Hyperalgesia and allodynia to superficial and deep-tissue mechanical stimulation within and outside of the UVB irradiated area in human skin
-
Silvia Lo Vecchio
, Lars J. Petersen , Sara Finocchietti , Parisa Gazerani , Lars Arendt-Nielsen and Thomas Graven-Nielsen
Abstract
Background and aims
The ultraviolet-B (UVB) inflammatory model is a well-established model of inflammatory pain. This study investigated whether UVB-induced cutaneous inflammation would enhance pain responses from the underlying deep somatic areas.
Methods
Skin inflammation was induced, in 24 healthy volunteers, by UVB irradiation (three times of the individual minimal erythema UVB dose) in square-shaped areas on the forearm and lower back. Assessments of cutaneous blood flow, pin-prick thresholds, pressure pain thresholds and tolerance, stimulus–response functions relating graded pressure stimulations and pain intensity (visual analogue scale, VAS) were performed within and outside the irradiated area.
Results
Twenty-four hours after UVB irradiation, a significant increase in superficial blood flow in the irradiated skin area was demonstrated compared with baseline (P < 0.01) indicating that inflammation was induced. Compared with baseline, UVB irradiation significantly reduced the pin-prick thresholds, pressure pain thresholds and tolerance within and outside of the irradiated area (P < 0.05). The stimulus–response function was left-shifted compared with baseline both within and outside the irradiated area (P < 0.05) with a more pronounced left-shift within the irradiated area (P < 0.01). Application of topical anaesthesia 24h after irradiation in 5 subjects, both within and outside the irradiated area, could only increase the pin-prick thresholds outside the irradiated area.
Conclusion
The UVB irradiation of the skin not only provokes cutaneous primary and secondary hyper-algesia but also causes hyperalgesia to blunt pressure stimulations 24h after the UVB exposure.
Implications
The presented UVB model can be used as a translational model from animals into healthy subjects. This model can potentially be used to screen drug candidates with anti-inflammatory properties in early stages of drug development.
1 Introduction
Inflammation is part of the biological response to tissue injury, including exposure to pathogens, toxins, or irritants [1]. Such response can be triggered by physical or chemical injury, e.g. wound, trauma, infection, and burn injury.
The ultraviolet-B (UVB) inflammatory model is a well-established model, which is easy to use, does not cause tissues damage or spontaneous pain, and includes a response of the dermal vasculature due to the inflammatory process. Hypersensitivity responses to UVB, manifests as alterations in cutaneous vaso-responses, reductions in both thermal and mechanical pain thresholds (allodynia), and increased responses to suprathresh-old stimulations (hyperalgesia) [2,3]. The UVB irradiation causes a localized erythematic skin (‘sunburn’), developing to a maximal response with in about 24h, accompanied by distinct characteristics of primary allodynia and hyperalgesia within the UVB irradiated area [2]. In the irradiated area, an increased sensitivity to both thermal and mechanical cutaneous stimulation has been demonstrated in men, mice, and rats [2,4]. Altered microvascular function and changes in mechanical sensitivity play important roles in a number of clinical inflammatory conditions such as rheumatic diseases [5,6]. However, development of area of secondary hyperalgesia, surrounding the irradiated area in UVB models, has yielded conflicting results on both the presence and intensity [2,4,7,8]. Application of different methodologies to assess the UVB-induced area of secondary hyperalgesia, might explain the outcome difference in the previous studies. For instance, Bishop and collaborators measured secondary hyperalgesia using a 10g von Frey filament [2]. In the study of Gustorff and collaborators the area of secondary hyperalgesia was determinedatthe skin surrounding the erythema by pricking with a hand-held rigid von Frey filament (150g) [7]. Instead, in the study conducted by Harrison and coworkers, the area of secondary hyperalgesia was measured using an electronic von Frey System [8].
The existence of secondary cutaneous hyperalgesia via central hyper excitability and convergence between superficial and deep tissue sensory input may involve adjacent structures such as the underlying somatic structures (e.g. muscles). Previous studies have reported cutaneous hyperalgesia following widespread muscle pain in patients but only few experimental studies have investigated the interaction between cutaneous and muscle hyperalgesia [4,9,10]. In the present study the change in the superficial and deep tissue mechanical pain sensitivity after cutaneous sen-sitization using the Experimental UVB inflammatory model was assessed.
The aims of the present study were: 1) to characterize patterns and magnitude of alterations in cutaneous vaso-responses to UVB-induced inflammation, 2) to study mechanical pain sensitivity within and outside the UVB-induced inflammatory area, and 3) to describe the effect of topical anaesthesia on the UVB-induced primary and secondary hyperalgesic reactions. It was hypothesized that UVB-induced cutaneous inflammation in healthy subjects would enhance pain responses from the underlying deep somatic areas. This study would potentially enhance understanding of symptomatology of clinical inflammatory conditions.
2 Material and methods
2.1 Subjects
A total of 24 healthy volunteers (10 females and 14 males) participated in the study. Sixteen of them participated in the first experiment (UVB experiment, 6 females and 10 males, mean age 27.2±3.1 years) while the remaining eight (4 females and 4 males, mean age 24.5±1.2 years) participated in the second experiment (topical anaesthesia: EMLA experiment). Exclusion criteria were any current acute or chronic pain conditions, a history of drug abuse, use of analgesic within one week prior to the start of the study, any tattoos or skin diseases in the test areas, participation in other experimental studies in the preceding 4 weeks or during the study, pregnancy or lactation. Menstrual phase was not reported. Subjects were instructed to avoid or limit the UV exposure during the study period. They received written and oral information about the study and provided written informed consent. The study was performed in accordance with the Declaration of Helsinki and approved by the regional Ethical Committee (N-20110066).
2.2 Experimental protocol
In the first experiment (UVB experiment), rectangular areas (3cm×4cm) in the middle of forearm and in the low back (approximately 3–5cm from the spinal cord and 8cm from the iliac crest) were experimentally inflamed by means of standardized UVB inflammation. Region of interest for primary inflammation was defined at the irradiated site. The soma to sensory responsiveness of the left arm and right lower back was assessed at baseline and 24h after UVB irradiation. The stimulated area was divided in an inner (3cm×4cm, UVB irradiated) and an outer area (approximately 5cm×6cm, not UVB irradiated) (Fig. 1B). Four inner assessment points (P4, P5, P8, and P9) and 8 outer points (1.5cm distant from the irradiated area) were examined. Mechanical pain thresholds to weight-calibrated pin-prick stimulation were conducted on one point inside the irradiated area (P4) and on one point 1.5 cm out side the irradiated area (P3, Fig. 1B). The sensitivity to pressure stimulation was assessed on all sites. Skin blood flow was measured within the regions of interest inside and outside the UVB sites.

Experimental overview: (A) The three different probes used for pressure algometry: 1.0cm2 flat probe (i), 0.5 cm2 flat probe (ii), and V-shaped probe with a flat contact surface of 0.03 cm2 (iii). (B) Assessment sites, experiment 1: four assessment sites located inside the UVB irradiation area and eight outer assessment sites on the left forearm and low back. The 8 outer sites were 1.5cm distant from the irradiated area. The four sites inside the irradiation area were approximately 0.5cm from the boarder of irradiation. The sites 3 and 7 were located most distally or rostrally for the arm and low back, respectively. (C) Assessment sites, experiment 2: one assessment site located inside the UVB irradiation area (Q2) and two outer assessment sites on both left and right forearm (Q1 and Q3). The two outer sites were 1.5cm distant from the irradiated area. (D) Schematic representation of the two EMLA applications on the forearm.
In the second experiment (topical anaesthesia: EMLA experiment), a rectangular area (3cm × 4cm) in the middle of the forearm was UVB irradiated similar to the first experiment. One inner assessment point (Q2) and two outer points (Q1 and Q3) were examined (Fig. 1C). Q1 and Q3 were located 1.5 cm from the edge of the irradiated area. The contralateral mirrored area was defined as control site and likewise assessed for changes in the soma to sensory sensitivity. The side for UVB irradiation was chosen at a balanced and random manner. The soma to sensory sensitivity was assessed at baseline, 24h after irradiation, and after topical anaesthesia (EMLA cream) on Q1, and on both Q1 and Q2, respectively. Mechanical pain thresholds to weight-calibrated pin-prick stimulation and the sensitivity to pressure stimulation were assessed on all sites. Only subjects demonstrating a significant UVB-induced pin-prick hyperalgesia (pin-prick-thresholds reduced by > 50%) before topical anaes the sia were included in the analysis.
2.3 UVB irradiation protocol
Within a week prior to the first study session, the individual minimal erythematic dose (MED) for UVB irradiation was determined with a calibrated UVB source (wavelength 290–320 nm; Saalmann Multitester, Saalmann, SBC LT 400 Herford, Germany). The MEDis the minimum amount of UVB energy (J/cm2) producing an erythematic area with distinct borders at 24 hafter the exposure. Five circular spots with a diameter of 1.5cm at the anterior surface of the right forearm skin were irradiated with a series of UVB doses ranging from 40 to 100mJ/cm2. MED values were determined for each subject. For the study, skin sites were irradiated with 3 times of the individual MED.
2.4 Measurement of skin blood flow
The intensity of skin inflammation was quantified by measurement of skin blood flow. Skin blood flow was measured by laser Doppler imaging (Moor LDI2, Devon, UK) before the induction of inflammation and 24h post-UVB irradiation. The scan area was 6cm × 5cm with a 256 × 256 pixel resolution. The laser head was positioned 30cm above the irradiated skin and the regions of interest were constructed to cover the irradiated area plus the surrounding skin. The images were analyzed using dedicated image-processing software (Moor V5.3 Instruments Ltd.). The skin blood flow was expressed as arbitrary units (AU). Blood flow was assessed to validate that cutaneous inflammation was induced.
2.5 Weight-calibrated cutaneous pin-prick stimulation
The mechanical cutaneous pain thresholds (MPT) were determined using custom-made weight-calibrated pin-pricks (Aalborg University, Denmark). The pin-prick stimulators have a metal probe with diameter tip of 0.6 mm and weights of 0.8, 1.6, 3.2, 6.4, 12.8, 25.6, 50.1 and 60.0g. Starting from the lightest weight, each pin was applied for 2s in the area until the subject felt that the sensation changed from “an innocuous prodding” to a “sharp pricking”. Two repeated stimulations were performed with each pin-prick. The weight of the pin-prick, which induced the “sharp pricking” for both stimuli, was defined as the pain threshold. If the subject did not feel pain when the pin with 60g was pressed against the skin, the threshold was considered as 100g.
2.6 Assessment of pressure pain sensitivity by pressure algometry
A custom-made computer-controlled pressure algometer (Aalborg University, Denmark) was used to assess the pressure pain sensitivity. The pressure stimulation was applied with 0.3 kg/s with a probe located perpendicularly to the skin surface and the subject pressed a push button twice during each stimulation: the first event was the pressure pain threshold (PPT), and the second event was the measurement of pressure pain tolerance (PPTO). In addition, the subject rated the pain intensity continuously during the pressure stimulation on an electronic visual analogue scale (VAS) where 0 cm indicated “no pain”, and 10cm indicated “maximal pain”. The PPT was defined as the point at which a sensation of pressure changed in to a sensation of pain. The PPTO was defined as the maximal level of pressure the subject could tolerate. Topographical maps illustrating the spatial distribution of PPTs and PPTOs were created based on average values across subjects that were interpolated using a linear inverse distance weighted interpolation [11].
The stimulus–response curve (SR curve) was further constructed to demonstrate association of VAS scores and pressure intensity for each stimulation site. The pressure equivalent to 5cm on the VAS (0–10 cm) was extracted as an estimate of the position of the VAS–pressure curve and used to detect a shift of the SR curve with respect to the baseline recordings. The linear slope of the SR curve was estimated in the VAS ranging from 0 to 10cm or the VAS score equivalent with the PPTO. All pressure algometry parameters were recorded in duplicate and the average was used for further analysis.
In experiment 1, all assessments were performed using three different probes (1.0cm2 flat tip, 0.5 cm2 flat tip, and a V-shaped probe with aflat contact surface of 0.03 cm2, Fig. 1A).In experiment 2, the assessments were performed using two different probes (1.0cm2 flat tip and a V-shaped probe with a flat contact surface of 0.03 cm2). The pressure stimulation sequence of the assessment sites was selected randomly by the computer. All measures were recorded twice for each point and the average was used for further analysis.
2.7 Application of EMLA cream (experiment 2)
One day after UVB irradiation, EMLA cream (1g contains 25mg of lidocaine and 25mg of prilocaine, AstraZeneca A/S, Albertslund, Denmark) was applied on a small rectangular area of 2cm × 3cm around point Q1 (Fig. 1D) on the irradiated arm and control arm under occlusion for 1h. Then the cream was removed and the mechanical pain sensitivity was assessed at Q1, Q2, and Q3 on both arms. Subsequently, EMLA cream was applied under occlusion on both Q1 and Q2 for 1h. Afterwards, the cream was removed and the mechanical pain sensitivity was re-assessed at all three points on both arms.
2.8 Statistics
All values are presented as means and standard error of the mean (SEM). Statistical analysis was carried out using SPSS (IBMSPSS©, V19 2010). The Kolmogorov–Smirnov test was used for normality assessment and the vast majority of the data was normally distributed. In the first experiment (UVB experiment) for the analysis of MPT and cutaneous blood flow, repeated measures analysis of variance (ANOVA) were used with the factors: time (before and after irradiation), area (inside and outside the irradiated area), and location (arm, back). For the analysis of PPT, PPTO and SR curve slopes and position repeated measures ANOVA were performed with 4 factors: time (before and after irradiation), site (average parameters from inside and outside the irradiated area, respectively), location (arm, back), and probe size (1 cm2, 0.5 cm2, 0.03 cm2).
In the second experiment (EMLAexperiment),5 subjects including 2 females and 3 males, mean age 23.2±1.5 years, who developed a significant UVB-induced pin-prick hyperalgesia were presented as case examples.
3 Results
3.1 Skin blood flow
Twenty-four hours after UVB exposure, the irradiated skin showed a clear erythematic area with a marked boundary matching the irradiated area borders. ANOVA results revealed an interaction between time and area for blood flow which was independent of location. The cutaneous skin blood flow inside and outside was significantly increased 24h after irradiation compared with baseline and the increase was highest in the irradiated area compared with the increase found outside the irradiated area (ANOVA: F1,15 = 408.6, P<0.01; Bon: P<0.01; Fig. 2A and B). The data confirmed that a cutaneous inflammation was induced.

Cutaneous blood flow: Mean (±SEM, N = 16) skin blood flow in arbitrary units (AU) before and 24h after UVB irradiation inside and outside the area irradiated on the arm (A) and on the back (B). A significantly increased blood flow was observed compared with baseline values (#, BON: P<0.01) and the inside compared with the outside area (#, BON: P<0.01).
3.2 Skin hyperalgesia to mechanical stimulation by weight-calibrated pin-pricks
In the first experiment (UVB experiment), the ANOVA showed a main effect of area with a significant lower threshold within the irradiated area (ANOVA: F1,15 =11.8, P<0.01). An interaction between time and location in the ANOVA showed that at baseline the pin-prick thresholds were lower in the back compared with the arm (ANOVA: F1,15 =5.7, P<0.05; Bon: P<0.05; Fig. 3A and B). This interaction also showed that the pin-prick thresholds were significantly decreased 24h after irradiation compared with baseline in both locations (Bon: P<0.05; Fig. 3A and B).

Mechanical pain threshold: Mean (±SEM, N=16) pin-prick pain thresholds (weight calibrated pin-prick instrument) before and 24h after UVB irradiation inside (P4) and outside (P3) the area irradiated in the arm (A) and in the back (B). Significantly decreased pin-prick pain thresholds were observed compared with baseline values (*, BON: P<0.01).
In the second experiment (EMLA experiment), at the UVB side, 24 h after irradiation, a decrease in cutaneous mechanical threshold was present in all 5 subjects and in all three points (Q1–Q3), compared with baseline (Fig. 4, Table 5). The percentage of decrease, compared to baseline, was 63%, 93% and 68% for Q1, Q2 and Q3, respectively. In the control side, a slight decrease in cutaneous mechanical threshold was present in 4 subjects in Q1 and Q3, 24h after the first session. The percentage of decrease, compared with baseline, was 47% and 41% for Q1 and Q3, respectively.

Mechanical pain threshold after EMLA: Pin-prick pain thresholds before, 24hafter UVB irradiation, after EMLA cream inQ1, and after EMLA cream in Q1 and Q2inside (Q2) and outside (Q1 and Q3) the area irradiated, in the control and in the UVB locations. All data relative to the 5 subjects are presented.
In the control side, after application of EMLA cream in Q1, an increase in mechanical pain thresholds in comparison with the baseline (24h after UVB irradiation) was present only in Q1 and in all 5 subjects. After application of EMLA in Q1 and Q2, all 5 subjects showed an increase in mechanical pain thresholds in comparison with the baseline (24h after UVB irradiation, Fig. 4).

Pain pressure threshold and pain pressure tolerance maps before and after irradiation in the low back: the assessments sites are illustrated in panel A. The maps are based on interpolated mean values (N = 16) from assessments with the 0.5cm2 flat probe. The bottom of the maps is referred to the most caudal part of the lower back.
In the UVB side, after EMLA cream application in Q1, an increase in mechanical pain thresholds in comparison with the baseline (24h after UVB irradiation) was present only in Q1 and in all 5 subjects. After application of EMLA in Q1 and Q2, an increase in mechanical pain thresholds in comparison with the baseline was evident in all 5 subjects in Q1 but not in Q2 (Fig. 4).
3.3 Assessment of pressure pain sensitivity by pressure algometry
In the first experiment (UVB experiment), hyperalgesia to pressure stimulation was detected both inside and outside the irradiated areas (Fig. 5). An interaction between time and area in the ANOVA showed that PPT and PPTO were significantly decreased 24h after irradiation compared with baseline and that the decrease was largest in the irradiated area compared with the decrease found outside the irradiated area (ANOVA: F1,15 >14.4, P<0.01; Bon: P<0.01; Tables 1 and 2) in both arm and low back. The probe size factor demonstrated that the PPT and PPTO detected with each probe were significantly different from the PPT and PPTO detected with the other two probes (ANOVA: F2,14 >51.2, P<0.01; Bon: P<0.01; Tables 1 and 2). An interaction between location and probe showed that PPT and PPTO were significantly decreased in the arm compared with the back when 0.03cm2 probe was applied (ANOVA: F2,14 >7.9, P<0.01; Bon: P<0.01; Tables 1 and 2).
Mean (±SEM, N=16) pressure pain thresholds within the UVB sites and in adjacent skin (outside) before and 24h after UVB inflammation. A significantly decreased PPT was observed compared with baseline values (*, Bon: P<0.01) or compared with the same probe used on the arm (#, Bon: P<0.01).
| PPTO inside before (kPa) | PPTO inside after (kpa) | PPTO outside before (kPa) | PPTO outside after (kPa) | |
|---|---|---|---|---|
| Arm, 1.0cm2 probe | 304 ± 37 | *177 ± 12 | 290 ± 37 | *204 ± 13 |
| Arm, 0.5cm2 probe | 495±56 | *261 ± 24 | 472 ± 49 | *325 ± 21 |
| Arm, 0.03cm2 probe | 4402 ± 408 | *2747 ± 370 | 4557 ± 483 | *3341 ± 323 |
| Back, 1.0cm2 probe | 341 ± 45 | *195 ± 18 | 336 ± 47 | *249 ± 27 |
| Back, 0.5cm2 probe | 493 ± 54 | *230 ± 18 | 491 ± 54 | *355 ± 48 |
| Back, 0.03cm2 probe | #3527 ± 340 | *#2424 ± 295 | #3585 ± 342 | *#2884 ± 295 |
Mean (±SEM, N = 16) pressure pain tolerance within the UVB sites and in adjacent skin (outside) before and 24h after UVB inflammation. A significantly decreased PPTO was observed compared with baseline values (*, Bon: P < 0.01) or compared with the same probe used on the arm (#, Bon: P < 0.01).
| PPTO inside before (kPa) | PPTO inside after (kPa) | PPTO outside before (kPa) | PPTO outside after (kPa) | |
|---|---|---|---|---|
| Arm, 1.0cm2 probe | 517 ± 56 | *300 ± 17 | 498 ± 53 | *325 ± 19 |
| Arm, 0.5cm2 probe | 815 ± 73 | *407 ± 27 | 782 ± 69 | *527 ± 28 |
| Arm, 0.03cm2 probe | 6545 ± 452 | *4368 ± 308 | 6601 ± 512 | *5255 ± 241 |
| Back, 1.0 cm2 probe | 534 ± 48 | *314 ± 26 | 538 ± 55 | *404 ± 35 |
| Back, 0.5 cm2 probe | 839 ± 77 | *390 ± 33 | 833 ± 78 | *600 ± 61 |
| Back, 0.03 cm2 probe | #5419 ± 356 | * #3966 ± 286 | #5539 ± 354 | * #4705 ± 324 |
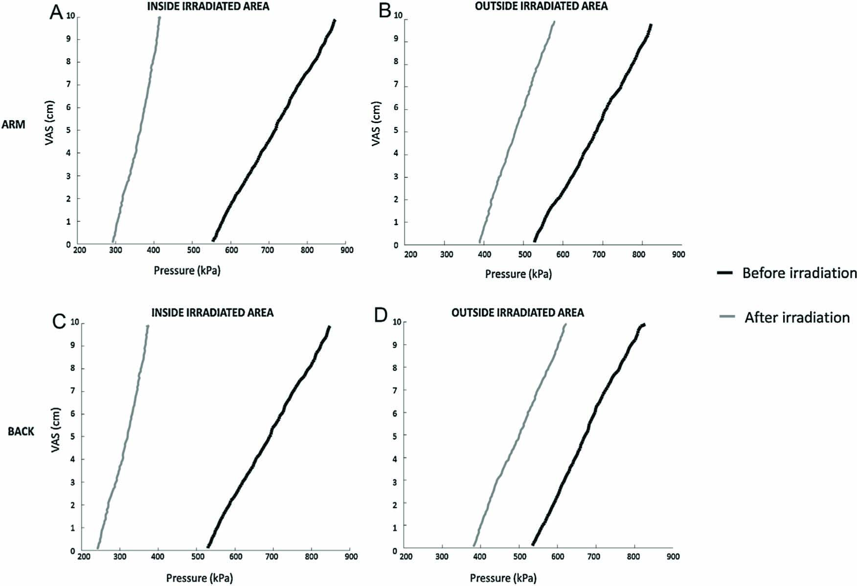
After irradiation, the pressure-VAS SR curve was left-shifted with higher slopes both within and outside the irradiated area compared with baseline recordings (Fig. 6). An interaction between time, probe and area showed that 24h after irradiation, the position of the SR curves for all three probe sizes were significantly different from the baseline and that the position after 24h was less inside compared with outside (ANOVA: F2,14 =12.6, P<0.01; Bon: P<0.01; Table 3). An interaction between location, area and probe showed that the general position of the SR curve was more to the right position for the arm stimulation compared with the back for the 0.03cm2 probe (ANOVA: F2,14 = 5.3, P<0.05; Bon: P<0.01).

Pressure intensity versus VAS scores: inside (A) and outside (B) the irradiated area on the low back and arm. The curves are based on the average of 16 subjects from assessments with the 0.5 cm2 probe. In normal skin (black curve, before irradiation), VAS score increases moderately fast with increasing pressure stimulus intensity. After irradiation (grey curve), the stimulus–response curve is shifted to the left; there is a lower threshold for producing pain and an increased response to suprathreshold stimuli.
Mean (±SEM, N=16) position of the pressure-VAS stimulus–response curve within the UVB sites and in adjacent skin (outside) before and 24h after UVB inflammation. Significantly decreased compared with baseline values (*, Bon: P<0.01) or compared with the same probe used on the arm (#, Bon: P<0.01).
| Position inside before (kPa) | Position inside after (kPa) | Position outside before (kPa) | Position outside after (kPa) | |
|---|---|---|---|---|
| Arm, 1.0cm2 probe | 410 ± 45 | *244 ± 12 | 394 ± 44 | *264 ± 16 |
| Arm, 0.5cm2 probe | 655 ± 64 | *334 ± 24 | 631 ± 59 | *435 ± 24 |
| Arm, 0.03cm2 probe | 5474 ± 419 | *3558 ± 321 | 5588 ± 486 | *4419 ± 259 |
| Back, 1.0 cm2 probe | 438 ± 46 | *263 ± 21 | 449 ± 53 | *325 ± 31 |
| Back, 0.5 cm2 probe | 666 ± 67 | *310 ± 22 | 681 ± 69 | *490 ± 55 |
| Back, 0.03 cm2 probe | #4473 ± 336 | * #3195 ± 273 | #4587 ± 333 | *#3859 ± 289 |
An interaction between time and area in the ANOVA of the slope showed a significantly increased steepness 24h after irradiation compared with baseline both inside and outside the irradiated area (ANOVA: F1,15 = 6.3, P<0.05; Bon: P<0.01; Table 4). An interaction between time and probe in the ANOVA of the slope also showed that at baseline, the slope values for all three probe sizes were significantly different, but 24 h after irradiation there was a significant increase in the slope between the 0.03 cm2 probe and the two other probes (ANOVA: F2,14 = 8.1, P<0.01; Bon: P<0.01).
Mean (±SEM, N = 16) slope of the pressure-VAS stimulus–response curve within the UVB sites and in adjacent skin (outside) before and 24h after UVB inflammation. Significantly increased slope was observed compared with baseline values (*, Bon: P < 0.01).
| Slope inside before (mm/kPa) | Slope inside after (mm/kPa) | Slope outside before (mm/kPa) | Slope outside after (mm/kPa) | |
|---|---|---|---|---|
| Arm, 1.0cm2 probe | 0.58 ± 0.06 | *1.25 ± 0.37 | 0.70 ± 0.09 | *1.51 ± 0.32 |
| Arm, 0.5cm2 probe | 0.36 ± 0.03 | *1.11 ± 0.24 | 0.41 ± 0.05 | *0.64 ± 0.07 |
| Arm, 0.03cm2 probe | 0.06 ± 0.01 | *0.16 ± 0.05 | 0.08 ± 0.02 | *0.15 ± 0.05 |
| Back, 1.0 cm2 probe | 0.63 ± 0.06 | *1.10 ± 0.12 | 0.66 ± 0.06 | *0.78 ± 0.06 |
| Back, 0.5 cm2 probe | 0.34 ± 0.30 | *1.39 ± 0.32 | 0.38 ± 0.04 | *0.56 ± 0.06 |
| Back, 0.03 cm2 probe | 0.06 ± 0.01 | *0.20 ± 0.10 | 0.07 ± 0.01 | *0.08 ± 0.01 |
In the second experiment (EMLA experiment), using the 1cm2 probe, in the UVB side, 24h after irradiation, a decrease in pressure pain thresholds was present in 3 subjects in Q1 and Q3 and in 4 subjects in Q2 compared with baseline (Table 5). In the control side, 24h after irradiation a decrease in pressure pain thresholds was present in 3 subjects in all 3 points compared with baseline (Table 5). Using the 0.03cm2 probe, in the control side, 24h after irradiation, a decrease in pressure pain thresholds was present in 4 subjects in Q2 and Q3, whereas only 2 subjects presented a decrease in Q1. In the UVB side, 24h after irradiation, only few subjects developed hyperalgesia (Table 5). After EMLA cream application, in both sides and with both probes, no relevant changes were present (Table 5).
Percentages of subjects (N = 5) presenting changes (>10%, reduction:↓;increase: ↑) of the pin-prick and pressure pain thresholds (1.0cm2 and 0.03cm2 probes) in the control and the UVB sites 24h after UVB inflammation and after EMLA application.
| Pin-prick pain threshold | 24h after UVB | 24h after UVB and EMLA at Q1 | 24h after UVB and EMLA at Q1–Q2 |
|---|---|---|---|
| UVB side Q1 | 100% (↓) | 100% (↑) | 100% (↑) |
| UVB side Q2 | 100% (↓) | - | 40% (↑) |
| UVB side Q3 | 100% (↓) | 20% (↑) | 20% (↑) |
| Control side Q1 | 80% (↓) | 100% (↑) | 100% (↑) |
| Control side Q2 | 40% (↓) | - | 100% (↑) |
| Control side Q3 | 80% (↓) | 20% (↑) | - |
| Pressure pain thresholds | |||
| UVB side, 1.0cm2, Q1 | 60% (↓) | - | 20% (↑) |
| UVB side, 1.0cm2, Q2 | 80% (↓) | 20% (↑) | - |
| UVB side, 1.0cm2, Q3 | 60% (↓) | 20% (↑) | 20% (↑) |
| UVB side, 0.03cm2, Q1 | 20% (↓) | 40% (↑) | 40% (↑) |
| UVB side, 0.03cm2, Q2 | 40% (↓) | - | - |
| UVB side, 0.03cm2, Q3 | - | - | - |
| Control side, 1.0cm2, Q1 | 60% (↓) | 20% (↑) | 60% (↑) |
| Control side, 1.0cm2, Q2 | 60% (↓) | 20% (↑) | - |
| Control side, 1.0cm2, Q3 | 60% (↓) | 20% (↑) | - |
| Control side, 0.03cm2, Q1 | 40% (↓) | 20% (↑) | 20% (↑) |
| Control side, 0.03cm2, Q2 | 80% (↓) | - | - |
| Control side, 0.03cm2, Q3 | 80% (↓) | - | - |
4 Discussion
The present study showed that 24h after the UVB irradiation, primary and secondary cutaneous hyperalgesia to pin-prick were developed. In addition, for the first time, this study demonstrated that hyperalgesia could also be detected by pressure algometry suggesting interaction between cutaneous hyperalgesia and muscle hyperalgesia. However, it was not possible to evaluate if this phenomenon was mediated by central hyperexcitability or simply by convergence between the cutaneous and deep somatic nociceptive afferents.
4.1 UVB model
The UVB model is a translational inflammatory model which has been investigated both in animals and humans, and it is currently one of the standard models in pharmacological studies to screen novel analgesic and anti-inflammatory compounds [2,7,12,13,14]. The UVB model is characterized by changes in tissue perfusion and by increased thermal and mechanical sensitivity within the area of primary hyperalgesia [2]. However, the development of secondary thermal and mechanical hyperalgesia is controversial. Previous studies have demonstrated that UVB induces an area of hyperalgesia restricted to the irradiated site [2,8]. This finding was challenged by Gustorff and collaborators whereas secondary hyperalgesic area was found in humans [4,7,15]. This was in line with findings of Davies et al. observing a robust secondary mechanical hyperalgesia and allodynia in rats following UVB irradiation on the heel area of the plantar hind paw [12].
4.2 Skin blood flow responses
The development of the inflammatory response in the skin following UVB application was validated by laser Doppler imaging showing as expected intense vasodilatation at the irradiated site. The mechanism of UVB-induced vasodilatation remains unclear, but both humoral and neurogenic mechanisms may be involved. UVB inflammation releases a variety of vasoactive inflammatory mediators which may act directly on the vasculature [16].
In the present study, the skin blood flow increased more than 8-fold from baseline both in the arm and in the back. A small but significant increase in skin blood flow was also present 1.5cm outside the irradiated area. This observation is in line with the findings from Benrath et al. demonstrating a 10-fold increase in blood flow within the inflamed skin site and a significant increase outside the UVB-irradiated site [17]. By use of laser Doppler flowmetry, this group demonstrated a significant increased vasodilatation up to 1 cm outside the irradiated area in the forearm of healthy volunteers, which is in line with present findings but in contrast with the finding reported by Bishop and collaborators reporting no observable vascular reactions outside the UVB site [2,17]. The small difference between the two studies can be due to the difference in the applied UVB dose or in the methods of blood flow assessment. Bishop et al. did a visual inspection of the skin, but did not quantify skin blood flow by laser Doppler methods. It has previously been shown that significant vasodilatation can occur without any visible reaction [18].
4.3 Skin hyperalgesia to mechanical stimulation
UVB inflammation induces dose-dependent inflammation and peripheral sensitization to thermal and mechanical pain at the site of irradiation [19]. These reactions are likely due to activation of Aδ and C fibres based on evidences from animal studies and also release of pro-inflammatory mediators (IL-1β and IL-6) shown in human microdialysis studies [16]. However, the development of secondary mechanical hyperalgesia in UVB inflammation in humans and animals is controversial as inconsistent results have been presented [2,4,7,8,12].
In this study, both experiments showed pronounced cutaneous mechanical hyperalgesia within the irradiated area 24 h after irradiation, in agreement with previous studies [2,8]. In addition, an area of secondary hyperalgesia was demonstrated outside the irradiated area in both experiments. These findings are in agreement with the findings by Gustorff et al., but in contrast with the study by Bishop et al. showing mechanical hyperalgesia within but not outside the UVB-induced inflammation [2,4,7]. The discrepancies among individual studies may be due to methodological difference to assess secondary mechanical hyperalgesia [12]. In their most recent study, Gustorff and co-workers mapped the area of secondary hyperalgesia using a 25.6 g (256 mN) pin-prick stimulator and found a large area extending outside the irradiated area whereas Bishop et al. failed to show any secondary hyperalgesia after UVB inflammation using a 10 g von Frey filament [2,4]. In the present study, the intensity of secondary hyperalgesia to mechanical stimulation was shown using weight-calibrated pin-prick in line with Gustorff et al. Most likely the pin prick stimulation may mainly activate Aδ fibres in the skin [20,21].
4.4 Pressure algometry
Pressure algometry was used with different probe sizes and shapes to study sensory reactions in superficial and deep tissues. Previous studies using 3D computer modelling suggested and proved that probes with large surface area (e.g. 1 cm2 or more) are more suitable for deep tissue stimulation, as the activation of deep tissue nociceptors is related to the strain (i.e. deformation) of the muscle tissue, and this deformation change in relation to the probe used [22,23,24].
In the present study the thresholds detected with a small probe (0.03 cm2) were smaller than the thresholds detected with the larger probes (1.0 cm2, 0.5 cm2) when not adjusting for the probe area; i.e. less absolute force is needed to induce pain with the small probe than with a large diameter probe. This is in line with the finding reported by other authors [25,26]. Studies aiming at activation of nociceptors in skin and deep tissues have found increasing threshold with increasing probe size [25,26]. In order to minimize the effect of the 1.0 cm2, 0.5 cm2 probes on the skin, these two probes are covered with a rubber disc so that the effect of the shear strains in the skin can be reduced [22]. This is in line with the Fischer algesiometer which has been recommended for measurement of the muscle pain thresholds [27,28]. Moreover, the decrease after UVB in PPT and PPTO using a 1 cm2 probe suggests that larger probes may also activate nociceptors in both skin and deeper tissues in the presence of hyperalgesia [22]. In a recent study assessing cutaneous hyperalgesia induced by capsaicin patches no effects were found on the pressure pain thresholds on the forehead of healthy volunteers [29]. Other studies have found reduced pressure pain threshold following intradermal injections of capsaicin in the forehead but these findings are likely influenced by very little deep-tissue to be stimulated and by a more effective compression of the dermal nociceptors caused by the hard foundation [30,31]. Thus, the reduced pressure pain thresholds both inside and outside the irradiated area may also be influenced by sensitized responses of deep-tissue nociceptors.
The present study revealed for the first time that 24h after UVB exposure, the SR curve was left-shifted, with an increased slope both inside and outside the irradiated area, and the probe shape influenced the slope. The analysis of the slope for the V-shaped probe suggests that the subjects raised the VAS scale faster than with the other two probes both within and outside the irradiated area indicating the strongest sensitization effects in the skin.
4.5 Effect of topical anaesthesia
The application of local anaesthetic cream (EMLA) is commonly used to diminish pain from cutaneous procedures [32]. It is also well known that its efficacy is highly influenced by multiple factors such as skin thickness and regional anatomical differences [33,34,35]. In the present study, after application of EMLA cream in the control side, the pin-prick thresholds were increased in the application area compared with baseline, demonstrating the effectiveness of the cutaneous anaesthesia induced by the EMLA cream in non-inflamed skin. The anaesthetic effect of EMLA cream was detected after EMLA cream application in the UVB side, but only in Q1. This illustrates that the application of a topical anaesthetic cream had no effect on the UVB sensitized skin, but only in the surrounding area. Independently from the used pressure probe, no systematic effect of the EMLA cream was reported in PPT. A recent study conducted by Rössler and collaborators, showed no alteration in the development of mechanical hyperalgesia at 8h after UVB irradiation following peripheral afferent blockade with local anaesthetic, highlighting that the EMLA cream does not have an effect if it is administrated after establishment of hyperalgesia [36]. In the present study the anaesthetic cream was applied not as a pre-treatment but 24h after UVB application that corresponds to the peak of the UVB-induced cutaneous hyperalgesia. This can explain the lack of EMLA effect in the UVB-treated area. Moreover, in the irradiated area, only part of the irradiated skin was treated with EMLA and this portion of irradiated non-anesthetized skin might also contribute to the pain reported after anaesthesia. Finally, in this study, the pressure pain thresholds resulted relatively unchanged after EMLA application in both sides. This is in line with several studies showing both decreased and unchanged pressure pain sensitivity after EMLA application [37,38,39]. The UVB-induced hyperalgesia assessed by pressure pain thresholds were relatively unchanged by anesthetizing the skin substantiating the proposition that also the deeper-structures are sensitized due to the cutaneous UVB sensitization potentially through a central mechanism or by convergence between the cutaneous and deep somatic nociceptive afferents.
5 Conclusion
This study demonstrated that UVB irradiation of the skin not only provokes cutaneous primary and secondary hyperalgesia but also causes deep tissue hyperalgesia to mechanical stimulation suggesting sensitization of the underlying deep somatic structures. Further studies are needed to investigate potential underlying mechanisms.
6 Implications
The UVB model can be used as a translational model from animals to human subjects to study mechanism underlying pain and inflammation or to identify drugs affecting cutaneous inflammation or hypersensitivity. The UVB model can also be served as an experimental tool for screening novel therapeutics in early stages of drug development.
Highlights
Investigate if UVB irradiation facilitates pain responses from the deep tissues.
One day after irradiation, UVB irradiation induced increased skin blood flow.
UVB irradiation reduced the pin-prick, pressure pain thresholds and tolerance.
Left-shifted stimulus–response curve indicated primary and secondary hyperalgesia.
DOI of refers to article: http://dx.doi.org/10.1016/j.sjpain.2014.08.004.
-
Conflict of interest: The authors have no conflict of interest.
Acknowledgements
The authors would like to thank Knud Larsen for his technical assistance.
References
1 Ferrero-Miliani L, Nielsen OH, Andersen PS, Girardin SE. Chronic inflammation: importance of NOD2 and NALP3 in interleukin-1beta generation. Clin Exp Immunol 2007;147:227–35.Search in Google Scholar
2 Bishop T, Ballard A, Holmes H, Young AR, McMahon SB. Ultraviolet-B induced inflammation of human skin: characterisation and comparison with traditional models of hyperalgesia. Eur J Pain 2009;13:524–32.Search in Google Scholar
3 Bishop T, Marchand F, Young AR, Lewin GR, McMahon SB. Ultraviolet-B-induced mechanical hyperalgesia: a role for peripheral sensitisation. Pain 2010;150:141–52.Search in Google Scholar
4 Gustorff B, Sycha T, Lieba-Samal D, Rolke R, Treede RD, Magerl W. The pattern and time course of somatosensory changes in the human UVB sunburn model reveal the presence of peripheral and central sensitization. Pain 2013;154:586–97.Search in Google Scholar
5 Clauw DJ, Arnold LM, McCarberg BH, Fibro Collaborative. The science of fibromyalgia. Mayo Clinic Proc Mayo Clinic 2011;86:907–11.Search in Google Scholar
6 Meeus M, Vervisch S, De Clerck LS, Moorkens G, Hans G, Nijs J. Central sensitization in patients with rheumatoid arthritis: a systematic literature review. Semin Arthritis Rheum 2012;41:556–67.Search in Google Scholar
7 Gustorff B, Hoechtl K, Sycha T, Felouzis E, Lehr S, Kress HG. The effects of remifentanil and gabapentin on hyperalgesia in a new extended inflammatory skin pain model in healthy volunteers. Anesth Analg 2004;98:401–7.Search in Google Scholar
8 Harrison GI, Young AR, McMahon SB. Ultraviolet radiation-induced inflammation as a model for cutaneous hyperalgesia. JInvest Dermatol 2004;122:183–9.Search in Google Scholar
9 Srbely JZ, Dickey JP, Bent LR, Lee D, Lowerison M. Capsaicin-induced central sensitization evokes segmental increasesin trigger point sensitivity in humans. J Pain 2010;11:636–43.Search in Google Scholar
10 Staud R. Is it all central sensitization? Role of peripheral tissue nociception in chronic musculoskeletal pain. Curr Rheumatol Rep 2010;12:448–54.Search in Google Scholar
11 Shepard D. A two-dimensional interpolation function for irregularly-spaced data. In: Proceedings of the 1968 23rd ACM national conference: ACM. 1968. p. 517–24.Search in Google Scholar
12 Davies EK, Boyle Y, Chizh BA, Lumb BM, Murrell JC. Ultraviolet B-induced inflammation in the rat: a model of secondary hyperalgesia? Pain 2011;152:2844–51.Search in Google Scholar
13 Mørch CD, Gazerani P, Nielsen TA, Arendt-Nielsen L. The UVB cutaneous inflammatory pain model: a reproducibility study in healthy volunteers. Int J Physiol Pathophysiol Pharmacol 2013;5:203–15.Search in Google Scholar
14 Sycha T, Anzenhofer S, Lehr S, Schmetterer L, Chizh B, Eichler H-G, Gustorff B. Rofecoxib attenuates both primary and secondary inflammatory hyperalgesia: a randomized, double blinded, placebo controlled crossover trial in the UV-B pain model. Pain 2005;113:316–22.Search in Google Scholar
15 Gustorff B, Anzenhofer S, Sycha T, Lehr S, Kress HG. The sunburn pain model: the stability of primary and secondary hyperalgesia over 10h in a crossover setting. Anesth Analg 2004;98:173–7.Search in Google Scholar
16 Angst MS, Clark JD, Carvalho B, Tingle M, Schmelz M, Yeomans DC. Cytokine profile in human skin in response to experimental inflammation, noxious stimulation, and administration of a COX-inhibitor: a microdialysis study. Pain 2008;139:15–27.Search in Google Scholar
17 Benrath J, Gillardon F, Zimmermann M. Differential time courses of skin blood flow and hyperalgesia in the human sunburn reaction following ultraviolet irradiation of the skin. Eur J Pain 2001;5:155–67.Search in Google Scholar
18 Petersen LJ, Church M, Skov PS. Histamine is released in the wheal but not the flare following challenge of human skin in vivo: a microdialysis study. Clin Exp Allergy 1997;27:284–95.Search in Google Scholar
19 Hoffmann RT, Schmelz M. Time courseo fUVA- and UVB-induced inflammation and hyperalgesia in human skin. Eur J Pain 1999;3:131–9.Search in Google Scholar
20 Marchand S. The Phenomenon of Pain. Seattle, WA, USA: International Association for Study of Pain (ISAP) Press; 2012. www.iasp-pain.orgSearch in Google Scholar
21 Walk D, Sehgal N, Moeller-Bertram T, Edwards RR, Wasan A, Wallace M, Irving G, Argoff C, Backonja MM. Quantitative sensory testing and mapping: a review of nonautomated quantitative methods for examination of the patient with neuropathic pain. Clin J Pain 2009;25:632–40.Search in Google Scholar
22 Finocchietti S, Nielsen M, Morch CD, Arendt-Nielsen L, Graven-Nielsen T. Pressure-induced muscle pain and tissue biomechanics: a computational and experimental study. Eur J Pain 2011;15:36–44.Search in Google Scholar
23 Takahashi K, Mizumura K. 3-D finite element analysis of stresses in the epidermis and the muscle given by a transcutaneous pressure. Jpn J Physiol 2004;54:S175.Search in Google Scholar
24 Takahashi K, Taguchi T, Itoh K, Okada K, Kawakita K, Mizumura K. Influence of surface anesthesia on the pressure pain threshold measured with different-sized probes. Somatosens Mot Res 2005;22:299–305.Search in Google Scholar
25 Greenspan JD, McGillis SL. Stimulus features relevant to the perception of sharpness and mechanically evoked cutaneous pain. Somatosens Mot Res 1991;8:137–47.Search in Google Scholar
26 Jensen K, Andersen HO, Olesen J, Lindblom U. Pressure-pain threshold in human temporal region. Evaluation of a new pressure algometer. Pain 1986;25:313–23.Search in Google Scholar
27 Fischer AA. Pressure algometry over normal muscles. Standard values, validity and reproducibility of pressure threshold. Pain 1987;30:115–26.Search in Google Scholar
28 Offenbacher M, Stucki G. Physical therapy in the treatment of fibromyalgia. Scand J Rheumatol Suppl 2000;113:78–85.Search in Google Scholar
29 Knudsen L, Drummond PD. Cutaneous limb inflammation produces analgesia to pressure pain in the ipsilateral forehead of healthy volunteers. J Pain 2011;12:451–9.Search in Google Scholar
30 Finocchietti S, Morch CD, Arendt-Nielsen L, Graven-Nielsen T. Effects of adipose thickness and muscle hardness on pressure pain sensitivity. Clin J Pain 2011;27:414–24.Search in Google Scholar
31 Gazerani P, Andersen OK, Arendt-Nielsen L. A human experimental cap-saicin model for trigeminal sensitization. Gender-specific differences. Pain 2005;118:155–63.Search in Google Scholar
32 Taddio A, Ohlsson A, Einarson TR, Stevens B, Koren G. A systematic review of lidocaine-prilocaine cream (EMLA) in the treatment of acute pain in neonates. Pediatrics 1998;101:E1.Search in Google Scholar
33 Arendt-Nielsen L, Bjerring P. Laser-induced pain for evaluation of local analgesia a comparison of topical application (EMLA) and local injection (lidocaine). Anesth Analg 1988;67:115–23.Search in Google Scholar
34 Bjerring P, Arendt-Nielsen L. Depth and duration of skin analgesia to needle insertion after topical application of EMLA cream. Br J Anaesth 1990;64: 173–7.Search in Google Scholar
35 Nielsen J, Arendt-Nielsen L, Bjerring P, Svensson P. The analgesic effect of EMLA creamon facial skin. Quantitative evaluation using argon laser stimulation. Acta Derm Venereol 1992;72:281.Search in Google Scholar
36 Rössler B, Paul A, Schuch M, Schulz M, Sycha T, Gustorff B. Central origin of pinprick hyperalgesia adjacent to an UV-B induced inflammatory skin pain model in healthy volunteers. Scand J Pain 2013;4:40–5.Search in Google Scholar
37 Graven-Nielsen T, Babenko V, Svensson P, Arendt-Nielsen L. Experimentally induced muscle pain induces hypoalgesia in heterotopic deep tissues, but not in homotopic deep tissues. Brain Res 1998;787:203–10.Search in Google Scholar
38 Kosek E, Ekholm J, Hansson P. Increased pressure pain sensibility in fibromyalgia patients is located deep to the skin but not restricted to muscle tissue. Pain 1995;63:335–9.Search in Google Scholar
39 Laursen RJ, Graven-Nielsen T, Jensen TS, Arendt-Nielsen L. Referred pain is dependent on sensory input from the periphery: a psychophysical study. Eur J Pain 1997;1:261–9.Search in Google Scholar
© 2014 Scandinavian Association for the Study of Pain
Articles in the same Issue
- Editorial comment
- Erythromelalgia – A dramatic pain of genetic origin, revealing pain mechanisms with implications for neuropathic pain in general
- Clinical pain research
- Exonic mutations in SCN9A (NaV1.7) are found in a minority of patients with erythromelalgia
- Editorial comment
- The whiplash enigma: Still searching for answers
- Clinical pain research
- Symptoms, disabilities, and life satisfaction five years after whiplash injuries
- Editorial comment
- Persistent post-surgical pain (PPP) reduced by high-quality management of acute pain extended to sub-acute pain at home
- Clinical pain research
- Managing post-thoracotomy pain: Epidural or systemic analgesia and extended care – A randomized study with an “as usual” control group
- Editorial comment
- Sinomenine against neuropathic pain hypersensitivity
- Original experimental
- Repeated sinomenine administration alleviates chronic neuropathic pain-like behaviours in rodents without producing tolerance
- Editorial comment
- The interactions between cutaneous and deep pain
- Original experimental
- Hyperalgesia and allodynia to superficial and deep-tissue mechanical stimulation within and outside of the UVB irradiated area in human skin
- Editorial comment
- Low health related quality of life (QoL) in older adults is associated with chronic pain in women and with disturbed sleep in men
- Observational study
- Relationship between pain and Quality of Life—Findings from the Swedish National Study on Aging and Care—Blekinge study
Articles in the same Issue
- Editorial comment
- Erythromelalgia – A dramatic pain of genetic origin, revealing pain mechanisms with implications for neuropathic pain in general
- Clinical pain research
- Exonic mutations in SCN9A (NaV1.7) are found in a minority of patients with erythromelalgia
- Editorial comment
- The whiplash enigma: Still searching for answers
- Clinical pain research
- Symptoms, disabilities, and life satisfaction five years after whiplash injuries
- Editorial comment
- Persistent post-surgical pain (PPP) reduced by high-quality management of acute pain extended to sub-acute pain at home
- Clinical pain research
- Managing post-thoracotomy pain: Epidural or systemic analgesia and extended care – A randomized study with an “as usual” control group
- Editorial comment
- Sinomenine against neuropathic pain hypersensitivity
- Original experimental
- Repeated sinomenine administration alleviates chronic neuropathic pain-like behaviours in rodents without producing tolerance
- Editorial comment
- The interactions between cutaneous and deep pain
- Original experimental
- Hyperalgesia and allodynia to superficial and deep-tissue mechanical stimulation within and outside of the UVB irradiated area in human skin
- Editorial comment
- Low health related quality of life (QoL) in older adults is associated with chronic pain in women and with disturbed sleep in men
- Observational study
- Relationship between pain and Quality of Life—Findings from the Swedish National Study on Aging and Care—Blekinge study