Abstract
Background and aims
Stress has been pointed out as an important influential factor in the development and maintaining of the fibromyalgia syndrome (FMS) . Since stress may worsen the pain experience, the development of individual strategies for coping with stress is essential to reduce the impact of FMS on daily life. The aim of the study was to investigate whether a group based stress management cognitive behaviour therapy (CBT) programme could influence self-reported stress, wellbeing and life control, as well as self-reported pain behaviour in female FMS patients.
Methods
48 female FMS patient were randomized into a cognitive behaviour therapy treatment group (n = 24) and a waitlist control group (n = 24) . When the 6 months waitlist period was over the control group received the same CBT programme. This allowed two analytical approaches, one based on the randomized controlled trial design and one based on a before-and-after design to improve the statistical power of the study. Four psychometric instruments were used: The West Haven-Yale Multidimensional Pain Inventory (three parts, MPI-1 to MPI-3), the Maastricht Questionnaire, the Everyday Life Stress, and the Montgomery-Åsberg Depression rating scale – self-reported. Primary outcome was the MPI-1 dimension ‘life control’, secondary outcomes were the MPI-1 dimensions ‘interference’, ‘affective distress’ and ‘support from spouses or significant others’, the various MPI-2 dimensions, the ‘general activity level’ in the MPI-3 dimension, and ‘vital exhaustion’, ‘stress behaviour’, and ‘depression’. The only tertiary outcome was the MPI-1 dimension ‘pain severity’.
Results
In the RCT design the West Haven-Yale Multidimensional Pain Inventory dimensions ‘life control’, ‘interference from pain’, ‘affective distress’, ‘support from spouses or significant others’, and ‘distracting responses’ and ratings for depression improved in the treatment group as compared with the control group. In the before-and after design these improvements were maintained and enhanced during 1-year follow-up, and so was the ‘vital exhaustion’ and ‘stress behaviour’. ‘Pain severity’ was rated higher after the intervention.
Conclusions
Cognitive behaviour therapy improved the life control in a female population with FMS. Coping behaviour in response to chronic pain was improved at the same time and in spite of higher subjective ratings of pain. Positive effects were seen on depression, vital exhaustion and stress behaviour. The effects of therapy were maintained and enhanced during the follow up period. It appears that women with FMS after the CBT treatment, according to this protocol obtained tools leading to better acceptance of their disorder.
Implications
FMS is a disorder with great therapeutic challenges. Total abolishment of pain symptoms is extremely difficult or impossible to achieve. Thus, the development of individual strategies for coping with pain is essential to reduce its impact on daily life. Since stress may worsen the pain experience, coping with stress might be a promising route to accomplishing that goal. In evaluations of interventions for pain it is important to monitor the effect on behaviour responses to pain and not only ratings of pain itself.
1 Introduction
The fibromyalgia syndrome (FMS) is a chronic pain disorder, for which classification criteria were established by the American College of Rheumatology (ACR) in 1990 [1]. The two major criteria are a history of widespread pain for three months or more, and tenderness in at least 11 out of 18 defined tender points. In addition to pain, most FMS patients suffer from fatigue, sleep disturbances, cognitive problems and a variety of symptoms such as backache, nausea, diarrhoea, constipation [2,3], resulting in disability and reduced quality of life [4].
Co-morbidity with psychiatric diagnoses, such as depression and anxiety disorders, is common. Approximately one out of three FMS patients have a depression diagnosis. FMS has a female preponderance, female to male ratio 10:1 [5,6].
Evidence has been presented that FMS has its origins in the central rather than the peripheral nervous system or the musculoskeletal system [7,8,9]. There is also evidence that FMS is a stress-related disorder [9,10,11]. A strong relationship to stress- related morbidity, low levels of serotonin, and perturbed pain processing peptide levels found in FMS patients, have been forwarded as evidence [12,13,14].
Stress involves the individual’s mobilization of resources to deal with threat and challenge. The stress concept includes both stressor (load/challenge) and response. There is no universally accepted definition of stress. However, a useful and widely adopted definition is to regard stress as a process in terms of external challenges, coping resources and perception of coping resources, and the dynamic interplay of these over time [15,16]. The formulation has its origin in the conceptualization proposed by Lazarus and Folkman [17]. This definition of stress provides a useful framework for the present study.
According to a bio-psycho-motor model [18] at least three behaviour subsystems: communicative pain behaviours, protective pain behaviours, and social response behaviours, are integral components of pain. The bio-psycho-motor model is an improvement as compared to earlier models because its emphasis on behaviours as central to the distress of chronic pain. It implies a chain of events and consequences: tissue damage – pain sensation– reflective/automatic and operant pain behaviours – functional impairment and distress – reduced activities – disability. When pain leads to disabling consequences in a person’s everyday life, the pain sensation per se – or even the presence of tissue damage – may not be the main determining factor. Therefore, in pain assessment and treatment, focus must be placed on functional analyses of the resulting behaviours: communicative, protective, and social responsive. Both communicative (e.g. facial expressions and vocalizations) and protective (withdrawal, escaping, holding, rubbing, postural adaptations) can be viewed as reflexive and automatic.
The magnitude and expressiveness of such responses are also influenced by social and cultural norms, as well as the afflicted person’s beliefs, fear, and expectations. Social responses to communication of pain may play a role in the development and maintenance of pain-related disability [18], independent of the pain level per se, by selective reinforcement of pain behaviours. Since dysfunction may arise in behavioural systems separate from pain sensation, treatments targeting pain sensation might not always yield the best outcomes. On the contrary, disability may be reduced in the absence of reduction in pain.
A CBT manual, developed on a theoretical framework with a focus on affective and behaviour consequences of pain, as well as cognitive and behaviour strategies for coping with pain and stress, was used in the present study. The prime hypothesis was that this version of CBT in female FMS patients influences the MPI-1 dimension ‘life control’. The secondary hypothesis was that CBT influences the MPI-1 dimensions ‘interference’, ‘affective distress’ and ‘support from spouses or significant others’, the various MPI- 2 dimensions, the ‘general activity level’ in the MPI-3 dimension, and ‘vital exhaustion’, ‘stress behaviour’, and ‘depression’. The tertiary hypothesis was that CBT influences the MPI-1 dimension ‘pain severity’.
2 Material and methods
2.1 Study population
The study was performed in a municipality in central Sweden with approximately 22,000 inhabitants in 2001–2003. The study population was recruited by advertising in the local daily newspaper and an information meeting with the local branch of the Fibromyalgia Patient Association.
Responding female women with FMS were invited to an examination at the coordinating primary health care centre. Inclusion criteria were age 18–64 years, being Swedish-speaking, and fulfilment of the 1990 ACR criteria [1] (generalized pain for more than three months, distributed in all four body quadrants, and at least 11 tender points in typical locations) . Exclusion criteria were major psychiatric or somatic disease, and substance abuse.
Information was sought on duration of generalized pain as well as time since possible FMS diagnosis. Tender points were assessed manually by finger top pressure of 40N/cm2 by one physician (BK) . History of severe psychiatric or somatic disease was obtained from medical records, in addition to information from the patient during the screening examination. No formal testing of psychological disorders or symptoms was done during this examination. A physiotherapist experienced in FMS tender point assessment validated the diagnostic procedure.
Among the 54 female patients recruited, six patients were excluded after these procedures. Two did not fulfil the diagnostic criteria, two had a serious mental disorder, and two declined participation after receiving further information about the study. The remaining 48 women agreed to participate and were using a random block design allocated into two groups, group 1 (n = 24) and group 2 (n = 24) . The randomization was performed with the SAS function ‘ranuni’ that produces random numbers with equal distribution, i.e. all numbers appear with the same probability. According to this design for every four consecutive patients two were randomly allocated to group 1 and the remaining two were allocated to group 2. The allocations were indicated on paper sheets and put in sealed envelopes with a patient serial number on the outside. The sheet furthermore had a disturbing text on the backside to prevent reading the allocation through the envelope. The envelopes were stored with the study monitor. When patients were included in the study they were given a serial number, the corresponding serial number envelope was opened and the patient allocation was noted in the study chart.
2.2 Study design
The study was designed as a two-arm parallel group RCT, with group 1 as intervention group and group 2 as control group (Fig. 1) . The intervention group received the CBT treatment and the control group was wait-listed. When the RCT was concluded, group 2, the previous control group, received the same CBT treatment as the group 1. A before-and-after treatment design was then performed for the two groups together (increasing the number of treated subjects from 24 to 48) , a standard procedure in RCTs with small study populations.

Flow chart of the study population.
The patients’ local physicians were informed about the study and were responsible for the every-day care of the patients. There were no restrictions in changing medication or other treatment modalities. However all such changes were assessed and documented in the study protocol. All participants gave oral informed consent to participation, standard procedure at the time, and the trial was performed in accordance with the Helsinki declaration. The Research Ethics Committee at Uppsala University approved the study.
2.3 Data collection
Data was collected on three occasions for group 1 and four occasions for group 2 (Fig. 1) . The first measurement was performed after randomization but before the treatment or wait list period began. Measurements were then made after the 6 and 12 months in group 1 and after 6, 12 and 18 months in group 2, For examination and data collection the patients attended the study coordinating primary health care centre between 8:00 and 10:00 a.m. For premenopausal women all measurements were performed 9-14 days after the first day of the last menstrual period to avoid interference regarding endocrine variables [19]. In order to obtain reliable self-reported data, it was emphasized that the study would have no consequences for disability or sick-leave compensation.
2.3.1 Medical examination data
At baseline an extensive history-taking and physical examination was performed by one of the authors (BK) . At baseline and at each examination anthropometric data, including height, weight, waist and hip circumference, was obtained. Furthermore, information was sought on menstrual status, i.e., whether the participant was pre-menopausal, menopausal or post-menopausal, and whether the patients were using hormone replacement therapy. Co-morbidity, current medication, and other treatments, such as physiotherapy, were registered. Tender points were re-evaluated at the last examination. No formal semi-structured psychiatric examination was performed. However, an experience general practitioner performed the medical interview and a detailed scrutiny of all available medical records including medical records from somatic and psychiatric clinics was done with the aim to find obvious psychiatric illness.
2.3.2 Socio-economic data
Information on marital status, educational level, whether they were in gainful work (employed or students) , the extent of their working hours, and if they were granted a disability pension, full time or part-time was obtained. Smoking habits, alcohol consumption and physical activity was measured according to WHO standards [20].
2.3.3 Psychometric data
At baseline information on important life events was obtained with the questionnaire Experienced important life events, an instrument developed by one of the authors (UMA) for patients with FMS [21], consisting of 11 questions regarding important life events during childhood and adolescence, 21 questions about important life events during the 10 years before diagnosis of FMS, and the same 21 questions the year before the baseline examination. Possible responses were ‘strongly negative’ (=–2) , ‘notably negative’ (=–1) , ‘hardly negative at all’ (=0) , or ‘positive’ (=1) . A score was obtained by summing the corresponding items for each time period (range from –22 to 0 for childhood, range from –31 to +1 for last 10 years, and range from –18 to +1 for the last year) . This instrument has previously been used in other patients with FMS [21], patients with social phobias [22] and patients with migraine [23].
At baseline and at each follow up examination data were obtained from four other psychometric questionnaires. The questionnaires were filled in either on site or were taken home by the patients to be answered and mailed back.
The West Haven-Yale Multidimensional Pain Inventory (MPI) [24] is a self-report instrument for comprehensive assessment of individuals with chronic pain. It is based on cognitive-behaviour theory and intended for use in multi-axial assessment of pain that integrates medical, psychosocial and behaviour data. Responses were given on seven-point scales (range 0–6) . The instrument has been translated and tested in many languages, including a Swedish version (MPI-S) [25]. The reliability and factor structure for the modified Swedish version have been found satisfactory including internal consistency and construct validity across gender [26]. Furthermore, it has been used in a Swedish study on musculoskeletal pain and return to work [27].
The first part of the MPI-S instrument (MPI-1) ‘psychosocial dimension’ measures the perceived impact of pain on the of the patient’s life (‘pain severity’, ‘interference’, ‘life control’, ‘affective distress’ and ‘support from spouses or significant others’) . The second part (MPI-2) the ‘behaviour – significant others dimension’ measures responses from others to the patient’s communication of pain (‘punishing’, ‘solicitous’ and ‘distracting’) . The third part (MPI- 3) the ‘behaviour – activities dimension’. It measures the extent to which patients participate in common daily activities (‘household chores’, ‘outdoor work’, and ‘leisure activities’ summed up in a ‘general activity level’) . MPI-3 is not included in the MPI-S instrument. However, in this study the ‘general activity level’ was estimated according to the original MPI instrument.
The Maastricht Questionnaire [28,29] was used to measure ‘vital exhaustion’ (fatigue) . This instrument is extensively used to evaluate treatment effects, for instance in Swedish studies on cardiac disease [30,31,32]. Responses to the 19 items were given on three-point scales (0–2) , total range 0–38, high scores indicating a high degree of ‘vital exhaustion’. A five-point difference has been claimed to be of major inter- or intra-individual significance [28,29].
The Everyday Life Stress instrument was used to assess the level of self-rated ‘stress behaviour’ [33,34]. It has two major themes: time urgency/impatience, and easily aroused irritation/hostility. Responses to the 20 items were given on four-point scales (0–3) giving a total score of 0–60, higher scores indicating more stressful reactions. Internal consistency is high (Cronbach’s alpha = 0.90) [35], as is test-retest reliability (0.90) [35]. The rationale for the use of this instrument is that negative emotions are related to, and may worsen, the experience of pain, for instance in FM patients, and may also trigger and reinforce avoidance behaviour. The Everyday Life Stress scale assesses negative emotional reactivity in the form of anger/irritation/impatience – affects often experienced by pain patients. Thus, a change in such emotions is hypothesized to be related to more adequate coping and to decreased pain behaviour patterns. Furthermore, negative affectivity was a main focus in the intervention.
The Montgomery-Åsberg Depression Rating Scale – self-reported (MADRS-S) is a validated instrument for evaluating treatment effects on ‘depression’ symptoms. It is a self-reported scale based on evaluations of the past three days regarding nine issues: mood, feelings of unease, sleep, appetite, ability to concentrate, initiative, emotional involvement, pessimism and zest for life on seven-point scales (range 0–6 individual items, total range 0–54) [36,37,38]. The consistency of the MADRS-S is satisfactory with Cronbach’s alpha 0.84 [38]. As sleep disturbance is an important feature the item ‘sleep’ in the MADRS-S instrument, it will be analyzed separately.
2.4 Intervention
The CBT stress management programme is described in detail in the electronic supplementary material. Briefly, the intervention consisted of twenty CBT sessions during a 6-month period. The women were allocated into treatment subgroups with 5–7 women in each, receiving one group session a week, with 3-hour duration. When the 20 sessions were completed, three CBT group booster sessions were given during the next six months, each with three hours’ duration. Two psychologists trained in CBT provided the treatment. To secure continuity, each subgroup had the same therapist throughout the programme. The psychologists took no part in planning or evaluation to avoid interference with the results of the study. Median attendance rate was 93%; inter quartile range 91–100%.
Quality assurance of the delivery of treatment was achieved through continuous supervision by one of the co-authors (GB) . Treatment sessions were also monitored by patients’ subjective evaluations of pain, stress and well-being with visual analogue scales (1–100 mm) , which gave an indication of the feasibility and attractiveness of the treatment from the patients’ perspective.
The overall goal of the CBT was to develop emotional, behavioural, and cognitive coping strategies for dealing with stress and pain. Treatment components included knowledge, self-monitoring, behavioural skills training, cognitive restructuring, and life value issues. Life values are important determinants of motivation for behaviour change, and for the individual’s own purpose and long-term goals and maintenance. Dealing with life values can be subsumed under ‘cognitive restructuring’.
The therapeutic material included case illustrations, audio-visual material, readings, hand-outs, exercises, and thematic discussions. Items of special importance, such as anxiety, exhaustion, self-esteem, and marital distress were discussed [33]. Homework assignments were applied between each session and included self-monitoring by simple diaries as well as a booklet with behavioural and cognitive exercises.
Each session had an agenda and a specific theme. The current theme was discussed and elaborated, and new themes and issues were introduced, building on previous discussions. A short relaxation technique (Jacobsen’s progressive relaxation technique) was taught [39].
2.5 Statistical analysis
The statistical analyses were conducted using the SAS software, version 9.3 [40]. Partial non-response (missing data in returned questionnaires) was on average 0.6% with a maximum in individual variables of 1.1%. Simple differences between groups in continuous variables were tested with Student’s t-test, and differences in proportions with the chi-square test.
Two analytical designs were used, both based on the intention-to-treat approach. The first, a classical RCT, was based on a traditional two-arm parallel group design with group 1 serving as intervention group and group 2 as control group. The second design was based on a before-and-after treatment approach in both groups after intervention. The purpose with the two designs was to use data more efficiently and to crosscheck results from the two designs. Primary outcome was the MPI-1 dimension ‘life control’, secondary outcomes were the MPI-1 dimensions ‘interference’, ‘affective distress’ and ‘support from spouses or significant others’, the various MPI-2 dimensions, the ‘general activity level’ in MPI-3 dimension, and ‘vital exhaustion’, ‘stress behaviour’, and ‘depression’. The only tertiary outcome was ‘pain severity’ in the MPI-1.
No a priori power analysis was made, but a post hoc analysis was done, based on the RCT design covering the first 6 months. For the primary outcome ‘life control’ the power to detect the differences found between group 1 and 2 was 90% given the size of the study population, contrasting to the power of 38% found for the one of the secondary outcome ‘stress behaviour’.
The RCT analyses were performed with the SAS procedure ‘General Linear Model’ (linear regression) and its option Repeated Measures Analysis of Variance. The baseline and final levels of the outcome variable were used as the dependent variables, and the group assignment as the independent variable. The repeated measures analysis does not assume uncorrelated measures across time. The before-and-after analyses were performed accordingly, with groups 1 and 2 pooled and group assignment used as covariate (variance reducer) .
The analyses were performed in two steps. First, preliminary analyses were performed with outcome as the dependent variable and the group variable and each of the possible determinants, one at a time, as independent variables. Significant variables in the preliminary analyses were entered into the final multivariate analyses.
The final analyses of the RCT design were performed as multivariate analyses as described above, but in addition, the initial outcome level (to adjust for bias due to different initial levels between groups) and variables affecting outcome, other than the treatment groups and initial outcome level, identified in the preliminary analyses, were entered as covariates. The latter were ‘being in gainful work’, ‘waist/hip ratio’, ‘smoking habits’, ‘alcohol consumption’, ‘duration of generalized pain’, ‘number of tender points’, ‘menstrual status’, ‘important childhood and adolescence experiences’, and ‘therapist’. To avoid model overload, backward elimination of non-significant variables was used. Also stepwise entrance of independent variables was used but gave results almost identical to backward elimination. For this reason the latter was used.
The final analysis in the before-and-after treatment design was simpler, since both groups served as their own controls. The only covariates used were group assignment and initial outcome level. No significant interactions were found between group assignment, outcome variables and time. All tests were two-tailed. The level of significance in the preliminary analyses was set at p < 0.10 and in the final analyses models at p < 0.05.
3 Result
3.1 Characteristics of the study population
Characteristics of the study population are shown in Table 1. Mean age was 49 years, about 85% were married, 25% had mandatory education only, less than half were in gainful work, mean body mass index was 29, and approximately one out of ten were smokers. The average alcohol consumption was 5 g of pure alcohol during the last week, and the mean physical activity score on a four-point scale was 1.9. The patients had on average a pain history of more than ten years, more than five years with a fibromyalgia diagnosis, and on average 16 out of 18 diagnostic tender points. About 40% were on anti-depressants, and more than half were on intermittent or continuous analgesics, slightly less than half were on hormone replacement therapy. There were no significant differences between the two groups in these variables. Two CBT therapists gave treatment in group 1versus one in group 2.
Characteristics of the study population.
| Group 1 | Group 2 | |||
|---|---|---|---|---|
| n | Mean (SD) or % | n | Mean (SD) or % | |
| Age at baseline, years | 24 | 48.3 (11.50) | 24 | 48.8 (6.50) |
| Married, % | 20 | 83.3 | 22 | 91.7 |
| Mandatory education only, % | 5 | 20.8 | 8 | 33.3 |
| Ingainfulwork, % | 7 | 29.2 | 12 | 50.0 |
| Body mass index | 28.5 (5.81) | 29.0 (4.34) | ||
| Waist-hip circumference, ratio | 0.82 (0.07) | 0.84 (0.07) | ||
| Smokers, % | 3 | 12.5 | 2 | 8.3 |
| Snuff-takers, % | 1 | 4.2 | 2 | 8.3 |
| Alcohol, grams during the last week | 4.6 (5.00) | 6.3 (6.33) | ||
| Physical activity, score | 1.88 (0.34) | 1.96 (0.37) | ||
| Duration of generalized pain, years | 10.7 (6.46) | 12.0 (7.06) | ||
| Time with fibromyalgia diagnosis, years | 5.3 (4.67) | 5.0 (4.01) | ||
| No. of tender points | 16.0 (2.56) | 15.5 (2.30) | ||
| On analgesic drugs, continuously or intermittent, % | 16 | 66.7 | 16 | 66.7 |
| Anti-depression medication, % | 8 | 25.0 | 13 | 54.2 |
| Pre-menopausal, % | 9 | 37.5 | 9 | 37.5 |
| Hormone replacement therapy, % | 13 | 54.2 | 9 | 37.5 |
| Co-morbidity | ||||
| Hypertension, % | 6 | 25.0 | 2 | 8.3 |
| Asthma cortisone treatment, % | 4 | 16.7 | 4 | 16.7 |
| Diabetes, % | 2 | 8.3 | 1 | 4.2 |
| Thyroid disorder, % | 4 | 16.7 | 6 | 25.0 |
| Experienced important life event, score | ||||
| During childhood and adolescence | 7.3 (5.90) | 4.0 (4.67) | ||
| During the 10 years before the fibromyalgia diagnosis | 10.9 (9.74) | 10.5 (7.04) | ||
| During the year before randomization | 4.8 (4.24) | 5.4 (5.02) | ||
| CBT therapist | ||||
| A, % | 13 | 54.2 | 0 | - |
| B, % | 11 | 45.8 | 24 | 100.0 |
| Median interval inclusion-therapy start, months | 1.2 | 8.5 | ||
| Median interval therapy start-evaluation, months | 6.3 | 4.9 | ||
| Median interval therapy start-follow up, months | 12.1 | 12.3 | ||
No significant outcome differences were observed between the assessments of the two treatment psychologists. During the study, 10 participants were started on anti-depressant medication and 6 discontinued.Taking or changing the intake of anti-depressants did not influence the outcome of this study. No non-pharmacological treatment for FMS by us or by others was administered during the study period. There were no differences in number of tender points.
3.2 Outcome in the two-arm group parallel design (RCT)
Outcome variables of the RCT design are presented in Table 2, with crude levels and levels adjusted for potential covariates and baseline differences of the outcome variables in group 1 before- and-after treatment and the corresponding points in time for group 2 before-and-after the wait list period.
Effect during 6 months from baseline of treatment in parallel group design on variables in Multiple Pain Inventory, Vital exhaustion, Everyday life stress and MADRS-S. P-values refer to trends across time, adjusted for baseline differences in outcome variables, and of the influence of being in gainful work, waist/hip ratio, smoking habits, alcohol consumption, duration of generalized pain, number of tender-points, menstrual status, importance of childhood and adolescence experiences and therapist. Values are mean (SD) . Adj = adjusted values.
| Intervention group | Control group | p | |||||||
|---|---|---|---|---|---|---|---|---|---|
| Before treatment | After treatment | Before wait list | After wait list | ||||||
|
|
|
|
|
||||||
| Crude | Adj | Crude | Adj | Crude | Adj | Crude | Adj | ||
| Psychosocial dimension (MPI-1) | |||||||||
| Pain severity 3.85 (0.80) | 3.61 | 3.88 (1.05) | 4.20 | 3.38 (0.92) | 3.61 | 3.67 (0.75) | 3.37 | 0.02 | |
| Interference 4.04 (0.57) | 3.70 | 4.05 (0.85) | 4.07 | 3.37 (1.09) | 3.70 | 3.43 (0.82) | 3.45 | 0.04 | |
| Lifecontrol 3.13 (0.89) | 3.15 | 3.51 (1.03) | 3.62 | 3.18 (0.95) | 3.15 | 2.94 (1.18) | 2.86 | 0.01 | |
| Affective distress 3.12 (0.62) | 2.75 | 2.94 (0.69) | 2.20 | 2.83 (0.79) | 2.75 | 2.92 (0.57) | 3.08 | 0.01 | |
| Support 3.63 (1.62) | 3.64 | 3.42 (1.52) | 3.92 | 3.65 (1.60) | 3.64 | 3.48 (1.48) | 3.03 | 0.03 | |
| Behaviour - significant others dimension (MPI-2) | |||||||||
| Punishing responses 1.05 (1.22) | 1.18 | 1.37 (1.72) | 1.38 | 1.30 (1.45) | 1.18 | 1.00 (1.25) | 0.90 | NS | |
| Solicitous responses 3.26 (1.52) | 2.58 | 3.02 (1.47) | 2.71 | 2.87 (1.67) | 2.58 | 2.76 (1.49) | 2.15 | NS | |
| Distracting responses 2.90 (1.41) | 2.91 | 2.70 (0.97) | 3.22 | 2.92 (1.73) | 2.91 | 2.77 (1.61) | 2.30 | 0.03 | |
| Behaviour - activity dimension (MPI-3) | |||||||||
| General activity level 2.99 (0.69) | 2.92 | 2.80 (0.62) | 2.83 | 2.92 (0.50) | 2.92 | 2.85 (0.67) | 2.82 | NS | |
| Vital exhaustion 24.92 (6.71) | 23.21 | 22.04 (5.14) | 20.96 | 21.50 (6.52) | 23.21 | 21.71 (6.80) | 22.79 | NS | |
| Everyday life stress 20.96 (8.75) | 21.28 | 18.63 (9.13) | 21.11 | 21.92 (11.76) | 21.28 | 20.92 (8.67) | 17.94 | NS | |
| MADRS-S [a] 17.38 (8.25) | 15.21 | 14.75 (7.96) | 13.09 | 13.04 (7.64) | 15.21 | 14.79 (6.37) | 16.45 | 0.02 | |
In the ‘psychosocial dimension’ scales (MPI-1) , ‘life control’ score increased in group 1 from 3.15 to 3.62, while it decreased in group 2 to 2.86 (p = 0.01) , ‘pain severity’ score increased from3.61 to 4.20 in group 1 and decreased to 3.37 in group 2 (p = 0.02) and ‘interference’ score increased from 3.70 to 4.07 in group 1 and decreased to 3.45 in group 2 (p = 0.04) . ‘Affective distress’ score declined from 2.75 to 2.20 in group 1 as compared to a rise to 3.08 in group 2 (p = 0.01) . The ‘support from spouses or significant others’ score increased from 3.64 to 3.92 in group 1 as compared to a decline to 3.03 in group 2 (p = 0.03) .
In the ‘behaviour – significant others dimension’ (MPI-2) there was a significant increase in group 1 as compared with group 2 for the ‘distracting’ responses score (p = 0.03) . There were no significant differences between groups in the ‘behaviour - activities dimension’ (MPI-3) . ‘Depression’ score decreased in group 1 while it increased in group 2 (p = 0.02) . For the ‘sleep’ score in MADRS-S the differences in trend between groups were non-significant.
3.3 Outcome in the before-and-after treatment design
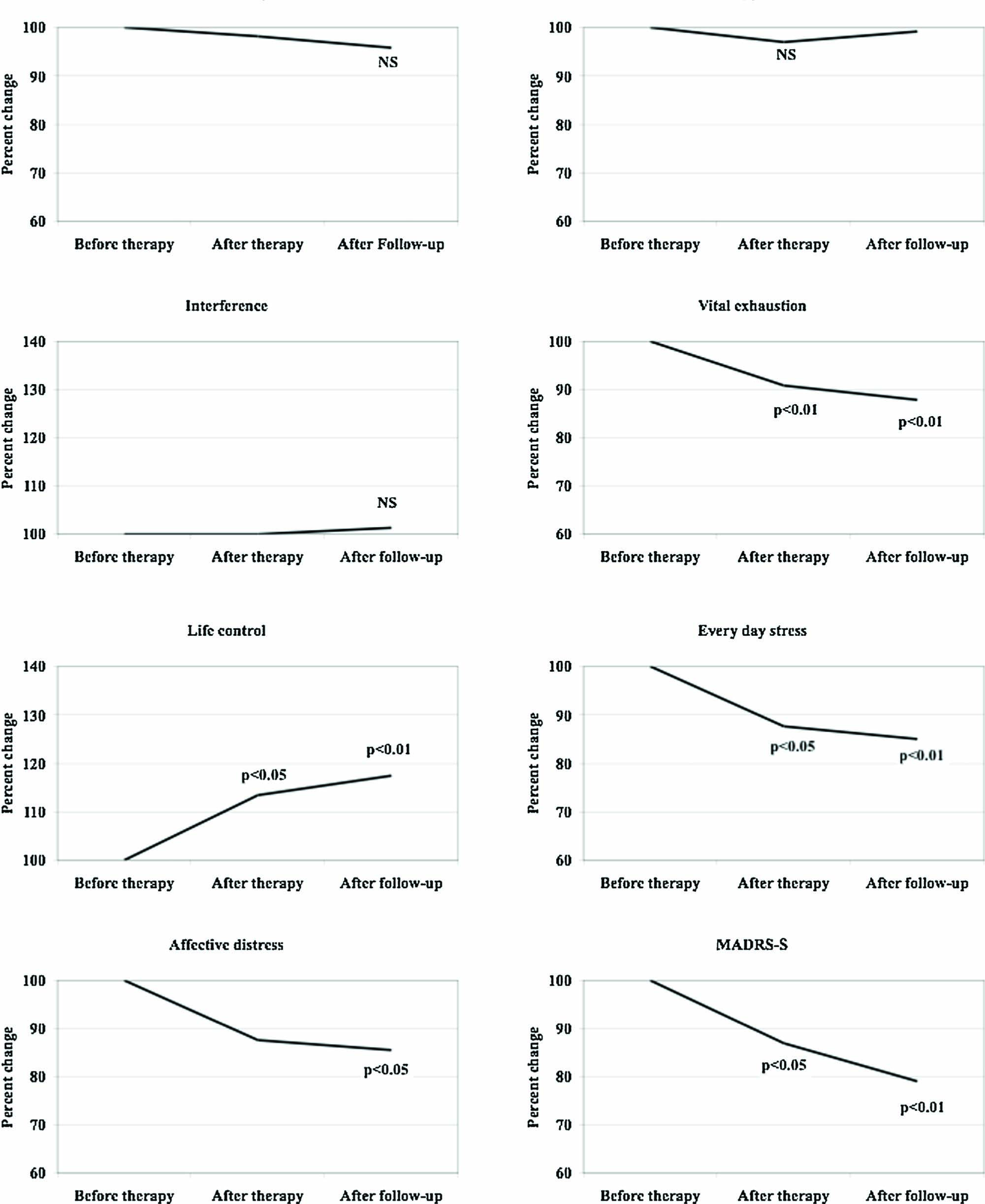
Outcome variables for the before-and-after treatment design are presented in Fig. 2. ‘Life control’ improved almost 20% during therapy and follow up (p <0.01) , ‘affective distress’ improved by 15% (p < 0.05) , while the ‘interference’ and ‘support from spouses or significant others’ showed no tendency towards change. ‘Vital exhaustion’ improved by 12% (p < 0.01) , ‘stress behaviour’ improved by 15% (p < 0.01) .Total ‘depression’ score improved by 20% (p <0.01) , while differences in the ‘sleep’ component were non-significant. For ‘pain severity’ there was a non-significant trend towards improvement. For life control-; ‘affective distress-; ‘vital exhaustion’, ‘stress behaviour’ and ‘depression’ there were an improvement not only during the six-month trial period, but also during the six-month follow up. There were no effects of analgesic, antidepressant or hormone replacement therapy in any of the designs.

Combined results according to the before and after treatment in group 1 (n = 24) and before and after treatment in group 2 (n = 24) , altogether 48 patients.
4 Discussion
4.1 RCT and the before-and-after design
The results from the RCT and the before-and-after treatment designs were fairly consistent. Positive effects in the RCTfor ‘life control’, ‘affective distress’, and ‘depression’ were also seen in the before-and-after treatment design during the treatment period and tended to be further enhanced at follow up 12months after start of CBT treatment. The subjective impairment in the RCT for ‘pain severity’ and ‘interference’ from pain was not observed in the before-and-after treatment design, nor were perceived ‘support from spouses or significant others’ or ‘distracting’ responses.
‘Vital exhaustion’ and ‘stress behaviour’ ratings were reduced for both groups in the RCT but the difference between groups were non-significant. In the before-and-after treatment design a small but significant improvement, enhanced during the follow up period, was seen, possibly an effect of higher statistical power in the before-and-after design than in the RCT, but this may also reflect that changes of long established behaviour may take some time to be implemented.
In the RCT, ‘pain severity’ and ‘interference’ from pain both increased more in the intervention group than among controls, while ‘life control’ showed the opposite pattern. A possible expla-nation might be that the women reflected more on their pain and the impact of it, in line with the treatment goals of self-monitoring aimed to increase the awareness of ones’ own reactions, and at the same time they gained more control over their lives and pain behaviour in general. Since the CBT programme focused on stress in relation to pain, and included diaries and self-monitoring, women might have increased their awareness of pain sensations. However, the results indicate that the negative impact of pain in daily life decreased.
The findings are consistent with the aim of the CBT, focusing on stress behaviour and general well-being in favour of techniques of direct pain reduction. The improvement towards more adequate pain behaviour strategies and well-being is in line with earlier experiences from CBT treatment, for instance in coronary patients where differences between CBT treated and non-treated patients were maintained and enhanced up to seven years after the conclusion of the treatment period [34].
The changes found in the present study were numerically rather small and may not always have been considered clinically significant in previous studies. However, given that these patients often have suffered from their disorder for years, even small changes may be interpreted as beneficial, and even more so if the positive changes from various variables co-operate and tend to persist for a long time after therapy is concluded.
4.2 Previous studies
The intervention in this study was based on a group based stress management CBT, tailored for treatment of patients with cardiovascular diseases has proven to be very effective in reducing recurrent heart attacks [41].
The implications of CBT as a treatment facility in fibromyalgia is reflected, apart from the present study, in a meta-analysis of psychological treatments for fibromyalgia made by Glombiewski et al. [42]. The inclusion criterion in the meta-analysis was that at least three out of five outcomes (pain, sleep, depression, catastrophizing, and functional status) were used to evaluate the efficacy of the treatment. They identified 23 eligible studies including 30 psychological treatment conditions and 1396 patients. Of these eight used CBT as one treatment modality [43,44,45,46,47,48,49,50]. They drew the conclusion that psychological treatment in fibromyalgia may be effective interventions and the effects comparable to those in short-term drug treatments. The stable long-term effects and larger effect size of CBT and other psychological interventions indicate that these treatments are more favourable than other non-psychological treatments, which only give short-term effects [51]. When patients attribute positive changes to their own effort, the effects are usually maintained better than effects attributed to external causes, such as medication [51,52,53,54].
Acceptance and commitment therapy, one of the recent developments of CBT was studied in a randomized clinical trial by Wicksell et al. [55]. Pain-related functioning and psychological flexibility improved in spite of no reduction in pain intensity. In a Cochrane Collaboration review including 23 studies with 2031 patients the effects of CBT on FMS was evaluated. It was concluded that CBT, as compared to control treatments, might to some extent reduce pain, negative mood and disability at the end of treatment and after follow-up. Pain was rated with a 6.3% absolute improvement. However among the ten studies with an intention-to-treat design only four showed a significant result [56].
4.3 Therapeutic implications
Thus, in chronic pain treatment, assessment of beliefs, appraisals, and coping strategies are prerequisites for optimizing a treatment programme [51,57]. The cognitive-behaviour framework implies a treatment focus on changes of maladaptive behaviour and cognitive coping in the direction of a more adaptive one, and an increase in self-efficacy and sense of control. Research findings indicate that a treatment approach focusing on development of strategies for coping with pain may result in a decrease of the intensity of the pain experience, as well as reduced psychological distress [51].
Given that total abolishment of pain symptoms is extremely difficult or impossible to achieve, interventions should focus on the effects of pain on daily function and quality of life, and thereby give the patients more satisfaction and possibly a reduction of the pain experience. Thus, the development of individual strategies for coping with pain is essential to reduce its impact on daily life. In order to achieve increased self-efficacy and sense of internal control over one’s life, the individual’s own motivation (reason and need) for change should be an important target for intervention. Since stress may worsen the pain experience, coping with stress might be a promising route to accomplishing that goal.
It is well known that psychological and social factors influence perception and perpetuation of chronic pain [58,59]. It has been suggested that patients with FMS are more affected by normal daily stress than healthy individuals [11,60]. FMS patients may be caught in a vicious circle where pain and negative emotions may lead to fears of more pain. Cognitive factors, such as intrusive thoughts (‘catastrophizing’) , may act as discriminative stimuli for avoidance behaviours [58]. The risk of developing behaviour patterns that gradually decrease activity and daily function is particularly great when there is no known cause of the pain symptom [57,58,59]. Intrusive thoughts are powerful triggers for avoidance behaviour patterns, and may be reinforced by increased attention from significant others and health care staff [61]. It has been shown that sense of self-efficacy, i.e., belief in one’s ability to act and influence outcomes of one’s actions, increases as intrusive thoughts diminish [51,62].
4.4 Strengths and limitations
The strengths of the present study include that only validated instruments were used for outcome analyses, most of which have been used extensively in previous studies. The intervention CBT protocol used in this study has been validated and used in a number of previous studies [34,41,63]. Furthermore, the participation rate was high, no differences in outcome attributable to which of the two CBT therapists that gave the therapy, and the CBT therapists were not involved in the outcome assessments. The monitoring of the study was excellent, resulting in very small data loss. The statistical analysis was state of the art, and the results from the two analytical designs were fairly consistent. Moreover, in the RCT potential outcome affecting variables other than the CBT were taken into account, optimizing analytical precision and conclusion validity. This was not necessary in the before-and-after design, since the subjects were their own controls.
One further strength is that the data for pre-menopausal women were collected 9–14 days after the first day of the last menstrual period to avoid interference regarding endocrine variables [19]. In order to obtain reliable self-reported data, it was emphasized to the participants that the aim of the treatment was not to push them to a higher level of working capacity, but to increase their well-being and quality of life.
The limitations of the study include that the study population was fairly small. However, we had so many participants in the study as was deemed feasible for financial and logistic reasons. No a priori power analysis was made, but a post hoc analysis was done, showing that the study population was large enough for the main hypothesis testing. The study population was not necessarily representative of FMS patients in the general population, even though the vast majority of FMS patients in Sweden are treated in general practice. The patients’ own physicians carried out the usual patient care with no restrictions in terms of changing medication or other treatment modalities. However, all such changes were registered in the study protocol. Another possible limitation might be that no specific measures examining pain appraisal were included, allowing examination of for instance pain catastrophizing and hyper vigilance.
5 Conclusion
Cognitive behaviour therapy improved the life control in a female population with FMS. Coping behaviour in response to chronic pain was improved at the same time and in spite of higher subjective ratings of pain. Positive effects were seen on depression, vital exhaustion and stress behaviour. The effects of therapy were maintained and enhanced during the follow up period. It appears that women with FMS after the CBT treatment, according to this protocol obtained tools leading to better acceptance of their disorder.
6 Implications
FMS is disorder with great therapeutic challenges. Given that total abolishment of pain symptoms is extremely difficult or impossible to achieve, interventions should focus on the effects of pain on daily function and quality of life, and thereby give the patients more satisfaction and possibly a reduction of the pain experience. Thus, the development of individual strategies for coping with pain is essential to reduce its impact on daily life. In order to achieve increased self-efficacy and sense of internal control over one’s life, the individual’s own motivation (reason and need) for change should be an important target for intervention. Since stress may worsen the pain experience, coping with stress might be a promising route to accomplishing that goal. The stress management CBT programme in this study has proven to be a valuable tool for enhanced life quality in spite of pain.
Highlights
Patients with fibromyalgia were treated with cognitive behaviour therapy tailored for coping with stress and pain.
Cognitive behaviour therapy resulted in better life control, less depression, stress and fatigue.
Pain intensity was not affected by cognitive behaviour therapy according to this protocol.
The effects of therapy were maintained and enhanced during one year of follow up.
Behaviour responses to pain are important for monitoring and not only for ratings of pain.
DOI of refers to article: http://dx.doi.org/10.1016/j.sjpain.2015.08.005.
-
Authors’ contributions: Bo Karlsson made a substantial contribution to conception and design, acquisition of data, analysis and interpretation of data, and drafting of the work.
Gunilla Burell made a substantial contribution to conception and design, analysis and interpretation of data, and drafting of the work. She developed the CBT protocol and supervised the CBT interventions.
Ulla Maria Anderberg made a substantial contribution to conception and design, analysis and interpretation of data, revised the work critically for important intellectual content.
Kurt Svärdsudd made a substantial contribution to conception and design, acquisition of data, analysis and interpretation of data, and drafting of the work. All authors have read and approved the manuscript.
-
Conflict of interest: All authors declared that they have no conflicts of interest.
Acknowledgements
This study was supported by grants from the Söderström-König Foundation (2003-139) , the Swedish Rheumatism Association (51/04) , the Swedish Social Insurance Agency (11124) , Uppsala County Council (K2003-0036) and Uppsala University (UFV2003/39) . The funding authorities had no influence on the design and performance of the study. Thanks are due to Charlotta Marhold, psychologist and PhD, and Jenny Koertge, psychologist and PhD, who performed the Cognitive Behaviour Therapy sessions and Christina Holmgren biomedical analyst and Ingrid Hällsten physiotherapist for valuable help in examining the participants in the study. The trial is registered with Clinicaltrials.gov: NCT01004458.
Appendix
Cognitive behaviour therapy in women with fibromyalgia
Stress and pain management intervention programme treatment format
The intervention consisted of twenty CBT sessions during a six-month period. The women were allocated into treatment subgroups with 5–7 women in each. The programme offered 20 three-hour sessions over the course of 6 months. When the 20 sessions were completed, three CBT group booster sessions were given, each with three hours’ duration during the next six months. Two psychologists trained in CBT provided the treatment. Supervision was given by one of the authors (GB) .
The overall goal of the treatment was to develop emotional and behavioural coping strategies for dealing with stress. The focus was particularly on stress reactivity and stress behaviours characterized by negative affect like hostility, anxiety, and depressive mood reactions.
Treatment goals and methods
There were six key components of the programme with specific goals.
Education: The goal was to develop knowledge about basic anatomy and physiology of the pain and stress processing systems; manifestations of and treatment procedures for pain and stress; emotional consequences of stress; health behaviours and lifestyle; symptoms and signs of stress reactions; and the relationship between pain, stress and general wellbeing. The session agendas contained discussion of case illustrations, and use of slide presentations, written, audio- and videotaped material.
Self-monitoring: The goal was to become more alert to body signals, such as muscular tension, heart rate, and pain, noticing behavioural and cognitive cues, observing, reflecting, and drawing conclusions about contingencies of behaviour. This was achieved by observing and monitoring own reactions and behaviours by use of ‘diaries’, systematic observation of specific behaviours, and use of group processes to enhance observational skills and understanding.
Skills training: The goal was to reduce negative affect and learn to act constructively, rather than merely react, to everyday problems of life. In order to develop behavioural skills as alternatives to anger, frustration, and depressive reactions, a ‘drill book’ was used for daily behavioural exercises. Problem solving and communication skills were practiced in and outside the group. The group format was important in setting the stage for modelling and group processes as an arena for development of coping skills.
Cognitive restructuring: The goal was to be able to recognize negative, hostile, and stress-triggering cognitions and attitudes, and to develop self-talk to reduce stress reactivity. A special focus was on hostility, worries, and self-defeating attitudes. Ways to achieve this goal was to use group discussions to review attitudes and beliefs, self-monitoring of thoughts, attitudes, and interpretations that were evoked by skills training and everyday life experiences, restructuring of attribution styles, and development of specific cognitive techniques.
Life value issues: The treatment included group discussions related to quality of life issues, such as basic values and what wellbeing meant in each participant’s personal life. This could refer to the meaning of relationships and significant others, work or activity, health, future, positive emotions. The purpose of these discussions was to evoke the women’s long-term commitment to and motivation for change. The social and emotional support of the group was instrumental for the development of self-esteem and optimism.
Relaxation.Jacobsen’s progressive relaxation was practiced for a few minutes during each session, and the participants were encouraged to apply the relaxation skill to relevant situations in everyday life.
Rationale and structure
The structure of the programme was similar to most cognitive-behavioural treatment programmes. Each session had an agenda and a specific theme. The session started with a few minutes of progressive muscular relaxation. Next, homework assignments were reviewed and reflected upon. The current theme was discussed and elaborated, and new themes and issues were introduced, building on previous discussions. The session ended with agreements on continued or new homework assignments that were mostly shared by all group members, and sometimes individually tailored. A variety of educational material was used, such as case illustrations, readings, working material, slides and films, and handouts. Diaries were used throughout the treatment period, as well as a booklet with daily behavioural exercises.
Within the structure of the programme, the specific contents and themes were tailored to particular and typical daily life experiences of men and women, respectively. The examples from and applications to daily life experiences were solicited through self monitoring diaries. For the women, skills training needed to focus on self-confidence and self-assertion, while in contrast, many men with CHD in these groups needed to develop skills to cope with aggressive and hostile behaviour. Another example of how focus could differ for men and women in the groups was the role of the social network. Many women were over-involved in social ties to the point where their own needs were subdued, while social network for most men provided unconditional support. Also, when dealing with the issue of anger and hostility, the triggers as well as the expression of such affect generally differed between the men and the women, reflecting the gender roles. Therefore, single gender groups provided shared experiences and good mutual understanding between the participants, thus enhancing therapeutic efficiency.
References
[1] Wolfe F, Smythe HA, Yunus MB, Bennett RM, Bombardier C, Goldenberg DL, Tugwell P, Campbell SM, Abeles M, Clark P, Fam AG, Farber SJ, Fiechtner JJ, Franklin CM, Gatter RA Hamaty D, Lessard J, Lichtbbroun AS, Masi AT, McCain GA, Reynolds WJ, Romano TJ, Russel IJ, Sheon RP. The American College of Rheumatology 1990 Criteria for the Classification of Fibromyalgia. Report of the Multicenter Criteria Committee. Arthritis Rheum 1990;33:160–72.Search in Google Scholar
[2] Bjorkegren K, Wallander MA, Johansson S, Svardsudd K. General symptom reporting in female fibromyalgia patients and referents: a population-based case-referent study. BMC Public Health 2009;9:402.Search in Google Scholar
[3] Mease P. Fibromyalgia syndrome: review of clinical presentation, pathogenesis, outcome measures, and treatment. J Rheumatol Suppl 2005;75:6–21.Search in Google Scholar
[4] Wolfe F, Anderson J, Harkness D, Bennett RM, Caro XJ, Goldenberg DL, Russell IJ, Yunus MB. Health status and disease severity in fibromyalgia: results of a six-center longitudinal study. Arthritis Rheum 1997;40:1571–9.Search in Google Scholar
[5] Clauw DJ, Crofford LJ. Chronic widespread pain and fibromyalgia: what we know, and what we need to know. Best Pract Res Clin Rheumatol 2003;17:685–701.Search in Google Scholar
[6] Gran JT. The epidemiology of chronic generalized musculoskeletal pain. Best Pract Res Clin Rheumatol 2003;17:547–61.Search in Google Scholar
[7] Simms RW. Is there muscle pathology in fibromyalgia syndrome? Rheum Dis Clin North Am 1996;22:245–66.Search in Google Scholar
[8] Yunus MB. Towards a model of pathophysiology of fibromyalgia: aberrant central pain mechanisms with peripheral modulation. J Rheumatol 1992;19:846–50.Search in Google Scholar
[9] Anderberg U. Fibromyalgia syndrom in women-a stress disorder? Neurobiological and hormonal aspects. Uppsala: Acta Universitatis Upsaliensis; 1999 [Doctoral thesis].Search in Google Scholar
[10] Anderberg UM. Fibromyalgia - probably a result of prolonged stress syndrome. Lakartidningen 2000;97:2641–2.Search in Google Scholar
[11] Van Houdenhove B, Egle UT. Fibromyalgia: a stress disorder? Piecing the biopsychosocial puzzle together. Psychother Psychosom 2004;73:267–75.Search in Google Scholar
[12] Eisinger J, Fibromyalgia:Terra Incognita. J Musculoskelet Pain 2006;14:5–10.Search in Google Scholar
[13] Russell IJ, Orr MD, Littman B, Vipraio GA, Alboukrek D, Michalek JE, Lopez Y, MacKill F. Elevated cerebrospinal fluid levels of substance P in patients with the fibromyalgia syndrome. Arthritis Rheum 1994;37:1593–601.Search in Google Scholar
[14] Mease PJ. Further strategies for treating fibromyalgia: the role of serotonin and norepinephrine reuptake inhibitors. Am J Med 2009;122 (Suppl. ) :S44-55.Search in Google Scholar
[15] Cohen S, Manuck SB. Stress, reactivity, and disease. Psychosom Med 1995;57:423–6.Search in Google Scholar
[16] Gunnar M, Quevedo K. The neurobiology of stress and development. Annu Rev Psychol 2007;58:145–73.Search in Google Scholar
[17] Lazarus RS, DeLongis A, Folkman S, Gruen R. Stress and adaptational outcomes. The problem of confounded measures. Am Psychol 1985;40:770–85.Search in Google Scholar
[18] Sullivan MJ. Toward a biopsychomotor conceptualization of pain: implications for research and intervention. Clin J Pain 2008;24:281–90.Search in Google Scholar
[19] Hellstrom B, Anderberg UM. Pain perception across the menstrual cycle phases in women with chronic pain. Percept Mot Skills 2003;96:201–11.Search in Google Scholar
[20] Luepker RV, Evans A, McKeigue P, Reddy KS. Cardiovascular survey methods. 3rd ed. Geneva: World Health Organization; 2004.Search in Google Scholar
[21] Anderberg UM, Marteinsdottir I, Theorell T, von Knorring L. The impact of life events in female patients with fibromyalgia and in female healthy controls. Eur Psychiatry 2000;15:295–301.Search in Google Scholar
[22] Marteinsdottir I, Svensson A, Svedberg M, Anderberg UM, von Knorring L. The role of life events in social phobia. Nord J Psychiatry 2007;61:207–12.Search in Google Scholar
[23] Hedborg K, Anderberg UM, Muhr C. Stress in migraine: personality-dependent vulnerability, life events, and gender are of significance. Ups J Med Sci 2011;116:187–99.Search in Google Scholar
[24] Kerns RD, Turk DC, Rudy TE. The West Haven-Yale Multidimensional Pain Inventory (WHYMPI) . Pain 1985;23:345–56.Search in Google Scholar
[25] Bergstrom G, Jensen IB, Bodin L, Linton SJ, Nygren AL, Carlsson SG. Reliability and factor structure of the Multidimensional Pain Inventory Swedish Language Version (MPI-S) . Pain 1998;75:101–10.Search in Google Scholar
[26] Bergstrom KG, Jensen IB, Linton SJ, Nygren AL. A psychometric evaluation of the Swedish version of the Multidimensional Pain Inventory (MPI-S) : a gender differentiated evaluation. Eur J Pain 1999;3:261–73.Search in Google Scholar
[27] Marhold C, Linton SJ, Melin L. A cognitive-behavioral return-to-work program: effects on pain patients with a history of long-term versus short-term sick leave. Pain 2001;91:155–63.Search in Google Scholar
[28] Appels A, Hoppener P, Mulder P. A questionnaire to assess premonitory symptoms of myocardial infarction. Int J Cardiol 1987;17:15–24.Search in Google Scholar
[29] Appels A, Falger PR, Schouten EG. Vital exhaustion as risk indicator for myocardial infarction in women. J Psychosom Res 1993;37:881–90.Search in Google Scholar
[30] Gulliksson M, Burell G, Lundin L, Toss H, Svardsudd K. Psychosocial factors during the first year after a coronary heart disease event in cases and referents. Secondary Prevention in Uppsala Primary Health Care Project (SUPRIM) . BMC Cardiovasc Disord 2007;7:36.Search in Google Scholar
[31] Orth-Gomer K Unden AL, Edwards ME. Social isolation and mortality in is chemic heart disease. A 10-year follow-up study of 150 middle-aged men. Acta Med Scand 1988;224:205–15.Search in Google Scholar
[32] Koertge J, Janszky I, Sundin O, Blom M, Georgiades A, Laszlo KD, Alinaghizadeh H, Ahnve S. Effects of a stress management program on vital exhaustion and depression in women with coronary heart disease: a randomized controlled intervention study. J Intern Med 2008;263:281–93.Search in Google Scholar
[33] Claesson M, Birgander LS Lindahl B, Nasic S, Astrom M, Asplund K, Mattsson C. Women's hearts-stress management for women with ischemic heart disease: explanatory analyses of a randomized controlled trial. J Cardiopulm Rehabil 2005;25:93–102.Search in Google Scholar
[34] Gulliksson M, Burell G, Vessby B, Lundin L, Toss H, Svardsudd K. Randomized controlled trial of cognitive behavioral therapy vs standard treatment to prevent recurrent cardiovascular events in patients with coronary heart disease: Secondary Prevention in Uppsala Primary Health Care project (SUPRIM) . ArchIntern Med 2011;171:134–40.Search in Google Scholar
[35] Claesson M, Burell G, Birgander LS, Lindahl B, Asplund K. Psychosocial distress and impaired quality of life - targets neglected in the secondary prevention in women with ischaemic heart disease. Eur J Cardiovasc Prev Rehabil 2003;10:258–66.Search in Google Scholar
[36] Montgomery SA, Asberg M. A new depression scale designed to be sensitive to change. Br J Psychiatry 1979;134:382–9.Search in Google Scholar
[37] Svanborg P, Asberg M. A comparison between the Beck Depression Inventory (BDI) and the self-rating version of the Montgomery Asberg Depression Rating Scale (MADRS) . JAffect Disord 2001;64:203–16.Search in Google Scholar
[38] Fantino B, Moore N. The self-reported Montgomery-Asberg Depression Rating Scale is a useful evaluative tool in Major Depressive Disorder. BMC Psychiatry 2009;9:26.Search in Google Scholar
[39] Blomberg M. Training for improved body awareness and relaxation for stress management. Lakartidningen 2004;101:1398–400.Search in Google Scholar
[40] Available from: http://www.sas.com/technologies/analytics/statistics/Search in Google Scholar
[41] Burell G, Granlund B. Women's hearts need special treatment. IntJ Behav Med 2002;9:228–42.Search in Google Scholar
[42] Glombiewski JA, Sawyer AT, Gutermann J, Koenig K, Rief W, Hof-mann SG. Psychological treatments for fibromyalgia: a meta-analysis. Pain 2010;151:280–95.Search in Google Scholar
[43] Creamer P, Singh BB, Hochberg MC, Berman BM. Sustained improvement produced by nonpharmacologic intervention in fibromyalgia: results of a pilot study. Arthritis Care Res 2000;13:198–204.Search in Google Scholar
[44] Edinger JD, Wohlgemuth WK, Krystal AD, Rice JR. Behavioral insomnia therapy for fibromyalgia patients: a randomized clinical trial. Arch Intern Med 2005;165:2527–35.Search in Google Scholar
[45] Nielson WR, Walker C, McCam GA. Cognitive behavioral treatment of fibromyalgia syndrome: preliminary findings. J Rheumatol 1992;19:98–103.Search in Google Scholar
[46] RedondoJR, Justo CM, Moraleda FV, Velayos YG, Puche JJ, Zubero JR, Hernandez TG, Ortells LC, Pareja MA. Long-term efficacy of therapy in patients with fibromyalgia: a physical exercise-based program and a cognitive-behavioral approach. Arthritis Rheum 2004;51:184–92.Search in Google Scholar
[47] Rodero B, Garcia J, Casanueva B, Sobradiel N. Imagined exposure as treatment of catastrophizing in fibromyalgia: a pilot study. Actas Esp Psiquiatr 2008;36:223–6.Search in Google Scholar
[48] Thieme K, Flor H, Turk DC. Psychological pain treatment in fibromyalgia syndrome: efficacy of operant behavioural and cognitive behavioural treatments. Arthritis Res Ther 2006;8:R121.Search in Google Scholar
[49] Vlaeyen JW, Teeken-Gruben NJ, Goossens ME, Ruttenvan Molken MP, Pelt RA, van Eek H, Heuts PH. Cognitive-educational treatment of fibromyalgia: a randomized clinical trial. I. Clinical effects. J Rheumatol 1996;23: 1237–45.Search in Google Scholar
[50] Wigers SH, Stiles TC, Vogel PA. Effects of aerobic exercise versus stress management treatment in fibromyalgia. A 4.5 year prospective study. Scand J Rheumatol 1996;25:77–86.Search in Google Scholar
[51] Turk DC. Cognitive-behavioral approach to the treatment of chronic pain patients. Reg Anesth Pain Med 2003;28:573–9.Search in Google Scholar
[52] Thieme K, Gracely RH. Are psychological treatments effective for fibromyalgia pain? Curr Rheumatol Rep 2009;11:443–50.Search in Google Scholar
[53] Schroder KE, Schwarzer R. Habitual self-control and the management of health behavior among heart patients. Soc Sci Med 2005;60:859–75.Search in Google Scholar
[54] Peters KD, Constans JI, Mathews A. Experimental modification of attribution processes. J Abnorm Psychol 2011;120:168–73.Search in Google Scholar
[55] Wicksell RK, Kemani M, Jensen K, Kosek E, Kadetoff D, Sorjonen K, Ingvar M, Olsson GL. Acceptance and commitment therapy for fibromyalgia: a randomized controlled trial. Eur J Pain 2012;17 (4) :599–611.Search in Google Scholar
[56] Bernardy K, Klose P, Busch AJ, Choy EH, Hauser W. Cognitive behavioural the rapies for fibromyalgia. Cochrane Database Syst Rev 2013;9:CD009796.Search in Google Scholar
[57] Stroud MW, Thorn BE, Jensen MP, Boothby JL. The relation between pain beliefs, negative thoughts, and psychosocial functioning in chronic pain patients. Pain 2000;84:347–52.Search in Google Scholar
[58] Jensen MP, Moore MR, Bockow TB, Ehde DM, Engel JM. Psychosocial factors and adjustment to chronic pain in persons with physical disabilities: a systematic review. Arch Phys Med Rehabil 2011;92:146–60.Search in Google Scholar
[59] Rusu AC, Hasenbring M. Multidimensional Pain Inventor derived classifications of chronic pain: evidence for maladaptive pain-related coping with in the dysfunctional group. Pain 2008;134:80–90.Search in Google Scholar
[60] Soderberg S, Lundman B, Norberg A. Living with fibromyalgia: sense of coherence, perception of well-being, and stress in daily life. Res Nurs Health 1997;20:495–503.Search in Google Scholar
[61] Barsky AJ, Borus JF. Functional somatic syndromes. Ann Intern Med 1999;130: 910-21.Search in Google Scholar
[62] Landsman-Dijkstra JJ, van Wijck R, Groothoff JW. The long-term lasting effectiveness on self-efficacy, attribution style, expression of emotions and quality of life of a body awareness program for chronic a-specific psychosomatic symptoms. Patient Educ Couns 2006;60:66–79.Search in Google Scholar
[63] Burell G, Ohman A, Sundin Strom G, Ramund B, Cullhed I, Thoresen CE. Modification of the Type A behavior pattern in post-myocardial infarction patients: a route to cardiac rehabilitation. Int J Behav Med 1994;1:32–54.Search in Google Scholar
Abbreviations
- ACR
-
American College of Rheumatology
- FMS
-
fibromyalgia syndrome
- CBT
-
cognitive behaviour therapy
- MADRS-S
-
Montgomery-Åsberg Depression Rating Scale – self-reported
- MPI
-
Westhaven-Yale Multidimensional Pain Inventory
- MPI-S
-
Westhaven-Yale Multidimensional Pain Inventory Swedish version
- RCT
-
randomized clinical trial.
© 2015 Scandinavian Association for the Study of Pain
This work is licensed under the Creative Commons Attribution-NonCommercial-NoDerivatives 4.0 International License.
Articles in the same Issue
- Editorial comment
- Editorial comment on Helen Richardson’s and Stephen Morley’s study on “Action identification and meaning in life in chronic pain”
- Original experimental
- Action identification and meaning in life in chronic pain
- Editorial comment
- Editorial comment on Karlsson et al. “Cognitive behavior therapy in women with fibromyalgia. A randomized clinical trial”
- Clinical pain research
- Cognitive behaviour therapy in women with fibromyalgia: A randomized clinical trial
- Editorial comment
- Assessing insomnia in pain – Can short be good?
- Observational study
- The Swedish version of the Insomnia Severity Index: Factor structure analysis and psychometric properties in chronic pain patients
- Editorial comment
- Reliability of pressure pain threshold testing (PPT) in healthy pain free young adults
- Observational study
- Reliability of pressure pain threshold testing in healthy pain free young adults
- Editorial comment
- Qualitative research in complex regional pain syndrome (CRPS)
- Topical review
- Building the evidence for CRPS research from a lived experience perspective
- Editorial comment
- Complex role of peroxisome proliferator activator receptors (PPARs) in nociception
- Original experimental
- Systemic administration of WY-14643, a selective synthetic agonist of peroxisome proliferator activator receptor-alpha, alters spinal neuronal firing in a rodent model of neuropathic pain
- Editorial comment
- Evaluation of pain in children with communication difficulties: r-FLACC translated and validated in Nordic languages
- Clinical pain research
- Assessment of pain in children with cerebral palsy focused on translation and clinical feasibility of the revised FLACC score
- Clinical pain research
- The revised FLACC score: Reliability and validation for pain assessment in children with cerebral palsy
- Editorial comment
- Coping with painful sex – A neglected female problem
- Clinical pain research
- Coping with painful sex: Development and initial validation of the CHAMP Sexual Pain Coping Scale
- Original experimental
- Spatial summation of thermal stimuli assessed by a standardized, randomized, single-blinded technique
Articles in the same Issue
- Editorial comment
- Editorial comment on Helen Richardson’s and Stephen Morley’s study on “Action identification and meaning in life in chronic pain”
- Original experimental
- Action identification and meaning in life in chronic pain
- Editorial comment
- Editorial comment on Karlsson et al. “Cognitive behavior therapy in women with fibromyalgia. A randomized clinical trial”
- Clinical pain research
- Cognitive behaviour therapy in women with fibromyalgia: A randomized clinical trial
- Editorial comment
- Assessing insomnia in pain – Can short be good?
- Observational study
- The Swedish version of the Insomnia Severity Index: Factor structure analysis and psychometric properties in chronic pain patients
- Editorial comment
- Reliability of pressure pain threshold testing (PPT) in healthy pain free young adults
- Observational study
- Reliability of pressure pain threshold testing in healthy pain free young adults
- Editorial comment
- Qualitative research in complex regional pain syndrome (CRPS)
- Topical review
- Building the evidence for CRPS research from a lived experience perspective
- Editorial comment
- Complex role of peroxisome proliferator activator receptors (PPARs) in nociception
- Original experimental
- Systemic administration of WY-14643, a selective synthetic agonist of peroxisome proliferator activator receptor-alpha, alters spinal neuronal firing in a rodent model of neuropathic pain
- Editorial comment
- Evaluation of pain in children with communication difficulties: r-FLACC translated and validated in Nordic languages
- Clinical pain research
- Assessment of pain in children with cerebral palsy focused on translation and clinical feasibility of the revised FLACC score
- Clinical pain research
- The revised FLACC score: Reliability and validation for pain assessment in children with cerebral palsy
- Editorial comment
- Coping with painful sex – A neglected female problem
- Clinical pain research
- Coping with painful sex: Development and initial validation of the CHAMP Sexual Pain Coping Scale
- Original experimental
- Spatial summation of thermal stimuli assessed by a standardized, randomized, single-blinded technique