrees with the ordinary base change over 𝐾. Then Y y ̃ L and its closed subscheme V ( α st ) are log smooth over 𝒪.

Consider the finite morphism μ : Y y ̃ L Y ̃ y ̃ of degree 4. Then the pullback of the local system 𝖫 along 𝜇 is trivial and 𝖥 is a direct summand of R μ μ F as 2 and as 𝖥 vanishes on the ramification locus of 𝜇. We can now argue for μ ( F ) on Y y ̃ L as we did in the first case for 𝖥 on Y ̃ y ̃ . ∎

Award Identifier / Grant number: SFB 1085

Funding statement: The second author is supported by the SFB 1085 Higher Invariants, Universität Regensburg.

A Nearby cycle functor

In this appendix, we describe basic properties of the étale nearby cycle functor in a coordinate free fashion using so called Iwasawa twists. We hope that this coordinate free presentation makes the Verdier duality theory and the discussion of Rapoport–Zink sheaves in Section 8 more transparent. Nothing we present was not known to people in the early 1980s. We recast the theory using the pro-étale topology.

A.1 Reminder on constructible sheaves

Let 𝑌 be a noetherian scheme. For any ring Λ, let Sh ( Y , Λ ) be the category of pro-étale sheaves of Λ-modules and D ( Y , Λ ) be its derived category; see [5, 31]. Assume in the following that Λ is a complete local noetherian ring with maximal ideal 𝔪. We define a constructible Λ-sheaf𝖥 as a pro-étale sheaf of Λ-modules such that F = lim n F / m n F and such that, for all n > 0 , the pro-étale sheaf of Λ / m n -modules F / m n F comes from an étale constructible sheaf of Λ / m n -modules; see [8, 09BS]. Let Sh c ( Y , Λ ) be the category of constructible Λ-sheaves.

One can show [35] that Sh c ( Y , Λ ) forms a noetherian abelian subcategory closed under extensions of the category of all pro-étale sheaves of Λ-modules. One also shows [8, 09BS] that, for F Sh c ( Y , Λ ) , there exists a stratification 𝐙 of 𝑋 such that F | Z is smooth for all Z Z .

Let Λ be a localization of Λ. We set Sh c ( Y , Λ ) = Sh c ( Y , Λ ) Λ Λ . Let 𝑡 be an endomorphism of F Sh c ( Y , Λ ) and assume that Λ is artinian. Then there exists a unique decomposition F = F nil F inv stable under 𝑡 such that 𝑡 is nilpotent on F nil and invertible on F inv . Uniqueness is clear, while for existence, we define

F nil = ker ( t n : F F ) and F inv = im ( t n : F F )

for n 0 . One can check the property on a stratification as above, on which it reduces to the case of finite Λ -modules where it is the classical Weyr–Fitting decomposition [6, Proposition 2.2].

Let D c ( Y , Λ ) be the triangulated subcategory of complexes with constructible cohomology sheaves inside the derived category of pro-étale sheaves of Λ-modules D ( Y , Λ ) . Let D c b ( Y , Λ ) be the triangulated subcategory that additionally has bounded cohomology sheaves. Define D c b ( Y , Λ ) as the Verdier localization “up to isogeny” D c b ( Y , Λ ) Λ Λ , for a ring Λ which is a localization of Λ.

For a morphism of noetherian schemes f : Y 1 Y 2 , there are natural functors

f : Sh c ( Y 2 , Λ ) Sh c ( Y 1 , Λ )

and f : D c b ( Y 2 , Λ ) D c b ( Y 1 , Λ ) . From this f , one deduces the derived pushforwards

R f ! , R f : D c b ( Y 1 , Λ ) D c b ( Y 2 , Λ )

by the usual adjunctions whenever they have a chance to exist [27, Introduction, Théorème 1]. One also gets the exceptional pullback f ! : D c b ( Y 2 , Λ ) D c b ( Y 1 , Λ ) by adjunction.

If Λ is more generally a filtered colimit Λ = colim j Λ j of complete local noetherian rings Λ j with flat, finite transition homomorphisms, we set D c ( X , Λ ) = colim j D c ( X , Λ j ) and similarly for a localization Λ of Λ. This might depend on the system of the Λ j .

A.2 Iwasawa twists

In this subsection, we collect some results from [2, 38].

Let 𝐺 be a profinite group which is isomorphic to Z . We do not fix an isomorphism. Let Λ be a noetherian complete local ring with residue characteristic ℓ. Consider the “Iwasawa algebra” Λ Iw = Λ [ [ G ] ] . The augmentation ideal I = ker ( Λ Iw Λ ) is generated by a non-zero divisor [ ξ ] 1 , where ξ G is a topological generator. Indeed, such a choice induces an isomorphism

Λ [ [ t ] ] Λ Iw , t [ ξ ] 1 .

Let 𝑌 be a noetherian scheme. Consider the derived category of sheaves of torsion Iwasawa modules “with vanishing 𝜇-invariant” up to isogeny

D Iw ( Y , Λ ) : = [ D ( Y , Λ Iw ) R 1 ( D c b ( Y , Λ ) ) ] Λ Λ .

Here R : D ( Y , Λ Iw ) D ( Y , Λ ) is induced by the homomorphism Λ Λ Iw . Let D nil ( Y , Λ ) resp. D inv ( Y , Λ ) be the full subcategory of D Iw ( Y , Λ ) on which 𝑡 is nilpotent resp. invertible. For the rest of this subsection, we assume that Λ is artinian.

Lemma A.1

We have the decomposition D Iw ( Y , Λ ) = D nil ( Y , Λ ) D inv ( Y , Λ ) .

Proof

The two subcategories D nil ( Y , Λ ) and D inv ( Y , Λ ) of D Iw ( Y , Λ ) are orthogonal, as in the classical Weyr–Fitting decomposition [6, Proposition 2.2]. In particular, if an object has a decomposition, then it is unique. In order to show that an object decomposes, we use the exact triangle τ < a F τ a F H a ( F ) [ a ] τ < a F [ 1 ] , induction on 𝑎 and the above decomposition H a ( F ) = H a ( F ) nil H a ( F ) inv . In fact, this induces the required decomposition

τ a F hofib ( H a ( F ) nil [ a ] τ < a F nil [ 1 ] ) hofib ( H a ( F ) inv [ a ] τ < a F inv [ 1 ] ) .

If we work with an arbitrary profinite group 𝐻 in place of G Z , we have to slightly reformulate. Let Sh c ( Y × B H , Λ ) , D c b ( Y × B H , Λ ) , etc. be the 𝐻-equivariant versions of the definitions from Section A.1; for example, for F Sh c ( Y , Λ ) , the 𝐻-action factors through a finite discrete quotient of 𝐻 on F / m n for all n > 0 . We obviously have an equivalence

D c b ( Y × B G , Λ ) = D Iw ( Y , Λ ) .

Consider an epimorphism H G of pro-finite groups whose kernel 𝑊 has pro-order coprime to ℓ; then we denote by

Nil : D c b ( Y × B H , Λ ) D nil ( Y , Λ ) , F ( F W ) nil

the projection to the nilpotent part of the 𝑊-invariants; see Lemma A.1.

For F D Iw ( Y , Λ ) and a Z , we call F ( a ) Iw = F Λ Iw I a the Iwasawa twist of 𝖥. Note that I Λ Iw is an invertible ideal. Clearly, if 𝐺 acts trivially on 𝖥, there is a canonical isomorphism between F ( a ) Iw and the Tate twist

F ( a ) = F Z G a ,

since I a / I a + 1 Λ Z G a .

For F D Iw ( Y , Λ ) , let F G D c b ( Y , Λ ) be the derived 𝐺-invariants. The canonical action map F Λ Iw I F can be written as N Iw : F F ( 1 ) Iw . Then we obtain the fundamental exact triangle

(A.1) F G F N Iw F ( 1 ) Iw F G [ 1 ] .

For the derived 𝐺-coinvariants F G , we have a canonical isomorphism F G F G ( 1 ) [ 1 ] .

Any F D nil ( Y , Λ ) is derived 𝑡-complete and there is an isomorphism F Λ Iw Λ = F G . Together with the derived Nakayama lemma [8, Lemma 0G1U], we obtain the following.

Lemma A.2

A morphism F G in D nil ( Y , Λ ) is an isomorphism if F G G G is an isomorphism.

The group inverse G G , g g induces an involutive ring isomorphism

inv : Λ Iw Λ Iw

preserving I . We denote the sheaf F D Iw ( Y , Λ ) with the inv -twisted action by F . The involution applied to the Iwasawa twist induces an isomorphism in D Iw ( Y , Λ ) ,

(A.2) inv ( a ) = id F inv a : ( F ( a ) Iw ) ( F ) ( a ) Iw .

Let ϖ D c b ( Y , Λ ) be a dualizing sheaf and let D ( F ) = Hom Λ ( F , ϖ ) be the Verdier dual of F D Iw ( Y , Λ ) , where the action of Λ Iw on 𝜛 is trivial.

We obtain a commutative diagram, which clarifies in which sense N Iw is compatible with duality,

(A.3)

Note that, in this duality statement, the strength of Iwasawa twists becomes obvious, as previous attempts to write down this compatibility looked quite ad hoc; see Deligne’s letter to MacPherson [13].

For Q Λ and F D nil ( Y , Λ ) , there is a canonical isomorphism between Tate and Iwasawa twists c TIw : F ( a ) F ( a ) Iw for a Z , which for a = 1 is induced by the homomorphism

G ( I / I ν ) Z Q , g log ( [ g ] ) ,

where ν > 0 is chosen such that I ν acts trivially on 𝖥. This gives us a canonical nilpotent map N : F F ( 1 ) such that

commutes. This means that g G acts by exp ( g N ) : F F , where g N : F F is the contraction of the Tate twist. So we see that, in this case, the fundamental exact triangle reads

F G F N F ( 1 ) F G [ 1 ] .

Via the identification c TIw , isomorphism (A.2) becomes multiplication by ( 1 ) a , so by abuse of notation, we can write the commutativity of (A.3) simply as D ( N ) = N ( 1 ) .

A.3 Unipotent nearby cycles

Let 𝒪 be a strictly henselian discrete valuation ring such that the prime number ℓ is invertible in 𝒪. Let 𝐾 be the fraction field of 𝒪 and let 𝑘 be the residue field. In this appendix, we do not need to assume that 𝑘 is perfect or that ch ( K ) = 0 . Let K ̄ be a separable algebraic closure of 𝐾. For simplicity of notation, we just write Λ for the coefficient ring, which could be a localization of a noetherian complete local ring or a filtered colimit of such as in Section A.1, and we drop the notation Λ used above.

Let f : X Spec O be a scheme of finite type. Set H = Gal ( K ̄ / K ) and let H Z ( 1 ) k ̄ be the tame character of 𝐻. We set G = Z ( 1 ) k ̄ . In the following, we use the notation of Section A.2. Let j : X K X and i : X k X be the immersions of fibers and consider the morphism of topoi ȷ ̄ : X K ̄ X × B H and ȷ ̄ K : X K ̄ X K .

Recall [14, Exposé XIII] that the nearby cycle functor is defined as

R Ψ X / O : D ( X K , Λ ) D ( X k × B H , Λ ) , F i R ȷ ̄ ȷ ̄ K ( F ) .

Deligne showed [11, Chapitre 7] that R Ψ X / O preserves bounded constructible complexes. Note that we have the identity

( R Ψ X / O ) W = i R ȷ ̃ ȷ ̃ K : D ( X K , Λ ) D Iw ( X k , Λ ) ,

with the morphisms of topoi ȷ ̃ : X K ̄ W X × B G and ȷ ̃ K : X K ̄ W X K , which is useful for the general residue field case in Section A.7.

From now on, we assume that Λ is artinian. We write

ψ = ψ X / S = Nil R Ψ X / O [ 1 ] : D c b ( X K , Λ ) D nil ( X k , Λ )

for the shifted unipotent nearby cycle functor; see Lemma A.1.

The fundamental exact triangle (A.1) applied to ψ ( F ) now reads

(A.4) ψ ( F ) N Iw ψ ( F ) ( 1 ) Iw i j F ψ ( F ) [ 1 ]

as [ R ȷ ̄ ȷ ̄ ( F ) ] H = j ( F ) . Here we omit the right derived sign for j as j is perverse t-exact for the t-structure in Section A.4. This fundamental triangle gives a dévissage for ψ ( F ) in terms of i j ( F ) . A further dévissage of the latter is accomplished by the exact triangle

(A.5) i G i j j G i ! G [ 1 ] i G [ 1 ]

for G D c b ( X , Λ ) .

A.4 Perverse sheaves

Assume in the following that Λ = Z / ν Z or that Λ is an algebraic field extension of Q . For f : X O separated and of finite type,

ϖ = f ! Λ ( 1 ) [ 2 ] D c b ( X , Λ )

is a dualizing sheaf, i.e. for F D c b ( X , Λ ) and D ( F ) : = R Hom X ( F , ϖ ) D c b ( X , Λ ) , the canonical map F D ( D ( F ) ) is an isomorphism.

We always work with the (middle) perverse t-structure on D c b ( X , Λ ) induced by the dimension function

δ X ( x ) = trdeg ( k ( x ) / k ( f ( x ) ) ) + dim Spec O ( { f ( x ) } ̄ )

as in [19]. This means that

F D c 0 p ( X , Λ ) H i ( i x ̄ F ) = 0

for all x X and i > δ X ( x ) and F D c 0 p ( X , Λ ) D ( F ) D c 0 p ( X , Λ ) .

Concretely, this means that, for X K regular, connected of dimension 𝑛, the sheaf

Λ [ n + 1 ] D c b ( X K , Λ )

is perverse, and for X k regular connected of dimension 𝑛, the sheaf Λ [ n ] D c b ( X k , Λ ) is perverse.

Gabber showed (see also [2, 13]) that R Ψ [ 1 ] and therefore ψ are perverse t-exact with respect to this perverse t-structure; see [25, Corollaire 4.5].

Remark A.3

If G D c b ( X , Λ ) is perverse with no non-trivial subobjects or quotient objects supported on X k , i.e. G = j ! j G , then

i G [ 1 ] = H 1 p ( i j j G ) and i ! G [ 1 ] = H 0 p ( i j j G )

are the (shifted) perverse constituents of i j j G D c [ 1 , 0 ] p ( X s , Λ ) and (A.5) is the corresponding truncation exact triangle.

A.5 Base change

Let the notation be as in Section A.3 and let f : Y X be a morphism of finite type.

For 𝑓 proper and 𝖪 in D c b ( Y η ) , the canonical proper base change map ψ f f ψ is an equivalence of functors from D c b ( Y η , Λ ) to D nil ( X s , Λ ) .

There exists also a canonical base change map

f ψ ψ f

of functors from D c b ( X η , Λ ) to D nil ( Y s , Λ ) which is an equivalence if 𝑓 is smooth. Note that we get an induced morphism of exact triangles (A.4),

for F D c b ( X η , Λ ) . Similarly, we have a morphism of exact triangles (A.5),

for G D c b ( X , Λ ) .

A.6 Compatibility with Verdier duality

Write ϖ X s = f s ! ( Λ ) , ϖ X = f ! ( Λ ( 1 ) [ 2 ] ) and ϖ X η = ϖ X | X η . Consider F , F D c b ( X η , Λ ) and assume they are endowed with a pairing p : F Λ F ϖ X η . As ψ is lax symmetric monoidal up to a shift, the composition of

ψ ( F ) ψ ( F ) ψ ( F F ) [ 1 ] p ψ ( f ! Λ ( 1 ) [ 1 ] ) f s ! ψ ( Λ ( 1 ) [ 1 ] ) f s ! Λ ( 1 ) = ϖ X s ( 1 )

induces a pairing ψ ( p ) : ψ ( F ) Λ Iw ψ ( F ) ϖ X s ( 1 ) in D Iw ( X , Λ ) , where 𝐺 acts trivially on the codomain.

By an analogous construction, one gets a pairing

(A.6) i j F Λ i j F ϖ X s [ 1 ] .

Via these pairings, the fundamental exact triangle (A.4) becomes self-dual in the sense that we get a commutative diagram

(A.7)

in D c b ( X s , Λ ) .

We say that 𝗉 is a perfect pairing if it induces an isomorphism F D ( F ) . Gabber showed the following property; see [25, Théorème 4.2].

Lemma A.4

If 𝗉 is a perfect pairing, then

  1. the pairing ψ ( p ) is perfect and

  2. the pairing (A.6) is perfect.

A.7 Non-separably closed residue field

If the residue field 𝑘 of the henselian discrete valuation ring 𝒪 is not assumed to be separably closed, we proceed as follows. For 𝑘 finite, the theory is laid out in detail in [23]; see also [14, Exposé XIII] for background on the Deligne topos.

Let K ̃ K ̄ be the subfield generated by all n -th roots of unity and by all π 1 / n for n > 0 . Let k ̃ be the residue field of K ̃ . Fix a splitting 𝜎 of the exact sequence of profinite groups

0 G = Z ( 1 ) G ̃ g ̃ 0 ,

where G ̃ = Gal ( K ̃ / K ) , g ̃ = Gal ( k ̃ / k ) . Such a splitting is for example induced by a choice of compatible n -th roots of 𝜋 for n > 0 . Consider the morphisms of topoi ȷ ̃ : X K ̃ X × B g ̃ B G ̃ and ȷ ̃ K : X K ̃ X K . The splitting 𝜎 induces an isomorphism

(A.8) D Iw ( X k , Λ ) D c b ( X k × B g ̃ B G ̃ , Λ ) ,

where Iwasawa module sheaves on X k are defined as before with Λ Iw now a ring in the category of pro-étale sheaves on X k . We define the unipotent nearby cycle functor

ψ = Nil i ȷ ̃ ȷ ̃ K [ 1 ] : D c b ( X K , Λ ) D nil ( X k , Λ )

using the identification (A.8).

This construction clearly depends on the splitting 𝜎. However, for Λ = Z / ν Z or for Λ an algebraic extension of Q and for F D c b ( X K , Λ ) perverse, the monodromy graded pieces gr a M ψ ( F ) (see Section 7) do not depend on the splitting 𝜎 in view of the proof of [4, Proposition 5.1.2].

Acknowledgements

We thank Alexander Beilinson for the discussions we had since July 2021 on and around the topic of this note. In particular, our understanding of vanishing cycles profited substantially from his many explanations. This note is written using in part his language. We thank Takuro Mochizuki for explaining to us the scope of Kashiwara’s conjecture and for communicating some counterexamples. We thank the referee for their precise work which helped us to improve the exposition of the article. Our note was finalized at the Department of Mathematics of Harvard University, which we thank for the excellent working conditions.

References

[1] M. Artin, Algebraic approximation of structures over complete local rings, Publ. Math. Inst. Hautes Études Sci. 36 (1969), 23–58. 10.1007/BF02684596Search in Google Scholar

[2] A. A. Beĭlinson, How to glue perverse sheaves, 𝐾-theory, arithmetic and geometry (Moscow 1984–1986), Lecture Notes in Math. 1289, Springer, Berlin (1987), 42–51. 10.1007/BFb0078366Search in Google Scholar

[3] A. A. Beĭlinson and J. Bernstein, A proof of Jantzen conjectures, I. M. Gel’fand seminar, Adv. Soviet Math. 16, American Mathematical Society, Providence (1993), 1–50. 10.1090/advsov/016.1/01Search in Google Scholar

[4] A. A. Beilinson, J. Bernstein and P. Deligne, Faisceaux pervers, Analysis and topology on singular spaces. I, Astérisque 100, Société Mathématique de France, Paris (1982), 5–171. Search in Google Scholar

[5] B. Bhatt and P. Scholze, The pro-étale topology for schemes, De la géométrie algébrique aux formes automorphes (I) Astérisque 369, Société Mathématique de France, Paris (2015), 99–201. Search in Google Scholar

[6] N. Bourbaki, Algebra. Chapter 8, Springer, Cham 2022. 10.1007/978-3-031-19293-7Search in Google Scholar

[7] A. Caraiani, Local-global compatibility and the action of monodromy on nearby cycles, Duke Math. J. 161 (2012), no. 12, 2311–2413. 10.1215/00127094-1723706Search in Google Scholar

[8] J. de Jong et al., The Stack Project, https://stacks.math.columbia.edu. Search in Google Scholar

[9] P. Deligne, Théorie de Hodge. I, Actes du congrès international des mathématiciens. Tome 1, Gauthier-Villars, Paris (1971), 425–430. Search in Google Scholar

[10] P. Deligne, La conjecture de Weil. I, Publ. Math. Inst. Hautes Études Sci. 43 (1974), 273–307. 10.1007/BF02684373Search in Google Scholar

[11] P. Deligne, Cohomologie étale, SGA 4 1/2, Lecture Notes in Math. 569, Springer, Berlin 1977. 10.1007/BFb0091517Search in Google Scholar

[12] P. Deligne, La conjecture de Weil. II, Publ. Math. Inst. Hautes Études Sci. 52 (1980), 137–252. 10.1007/BF02684780Search in Google Scholar

[13] P. Deligne, Letter of P. Deligne to R. MacPherson dated March 18, 1982. Search in Google Scholar

[14] P. Deligne and N. Katz, Groupes de monodromie en géométrie algébrique, SGA 7 II, Lecture Notes in Math. 340, Springer, Berlin 1973. 10.1007/BFb0060505Search in Google Scholar

[15] V. Drinfeld, On a conjecture of Kashiwara, Math. Res. Lett. 8 (2001), no. 5–6, 713–728. 10.4310/MRL.2001.v8.n6.a3Search in Google Scholar

[16] H. Esnault and M. Kerz, Arithmetic subspaces of moduli spaces of rank one local systems, Camb. J. Math. 8 (2020), no. 3, 453–478. 10.4310/CJM.2020.v8.n3.a1Search in Google Scholar

[17] J.-M. Fontaine and Y. Ouyang, Theory of 𝑝-adic Galois representations, Springer, to appear. Search in Google Scholar

[18] K. Fujiwara, A proof of the absolute purity conjecture (after Gabber), Algebraic geometry 2000, Adv. Stud. Pure Math. 36, Mathematical Society of Japan, Tokyo (2002), 153–183. Search in Google Scholar

[19] O. Gabber, Notes on some 𝑡-structures, Geometric aspects of Dwork theory. Vol. I, II, Walter de Gruyter, Berlin (2004), 711–734. 10.1515/9783110198133.2.711Search in Google Scholar

[20] M. Goresky and R. MacPherson, Stratified Morse theory, Ergeb. Math. Grenzgeb. (3) 14, Springer, Berlin 1988. 10.1007/978-3-642-71714-7_1Search in Google Scholar

[21] A. Grothendieck et al., Revêtements étales et groupe fondamental, SGA 1, Lecture Notes in Math. 224, Springer, Berlin 1971. 10.1007/BFb0058657Search in Google Scholar

[22] A. Grothendieck et al., Groupes de monodromie en géométrie algébrique, SGA 7 I, Lecture Notes in Math. 288, Springer, Berlin 1972. Search in Google Scholar

[23] D. Hansen and B. Zavyalov, Arithmetic properties of ℓ-adic étale cohomology and nearby cycles of rigid-analytic spaces, preprint (2023), https://arxiv.org/abs/2301.01800. Search in Google Scholar

[24] C. Huneke and I. Swanson, Integral closure of ideals, rings, and modules, London Math. Soc. Lecture Note Ser. 336, Cambridge University, Cambridge 2006. Search in Google Scholar

[25] L. Illusie, Autour du théorème de monodromie locale, Périodes 𝑝-adiques (Bures-sur-Yvette 1988), Astérisque 223, Société Mathématique de France, Paris (1994), 9–57. Search in Google Scholar

[26] L. Illusie, On semistable reduction and the calculation of nearby cycles, Geometric aspects of Dwork theory. Vol. I, II, Walter de Gruyter, Berlin (2004), 785–803. 10.1515/9783110198133.2.785Search in Google Scholar

[27] L. Illusie, Y. Laszlo and F. Orgogozo, Travaux de Gabber sur l’uniformisation locale et la cohomologie étale des schémas quasi-excellents, Astérisque 363–364, Société Mathématique de France, Paris 2014. Search in Google Scholar

[28] T. Ito, Weight-monodromy conjecture over equal characteristic local fields, Amer. J. Math. 127 (2005), no. 3, 647–658. 10.1353/ajm.2005.0022Search in Google Scholar

[29] U. Jannsen and S. Saito, Bertini theorems and Lefschetz pencils over discrete valuation rings, with applications to higher class field theory, J. Algebraic Geom. 21 (2012), no. 4, 683–705. 10.1090/S1056-3911-2012-00570-0Search in Google Scholar

[30] M. Kashiwara, Semisimple holonomic 𝒟-modules, Topological field theory, primitive forms and related topics, Progr. Math. 160, Birkhäuser, Boston (1998), 267–271. 10.1007/978-1-4612-0705-4_9Search in Google Scholar

[31] M. Kerz, Transfinite limits in topos theory, Theory Appl. Categ. 31 (2016), 175–200. 10.70930/tac/b5h16dduSearch in Google Scholar

[32] M. Kerz and A. Schmidt, On different notions of tameness in arithmetic geometry, Math. Ann. 346 (2010), no. 3, 641–668. 10.1007/s00208-009-0409-6Search in Google Scholar

[33] R. Kiehl and R. Weissauer, Weil conjectures, perverse sheaves and 𝑙’adic Fourier transform, Ergeb. Math. Grenzgeb. (3) 42, Springer, Berlin 2001. 10.1007/978-3-662-04576-3Search in Google Scholar

[34] S. L. Kleiman and A. B. Altman, Bertini theorems for hypersurface sections containing a subscheme, Comm. Algebra 7 (1979), no. 8, 775–790. 10.1080/00927877908822375Search in Google Scholar

[35] L. Krinner, Adic pro-étale sheaves, Master Thesis, Universität Regensburg, 2023. Search in Google Scholar

[36] L. Lafforgue, Chtoucas de Drinfeld et correspondance de Langlands, Invent. Math. 147 (2002), no. 1, 1–241. 10.1007/s002220100174Search in Google Scholar

[37] S. Lefschetz, L’analysis situs et la géométrie algébrique, Gauthier-Villars, Paris 1950. Search in Google Scholar

[38] Q. Lu and W. Zheng, Duality and nearby cycles over general bases, Duke Math. J. 168 (2019), no. 16, 3135–3213. 10.1215/00127094-2019-0057Search in Google Scholar

[39] H. Matsumura, Commutative ring theory, Cambridge Stud. Adv. Math. 8, Cambridge University, Cambridge 1986. Search in Google Scholar

[40] A. Micali, Sur les algèbres universelles, Ann. Inst. Fourier (Grenoble) 14 (1964), no. 2, 33–87. 10.5802/aif.173Search in Google Scholar

[41] T. Mochizuki, Asymptotic behaviour of tame harmonic bundles and an application to pure twistor 𝐷-modules. I, II, Mem. Amer. Math. Soc. 185 (2007), no. 870, 1–565. 10.1090/memo/0870Search in Google Scholar

[42] C. Nakayama, Nearby cycles for log smooth families, Compos. Math. 112 (1998), no. 1, 45–75. 10.1023/A:1000327225021Search in Google Scholar

[43] A. Ogus, Lectures on logarithmic algebraic geometry, Cambridge Stud. Adv. Math. 178, Cambridge University, Cambridge 2018. 10.1017/9781316941614Search in Google Scholar

[44] F. Orgogozo, Modifications et cycles proches sur une base générale, Int. Math. Res. Not. IMRN 2006 (2006), Article ID 25315. 10.1155/IMRN/2006/25315Search in Google Scholar

[45] M. Rapoport and T. Zink, Über die lokale Zetafunktion von Shimuravarietäten. Monodromiefiltration und verschwindende Zyklen in ungleicher Charakteristik, Invent. Math. 68 (1982), no. 1, 21–101. 10.1007/BF01394268Search in Google Scholar

[46] M. Saito, Modules de Hodge polarisables, Publ. Res. Inst. Math. Sci. 24 (1988), no. 6, 849–995. 10.2977/prims/1195173930Search in Google Scholar

[47] M. Saito, Mixed Hodge modules, Publ. Res. Inst. Math. Sci. 26 (1990), no. 2, 221–333. 10.2977/prims/1195171082Search in Google Scholar

[48] T. Saito, Weight spectral sequences and independence of 𝑙, J. Inst. Math. Jussieu 2 (2003), no. 4, 583–634. 10.1017/S1474748003000173Search in Google Scholar

[49] P. Scholze, Perfectoid spaces, Publ. Math. Inst. Hautes Études Sci. 116 (2012), 245–313. 10.1007/s10240-012-0042-xSearch in Google Scholar

[50] J. Steenbrink, Limits of Hodge structures, Invent. Math. 31 (1975/76), no. 3, 229–257. 10.1007/BF01403146Search in Google Scholar

[51] G. Wiesend, Tamely ramified covers of varieties and arithmetic schemes, Forum Math. 20 (2008), no. 3, 515–522. 10.1515/FORUM.2008.026Search in Google Scholar

[52] H. Zock, A local version of Kashiwara’s conjecture, Master Thesis, Universität Regensburg, 2024. Search in Google Scholar

Received: 2023-12-31
Revised: 2025-03-10
Published Online: 2025-11-20

© 2025 the author(s), published by De Gruyter

This work is licensed under the Creative Commons Attribution 4.0 International License.

Downloaded on 6.12.2025 from https://www.degruyterbrill.com/document/doi/10.1515/crelle-2025-0084/html
Scroll to top button