Abstract
The review presents analytical methods for determination of new oral drugs for the treatment of type 2 diabetes mellitus (T2DM), focusing on peroxisome proliferator-activated receptor gamma agonists (glitazones), dipeptidyl peptidase 4 inhibitors (gliptins) and sodium/glucose co-transporter 2 inhibitors (gliflozins). Drugs derived from prandial glucose regulators, such as glinides, are considered because they are present in some new therapeutic options. The review presents analytical procedures suitable for determination of the drugs in bulk substances, such as pharmaceuticals and biological samples, including HPLC-UV, HPLC/LC-MS, TLC/HPTLC, CE/CE-MS, spectrophotometric (UV/VIS), spectrofluorimetric and electrochemical methods, taken from the literature over the past ten years (2006-2016). Some new procedures for extraction, separation and detection of the drugs, including solid phase extraction with molecularly imprinted polymers (SPE-MIP), liquid phase microextraction using porous hollow fibers (HP-LPME), HILIC chromatography, micellar mobile phases, ion mobility spectrometry (IMS) and isotopically labeled internal standards, are discussed.
1 Introduction
Type 2 diabetes mellitus (T2DM) is a worldwide problem affecting approximately 8% of the adult population, with predictions of more than 400 million cases by 2030 [1]. The prevalence of T2DM implies an urgent need for new treatments and preventative strategies. The disease results from progressive β cell dysfunction in the presence of chronic insulin resistance, leading to a progressive decline in plasma glucose homeostasis. Increased glucagon secretion, gluconeogenesis, renal glucose reabsorption and reduced incretin response are then observed.
Treatments recommended by the American Diabetes Association (ADA) and the European Association for the Study of Diabetes (EASD) include drugs affecting all of the above processes [2]. In most patients, lifestyle changes and metformin (MET) from biguanides are recommended after diagnosis unless contraindications are present. If the therapeutic goal is not achieved after approximately three months, one of four oral treatment options can be considered in combination with MET: sulfonylureas (SUs), peroxisome proliferator-activated receptor gamma (PPARy) agonists (glitazones), dipeptidyl peptidase 4 (DPP4) inhibitors (gliptins) or sodium/glucose cotransporter 2 (SGLT2) inhibitors (gliflozins). In patients with contraindications for MET, the initial drug one of these four types of drugs will be the initial treatment option. The choice of the treatment is always based on a particular patient and drug properties, with the goal of improving glycemic control and minimizing side effects [2].
The present review examines analytical methods used for the determination of giltazones, gliptins and glifozins, the second choice drug options for oral treatment, excluding MET and SUs. Additionally, detection of glinides, relatively new drugs that act as prandial glucose regulators, is discussed. Glinides are not yet included in the recommendations of ADA and EASD, but they are relatively new drugs, preferred for some patients.
2 Glitazones
Glitazones improve insulin sensitivity in skeletal muscles and reduce hepatic glucose production. The side effects of glitazones include weight gain, fluid retention leading to heart failure in predisposed individuals and increased risk of bone fractures. They do not increase the risk of hypoglycemia and may be more durable in their effectiveness than SUs and MET. Between them, the most frequently used is pioglitazone (PIO) (Fig. 1) while another agent is rosiglitazone (ROS). ROS was withdrawn from the market in 2010 owing to concerns of increased myocardial infarction risk. Recently, however, Food and Drug Administration (FDA) released a drug safety communication involving dispensing restrictions for ROS. This decision was based on a re-evaluation of the endpoints of Rosiglitazone Evaluated for Cardiac Outcomes and Regulation of Glycaemia in Diabetes trial [3,4].

Chemical structures of a) pioglitazone (PIO), b) sitagliptin (SIT), c) dapagliflozin (DAP), d) repaglinide (REP) and e) mitiglinide (MIT).
3 Gliptins
Gliptins constitute a newer class of agents for treatment of T2DM via the inhibition of DPP4, the enzyme that rapidly inactivates the incretin hormones such as glucagon-like peptide 1 (GLP1) and glucose dependent insulinotropic polypeptide (GIP). GLP1 and GIP serve as important prandial stimulators of insulin secretion and regulators of blood glucose concentrations. Therefore, inhibition of DPP4 prolongs the activity of endogenous GLP1 and GIP, decreasing the elevated blood glucose concentration in diabetic patients. The main drugs from this group are sitagliptin (SIT) (Fig. 1), vildagliptin (VIL), linagliptin (LIN) and saxagliptin (SAX) [5].
4 Gliflozins
Gliflozins are the newest class of drugs for T2DM. The mechanism of their action implies binding to the SGLT2 resulting in the blockade of the glucose and sodium transport cycle. In patients treated with gliflozins, urinary glucose excretion increases which results in lowering blood glucose concentrations. The main drugs from this group are dapagliflozin (DAP) (Fig. 1), canagliflozin (CAN), ipragliflozin (IPR) and empagliflozin (EMP) [6,7].
5 Glinides
Glinides stimulate insulin release through mechanisms similar to that of SUs but their action may be more advantageous for some patients. Repaglinide (REP) (Fig. 1), mitiglinide (MIT) (Fig. 1) and nateglinide (NAT) are carboxylic or amino acid derivatives which close the KATP channels in β cells, targeting a low-affinity binding site on the sulfonylurea receptor 1 subunit. Because the effects of these drugs are rapid and short-lived, they are used to curtail postprandial excursions in glucose, thus exposing patients to much less risk of hypoglycemia than SUs [8].
6 Analytical tools for determination of oral antidiabetics
Pharmaceutical analysis has become one of the most important stages in the therapeutic process. Drug analysis includes analytical investigations of bulk drug materials, the intermediate products, drug formulations, impurities and degradation products.
Analytical techniques play a significant role in understanding the chemical stability of the drug, in evaluating the toxicity of some impurities and in assessing the content of drug in formulations. Also, they are fundamental tools in pharmacokinetic studies where the analysis of a drug and its metabolites in biological fluids must be performed. Polypharmacy, which has become an integral part of therapy for many diabetic patients, further supports the importance of drug analyses. To support polypharmacy, methods suitable for two or more components are needed for quality control of such combined formulations as well as for assays in biological samples.
This paper presents analytical procedures elaborated for the listed drugs: HPLC/LC-MS, TLC/HPTLC, CE/CE-MS, spectrophotometric (UV/VIS), spectrofluorimetric and electrochemical methods. It is based on a review of the literature from the past ten years (2006-2016).
6.1 HPLC and LC-MS methods
6.1.1 Determination of glitazones in bulk substance and pharmaceuticals
The methods described for PIO [9,10–13] and ROS [14] are suitable for their determination in bulk drug materials, formulations and in the presence of impurities or degradation products (Table 1). PIO is described in Ph. Eur. [9] and a HPLC method is proposed for its determination. The methods were mostly performed using C18 columns, isocratic elution and UV detection, which were sufficiently effective [9–11,14]. Two methods [12,13] were based on gradient elution which allowed for effective separation of PIO and its impurities. In the study of Ramulu et al. [13] impurities were additionally identified by LC-MS/MS, 1H NMR, 13C NMR and IR methods.
LC methods for the analysis of glitazones, gliptins and gliflozins in bulk materials and formulations.
| Drug | Sample | Column; mobile phase (v/v); flow rate; temperature; RT | Detection; Ionization, mode | Linearity range; LOD (Mg/ml) | Ref. | 
|---|---|---|---|---|---|
| PIO | bulk substance; impurities A-E | C18 (150x4.6 mm, 5 μm); glacial acetic acid-acetonitrile-ammonium acetate (1:25:25); 0.7 ml/min; ca. 7, 9.8 and 21 min | UV269nm | 9 | |
| bulk substance, formulations | Phenomenex Luna C18 (250x4.6 mm, 5 μm); acetonitrile-methanol (80:20); 1.0 ml/min; 3.69 min | UV 385 nm | 5-30 | 10 | |
| bulk substance, tablets | Hypersil ODS C18 (250x4.6 mm, 5 μm); acetonitrile-ammonium acetate buffer, pH 5.0 (60:40); 1.0 ml/min; 5.24 min | UV 270 nm | 10-100 | 11 | |
| formulations; degradation products | Alltima C18 (250x4.6 mm, 5 μm); gradient: A-0.01M phosphate buffer with 0.1% triethylamine of pH 3.6, B-buffer 3.6-acetonitrile-methanol (20:50:30); 1.0 ml/min; 17.8, 5.8, 8.1,10.3, 12.6, 13.8 and 22 min | UV225nm | 0.06-6.9 | 12 | |
| formulations; degradation products | Zorbax Bonus RP18 (150x4.6 mm, 3.5 μm); gradient: A: water-trifluoroacetic acid (100:0.05), B-acetonitrile-trifluoroacetic acid (100:0.05); 1.0 ml/min, 30oC; ca.7 min | UV 225 nm;MS/MS; ESI | 13 | ||
| ROS | formulations | Princeton SPHER C18 (250x4.6 mm, 5 μm); phosphate buffer-acetonitrile (73:27); 1.0 ml/min; 6.40 min | UV 243 nm | 10-60 | 14 | 
| SIT | bulk substance; impurities | CN silica (150x4.6 mm, 5 μm); acetonitrile-KH2PO4 of pH 2.0 (15:85); 1.0 ml/min; 30°C; 5.5 min | UV 205 nm | 9 | |
| mixture; SIT degradation product | Symmetry C18 (150x4.6 mm, 5 μm); phosphate buffer of pH 4.6-acetonitrile-methanol (30:50:20); 1.0 ml/min; 0.15, 0.94 and 0.25 min | UV220nm | 5-1600; 1.25% | 25 | |
| tablets; degradation products | C18; 0.3% triethylamine-acetonitrile (75:25), pH 4.0; 1.0 ml/min; 25°C | UV207nm | 70-130 | 26 | |
| SAX | formulations; degradation products | Symmetry C18 (150x4.6 mm, 5 μm); phosphate buffer of pH 4.6-acetonitrile-methanol (40:30:30); 1.0 ml/min; 4.7, 5.2; 2.7, 7.7, 3.7, 7.5 and 8.5 min | UV 208 nmMS, positive ESI | 25-400; 7.96 and 24.13 | 27 | 
| VIL | bulk substance; degradation products | xBridge C8 (150x4.6 mm, 5 μm); acetonitrile-triethylamine 0.3%, pH 7.0 (15:85); 1.0 ml/min; 6.2, 2.4, 4.1, 2.9 and 7.8 min | UV 207 nmMS | 20-80; 0.63 and 2.82 | 29 | 
| bulk substance; aminoadamantan-1-ol | Symmetry C18 column (150x4.6 mm, 5 μm); phosphate buffer of pH 4.6-acetonitrile-methanol (30:50:20); 1.0 ml/min; 6.3, 0.23 and 0.18 min | UV 210 and 220 nm | 5-200; 1.46 and 4.87 | 28 | |
| DAP | bulk substance | BDS C18; acetonitrile-phosphoric acid (55:45); 1.0 ml/min; 2.07 min | UV203nm | 125-150 | 39 | 
| EMP | bulk substance | Intersil C18 (150x40 mm, 5 μm); 0.01M acetate buffer-methanol (30:70), 2.0 ml/min; 1.22 min | UV260nm | 2-150 | 40 | 
The literature presents several HPLC methods effective for two component combinations of PIO or ROS with MET [15–17], SU [18–20], atorvastatin [21] and olmesartan [22]. Also, three component formulations with PIO or ROS, MET and SU or some cardiovascular drugs were analyzed and quantified [23] (Table 2). In the pharmaceutical industry, a significant problem is the validation of cleaning procedures in the manufacturing arena. To detect contamination from manufacturing equipment, a fast isocratic HPLC method was developed to separate and detect six antidiabetic drugs -- PIO, MET and 4 SUs -- within 8 min [24]. The HPLC method of El-Refay et al. [15] was based on micellar mobile phase containing sodium dodecyl sulfate (SDS) at concentration above critical micellar concentration. In this way simultaneous determination of hydrophobic and hydrophilic analytes like PIO and MET could be achieved easier than using conventional HPLC method.
LC methods for the analysis of glitazones in combined formulations and mixtures.
| Drug | Sample | Column; mobile phase (v/v); flow rate; temperature; RT | Detection; Ionization, m/z | Linearity range; LOD and LOQ (μg/ml) | Ref. | 
|---|---|---|---|---|---|
| PIO + MET | formulations | Kromasil C18 (250x4.6 mm, 5 μm); methanol-phosphate buffer, pH 6.5 with 0.01M SDS (50:50); 1.5 ml/min | UV270nm | 7.5-22.5; 0.1 | 15 | 
| Phenomenex C 18 (250x4.6 mm, 5 μm); acetonitrile-phosphate buffer of pH 5.0 (50:50); 1.0 ml/min | UV258nm | 0.05-300; 0.01 and 0.05 | 16 | ||
| ROS + MET | tablets | C18 (250x4.6 mm, 5 μm); phosphate buffer of pH 3.5-acetonitrile (60:40); 0.7 ml/min; 11.95 and 3.35 min | UV 230 nm | 0.03-0.5 | 17 | 
| PIO + SU | formulations | Lichrosorb C18 (250x4.6 mm, 10 μm); phosphate buffer of pH 4-methanol-acetonitrile-triethylamine (40:20:40:0.1); 1.0 ml/min; 4.0 and 7.5 min | UV 228 nm | 5-175 | 18 | 
| Phenomenex Gemini C18 (150x4.6 mm, 5 μm); acetonitrile-water of pH 3.0 (70:30); 0.6 ml/min; room temperature; 2.41 and 5.22 min | UV 250 nm | 0.025-2.5; 0.006 and 0.02 | 19 | ||
| PIO +statin | tablets | Phenomenex Luna C18 (250x4.6 mm, 5 μm); 0.65M ammonium acetate buffer-acetonitrile (50:50), pH 6.0; 1.2 ml/min; 6.39 and 4.64 min | UV258nm | 0.5-3.0 | 21 | 
| PIO +sartan | tablets | Hiber C18 (250x4.60 mm, 5 μm); 10mM KH2PO4 (pH 4.4)-acetonitrile (50:50); 1.0 ml/min; 10.73 and 5.58 min | UV 230 nm | 0.10-200 | 22 | 
| PIO + MET | mixtures; 4SUs | ThermoHypersil C18 (250x4.6 mm, 5 μm); 0.5% triethylamine buffer-acetonitrile (42:58); 1.0 ml/min; 3.50, 2.30, 3.85, 5.78, 6.73 and 7.63 min | UV230nm | 0.12-15; 0.04 | 24 | 
| ROS + SU | formulations | Nucleodur C18 (250x4.6 mm; 5 μm); water adjusted to pH 3.0-acetonitrile (80:20); 0.8 ml/min, 8.24 and 17.9 min | UV215nm | 50-150; 0.19 | 20 | 
| ROS + phenformin | dietary supplements; 2SUs | Spherigel C18 (200x4.6 mm; 5 μm); gradient elution: A-acetonitrile, B-water with 0.05% formic acid and 20mM ammonium acetate; 1.0 ml/min | MS; positive ESI; 358 | 0.112-8.96; 0.0062 and 0.019 | 23 | 
Where: SDS is sodium dodecyl sulfate.
A HPLC method with MS/MS detection and positive electrospray ionization (ESI) was elaborated by Wang et al. [23] to determine ROS, phenformin and 2 SUs as illegal additives in dietary supplements and traditional medicines.
6.1.2 Determination of gliptins in bulk substance and formulations
A few HPLC methods were described for determination of gliptins, including SIT [9,25,26], SAX [27] and VIL [28,29], in bulk substances and single component formulations (Table 1). The cited methods were based on C18 or C8 columns, isocratic elution and UV detection. It is worth mentioning that the method of El-Bagary et al. [25] was based on fluorescence (SF) detection, which was ca. 20 times more sensitive than the alternative LC-UV procedure.
Two methods were suitable for determination of gliptins in the presence of impurities [9] or synthetic intermediate products [28]. Identification of the related substances together with potential degradation pathways was possible when LC-MS systems were used [27,29].
More methods were elaborated for determination of SIT, SAX, LIN and VIL in dosage forms that combined them with MET [25,30–37] and simvastatin [38] (Table 3). Some reports showed the suitability of CN [9,37] and C8 columns [32,34], because of relatively high polarity of these drugs. At the same time, ultra performance liquid chromatography (UPLC) was successfully applied for the assay of SIT by Malleswararao et al. [34] (Fig 2).
LC methods for the analysis of gliptins and gliflozins in combined formulations and mixtures.
| Drug | Sample | Column; mobile phase (v/v); flow rate; temperature; RS and/ or RT | Detection | Linearity range; LOD and LOQ (μg/ml) | Ref. | 
|---|---|---|---|---|---|
| SIT + MET | mixture; SIT degradation product | Symmetry Waters C18 (150x4.6 mm, 5 μm); phosphate buffer of pH 4.6-acetonitrile-methanol (30:50:20); 1.0 ml/min; 5.78, 3.22 and 9.04 min | UV220nm | 5-160;0.080 and 0.240 | 25 | 
| formulations | Lichrosorb C18 (250x4.6 mm, 10 μm) phosphate buffer of pH 6.0-methanol-acetonitrile; (60:20:20); 1.0 ml/min; 25oC; 5.13 and 2.81 min | UV220nm | 10-300 | 30 | |
| mixture; degradation products | Chromolith (50x4.6 mm, 5 μm); 10mM sodium dihydrogen phosphate-10mM SDS-acetonitrile, pH 5.5; 2.5 ml/min; 30oC; 1.18, 3.83, 2.65, 0.78 min | UV208nm | 1.0-10 | 31 | |
| degradation products | C8; methanol-water (45:55) with 0.2% heptanesulfonic acid and 0.2% trimethylamine, pH 3.0; 1.0 ml/min | UV267nm | 10-150 | 32 | |
| tablets | xTerraC8 (100x4.6 mm, 3 μm); phosphate buffer of pH 9.0-acetonitrile-methanol (35:45:20); 0.6 ml/min; 3.06 and 2.42 min | UV260nm | 50-150 | 33 | |
| formulations | Acquity UPLC BEH C8 (100x2.1 mm, 1.7 μm); 10 mM KH2PO4-2mM hexanesulfonic acid sodium, pH 5.50-acetonitrile; 0.2 ml/min; 7.0 and 2.0 min | UV210nm | 25-75;0.2 and 0.7 | 34 | |
| SAx + MET | formulations; degradation products | Phenomenex C 18 (250x4.6 mm, 5 μm); 0.02M KH2PO4-acetonitrile-methanol (50:25:25), pH 4.3; 1.0 ml/min; 7.43 and 4.85 min | UV240nm | 10-50 | 35 | 
| LIN + MET | tablets | Symmetry C18 (150x4.6 mm, 5 μm); KH2PO4 of pH 4.6-methanol (30:70); 1.0 ml/min; 5.70 and 3.10 min | UV260nm | 0.125-4;0.03 and 0.09 | 36 | 
| VIL + MET | formulations; degradation products | Grace Cyano (250x4.6? mm, 5?μm); 25mM ammonium bicarbonate buffer-acetonitrile (65:35); 1.0 ?ml/min; | UV207nm | 50-250;0.75 and 2.51 | 37 | 
| SIT + statin | formulations; degradation products | Qualisil BDS C8, 250x4.6 mm, 5 μm); methanol-water (70:30) with 0.2% of heptanesulfonic acid, pH 3.0; 1.0 ml/min; 4.3 and 30.4 min | UV253nm | 20-150 | 38 | 
| DAP + MET | bulk substance, formulations | Hypersil BDS C18 (250x4.6 mm, 5 μm); phosphate buffer of pH 6.8 containing triethylamine-acetonitrile (50:50); 1.0 ml/min; 3.79 and 2.79 min | UV240nm | 0.5-3.0 | 41 | 
| CAN +MET | formulations; degradation products | Kromasil C18 column (250x4.6 mm, 5 5 μm); 0.01M ammonium acetate of pH 3.5-acetonitrile (65:35); 1.0 ml/min; 3.71 and 2.44 min | UV254nm | 5-30 | 42 | 
Where: SDS is sodium dodecyl sulfate.
![Figure 2 The detection of sitagliptin (SIT) in the presence of metformin (MET) on C8 columns; a) SIT (tR=21 min) and MET (tR=4.7 min) using a C8 column and isocratic elution [32] (reproduced with permission of Springer); b) SIT (tR=7.0 min) and MET (tR=2.0 min) using an UPLC C8 column and gradient elution [34].](/document/doi/10.1515/chem-2016-0023/asset/graphic/j_chem-2016-0023_fig_002.jpg)
The detection of sitagliptin (SIT) in the presence of metformin (MET) on C8 columns; a) SIT (tR=21 min) and MET (tR=4.7 min) using a C8 column and isocratic elution [32] (reproduced with permission of Springer); b) SIT (tR=7.0 min) and MET (tR=2.0 min) using an UPLC C8 column and gradient elution [34].
Some of the presented methods included stress degradation studies of the drugs. The proposed procedures occurred suitable for determination of the analytes in the presence of their degradation products, so they could be described as the stability-indicating methods [25,31,32,35,37,38]. The study of Narendra and Jeyabalan [35] resulted in detection of 15 degradation products of SIT.
6.1.3 Determination of gliflozins in bulk substance and formulations
Gliflozins are the newest oral antidiabetics , having been introduced as therapeutic interventions for T2DM only in 2015. Therefore, in the literature only several methods have been described for their determination in bulk substances [39,40] (Table 1) and combined formulations with MET [41,42] (Table 3). All methods were based on C18 columns, isocratic elution and UV detection. At the same time, the stability-indicating property of the last method was proven.
6.1.4 Determination of glinides in bulk substance and formulations
REP and NAT are present in official monographs [9], and respective HPLC methods are proposed for their analysis (Table 4). Determinations of REP and NAT in bulk drug materials and formulations were mainly performed using C18 columns, isocratic elution and UV detection [43–49]. In combined formulations, REP and NAT are mainly mixed with MET and SUs. Suitable analytical tools for their determinations were reported by several authors [45–48]. The HPLC method of El-Wasseef [48] was based on the micellar mobile phase containing SDS. The involvement of the micellar mobile phase made simultaneous determination of hydrophobic compounds such as NAT and SU in the presence of hydrophilic substance like MET more reliable (Fig. 3).
LC methods for the analysis of glinides in bulk materials and formulations and mixtures.
| Drug | Sample | Column; mobile phase (v/v); flow rate; temperature; RT | Detection | Linearity range; LOD and LOQ (μg/ml) | Ref. | 
|---|---|---|---|---|---|
| REP | bulk substance, impurities A-D | silica gel with alkil groups for using with high water mobile phases (150x4.6 mm, 5 μm); gradient: A-phosphate buffer at pH 3.2, B-acetonitrile (30:70), 1.5 ml/min, 45°C, 10 min | UV 240 nm | 9 | |
| C18 (250x4.6 mm, 5 μm), methanol-ammonium phosphate buffer of pH 2.5 (70:30); 1.0 ml/min; 2.59 min | UV245nm | 0.5-5;0.275 and 0.833 | 43 | ||
| NAT | bulk substance | metacrylic gel; methanol-phosphate buffer (45:55); 1.0 ml/min; 30°C; ca. 18 min | UV210nm | 9 | |
| bulk substance, impurities A, E-G | C8; acetonitrile-phosphate buffer of pH 2.5 (35:65); 2.0 ml/min; 40°C; 7.0 and 3.5 min | ||||
| formulations | ACE C18 (150x4.6 mm, 5 μm); acetonitrile-0.05% trifluoroacetic acid (25:25); 1.5 ml/min; 7.07 min | UV210nm | 0.2846-1.0125 | 44 | |
| REP + MET | tablets | YMC Pack AM ODS (250x4.6 mm, 5 μm), methanol-10mM potassium dihydrogen phosphate buffer of pH 2.5 (70:30); 1.0 ml/min; 11.3 and 2.6 min | UV210nm | 1-200; 0.13 | 45 | 
| C18; acetonitrile-water (90:10); 1.0 ml/min; 6.13 and 2.72 min | UV223nm | 46 | |||
| NAT + MET | formulations | Gemini C18 (150x4.6 mm, 5 μm), methanol-phosphate buffer of pH 3 (60:40); 0.8 ml/min; 4.51 and 2.63 min | UV235nm | 47 | |
| NAT + MET | formulations, SU | Nucleosil C18 (150x4.6 mm, 5 μm); 0.12M SDS-10% propan-1-ol- 0.3% trimethylamine, pH 5.6; 1.0 ml/min; 7.10, 4.80 and 8.99 min | UV254nm | 0.8-16 | 48 | 
| REP + PIO | mixtures, ROS, 3SUs | Intertisil ODS 3V (250x4.6, 5μm); 0.01M formic acid of pH 3.0- acetonitrile-water-methanol; 1.0 ml/min; 11.4 (REP), 13.3 (PIO), and 25.4 (ROS) min, SUs (14.8, 17.6, 20.78 min); | UV260nm | 0.1-100 | 49 | 
Where: SDS is sodium dodecyl sulfate.
![Figure 3 Chromatogram of separation of b) nateglinide (NAT) (tR=7.10 min) in the presence of a) metformin (MET) (tR=4.80 min) and c) sulfonylurea (SU) (tR=8.99 min), using a LC-UV method and a micellar mobile phase containing SDS [48].](/document/doi/10.1515/chem-2016-0023/asset/graphic/j_chem-2016-0023_fig_003.jpg)
Chromatogram of separation of b) nateglinide (NAT) (tR=7.10 min) in the presence of a) metformin (MET) (tR=4.80 min) and c) sulfonylurea (SU) (tR=8.99 min), using a LC-UV method and a micellar mobile phase containing SDS [48].
7 CE methods for determination of oral antidiabetics in pharmaceuticals
Although CE is based on a different mechanism of separation than HPLC, it is sufficiently precise, reliable and robust for quantitative measurements. As far as analysis of glitazones, gliptins, gliflozins and glinides is concerned, CE-based methods were used for assays in pharmaceuticals, biological samples and for enantioselective separation.
In the paper of Piccoli et al. [50] successful separation of VIL and MET was achieved by CE method with UV detection at 207 nm, using a positive polarity of 25 kV, hydrodynamic injection and the running buffer consisted of sodium tetraborate. The method was linear in the range of 30-60 μg/ml with precision lower than 3%. Additionally, specificity and stability-indicating capability of the method was proven by enforced degradation studies.
8 Enantioselective separation of oral antidiabetics
If one of the enantiomers of a chiral drug has a significantly better effect or fewer side effects than another, development of an enantiomerically pure preparation is an important goal. However, in order to perform the necessary investigations, the pure enantiomers must either be synthesized or separated from the racemic mixture. Chromatography, especially HPLC, has become an essential tool for such chiral separation. However, some HPLC methods are time-consuming and are not suitable for fast analysis in control laboratories. Therefore, CE techniques were examined and performed similarly to HPLC or were even found to be more effective at separating enantiomers. The literature holds examples of the use of both methods for resolving racemic mixtures for several antidiabetic agents, including PIO, ROS, SIT, VIL, REP and NAT.
8.1 HPLC methods for chiral separation of antidiabetics
The individual enantiomers and racemates of glitazones have shown equivalent activity as antidiabetic agents; therefore, both the drugs are present on the market as racemic mixtures. HPLC methods for chiral separation of (R)- and (S)-enantiomers of PIO and ROS have been developed using a chiral stationary phase based on cellulose and amylose derivatives [51–53] (Table 5). In addition, Calixto and Bonato [53] successfully separated the enantiomers of the main metabolites of ROS (N-desmethyl-ROS and OH-ROS) using a chiral stationary phase based on macrocyclic antibiotics (Fig. 4). UV detection was usually sensitive enough for such determinations [51,53]. However, one report was based on MS detection with atmospheric pressure chemical ionization (APCI) [52].
Chiral LC methods for the analysis of glitazones, gliptins and glinides.
| Drug | Sample | Column; mobile phase (v/v); flow rate; temperature, RS and/or RT | Detection Ionization, mode | Linearity range; LOD LOQ (μg/ml) | Ref. | 
|---|---|---|---|---|---|
| PIO ROS | bulk substance | Chiralcel OJ, (250x4.6 mm; 50mM sodium perchlorate and 0.1% acetic acid in ethanol:methanol (5:95); 0.5 ml/min; 25°C; ca. 10 min | UV220nm | 51 | |
| PIO ROS | formulations | ACI Cellu 1 column (150x4.6 mm, 5 μm); 0.025% formic acid (pH 6)-acetonitrile (15:85); 0.5 ml/min; 1.8; 3.09 and 5.30 min | MS; APCI | 0.030-0.70; 0.2086 | 52 | 
| ROS | N-desmethyl-ROS and OH-ROS enantiomers | Chiralpak AD-RH column (150x4.6 mm; 5 μm); methanol-propan-2-ol (60:40); 0.5 ml/min; 25°C; 1.80, 4.16, 2.42 and 4.92 | UV245nm | 53 | |
| SIT | bulk substance; ROS and SIT-impurity A | Amylose derivative (250x4.6 mm, 5 μm), water-diethylamine-heptane-anhydrous ethanol (1:1:400:600); 35°C; 0.8 ml/min; min 1.5; 15 and 24 min | UV268nm | 9 | |
| formulations | Chiralpak IC-3 (150x4.6 mm, 3 μm); propan-2-ol-hexane containing 0.05% ethylenediamine (60:40); 0.5 ml/min; 35°C; 3.38 | UV266nm | 1-10 | 54 | |
| REP | bulk substance | Chiral α1-acid glycoprotein column (100x4.0 mm, 5 μm), gradient elution with phosphate buffer (pH 4.7) and acetonitrile; 1.0 ml/min; 1.5; 3.3 and 5.0 min | UV240nm | 9 | |
| bulk substance, formulations | Chiralpak IA column (250x4.6 mm, 5 μm); hexane-ethanol-trifluoroacetic acid (80:20:0.2); 30°C; 1.0 ml/min; 2.0; 4.40 and 5.10 min | UV254nm | 0.650-3.750; 0.200 | 56 | |
| NAT | bulk substance; impurity B | Chiral column with urea groups (250x4.0 mm, 5 μm), 0.077% ammonium acetate in methanol; 0.8 ml/min; 40°C; 21 and 18.9 min | UV220nm | 9 | |
| bulk substance; impurities C and D | Polymetacrylic gel column (150x6.0 mm, 6 μm), methanol-phosphate buffer (45:55); 1.0 ml/min; 30°C; 18 and 16.2 min | UV 210 nm | |||
| bulk substance, rat small intestine | Chiralcel OJ-RH column (150x4.6 mm, 5 μm); 100mM potassium dihydrogen phosphate (pH 2.5)-acetonitrile (32:68); 1.0 ml/min; 33°C | UV210nm | 0.5-50 | 57 | 
Where: APCI is atmospheric pressure chemical ionization.
![Figure 4 Separation of rosiglitazone (ROS=RSG) enantiomers and its metabolites (N-desmethyl ROS and OH-ROS) by a chiral HPLC method with UV detection [53] (reproduced with the permission of Springer).](/document/doi/10.1515/chem-2016-0023/asset/graphic/j_chem-2016-0023_fig_004.jpg)
Separation of rosiglitazone (ROS=RSG) enantiomers and its metabolites (N-desmethyl ROS and OH-ROS) by a chiral HPLC method with UV detection [53] (reproduced with the permission of Springer).
The pharmacological activity of SIT is assigned specifically to the (R)-enantiomer while the (S)-enantiomer is an impurity [9]. On the contrary, only (S)-enantiomer of VIL is in clinical use while the (R)-enantiomer is considered as an optical impurity. For selective determination of these analytes two HPLC-UV methods have been described [9,54] (Table 5). Another method involved pre-column derivatization of SIT with o-phthalaldehyde (OPA) and N-acetyl-L-cysteine to form diastereomeric derivatives which were separated on a C18 column and detected using SF detection with excitation at 330 nm and emission at 450 nm [55].
Glinides also have stereochemical considerations. REP is manufactured as a single (S)-isomer; however, the (R)-enantiomer could be present as a chiral impurity. As far as NAT is concerned, only the trans-isomer, or D-NAT, is used in therapy. The pharmacopoeial method for estimation of the enantiomeric purity of REP requires ca. 1 h for saturation of an α1-acid glycoprotein column [9]. Another method proposed in the literature was based on a stationary phase with an amylose derivative and was found to give faster resolution [56]. For determination of the chiral impurity of NAT, an HPLC method based on a column with urea was proposed while two other chiral impurities could be separated on a column with metacrylic gel [9]. Other method based on amylose and cellulose derivatives as chiral stationary phases [57] was successfully applied to estimate in vitro transport of NAT enantiomers in different regions of rat small intestine (Table 5).
8.2 CE methods for chiral separation of antidiabetics
CE systems were used for successful separation of the mentioned enantiomers of oral antidiabetics. The running buffers were based on sulfobutylether-α-cyclodextrin (SBE-α-CD), sulfobutylether-β-cyclodextrin (SBE-β-CD) and dimethyl-β-cyclodextrin (DM-β-CD) 51,58-60] (Table 6). When the results obtained by the CE method were compared to those obtained with respective chiral HPLC assay [51], the CE method seems to be equally selective and sensitive, however to some extent, less precise than HPLC (Table 5).
Chiral CE methods for the analysis of glitazones, gliptins and glinides.
| Drug | Sample | Capillary; Injection; Voltage; Running buffer, Temperature, Rs and/or RT | Detection | Linearity range; LOD or LOD and LOQ (×03BC;g/spot); Precision | Ref. | 
|---|---|---|---|---|---|
| PIO | bulk substance | 3DCE system; hydrodynamic injection at 40 mbar for 5s; +30 kV; 0.7% DM-β-CD or 0.2% SBE-β-CD in 25mM sodium phosphate buffer pH 8; 30°C; 3.5; 9.9 and 10.2 min | UV 225 nm | 51 | |
| SIT | bulk substance | 3DCE system; capillary (50 mm×64.5 cm, 56 cm effective length); +30 kV; SBE-β-CD in 40mM phosphate buffer of pH 4.4; 10°C; 2.24 | UV 200 nm | 58 | |
| VIL | bulk substance, tablets | hydrodynamic injection at 40 mbar for 4s; 25 kV; 75mM acetate-Tris buffer of pH 4.75 with 20 mM SBE-α-CD; 15°C; 5.2 | UV 200 nm | 7.5-180; 2.5 and 7.5; 5% | 59 | 
| REP | bulk substance, tablets | capillary (50 mm×45 cm, 36 cm effective length); 20 kV; 1.25% DM-β-CD in 20mM sodium phosphate, pH 2.5; 20°C; 1.8 | UV 243 nm | 12.5-400; 0.1; 3.2% | 60 | 
Where: DM-β-CD is dimethyl-β-cyclodextrin; SBE-α-CD is sulfobutylether-α-cyclodextrin; SBE-β-CD is sulfobutylether-β-cyclodextrin.
9 TLC/HPTLC methods for analysis of oral antidiabetics
TLC and HPTLC methods have been successfully applied to the separation of compounds closely related in chemical structure or to the quantification of them in simple or combined pharmaceuticals. The results obtained by researchers clearly show that these methods could be used as reliable tools for quantitative determination of oral antidiabetics as good alternatives to HPLC methods.
9.1 Chromatography in normal phase systems
Normal-phase TLC/HPTLC-UV densitometric methods were described as sufficiently effective tools for routine analysis of respective formulations containing one active component as well as for the combined ones [10,18,21,61-65] (Table 7). The methods were elaborated for simple determination of PIO [10,61], PIO and ROS in combined formulations with MET [63], SU [18,62], atorvastatin [21], MET and SU [65]. Authors frequently describe the use of mobile phases with acetic acid [10,18,63]. A mobile phase modified by adding trimethylamine was also used [64]. Every cited method but one [61] was based on simple UV detection and densitometric measurement. The unique procedure was based on the reaction of PIO with OPA to form an intensive pink colour [61]. The sensitivity thus obtained was ca. 25 times higher than for typical UV measurements. In some experiments [62,65] the active pharmaceutical ingredients were detected in the presence of degradation products obtained by stress degradation, confirming the stability-indicating property of the presented methods. In the studies of Sharma [10], Rezk et al. [18] and Panchal and Suchagia [21], no significant differences were found when PIO was analyzed by the proposed TLC methods and respective HPLC procedures.
TLC/HPTLC methods for the analysis of glitazones, gliptins and glinides.
| Drug | Sample | Stationary phase; Mobile phase (v/v); Temperature (°C); RF | Detection | Linearity range; LOD or LOD and LOQ (×03BC;g/spot); Precision | Ref. | 
|---|---|---|---|---|---|
| PIO | formulations | HPTLC silica gel (20×10 cm); chloroform-methanol (10:1); 0.51 | OPA (15 min at 70°C)/UV | 0.02-3.0; 0.197; 0.60-1.23% | 61 | 
| silica gel 60 F254; glacial acetic acid-methanol-carbon tetrachloride (4:2:4) | UV 289 nm | 0.1-0.7 | 10 | ||
| PIO + MET | tablets | silica gel 60 F254 (10×10 cm); butan-1-ol-1,4-dioxane-glacial acetic acid (5:3:2); 0.36 and 0.73 | UV 226 nm | 0.6-6000; 0.629.89 and 1.908 | 63 | 
| PIO + MET | formulations; degradation products, SU | silica gel; acetonitrile-methanol-propan-1-ol-ammonium acetate (7:2:1:1); 0.83, 0.21 and 0.89 | UV 240 nm | 0.3-1.2; 0.056 and 0.17; 0.43% | 65 | 
| PIO + SU | tablets | silica gel; chloroform-toluene-glacial acetic acid-ethanol (4.5:4.5:1:1); 0.45 and 0.65 | UV 228 nm | 3-15; 1.15% | 18 | 
| HPTLC silica gel (16×10 cm); toluene-ethyl acetate-methanol-glacial acetic acid (70:15:10:5); 0.42 and 0.27 | UV 235 nm | 3-15; 0.91-0.77% | 64 | ||
| PIO + statin | tablets | HPTLC silica gel 60 RP-18F254; acetone-benzene-glacial acetic acid (2.6:7.36:0.04); 0.61 and 0.28 | UV 258 nm | 0.5-3.; 0.26 and 0.81;0.29-0.54% | 21 | 
| ROS + SU | tablets; degradation products | silica gel 60 F254; methanol-toluene-chloroform-triethylamine (1:8:0.5:0.5); 20°C; 0.31 and 0.52 | UV 264 nm | 1.0-7.0 | 62 | 
| SAX | tablets; degradation products | silica gel 60F254, methanol-chloroform (6:4); 0.50 | UV 222 nm | 0.400-1.200; 0.079; 0.75-1.11% | 66 | 
| VIL | tablets; degradation products | silica gel 60F254; ethyl acetate-methanol (8.5:1.5); 0.37 | UV 217 nm | 0.200-1.000; 0.61 and 0.102 | 67 | 
| SIT + MET | tablets | silica gel (10×10 cm), butan-1-ol-water-glacial acetic acid (6:2:2); 0.75 and 0.35 | UV 227 nm | 0.5-1.0; 0.265,1.23% | 68 | 
| silica gel (10×10 cm); acetone-methanol-toluene-formic acid (4:3:2:1); 0.63 and 0.36 | UV 220 nm | 0.200-0.500; 0.027; 0.17-0.82% | 69 | ||
| LIN + MET | tablets; degradation products | silica gel 60 F254 (20×10 cm); ethyl acetate-methanol-toluene-formic acid (4:3:2:1); room temperature | UV 259 nm | 0.02-1.0; 0.01;2% | 70 | 
| REP | formulations | silica gel (10×10 cm) prewashed with methanol; chloroform-methanol-ammonia (4.5:0.8:0.05); 29°C | UV 288 nm | 0.4-2.4; 0.050 and 0.300 | 71 | 
| REP + PIO | mixtures; SIT,MET, SU | silica gel; A: chloroform-methanol-ammonia (9:1:0.2) and B: chloroform-methanol-ammonia (9:1.5:0.2) | UV 238 nm (REP) UV 268 nm (PIO,SIT) | 0.2-0.8 (REP, PIO)2.0-8.0 (SIT) | 72 | 
| NAT + MET | formulations; degradation products | HPTLC silica gel (10×10 cm); chloroform-ethyl acetate-acetic acid (4:6:0.1) | UV 216 nm | 0.2-2.4; 0.020; 0.71% | 73 | 
Where: OPA is o-phthalaldehyde.
Stability-indicating UV densitometric methods have been published for quantitative determination of SAX [66], VIL [67], SIT or LIN in the presence of MET [68–70]. As far as glinides are concerned, TLC methods with UV detection were elaborated for determination of REP [71], for determination of REP in the mixture with PIO, SIT, MET and SU [72] (Fig. 5) and for determination of NAT in the presence of MET [73] (Table 7).
![Figure 5 Separation of repaglinide (REP), pioglitazone (PIO) and sitagliptin (SIT=SGP) in the presence of metformin (MET=MFH) and sulfonylurea (SU=GLM) by a HPTLC method with dual run-dual wavelength systems [72] (reproduced with the permission of International Journal of Pharmacy and Pharmaceutical Sciences).](/document/doi/10.1515/chem-2016-0023/asset/graphic/j_chem-2016-0023_fig_005.jpg)
Separation of repaglinide (REP), pioglitazone (PIO) and sitagliptin (SIT=SGP) in the presence of metformin (MET=MFH) and sulfonylurea (SU=GLM) by a HPTLC method with dual run-dual wavelength systems [72] (reproduced with the permission of International Journal of Pharmacy and Pharmaceutical Sciences).
9.2 Chromatography in reversed phase systems
In the literature concerning oral antidiabetics, only two reports using reversed-phase chromatography were found. One procedure was described as a stability-indicating method for the determination of PIO in bulk substance and formulations (Table 7) [74]. The main goal of the second study was to obtain experimental lipophilicity data useful for prediction structure-activity relationships for five glitazones, including PIO and ROS [75]. The authors used C18 TLC plates and binary mobile phases containing water and organic modifiers, acetone (50-85%), 1,4-dioxane (40-80%) and methanol (55-95%). After development, the spots of the drugs were visualized in UV light at 254 nm. The obtained results (RF) were then used for calculation of experimental logP values from the relationship between the RM values and the concentration of organic modifier in the mobile phase. The obtained lipophilicity values were compared with some pharmacological properties of the drugs.
10 UV methods for detection of oral antidiabetics
Direct assays in the UV range (Table 8) or techniques utilizing various derivatives (Table 9) were applied for the drugs mentioned in the present review. The methods were mainly proposed as simple and inexpensive alternatives to HPLC for quantitative measurements of active ingredients in pharmaceuticals. Some of them were proven to be sufficiently selective to detect the drugs in combined dosage forms or in the presence of degradation products.
Direct UV spectrophotometric methods for the analysis of glitazones, gliptins, gliflozins and glinides.
| Drug | Sample | Analytical wavelength (nm); Molar absorptivity; Sandell sensitivity (μg/cm2/001) | Linearity range (μg/ml); Precision | Solvent | Ref. | 
|---|---|---|---|---|---|
| PIO | bulk substance | 234; 5.13×102, 4.39×10-2 | 0.2-12 | methanol | 76 | 
| PIO + MET | bulk substance, formulations | 228.1/228.2 (difference spectroscopy) | 1-5; 0.56-0.59% | 0.1M NaOH | 78 | 
| PIO + MET + SU | tablets | 285 | 0.15-2.4 | methanol | 81 | 
| ROS + MET | bulk substance | 251 | 5-300; 1.11% | 6M urea | 79 | 
| ROS + SU | 318 | 0-30; 0.83% | 0.1M NaOH | 80 | |
| ROS | bulk substance | 247 | 1-10 | methanol, acetonitrile | 77 | 
| SIT | 267 | 10-60; 2% | methanol-water | 82 | |
| SIT + PIO | formulations | 267; 0.215068 (SIT) 269; 0.222103 (PIO) | 20-120 (SIT) 2.5-12 (PIO) | methanol | 84 | 
| SIT + statin | tablets | 267 | 10-60 | methanol | 85 | 
| SAX | formulations | 208; 7.8×103; 2.516×10-5 | 5-40; 0.38% | methanol | 83 | 
| VIL + MET | bulk substance, tablets | 233; 0.0462×10-4; 0.00358×10-4 | 30-70; 0.62% | 0.1M NaOH | 86 | 
| DAP | bulk substance | 203 | 1-5; 0.36% | water | 39 | 
| REP | bulk substance, formulations | 281.2; 2.85×103; 0.158 202/269 (difference spectroscopy); 4.65×103; 0.097 | 1-200; 0.79% 5-50; 1.39% | methanol | 87 | 
| 216; 2.02×104; 0.0224 243; 1.17×104; 0.0386 | 1-25 2-40 | 0.1M NaOH0.1M HCl | 88 | ||
| REP + MET | synthetic mixtures | 240; 10249; 0.0126 | 4-24; 2.12-3.12% | absolute ethanol | 90 | 
| NAT | bulk substance | 216 | 10-100 | methanol | 89 | 
| 225.4 | 100-1000 | 10% NaOH | 89 | ||
| NAT + MET | tablets | 216 | 0.5-80 | water | 91 | 
Derivative UV spectrophotometric methods for the analysis of glitazones, gliptins and glinides.
| Drug | Sample | Derivative technique/Analytical wavelength (nm); Molar absorptivity; Sandell sensitivity (μg/cm2/001) | Linearity range (μg/ml); Precision | Solvent | Ref. | 
|---|---|---|---|---|---|
| ROS | bulk substance, formulations | First order derivative/218 | 0.8-40 | 0.1M NaOH | 92 | 
| PIO + MET | formulations; degradation products | First order derivative/280 | 10-90 | methanol | 93 | 
| PIO + SU | formulations | First order derivative/279.4 Second order derivative/242.3, 274, 287 Absorbance ratio/237.2 and 248 | 10-90; 1.88% 10-90; 1.56% 2.0-18; 0.88% | methanol | 94 | 
| SIT | bulk substance, formulations | First order derivative/213/0.167 Second order derivative/276/0.268 | 20-60; 2% 40-80; 2% | methanol | 95 | 
| SIT + MET | formulations | First order derivative/275 Absorbance ratio/232 and 239 | 50-300; 1.19% 2.0-12.0; 1.72% | methanol | 96 | 
| LIN + MET | mixtures | First order derivative/311 | nm 50-300; 1.17% | methanol | 36 | 
| REP | bulk substance, formulations | First order derivative/293; 5.65×103; 0.08 | 2-35; 0.46% | methanol | 87 | 
| First order derivative/253 | 1-35; 1.35% | 0.1M HCl | 97 | ||
| NAT + MET | tablets | First order derivative/zero-crossing/216 | 0.5-80 | water | 91 | 
10.1 Direct UV spectrophotometric methods
For determination of PIO and ROS in single component formulations, the simplest zero-order spectrophotometry was applied [76,77]. The methods were sufficiently selective and accurate to detect the active ingredient in simple formulations. For analysis of PIO or ROS in the presence of other drugs, including MET and SU, difference spectroscopy [78], simultaneous equation [79-80] or the multi-wavelength technique [81] were proposed. Sherje and Desai [79] described the procedure with 6M hydrotropic solution of urea used as a solubilizing agent for ROS.
The method described by Walash et al. [77] was based on formation of complexes of ROS with Cu(II) and Al(III) ions, in borate buffer of pH 6.5. The the formed complexes were measured by absorbance at 318 nm with linearity in the ranges of 8-80 and 5-70 μg/ml, for Cu2+ and Al3+ ions, respectively.
As far as other antidiabetics are concerned, a simple zero-order spectrophotometry was proposed for determination of SIT [82] and SAX [83]. For two component formulations of gliptins with MET, SU, PIO and simvastatin, the simultaneous equation methods were used [84-86].
In the literature, one spectrophotometric method was proposed for determination of DAP from gliflozins. The drug was determined with the sensitivity ca. 5 times higher than that obtained in the alternative HPLC method [39]. REP and NAT from glinides were determined in one component formulations by direct spectrophotometry and difference spectroscopy [87-89] or, in the presence of MET, by the simultaneous equation methods [90,91].
10.2 Derivative UV spectrophotometric methods
For determination of PIO and ROS in bulk materials and formulations, the first-order and the second-order derivatives as well as the ratio absorbance methods have been utilized. These methods have been found to be sufficiently accurate to detect the drugs alone [92] and sufficiently selective for the combined dosage forms with MET (93) or SU [94].
Similar procedures have been used to analyze SIT and LIN [36,95,96] as well as REP and NAT [87,91,97]. The method proposed by Al-Khalidi et al. [97] was successfully used for the dissolution testing of REP and was found to be sufficiently reliable, simple and fast. Additionally, a statistical comparison of the results obtained by spectrophotometry and the USP HPLC method showed that there was no significance difference between these two methods.
In the study of Lotfy et al. [98], three methods based on manipulating ratio spectra (i.e. ratio difference, ratio subtraction and induced amplitude modulation) were proposed for detection of SIT in the presence of MET. The authors also recommended three methods based on derivative spectroscopy: amplitude factor, amplitude subtraction and modified amplitude subtraction [98].
11 Spectrofluorimetric methods for determination of oral antidiabetics
In a study by Telny et al. [99], native fluorescence of ROS was measured in methanol at 311 nm with excitation at 297 nm. The response was found to be linear in the range of 1-5 ng/ml. Caglar et al. [100] proposed two methods based on the natural fluorescence of SIT. In the first method, fluorescence was measured at 353 nm after excitation at 259 nm. The second method was based on the reaction between SIT and fluorescamine in borate buffer at pH 9.0, and fluorescence of the product was measured at 475 nm after excitation at 390 nm. Calibration curves were constructed in the ranges of 0.5-10 μg/ml and 0.2-1.4 μg/ml for the first and the second method, respectively [100]. A specrofluorimetric method for SIT determination with emission at 575 nm and excitation at 263 nm was proposed by El-Bagary et al. [95]. The method was linear in the range of 0.25-110 μg/ml. In the study of Salim et al. [101] the native fluorescence of SIT was enhanced by phosphate buffer of pH 4.0 in the presence of SDS. Fluorescence was measured at 300 nm after excitation at 270 nm. A proposed method described by Salim et al. showed an LOD equal to 5ng/ml and was used for stability studies after exposure of the drug to stress degradation [101].
A spectrofluorimetric method was also used for estimation of REP in tablets as well as in receptor fluid during in vitro permeation studies. REP was observed to exhibit fluorescence at 379 nm after excitation at 282 nm. Detection by this method was linear within the range of 5-80 μg/ml [102].
12 VIS methods for determination of oral antidiabetics
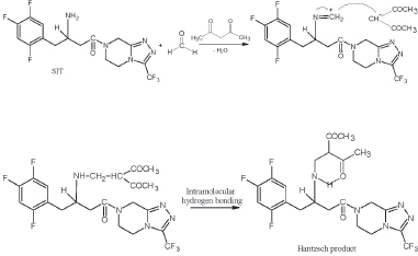
Over the past 10 years, visible spectrophotometric (VIS) methods have been used for determination of PIO and ROS in bulk materials and respective formulations [103,104]. Generally, the procedures were based on ion pair formation or charge transfer reactions. VIS methods for the detection of gliptins can take advantage of the reaction of the primary amino group of SIT and SAX with acetylacetone and formaldehyde, which produces a yellow Hantzsch product (Fig. 6) [105]. Other colorimetric determinations of SAX and VIL have been performed using different charge transfer reactions [106,107].
![Figure 6 Reaction of sitagliptin (SIT) with acetylacetone and formaldehyde to form the Hantzsch product for VIS determination [105].](/document/doi/10.1515/chem-2016-0023/asset/graphic/j_chem-2016-0023_fig_006.jpg)
Reaction of sitagliptin (SIT) with acetylacetone and formaldehyde to form the Hantzsch product for VIS determination [105].
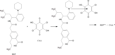
VIS assays of REP have been based on formation of ion-pair complexes or the charge transfer reactions (Fig. 7) [108,109]. A simple procedure was proposed for estimation of NAT based on oxidation of the drug with 2,4- dinitrophenylhydrazine [110].
![Figure 7 Reaction of repaglinide (REP) with p-chloranilic acid (CAA) for VIS determination [109].](/document/doi/10.1515/chem-2016-0023/asset/graphic/j_chem-2016-0023_fig_007.jpg)
Reaction of repaglinide (REP) with p-chloranilic acid (CAA) for VIS determination [109].
Despite some limitations of colorimetric methods, the results presented in the cited papers showed that they are sufficiently accurate and precise for the analysis of drugs in pharmaceutical formulations, especially when simple and economic procedures were needed (Table 10).
VIS spectrophotometric methods for the analysis of glitazones, gliptins and glinides.
| Drug | Sample | Reagent; Solvent | Analytical wavelength; Molar absorptivity; Sandell sensitivity (μg/cm2/001) | Linearity range; (μg/ml); Precision | Ref. | 
|---|---|---|---|---|---|
| PIO | bulk substance, tablets | bromocresol green; chloroform | 419 | 2.5-14; 1.3% | 103 | 
| ROS | bulk substance, formulations | CAA | 530 | 100-800 | 104 | 
| SIT | formulations | acetylacetone and formaldehyde | 430; 1.067×104; 0.0471 | 5-25; 1.13,% | 105 | 
| SAX | bulk substance, formulations | 2,3-dichloro-5,6-dicyano-1,4-benzoquinone 7,7,8,8-tetracyanoquinodimethane | 461, 838 | 50-300; 0.80% 10-110; 1.32% | 106 | 
| VIL | formulations | p-chloranilic acid tetrachloro-1,4-benzoquinone 2,3-dichloro-5,6-dicyano-1,4-benzoquinone) | 520; 3.55×103; 2.03×103 535; 1.8×103; 1.8×103 842; 0.13; 0.17 | 20-250; 1.12% 25-400; 1.28% 20-500; 1.39% | 107 | 
| REP | formulations | bromocresol purple bromophenol blue | 416; 2.41×104 414; 2.20×104 | 2.5-12.5; 0.89% 2.5-12.5; 1.26% | 108 | 
| p-chloranilic acid 2,3-dichloro-5,6-dicyano-1,4-benzoquinone | 520; 1.02×103; 0.4438 590; 4.60×103; 0.0984 | 20-400, 5-80; 2.5% | 109 | ||
| NAT | formulations | 2,4-dintitrophenylhydrazine | 480 | 30-100 | 110 | 
Where: CAA is p-chloranilic acid.
13 Electrochemical determinations of oral antidiabetics
A few electrochemical methods for the analysis of PIO and ROS have been published. El-Ghobashy et al. [111] used membrane selective electrodes for the determination of PIO in pharmaceuticals. Saber and Shah [112] developed new membrane sensors that were employed in the detection of PIO in urine, using iodobismuthite-PIO ion-pair incorporated in a PVC membrane with o-nitrophenyl octyl ether or dioctyl phthalate as plasticizers. The electrodes showed good selectivity with respect to some inorganic cations, sugars, cellulose derivatives, magnesium stearate and ascorbic acid.
Cyclic voltammetry and differential pulse voltammetry methods were also proposed for PIO and ROS, using carbon paste and glassy carbon electrodes as sensors [113]. Wang and Song [114] employed a flow through voltammetry method using a gold electrode. In the study of Al-Arfaj et al. [115], adsorptive cathodic stripping voltammetry was applied to the detection of PIO in pharmaceuticals and biological fluids. An LOD of ca. 3 ng/ml was achieved. Wang and Song [116] applied electrochemical impedance spectroscopy (EIS) using a silver electrode. EIS could be an attractive analytical alternative because of its high sensitivity and good characteristics, including a rapid response, a satisfactory range of linearity (0.2-40 μg/ml) and good stability.
14 Determination of oral antidiabetics in biological samples
14.1 Sample preparation
The methods described for detection of antidiabetics in biological samples presented many techniques to clean up and prepare the samples (Tables 10-14). Deproteinization of plasma samples with acetonitrile, methanol or perchloric acid seemed to be the simplest and provided sufficient recoveries for many applications [25,117–130]. The assay described by Xu et al. [131] involved protein precipitation with CHAPS (3-[(3-cholamidopropyl)dimethylammonio]-1- propanesulfonate). This treatment was critical to improve the recovery of SAX and its metabolite at low concentration levels. Also, the classic liquid-liquid extraction (LLE) with organic solvents, including ethyl acetate, tert-butyl methyl ether (TBME), diethyl ether and dichloromethane, was frequently used [132–141].
LC methods for the analysis of glitazones in biological samples.
| Drug | Sample; Internal standard | Extraction/ Deproteinization | Column; Mobile phase (v/v); Flow rate; Temperature; RT | Detection; Ionization, mode; m/z | Linearity range; LOD (ng/ml); Precision | Ref. | 
|---|---|---|---|---|---|---|
| PIO | plasma | perchloric acid | C18; phosphate buffer-methanolacetonitrile- 12M perchloric acid (54:33:12:1); 5.2 min | UV 269 nm | 50-2000; 44.2; 5% | 117 | 
| plasma; MIV, PIO-d4, MIV-d4 | 0.1% formic acid in acetonitrile | Hypurity C18 (50×4.6 mm, 5 μm); 0.1% formic acid in acetonitrile-1mM ammonium acetate (70:30); 0.5 ml/min; 1.4 and 1.2 min | MS/MS; APCI, MRM; 357.2→134.1 (PIO) 373.1→149.9 (MIV) | 20.48-40000 (PIO) 10.290-2000 (MIV) | 118 | |
| cow plasma | MIP-SPE | Nova-Pak C8 (250×4.6 mm, 4 μm) | positive ESI-IMS | 100-20000; 20; 6% | 144 | |
| PIO | plasma and urine | HF-LPME with dihexyl ether | ODS-3 column (150×4.0 mm, 3 μm); 50mM | UV 270 nm | 2.5-250; 1.0; <15% | 151 | 
| ammonium acetate of pH 4.6- acetonitrile (20:80); 0.7 ml/min; 3.50 min | ||||||
| ROS | sheep plasma, amniotic fluid | LLE with TBME | Phenomenex GEMINI 5 μm, 110A°; ammonium acetate (10mM, pH 5.2)- acetonitrile (56.5:43.5); 1.0 ml/min; ca. 9 and 11 min | SF (em. 367, ex. 247) | 2.5–250; 8.68% | 132 | 
| liver | HF-LPME with octan-1-ol | XTerra RP-18 (100×4.0 mm, 3.9 μm); water-acetonitrile-acetic acid (85:15:0.5); 1.0 ml/min; 22°C; 4.25 and 1.55 min | UV 245 nm | 50-6000; 50; 1.3-9.8% | 148 | |
| plasma and urine | HF-LPME with dihexyl ether | Inertsil ODS-3 (250×4.6 mm, 3 μm); 0.01M ammonium acetate-acetonitrile (65:35); 1.0 ml/min; 4.85 min | UV 245 nm | 1-500; 0.18 and 0.56; 10.9% | 119 | 
Where HF-LPME is hollow-fiber liquid phase microextraction; IMS is ion mobility spectrometry; MIP is molecularly imprinted polymer; SF is fluorescence detection; TBME is tert-butyl methyl ether.
LC methods for the analysis of gliptins in biological samples.
| Drug | Sample; internal standard | Extraction/Deproteinization | Column; Mobile phase (v/v); Flow rate; Temperature; RT | Detection; Ionization, mode; m/z | Linearity range; LOD (ng/ml); Precision | Ref. | 
|---|---|---|---|---|---|---|
| SIT | plasma | 35% perchloric acid | Symmetry C18 (150x4.6 mm, 5 μm); phosphate buffer of pH 7.8− acetonitrile (70:30); 1.0 ml/min; 4.12 min | SF (em. 575, ex. 267 nm) | 0.25−200; 0.0245; 1.87% | 25 | 
| hemodialysate | Cyclone HTLC (50x10 mm, 60 μm) | BDS Hypersil C18 column (30x2.1 mm, 3 μm); A-2.5mM ethylamine with 0.1% formic acid, B-0.1% formic acid in acetonitrile | MS; TIS, SRM | 0.01-5; 4.1% | 142 | |
| rat plasma, urine | MIP-SPE | ZIC-HILIC (100x4.6 mm, 5 μm); acetonitrile-15mM ammonium acetate (90:10), pH 4.5; 0.4 ml/min; 25°C; | UV 268 nm | 0.03 and 0.1; 4.19% | 145 | |
| plasma; SIT-d3 | Hybrid-SPE acetonitrile | HILIC Silica (50x2.1 mm, 3 μm); acetonitrile-water (80:20) containing 10mM ammonium acetate (pH 4.7); 0.3 ml/min; 1.05 min | MS/MS; positive TIS, MRM; 412→235 | 1-1000; 6.1% | 147 | |
| SAX | plasma; OH-SAX; OH-SAX-13Cd-2 | CHAPS | Atlantis dC18 (50x2.1 mm, 5 μm); gradient: A-0.1% formic acid in water, B-0.1% formic acid in acetonitrile; 2.3 and 1.4 min | MS/MS; positive TIS, SRM 316.2→180.2 332.3→196.3 | 0.1-50; 11.5% (SAX) 0.2-100; <15% (OH-SAX) | 131 | 
| VIL | plasma; tolbutamide | acetonitrile | XBridge Shield C18 (150x4.6 mm, 3.5 μm); gradient: A-50mM ammonium bicarbonate (pH 7.8), B-acetonitrile; 1.0 ml/min; 11.2 and 13.4 min | UV 210 nm | 10-120; 9.69% | 123 | 
| SIT + MET | plasma; SIT-d4 | Hypurity C18 (50x4.6 mm, 5 μm); acetonitrile-10mM ammonium formate of pH 3.5 (60:40); 1.0 ml/min; 40°C | MS/MS; positive ESI, SRM 408.1→235.1 | 5-800; 7.5% | 156 | |
| DBS | LDTD | Phenomenex Max-RP (50x2.1mm, 5μm); gradient: A- water with 0.1% formic acid, B-methanol with 0.1% formic acid; 0.75 ml/min | MS/MS; APCI | 5-5000; 30% | 157 | |
| DBS; phenformin; SIT-d4 | Phenomenex Luna HILIC (100x2 mm, 3 μm); gradient: A-acetonitrile with 0.2% formic acid, B-5mM ammonium formate buffer; 0.3 ml/min | UV 230 nm MS/MS; positive ESI and MRM | 3-500; <20% | 154 | 
Where: CHAPS is (3-[(3-cholamidopropyl)dimethylammonio]-1-propanesulfonate); DBS is dried blood sample; LDTD is laser diode thermal desorption; MIP is molecularly imprinted polymer; SF is fluorescence detection; TIS is turbo ion spray.
LC methods for the analysis of gliflozins in biological samples.
| Drug | Sample; Internal standard | Extraction/Deproteinization | Column; Mobile phase (v/v); Flow rate; Temperature; RT | Detection; Ionization, mode; m/z | Linearity range; LOD (ng/ml); Precision | Ref. | 
|---|---|---|---|---|---|---|
| DAP | plasma; DAP‘s glucuronide; labeled standards | SPE; water, acetonitrile | Acquity UPLC (HSS T3, 100x2.1 mm, 1.8 μπι); gradient: A-water- 1M-ammonium acetate-acetonitrile (74.5:0.5:25), B-water-1M ammonium acetae-acetonitrile (4.5:0.5:95); 45°C; 4.07, 3.91 and 4.24 min | MS/MS; negative ESI, SRM; 467 > 329 474 > 335 583 > 329 | 0.2-100; 9% | 146 | 
| CAN | plasma; zafirlukast | acetonitrile | Acquity C18 (100x2.1 mm, 1.7 mm); Acetonitrile-10mM ammonium acetate (80:20); 0.3 ml/min; 40°C; total run time ca. 2 min | MS/MS; negative ESI, MRM 443.164 > 364.96 | 3.76-6666; 3.76; 1.1-9.4% | 124 | 
| plasma; EMP | LLE with TBME | Quicksorb ODS (150x2.1 mm, 5 μm); acetonitrile-0.1% formic acid (90:10); 0.2 ml/min; total run time ca. 4 min | MS/MS; positive ESI, SIM 462.0 [M+NH4J+→191.0 | 10-1000; 10; <15% | 135 | |
| IPR | plasma; EMP | LLE with TBME | Quicksorb ODS (150x2.1 mm, 5 μm); acetonitrile-0.1% formic acid (90:10); 0.2 ml/min; total run time ca. 4 min | MS/MS; positive ESI, MRM 422.0 [M+NH4]+ →151.0 | 10-1000; 10; <15% | 136 | 
Where: TBME is tert-butyl methyl ether.
LC methods for the analysis of glinides in biological samples.
| Drug | Sample; Internal standard | Extraction/Deproteinization | Column; Mobile phase (v/v); Flow rate; Temperature; RT | Detection; Ionization, mode; m/z | Linearity range; LOD (ng/ml); Precision | Ref. | 
|---|---|---|---|---|---|---|
| MIT | plasma and urine | HF-LPME with octan-1-ol | GraceSmart RP 18 (150x4.6 mm, 5 μm); methanol-phosphate buffer of pH 4.0 (60:40), 1.0 ml/min; <6 min | UV 210 nm | 5-1000; 1.38; 7.8-13.6% (plasma) 5.4-10.6% (urine) | 150 | 
| plasma; nateglinide | LLE with ethyl acetate | Zorbax Eclipse Plus C18 (100x3.0 mm, 1.8 μm); methanol-10mM ammonium acetate (75:25); 0.3 ml/min; ca. 5 min | MS/MS; positive ESI, MRM 316.2→298.2 | 0.4-5000; 0.5; <15% | 137 | |
| REP | plasma | acetonitrile | μBondapack C18; acetonitrile-methanol-0.01M KH2PO4 (51:11:38, pH 2.5); 1.5 ml/min | SF (em. 348, ex. 244 nm) | 1.0 | 125 | 
| REP | plasma; indometacine | LLE with ethyl acetate | Purospher STAR C18 (150x4.8 mm, 5 μm); acetonitrile-ammonium formate (pH 2.7; 0.01M) (60:40); 1.0 ml/min; 30°C; 6.2 and 5.3 min | UV 244 nm | 20-200; 10; 11.84% | 138 | 
| plasma; ROS | LLE with ethyl acetate | Polaris C18 (150x3.2 mm, 3 μm), 50mM Na2HPO4-acetonitrile (60:40), pH 7.5; 0.4 ml/min; ca. 8 min | Coloumetric detection | 2.25-225; 1.35 | 139 | |
| pig liver microsomes | microdialysis | Hypersil BDS-C18; methanol-0.01M KH2PO4, pH 3.0 (75:25); 2.0 ml/min; 4.9 min | CL | 0.04-10; 0.02; 2.1% | 152 | |
| NAT | plasma; gliclazide | methanol and acetonitrile | C18 column (250x4.6 mm, 5 μm); acetonitrile:10mM phosphate buffer, pH 3.0 (70:30); 1.0 ml/min; 4.7 and 5.7 min | UV 203 nm | 10-2500; 2.91; 1.32% | 126 | 
| plasma, undecylenic acid | LLE with ethyl acetate-diethyl ether (50:50) | Hypersil BDS-C8 (250x2.1 mm, 2.5 μm); acetonitrile-water (65:35); 0.50 ml/min; 4.66 and 6.74 nm | SF (em. 435, ex. 345 nm) | 50-16000; 50; 6.8% | 140 | |
| plasma, REP, PIO, ROS, MET, SU | acetonitrile | Fluophase PFP-reversed column (50x2.1 mm, 5μm); gradient elution: A-10mM ammonium formate, B-0.1% formic acid in acetonitrile | MS/MS; positive ESI and SRM | 1.0-5.0; 1.90-3.46% | 127 | |
| plasma; REP, PIO, ROS, SIT, SAX, SUs, PIO-d4 and REP-d5 | LLE with TBME | Phenomenex Luna RP C8 column, gradient elution: A-0.05M ammonium formate-acetonitrile (90:10), B-acetonitrile; 0.32→0.5→0.7→0.3 ml/ min | MS/MS; positive ESI | 1-500; 2.14-26% | 141 | |
| REP + statin | rat plasma; diazepam | HC-C18; methanol-0.1% formic acid (80:20) | MS/MS; positive ESI and MRM; 453.3→230.1 | 9.77-10000 | 158 | 
Where: CL is chemiluminescence detection; HF-LPME is hollow-fiber liquid phase microextraction; SF is fluorescence detection; TBME is tert-butyl methyl ether.
Another procedure, described by Zeng et al. [142], involved high turbulence liquid chromatography (HT-LC). The samples containg SIT were cleaned on an extraction column with a large particle size of the adsorbent and then eluted onto an analytical column for chromatographic separation (Table 12).
Some authors proposed various types of solid phase extraction (SPE) [143–148]. In the studies of Jafari et al. [144] and Nageswara Rao et al. [145], molecularly imprinted polymers (MIPs) were used as packing materials in molecularly imprinted SPE (MIP-SPE). This technique is relatively a new concept for the cleaning of biological samples. MIPs possess some specific cavities previously designed the target molecules. Additionally, they are stable in low and high pH values, in a variety of solvents and over a broad temperature range, which provides for flexibility in the development of bioanalytical methods (Tables 11-12).
Determination of antidiabetics could be an analytical challenge when the simultaneous extraction of two or more compounds is needed. Extraction is especially challenging when the simultaneous measurement of glitazones and their metabolites or glitazones in the presence of MET is concerned, because of large differences in polarity. An interesting procedure that improved recoveries from such mixtures was liquid phase microextraction (LPME) using porous hollow fiber (HF-LPME) This procedure has several advantages over other extraction methods. It is very simple, rather inexpensive, provides excellent clean-up and presents low consumption of organic solvents. After optimization of the procedure a significant enrichment factor could be obtained [119,149–151] (Tables 11,13-14).
14.2 HPLC and LC-MS/MS methods for measurement of oral antidiabetics
Several methods were developed to measure antidiabetics in plasma for use in pharmacokinetics and bioequivalence studies. The following antidiabetics were measured in plasma: PIO [117,118,143,144,151] and ROS [148] (Table 11), SIT [25,142,145,147], SAX [131], VIL [123] (Table 12), DAP [146], CAN [124,135], IPR [136] (Table 13), MIT [137,150], REP [125,138,139,152] and NAT [126,140] (Table 14). The parent drugs in the presence of their metabolites were frequently determined. The main metabolites of PIO, keto-PIO (known as MIII) and OH-PIO (known as MIV) are pharmacologically active and the methods suitable for their determination have been described in the literature [118,122,143]. The methods for determination of the main metabolites of ROS (N-desmethyl ROS and OH-ROS), SAX (OH-SAX) and DAP (DAP-glucuronide) have also been published [131,146,148].
Because pharmacological treatment of T2DM usually requires polytherapy, the drugs of focus, i.e. glitazones, gliptins, gliflozins and glinides, were detected in biological samples containing other drugs, including MET, SU, statins and fibrates [120–122,133,134,147,149,153–158] (Tables 12-15).
LC methods for the analysis of glitazones in combined biological samples.
| Drug | Sample; Internal standard | Extraction/Deproteinization | Column; Mobile phase (v/v); Flow rate; temperature; RT | Detection; Ionization, mode; m/z | Linearity range; LOD or LOD and LOQ (ng/ml); Precision | Ref. | 
|---|---|---|---|---|---|---|
| PIO + MET | plasma | acetonitrile, methanol | Kromosil 100 5 SIL (250x4.6 mm, 5 μm); methanol-phosphate buffer (10mM, pH 3.0) (94:6); 1.0 ml/min; 25°C; 3.4 and 5.0 min | UV 230 nm | 500-100000 0.16 and 0.5 | 120 | 
| plasma; MIII, MIV; PIO-d4 and MIV-d5 | HybridSPE Phospholipid plates, acetonitrile and formic acid | Ultimate C18 (150x2.1 mm, 5 μm); acetonitrile-5mM ammonium acetate (55:45); 0.3 ml/min; 35°C | MS/MS; positive ESI, SRM 357.1>134.0 (PIO) 373.1>150.0 (MIV) 371.0>148.0 (MIII) | 2.45-490; 5.08 (PIO) 4.20-840; 2.45 (MIII) 4.20-840; 4.20 (MIV) | 143 | |
| dog plasma | acetonitrile | Synergi POLAR-RP 80A (250x4.6 mm, 4 μm); acetonitrile-water with 6mM ammonium acetate and 0.1% formic acid (50:50); 1.0 ml/min; 40oC; 6.1 min | MS/MS; positive ESI, SRM | 1-1000; 1 | 121 | |
| PIO + MET | plasma; MIV; PIO-d4 | acetonitrile | Zorbax SB C18 (75x4.6 mm, 3.5 μm); 5mM ammonium formate of pH 4.0 with 0.2% formic acid and methanol (20:80); 0.50 ml/min; 24°C; 2.6, 1.8 and 1.7 min | MS/MS; positive ESI, MRM; 357.2→134.2 (PIO) 373.0→150.1 (MIV) | 15-2500 for PIO 10-1500 for MIV | 122 | 
| PIO + SU | plasma; | LLE with ethyl acetate | Eclipse Plus C18 (100x4.6 mm, 3.5 μm); methanol-water-formic acid (95:5:0.1) with 5mM ammonium acetate); 0.8 ml/min; 2.3, and 2.4 min | MS/MS; MRM 357.2→134.2 | 0.2-1250; 0.5 | 133 | 
| PIO + MET | serum; SU; PIO-d4 | Nucleosil C18 (250x4.6 mm, 10 μm); acetonitrile-phosphate buffer (pH 4.3) (60:40); 1.0 ml/min | UV 254 nm | 10-10000 0.06 and 0.8 | 153 | |
| plasma | LLE with dichloromethane | Peerless Basic C18 (33x4.6 mm, 5 μm); methanol-water (containing 0.5% formic acid) (8:2); 0.6 ml/min; 2.11, 1.84, 4.59 and 2.84 min | MS/MS; TIS and MRM | 25-10000; 2.5 | 134 | |
| ROS + MET | plasma | Peerless Basic C18 (33x4.6, 5μm); ammonium formate (10mM, pH 3.0)-methanol (90:10); room temperature; 0.6 ml/min; 1.6 and 18 min | TIS with MRM | 5-800 | 155 | |
| plasma | HF-LPME | Hypersil C18 (250x4.6 mm, 5 μm); acetonitrile-10mM sodium phosphate buffer, pH 4.0 (60:40); 1.0 ml/min | UV 230 nm | 1-500; 0.12 and 1.0 | 149 | |
| ROS + fibrate | plasma; α-asarone | Nucleodur C18 (250x4.6 mm, 5 μm); gradient: A-acetonitrile, B-30mM ammonium acetate with 0.1% formic acid; 45°C; 1.2 ml/min; 5.73 and 12.62 min | SF (em. 370, ex. 250 nm) | 5.0-751.3; 5.0 | 159 | 
Where: SF is fluorescence detection; TIS is turbo ion spray.
Many methods for detection of antidiabetic agents in biological samples utilize LC-MS/MS [118,121,122,124,127,131,133–137,141,143,146,147,154–158], although HPLC with UV detection has been used by many authors as a good alternative [117,119,120,123,126,138,139,145 ,148–151,153,154]. The LC-MS/MS methods are mainly based on positive ESI with multiple reaction monitoring (MRM) [122,136,137,147,158,] or selected reaction monitoring (SRM) modes [127,131,135,143,156]. However, procedures involving negative ESI are also reported [124,146] as are procedures based on APCI [118] (Fig. 8). The choice of negative ionization mode was emphasized for CAN determination by Iqbal et al. [124] in order to avoid formation of adductions that would give strong signals in positive mode.
![Figure 8 SIM chromatograms of canagliflozin (CAN); a) blank plasma, b) plasma spiked with CAN and IS, c) plasma sample obtained 1h after administration of CAN to rats [135] (reproduced with the permission of John Wiley and Sons).](/document/doi/10.1515/chem-2016-0023/asset/graphic/j_chem-2016-0023_fig_008.jpg)
SIM chromatograms of canagliflozin (CAN); a) blank plasma, b) plasma spiked with CAN and IS, c) plasma sample obtained 1h after administration of CAN to rats [135] (reproduced with the permission of John Wiley and Sons).
In the study of Swales et al. [157], the use of laser diode thermal desorption (LDTD) MS/MS was proposed for simultaneous quantification of SIT and MET in mouse and human dried blood spots. LDTD uses an infrared laser to thermally desorb analytes coated onto the metallic surface of specially designed plates. Analytes subsequently can be efficiently ionized with an APCI interface.
An interesting method based on ESI ion mobility spectrometry (ESI-IMS) in positive mode was used for analysis of PIO in cow plasma by Jafar et al. [144]. IMS relies on the mobility of the analyte ions in the gas phase operating at atmospheric pressure. According to the authors, it is much easier to use and cost effective compared to MS techniques [144].
Although LC-MS and LC-UV detections were commonly used, other methods for detection of oral antidiabetics have also been published. Using the native fluorescence of the drugs the detection of peaks using SF detectors was proposed for ROS [132,159], SIT [25] and REP [125]. The last two methods allowed for detection at concentrations of 0.25 and 1.0 ng/ml, respectively, meaning that the fluorescence method was at least 10 times more sensitive than other methods reported.
Malli et al. [142] proposed an interesting method with pre-column derivatization of NAT using a coumarin type fluorescent reagent, N-(7-metoksy-4-metylo-2-okso- 2H-6-chromenyl)-2-bromoacetamide, in the presence of potassium carbonate and 18-crown-6-ether as the reaction catalysts.
Fu et al. [152] employed a method based on the reaction of REP with acidic potassium permanganate and tris (2,2’-bipyridyl)ruthenium(III) where subsequent chemiluminescence (CL) measurement allowed for a LOD of 0.04 ng/ml. Similar sensitivity for REP was obtained by a LC method with coulometric detection [139]. These last two reports showed the highest sensitivity among all LC methods presented for REP (Fig. 9).
![Figure 9 Separation of repaglinide (REP=RPG) and IS by a LC method with coloumetric detection; a) chromatogram of standard solutions, b) chromatogram of plasma sample after administration of REP [139] (reproduced with the permission of Elsevier).](/document/doi/10.1515/chem-2016-0023/asset/graphic/j_chem-2016-0023_fig_009.jpg)
Separation of repaglinide (REP=RPG) and IS by a LC method with coloumetric detection; a) chromatogram of standard solutions, b) chromatogram of plasma sample after administration of REP [139] (reproduced with the permission of Elsevier).
As was stated above, the examined drugs differ in their polarity, especially when non polar glitazones were assayed in the presence of highly polar MET. This problem was effectively overcome using special types of columns, such as HILIC [120]. This system provided high separation efficiency with good peak shape compared to reversed phase chromatography. HILIC columns were also used for determination of relatively polar compounds, such as SIT [145,147]. In the study by Rao et al. [145], zwitterionic HILIC chromatography was described. According to the authors, zwitterionic materials (e.g. polymeric sulfoalkylbetaine) were characterized by carrying both positive and negative charges on the surface. The electrostatic interactions between oppositely charged groups in close proximity weakened the interactions of the stationary phase with the charged analytes improving separation and peak shape.
Another interesting topic in biomedical analysis is the use of isotope-labeled, mostly deuterated, compounds. Such stable isotopes are ideal internal standards. They have the same solubility, extraction and chromatographic behavior as their non-labeled counterparts. On the other hand, their different molecular weights make them distinguishable from the non-labeled compounds in LC-MS. In the papers cited above such standards were used for determination of PIO and its metabolites, i.e. PIO-d4, MIV-d5, SIT-d4, SAX and OH-SAX-13Cd-2 and REP-d5 [122,131,143,153].
14.3 CE methods for biological assays
For determination of ROS in biological fluids, HF-LPME with dihexyl ether coupled with CE method was proposed by Al Azzam et al. [119]. Fused silica capillary (63 cm × 75 μm), hydrodynamic injection at 50 mbar for 15s, 25kV voltage, capillary temperature 25°C, 25 mM sodium acetate of pH 4.0 and UV detection at 200 nm were used. The LOD thus obtained was 2.83ng/ml while the precision was estimated as 8.44%. The authors showed that the CE procedure was equally precise as HPLC, but, to some extent, less sensitive.
For simultaneous determination of ROS and MET in human plasma, deproteinization and CE coupled with MS/MS detection was developed by Znaleziona et al. [128]. This method combined the advantages of both techniques, leading to high efficiency, sensitivity and selectivity, and it allowed effective separation of the drugs within 11 min (Fig. 10). The authors used 50 mM formic acid as a running buffer, positive 20kV polarity and positive ESI with selective ion monitoring (SIM) mode. The sheath liquid was composed of water, methanol and formic acid. The LOD value obtained by the authors, i.e. 4.42ng/ml, was sufficient for therapeutic monitoring of the drug [128].
![Figure 10 Electropherograms showing separation of rosiglitazone (ROS) and metformin (MET) by a CE method; a) UV detection, b) MS/ MS detection with SIM mode [128] (reproduced with the permission of John Wiley and Sons).](/document/doi/10.1515/chem-2016-0023/asset/graphic/j_chem-2016-0023_fig_010.jpg)
Electropherograms showing separation of rosiglitazone (ROS) and metformin (MET) by a CE method; a) UV detection, b) MS/ MS detection with SIM mode [128] (reproduced with the permission of John Wiley and Sons).
14.4 Other methods for biological assays
In the study of Adhikari et al. [130], direct UV spectrophotometry was used for determination of ROS in rat and human plasma after simple deproteinization of the samples with acetonitrile. However, the sensitivity of this method equal 0.72μg/ml seems to be insufficient in comparison with HPLC methods proposed in the literature (Table 11 and Table 15).
The fluorimetric method proposed by Walash et al. [77] for ROS was based on the complex formation with Al3+ ions in acetate buffer at pH 5.0. The fluorescence measured at 376 nm after excitation at 318 nm, was double the native fluorescence of the drug. At the same time the method was ca. 100 times more sensitive as simply measuring the absorbance of the complex in borate buffer at pH 6.5. The linearity of the method was obtained in the range of 0.032.0 μg/ml. The method was applied for determination of ROS in spiked and real human plasma samples.
15 Conclusions
In the literature, a broad range of methods have been presented for the analysis of oral antidiabetics in bulk materials and pharmaceuticals. HPLC with UV detection and UV spectrophotometry were mainly used, due to their accuracy, precision and sensitivity. These methods were adequate to analyze the drugs in single component formulations as well as in combinations. Also, TLC/HPTLC with densitometric detection and VIS spectrophotometry were widely used for typical analysis in pharmaceutical formulations. The former method was frequently proposed as an alternative to HPLC while the latter method was used when simplicity and cost effectiveness were required.
HPLC-UV and LC-MS are undoubtedly the methods of choice for bioanalytical assays. Bearing in mind the data presented above it could be concluded that higher selectivity of LC-MS was the main difference between the described methods, while sensitivity was similar. Additionally, the LC-MS systems were frequently realized as UPLC techniques. All authors confirmed that UPLC drastically reduced the mobile phase consumption, thus having obvious economic and ecological consequences. At the same time, significant improvements in resolution and sensitivity were achieved.
Other methods such CE were also used but they were designated for special analytical purposes, e.g. separation and determination of enantiomers. In turn, electrochemical methods were adequate and helpful when separation and extraction of the active substances from the matrix were not needed.
To our knowledge, this paper is the first complete review concerning the analysis of new oral antidiabetics, including glitazones, gliptins, glifozins and glinides. A few available reports describe the analyses of individual drugs, such as PIO [160] and NAT [161]. Also, a review concerning the analysis of gliptins exists, but it was based on the papers published over a briefer time frame (2012-2014) [162].
Undoubtedly, glitazones, gliptins and glinides are widely examined with analytical techniques, in contrast to gliflozins which are the newest therapeutic group for T2DM. On the other hand, all groups of antidiabetics are still extensively developed, and almost every year a new drug similar to these described here appears on the market. The analytical methods, gathered together and compared, can facilitate steps in designing, in examining, in manufacturing and in controlling already discovered drugs as well as new substances.
List of abbreviations
- ADA
- the American Diabetes Association 
- APCI
- atmospheric pressure chemical ionization 
- CAN
- canagliflozin 
- CAA
- p-chloranilic acid 
- CD
- cyclodextrin 
- CL
- chemiluminescence 
- DAP
- dapagliflozin 
- DPP4
- dipeptidyl peptidase 4 
- EASD
- the European Association for the Study of Diabetes 
- EIS
- electrochemical impedance spectroscopy 
- EMP
- empagliflozin 
- ESI
- electrospray ionization 
- FDA
- Food and Drug Administration 
- GIP
- glucose dependent insulinotropic polypeptide 
- GLP1
- glucagon-like peptide 1 
- HF
- hollow fiber 
- IMS
- ion mobility spectrometry 
- IPR
- ipragliflozin 
- LIN
- linagliptin 
- LLE
- liquid-liquid extraction 
- LOD
- limit of detection 
- LOQ
- limit of quantification 
- LPME
- liquid phase microextraction 
- MET
- metformin 
- MIP
- molecularly imprinted polymer 
- MIT
- mitiglinide 
- MRM
- multiple reaction monitoring 
- NAT
- nateglinide 
- OPA
- o-phthalaldehyde 
- Ph. Eur.
- European Pharmacopoeia 
- PIO
- pioglitazone 
- PPARy
- peroxisome proliferator-activated receptor gamma 
- REP
- repaglinide 
- ROS
- rosiglitazone 
- SAX
- saxagliptin 
- SBE
- sulfobutylether 
- SF
- fluorescence 
- SGLT2
- sodium/glucose co-transporter 2 
- SIM
- selective ion monitoring 
- SIT
- sitagliptin 
- SPE
- solid phase extraction 
- SRM
- selected reaction monitoring 
- SU
- sulfonylurea 
- T2DM
- type 2 diabetes mellitus 
- TBME
- tert-butyl methyl ether 
- UPLC
- ultra performance liquid chromatography 
- USP
- US Pharmacopoeia 
- VIL
- vildagliptin 
References
[1] Shaw J.E., Sicree R.A., Zimmet P.Z., Global estimates of the prevalence of diabetes, Diabetes Res. Clin. Pract., 2010, 87, 4-14.10.1016/j.diabres.2009.10.007Search in Google Scholar PubMed
[2] Inzucchi S.E., Bergenstal R.M., Buse J.B., Diamant M., Ferrannini E., Nauck M., et al., Management of hyperglycemia in type 2 diabetes: a patient centered approach update to a position statement of the American Diabetes Association and the European Association for the Study of Diabetes, Diabetes Care, 2015, 38, 140-149.10.2337/diaspect.25.3.154Search in Google Scholar
[3] Kendall D.M., Thiazolidinediones, Diabetes Care, 2006, 29, 154-157.10.2337/diacare.29.01.06.dc05-0711Search in Google Scholar
[4] Mahaffey K.W., Hafley G., Dickerson S., Burns S., Tourt-Uhlig S.J., White J., et al., Results of a revaluation of cardiovascular outcomes in the RECORD trial, Am. Heart J., 2013, 166, 240-249.10.1016/j.ahj.2013.05.004Search in Google Scholar PubMed
[5] Kumar K.V. and Gupta A.K., Clinical audit of patients using DPP4 inhibitors in longstanding type 2 diabetes, Diabetes Metab. Syndr. Clin. Res. Rev., 2015, 9, 277-279.10.1016/j.dsx.2014.04.031Search in Google Scholar PubMed
[6] Basile J.N., The potential of sodium glucose cotransporter 2 (SGLT2) inhibitors to reduce cardiovascular risk in patients with type 2 diabetes (T2DM), J. Diabetes Complicat., 2013, 27, 280-286.10.1016/j.jdiacomp.2012.12.004Search in Google Scholar PubMed
[7] Faillie J.L., Pharmacological aspects of the safety of gliflozins, Pharmacol. Res., (in press), DOI:10.1016/j.phrs.2016.07.001.10.1016/j.phrs.2016.07.001Search in Google Scholar PubMed
[8] Aoyagi K., Ohara-Imaizumi M., Nishiwaki C., Nakamichi Y., Nagamatsu S., Glinide, but not sulfonylurea, can evoke insulin exocytosis by repetitive stimulation: imaging analysis of insulin exocytosis by secretagogue-induced repetitive stimulations, Experimental Diabetes Res., (in press), DOI:10.1155/2009/278762.10.1155/2009/278762Search in Google Scholar PubMed PubMed Central
[9] European Pharmacopoeia, Council of Europe, France. 8th Edition, 2014.Search in Google Scholar
[10] Sharma M.C., Extractive spectrophotometric analytical methods for the determination of pioglitazone hydrochloride in pharmaceutical dosage form and its comparison with RP-HPLC and TLC densitometric methods, Oxid Commun., 2013, 36, 441-450.Search in Google Scholar
[11] Prasad P.S., Imam S.S., Aqil M., Rizwan M.Y., Sultana Y., Ali A., Validated reversed phase HPLC method for determination of pioglitazone hydrochloride in bulk drug and tablet formulations, J. Anal. Chem., 2015, 70, 744-746.10.1134/S106193481506012XSearch in Google Scholar
[12] Rao S.S., Sharma N., Malleswara R.A., A novel validated high pressure liquid chromatography method for separation of pioglitazone degradant in drug product, Int. J. Pharm. Pharm. Sci., 2012, 4, 201-209.Search in Google Scholar
[13] Ramulu K., Thilak Kumar T., Radha Krishna S., Vasudev R., Kaviraj M., Rao B.M. et al., Identification, isolation and characterization of potential degradation products in pioglitazone hydrochloride drug substance, Pharmazie, 2010, 65, 162-168.Search in Google Scholar
[14] Jagathi V., Sai Praveen P., Rajesh V., Ramesh D., Jahnavi G., Development and validation of new RP-HPLC method for determination of rosiglitazone HCl in pharmaceutical dosage forms, Res. J. Pharm. Biol. Chem. Sci., 2010, 1, 841-847.Search in Google Scholar
[15] El-Refay H., Ismaiel O.A., Hassan W.S., Shalaby A., Development and validation of a stability-indicating HPLC-UV method for the determination of pioglitazone hydrochloride and metformin hydrochloride in bulk drug and combined dosage form, Asian J. Pharm. Clin. Res., 2013, 6, 116-120.Search in Google Scholar
[16] Alexandar S., Diwedi R., Chandrasekar M.J., A RP-HPLC method for simultaneous estimation of metformin and pioglitazone in pharmaceutical formulation, Res. J. Pharm. Biol. Chem. Sci., 2010, 1, 858-866.10.9734/bpi/tipr/v3/8382DSearch in Google Scholar
[17] Akteruzzaman M., Rahman A., Sultan M.Z., Islam F., Salam M.A., Rashid M.A., Development and validation of a simple RP-HPLC method for simultaneous estimation of metformin hydrochloride and rosiglitazone in pharmaceutical dosage forms, Dhaka University J. Pharm. Sci., 2012, 11, 157-163.10.3329/dujps.v11i2.14574Search in Google Scholar
[18] Rezk M.R., Riad S.M., Mahmoud G.Y., Aleem A.A., Simultaneous determination of pioglitazone and glimepiride in their pharmaceutical formulations, Der Pharma Chem., 2011, 3, 176-184.10.7324/JAPS.2012.2544Search in Google Scholar
[19] Lakshmi K.S. and Rajesh T., Simultaneous determination of rosiglitazone and gliclazide in pharmaceutical dosage forms by high performance liquid chromatography, J. Chilean Chem. Soc., 2010, 55, 250-252.10.4067/S0717-97072010000200023Search in Google Scholar
[20] Havaldar F.H. and Vairal D.L., Simultaneous estimation of glimepiride, rosiglitazone and pioglitazone hydrochloride in the pharmaceutical dosage form, E-J. Chem., 2010, 7, 13261333.10.1155/2010/262810Search in Google Scholar
[21] Panchal H.J. and Suhagia B.N., Simultaneous estimation of atorvastatin calcium and pioglitazone hydrochloride in tablet dosage form by reverse phase liquid chromatography and high performance thin layer chromatography, Der Pharma Chem., 2013, 5, 202-207.Search in Google Scholar
[22] Sengupta P., Das A., Pal T.K., Stability-indicating RP-HPLC method for simultaneous determination of olmesartan medoxamil and pioglitazone in fixed dose combination tablet dosage form, Asian J. Chem., 2010, 22, 6471-6479.Search in Google Scholar
[23] Wang J., Yang D., Wang Z., Chen B., Yao S., Simultaneous determination of illegal additives in dietary supplements and traditional medicines by high performance liquid chromatography-electrospray ionization mass spectrometry, Food Chem., 2009, 113, 227-232.10.1016/j.foodchem.2008.06.070Search in Google Scholar
[24] Ayyappan J., Umapathi P., Darlin Quine S., Validated HPLC method for the fast and sensitive determination of few antidiabetic drugs residues in support of cleaning validation in formulation area, Int. J. Pharm. Pharm. Sci., 2011, 3, 371-374.Search in Google Scholar
[25] El-Bagary R.I., Elkady E.F., Ayoub B.M., Liquid chromatographic determination of sitagliptin either alone or in ternary mixture with metformin and sitagliptin degradation product, Talanta, 2011, 85, 673-680.10.1016/j.talanta.2011.04.051Search in Google Scholar PubMed
[26] Lange A.D., Gasperin F.T., dos Santos Passos C., Todeschini V., Volpato N.M., Schapoval E.E., Stability-indicating LC assay with determination of system suitability limits by a robustness test for sitagliptin in tablets and assessment of cytotoxicity for degradation products, Curr. Pharm. Anal., 2012, 8, 360-367.10.2174/157341212803341645Search in Google Scholar
[27] Abdel-Ghany M.F., Abdel-Azziz O., Ayad M.F., Tadros M.M., Stability-indicating liquid chromatographic method for determination of saxagliptin and structure elucidation of the major degradation products using LC-MS, J. Chromatogr. Sci., 2015, 53, 554-564.10.1093/chromsci/bmu084Search in Google Scholar PubMed
[28] El-Bagary R.I., Elkady E.F., Ayoub B.M., Liquid chromatographic methods for the determination of vildagliptin in the presence of its synthetic intermediate and the simultaneous determination of pioglitazone hydrochloride and metformin hydrochloride, Int. J. Biomed. Sci., 2011, 7, 201-208.Search in Google Scholar
[29] Barden A.T., Salamon B., Sherman Schapoval E.E., Steppe M., Stability-indicating RP-LC method for the determination of vildagliptin and mass spectrometry detection for a main degradation product, J. Chromatogr. Sci., 2012, 50, 426-432.10.1093/chromsci/bms024Search in Google Scholar PubMed
[30] Rezk M.R., Riad S.M., Mahmoud G.Y., Aleem A.A., Simultaneous determination of sitagliptin and metformin in their pharmaceutical formulation, J. AOAC Inf., 2013, 96, 301-306.10.5740/jaoacint.11-383Search in Google Scholar PubMed
[31] Attimarad M., Nagaraja S.H., Aldhubaib B.E., Nair A., Venugopala K.N., Simultaneous determination of metformin and three gliptins in pharmaceutical formulations using RP HPLC: application to stability studies on linagliptin tablet formulation, Pharm. Res., 2014, 4, 45-53.10.5530/ijper.48.4.7Search in Google Scholar
[32] Peraman R., Gowra C.S., Padmanabha Reddy Y., Peruru K.K., Stability-indicating RP-HPLC method for simultaneous determination of metformin hydrochloride and sitagliptin phosphate in dosage forms, Chromatographia, 2013, 76, 11531162.10.1007/s10337-013-2525-4Search in Google Scholar
[33] Bhende S.D., Varanasi M.B., Abbulu K., Divya Swetha M., Shravanthi V., Karuna Kumari J., ef al., RP-HPLC method for the simultaneous estimation of sitagliptin phosphate and metformin hydrochloride in combined tablet dosage forms, OrienfalJ. Chem., 2012, 28, 463-469.10.13005/ojc/280158Search in Google Scholar
[34] Malleswararao C.S., Suryanarayana M.V., Mukkanti K., Simultaneous determination of sitagliptin phosphate monohydrate and metformin hydrochloride in tablets by a validated UPLC method, Sci. Pharm., 2012, 80, 139-152.10.3797/scipharm.1110-13Search in Google Scholar PubMed PubMed Central
[35] Narendra N. and Jeyabalan G., Simultaneous estimation of saxagliptin hydrochloride and metformin hydrochloride in active pharmaceutical ingrident by RP-HPLC, Asian J. Pharm. Res. Healfh Care, 2012, 4, 70-77.Search in Google Scholar
[36] El-Bagary R.I., Elkady E.F., Ayoub B.M., Spectrophotometric methods for the determination of linagliptin in binary mixture with metformin hydrochloride and simultaneous determination of linagliptin and metformin hydrochloride using high performance liquid chromatography, Int. J. Biomed. Sci., 2013, 9, 45-51.Search in Google Scholar
[37] Satheeshkumar N., Pradeepkumar M., Shanthikumar S., Rao V.J., Development of validated stability indicating assay method for simultaneous estimation of metformin hydrochloride and vildagliptin by RP-HPLC, Drug Res., 2014, 64, 124-129.10.1055/s-0033-1354373Search in Google Scholar PubMed
[38] Ramalingam P., Bhaskar V.U., Reddy Y.P., Kumar K.V., Stability- indicating RP-HPLC method for the simultaneous determination of sitagliptin and simvastatin in tablets, Indian J. Pharm. Sci., 2014, 76, 407-414.Search in Google Scholar
[39] Sanagapati M., Dhanalakshmi K., Nagarjuna R.G., Srinivasa S., Method development and validation of dapagliflozin in API by RP-HPLC and UV-spectroscopy, Int. J. Pharm. Sci. Drug Res., 2014, 6, 250-252.Search in Google Scholar
[40] Padmaja N. and Veerabhadram G., Method development and validation of RP-HPLC method for the estimation of empagliflozin in API, Int. J. Pharm. Sci. Res., 2016, 7, 724-727.Search in Google Scholar
[41] Mohammad Y. and Gowri Sankar D., A validated stability- indicating high-performance liquid chromatographic method for simultaneous determination of metformin HCl and dapagliflozin in bulk drug and tablet dosage form, Asian J. Pharm. Clin. Res., 2015, 8, 320-326.Search in Google Scholar
[42] Panigrahy U.P. and Reddy S.U., A novel validated RP-HPLC- DAD method for the simulataneous estimation of metformin hydrochloride and canagliflozin in bulk and pharmaceutical talet dosage form with forced degradation study, Orient. J. Chem., 2015, 31, 1489-1507.10.13005/ojc/310328Search in Google Scholar
[43] Prameela Rani A., Bala Sekaran C., Archana N., Siva Teja P., Aruna B., Determination of repaglinide in pharmaceutical formulations by RP-HPLC method, J. Appl. Sci. Res., 2009, 5, 1500-1504.Search in Google Scholar
[44] Hacioglu A. and Karakus S., Development and validation of an HPLC method for determination of nateglinide in drug substances, Marmara Pharm. J., 2015, 19, 103-108.10.12991/mpj.2015199640Search in Google Scholar
[45] Joshi S.S., Nahire R.R., Shastri N.R., Surendranath K.V., Satish J., Validated stability-indicating RP-HPLC UV method for simultaneous determination of metformin and repaglinide, Acta Chromatogr., 2012, 24, 419-432.10.1556/AChrom.24.2012.3.6Search in Google Scholar
[46] Soni L.K., Narsinghani T., Jain M., Development and validation of RP-HPLC method for simultaneous estimation of metformin hydrochloride and repaglinide in tablet dosage form, J. Liq. Chromatogr. Relat. Technol., 2012, 35, 385-392.10.1080/10826076.2011.601492Search in Google Scholar
[47] Lakshmi K.S., Rajesh T.T., Sharma S., Liquid chromatographic method for the determination of metformin and nateglinide in pharmaceutical formulations, Asian J. Chem., 2010, 22, 52315236.Search in Google Scholar
[48] El-Wasseef D.R., Simultaneous determination of metformin, nateglinide and gliclazide in pharmaceutical preparations using micellar liquid chromatography. Int. J. Biomed. Sci., 2012, 8, 144-151.Search in Google Scholar
[49] Venkatesh P., Harisudhan T., Choudhury H., Mullangi R., Srinivas N.R., Simultaneous estimation of six anti-diabetic drugs-glibenclamide, gliclazide, glipizide, pioglitazone, repaglinide and rosiglitazone: development of a novel HPLC method for use in the analysis of pharmaceutical formulations and its application to human plasma assay, Biomed. Chromatogr., 2006, 20, 1043-1048.10.1002/bmc.635Search in Google Scholar PubMed
[50] Piccoli B.L., Volpato N.M., Steppe M., A simultaneous assay method using capillary zone electrophoresis for a fixed dose combination of vildagliptin and metformin hydrochloride in coated tablets, Anal. Methods, 2013, 5, 5701-5708.10.1039/c3ay41051jSearch in Google Scholar
[51] Jamali B., Bj0rnsdottir I., Nordfang O., Hansen S.H., Investigation of racemisation of the enantiomers of glitazone drug compounds at different pH using chiral HPLC and chiral CE, J. Pharm. Biomed. Anal., 2008, 46, 82-87.10.1016/j.jpba.2007.09.004Search in Google Scholar PubMed
[52] Gowramma B., Meyyanathan S.N., Babu B., Krishnavenin N., Elango K., Development and validation of LC-MS/MS method for the estimation of rosiglitazione enantiomers in pharmaceutical formulation, Int. Res. J. Pharm., 2012, 3, 123-126.Search in Google Scholar
[53] Calixto L.A. and Bonato P.S., Chiral HPLC separation of rosiglitazone and its main metabolites and studies on their racemization, Chromafographia, 2013, 76, 1613-1621.10.1007/s10337-013-2527-2Search in Google Scholar
[54] Mone M.K., Jain P., Kurhade S., Sonune D.P., Kaduskar R.D., Development and validation of a liquid chromatographic enantiomer separation method for the estimation of (S)-enantiomer in sitagliptin, Int. J. Pharm. Sci. Res., 2014, 5, 2382-2386.Search in Google Scholar
[55] Nageswara R.R., Sravan B., Ramakrishna K., Saida S., Padiya R., Precolumn o-phthalaldehyde-W-acetyl-/- cysteine derivatization followed by RP-HPLC separation and fluorescence detection of sitagliptin enantiomers in rat plasma, Chiralify, 2013, 25, 883-889.10.1002/chir.22229Search in Google Scholar PubMed
[56] Rane V.P. and Shinde D.B., A validated chiral LC method for the enantiomeric separation of repaglinide on amylose based stationary phase, Chromatographia, 2007, 66, 583-587.10.1365/s10337-007-0370-zSearch in Google Scholar
[57] Maddi S., Keshetty S., Mohan Ega C., Yamasani M.R., Scriba G.K., Development and validation of a stereoselective HPLC method for the determination of the in vitro transport of nateglinide enantiomers in rat intestine, J. Sep. Sci., 2007, 30, 1875-1880.10.1002/jssc.200600527Search in Google Scholar PubMed
[58] Sohajda T., Hu W.H., Zeng L.L., Szente L., Noszal B., Beni S., Evaluation of the interaction between sitagliptin and cyclodextrin derivatives by capillary electrophoresis and nuclaer magnetic resonance spectroscopy, Electrophoresis, 2011, 32, 2648-2654.10.1002/elps.201000639Search in Google Scholar PubMed
[59] Kazsoki A., Fejos I., Sohajda T., Zhou W., Hu W., Szente L., et al., Development and validation of a cyclodextrin-modified capillary electrophoresis method for the enantiomeric separation of vildagliptin enantiomers, Electrophoresis, 2016, 37, 1318-1325.10.1002/elps.201500442Search in Google Scholar PubMed
[60] Li C. and Jiang Y., Analysis of repaglinide enantiomers in pharmaceutical Formulations by capillary electrophoresis using 2,6-di-o-methyl-ß-cyclodextrin as a chiral selector, J. Chromatogr. Sci., 2012, 50, 739-743.10.1093/chromsci/bms064Search in Google Scholar PubMed
[61] Mohamed A., Mohamed F., Ahmed S., Mohamed Y., New and selective HPTLC-densitometric method for determination of pioglitazone hydrochloride, J. Planar Chromatogr.-Mod. TLC, 2013, 26, 209-214.10.1556/JPC.26.2013.3.2Search in Google Scholar
[62] Walode S.G., Chaudhari H.K., Saraswat M.S., Kasture A.V., Wadokor S.G., Validated HPTLC determination and content uniformity test for rosiglitazone in tablets, Indian J. Pharm. Sci., 2010, 72, 249-252.10.4103/0250-474X.65034Search in Google Scholar PubMed PubMed Central
[63] Modi D.K. and Patel B.H., Rapid and sensitive simultaneous estimation of metformin hydrochloride and pioglitazone hydrochloride in tablet formulation by HPTLC method, J. Liq. Chromatogr. Relat. Technol., 2013, 36, 618-627.10.1080/10826076.2012.673202Search in Google Scholar
[64] Patriban C., Bhagavan Raju M., Sudhakar M., Siddartha B., Simultaneous determination and validation of pioglitazone and glimepiride in tablet dosage form by HPTLC method, Int. J. Pharm. Pharm. Sci., 2013, 5, 619-622.Search in Google Scholar
[65] Kale D. and Kakde R., Simultaneous determination of pioglitazone, metformin and glimepiride in pharmaceutical preparations using HPTLC method, J. Planar Chromatogr.-Mod. TLC, 2011, 24, 331-336.10.1556/JPC.24.2011.4.11Search in Google Scholar
[66] Srividya S., Swetha T., Veeresham C., Development and validation of a high performance thin layer chromatographic method for quantitative analysis of saxagliptin, AJAC, 2015, 6, 797-806.10.4236/ajac.2015.610076Search in Google Scholar
[67] Butle S.R. and Deshpande P.B., Validated stability-indicating HPTLC method development for determination of vildagliptin as bulk and tablet dosage form, Eur. J. Pharm. Med. Res., 2015, 2, 234-237.Search in Google Scholar
[68] Modi D.K., Parejiya P.B., Patel B.H., A simple and sensitive HPTLC method for simultaneous determination of metformin hydrochloride and sitagliptin phosphate in tablet dosage form, J. Chem., 2013, http://dx.doi.org/10.1155/2013/139561.http://dx.doi.org/10.1155/2013/139561Search in Google Scholar
[69] Raja T., Lakshmana R.A., Validated HPTLC method for simultaneous estimation of metformin hydrochloride and sitagliptin phosphate in bulk drug and formulation, Rasayan J. Chem., 2012, 5, 407-413.Search in Google Scholar
[70] Rajasekaran A., Kavitha R., Arivukkarasu R., Development and validation of HPLTLC mehod for simultaneous estimation and stability indicating study of metformin HCl and linagliptin in pharmaceutical formulation, World J. Pharm. Sci., 2014, 2, 317-327.Search in Google Scholar
[71] Jilandia M.A. and Pandya S.S., Estimation of repaglinide in bulk and tablet dosage forms by HPTLC method, Int. J. Pharm. Pharm. Sci., 2009, 1, supp.1, 141-144.Search in Google Scholar
[72] Patwari A., Desai U., Suhagia B., Dual run-dual wavelength HPTLC method development and validation for determination of five antidiabetic drugs in bulk and their pharmaceutical dosage forms, Int. J. Pharm. Pharm. Sci., 2013, 5, 254-258.Search in Google Scholar
[73] Thomas A.B., Patil S.D., Nanda R.K., Kothapalli L.P., Bhosle 5.5., Deshpande A.D., Stability-indicating HPTLC method for simultaneous determination of nateglinide and metformin hydrochloride in pharmaceutical dosage form, Saudi Pharm. J., 2011, 19, 221-231.10.1016/j.jsps.2011.06.005Search in Google Scholar PubMed PubMed Central
[74] Shirkhedkar A. and Surana S., Application of a stability- indicating densitometric RP-TLC method for analysis of pioglitazone hydrochloride in the bulk material and in pharmaceutical formulations, J. Planar Chromatogr.-Mod. TLC, 2009, 22, 191-196.10.1556/JPC.22.2009.3.6Search in Google Scholar
[75] Gumieniczek A., Berecka A., Matosiuk D., Hopkata H., Standardized reversed-phase thin-layer chromatographic study of the lipophilicity of five anti-diabetic thiazolidinediones, J. Planar Chromatogr.-Mod. TLC, 2007, 20, 261-265.10.1556/JPC.20.2007.4.5Search in Google Scholar
[76] Singh V.V., Chaudhary P., Hema B., Tiwari R., Method development of pioglitazone by UV spectrophotometer, Int. J. Drug Dev. Res., 2014, 6, 80-83.Search in Google Scholar
[77] Walash M.I., El-Brashy A., El-Enany N., Kamel M.E., Spectrofluorimetric and spectrophotometric determination of rosiglitazone maleate in pharmaceutical preparations and biological fluids. Pharm. Chem. J., 2009, 43, 697-709.10.1007/s11094-010-0383-zSearch in Google Scholar
[78] Sujana K., Abbulu K., Bala Souri O., Archana B., Sindu M., Swathi Rani G., Difference spectrophotometric methods for pioglitazone hydrochloride and metform in hydrochloride, J. Pharm. Sci. Res., 2011, 3, 1122-1126.Search in Google Scholar
[79] Sherje A.P and Desai K.J., Spectrophotometric determination of poorly water soluble drug rosiglitazone using hydrotropic solubilization technique, Indian J. Pharm. Sci., 2011, 73, 579-582.10.4103/0250-474X.99021Search in Google Scholar PubMed PubMed Central
[80] Goyal A. and Singhvi I., Simultaneous spectrophotometric estimation of rosiglitazone maleate and glimepiride in tablet dosage forms, Indian J. Pharm. Sci., 2007, 69, 780-783.10.4103/0250-474X.39433Search in Google Scholar
[81] Chaturvedi P.K. and Sharma R., Simultaneous spectrophotometric estimation and validation of three component tablet formulation containing pioglitazone hydrochloride, metformin hydrochloride and glibenclamide, Anal. Lett., 2008, 41, 2133-2142.10.1080/00032710802240834Search in Google Scholar
[82] Pritam J., Amar C., Bhargav D., Shani P., Santsaran P., Hiren 5., Development and validation of first order derivative UV-spectrophotometric method for determination of sitagliptin in bulk and in formulation, Int. J. Drug Dev. Res., 2011, 3, 194-199.Search in Google Scholar
[83] Kalaichelvi R., Jayachandran E., Validated spectroscopic method for estimation of saxagliptin in pure and from tablet formulation, Int. J. Pharm. Pharm. Sci., 2011, 3, 179-180.Search in Google Scholar
[84] Kumar Shanti S., Krishnaveni Y., Ramesh G., Simultaneous estimation of sitagliptin and pioglitazone by UV spectroscopic method and study of interference of various excipients on this combination of drugs, Int. J. Curr. Pharm. Res., 2012, 4, 113-116.Search in Google Scholar
[85] Chopde V.V., Patil P.M., Rathod S.D., Chaudhari P.D., Novel UV spectrophotometric method for estimation of sitagliptin phosphate and simvastatin by area under curve method, Indian Drugs, 2013, 50, 46-52.10.53879/id.50.04.p0046Search in Google Scholar
[86] Shrikrishna B., Mulgund S.V., Ranpise N.S., Simultaneous spectrophotometric estimation of vildagliptin and metformin in bulk and tablet dosage form, Der Pharma Chem., 2013, 5, 24-27.Search in Google Scholar
[87] Rajput S. and Chaudhary B., Validated analytical methods of repaglinide in bulk and tablet formulations, Indian J. Pharm. Sci., 2006, 68, 130-132.10.4103/0250-474X.22987Search in Google Scholar
[88] Cijo M.X., Basavaiah K., Ramesh P.J., Vinay K.B., Development and validation of two stability-indicating UV-spectrophotometric methods for the determination of repaglinide in bulk and dosage forms, Int. J. ChemTech. Res., 2013, 5, 72-79.Search in Google Scholar
[89] Jain S., Bhandari A., Purohit S., Spectrophotometric determination of nateglinide in bulk and tablet dosage forms, Asian J. Pharm., 2009, 3, 218-221.10.4103/0973-8398.56301Search in Google Scholar
[90] Patel J., Suhagia B., Patel B., Simultaneous spectrophotometric estimation of metformin and repaglinide in a synthetic mixture, Indian J. Pharm. Sci., 2007, 69, 844-846.10.4103/0250-474X.39451Search in Google Scholar
[91] Thomas A.B., and Patil S.D., Simultaneous spectrophotometric estimations of nateglinide and metformin hydrochloride in pharmaceutical formulation, Der Pharma Chem., 2011, 3, 271-276.Search in Google Scholar
[92] Adhikari L., Moitra S.K., Ghatak S., Mishra U.S., Murthy P.N., Derivative spectrophotometric determination of rosiglitazone maleate in bulk drug and pharmaceutical formulation, Int. J. Pharm. Pharm. Sci., 2012, 4, 201-204.Search in Google Scholar
[93] Hegazy M.A., El-Ghobashy M.R., Yehia A.M., Mostafa A.A., Simultaneous determination of metformin hydrochloride and pioglitazone hydrochloride in binary mixture and in their ternary mixture with pioglitazone acid degradate using spectrophotometric and chemometric methods, Drug Test. Anal., 2009, 1, 339-349.10.1002/dta.60Search in Google Scholar PubMed
[94] Rezk M.R., Riad S.M., Mahmoud G.Y., El Bayoumi A.A., Simultaneous determination of pioglitazone and glimepiride in their pharmaceutical formulations, J. Appl. Pharm. Sci., 2012, 2, 177-184.10.7324/JAPS.2012.2544Search in Google Scholar
[95] Jeyabalan G. and Nyola N., Analytical method development and validation of sitagliptine phosphate monohydrate in pure and tablet dosage form by derivative spectroscopy, J. App. Pharm. Sci., 2013, 3, 95-98.10.7324/JAPS.2013.30118Search in Google Scholar
[96] El-Bagary R.I., Elkady E.F., Ayoub B.M., Spectroflourometric and spectrophotometric methods for the determination of sitagliptin in binary mixture with metformin and ternary mixture with metformin and sitagliptin alkaline degradation product. Int. J. Biomed. Sci., 2011, 7, 62-69.Search in Google Scholar
[97] Al-Khalidi B.A., Shtaiwi M., Al-Khatib H.S., Mohammad M., Bustanji Y., A comparative study of first-derivative spectrophotometry and column high-performance liquid chromatography applied to the determination of repaglinide in tablets and for dissolution testing, J. AOAC Int., 2008, 91, 530-535.10.1093/jaoac/91.3.530Search in Google Scholar
[98] Lotfy H.M., Mohamed D., Mowaka S., A comparative study of smart spectrophotometric methods for simultaneous determination of sitagliptin phosphate and metformin hydrochloride in their binary mixture, Spectrochim. Acta A Mol. and Biomol. Spectrosc., 2015, 149, 441-451.10.1016/j.saa.2015.04.076Search in Google Scholar PubMed
[99] Telny C.T., Bagyalakshmi J., Ravi T.K., Spectrofluorimetric estimation of rosiglitazone in tablet dosage form, Biosci. Biotechnol. Res. Asia, 2008, 5, 465-467.Search in Google Scholar
[100] Caglar S., Önal A., Toker S., Determination of sitagliptin with fluorescamine in tablets and spiked serum samples by spectrofluorimetry and a degradation study, Curr. Pharm. Anal., 2012, 8, 278-285.10.2174/157341212801619270Search in Google Scholar
[101] Salim M.M., El-Enany N., Belal F., Walash M.I., Patonay G., Micelle-enhanced spectrofluorimetric method for determination of sitagliptin and identification of potential alkaline degradation products using LC-MS. Luminescence, 2014, 29, 65-73.10.1002/bio.2503Search in Google Scholar PubMed
[102] Kaushal N., Jain S., Tiwary A.K., Development of spectrofluorimetric and HPLC methods for in vitro analysis of repaglinide, Indian J. Pharm. Sci., 2010, 72, 240-244.10.4103/0250-474X.65029Search in Google Scholar PubMed PubMed Central
[103] Amanlou M., Zarei-Ghobadi M., Rofouei M.K., Saremi S., Kebriaeezadeh A., Extractive spectrophotometric method for determination of pioglitazone hydrochloride in raw material and tablets using ion-pair formation, E-J. Chem., 2010, 7, 915-921.10.1155/2010/257593Search in Google Scholar
[104] Faten F., Moussa B.A., Azzazy H.M., Development and validation of spectrophotometric charge transfer complex formation for the determination of repaglinide and rosiglitazone maleate in bulk and tablet dosage form, Int. J. Pharm. Pharm. Sci., 2011, 3, 142-145.Search in Google Scholar
[105] Sekaran C.B. and Rani A.P, Development and validation of spectrophotometric method for the determination of DPP-4 inhibitor, sitagliptin, in its pharmaceutical dosage forms, Int. J. Pharm. Pharm. Sci., 2010, 2, 138-142.10.1590/S0100-46702010000300003Search in Google Scholar
[106] El-Bagary R.I., Elkady E.F., Ayoub B.M., Spectrophotometric methods based on charge transfer complexation reactions for the determination of saxagliptin in bulk and pharmaceutical preparation, Int. J. Biomed. Sci., 2012, 8, 204-208.Search in Google Scholar
[107] Kepekci Teppeli S.E., Bahadori F., Development and validation of spectrophotometric methods and spectroscopic characterization of vildagliptin using π acceptors in pharmaceutical preparations, J. Chil. Chem. Soc., 2014, 59, 2705-2709.10.4067/S0717-97072014000400016Search in Google Scholar
[108] Sudheer C.H., Tirumaleswara Rao B., Vardhan S.V., Rambabu C., Quantitative spectrophotometric methods for the determination of repaglinide in pure and pharmaceutical formulations, Int. J. Pharm. Res., 2012, 4, 112-113.Search in Google Scholar
[109] Cijo M.X., Basavaiah K., Abdulrahman S.A., Vinay K.B., Spectrophotometric determination of repaglinide in tablets based on charge-transfer complexation reaction with chloranilic acid and dichloro-dicyanobenzoquinone, Chem. Ind. Chem. Eng. Q., 2011, 17, 469-476.10.2298/CICEQ110528033CSearch in Google Scholar
[110] Sireesha M., Chandan R.S., Gurupadayya B.M., Shravya A., Spectrophotometric determination of nateglinide using 2,4-dinitrophenyl hydrazine and potassium ferricyanide in pharmaceutical dosage form, Der Pharma Chem., 2011, 3, 497-506.Search in Google Scholar
[111] El-Ghobashy M.R., Yehia A.M., Mostafa A.A., Application of membrane-selective electrodes for the determination of pioglitazone hydrochloride in the presence of its acid degradant or metformin hydrochloride in tablets and plasma, Anal. Lett., 2009, 42, 123-140.10.1080/00032710802568606Search in Google Scholar
[112] Saber A.L. and Shah R.K., Highly selective determination of pioglitazone in urine and pharmaceutical formulations by novel PVC-membrane sensors, Int. J. Electrochem. Sci., 2014, 9, 4374-4383.Search in Google Scholar
[113] Badawy W.A., El-Ries M.A., Mahdi I.M., Electrochemical determination of some antidiabetic drugs for type 2 diabetic patients, Talanta, 2010, 82, 106-112.10.1016/j.talanta.2010.04.006Search in Google Scholar PubMed
[114] Wang L. and Song Y., Simultaneous determination of antidiabetic thiazolidinediones using flow through voltammetric sensor, Curr. Pharm. Anal., 2015, 10, 239-245.10.2174/1573412910666140818215811Search in Google Scholar
[115] Al-Arfaj N.A., Al-Abdulkareem E.A., Aly F.A., Voltammetric determination of antidiabetic agent pioglitazone HCl in tablets and biological fluids, Int. J. Biomed. Sci., 2008, 4, 310-318.Search in Google Scholar
[116] Wang L. and Song Y., Determination of antidiabetic drugs of pioglitazone based on silver electrode using in a flow through a voltammetric sensor, Res. J. Pharm. Biol. Chem. Sci., 2014, 5, 1160-1169.Search in Google Scholar
[117] Islambulchilar Z., Valizadeh H., Zakeri-Milani P., Rapid HPLC determination of pioglitazone in human plasma by protein precipitation and its application to pharmacokinetic studies, J. AOAC Inf., 2010, 93, 876-881.10.1093/jaoac/93.3.876Search in Google Scholar
[118] Revathi R., Shinde B., Pawar S., Simple and rapid quantification of pioglitazone and hydroxypioglitazone in human plasma using liquid chromatography coupled with tandem mass spectroscopy, Jordan J. Pharm. Sci., 2014, 7, 213-220.10.12816/0027044Search in Google Scholar
[119] Al Azzam K.M., Makahleah A., Saad B., Mansor S.M., Hollow fiber liquid-phase microextraction for the determination of trace amounts of rosiglitazone (anti-diabetic drug) in biological fluids using capillary electrophoresis and high performance liquid chromatographic methods, J. Chromatogr. A, 2010, 1217, 3654-3659.10.1016/j.chroma.2010.03.055Search in Google Scholar PubMed
[120] Mohamed A.I., Mohamed F.A., Ahmed S., Mohamed Y.A., An efficient hydrophilic interaction liquid chromatographic method for the simultaneous determination of metformin and pioglitazone using high-purity silica column, J. Chromatogr. B, 2015, 997, 16-22.10.1016/j.jchromb.2015.05.032Search in Google Scholar PubMed
[121] Zhang X., Peng Y., Wan P., Yin L., Wang G., Sun J., Simultaneous determination and pharmacokinetic study of metformin and pioglitazone in dog plasma by LC-MS-MS, J. Chromafogr. Sci., 2014, 52, 52-58.10.1093/chromsci/bms204Search in Google Scholar PubMed
[122] Jagadeesh B., Bharathi D.V., Pankaj C., Narayana V.S., Venkateswarulu V., Development and validation of highly selective and robust method for simultaneous estimation of pioglitazone, hydroxypioglitazone and metformin in human plasma by LC-MS/MS: application to a pharmacokinetic study, J. Chromafogr. B, 2013, 930, 136-145.10.1016/j.jchromb.2013.04.024Search in Google Scholar PubMed
[123] Pharne A.B., Santhakumari B., Ghemud A.S., Jain H.K., Kulkarni M.J., Bioanalytical method development and validation of vildagliptin a novel dipeptidyl peptidase IV inhibitor by RP-HPLC method, Inf. J. Pharm. Pharm. Sci., 2012, 4, 119-123.Search in Google Scholar
[124] Iqbal M., Ezzeldin E., Al-Rashood K.A., Asiri Y.A., Rapid determination of canagliflozin in rat plasma by UHPLC-MS/ MS using negative ionization mode to avoid adduct-ions formation, Talanta, 2015, 132, 29-36.10.1016/j.talanta.2014.08.041Search in Google Scholar PubMed
[125] Adib N., Shekarchi M., Dabirsiaghi A., Hajimehdipoor H., Rastegar H., Akbari-Adergani B., A new HPLC method for determination of repaglinide in human plasma and its application in bioequivalence studies, Biosci. Biotechnol. Res. Asia, 2010, 7, 603-606.Search in Google Scholar
[126] Sankalia J.M., Sankalia M.G., Sutariya V.B., Mashru R.C., Nateglinide quantification in rabbit plasma by HPLC, optimization and application to pharmacokinetic study, J. Pharm. Biomed. Anal., 2007, 44, 196-204.10.1016/j.jpba.2007.02.028Search in Google Scholar PubMed
[127] Wang M. and Miksa I.R., Multi-component plasma quantitation of anti-hyperglycemic pharmaceutical compounds using liquid chromatography-tandem mass spectrometry, J. Chromatogr. B, 2007, 856, 318-327.10.1016/j.jchromb.2007.06.037Search in Google Scholar PubMed
[128] Znaleziona J., Maier V., Ranc V., Sevcik J., Determination of rosiglitazone and metformin in human serum by CE-ESI-MS, J. Sep. Sci., 2011, 34, 1167-1171.10.1002/jssc.201000823Search in Google Scholar PubMed
[129] Sireesha M., Chandan R.S., Gurupadayya B.M., Aswani Kumar C.H., Selective and validated spectrophotometric methods for determination of rosiglitazone and pioglitazone with 2,4- DNPH, Int. J. Pharm. Technol., 2011, 3, 1554-1564.Search in Google Scholar
[130] Adhikari L., Mishra U.S., Murthy P.N., Spectrophotometric estimation and statistical correlation for rosiglitazone in rat and human plasma, Asian J. Pharm. Clin. Res., 2013, 6, 138-141.Search in Google Scholar
[131] Xu X.S., Demers R., Gu H., Christopher L.J., Su H., Cojocaru L., ef al., Liquid chromatography and tandem mass spectrometry method for the quantitative determination of saxagliptin and its major pharmacologically active 5-monohydroxy metabolite in human plasma: method validation and overcoming specific and non-specific binding at low concentrations, J. Chromafogr. B, 2012, 889-890, 77-86.10.1016/j.jchromb.2012.01.033Search in Google Scholar PubMed
[132] Bazargan M., Davey A.K., Muhlhausler B.S., Morrison J.L., McMillen I.C., Foster D.J., Simple HPLC method for determination of rosiglitazone in sheep plasma and amniotic fluid and its application in a pregnant sheep model, J. Pharm. Biomed. Anal., 2011, 55, 360-365.10.1016/j.jpba.2011.01.026Search in Google Scholar PubMed
[133] Ni X., Wang Z., Shang D., Zhang M., Hu J., Qiu C., ef al., Simultaneous determination of glimepiride and pioglitazone in human plasma by liquid chromatography-tandem mass spectrometry and its application to pharmacokinetic study, J. Chromatogr. B, 2014, 960, 247-252.10.1016/j.jchromb.2014.04.039Search in Google Scholar PubMed
[134] Sengupta P., Bhaumik U., Ghosh A., Sarkar A.K., Chatterjee B. , Bose A., et al., LC-MS-MS development and validation for simultaneous quantitation of metformin, glimepiride and pioglitazone in human plasma and its application to a bioequivalence study, Chromafographia, 2009, 69, 1243-1250.10.1365/s10337-009-1056-5Search in Google Scholar
[135] Kobuchi S., Yano K., Ito Y., Sakaeda T., A validated LC-MS/ MS method for the determination of canagliflozin, a sodium- glucose co-transporter 2 (SGLT-2) inhibitor, in a lower volume of rat plasma: application to pharmacokinetic studies in rats, Biomed. Chromatogr., (in press), DOI: 10.1002/bmc.3720.10.1002/bmc.3720Search in Google Scholar PubMed
[136] Kobuchi S., Ito Y., Yano K., Sakaeda T., A quantitative LC-MS/ MS method for determining ipragliflozin, a sodium-glucose co-transporter 2 (SGLT-2) inhibitor, and its application to a pharmacokinetic study in rats, J. Chromatogr. B., 2015, 1000, 22-28.10.1016/j.jchromb.2015.07.013Search in Google Scholar PubMed
[137] Zhang Y., Ding L., Tian Y., Yang J., Yang L., Wen A., Liquid chromatography/electrospray ionization tandem mass spectrometry for the quantification of mitiglinide in human plasma: validation and its application to pharmacokinetic studies, Biomed. Chromatogr., 2008, 22, 873-878.10.1002/bmc.1005Search in Google Scholar PubMed
[138] Ruzilawati A.B., Wahab M.S., Imran A., Ismail Z., Gan S.H., Method development and validation of repaglinide in human plasma by HPLC and its application in pharmacokinetic studies, J. Pharm. Biomed. Anal., 2007, 43, 1831-1835.10.1016/j.jpba.2006.12.010Search in Google Scholar PubMed
[139] Jirovsky D., Bartosova Z., Skopalova J., Maier V., Electrochemical characterization of repaglinide and its determination in human plasma using liquid chromatography with dual-channel coulometric detection, J. Chromatogr. B, 2010, 878, 3243-3248.10.1016/j.jchromb.2010.09.029Search in Google Scholar PubMed
[140] Malli D., Gikas E., Vavagiannis A., Kazanis M., Daniilides K., Gennimata D., et al., Determination of nateglinide in human plasma by high-performance liquid chromatography with the pre-column derivatization using a coumarin-type fluorescent reagent, Anal. Chim. Acta, 2007, 599, 143-150.10.1016/j.aca.2007.08.004Search in Google Scholar PubMed
[141] Hess C., Musshoff F., Madea B., Simultaneous identification and validated quantification of 11 oral hypoglycaemic drugs in plasma by electrospray ionization liquid chromatography- mass spectrometry, Anal. Bioanal. Chem., 2011, 400, 33-41.10.1007/s00216-011-4698-8Search in Google Scholar PubMed
[142] Zeng W., Musson D.G., Fisher A.L., Chen L., Schwartz M.S., Woolf E.J., et al., Determination of sitagliptin in human urine and hemodialysate using turbulent flow online extraction and tandem mass spectrometry, J. Pharm. Biomed. Anal., 2008, 46, 534-542.10.1016/j.jpba.2007.11.003Search in Google Scholar PubMed
[143] Li Y.H., Peng K.L., Yang C., Yin C.P., Lü Y.N., Liu Y.N., et al., Determination of metformin, pioglitazone and active metabolites of pioglitazone in human plasma by HPLC-MS/ MS, Chinese Pharm. J., 2013, 48, 1103-1108.Search in Google Scholar
[144] Jafari M.T., Kamfirozi M.E., Jazan E., Ghoreishi S.M., Selective extraction and analysis of pioglitazone in cow plasma using a molecularly imprinted polymer combined with ESI ion mobility spectrometry, J. Sep. Sci., 2014, 37, 573-579.10.1002/jssc.201301206Search in Google Scholar PubMed
[145] Nageswara Rao R., Maurya P.K., Khalid S., Development of a molecularly imprinted polymer for selective extraction followed by liquid chromatographic determination of sitagliptin in rat plasma and urine, Talanta, 2011, 85, 950-957.10.1016/j.talanta.2011.05.002Search in Google Scholar PubMed
[146] Ji Q.C., Xu X., Ma E., Liu J., Basdeo S., Liu G., et al., Selective reaction monitoring of negative electrospray ionization acetate adduct ions for the bioanalysis of dapagliflozin in clinical studies, Anal. Chem., 2015, 87, 3247-3254.10.1021/ac5037523Search in Google Scholar PubMed
[147] Zeng W., Xu Y., Constanzer M., Woolf E.J., Determination of sitagliptin in human plasma using protein precipitation and tandem mass spectrometry, J. Chromatogr. B, 2010, 878, 18171823. 147(158)10.1016/j.jchromb.2010.05.013Search in Google Scholar PubMed
[148] Calixto L.A. and Bonato P.S., Simultaneous determination of rosiglitazone and its metabolites in rat liver microsomal fraction using hollow-fiber liquid-phase microextraction for sample preparation, J. Sep. Sci., 2010, 33, 2872-2880.10.1002/jssc.201000380Search in Google Scholar PubMed
[149] Ben-Hander G.M., Makahleh A., Saad B., Saleh M.I., Cheng K.W., Sequential hollow-fiber liquid phase microextraction for the determination of rosiglitazone and metformin hydrochloride (anti-diabetic drugs) in biological fluids, Talanta, 2015, 131, 590-596.10.1016/j.talanta.2014.08.037Search in Google Scholar PubMed
[150] Hadi H., Makahleh A., Saad B., Hollow fiber liquid-phase microextraction combined with high performance liquid chromatography for the determination of trace mitiglinide in biological fluids, J. Chromatogr. B, 2012, 895-896, 131-136.10.1016/j.jchromb.2012.03.031Search in Google Scholar PubMed
[151] Tahmasebi E., Yamini Y., Saleh A., Extraction of trace amounts of pioglitazone as an anti-diabetic drug with hollow fiber liquid phase microextraction and determination by highperformance liquid chromatography-ultra violet detection in biological fluids, J. Chromatogr. B, 2009, 877, 1923-1929.10.1016/j.jchromb.2009.05.033Search in Google Scholar PubMed
[152] Fu A.H., Zhang Z.J., Chen L.L., Zhang X.M., Xue P., High performance liquid chromatography with immobilized Ru(bpy)32+-KMnO4 chemiluminescence detection and its application in metabolism of repaglinide in pig liver microsomes, Chinese Chem. Lett., 2011, 22, 1245-1248.10.1016/j.cclet.2011.05.023Search in Google Scholar
[153] Siddiqui F.A., Sher N., Zubair A., Shamshad H., Shafi N., Mirza A. Z., Analysis of metformin, glimepiride and pioglitazone in human serum and its application to pharmacokinetics, Anal. Methods, 2013, 5, 5096-5104.10.1039/c3ay40884aSearch in Google Scholar
[154] Scherf-Clavel M. and Hogger P., Analysis of metformin, sitagliptin and creatinine in human dried blood spots, J. Chromatogr. B, 2015, 997, 218-228.10.1016/j.jchromb.2015.06.014Search in Google Scholar PubMed
[155] Sengupta P., Das A., Chatterjee B., Bhaumik U., Ghosh A., Bose A., et al., Simultaneous quantitation of rosiglitazone and glibenclamide in human plasma by LC-MS/MS, method development and validation, Res. J. Biotechnol., 2008, 3, 414-418.Search in Google Scholar
[156] Bonde S.L., Bhadane R.P., Gaikwad A., Narendiran A.S., Srinivas B., A simple and sensitive method for determination of metformin and sitagliptin in human plasma using liquid chromatography and tandem mass spectrometry, Int. J. Pharm. Pharm. Sci., 2013, 5, 463-470.Search in Google Scholar
[157] Swales J.G., Gallagher R.T., Denn M., Peter R.M., Simultaneous quantitation of metformin and sitagliptin from mouse and human dried blood spots using laser diode thermal desorption tandem mass spectrometry, J. Pharm. Biomed. Anal., 2011, 55, 544-551.10.1016/j.jpba.2011.02.030Search in Google Scholar PubMed
[158] Ma, Y.R., Zhou Y., Zhang G.O., Rao Z., Huang J., Wei Y.H., et al., Simultaneous determination of repaglinide and pravastatin sodium in rat plasma by LC-MS/MS and its application on pharmacokinetic interactions study, Yaoxue Xuebao, 2014, 49, 72-77.Search in Google Scholar
[159] Kang X., Wang F., Xie Z., Li H., A high performance liquid chromatography method for simultaneous determination of rosiglitazone and gemfibrozil in human plasma, J. Chromatogr. B, 2009, 877, 645-648.10.1016/j.jchromb.2009.01.001Search in Google Scholar PubMed
[160] Satheeshkumar N., Shantikumar S., Srinivas R., Pioglitazone: a review of analytical methods, J. Pharm. Anal., 2014, 4, 295-302.10.1016/j.jpha.2014.02.002Search in Google Scholar PubMed PubMed Central
[161] Kanakapura B. and Penmatsa V.K., A review of analytical methods for the determination of nateglinide in pharmaceuticals and biological samples, Pharm. Chem. J., 2016, 49, 854-867.10.1007/s11094-016-1386-1Search in Google Scholar
[162] Sravana Kumari K. and Sailaja B., Analytical method development and validation for estimation of dipeptidyl peptidase-4 inhibitors: a review, Int. J. Curr. Res. Pharma Sci., 2015, 2, 83-98 2016Search in Google Scholar
© 2016 Anna Gumieniczek, Anna Berecka, published by De Gruyter Open.
This work is licensed under the Creative Commons Attribution-NonCommercial-NoDerivatives 3.0 License.
Articles in the same Issue
- Special Issue on: Recycling by-products and waste materials to restore degraded environments, and/or use as biosorbents
- Ion-exchange membranes in chemical synthesis – a review
- Regular Article
- Push-pull effect on the geometrical, optical and charge transfer properties of disubstituted derivatives of mer-tris(4-hydroxy-1,5-naphthyridinato) aluminum (mer-AlND3)
- Regular Article
- As, Cr, Cd, and Pb in Bee Products from a Polish Industrialized Region
- Regular Article
- Characteristic of wet method of phosphorus recovery from polish sewage sludge ash with nitric acid
- Regular Article
- Preparation and Characterization of Cerium (III) Doped Captopril Nanoparticles and Study of their Photoluminescence Properties
- Regular Article
- Silver nanoparticles – a material of the future…?
- Regular Article
- Epilobi Hirsuti Herba Extracts Influence the In Vitro Activity of Common Antibiotics on Standard Bacteria
- Regular Article
- Potassium catalyzed hydrogasification of low-rank coal for synthetic natural gas production
- Regular Article
- The Radiochemical and Radiopharmaceutical Applications of Radium
- Regular Article
- Erratum to: the radiochemical and radiopharmaceutical applications of radium
- Regular Article
- Hydrothermal decomposition of actinide(IV) oxalates: a new aqueous route towards reactive actinide oxide nanocrystals
- Regular Article
- Molecular Dynamics Simulation of Cholera Toxin A-1 Polypeptide
- Regular Article
- Erratum to: Molecular Dynamics Simulation of Cholera Toxin A-1 Polypeptide
- Regular Article
- An extraction-chromogenic system for vanadium(IV,V) based on 2,3-dihydroxynaphtahlene
- Regular Article
- Commentary: Structure of spinach photosystem II–LHCII supercomplex at new high resolution
- Regular Article
- Analytical tools for determination of new oral antidiabetic drugs, glitazones, gliptins, gliflozins and glinides, in bulk materials, pharmaceuticals and biological samples
- Regular Article
- Development and validation of a new spectrofluorimetric method for the determination of some beta-blockers through fluorescence quenching of eosin Y. Application to content uniformity test
- Regular Article
- Modelling of acid-base titration curves of mineral assemblages
- Regular Article
- Preservation engineering assets developed from an oxidation predictive model
- Regular Article
- Flow microreactor synthesis of 2,2-disubstituted oxetanes via 2-phenyloxetan-2-yl lithium
- Regular Article
- Enhanced photocatalysts based on Ag-TiO2 and Ag-N-TiO2 nanoparticles for multifunctional leather surface coating
- Special Issue on: Recycling by-products and waste materials to restore degraded environments, and/or use as biosorbents
- Sorption of V and VI group metalloids (As, Sb, Te) on modified peat sorbents
- Special Issue on: Recycling by-products and waste materials to restore degraded environments, and/or use as biosorbents
- Adsorption of Cu (II) and Zn (II) from Water by Jatropha curcas L. as Biosorbent
- Special Issue on: Recycling by-products and waste materials to restore degraded environments, and/or use as biosorbents
- Erratum to: Adsorption of Cu (II) and Zn (II) from Water by Jatropha curcas L. as Biosorbent
- Special Issue on: Recycling by-products and waste materials to restore degraded environments, and/or use as biosorbents
- Hydrodynamic aspects of flotation separation
- Special Issue on: Recycling by-products and waste materials to restore degraded environments, and/or use as biosorbents
- Optimization of process parameters for heavy metals biosorption onto mustard waste biomass
- Topical Issue on Polymer Science
- Biomimetic superhydrophobic polyolefin surfaces fabricated with a facile scraping, bonding and peeling method
- Topical Issue on Polymer Science
- Poly(acrylamide)-MWNTs hybrid hydrogel with extremely high mechanical strength
- Topical Issue on Polymer Science
- Polyurethane modification with acrylic acid by Ce(IV)-initiated graft polymerization
- Topical Issue on Polymer Science
- Synthesis, Crystal Structure and Spectroscopic Analysis of a New Sodium Coordination Polymer
- Topical Issue on Polymer Science
- Preparation and characterization of cellulose paper/polypyrrole/bromophenol blue composites for disposable optical sensors
- Topical Issue on Advanced organic functional materials for practical applications
- ZnO nanoflowers-based photoanodes: aqueous chemical synthesis, microstructure and optical properties
- Topical Issue on Advanced organic functional materials for practical applications
- Bioactivities of Novel Metal Complexes Involving B Vitamins and Glycine
- Topical Issue on Catalysis
- Marine sponge skeleton photosensitized by copper phthalocyanine: A catalyst for Rhodamine B degradation
- Topical Issue on Catalysis
- Preparation and Application of a Nano α-Fe2O3/SAPO-34 Photocatalyst for Removal of the Anti-cancer Drug Doxorubicin using the Taguchi Approach
- Topical Issue on Catalysis
- Hydrogenolysis of glycerol over Pt/C catalyst in combination with alkali metal hydroxides
- Topical Issue on Catalysis
- A 2-(2’-pyridyl)quinoline ruthenium(II) complex as an active catalyst for the transfer hydrogenation of ketones
- Topical Issue on Catalysis
- Co-Rh modified natural zeolites as new catalytic materials to oxidize propane and naphthalene from emission sources
- Topical Issue on Catalysis
- The novel [Ni{(Ph2P)2N(CH2)3Si(OCH3)3-P,P´}I2] complex: Structural features and catalytic reactivity in the oligomerization of ethylene
- Topical Issue on Catalysis
- Ni-loaded nanocrystalline ceria-zirconia solid solutions prepared via modified Pechini route as stable to coking catalysts of CH4 dry reforming
- Topical Issue on Catalysis
- Photocatalytic Hydrogen Evolution by tris-dithiolene tungsten complexes
- Topical Issue on Natural Products with Biological Activities: Short Communication
- Microalgae-based unsaponifiable matter as source of natural antioxidants and metal chelators to enhance the value of wet Tetraselmis chuii biomass
- Topical Issue on Natural Products with Biological Activities
- Antioxidant and protease-inhibitory potential of extracts from grains of oat
- Topical Issue on Natural Products with Biological Activities
- Ammoides pusilla (Brot.) Breistr. from Algeria: Effect of harvesting place and plant part (leaves and flowers) on the essential oils chemical composition and antioxidant activity
Articles in the same Issue
- Special Issue on: Recycling by-products and waste materials to restore degraded environments, and/or use as biosorbents
- Ion-exchange membranes in chemical synthesis – a review
- Regular Article
- Push-pull effect on the geometrical, optical and charge transfer properties of disubstituted derivatives of mer-tris(4-hydroxy-1,5-naphthyridinato) aluminum (mer-AlND3)
- Regular Article
- As, Cr, Cd, and Pb in Bee Products from a Polish Industrialized Region
- Regular Article
- Characteristic of wet method of phosphorus recovery from polish sewage sludge ash with nitric acid
- Regular Article
- Preparation and Characterization of Cerium (III) Doped Captopril Nanoparticles and Study of their Photoluminescence Properties
- Regular Article
- Silver nanoparticles – a material of the future…?
- Regular Article
- Epilobi Hirsuti Herba Extracts Influence the In Vitro Activity of Common Antibiotics on Standard Bacteria
- Regular Article
- Potassium catalyzed hydrogasification of low-rank coal for synthetic natural gas production
- Regular Article
- The Radiochemical and Radiopharmaceutical Applications of Radium
- Regular Article
- Erratum to: the radiochemical and radiopharmaceutical applications of radium
- Regular Article
- Hydrothermal decomposition of actinide(IV) oxalates: a new aqueous route towards reactive actinide oxide nanocrystals
- Regular Article
- Molecular Dynamics Simulation of Cholera Toxin A-1 Polypeptide
- Regular Article
- Erratum to: Molecular Dynamics Simulation of Cholera Toxin A-1 Polypeptide
- Regular Article
- An extraction-chromogenic system for vanadium(IV,V) based on 2,3-dihydroxynaphtahlene
- Regular Article
- Commentary: Structure of spinach photosystem II–LHCII supercomplex at new high resolution
- Regular Article
- Analytical tools for determination of new oral antidiabetic drugs, glitazones, gliptins, gliflozins and glinides, in bulk materials, pharmaceuticals and biological samples
- Regular Article
- Development and validation of a new spectrofluorimetric method for the determination of some beta-blockers through fluorescence quenching of eosin Y. Application to content uniformity test
- Regular Article
- Modelling of acid-base titration curves of mineral assemblages
- Regular Article
- Preservation engineering assets developed from an oxidation predictive model
- Regular Article
- Flow microreactor synthesis of 2,2-disubstituted oxetanes via 2-phenyloxetan-2-yl lithium
- Regular Article
- Enhanced photocatalysts based on Ag-TiO2 and Ag-N-TiO2 nanoparticles for multifunctional leather surface coating
- Special Issue on: Recycling by-products and waste materials to restore degraded environments, and/or use as biosorbents
- Sorption of V and VI group metalloids (As, Sb, Te) on modified peat sorbents
- Special Issue on: Recycling by-products and waste materials to restore degraded environments, and/or use as biosorbents
- Adsorption of Cu (II) and Zn (II) from Water by Jatropha curcas L. as Biosorbent
- Special Issue on: Recycling by-products and waste materials to restore degraded environments, and/or use as biosorbents
- Erratum to: Adsorption of Cu (II) and Zn (II) from Water by Jatropha curcas L. as Biosorbent
- Special Issue on: Recycling by-products and waste materials to restore degraded environments, and/or use as biosorbents
- Hydrodynamic aspects of flotation separation
- Special Issue on: Recycling by-products and waste materials to restore degraded environments, and/or use as biosorbents
- Optimization of process parameters for heavy metals biosorption onto mustard waste biomass
- Topical Issue on Polymer Science
- Biomimetic superhydrophobic polyolefin surfaces fabricated with a facile scraping, bonding and peeling method
- Topical Issue on Polymer Science
- Poly(acrylamide)-MWNTs hybrid hydrogel with extremely high mechanical strength
- Topical Issue on Polymer Science
- Polyurethane modification with acrylic acid by Ce(IV)-initiated graft polymerization
- Topical Issue on Polymer Science
- Synthesis, Crystal Structure and Spectroscopic Analysis of a New Sodium Coordination Polymer
- Topical Issue on Polymer Science
- Preparation and characterization of cellulose paper/polypyrrole/bromophenol blue composites for disposable optical sensors
- Topical Issue on Advanced organic functional materials for practical applications
- ZnO nanoflowers-based photoanodes: aqueous chemical synthesis, microstructure and optical properties
- Topical Issue on Advanced organic functional materials for practical applications
- Bioactivities of Novel Metal Complexes Involving B Vitamins and Glycine
- Topical Issue on Catalysis
- Marine sponge skeleton photosensitized by copper phthalocyanine: A catalyst for Rhodamine B degradation
- Topical Issue on Catalysis
- Preparation and Application of a Nano α-Fe2O3/SAPO-34 Photocatalyst for Removal of the Anti-cancer Drug Doxorubicin using the Taguchi Approach
- Topical Issue on Catalysis
- Hydrogenolysis of glycerol over Pt/C catalyst in combination with alkali metal hydroxides
- Topical Issue on Catalysis
- A 2-(2’-pyridyl)quinoline ruthenium(II) complex as an active catalyst for the transfer hydrogenation of ketones
- Topical Issue on Catalysis
- Co-Rh modified natural zeolites as new catalytic materials to oxidize propane and naphthalene from emission sources
- Topical Issue on Catalysis
- The novel [Ni{(Ph2P)2N(CH2)3Si(OCH3)3-P,P´}I2] complex: Structural features and catalytic reactivity in the oligomerization of ethylene
- Topical Issue on Catalysis
- Ni-loaded nanocrystalline ceria-zirconia solid solutions prepared via modified Pechini route as stable to coking catalysts of CH4 dry reforming
- Topical Issue on Catalysis
- Photocatalytic Hydrogen Evolution by tris-dithiolene tungsten complexes
- Topical Issue on Natural Products with Biological Activities: Short Communication
- Microalgae-based unsaponifiable matter as source of natural antioxidants and metal chelators to enhance the value of wet Tetraselmis chuii biomass
- Topical Issue on Natural Products with Biological Activities
- Antioxidant and protease-inhibitory potential of extracts from grains of oat
- Topical Issue on Natural Products with Biological Activities
- Ammoides pusilla (Brot.) Breistr. from Algeria: Effect of harvesting place and plant part (leaves and flowers) on the essential oils chemical composition and antioxidant activity