Associations of Cytokine Concentrations With Key Osteopathic Lesions and Clinical Outcomes in Patients With Nonspecific Chronic Low Back Pain: Results From the OSTEOPATHIC Trial
-
John C. Licciardone
, Cathleen M. Kearns , Lisa M. Hodge and Michael V.W. Bergamini
Abstract
Context: Little is known about the role that cytokines play in osteopathic manual treatment (OMT) of patients with chronic low back pain (LBP).
Objective: To measure the baseline concentrations of interleukin (IL)-1β, IL-6, IL-8, IL-10, and tumor necrosis factor (TNF)-α in patients with chronic LBP; the correlations of these cytokine concentrations with clinical measures, including the number of key osteopathic lesions; the changes in cytokine concentrations with OMT; and the association of such changes with clinical outcomes.
Design: Substudy nested within a randomized controlled trial of OMT for nonspecific chronic LBP.
Setting: University-based study in Dallas-Fort Worth, Texas.
Patients: Seventy adult research patients with nonspecific chronic LBP.
Main Outcome Measures: A 10-cm visual analog scale, the Roland-Morris Disability Questionnaire, and the Medical Outcomes Study Short Form-36 Health Survey were used to measure LBP severity, back-specific functioning, and general health, respectively.
Results:At baseline, IL-1β (ρ=0.33; P=.005) and IL-6 (ρ=0.32; P=.006) were each correlated with the number of key osteopathic lesions; however, only IL-6 was correlated with LBP severity (ρ=0.28; P=.02). There was a significantly greater reduction of TNF-α concentration after 12 weeks in patients who received OMT compared with patients who received sham OMT (Mann-Whitney U=251.5; P=.03). Significant associations were found between OMT and a reduced TNF-α concentration response at week 12 among patients who achieved moderate (response ratio, 2.13; 95% confidence interval [CI], 1.11-4.06; P=.006) and substantial (response ratio, 2.13; 95% CI, 1.07-4.25; P=.01) LBP improvements, and improvement in back-specific functioning (response ratio, 1.68; 95% CI, 1.04-2.71; P=.03).
Conclusions: This study found associations between IL-1β and IL-6 concentrations and the number of key osteopathic lesions and between IL-6 and LBP severity at baseline. However, only TNF-α concentration changed significantly after 12 weeks in response to OMT. These discordant findings indicate that additional research is needed to elucidate the underlying mechanisms of action of OMT in patients with nonspecific chronic LBP.
Abstract
The OSTEOPAThic Health outcomes In Chronic low back pain Trial (OSTEOPATHIC Trial) was a randomized controlled trial designed to study the effects of osteopathic manual treatment in managing chronic low back pain. In this article, the authors report the baseline cytokine concentrations in patients with chronic low back pain; the correlations of these cytokine concentrations with clinical measures, including the number of key osteopathic lesions; the changes in cytokine concentrations with osteopathic manual treatment; and the association of such changes with clinical outcomes.
Osteopathic manual treatment (OMT) is commonly used for a variety of musculoskeletal conditions, including low back pain (LBP). A systematic review and meta-analysis of 6 randomized controlled trials1-6 demonstrated that OMT significantly reduced low back pain.7 Subsequently, these findings led to the development and publication of the first and only clinical practice guideline established by the American Osteopathic Association.8 This guideline, which has been accepted by the Agency for Healthcare Research and Quality for posting on its National Guideline Clearinghouse,9 recommends that osteopathic physicians use OMT in the care of patients with LBP.
During the past decade, a small, emerging body of research has explored biomarker response to OMT for a variety of musculoskeletal conditions. Investigations have included nitric oxide response in blood and vasculature following fluidic motions “comparable to manipulations”10; cytokine and growth factor responses to in vitro modeling of repetitive motion (strain) injuries and “modeled OMT”11-14; endocannabinoid responses in healthy volunteers subjected to OMT15; and various biomarker responses in a pilot study of OMT administered to participants with and without chronic LBP.16 Nevertheless, the American Osteopathic Association guideline recommends further research to elucidate mechanistically how OMT exerts its effects in patients with LBP.8 The present study, nested within the OSTEOPAThic Health outcomes In Chronic low back pain (OSTEOPATHIC) Trial,17 assesses the associations of cytokine concentrations with somatic dysfunction, LBP severity, back-specific functioning, and general health, and further explores cytokine responses to OMT in patients with chronic LBP.
Methods
The OSTEOPATHIC Trial and Overview of the Present Study
The OSTEOPATHIC Trial and the present nested substudy were approved by the Institutional Review Board at the University of North Texas Health Science Center. The OSTEOPATHIC Trial was registered with ClinicalTrials.gov (NCT00315120) prior to enrolling research patients. Methodologic aspects of the OSTEOPATHIC Trial have been reported in detail elsewhere.17 We used a randomized, double-blind, sham-controlled, 2×2 factorial design to study the efficacy of OMT and ultrasound therapy (UST) in 455 patients with nonspecific chronic LBP. The present study was nested within the OSTEOPATHIC Trial after November 2009. Baseline cytokine measures were performed using blood samples acquired from 70 patients who consented to be part of this optional component of the trial. Fifty-five of these patients also provided blood samples at week 12.
Inclusion and Exclusion Criteria
Patients were adults 21 to 69 years of age, were not pregnant, and did not have any of the following: LBP “red flag” conditions; history of recent low back surgery, receipt of worker's compensation benefits or ongoing litigation involving back problems; medical conditions that might impede OMT or UST protocol implementation; corticosteroid use in the past month; or evidence of lumbar radiculopathy, as determined by clinical testing for ankle dorsiflexion weakness, great toe extensor weakness, impaired ankle reflexes, loss of light touch sensation in the medial, dorsal, and lateral aspects of the foot, ipsilateral straight-leg raising, and crossed straight-leg raising.18 The baseline LBP severity criterion for eligibility was calibrated over time to optimize the spectrum of patients with chronic LBP in the OSTEOPATHIC Trial. Originally, there was no eligibility threshold for baseline LBP severity. However, from November 2009 through August 2010, a baseline visual analog scale (VAS) pain score of at least 4 of 10 cm was required for eligibility. Thereafter, for the remainder of the trial, the eligibility criterion was lowered to at least 2 of 10 cm. Patients were enrolled in the present study during both periods under the prevailing eligibility criterion. The impact of these eligibility criteria was that the subset of 70 patients in the present study generally had greater LBP severity, and both poorer back-specific functioning and general health, than the overall sample of 455 patients in the OSTEOPATHIC Trial.
Baseline Somatic Dysfunction and Key Osteopathic Lesions
Each patient received an osteopathic structural examination prior to randomization, the methodology and results of which have been previously reported.19 The musculoskeletal table of the Outpatient Osteopathic SOAP Note Form20 was completed as part of this examination, including an assessment of somatic dysfunction in the thoracic 10-12, ribs, lumbar, sacrum/pelvis, and pelvis/innominate regions. A 4-point classification system was used to record the severity of somatic dysfunction in each region: none, 0; mild, 1; moderate, 2; and severe, 3. Severity was determined using the TART criteria (ie, Tissue texture abnormality, Asymmetry, Restriction of motion, and Tenderness). This study focused on the presence or absence of severe (class 3) somatic dysfunction in each anatomic region, as represented by the descriptors “key lesion present,” “significant,” “symptomatic,” and “restriction of motion and/or tissue texture abnormality stands out with minimum search or provocation.”20 Herein, we use the descriptor “key osteopathic lesion” to signify the presence of class 3 somatic dysfunction in a given anatomic region. Thus, the total number of anatomic regions with such key osteopathic lesions could potentially range from 0 to 5.
Measurement of Cytokine Concentrations
Each patient in this study agreed to have blood drawn from an antecubital vein for cytokine measurements, including interleukin (IL)-1β, IL-6, IL-8, IL-10, and tumor necrosis factor (TNF)-α. The pre- and posttreatment blood samples were taken 30 minutes prior to the first treatment session and at the week 12 exit visit, which occurred 4 weeks after the last treatment session. The venous blood was centrifuged at 1200g for 15 minutes at 4 °C. Serum samples were then aliquoted and stored at −20 °C for analysis. Serum samples were either analyzed unconcentrated or concentrated prior to testing using Centriprep centrifugal filter units with YM-3 3000 MW filters (EMD Millipore, Billerica, Massachusetts).
Cytokine concentrations were measured using the commercially available Milliplex MAP human cytokine kit (EMD Millipore, Billerica, Massachusetts). Briefly, 25 μL of serum, standard, or control were added to the appropriate wells. Then, 25 μL of the mixed or premixed cytokine assay beads were added to each well. Plates were sealed and incubated on a plate shaker overnight at 4 °C. Then, plates were washed 2 times with 200 μL/well of wash buffer, and 25 μL of detection antibodies was added to each well. Plates were sealed and incubated on a plate shaker for 1 hour at room temperature (20° to 25°C). Then, 25 μL of streptavidin-phycoerythrin conjugate was added to each well containing the 25 μL of detection antibodies, and plates were sealed and incubated on a plate shaker for 30 minutes at room temperature (20° to 25°C). Plates were washed 2 times with 200 μL/well of wash buffer, and 150 μL of sheath fluid was added to all wells. The assay beads were resuspended on a plate shaker for 5 minutes. Plates were run on the Bio-Plex 100 System (Bio-Rad Life Science Research, Hercules, California). The Bio-Plex Manager software was used to determine cytokine concentrations from relative median fluorescent intensity (RMFI) responses, using linear or 5-parameter logistic curve-fitting methods. Concentrations were determined from the cytokine standard curves extrapolated to 0 RMFI. Cytokine concentrations determined to be at or below 0 pg/mL were recorded as 0 pg/mL.
The OMT and Sham OMT Protocols
Six OMT sessions were provided at weeks 0, 1, 2, 4, 6, and 8 using an algorithmic approach. The OMT techniques were delivered within 15 minutes, following a standard diagnostic evaluation21 at each treatment session. Unless contraindicated, treatment included high-velocity, low-amplitude thrusts; moderate-velocity, moderate-amplitude thrusts; soft-tissue stretching, kneading, and pressure; myofascial stretching and release; positional treatment of myofascial tender points; and patient isometric muscle activation against provider unyielding and equal counterforce. These techniques were primarily aimed at the lumbosacral, iliac, and pubic regions.
Sham OMT was provided on the same timetable, was delivered with the same constraints, and was aimed at the same anatomic regions as active OMT. Sham OMT involved hand contact, active and passive range of motion, and sham techniques that simulated OMT but that used such maneuvers as light touch, improper patient positioning, purposely misdirected movements, and diminished provider force. Similar methods achieved a robust placebo response in the North Texas Chronic Low Back Pain Trial,6 compared with other placebo treatments for pain.22 These methods have been adopted by others to deliver sham manipulation.23
Baseline and Repeated Clinical Measures
The primary clinical outcome of interest in the OSTEOPATHIC Trial was LBP severity, as measured by a 10-cm VAS.24 Additionally, the Roland-Morris Disability Questionnaire (RMDQ)25 and the Medical Outcomes Study Short Form-36 Health Survey (SF-36)26 were administered to assess back-specific functioning and general health, respectively. Outcome measures were performed prior to treatment and periodically thereafter during the 12-week course of study. The primary pain outcomes were assessed at 12 weeks using response thresholds consistent with the Initiative on Methods, Measurement, and Pain Assessment in Clinical Trials (IMMPACT) consensus statement27: moderate improvement in LBP (≥30% pain reduction from baseline VAS score) and substantial improvement in LBP (≥50% pain reduction from baseline VAS score). Such pain reductions are highly sensitive and specific in predicting global impression of change in patients with chronic pain.28 A positive response for back-specific functioning was also based on an approximate 30% improvement from baseline,29 which corresponded to a 2-point reduction on the RMDQ. A 5-point elevation in the SF-36 general health score was considered to be a clinically and socially relevant response.26
Statistical Analysis
Descriptive statistics were used to explore the baseline characteristics of the 70 patients in the present study, including their cytokine concentrations and clinical measures. The underlying distributions of the 5 cytokines demonstrated that only the baseline TNF-α concentration and its corresponding change over 12 weeks were normally distributed. Consequently, we relied on nonparametric statistical methods for most analyses. The median and interquartile range (IQR) were used as measures of central tendency and dispersion, respectively. The Spearman rank correlation coefficient (ρ) was used to measure correlations among the 5 cytokine concentrations (IL-1β, IL-6, IL-8, IL-10, and TNF-α) and 4 clinical measures (number of key osteopathic lesions, VAS pain score, RMDQ score, and SF-36 general health score). The Mann-Whitney U test was used to compare the OMT and sham OMT groups with regard to changes in cytokine concentrations after 12 weeks. Response ratios were computed for any cytokines with statistically significant differences between the OMT and sham OMT groups with regard to change in cytokine concentrations after 12 weeks. The response ratio was computed as the ratio of the percentage of patients who experienced a reduced cytokine concentration after 12 weeks in the OMT group as compared with the corresponding percentage in the sham OMT group. No analyses were performed to assess OMT efficacy, as this subset of 70 patients (38 in the OMT group and 32 in the sham OMT group) did not provide sufficient statistical power to adequately address this issue.17 The results were not adjusted for concomitant UST group assignments because these were randomly distributed among the OMT and sham OMT groups, and UST was not found to be efficacious in preliminary analyses. Database management and analyses were performed with the IBM SPSS Statistics software package (version 20; IBM Corporation, Armonk, New York). Hypo thesis testing was conducted at the .05 level of statistical significance.
Results
The baseline characteristics of the 70 patients are presented in Table 1. The median (IQR) age was 38 (23) years, and 40 patients (57%) were women. Forty-two patients (60%) had LBP for longer than 1 year. Relatively few patients had been hospitalized for LBP, and none had surgery for LBP. Thirty-nine patients (57%) had used nonprescription drugs for LBP in the previous 4 weeks; however, only 11 patients (16%) used prescription drugs for LBP during this period. The numbers of patients declined with increasing numbers of key osteopathic lesions.
Baseline Patient Characteristics by Treatment Groupa
| Treatment Group | |||
|---|---|---|---|
| Characteristic, No. (%)b | Overall (n=70) | OMT (n=38) | Sham OMT (n=32) |
| Age, median (IQR), y | 38 (23) | 37 (27) | 38 (20) |
| Women | 40 (57) | 24 (63) | 16 (50) |
| Completed College Education | 28 (40) | 16 (42) | 12 (38) |
| Employed Full Time | 21 (30) | 13 (34) | 8 (25) |
| Medically Uninsured | 31 (44) | 15 (40) | 16 (50) |
| Current Smokers | 19 (27) | 10 (26) | 9 (28) |
| Comorbid Conditions | |||
| Hypertension | 13 (19) | 8 (21) | 5 (16) |
| Diabetes mellitus | 7 (10) | 4 (11) | 3 (9) |
| Osteoarthritis | 7 (10) | 3 (8) | 4 (13) |
| Depression | 25 (36) | 14 (37) | 11 (34) |
| Chronic LBP >1 y | 42 (60) | 23 (61) | 19 (59) |
| Previously Hospitalized for LBP | 5 (7) | 4 (11) | 1 (3) |
| Previously Had Surgical Procedure for LBP | 0 | 0 | 0 |
| VAS Score for LBP, median (IQR), cmc | 6.0 (2.0) | 6.0 (1.9) | 6.1 (2.5) |
| RMDQ Score, median (IQR)d | 7 (8) | 7 (7) | 9 (10) |
| SF-36 General Health Score, median (IQR)e | 67 (38) | 62 (33) | 72 (44) |
| Used Drugs for LBP in Previous 4 wk | |||
| Nonprescription | 39 (56) | 21 (55) | 18 (56) |
| Prescription | 11 (16) | 3 (8) | 8 (25) |
| Key Osteopathic Lesions | |||
| ≤1 | 40 (57) | 23 (61) | 17 (53) |
| ≥2 | 30 (43) | 15 (39) | 15 (47) |
| Cytokine Concentrations, median (IQR), pg/mL | |||
| IL-1β | 0.0 (0.4) | 0.0 (0.3) | 0.0 (0.5) |
| IL-6 | 0.7 (2.1) | 0.8 (2.9) | 0.5 (1.3) |
| IL-8 | 5.5 (4.8) | 5.6 (4.4) | 5.4 (5.7) |
| IL-10 | 1.3 (1.3) | 1.4 (1.6) | 1.3 (1.0) |
| TNF-α | 5.7 (3.6) | 5.8 (3.3) | 5.4 (4.2) |
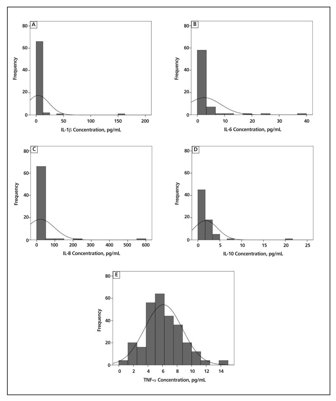
The overall and treatment group–specific baseline cytokine concentrations are summarized in Table 1. As shown in the Figure, baseline concentrations for TNF-α were normally distributed. For all other cytokines, baseline concentrations were not normally distributed (Shapiro-Wilk test, P<.001). The Spearman rank correlation coefficients for cytokine concentrations and clinical measures are presented in Table 2. Eight of the 10 pairwise correlations among cytokine concentrations achieved statistical significance. The 3 strongest pairwise correlations were IL-1β/IL-6 (ρ=0.38; P=.001); IL-6/IL-10 (ρ=0.37; P=.002); and IL-8/TNF-α (ρ=0.35; P=.003). Further, IL-1β (ρ=0.33; P=.005) and IL-6 (ρ=0.32; P=.006) concentrations were each correlated with the number of key osteopathic lesions. Interleukin-6 concentration was correlated with LBP severity (ρ=0.28; P=.02) to a lesser degree. The strongest pairwise correlation reflected an inverse relationship between back-specific functioning and general health (ρ=−0.53; P<.001). There was no statistically significant association between any baseline cytokine concentration and duration of chronic LBP.

Distributions of concentrations for interleukin (IL)-1β (A), IL-6 (B), IL-8 (C), IL-10 (D), and tumor necrosis factor (TNF)-α (E) at baseline for patients with nonspecific chronic low back pain (n=70). Tumor necrosis factor was the only cytokine concentration that was normally distributed. P<.001 for all other distributions using the Shapiro-Wilk test.
Correlations Among Cytokine Concentrations and Clinical Measures at Baselinea
| Cytokine Concentration | Clinical Measure | ||||||||
|---|---|---|---|---|---|---|---|---|---|
| Variable | IL-1β | IL-6 | IL-8 | IL-10 | TNF-α | Key Osteopathic Lesions | VAS for LBPb | RMDQc | SF-36General Health Scaled |
| Cytokine Concentration | |||||||||
| IL-1β | … | 0.38 (.001) | 0.18 (.13) | 0.31 (.01) | 0.13 (.30) | 0.33 (.005) | 0.17 (.15) | 0.11 (.34) | −0.20 (.10) |
| IL-6 | … | … | 0.23 (.06) | 0.37 (.002) | 0.26 (.03) | 0.32 (.006) | 0.28 (.02) | 0.14 (.25) | −0.16 (.18) |
| IL-8 | … | … | … | 0.30 (.01) | 0.35 (.003) | 0.00 (.99) | 0.10 (.42) | 0.17 (.17) | 0.05 (.68) |
| IL-10 | … | … | … | … | 0.26 (.03) | 0.09 (.45) | 0.06 (.65) | 0.20 (.10) | −0.07 (.55) |
| TNF-α | … | … | … | … | … | −0.15 (.22) | 0.10 (.41) | 0.17 (.16) | −0.07 (.55) |
| Clinical Measure | |||||||||
| Key osteopathic lesions | … | … | … | … | … | … | 0.21 (0.08) | 0.08 (0.49) | −0.15 (.20) |
| VAS for LBPb | … | … | … | … | … | … | … | 0.27 (0.02) | −0.28 (.02) |
| RMDQc | … | … | … | … | … | … | … | … | −0.53 (<.001) |
| SF-36 general health scaled | … | … | … | … | … | … | … | … | … |
As with baseline cytokine concentrations, only changes in TNF-α concentrations were normally distributed (Shapiro-Wilk test, P<.001 for changes in each other cytokine). In contrast to 8 significant pairwise correlations among the baseline cytokine concentrations, there were only 3 marginally significant pairwise correlations for changes in cytokine concentrations (IL-6/IL-10; IL-8/TNF-α; and IL-10/TNF-α). As shown in Table 3, analysis of the 55 patients with complete pre- and posttreatment measures of cytokine concentrations (28 patients in the OMT group and 27 patients in the sham OMT group) demonstrated a significantly greater reduction in TNF-α concentration in patients who received OMT (Mann-Whitney U=251.5; P=.03). There was no other significant difference between the OMT and sham OMT groups with regard to change in cytokine concentrations. Patients in the OMT group were also more likely than patients in the sham OMT group to have a reduced TNF-α concentration response (response ratio, 1.52; 95% confidence interval [CI], 1.00-2.29; P=.04) using a binary variable for reduced vs elevated TNF-α concentration after 12 weeks.
Median (Interquartile Range) Changes in Cytokine Concentrations (pg/mL) After 12 Weeks by Treatment Group
| Treatment Group | |||
|---|---|---|---|
| Cytokine | OMT (n=28) | Sham OMT (n=27) | P Valuea |
| IL-1β | 0.00 (0.00) | 0.00 (0.06) | .16 |
| IL-6 | 0.03 (1.43) | 0.03 (0.47) | .68 |
| IL-8 | −0.08 (3.50) | −0.08 (5.13) | .82 |
| IL-10 | 0.00 (0.86) | −0.04 (0.86) | .68 |
| TNF-α | −1.06 (2.11) | −0.06 (1.90) | .03 |
The results of subgroup analyses for changes in TNF-α concentration after 12 weeks are presented in Table 4. Among patients who achieved moderate and substantial improvements in LBP and improvement in back-specific functioning, those who received OMT had significantly greater TNF-α concentration reductions compared with those who received sham OMT. These findings were observed using both absolute change in TNF-α concentration (pg/mL) and the response ratio. There was no association between OMT and changes in TNF-α concentration among patients without improvements in LBP or back-specific functioning, and among patients with or without improvement in general health after 12 weeks.
Overall and Subgroup Results for Changes in TNF-α Concentration After 12 Weeks by Treatment Group
| Change in TNF-α Concentration, median (IQR), pg/mL | Reduced TNF-α Concentration Response, No. (%)a | |||||||
|---|---|---|---|---|---|---|---|---|
| Results | OMTb | Sham OMTc | P Valued | OMTb | Sham OMT | Response Ratioe | 95% CI | P Value |
| Overall Results | −1.06 (2.11) | −0.06 (1.90) | .03 | 22/28 (79) | 14/27 (52) | 1.52 | (1.00-2.29) | .04 |
| Subgroup Results According to Clinical Response After 12 Weeksg | ||||||||
| Moderate improvement in LBP | ||||||||
| Responders (≥30% VAS pain score reduction) | −1.12 (2.71) | 0.47 (1.67) | .003 | 17/20 (85) | 6/15 (40) | 2.13 | (1.11-4.06) | .006 |
| Nonresponders (<30% VAS pain score reduction) | −0.45 (3.06) | −0.57 (1.72) | .73 | 5/8 (62) | 8/12 (67) | 0.94 | (0.48-1.83) | >.99f |
| Substantial improvement in LBP | ||||||||
| Responders (≥50% VAS pain score reduction) | −1.36 (2.86) | 0.41 (2.91) | .005 | 16/18 (89) | 5/12 (42) | 2.13 | (1.07-4.25) | .01f |
| Nonresponders (<50% VAS pain score reduction) | −0.45 (2.74) | −0.42 (1.66) | .85 | 6/10 (60) | 9/15 (60) | 1.00 | (0.52-1.92) | >.99f |
| Improvement in back-specific functioning | ||||||||
| Responders (≥2 point RMDQ score reduction) | −1.12 (2.20) | −0.06 (1.75) | .007 | 16/18 (89) | 9/17 (53) | 1.68 | (1.04-2.71) | .03f |
| Nonresponders (<2 point RMDQ score reduction) | −0.53 (3.21) | −0.13 (1.90) | .91 | 6/10 (60) | 5/10 (50) | 1.20 | (0.54-2.67) | >.99f |
| Improvement in general health | ||||||||
| Responders (≥5 point SF-36 score elevation) | −1.10 (1.62) | −0.47 (1.60) | .14 | 14/17 (82) | 7/12 (58) | 1.41 | (0.83-2.39) | .22f |
| Nonresponders (<5 point SF-36 score elevation) | −0.84 (4.50) | 0.15 (2.35) | .13 | 8/11 (73) | 7/15 (47) | 1.56 | (0.81-2.99) | .25f |
Comment
To our knowledge, the present study is the first to explore the associations of cytokine concentrations with baseline somatic dysfunction and outcomes in a clinical trial of OMT. This setting enables a more conventional and realistic assessment of the role of cytokines in mediating response to OMT than previous studies, which either used laboratory-simulated OMT10-14 or studied OMT in healthy participants.15,16 There were 3 advantages of nesting this study within the OSTEOPATHIC Trial. First, because it has already been shown that OMT is efficacious in reducing LBP,7,8 the likelihood of finding valid and statistically significant associations of cytokine concentrations with OMT was enhanced. Second, the randomization of patients to OMT or sham OMT within the OSTEOPATHIC Trial minimized the possibility that confounders, known or unknown, might distort the relationships among cytokine concentrations, OMT, and clinical outcomes. Third, the algorithmic approach to OMT provision in the OSTEOPATHIC Trial17 facilitates future replication of our study findings.
The most highly significant pairwise correlations among baseline cytokine concentrations (IL-1β/IL-6; IL-6/IL-10; and IL-8/TNF-α) that we observed in our patients with chronic LBP were consistent with correlations of cytokine concentration reported in asymptomatic persons.30 There were significant correlations between the concentrations of both IL-1β and IL-6 and severe somatic dysfunction, as manifested by the presence of key osteopathic lesions. Additionally, IL-6 concentration was correlated to a lesser degree with LBP severity. However, the only change in cytokine concentration after 12 weeks that was associated with OMT was a reduction in TNF-α. This change was most evident in patients who achieved clinical responses, as manifested by improvements in LBP severity and back-specific functioning. Thus, the discordant findings for cytokine concentrations and their associations with key osteopathic lesions, LBP severity, and OMT raise additional questions for future research.
The pathophysiology of LBP has been studied in patients with intervertebral disk degeneration and herniation. Although the relationship between disk degeneration and LBP is not clearly understood, it appears that IL-1 and TNF-α may be responsible for local chemical mediation of pain by promoting matrix degradation by means of enhanced production of matrix metalloproteinases.31 Consequently, IL-1β and TNF-α may be associated with “nonspecific” chronic LBP when such degenerative changes are present at a subclinical level. It is also believed that IL-1, IL-6, and TNF-α induce and enhance the expression of matrix metalloproteinases, leading to regression of a herniated intervertebral disk.31 Thus, this belief provides another possible explanation for the presence of inflammatory cytokines in patients with “nonspecific” chronic LBP. It also provides a rationale for the significant pairwise correlations that we observed between baseline concentrations of both IL-1β and IL-6 and the number of key osteopathic lesions.
A cross-sectional study32 of 23 patients with chronic LBP attributed to herniated intervertebral disks and 10 healthy controls found significantly increased concentrations of IL-6 and TNF-α, but not of IL-1β, in patients with LBP. Another study33 of 94 patients with chronic neuropathic, nociceptive, or mixed pain for greater than 6 months and 6 healthy controls found a dose-response relationship between increasing cytokine concentrations (including IL-1β, IL-6, and TNF-α) and increasing pain severity.
Tumor necrosis factor-α was evaluated in a longitudinal study of 120 patients with LBP and 120 matched healthy controls.34 This study had several methodologic features that were similar to the features in our study, including patients with nonspecific chronic LBP, exposure to a treatment regimen, and several months of follow-up using a VAS for LBP and the RMDQ. At baseline, 58% of LBP patients were considered “positive” for TNF-α (serum TNF-α concentration >2 pg/mL) vs 12% of healthy controls. The percentage of TNF-α positives declined after 10 days of treatment and then remained stable for 6 months, whereas the percentage of TNF-α positives among controls remained stable throughout the entire study. Although VAS pain and RMDQ scores also declined over time, the change in TNF-α concentration was not predictive of clinical outcomes in the LBP patients. Our subgroup analyses found that the reduction in TNF-α concentration with OMT was indeed associated with improvements in LBP and back-specific functioning.
It has been known for more than 2 decades that peripheral immune challenges lead to the activation of discrete circuitries within the central nervous system via both hematogenous and neural pathways, thereby facilitating changes known as sickness responses.35 Cytokines are sickness-inducing agents that facilitate pain by creating a well-defined immune-to-brain-to-spinal cord pathway, in which the ventrolateral medulla-to-spinal cord limb of the pathway leads to release of neurotransmitters or neuromodulators that activate spinal cord glia and enhance pain.35 Such pain facilitation is preventable by blocking the actions of cytokines, including TNF-α.36 Two TNF-α inhibitors, infliximab37 and etanercept,38 each yielded encouraging results in open-label studies involving disk-related sciatica. A recent randomized controlled trial39 found significantly better pain outcomes in patients with sciatica 4 weeks after the epidural administration of etanercept, compared with those who received dexamethasone. However, a blinded, placebo-controlled trial found no significant clinical benefits 52 weeks after a single intravenous infusion of infliximab.40 On the basis of our findings, it is reasonable to hypothesize that OMT may serve to effectively reduce serum TNF-α concentration and thereby alleviate pain in patients with nonspecific chronic LBP. More research on this hypothesis appears warranted, given the safety and potential cost advantages of OMT relative to commercially available TNF-α inhibitors.
Despite the strengths of nesting this study within a randomized controlled trial, there are potential limitations of our study. First, because the analyses involved 5 cytokines and 4 clinical measures, it is possible that some significant findings may represent type I errors because of these multiple comparisons. Nevertheless, because we desired to generate hypotheses for future testing within this exploratory study, we elected not to adjust for multiple comparisons. Second, and conversely, type II errors may have occurred because only 15% of OSTEOPATHIC Trial patients had pretreatment cytokine measures and 12% had matched posttreatment measures. Although there were several significant findings in this study, it is possible that other important associations may have been missed because of limited sample size. Third, cytokine concentrations may vary diurnally or because of other confounders, such as medication use, that were not tightly controlled in our study. Generally, we believe that the randomization process would have mitigated such potential confounders by allocating them comparably between the OMT and sham OMT groups. The matching of patient pre- and post-treatment cytokine measures further diminished the potential for confounding bias.
Conclusion
The discordant findings in our study indicate that more research is needed to elucidate the underlying mechanisms of action of OMT in patients with nonspecific chronic LBP. Interleukin-1β, IL-6, and TNF-α are candidate cytokines that warrant additional research.
Acknowledgments
The authors thank the research personnel at The Osteopathic Research Center and the patients for their contributions to this study.
-
Financial Disclosures: None reported. This study was partially funded by the National Institutes of Health's National Center for Complementary and Alternative Medicine (grant no. K24AT002422), the Osteopathic Heritage Foundation, and the American Osteopathic Association (grant no. 09-38-599).
References
1 Hoehler FK Tobis JS Buerger AA . Spinal manipulation for low back pain. JAMA. 1981;245(18):1835-1838.10.1001/jama.1981.03310430027015Search in Google Scholar
2 Gibson T Grahame R Harkness J Woo P Blagrave P Hills R . Controlled comparison of short-wave diathermy treatment with osteopathic treatment in non-specific low back pain. Lancet. 1985;1(8440):1258-1261.10.1016/S0140-6736(85)92323-2Search in Google Scholar
3 Cleary C Fox JP . Menopausal symptoms: an osteopathic investigation. Complement Ther Med.1994;2(4):181-186.10.1016/0965-2299(94)90017-5Search in Google Scholar
4 Andersson GB Lucente T Davis AM Kappler RE Lipton JA Leurgans S . A comparison of osteopathic spinal manipulation with standard care for patients with low back pain. N Engl J Med.1999;341(19):1426-1431.10.1056/NEJM199911043411903Search in Google Scholar PubMed
5 Burton AK Tillotson KM Cleary J . Single-blind randomised controlled trial of chemonucleolysis and manipulation in the treatment of symptomatic lumbar disc herniation. Eur Spine J.2000;9(3):202-207.10.1007/s005869900113Search in Google Scholar PubMed PubMed Central
6 Licciardone JC Stoll ST Fulda KG et al. . Osteopathic manipulative treatment for chronic low back pain: a randomized controlled trial. Spine (Phila Pa 1976). 2003;28(13):1355-1362.10.1097/01.BRS.0000067110.61471.7DSearch in Google Scholar PubMed
7 Licciardone JC Brimhall AK King LN . Osteopathic manipulative treatment for low back pain: a systematic review and meta-analysis of randomized controlled trials. BMC Musculoskelet Disord.2005;6:43.10.1186/1471-2474-6-43Search in Google Scholar PubMed PubMed Central
8 Clinical Guideline Subcommittee on Low Back Pain American Osteopathic Association . American Osteopathic Association guidelines for osteopathic manipulative treatment (OMT) for patients with low back pain. J Am Osteopath Assoc.2010;110(11):653-666.Search in Google Scholar
9 Agency for Healthcare Research and Quality . American Osteopathic Association guidelines for osteopathic manipulative treatment (OMT) for patients with low back pain. National Guideline Clearinghouse Web site. http://www.guidelines.gov/content.aspx?id=15271. Accessed March 22, 2012.Search in Google Scholar
10 Salamon E Zhu W Stefano GB . Nitric oxide as a possible mechanism for understanding the therapeutic effects of osteopathic manipulative medicine [review]. Int J Mol Med.2004;14(3):443-449.10.3892/ijmm.14.3.443Search in Google Scholar
11 Dodd JG Good MM Nguyen TL Grigg AI Batia LM Standley PR . In vitro biophysical strain model for understanding mechanisms of osteopathic manipulative treatment. J Am Osteopath Assoc.2006;106(3):157-166.Search in Google Scholar
12 Meltzer KR Standley PR . Modeled repetitive motion strain and indirect osteopathic manipulative techniques in regulation of human fibroblast proliferation and interleukin secretion. J Am Osteopath Assoc.2007;107(12):527-536.Search in Google Scholar
13 Eagan TS Meltzer KR Standley PR . Importance of strain direction in regulating human fibroblast proliferation and cytokine secretion: a useful in vitro model for soft tissue injury and manual medicine treatments. J Manipulative Physiol Ther.2007;30(8):584-592.10.1016/j.jmpt.2007.07.013Search in Google Scholar PubMed
14 Meltzer KR Cao TV Schad JF King H Stoll ST Standley PR . In vitro modeling of repetitive motion injury and myofascial release. J Bodyw Mov Ther.2010;14(2): 162-171.10.1016/j.jbmt.2010.01.002Search in Google Scholar PubMed PubMed Central
15 McPartland JM Giuffrida A King J Skinner E Scotter J Musty RE . Cannabimimetic effects of osteopathic manipulative treatment. J Am Osteopath Assoc.2005;105(6):283-291.Search in Google Scholar
16 Degenhardt BF Darmani NA Johnson JC et al. . Role of osteopathic manipulative treatment in altering pain biomarkers: a pilot study. J Am Osteopath Assoc.2007;107(9):387-400.Search in Google Scholar
17 Licciardone JC King HH Hensel KL Williams DG . OSTEOPAThic Health outcomes In Chronic low back pain: the OSTEOPATHIC Trial. Osteopath Med Prim Care. 2008;2:5.10.1186/1750-4732-2-5Search in Google Scholar
18 Bigos S Bowyer O Braen G et al. . Acute Low Back Problems in Adults: Clinical Practice Guideline No. 14. Rockville, MD: Agency for Healthcare Research and Quality, Public Health Service, US Dept of Health and Human Services; 1994. AHRQ Publication No. 95-0642.Search in Google Scholar
19 Licciardone JC Kearns CM . Somatic dysfunction and its association with chronic low back pain, back-specific functioning, and general health: results from the OSTEOPATHIC Trial. J Am Osteopath Assoc.2012;112(7):420-428.Search in Google Scholar
20 American Academy of Osteopathy . Outpatient Osteopathic SOAP Note Form Series: Usage Guide. 2nd ed.Indianapolis, IN: American Academy of Osteopathy; 2002.Search in Google Scholar
21 DeStefano LA . Greenman's Principles of Manual Medicine. Philadelphia, PA: Lippincott Williams & Wilkins; 2011.Search in Google Scholar
22 Hróbjartsson A Gøtzsche PC . Is the placebo powerless? an analysis of clinical trials comparing placebo with no treatment[published correction appears in N Engl J Med. 2001;345(4):304]. N Engl J Med.2001;344(21):1594-1602.10.1097/00006254-200110000-00021Search in Google Scholar
23 Senna MK Machaly SA . Does maintained spinal manipulation therapy for chronic nonspecific low back pain result in better long-term outcome?Spine (Phila Pa 1976). 2011;36(18):1427-1437.10.1097/BRS.0b013e3181f5dfe0Search in Google Scholar
24 Ogon M Krismer M Söllner W Kantner-Rumplmair W Lampe A . Chronic low back pain measurement with visual analogue scales in different settings. Pain. 1996;64(3):425-428.10.1016/0304-3959(95)00208-1Search in Google Scholar
25 Roland M Morris R . A study of the natural history of back pain, part I: development of a reliable and sensitive measure of disability in low-back pain. Spine (Phila Pa 1976). 1983;8(2):141-144.10.1097/00007632-198303000-00004Search in Google Scholar PubMed
26 Ware JE Snow KK Kosinski M Gandek B . SF-36 Health Survey: Manual and Interpretation Guide. Boston, MA: New England Medical Center; 1993.Search in Google Scholar
27 Dworkin RH Turk DC Wyrwich KW et al. . Interpreting the clinical importance of treatment outcomes in chronic pain clinical trials: IMMPACT recommendations. J Pain. 2008;9(2):105-121.10.1016/j.jpain.2007.09.005Search in Google Scholar PubMed
28 Emshoff R Bertram S Emshoff I . Clinically important difference thresholds of the visual analog scale: a conceptual model for identifying meaningful intraindividual changes for pain intensity. Pain. 2011;152(10):2277-2282.10.1016/j.pain.2011.06.003Search in Google Scholar PubMed
29 Ostelo RW Deyo RA Stratford P et al. . Interpreting change scores for pain and functional status in low back pain: towards international consensus regarding minimal important change. Spine (Phila Pa 1976). 2008;33(1):90-94.10.1097/BRS.0b013e31815e3a10Search in Google Scholar PubMed
30 Wong HL Pfeiffer RM Fears TR Vermeulen R Ji S Rabkin CS . Reproducibility and correlations of multiplex cytokine levels in asymptomatic persons. Cancer Epidemiol Biomarkers Prev.2008;17(12):3450-3456.10.1158/1055-9965.EPI-08-0311Search in Google Scholar PubMed
31 Biyani A Andersson GB . Low back pain: pathophysiology and management. J Am Acad Orthop Surg.2004;12(2):106-115.10.5435/00124635-200403000-00006Search in Google Scholar PubMed
32 Kraychete DC Sakata RK Issy AM Bacellar O Santos-Jesus R Carvalho EM . Serum cytokine levels in patients with chronic low back pain due to herniated disc: analytical cross-sectional study. Sao Paulo Med J.2010;128(5):259-262.10.1590/S1516-31802010000500003Search in Google Scholar
33 Koch A Zacharowski K Boehm O et al. . Nitric oxide and pro-inflammatory cytokines correlate with pain intensity in chronic pain patients. Inflamm Res.2007;56(1):32-37.10.1007/s00011-007-6088-4Search in Google Scholar
34 Wang H Schiltenwolf M Buchner M . The role of TNF-α in patients with chronic low back pain: a prospective comparative longitudinal study. Clin J Pain. 2008;24(3):273-278.10.1097/AJP.0b013e31816111d3Search in Google Scholar
35 Watkins LR Maier SF . Immune regulation of central nervous system functions: from sickness responses to pathological pain. J Intern Med.2005;257(2):139-155.10.1111/j.1365-2796.2004.01443.xSearch in Google Scholar
36 Watkins LR Goehler LE Relton J Brewer MT Maier SF . Mechanisms of tumor necrosis factor-α (TNF-α ) hyperalgesia. Brain Res.1995;692(1-2):244-250.10.1016/0006-8993(95)00715-3Search in Google Scholar
37 Karppinen J Korhonen T Malmivaara A et al. . Tumor necrosis factor-monoclonal antibody, infliximab, used to manage severe sciatica. Spine (Phila Pa α 1976). 2003;28(8):750-753.10.1097/01.BRS.0000058944.38900.CESearch in Google Scholar
38 Genevay S Stingelin S Gabay C . Efficacy of etanercept in the treatment of acute, severe sciatica: a pilot study. Ann Rheum Dis.2004;63(9):1120-1123.10.1136/ard.2003.016451Search in Google Scholar PubMed PubMed Central
39 Ohtori S Miyagi M Eguchi Y et al. . Epidural administration of spinal nerves with the tumor necrosis factor-alpha inhibitor, etanercept, compared with dexamethasone for treatment of sciatica in patients with lumbar spinal stenosis: a prospective randomized study. Spine (Phila Pa 1976). 2012;37(6):439-444.10.1097/BRS.0b013e318238af83Search in Google Scholar PubMed
40 Korhonen T Karppinen J Paimela L et al. . The treatment of disc-herniation-induced sciatica with infliximab: one-year follow-up results of FIRST II, a randomized controlled trial. Spine (Phila Pa 1976). 2006;31(24):2759-2766.10.1097/01.brs.0000245873.23876.1eSearch in Google Scholar PubMed
© 2012 The American Osteopathic Association
This work is licensed under the Creative Commons Attribution-NonCommercial-NoDerivatives 4.0 International License.
Articles in the same Issue
- Letters
- Update on Advisory Committee on Immunization Practices (ACIP) Vaccine Recommendations, June 2012
- Need to Oppose Proposed ACGME Common Program Requirements
- Response
- Paradoxical Hyponatremia and Polyurodipsia in a Patient With Lithium-Induced Nephrogenic Diabetes Insipidus
- Editorial
- Advancing Osteopathic Medicine Through Research
- Special Report
- Using Manual and Conventional Therapies to Enhance Musculoskeletal Health: Highlights of The Osteopathic Research Center's 10th Anniversary Conference
- Original Contributions
- Associations of Cytokine Concentrations With Key Osteopathic Lesions and Clinical Outcomes in Patients With Nonspecific Chronic Low Back Pain: Results From the OSTEOPATHIC Trial
- Precompetition Manipulative Treatment and Performance Among Virginia Tech Athletes During 2 Consecutive Football Seasons: A Preliminary, Retrospective Report
- Brief Report
- The Biology of Manual Therapies
- Clinical Images
- Babesiosis in Westchester County, New York
- In Your Words
- Just Throw Me to the Lions
- CME Quiz
- CME Quiz
Articles in the same Issue
- Letters
- Update on Advisory Committee on Immunization Practices (ACIP) Vaccine Recommendations, June 2012
- Need to Oppose Proposed ACGME Common Program Requirements
- Response
- Paradoxical Hyponatremia and Polyurodipsia in a Patient With Lithium-Induced Nephrogenic Diabetes Insipidus
- Editorial
- Advancing Osteopathic Medicine Through Research
- Special Report
- Using Manual and Conventional Therapies to Enhance Musculoskeletal Health: Highlights of The Osteopathic Research Center's 10th Anniversary Conference
- Original Contributions
- Associations of Cytokine Concentrations With Key Osteopathic Lesions and Clinical Outcomes in Patients With Nonspecific Chronic Low Back Pain: Results From the OSTEOPATHIC Trial
- Precompetition Manipulative Treatment and Performance Among Virginia Tech Athletes During 2 Consecutive Football Seasons: A Preliminary, Retrospective Report
- Brief Report
- The Biology of Manual Therapies
- Clinical Images
- Babesiosis in Westchester County, New York
- In Your Words
- Just Throw Me to the Lions
- CME Quiz
- CME Quiz