Abstract
A series of 2-substituted 2,3-dihydroquinazolin-4(1H)-ones were oxidized to quinazolin-4(3H)-ones using tetrabutylammonium peroxydisulfate. The rate and the outcome of the reaction are dependent on the type and nature of 2-substitution. An electron transfer mechanism is proposed for this study, which is supported by the retention or elimination of 2-substitution during the oxidation process.
1 Introduction
Quinazolin-4-ones are a class of heterocyclic compounds having a fused benzene and pyrimidine rings with the carbonyl group as a part of the heterocyclic ring. 2,3-Dihydroquinazolin-4(1H)-ones (DHQZs) and their dehydrogenated derivatives, namely, quinazolin-4(3H)-ones (QZs), belong to this family. These compounds exhibit a wide range of pharmaceutical and biological activities such as anticancer [1], antibacterial [2], [3], antimalarial [4], antihypertensive [5], antifungal [6] and anticonvulsant [7]. Thermal oxidation of DHQZs to their corresponding QZs has been reported using KMnO4 [8] and tetrabutylammonium bromide/CuCl2 [9], but the results of many studies concerning the synthesis of these heterocyclic compounds revealed that QZs are prepared as final reaction products during the synthesis of DHQZs. For the latter case, gallium(III) triflate [10], molecular iodine [11], thiamine hydrochloride [12] and bismuth trinitrate [13] have been used for this transformation.
The peroxydisulfate ion is one of the strongest oxidizing agents known in aqueous solution with a redox potential of −2.01 V [14]. The oxidative application of peroxydisulfate ion in organic synthesis has been widely investigated [15]. Tetrabutylammonium peroxydisulfate (TBAPS) belongs to this family and its applications for various organic transformations have been reported [16], [17]. We have earlier used potassium peroxydisulfate (K2S2O8, PPS) as an efficient oxidizing agent for the oxidation of a series of 1,4-dihydropyridines [18] and various 2-oxo-1,2,3,4-tetrahyropyrimidines under different reaction conditions in acetonitrile/water solution [19], [20], [21]. In further studies, we investigated the oxidation of 2-oxo-1,2,3,4-tetrahyropyrimidine-5-carboxamides using TBAPS under thermal and sono-thermal conditions [22]. The results of these oxidative studies revealed that the oxidation of the heterocyclic compounds considered in these works by PPS occurred by the hydrogen abstraction from the C-4 position of the heterocyclic ring via in situ formed hydroxyl radical [19], whereas by using TBAPS an electron transfer-induced mechanism is proposed for the oxidative reaction (Scheme 1) [22].

Thermal oxidation of 2-oxo-1,3,4-tetrahydropyrimidines.
In continuation to this work, we were interested in using TBAPS for the oxidation of various DHQZs to elucidate the effect of the electronic nature of 2-substitution on the rate of reaction and also possible confirmation of the earlier reported reaction mechanism using a suitable substituent on the C-2 position of the heterocyclic ring.
2 Results and discussion
In order to obtain the optimized oxidation condition, the reaction of 1a as a model substrate in the presence of various ratios of 1a:TBAPS in dry acetonitrile was carried out at 70°C until total disappearance of 1a occurred (as monitored by thin-layer chromatography). The results presented in Table 1 indicate that total conversion of 1a to 2a was achieved by taking the ratio of 1:1.5 for 1a:TBAPS.
Optimization of the 1a: TBAPS molar ratio for the oxidation reaction in refluxing dry acetonitrile.
| Entry | 1a:TBAPS | Time (min) |
|---|---|---|
| 1 | 1:1 | 90a |
| 2 | 1:1.5 | 30 |
| 3 | 1:1.7 | 25 |
| 4 | 1:2 | 15 |
aThe reaction is not completed.
In optimized reaction conditions, the oxidation of 2-substituted DHQZs (1a–k) by TBAPS in dry acetonitrile under thermal conditions was carried out until total disappearance of DHQZs (Scheme 2). The results are summarized in Table 2.

Oxidation of 2,3-dihydroquinazolin-4(1H)-ones by tetrabutylammonium peroxydisulfate.
Oxidation of DHQZs (1a–k) by TBAPS under thermal conditions to QZs (2a–k) and 3.a
| Comp. | R | Product | R | Time (min)b |
|---|---|---|---|---|
| 1a | C6H5- | 2a | C6H5- | 30 |
| 1b | 4-NO2C6H4- | 2b | 4-NO2C6H4- | 40 |
| 1c | 3-NO2C6H4- | 2c | 3-NO2C6H4- | 45 |
| 1d | 2-NO2C6H4- | 2d | 2-NO2C6H4- | 50 |
| 1e | 4-CH3OC6H4- | 2e | 4-CH3OC6H4- | 25 |
| 1f | 3-CH3OC6H4- | 2f | 3-CH3OC6H4- | 20 |
| 1g | 2-CH3OC6H4- | 2g | 2-CH3OC6H4- | 20 |
| 1h | 4-ClC6H4- | 2h | 4-ClC6H4- | 40 |
| 1i | 4-CH3C6H4- | 2i | 4-CH3C6H4- | 25 |
| 1j | 4-(CH3)2NC6H4- | 2j | 4-(CH3)2NC6H4- | 45 |
| 1k | Ph(CH3)CH- | 2k | Ph(CH3)CH- | 20 |
| 3 | H |
a0.115 mmol DHQZs, 0.172 mmol TBAPS in 2.5 mL dry CH3CN at 70°C. bTimes are given after total disappearance of DHQZs.
The characterization of the products 2a–k and 3 was achieved by the comparison of their IR, 1H NMR and UV data with those of the starting materials 1a–k as follows:
A comparison of the IR spectra of the products with those of the starting materials showed a decrease in the intensity of the NH vibration with a small shift to lower frequency. Due to the oxidation of the heterocyclic ring and diminished delocalization of the lone pair on the N-3 atom (cross conjugation), the carbonyl stretching is shifted to higher frequency.
A comparison of the 1H NMR spectra of 2a–k with those of 1a–k showed the lack of the 1-NH and 2-CH resonances and a simultaneous shift of the 3-NH resonance to a lower field due to aromatization of the heterocyclic ring. But in the case of compound 3, the lack of the 1-NH resonance and the characteristic peaks of the phenylethyl group are observed upon the oxidative dealkylation process.
A comparison of the UV spectra showed a hypsochromic shift in the UV spectra of 2a–k due to the oxidation of the heterocyclic ring and formation of a semi-aromatic benzo-condensed pyrimidinone ring, which displays in the observed hyperchromic effect (increased absorption intensity) in the aromatic region. In the case of compound 3, which is formed by the oxidative dealkylation process, the absorption intensity is lower than the corresponding substituted compound 2k. The UV spectra of the latter observations are presented in Fig. 1.

Comparison of the UV spectra of 1k with those of the corresponding non-dealkylated and dealkylated oxidation products, 2k and 3, respectively in chloroform.
The results presented in Table 2 indicate that the type of the substituent located on the C-2 position of the heterocyclic ring, especially the nature of the additional substituent on the phenyl ring, affects the rate and outcome of the reaction. Whereas electron-releasing substituents such as methoxy, dimethylamino or methyl groups facilitate the oxidation process, electron-withdrawing substituents such as nitro group increase the time of reaction. Interesting results are obtained by the location of the secondary alkyl group at the C-2 position (1k). In this case, non-dealkylated 2k and dealkylated 3 compounds are observed. These observations are explained as follows.
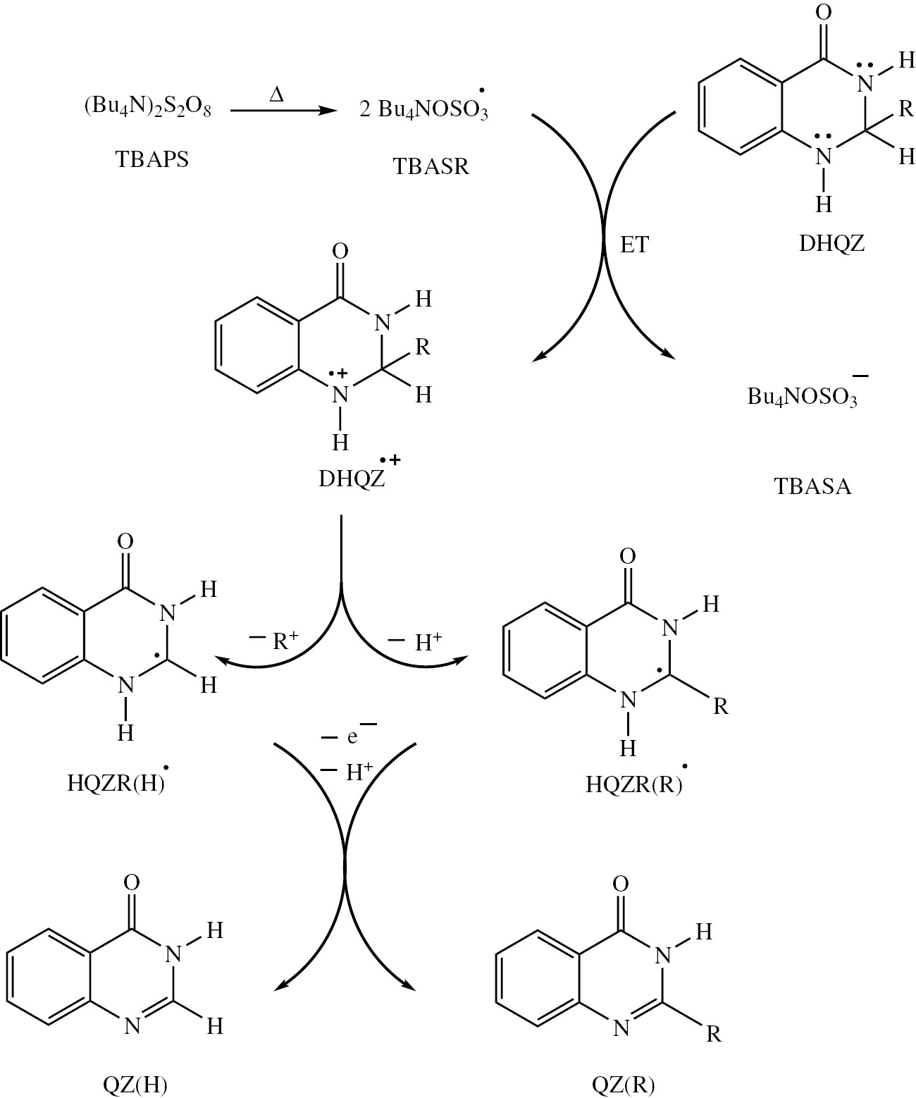
Recently, we have reported the oxidation of various substituted 2-oxo-1,2,3,4-tetrahydropyrimidine-5-carboxamides [22] by TBAPS and also photo-oxidation of DHQZs (the title compounds) in chloroform solution by exposure to the UV light [23]. The results of these studies support the mechanism based on the electron transfer-induced oxidation of organic compounds, which starts by the electron transfer from the molecule either in the ground state (thermal oxidation, first study) or in the excited state (photo-oxidation, latter case) to the suitable electron acceptor species present in the reaction vessel. Based on the proposed mechanism in the first study (Scheme 3), the application of heat causes the homolytic cleavage of the weakest O–O bond in the peroxydisulfate ion and formation of tetrabutylammonium sulfate radical (TBASR). Since TBASR is so voluminous to abstract the hydrogen atom from the C-2 position in the heterocyclic ring of DHQZs and starting the oxidative process, an electron transfer process is occurred from a suitable electron-donor position in the molecule to TBASR. Two potential electron-donor positions, N-1 and N-3 atoms, are available for donation of an electron to the TBASR species under formation of 2,3-dihydroquinazolin-4(1H)-one radical cation (DHQZ˙+) and tetrabutylammonium sulfate anion (Bu4NOSO3−, TBASA). It seems that the electron pair on the N-1 atom is more readily transferred to the electron-acceptor species rather than the electron pair on the N-3 atom. The reasons of this suggestion and preferred electron donation from N-1 atom are that (i) the electron pair on the N-3 atom is delocalized towards the 4-CO group as a part of the amide group, and (ii) the radical cation formed on the N-1 atom after the first electron removal is stabilized by delocalization of the radical center over the condensed benzene ring. In contrast to this, the radical cation formed on the N-3 atom is destabilized by the attachment of this atom to the 4-CO group. Both these arguments are also supported by the results obtained in our earlier study [23]. The occurrence of the positive charge on the N-1 atom in the DHQZ(N1)˙+ species forces the molecule to eject a proton, as a competitive way to the back electron transfer process (BET), resulting in the formation of stable benzylic and also donor substituted radical, namely, hydroquinazolinyl radical (HQZR˙). In the case of 2k, containing a simultaneous secondary alkyl and benzylic group on the 2-position, exclusion of this group as a stable benzylic cation under the formation of hydroquinazolinyl radical HQZR(H)˙ is also possible. Further electron removal and proton detachment from both HQZR(R)˙ and HQZR(H)˙ species accomplish these processes under the formation of the reaction products (QZs) 2a–k and 3. The expulsion of the benzylic and secondary alkyl substituents in the latter proposal is supported by the result obtained on the elimination of the tert-butyl group upon oxidative photo-elimination of 2-tert-butyl substituted DHQZ [24] and also on the thermal oxidation of 1,4-dihydropyridines [25].

The mechanism of oxidation of 2-substituted DHQZs using (Bu4N)2S2O8.
3 Conclusion
Various 2-substituted DHQZs were synthesized and thermal oxidation of these compounds to QZs was studied using TBAPS. An electron transfer mechanism is proposed for this oxidative reaction. The rate and outcome of the reaction are dependent on the nature and type of 2-substitution.
4 Experimental section
Melting points were determined on a Stuart Scientific SMP2 apparatus and are not corrected. IR spectra were recorded from KBr disks on a Jasco FT/IR-6300 spectrometer. The 1H and 13C NMR spectra ([D6]DMSO) were recorded on Bruker Avance III 400 spectrometers at 400.13 and 100.62 MHz. UV spectra were taken in CHCl3 with a Shimadzu UV-160 spectrometer.
4.1 General procedure for the oxidation of DHQZs by TBAPS
A mixture of 2-substituted DHQZs (1a–k, 1 mmol), (Bu4N)2S2O8 (1.5 mmol) in 2.5 mL dry acetonitrile was stirred at 70°C for some specific times (Table 2). After completion of the reaction, the solvent was evaporated and the mixture was extracted with chloroform/water. The organic layer was dried over MgSO4. After evaporation of solvent, the residue was recrystallized from ethanol. The physical and spectroscopic data of the new compounds are reported below.
4.1.1 2-(3-Methoxyphenyl)-2,3-dihydroquinazolin-4(1H)-one (1f)
M.p. 150–153°C, recrystallized from n-hexane-ethyl acetate. – IR: ν=3292, 3192, 1646, 1611, 1490, 1255, 775, 748 cm−1. – 1H NMR (400.13 MHz, [D6]DMSO): δ=3.75 (s, 3 H, OCH3), 5.72 (s, 1 H, C2-H), 6.67 (m, 1 H, aromatic H), 6.75 (d, J=8.4 Hz, 1 H, aromatic H), 6.91 (dd, J=8.4 Hz, 2 Hz, 1 H, aromatic H), 7.06 (m, 2 H, aromatic H), 7.13 (s, 1 H, N1-H), 7.23–7.32 (m, 2 H, aromatic H), 7.61 (d, J=7.2 Hz, 1 H, aromatic H), 8.31 ppm (s, 1 H, CONH). – 13C NMR (100.62 MHz, [D6]DMSO): δ=55.05 (OCH3), 66.17 (C-2), 112.52, 113.64, 114.34, 114.94, 117.08, 118.89, 127.29, 129.39, 133.27, 143.28, 147.76, 159.17, 163.52 ppm. – UV (CHCl3): λmax(log ε)=332 nm (3.97).
4.1.2 2-(2-Phenylethyl)-2,3-dihydroquinazolin-4(1H)-one (1k)
M.p. 170–173°C, recrystallized from ethanol. – IR: ν=3317, 3228, 3060, 3031, 1644, 1610, 1508, 1486, 1393, 1153, 757, 700 cm−1. – 1H NMR (400.13 MHz, [D6]DMSO): δ=1.26 (d, J=7.2 Hz, 3 H, CH3), 3.04 (m, 1 H, C*H), 4.80 (m, 1 H, C2-H), 6.58 (m, 1 H, aromatic H), 6.69 (s, 1 H, N1-H), 6.74 (d, J =8.4 Hz, 1 H, aromatic H), 7.17–7.21 (m, 2 H, aromatic H), 7.24–7.30 (m, 4 H, aromatic H), 7.49 (dd, J=7.6 Hz, 1.2 Hz, 1 H, aromatic H), 7.65 ppm (d, J=2.4 Hz, 1 H, CONH). – 13C NMR (100.62 MHz, [D6]DMSO): δ=15.83 (CH3), 44.51, 68.63 (C-2), 114.08, 114.67, 116.46, 126.38, 127.07, 128.03, 128.46, 133.03, 141.43, 147.49, 163.14 ppm. – UV (CHCl3): λmax(log ε)=354 nm (sh, 3.61), 334 (3.91).
4.1.3 2-(3-Methoxyphenyl)-quinazolin-4(3H)-one (2f)
M.p. 204–206°C, recrystallized from ethanol. – IR: ν=3038, 2882, 1673, 1608, 1584, 1473, 1222, 1044, 854, 768 cm−1. – 1H NMR (400.13 MHz, [D6]DMSO): δ=3.87 (s, 3 H, OCH3), 7.14–7.17 (qd, J=2.6 Hz, 0.8 Hz, 1 H, aromatic H), 7.45–7.49 (m, 1 H, aromatic H), 7.52–7.56 (m, 1 H, aromatic H), 7.75–7.77 (m, 1 H, aromatic H), 7.79–7.81 (m, 2 H, aromatic H), 7.83–7.87 (m, 1 H, aromatic H), 8.15–8.17 (dd, J=7.6 Hz, 1.2 Hz, 1 H, aromatic H), 12.56 ppm (s, 1 H, CONH). – 13C NMR (100.62 MHz, [D6] DMSO): δ=55.36 (OCH3), 112.49, 117.59, 120.09, 125.82, 126.62, 127.51, 129.73, 134.61, 159.32 ppm. – UV (CHCl3): λmax(log ε)=315 nm (4.34).
4.1.4 2-(2-Phenylethyl)-quinazolin-4(3H)-one (2k)
M.p. 217–220°C, recrystallized from n-hexane-ethyl acetate. – IR: ν=2987, 2850, 1677, 1610, 1465, 1339, 1246, 878, 769 cm−1. – 1H NMR (400.13 MHz, [D6]DMSO): δ=1.61 (d, J=6.8 Hz, 3 H, CH3), 4.12 (q, J=6.8 Hz, 1 H, benzylic H), 7.21–7.25 (m, 1 H, aromatic H), 7.28–7.34 (m, 3 H, aromatic H), 7.39–7.41 (m, 1 H, aromatic H), 7.46–7.50 (m, 1 H, aromatic H), 7.68 (d, J=8.4 Hz, 1 H, aromatic H), 7.78–7.82 (m, 1 H, aromatic H), 8.07 (d, J=8 Hz, 1 H, aromatic H), 12.26 ppm (s, 1 H, CONH). – 13C NMR (100.62 MHz, [D6]DMSO): δ=19.28, 46.15, 125.66, 125.99, 126.24, 126.86, 127.15, 127.38, 128.24, 128.47, 134.38 ppm. – UV (CHCl3): λmax(log ε)=316 nm (4.08), 309 (4.07).
4.1.5 Quinazolin-4(3H)-one or 4-Hydroxyquinazoline (3)
M.p. 211–215°C, recrystallized from n-hexane-ethyl acetate. – IR: ν=3203, 3130, 2929, 1697, 1659, 1609, 1468, 1325, 1172, 917 cm−1. – 1H NMR (400.13 MHz, [D6]DMSO): δ=7.51–7.55 (m, 1 H, aromatic H), 7.66–7.69 (m, 1 H, aromatic H), 7.80–7.85 (m, 1 H, aromatic H), 8.10–8.14 (m, 2 H, C2-H and aromatic H), 12.25 ppm (s, 1 H, CONH). – 13C NMR (100.62 MHz, [D6]DMSO): δ=122.58, 125.79, 126.73, 127.21, 134.31, 145.34, 148.73 ppm. – UV (CHCl3): λmax(log ε)=313 nm (3.93).
5 Supplementary information
IR, 1H NMR, 13C NMR and UV spectra of 1f, 1k, 2f, 2k and 3 are given as supporting information available online (DOI: 10.1515/znb-2016-0260).
Acknowledgments
We are thankful to the Research Council and Office of Graduate Studies of the University of Isfahan for their financial support.
References
[1] T. Yasutaka, S. Takao, J. Med. Chem.1994, 37, 2106.10.1021/jm00039a024Search in Google Scholar
[2] L. Kubicova, P. Kudelova, H. Waisser, Folia. Pharm. Univ. Carol.2000, 25, 81.Search in Google Scholar
[3] J. Hanusek, J. Chem. Listy.2001, 95, 811.10.1097/00000542-200109000-00048Search in Google Scholar
[4] K. Haruhisa, Y. Keisuke, H. Seiko, J. Med. Chem.2006, 49, 4698.10.1021/jm0601809Search in Google Scholar
[5] M. H. Yen, J. R. Sheu, J. Pharm. Pharmacol.1996, 48, 90.10.1111/j.2042-7158.1996.tb05884.xSearch in Google Scholar
[6] J. H. Chan, J. S. Hong, J. Med. Chem.1995, 38, 3608.10.1021/jm00018a021Search in Google Scholar
[7] C. Ramesh, A. Kumar, Indian J. Chem.2002, 41B, 2371.Search in Google Scholar
[8] P. M. Chandrika, A. R. Rao, Int. J. Chem. Sci.2008, 6, 1119.Search in Google Scholar
[9] A. Davoodnia, S. Allameh, Chin. Chem. Lett.2010, 21, 550.10.1016/j.cclet.2010.01.032Search in Google Scholar
[10] J. Chen, D. Wu, Tetrahedron Lett.2008, 29, 3814.10.1016/j.tetlet.2008.03.127Search in Google Scholar
[11] L. Lu, M. Zhang, Tetrahedron Lett.2013, 54, 757.10.1016/j.tetlet.2012.11.042Search in Google Scholar
[12] Y. Chen, W. Shan, Chem. Biol. Interface2013, 3, 116.Search in Google Scholar
[13] I. Mohammadpoor-Baltork, A. R. Khosropour, C. R. Chimie2011, 14, 944.10.1016/j.crci.2011.05.003Search in Google Scholar
[14] K.-C. Huang, R. A. Couttenye, G. E. Hoag, Chemosphere2002, 49, 413.10.1016/S0045-6535(02)00330-2Search in Google Scholar
[15] T. Itahara, Y. Fujii, M. Tada, J. Org. Chem.1988, 53, 3421 and references cited therein.10.1021/jo00250a003Search in Google Scholar
[16] S. G. Yang, J. P. Hwang, M. Y. Park, K. Lee, Y. H. Kim, Tetrahedron2007, 63, 5184.10.1016/j.tet.2007.03.167Search in Google Scholar
[17] M. Y. Park, V. Jadhav, Y. H. Kim, Synth. Commun.2004, 34, 3367.10.1081/SCC-200030587Search in Google Scholar
[18] H. R. Memarian, I. Mohammadpoor-Baltork, M. M. Sadeghi, Z. S. Samani, Indian J. Chem.2001, 40B, 727.Search in Google Scholar
[19] H. R. Memarian, A. Farhadi, J. Iran. Chem. Soc.2009, 6, 638.10.1007/BF03246543Search in Google Scholar
[20] H. R. Memarian, H. Sabzyan, A. Farhadi, Z. Naturforsch.2009, 64b, 532.10.1515/znb-2009-0509Search in Google Scholar
[21] H. R. Memarian, A. Farhadi, H. Sabzyan, Ultrasonics Sonochem.2010, 17, 579.10.1016/j.ultsonch.2009.11.014Search in Google Scholar PubMed
[22] H. R. Memarian, M. Soleymani, Ultrasonics Sonochem. 2011, 18, 745.10.1016/j.ultsonch.2010.10.006Search in Google Scholar PubMed
[23] H. R. Memarian, S. Ebrahimi, J. Photochem. Photobiol. A: Chem.2013, 271, 8.10.1016/j.jphotochem.2013.07.008Search in Google Scholar
[24] F. A. Cabrera-Rivera, C. Ortíz-Nava, J. Escalante, J. M. Hernández-Pérez, M. Hô, Synlett2012, 23, 1057.10.1055/s-0031-1290492Search in Google Scholar
[25] H. R. Memarian, M. M. Sadeghi, A. R. Momeni, Synth. Commun.2001, 31, 2241 and references cited therein.10.1081/SCC-100104821Search in Google Scholar
Supplemental Material:
The online version of this article (DOI: https://doi.org/10.1515/znb-2016-0260) offers supplementary material, available to authorized users.
©2017 Walter de Gruyter GmbH, Berlin/Boston
Articles in the same Issue
- Frontmatter
- In this Issue
- Bi- and tridentate silicon-based acceptor molecules
- Two new defensive constituents from potato tubers (Solanum tuberosum)
- A 3D supramolecular architecture based on 2,2′-oxybis(benzoic acid) and trans-1,2-bis(4-pyridyl)ethylene as ligands for Co(II)
- Electron transfer-induced oxidation of 2,3-dihydroquinazolin-4(1H)-ones
- Synthesis, crystal structure, and magnetic properties of an azido-bridged Mn(II) complex [C3H5NH3][Mn(N3)3]
- A dinuclear nickel(II) complex derived from an asymmetric Salamo-type N2O2 chelate ligand: synthesis, structure and optical properties
- Molecular structure of a brominated 2-benzazepinone – a crucial intermediate in the synthesis of novel chemokine CCR2 receptor antagonists
- Two new organic-selenate salts: syntheses and crystal structures of bis(di-iso-propylammonium) selenate and di-n-butylammonium hydrogenoselenate
- The nitridoborate nitrides Mg3[BN2]N and Ca3[BN2]N – electronic structure and chemical bonding
- Structures of the adducts urea:pyrazine (1:1), thiourea:pyrazine (2:1) and thiourea:piperazine (2:1)
- Rare earth-ruthenium-magnesium intermetallics
- Note
- Reaction behavior of the Collman reagent towards the nitrosyl carbonyls [CoNO(CO)3] and [Fe(NO)2(CO)2]
Articles in the same Issue
- Frontmatter
- In this Issue
- Bi- and tridentate silicon-based acceptor molecules
- Two new defensive constituents from potato tubers (Solanum tuberosum)
- A 3D supramolecular architecture based on 2,2′-oxybis(benzoic acid) and trans-1,2-bis(4-pyridyl)ethylene as ligands for Co(II)
- Electron transfer-induced oxidation of 2,3-dihydroquinazolin-4(1H)-ones
- Synthesis, crystal structure, and magnetic properties of an azido-bridged Mn(II) complex [C3H5NH3][Mn(N3)3]
- A dinuclear nickel(II) complex derived from an asymmetric Salamo-type N2O2 chelate ligand: synthesis, structure and optical properties
- Molecular structure of a brominated 2-benzazepinone – a crucial intermediate in the synthesis of novel chemokine CCR2 receptor antagonists
- Two new organic-selenate salts: syntheses and crystal structures of bis(di-iso-propylammonium) selenate and di-n-butylammonium hydrogenoselenate
- The nitridoborate nitrides Mg3[BN2]N and Ca3[BN2]N – electronic structure and chemical bonding
- Structures of the adducts urea:pyrazine (1:1), thiourea:pyrazine (2:1) and thiourea:piperazine (2:1)
- Rare earth-ruthenium-magnesium intermetallics
- Note
- Reaction behavior of the Collman reagent towards the nitrosyl carbonyls [CoNO(CO)3] and [Fe(NO)2(CO)2]