The Impact of VAAs on (non-Voting) Aspects of Political Participation: Insights from Panel Data Collected During the 2017 German Federal Elections Campaign
Abstract
Thus far, research on the effects of Voting Advice Applications has focused on some aspects of voting behavior, whether, for example, these online tools impact citizens’ likelihood to vote or their voting choices. Relatively under-researched remain questions concerning the relationship between using VAAs and other forms of engagement with politics, such as involvement in electoral campaigns and information seeking about politics and parties. This paper seeks to examine effects in these behaviors associated with VAA-use employing panel data generated during and after the period of the German Bundestag Federal Election in September, 2017. The data from roughly 1120 participants, sampled to be representative of the German internet users, were collected in four waves, 1 month before the election at the earliest and several weeks following at the latest. We find that VAA-use is positively associated with consuming information about politics through other media (e.g. TV) and other election-related information-seeking activities, such as reading party programmes. On the other hand, we find no statistically significant relationship between VAA-use and interpersonal talk about politics or more active engagement with electoral campaigns such as attending party rallies.
1 Introduction
While democracy remains citizens’ self-reported most preferred political system, discontent among the populous continues to grow (Norris 2012; Dahlberg et al. 2015) with increasing dissatisfaction with governments, political institutions (Bowler et al. 2007) and political parties (Dalton and Wattenberg 2002; Mair 2008). This discontent, often termed “crisis in citizenship” (Stokes 2006), is accompanied by dropping rates in both “traditional” forms of engagement such as voting (O’Toole et al. 2003) and party membership (Van Biezen et al. 2012), as well as non-traditional forms such as participating in demonstrations, boycotting products, etc. (Inglehart and Welzel 2005).
Citizen participation being vital for democracy, the question of engaging citizens then becomes central for both the fields of political communication and political science (Dalton 2008). The desired mobilisation is expected to be most straightforwardly achieved by increasing basic political competence among the electorate through civic education (Grönlund and Milner 2006) and informational campaigns aimed at engaging and mobilising the body politique (Gelman and King 1993; Iyengar and Simon 2000; though cf. Lupia and McCubbins 1998).
In this respect, advances in Information and Communications Technologies can be postulated to have a role in re-invigorating political interest and engagement through their capacity to multiply the availability and accessibility of information (Blumler and Gurevitch 2001) in addition to allowing for a transition from a low to a highly personally relevant media environment (Van Aelst et al. 2017). Empirically however, Internet effects on participation have been inconsistent over time (Bimber and Copeland 2013) and possibly limited to individuals already more active and interested in politics (Boulianne 2009) with the promise of a purely technologically determined solution to the participation problem remaining unfulfilled. Still, a positive effect of increased engagement with new and social media is generally reported, particularly relating to non-traditional forms of participation (Shah et al. 2005; Boulianne 2011 for a meta-analysis as to the internet; Skoric et al. 2016 for Social Media).
A particularly relevant to this study instance of an internet application are Voting Advice Applications (hereafter VAAs). These are online platforms or websites, which prospective voters can freely visit and, after declaring their agreement or disagreement on a number of policy-statements (e.g. “Same sex marriage should become institutionalised”), be provided with measures of closeness to the political parties or candidates whose positions on the issues have been estimated beforehand (see Gemenis and van Ham 2014 for an overview). VAAs, although in existence in pen-and-paper form since 1989 (De Graaf 2010) have seen an exponential rise in popularity since the advent of their online version, in terms of both absolute number of VAA uses, occasionally in the millions (De Graaf 2010; Marschall and Schmidt 2010), coverage of their respective electorates (Marschall 2014) and number of countries with at least one VAA available (Garzia and Marschall 2012). The specific example studied here is the popular VAA Wahl-O-Mat, designed for the German context, used 15.7 million times prior to the German federal election of 2017.
The present work aims to identify and study putative effects of using the Wahl-O-Mat prior to an election on citizen engagement in politics-related behaviours other than voting per se, namely politics-related media consumption, discussing politics with friends and family, information-seeking about the elections and active engagement with electoral campaign activities (e.g. attending party rallies), using data collected at 4 periods of time before and after the elections. The paper is structured as follows: the first section is dedicated to a discussion of political participation and establishing how VAA-use and participation can be reasonably expected to be linked. We continue to examine previous findings with regards to this connection prior to describing methodological and analytical decisions, presenting findings and discussing their implications.
2 VAAs and Political Participation
Traditionally the conceptualization of citizens’ engagement with politics had remained limited to the act of voting itself, with voter turnout being the core variable of interest (Brady 1999; Van Deth 2001). Verba and Nie (1987) expanded the definition to include a range of activities, such as engaging with politicians (e.g. through letter-writing campaigns) or electoral campaigns and involvement with other cooperative activities, e.g. at the communal level. This definition enabled a transition to a more instrumental understanding of political participation, since the latter was to be understood as any behaviour aimed at influencing governmental decisions. Subsequently, the concept became more inclusive adding “unconventional” or extra-institutional forms, such as demonstrating, signing petitions, boycotts and other protest behaviours (Barnes and Kaase 1979; Kaase and Marsh 1979) and, more recently, even unlawful and radical activities (Teorell et al. 2007). It is noteworthy that the broadening of the notion of participation has largely been driven by the presence or inclusion of relevant indicators in surveys, with theoretical models expanding in response (Van Deth 2001: pp. 6–8; Teorell et al. 2007). As such, definitions also vary from stricter that only consider participation to be behaviours explicitly aimed at “influencing the selection of governmental personnel” (Verba et al. 1987: p. 1) to looser that consider genuine participation to be any “voluntary activity by individual citizens intended to influence with directly or indirectly political choices […]” (Milbrath and Goel 1977: p. 2).
This “conceptual stretching” (Berger 2009: p. 336) of political participation has enabled a series of behaviours non-overtly participatory, such as discussing politics, following political issues through the media etc., to be sometimes explicitly included in studies of the phenomenon (as in e.g. Barnes and Kaase 1979) (though this is not often the case; e.g. Verba and Nie 1987; Verba et al. 1995). The present study focuses on a similar behaviour, using VAAs, a by nature solitary activity with outcomes only relevant to the individual involved; as such, it is not our contention that VAA-use is prima facie political participation. Rather, we consider VAA-use to be part of what Ekman and Amnå (2012) refer to as “latent” or “pre-political” participation, behaviours that relate to attentiveness to politics, rather than political acts per se, similar to consuming politics-related media. This nexus of behaviours reflect political interest and the willingness to partake in political life which function as immediate antecedents of direct, manifest forms of participation such as voting, “should the circumstances warrant” (Berger 2009: p. 345) and we proceed to describe possible mechanisms that enable VAAs to act as such a bridge between intent and direct participation.
Arguing along the lines of Verba, Schlozman and Brady that political engagement is inhibited by deficits in either time, money or skills, lack of interest regarding political matters or lack of mobilisation attempts (1995: pp. 15–16), there are good theoretical reasons to postulate an impact for VAAs on individual voters’ likelihood to participate. VAAs, for example, can be said to decrease the costs of obtaining and processing political information by gathering election-related information under a single platform and presenting them in a structured and personalised manner (Garzia 2010). Thus, by providing prospective voters with easily digestible information, they may compensate for a lack of resources (particularly time) necessary to e.g. collect and compare party positions on relevant policies, decreasing the threshold for participation. Alternatively, they may act to reinforce already existing predispositions, a tendency, for example, to vote for party A rather than party B (Van de Pol et al. 2014: pp. 403–404). Finally VAAs may operate indirectly, serving to enhance the sense of personal political competence (Fivaz and Nadig 2010), help bypass secondary or negative aspects of political campaigns (Walgrave et al. 2008) or stimulate interpersonal political talk (Ladner et al. 2009: p. 22), all well-established antecedents of political interest and participation (Kaid et al. 2007).
Thus, the specifics of the underlying mechanism depend on one’s broader understanding of what the primary function of VAAs is (see Garzia et al. 2017). Regardless, most theorised pathways ultimately refer to the tool’s capacity to inform voters on the number of alternatives on offer in an individualized, personally meaningful way (Walgrave et al. 2008). Indeed, VAA users have been reported to find the tools informative and an impetus to seek further information regarding candidates and parties (Marschall and Schmidt 2010); though cf. De Rosa 2010). Moreover, political science research has, more generally, robustly connected similar behaviours such as the consumption of politics-related media through newspapers (McLeod et al. 1999), television (Norris 1996), the Internet (Shah et al. 2005) and mobile communication technologies (Campbell and Kwak 2010) to increased propensity to participate in the political (electoral) process.
2.1 VAAs effects on Participatory Behaviour – Previous Findings
Since VAAs are part and parcel of the electoral process, previous work considering VAA effects on political behaviours has naturally focused on how engaging with such a tool affects voter turnout and vote choice, with less attention being paid to other forms of manifest participation (e.g. engagement with electoral campaigns) or antecedents of (e.g. interest in politics) or latent forms of participation (e.g. reading political newspapers).
2.1.1 VAA-use and Voter Turnout
Research attempts on how completing a VAA affects the probability of casting a vote in the respective election have been the most numerous and most encouraging in terms of findings. A number of studies (Ladner and Pianzola 2010; Marschall and Schmidt 2010; Dinas et al. 2014) based solely on self-reports from VAA users have thus far reported the largest estimates for VAA-use increasing the probability of casting a vote in the elections. However, these estimates vary considerably between national contexts and need to be interpreted with care since they are likely to be inflated due to relying exclusively on self-reports from self-selected samples, which tends to inflate any effects obtained (Walgrave et al. 2008).
Positive relationships between VAA-use and voting are also obtained from studies involving cross-sectional comparisons of VAA and non-VAA users from nationally representative datasets (see Marschall and Schultze 2012; Dinas et al. 2014; Kruikemeier et al. 2014), although the effect sizes reported are considerably more moderate than those of the aforementioned work. These estimates are more dependable since they involve information from non-VAA as well as VAA-users and statistical control of variables known to differ between the groups (e.g. education) that can affect the relationship between VAA-use and vote casting, acting as confounding variables. However, the range of reported effects remains large (5%–16%) and, since VAA-users remain a self-selected population, an amount of un-measured or un-observable heterogeneity between the groups as to confounding variables can be expected to persist (Gemenis and Rosema 2014). Studies employing more complicated methodological schemes to account for these selection effects, namely selection models (Garzia and Marschall 2014; Garzia et al. 2014) and propensity score matching (Gemenis and Rosema 2014; Germann and Gemenis 2018) report yet more moderate but still positive results as to the relationship between VAA-use and vote-casting.
Less unanimous are findings from field experiments, where after selecting a sample, researchers randomly assign participants to either a VAA- or a non-VAA condition. Enyedi (2016) and Mahéo (2017) report no statistically significant differences between the two groups’ propensity to participate, although Vassil (2011) and Garzia et al. (2017) conclude a positive relation between using a VAA and taking part in the elections.
2.1.2 VAA use and Vote Choice
Less clear is the picture that emerges from work studying impacts of VAA-use on vote choice. Studies based exclusively on VAA users’ self-reports in some cases conclude that it is only a minority of users who are affected by the tool’s advice (Garzia and Marschall 2012; Alvarez et al. 2014), while it is the majority in others (Ladner et al. 2012). Moreover, Walgrave et al. (2008) report that most users explicitly denied any effect on their vote and Wall et al. (2014) suggest that, even in cases where the tool offered a suggestion very much in line with users’ existing pre-dispositions, they often did not follow the “advice.”
Some support that VAA-use has a genuine impact on vote choice is offered by studies employing cross-sectional comparisons of VAA- and non-VAA users from national representative surveys (Mykkänen et al. 2007, as reported in Garzia and Marschall 2012). However, although Ladner et al. (2012) also reported similar evidence of vote switching attributable to using a VAA, repeated observations of the same individuals over time suggested that this effect is likely to be short-lived (see also Walgrave et al. 2008).
The finding that (any) VAA effect on vote choice is likely not to be durable is further corroborated by field experiments with random assignment to VAA- and non-conditions and pre-post comparisons, with both Mahéo (2016) and Enyedi (2016) concluding that only a small and short-term VAA effect was present in their analyses.
2.1.3 VAA Impact on Latent Forms of Political Participation
Less attention has been paid to impacts of VAAs on aspects of political behaviour beyond voter turnout and vote choice. The effect of using a VAA on political knowledge, for example, has largely involved self-reports of VAA users, with most reporting a sense of increased knowledge about the relevant election following the use of the tool (Ladner et al. 2009; Dumont and Kies 2012; Kamoen et al. 2015; Ladner 2016). Similarly beneficial impacts on knowledge of political parties come from studies that directly test political knowledge employing different methodologies: cross-sectional comparisons (Schultze 2014: p. 41), pre-post designs (Westle et al. 2015) and short-term panel data (Heinsohn et al. 2016).
Concerning interest in political matters, cross-sectional comparisons (Hirzalla et al. 2011; Dumont and Kies 2012; Marschall 2014) consistently find differences on the levels of political interest between VAA-users and non-users. Additionally, panel data suggest that VAA use is positively correlated with increased interest in electoral campaigns (Heinsohn et al. 2016). However, employing a field experiment, Mahéo (2017) found no statistically significant effect of VAA-use on the amount of attention paid to the electoral campaign or active information seeking concerning the elections; interestingly, a significant effect was obtained for the interaction term between attention and educational level, suggesting that a positive relationship existed but only for the less educated among her sample.
Three observations can be readily made from the overview of the relevant literature, the first being that considerable variation exists in the reported findings from different national contexts. Any effects of VAAs on citizens’ political behaviour appear to be highly context-sensitive across space and time and in this respect comparative studies can be invaluable in establishing their presence or absence. Secondly, much of the empirical work concerning VAAs has, naturally, focused on VAAs’ capacity to mobilise voting as well as vote choice, since the latter are the main impetus behind the development of most VAAs. In fact, little is certain about VAA effects on other forms of political participation even in its “conventional” (Barnes and Kaase 1979) or “institutional” (Conway 2000) forms such as contacting officials, partaking in electoral campaigns, political information-seeking or interpersonal phenomena such as attempts at persuading other citizens. Finally, the use of different methodologies to examine VAA effects produces radically different results. The more numerous studies based on self-reported impacts from VAA users themselves, for example, tend to report larger impacts for VAA-use. However, these suffer from self-selection bias and the extent to which they are generalisable to the population is dubious, since we know VAA users to be significantly different from underlying electorates in a number of respects (e.g. they tend to be younger, predominately male, more educated etc. – see Hirzalla et al. 2011; Marschall 2014). Ameliorating some of these problems, cross-sectional comparisons tend to provide more moderate findings, while field experiments report either small or non-existent effects for VAAs on citizens’ political behaviours.
In summary, it is difficult to avoid the conclusion that both more and more varied data is needed to establish the presence and magnitude of impacts that VAAs may have on political participation in its various aspects. In the study at hand, we use panel data to examine the relationship between using the Wahl-O-Mat VAA, designed for the 2017 German federal election, and less well-studied aspects of political participation, namely seeking political information through the media about politics and the election specifically, interpersonal discussion about politics and involvement with electoral campaigns.
3 Method
3.1 Dataset
This study draws on panel data collected around the period of the latest German federal elections on September, 24th, 2017 in order to examine relationships between the use of a VAA and political participation other than voting per se. The collection process was organized and conducted by “Respondi,” a market research company with access to a panel approximately 90,000 members-strong. Aiming for a sample approximating the German general population in terms of demographic characteristics, sampling quotas were calculated on the basis of population distributions as to age, sex and (federal) state of residence.
The data collection took place in four waves lasting overall about three and a half months, including the period before (waves 1 and 2), immediately after the election (wave 3) and the post-election period (wave 4), all waves lasting for about 9 days. The first wave was initiated on August, 21st, before electoral campaigning was in full swing, and ended on August, 29th, a day prior to the Wahl-O-Mat VAA becoming available to the public. It was followed by the second wave 2 weeks later, starting on September 14th and lasting until September 23rd, a day before the federal election on the 24th. In this period, participants had the opportunity to interact with the Wahl-O-Mat for a minimum of 2 weeks. The third wave took place immediately after the elections between September 25th and October, 3rd, allowing for the examination of short-term effects and late adopters of the VAA. The final wave was conducted post-electorally, between November, 27th, and December, 6th, 2017.
3.2 Sample
In absolute terms, 2380 people were recruited for the panel, although only 1120 participated in all four surveying waves, an attrition rate of 52.9%. Since the analyses included here are based on balanced panels (i.e. participants with a full set of responses on all four waves), all statistics refer to these 1120 participants only. The balanced panel continued to be adequately representative of the population in terms of geographical dispersion, although men were slightly over-represented (51.9% compared to the expected 50%) and younger people were slightly underrepresented (median age 49 years), largely the effect of increased attrition for younger respondents.
3.3 Procedure
Individuals who indicated their willingness to participate in this study were sent one to two invitation emails during each data collection period. Through the invitation they were asked to complete an online questionnaire concerning their political behaviour and attitudes, with, for the most part, structured questions on, among others, socio-demographics, political party preferences and use and evaluation of Wahl-O-Mat and other VAAs. Responses were provided in a self-completing capacity, completion time was between 25 and 45 min and respondents were monetarily incentivised for their participation.
3.4 Variables and Operationalisation
3.4.1 Dependent Variables
3.4.1.1 Politics-Related Media Consumption
A composite score calculated from responses to a number of questions asking participants to indicate how often, on a scale from 0 (Never) to 7 (Daily), they used four different kinds of media (TV, newspapers, radio, Internet) to inform themselves about politics – see Appendix I. In creating this index to reflect the underlying desire to be informed about politics, we decided against an additive index or factor score, despite these items being well-correlated (see Appendix I), as its magnitude would be deceptive. As an illustration, consider for example two individuals, one consuming news daily through the internet, the second doing so from both radio and newspapers. While it is reasonable to assume that the second has a greater need for politics-related news, it is not reasonable to assume that this need is twice as large, as would be reflected in an additive composite score (e.g. the mean). As such, we resorted to first summing responses to all four items, ranking them independently within each wave and using the ranks in the regression models employed as a composite index whose higher values indicate more information-seeking about politics through any media channel on the part of respondents.
3.4.1.2 Interpersonal Talk about Politics
The tendency to engage in interpersonal talk with others about politics was operationalised as the response to a single item in the survey, namely, “How often do you talk politics with your friends and acquaintances?” (0: Never to 4: Very often).
3.4.1.3 Election-Related Information Seeking
Three questions in the survey concerned information seeking on matters related strictly to the upcoming election (e.g. watching the televised debate) with only “Yes/No” possible responses and a simple additive score was calculated for the total number of such behaviours each respondent engaged in. It is important here to note that these questions were only asked in waves two and three of the survey, 2 weeks before and immediately following the elections.
3.4.1.4 Engagement with Electoral Campaigns
A composite index calculated from responses to four survey items concerning activities such as attending party rallies or being actively involved in the campaign (“Yes/No”). Since most respondents (84.6%) engaged in none of the behaviours mentioned here, a binary score was calculated with 1 if the respondent engaged in any such activity. As was the case with the above category, these questions were only asked in waves two and three of the survey.
3.4.2 Independent Variable: VAA-Use
The independent variable for this study is whether respondents actually used the Wahl-O-Mat VAA prior to the 2017 German federal election (“Yes/No”). Since the VAA was not available when the first wave of data collection took place, values for all respondents for this wave were set at “No.”
3.4.3 Control Variables
The panel regression analyses employed here enable the implicit controlling of time-invariant characteristics (such as sex or education). However, any factors that vary over time (time-variant) that can affect the relationship between dependent and independent variables need to be explicitly controlled and for this purpose we included in our models four additional indices that have either been shown or can be reasonably expected to affect the dependent variables (see Sotirovic and McLeod 2001; Eveland et al. 2005; Shah and Scheufele 2006). These are the following:
Political Interest: Responses to a single item asking respondents how interested they are in politics on a five-point scale (“Not at all” to “Very strongly” – see Appendix I for details).
Political knowledge: Political knowledge was calculated as the total number of correct responses to three factual questions (e.g. “What is the electoral threshold (%) to enter the Bundestag”), with missing values being treated as incorrect responses.
Efficacy: Efficacy refers to a citizens’ sense of adequacy to comprehend political issues as well as their sense that the political system is responsive to their needs and amenable to their actions. We initially tested the ten dedicated items in question for uni-dimensionality, but found it not to be the case. As such, a separate index was calculated for internal (akin here to self-confidence on political matters) and external efficacy (closer here to cynicism toward politicians and parties) (see Appendix I for details). For each type of efficacy, a factor score was calculated independently within each wave through Factor Analysis using polychoric correlations and ML estimation. The factor scores for the two dimensions were obtained using the regression method and oblique (oblimin) rotation for the calculation of the factors.
3.5 Analyses
The primary purpose of data collected from the same individual at different times, as in this study, is exactly to help control measured and un-measured time-invariant variables (Halaby 2004: p. 508) which is achieved by relying on parameter estimation within individuals, rather than between-groups (i.e. using the person themselves as control). Although a number of different configurations for analyses (e.g. Lagged Dependent Variable models, First Differences models) are available, the most straightforward way and the approach taken here is through “Fixed effects models” or “Panel regressions.” In these models either the intercept for the regression, its coefficients or both are allowed to vary between different individuals, the former allowing a different baseline per person, the latter allowing for some control of time-variant unobserved variables. As both F-ratio tests and Hausman specification tests were statistically significant for all models tested (see Table 1 below), all regressions reported here are of the random intercept, fixed slopes/coefficients type and a different baseline (intercept) is calculated for each respondent but the general form of the regression equation is the same for all.
Panel Regression for Politics-Related Media Consumption & Political Talk.
Politics-related media consumption |
Politics-related interpersonal talk |
|||||||||||
---|---|---|---|---|---|---|---|---|---|---|---|---|
Model a |
Model b |
Model a |
Model b |
|||||||||
Unstd coef. | Std. err. | p-Value | Unstd coef. | Std err | p-Value | Unstd coef. | Std. err. | p-Value | Unstd coef. | Std. err. | p-Value | |
VAA use | 14.8 | 6.9 | 0.03 | 14.16 | 6.8 | 0.038 | 0.008 | 0.02 | 0.77 | 0.007 | 0.03 | 0.782 |
Political Interest | 36.1 | 6.1 | <0.001 | 0.08 | 0.02 | 0.001 | ||||||
Political Knowledge | −3.51 | 4.2 | 0.41 | −0.009 | 0.02 | 0.577 | ||||||
Internal Efficacy | 16.08 | 5.8 | 0.005 | 0.14 | 0.02 | 0.001 | ||||||
External Efficacy (Cynicism) | 6.81 | 5.1 | 0.18 | 0.016 | 0.02 | 0.416 | ||||||
Model Fit | F(13,190)=4.64, p=0.03 | F(53,186)=11.04, p<0.001 | F(13,169)=0.08, p=0.772 | F(53,165)=11.72, p<0.001 | ||||||||
R2GLMM | 0.003 | 0.014 | <0.001 | 0.08 | ||||||||
N | 1117 (unbalanced panel in 4 waves) | 1116 (unbalanced panel in 4 waves) | ||||||||||
F-test (full model) | F(1116, 3186)=12.13, p<0.001 | F (1115, 3165)=6.77, p<0.001 | ||||||||||
Hausman test for full model | x2(4)=174.14, p<0.001 | x2(4)=257.35, p<0.001 |
Our initial analytical design was to employ panel regressions for all four dependent variables as described above. However, this proved not to be possible for the ones measured only in waves two and three, namely Election-related Information Seeking and Engagement with electoral campaigns because of the small number of participants who reported using the VAA only at wave 3 (see Section 4). For these variables, we resorted to cross-sectional comparisons of participants who had completed the Wahl-O-Mat VAA for the 2017 election to participants who had not done so for wave three only, where all campaign-related activities had concluded. Such cross-sectional comparisons suffer from selection effects since they involve comparisons between members of a hypothetical general population, who serves as a control group (non VAA-users) to individuals who self-selected to enter a “treatment” or experimental condition (VAA-users), rather than be randomly assigned to it. Such comparisons cannot in any way safely attribute any differences between the two groups to either the effects of the “treatment” (here using a VAA) or to any characteristics that led individuals enter the treatment condition in the first place. People, for example, who use VAAs tend to be, on average, more interested in politics than non-users and it may be this increased interest, rather than the use of the VAA, that led to e.g. greater engagement with electoral campaigns. In an effort to ameliorate (though not entirely eliminate) such selection effects, we matched each individual who used the Wahl-O-Mat to one individual who had not, using propensity score matching and examined for any differences within each pair using repeated measures statistical tests. The matching technique employed was 1:1 ratio matching with no-replacement, employing a caliper of 0.3, where variables could not be matched exactly. We elected to use the following matching variables: sex, age, education, self-placement on a “Left-Right” axis, interest in politics, political knowledge and sense of efficacy, with exact matching for sex, education, interest in politics and residence (whether in East or West Germany – see Appendix II for matching outcomes).
While suboptimal, since this technique does not eliminate selection effects as individuals in pairs can (and are likely to) differ as to un-measured characteristics, it does allow for some confidence that any differences in pairs are not due to (large) differences in any of the matched-for variables. The matching process yielded a matched dataset of 306 pairs with zero or near-zero differences between the pairs of VAA- and non-VAA users (see Appendix II for matching outcomes). We proceeded to test for any differences within each VAA- and non-VAA pair using a repeated-measures t-test for election-related information seeking and the McNemar’s χ2 test for engagement with electoral campaigns. All analyses were conducted using the R statistical software and, more specifically, the psych package (Revelle and Revelle 2015) for factor extraction, the plm package (Croissant and Millo 2008) for panel regressions and the matchIt package (Ho et al. 2011) for the matching process. The relevant datasets, along with replication files for the analyses, are provided as supplementary material in the online version of this paper.
4 Results
Using panel data collected in four waves between 1 month prior to and 2 months following the German federal election of 2017, we examine the relationship between using a Voting Advice Application and involvement with electoral campaigns, political media consumption, interpersonal discourse about politics and information-seeking specifically related to the election at hand (e.g. reading party manifestos). We proceed by providing some descriptive statistics, followed by the presentation of the regression models employed.
4.1 Descriptive Statistics
Of the group of 1120 respondents, 558 reported having used the Wahl-O-Mat during the election campaign while 562 had not. Remarkably, about 50% of the sample resorted to the tool, indicating the popularity of Wahl-O-Mat, which in absolute numbers is the most demanded VAA in Europe. Within the group of users, we distinguish between “early” and “late adopters,” depending on whether respondents used the tool before the second wave (i.e. more than 2 weeks prior to the election) or between the second and the third waves (i.e. less than 2 weeks before the election). The group of late adopters was surprisingly small (n=85) accounting for about 15.2% of the users, the overwhelming share of VAA users being early adopters (n=473, 84.7%).
4.1.1 Politics-Related Media Consumption
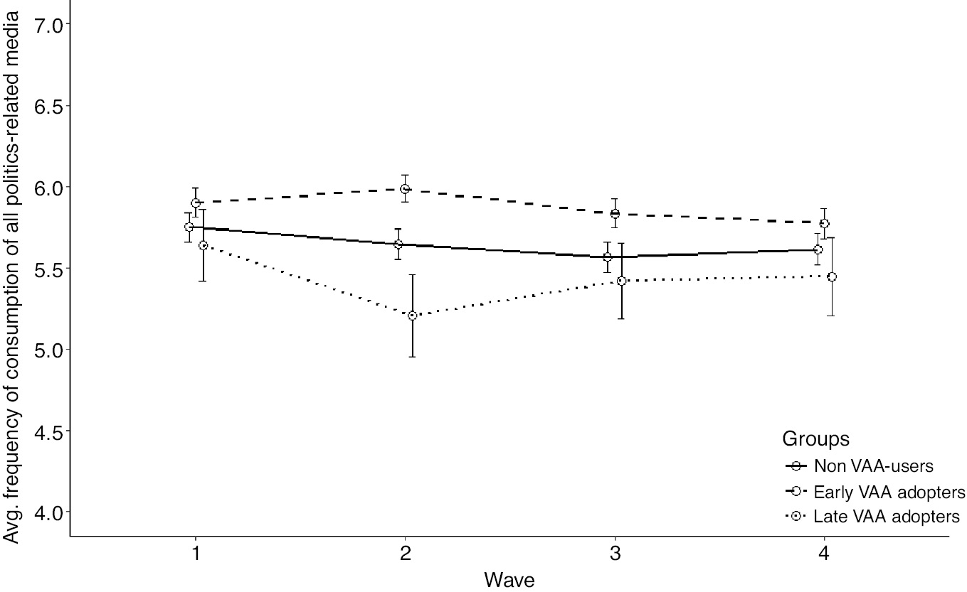
Concerning media consumption, for interpretability and visualisation purposes rather than the ranks-based index used in the regression models below (see Section 3) or averages, we rely on each respondent’s frequency of media consumption of their most preferred medium. That is, taking each person’s responses to the 4 questions on media consumption (through newspapers, radio, etc.), we created a single column that for each respondent contained the highest value in the array of responses, i.e. for each person the value for the medium most frequently used to inform themselves about politics. We find that on average respondents were quite keen to consume political information through the media throughout the observed period (Figure 1), reporting engaging in such behaviour between 5 and 6 days a week (pooled avg.=5.72), a high tendency maintained across waves with small deviations. Interestingly, there seems to be a drop in interest for “late-adopters” of the VAA at wave 2, in the period immediately preceding the elections. Differences between the three groups (non-VAA users, early and late adopters) were generally small across time, with the largest discrepancy observed being approximately 0.7 on a 7-point scale between early and late VAA adopters, although we stress again the small number of late adopters, also reflected in the large standard errors observable in all graphs.

Frequency of political media consumption over time.
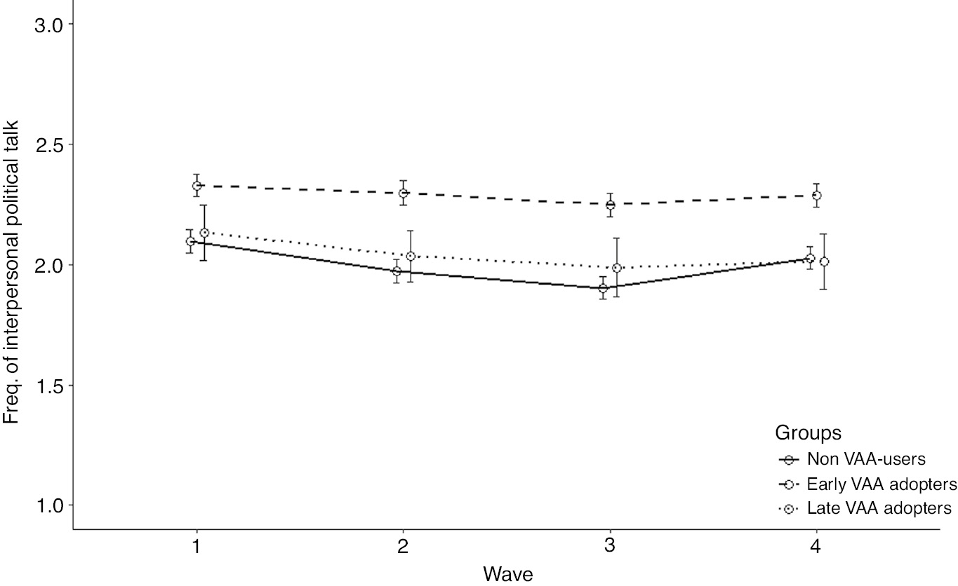
4.1.2 Politics-Related Interpersonal Talk
Figure 2 plots the frequency of engaging in interpersonal discussion about politics with others across the four waves. We find similarly limited variability across time, with differences of very small magnitude across the four waves for all respondents. Individuals participating in the panel generally were engaged somewhat infrequently in politics-related talk with their peers considering that the data were collected in close proximity to the federal elections (pooled median response being “somewhat frequently”).

Politics-related interpersonal talk over time.
4.1.3 Election-Related Information Seeking
In Figure 3 we observe the average number of election-related information seeking activities that respondents reported having engaged in across the two waves where the relevant questions were asked. Given that the questions referred to not particularly costly behaviours (e.g. watching the televised political leaders debate), engagement of this sort should be considered intermediate (pooled average 1.43 out of a maximum score of 3) and does not differ between the two waves. At the group level though, non-VAA users seem to have engaged in 13% less such activities (avg.=1.22) than VAA-users (avg.=1.62) as a whole.

Election-related information seeking behaviours over time.
4.1.4 Engagement with Electoral Campaign
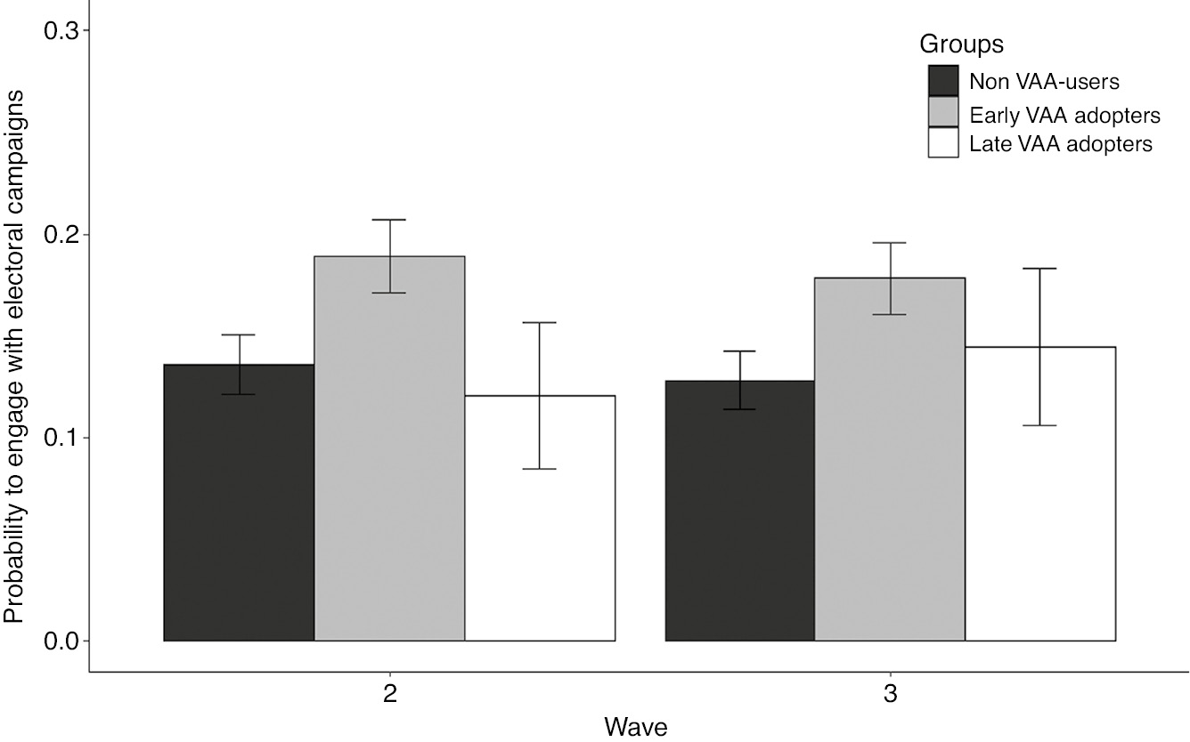
Finally, respondents in this study generally appeared to have little interest to partake in campaign activities, with only about 15.4% probability on average to engage in any of the four types of behaviours tested. Although VAA-users were 4.5% more likely to participate, the average remains rather low for this group as well (17.5% across the two waves).
Perhaps the most interesting observation from all descriptive statistics is that early VAA adopters, who visited the Wahl-O-Mat by wave two, also exhibited a peak for the three other types of behaviour at the same time as well, dropping off after the elections, while the reverse seems to be true for late adopters. In fact this tendency is marginally non-significant for media consumption and significant for interpersonal talk. That is, people who use the VAA more than 2 weeks prior to the election also consume more politics-related media and talk about politics more in the same period and significantly less so in the next period of time (McNemar x2(1)=2.73, p=0.1 and x2(1)=5.63, p=0.017, respectively).
4.2 Regression Models
4.2.1 Politics-related Media Consumption
Shifting our focus on modelling, Table 1 summarises the findings from both simple (Columns A) and full models (Columns B) for media consumption and interpersonal political talk. We find a statistically significant positive association between VAA use and consumption of mass media discussing politics (F(53,186)=11.04, p<0.001), even after controlling for the effect of interest in politics and internal efficacy. The result suggests that VAA-use was contemporaneous with an increase of information-seeking activity through other channels of information, as visiting the Wahl-O-Mat was associated with a gain of 14.8 ranks (about 1.4% of overall ranks) in how frequently respondents engaged with politics-related media, an effect comparable in magnitude to that of an increase in one’s self-confidence for understanding political issues. Larger was the effect obtained for political interest whereby an increment of one unit in the five-point scale between waves was associated with a gain of 36.1 ranks (about 3.3%), in line with previous findings that individuals who consume more political content on both mass media (Norris 1996; McLeod et al. 1999) and the Internet (Shah et al. 2001) tend to also engage in other similar information-seeking activities and to be more socially and politically engaged, in general (Livingstone and Markham 2008). Interestingly, changes between waves in one’s levels of cynicism about politics or political knowledge were found not to be associated with statistically significant changes in respondents’ pattern of media consumption about politics.
4.2.2 Politics-related Interpersonal Talk
Having observed an association between VAA-use and media consumption, we further examined its relationship to interpersonal talk about politics, which, according to part of the literature, is the main avenue through which media exert influence on political participation (see the Communications Mediation Model; see McLeod et al. 1999; Sotirovic and McLeod 2001). We find that although the overall model presents a significant fit (F(53,165)=11.72, p<0.001), VAA use is not at all a good predictor of increased frequency of interpersonal communication (b=−0.008, p=0.782). Positive changes of one unit between waves in political interest and internal efficacy on the other hand were, unsurprisingly, associated with increases in the reporting of more frequent discussions about politics with friends and acquaintances by 1.4% and 3.3%, respectively.
4.3 Cross-Sectional Comparisons
As mentioned in the Section 3, our original plan for analyses involved replicating the aforementioned analyses for Election-related Information Seeking and Engagement with Electoral campaigns. Since the two categories involve actions that could only take place in close proximity to the elections (e.g. attending campaign rallies), the respective questions were only asked at waves two and three (i.e. 2 weeks before and immediately after the elections). This is relevant because by the time these questions were first asked, the majority of users, early adopters of the VAA, had already completed the Wahl-O-Mat and thus no baseline could be established for them. Moreover, only a minority of respondents were late adopters (85) for whom pre-VAA baseline levels were available and an even smaller number provided with a full panel of responses (45) allowing for limited confidence in the results of any panel regression attempted.
In order to examine the relationship between VAA-use and Election-related Information Seeking and Engagement with Electoral Campaigns then, we employed an analytical scheme close to that employed by Gemenis and Rosema (2014). Using only data from wave three and Propensity Score matching, we first created pairs of participants who used the Wahl-O-Mat and who did not, by matching users and non-users as to a number of characteristics (see Section 3). Each pair of participants then involved two individuals with similar e.g. age and identical sex, education etc., one of whom had and one who had not completed the Wahl-O-Mat for the 2017 election and their responses were compared within each pair in a repeated-measures fashion. After removing individuals with any missing values in any of the matched-for variables and excluding any individuals who could not be adequately matched, we were left with 306 pairs of non-VAA and VAA-users.
4.3.1 Election-related Information Seeking
Information-seeking specifically about the elections refers to a category of variables concerning behaviours such as reading party manifestos, watching the televised debates etc., in other words consuming material with informational content that is most similar to what VAAs also provide. Somewhat expectedly then within-pairs t-tests reveal statistically significant differences between VAA- and non VAA-users in pairs (t(306)=3.29, p=0.001; r=0.21), an effect to an extent also observable in Figure 3. On average Wahl-O-Mat users tended to engage in 0.28 (9.3%) more such activities than their counterparts, offering some support for the normalization thesis concerning the function of VAAs (see Hirzalla et al. 2011). That is, the people more likely to take advantage of the information offered by VAAs are those already active and engaged in their role as voters, at least in the sense of monitoring political developments through various channels.
4.3.2 Engagement with Electoral Campaign
On the other hand, we obtain null findings when considering the comparisons pertaining to more active engagement with electoral campaigns, such as attending party rallies (see also Figure 4). More specifically, we find that Wahl-O-Mat users were slightly less likely to engage in such activities (15.3% compared to 16.3%), although the difference does not reach statistical significance (McNemar’s x2(1)=0.11, p=0.74).
5 Discussion
From their inception, VAAs are considered as tools expected to enhance voter mobilisation through their capacity to collect, organise and provide personally relevant political information to citizens in pre-electoral periods. They are hypothesised to operate through a number of avenues, ultimately summaris-able into reducing participation costs or increasing the perceived utility of voting, i.e. by affecting the “time” and “skills” aspects of Verba and Nie’s Resource Model for Participation (1987). Empirical findings concerning the relationship between VAA-use and political participation, primarily vote casting and vote choice, have not been unanimous, varying considerably between national and electoral contexts and highly dependent on the method used for their examination. The present study attempts to add to the literature by examining the putative impact of using a VAA on some of the underexplored and latent aspects political participation, namely information-seeking about politics through the media and directly from political parties, politics-related interpersonal discussions and engagement with activities organised by the various electoral campaigns.
We find evidence for a positive relationship between consumption of politics-related media and VAA-use, an effect that is partly shared but not fully attributable to individuals’ interest in politics and a sense of efficacy. It seems that in this case at least, the use of the Wahl-O-Mat was part of a nexus of behaviours aimed, presumably, at satisfying the need for one to be informed and knowledgeable about the election at hand. Engaging in one information-seeking activity of this type seem to act in a reinforcing fashion toward other similar behaviours (as per Norris’ “virtuous cycle” – see Eveland and Scheufele 2000), with VAAs acting as a starting or end- point for the collection of more information about one’s choices in the election, as suggested by Garzia (2010).
Similarly, when considering information-seeking activities more specifically tied to the election such as reading party programmes, we find VAA-users to be more engaged than non-users. This is in line with the aforementioned finding and unsurprising when considering that these behaviours satisfy similar informational needs as VAAs and we tentatively suggest that, at least in this case, using the Wahl-O-Mat likely acted in a complementary rather than antagonistic fashion with these activities. However, care should be taken not to over-interpret this finding since it is based on group comparisons, rather than experimental or time-series data and the matching pre-processing employed to protect from selection effects cannot be assumed to have done so with respects to variables not measured, such as income etc.
In contrast, we do not find evidence for a relationship between using the Wahl-O-Mat VAA and increased frequency of talking about politics with friends and acquaintances. However, it should be noted that the measurement levels we used for this variable (“Never” to “Very frequently”) may not have been sufficiently sensitive to detect the effect suggested by users’ self-reports that they use the tool’s output as an opportunity to discuss politics with their social circles (Ladner et al. 2009; Marschall 2011). Similarly, we find no significant differences between VAA- and non-VAA-users when it comes to engaging with campaign activities and, in fact, a slight, non-significant, tendency in favour of non- users to do so.
Finally, some care should be taken when interpreting these findings, since regardless of statistical technique used, inferences are still made by contrasting non-users to individuals who, ultimately, have elected to use the VAA in the first place; that is, what is being investigated is a putative effect a VAA has on VAA-users (Average Treatment Effect on the Treated), rather than the counterfactual VAA effect on random individuals from the population (Average Treatment Effect), as would be the case in a field experiment. More importantly, it is imperative to keep in mind both the volatility of findings concerning the relationships between political engagement through digital media and traditional political participation (see Bimber 2003; Boulianne 2009) as well as the possibility that the reported findings might not be replicable in different times or national contexts, particularly where VAAs are not as well established as in Germany.

Likelihood to engage with electoral campaigns over time.
Funding source: European Union’s Horizon 2020 NOTRE project
Award Identifier / Grant number: 692058
Funding statement: The authors wish to acknowledge the funding of the panel study by the Fritz Thyssen Foundation, Köln & travel funding through the European Union’s Horizon 2020 NOTRE project (H2020-TWINN-2015, Grant Agreement Number: 692058).
Appendix
Variables & Operationalisation.
Variable | Measurement | Measurement level | Scalability coefficient H1 | |
---|---|---|---|---|
Dependent variables | ||||
Politics-related Media Consumption | How often do you use the following sources to inform yourself about politics? | 0:= “Never” : 7: = “Daily” | ||
Television | 0.324 | |||
Newspapers | 0.334 | |||
Radio | 0.262 | |||
Internet | 0.307 | |||
Overall Scalability | 0.307 | |||
Politics-related Interpersonal Talk | How often do you talk politics with your friends and acquaintances? | 0:= “Never”: 4:= “Very often” | NA | |
Election-related Information Seeking | Have you read election ads from parties in newspapers or magazines? | Yes/No | 0.332 | |
Did you watch the TV duel between Angela Merkel and Martin Schulz? | 0.268 | |||
Did you read the election program of one or more political parties? | 0.32 | |||
Overall Scalability | 0.306 | |||
Engagement with Electoral Campaign | Have you attended election events or rallies of parties? | Yes/No | 0.712 | |
Did you attend a campaign or rally? | 0.713 | |||
Have you visited a campaign stand by a party or a candidate? | 0.653 | |||
Are you actively involved in the ongoing campaign of a particular party? | 0.677 | |||
Overall Scalability | 0.691 | |||
Independent variable | ||||
VAA-use | Have you already made use of the Wahl-O-Mat for the 2017 federal election? | Yes/No | NA | |
Control variables | ||||
Political Interest | Generally speaking, how interested would you say you are about politics? | 0:= “Not at all” : 5:= “Very much so” |
NA | |
Political Knowledge | What is the crucial vote for deciding Parliament seats? | Multiple choice | 0.324 | |
What is the electoral threshold for entering the Bundestag? | Open-ended | 0.334 | ||
Who elects the Federal Chancellor? | Multiple choice | 0.262 | ||
Overall Scalability | 0.307 | |||
Factor loadings2 |
||||
Factor1 | Factor2 | |||
Efficacy | ||||
Internal | I understand political issues well. | 1:= “I completely disagree” | 0.91 | −0.02 |
I am comfortable taking part in political discussions. | : | 0.9 | 0.01 | |
Politics has become so complicated that, as a citizen, I often do not understand what it is about. | 5:= “I completely agree” | −0.37 | −0.13 | |
External | Politicians care about what ordinary people think. | 1:= “I completely disagree” | 0.03 | 0.92 |
The politicians strive for close contact with the population. | : | −0.02 | 0.87 | |
The parties only want the votes of the voters, their views | 5:= “I completely agree” | 0.03 | −0.7 | |
Excluded from either | Today’s problems are too complicated for politics to solve them | 1:= “I completely disagree” | ||
It is the duty of every citizen to be a regular voter | : | |||
A single vote makes no difference in elections. | 5:= “I completely agree” | |||
Politicians should take popular opinion more into account | ||||
In current politics, how big are the differences between the parties? | ||||
Demographics | Sex: | 0:= “Woman”/1:= “Man” | ||
Education: | 1:= “Volks-/Hauptschule” 2:= “Mittel-, Real-, Handelsschule” 3:= “Abitur, (Fach-)Hochschulreife” |
|||
Net monthly income in euros: | 1:= “under 500 euro” : 11:= “over 5000 euros” | |||
Where do you live? | 1:= “Large city” or “Outskirts of large city” 2:= “Small or mid-sized city” 3:= “Rural village” |
|||
Which state do you reside in? | Responses recoded as: 0:= “West Germany”/1:= “East Germany” |
|||
Left-Right self placement | How would you classify yourself? | 0:= Left : 10:= Right |
1Scalability coefficients calculated independently within waves using Mokken Scale Analysis. The number reported here is the average across all 4 waves
2Factor loadings calculated independently within waves using Factor Analysis with polychoric correlations. The number reported is averaged across waves.
For the EFA, x2(1120)=43.29, p<0.001; RMSEA index=0.12; 65% cum. variance explained. Correlation between the 2 factors: r=0.14.
Matching Outcomes.
Variable | Raw dataset |
Matched dataset |
||
---|---|---|---|---|
non-VAA users | VAA-users | non-VAA users | VAA-users | |
n | 562 | 558 | 306 | 306 |
Test-statistic for differences | ||||
Sex | x2(1)=0.297, p=0.586 | No differences in the matched pairs | ||
Age | t(1110.8)=8.72, p<0.001 | t(305)=0.684, p=0.495 | ||
Education | x2(2)=40.13, p<0.001 | No differences in the matched pairs | ||
Household income | t(800.1)=−3.82 | t(305)=, p=. | ||
Urban/Rural | x2(2)=2.94, p=0.23 | No differences in the matched pairs | ||
Region | x2(1)=2.86, p=0.091 | No differences in the matched pairs | ||
Left-Right self-placement | t(1023.44)=1.5, p=0.133 | t(305)=−0.455, p=0.649 | ||
Vote in the 2017 election | x2(5)=12.86, p=0.025 | x2(36)=36.6, p=0.44 | ||
Interest in Politics | t(1091.8)=−5.64, p<0.001 | t(305)=−1.18, p=0.24 | ||
Political Knowledge | t(998.15)=−8.83, p<0.001 | t(305)=−0.68, p=0.496 | ||
Internal Efficacy score | t(1046.54)=−4.49, p<0.001 | t(305)=−0.34, p=0.734 | ||
External Efficacy score | t(1052.49)=−3.48, p=0.001 | t(305)=−0.5, p=0.615 |
References
Alvarez, R. M., I. Levin, P. Mair and A. Trechsel (2014) “Party Preferences in the Digital Age: The Impact of Voting Advice Applications,” Party Politics, 20:227–236.10.1177/1354068813519960Search in Google Scholar
Barnes, S. H. and M. Kaase (ed.) (1979) Political Action: Mass Participation in Five Western Democracies. Beverley Hills and London: Sage Publications.Search in Google Scholar
Berger, B. (2009) “Political Theory, Political Science and the end of Civic Engagement,” Perspectives on Politics, 7(2):335–350.10.1017/S153759270909080XSearch in Google Scholar
Bimber, B. (2003) Information and American Democracy: Technology in the Evolution of Political Power. Cambridge: Cambridge University Press.10.1017/CBO9780511615573Search in Google Scholar
Bimber, B. and Copeland, L. (2013) “Digital Media and Traditional Political Participation Over Time in the US,” Journal of Information Technology & Politics, 10:125–137.10.1080/19331681.2013.769925Search in Google Scholar
Blumler, J. G. and M. Gurevitch (2001) “The New Media and Our Political Communication Discontents: Democratizing Cyberspace,” Information, Communication & Society, 4:1–13.10.1080/713768514Search in Google Scholar
Boulianne, S. (2009) “Does Internet Use Affect Engagement? A Meta-Analysis of Research,” Political Communication, 26:193–211.10.1080/10584600902854363Search in Google Scholar
Boulianne, S. (2011) “Stimulating or Reinforcing Political Interest: Using Panel Data to Examine Reciprocal Effects between News Media and Political Interest,” Political Communication, 28:147–162.10.1080/10584609.2010.540305Search in Google Scholar
Bowler, S., T. Donovan and J. A. Karp (2007) “Enraged or Engaged? Preferences for Direct Citizen Participation in Affluent Democracies,” Political Research Quarterly, 60:351–362.10.1177/1065912907304108Search in Google Scholar
Brady, H. (1999) “Political Participation.” In: Measures of Political Attitudes, San Diego: Academic Press, pp. 737–801.Search in Google Scholar
Campbell, S. W. and N. Kwak (2010) “Mobile Communication and Civic Life: Linking Patterns of Use to Civic and Political Engagement,” Journal of Communication, 60:536–555.10.1111/j.1460-2466.2010.01496.xSearch in Google Scholar
Conway, M. (2000) Political Participation in the United States. Washington, DC: CQ Press.Search in Google Scholar
Croissant, Y. and G. Millo (2008) “Panel Data Econometrics in R: The plm Package,” Journal of Statistics Software, 27:1–43.10.18637/jss.v027.i02Search in Google Scholar
Dahlberg, S., J. Linde and S. Holmberg (2015) “Democratic Discontent in Old and New Democracies: Assessing the Importance of Democratic Input and Governmental Output,” Political Studies, 63:18–37.10.1111/1467-9248.12170Search in Google Scholar
Dalton, R. J. (2008) “Citizenship Norms and the Expansion of Political Participation,” Political Studies, 56:76–98.10.1111/j.1467-9248.2007.00718.xSearch in Google Scholar
Dalton, R. J. and M. P. Wattenberg (eds.) (2002) Parties without Partisans: Political Change in Advanced Industrial Democracies. Oxford: Oxford University Press.10.1093/0199253099.001.0001Search in Google Scholar
De Graaf, J. (2010) “The Irresistible rise of Stemwijzer.” In: (Cedroni L. and Garzia, D. eds.) Voting Advice Applications in Europe: The state of the art. Napoli: ScriptaWeb, pp. 35–46.Search in Google Scholar
De Rosa, R. (2010) “Cabina-Elettorale.it (Provides Advice to Italian Voters Since 2009).” In: (Cedroni L. and D. Garzia eds.) Voting Advice Applications in Europe: The state of the art. Napoli: ScriptaWeb, pp. 187–212.Search in Google Scholar
Dinas, E., A. H. Trechsel and K. Vassil (2014) “A Look into the Mirror: Preferences, Representation and Electoral Participation,” Electoral Studies, 36:290–297.10.1016/j.electstud.2014.04.011Search in Google Scholar
Dumont, P. and R. Kies (2012) “Smartvote. Lu: Usage and Impact of the First VAA in Luxembourg,” International Journal of Electronic Governance, 5:388–410.10.1504/IJEG.2012.051302Search in Google Scholar
Ekman, J. and E. Amnå (2012) “Political Participation and Civic Engagement: Towards a New Typology,” Human Affairs, 22(3):283–300.10.2478/s13374-012-0024-1Search in Google Scholar
Enyedi, Z. (2016) “The Influence of Voting Advice Applications on Preferences, Loyalties and Turnout: An Experimental Study,” Political Studies, 64:1000–1015.10.1111/1467-9248.12213Search in Google Scholar
Eveland Jr, W. P. and D. A. Scheufele (2000) “Connecting News Media Use with Gaps in Knowledge and Participation,” Political Communication, 17:215–237.10.1080/105846000414250Search in Google Scholar
Eveland Jr, W. P., A. F. Hayes, D. V. Shah and N. Kwak (2005) “Understanding the Relationship between Communication and Political Knowledge: A Model Comparison Approach Using Panel Data,” Political Communication, 22:423–446.10.1080/10584600500311345Search in Google Scholar
Fivaz, J. and G. Nadig (2010) “Impact of Voting Advice Applications (VAAs) on Voter Turnout and their Potential Use for Civic Education,” Policy & Internet, 2:167–200.10.2202/1944-2866.1025Search in Google Scholar
Garzia, D. (2010) “The Effects of VAAs on Users’ Voting Behaviour: An Overview.” In: (Cedroni L. and D. Garzia eds.) Voting Advice Applications in Europe: The state of the art. Napoli: ScriptaWeb, pp. 13–33.Search in Google Scholar
Garzia, D. and S. Marschall (2012) “Voting Advice Applications Under Review: The State of Research,” International Journal of Electronic Governance, 5:203–222.10.1504/IJEG.2012.051309Search in Google Scholar
Garzia, D. and S. Marschall (2014) “Voting Advice Applications in a Comparative Perspective: An Introduction.” In: (Garzia D. and S. Marschall eds.) Matching Voters with Parties and Candidates. Voting Advice Applications in a Comparative Perspective. Colchester: ECPR Press, pp. 1–10.Search in Google Scholar
Garzia, D., A. De Angelis and J. Pianzola (2014) “The Impact of Voting Advice Applications on Electoral Participation,” In: (Garzia D. and S. Marschall eds.) Matching Voters with Parties and Candidates. Voting Advice Applications in a Comparative Perspective. Colchester: ECPR Press, pp. 105–114.Search in Google Scholar
Garzia, D., A. H. Trechsel and A. De Angelis (2017) “Voting Advice Applications and Electoral Participation: A Multi-Method Study,” Political Communication, 34:424–443.10.1080/10584609.2016.1267053Search in Google Scholar
Gemenis, K. and M. Rosema (2014) “Voting advice applications and electoral turnout,” Electoral studies, 36:281–289.10.1016/j.electstud.2014.06.010Search in Google Scholar
Gemenis, K. and C. van Ham (2014) “Comparing Methods for Estimating Parties’ Positions in Voting Advice Applications.” In: (Garzia D. and S. Marschall eds.) Matching Voters with Parties and Candidates. Voting Advice Applications in a Comparative Perspective. Colchester: ECPR Press, pp. 33–48.Search in Google Scholar
Gelman, A. and G. King (1993) “Why Are American Presidential Election Campaign Polls So Variable When Votes Are So Predictable?” British Journal of Political Science, 23:409–451.10.1017/S0007123400006682Search in Google Scholar
Germann, M. and K. Gemenis (2018) “Getting out the Vote with Voting Advice Applications,” Political Communication. DOI: 10.1080/10584609.2018.1526237.10.1080/10584609.2018.1526237Search in Google Scholar
Grönlund, K. and H. Milner (2006) “The Determinants of Political Knowledge in Comparative Perspective,” Scandinavian Political Studies, 29:386–406.10.1111/j.1467-9477.2006.00157.xSearch in Google Scholar
Halaby, C. N. (2014) “Panel Models in Sociological Research: Theory into Practice,” Annual Review of Sociology, 3:507–544.10.1146/annurev.soc.30.012703.110629Search in Google Scholar
Heinsohn, T., J. Israel, S. Marschall and M. Schultze (2016) “Online-Wahlhilfen in Wahlkämpfen,” Zeitschrift für Politikwissenschaft, 26:253–277.10.1007/s41358-016-0055-ySearch in Google Scholar
Hirzalla, F., L. Van Zoonen and J. de Ridder (2011) “Internet Use and Political Participation: Reflections on the Mobilization/Normalization Controversy,” The Information Society, 27:1–15.10.1080/01972243.2011.534360Search in Google Scholar
Ho, D. E., K. Imai, G. King and E. A. Stuart (2011) “MatchIt: Nonparametric Preprocessing for Parametric Causal Inference,” Journal of Statistics Software, 42:1–28.10.18637/jss.v042.i08Search in Google Scholar
Inglehart, R. and C. Welzel (2005) Modernization, Cultural Change and Democracy: The Human Development Sequence. Cambridge: Cambridge University Press.Search in Google Scholar
Iyengar, S. and A. F. Simon (2000) “New Perspectives and Evidence on Political Communication and Campaign Effects,” Annual Review of Psychology, 51:149–169.10.1146/annurev.psych.51.1.149Search in Google Scholar
Kaase, M. and A. Marsh (1979) “Political Action. A Theoretical Perspective.” In: (Barnes S., M. Kaase, K. R. Allerback, B. Farah, F. Heunks, R. Inglehart, M. K. Jennings, H. D. Klingemann, A. Marsh and Rosenmayr, L. eds.) Political Action: Mass Participation in Five Western Democracies. Beverly Hills, CA: Sage Publications, pp. 27–56.Search in Google Scholar
Kaid, L. L., M. S. McKinney and J. C. Tedesco (2007) “Introduction: Political Information Efficacy and Young Voters,” The American Behavioral Scientist, 50:1093–1111.10.1177/0002764207300040Search in Google Scholar
Kamoen, N., B. Holleman, A. Krouwel, J. Van de Pol and C. De Vreese (2015) “The Effect of Voting Advice Applications on Political Knowledge and Vote Choice,” Irish Political Studies, 30:595–618.10.1080/07907184.2015.1099096Search in Google Scholar
Kruikemeier, S., G. Van Noort, R. Vliegenthart and C. H. De Vreese. (2014) “Unraveling the Effects of Active and Passive Forms of Political Internet Use: Does It Affect Citizen’s Political Involvement?” New Media & Society, 16(6):903–920.10.1177/1461444813495163Search in Google Scholar
Ladner, A. (2016) “Do VAAs Encourage Issue Voting and Promissory Representation? Evidence From the Swiss Smartvote,” Policy & Internet, 8:412–430.10.1002/poi3.137Search in Google Scholar
Ladner, A. and J. Pianzola (2010) “Do Voting Advice Applications have an Effect on Electoral Participation and Voter Turnout? Evidence from the 2007 Swiss Federal Elections.” In: International Conference on Electronic Participation. Springer, Berlin, Heidelberg, pp. 211–224.10.1007/978-3-642-15158-3_18Search in Google Scholar
Ladner, A., J. Fivaz and G. Nadig (2009) “Voting Assistance Applications as Tools to Increase Political Participation and Improve Civic Education.” In: (Print M. and H. Milner eds.) Civic Education and Youth Political Participation. Taipei: Sense Publishers, pp. 43–60.10.1163/9789460910258_004Search in Google Scholar
Ladner, A., J. Fivaz and J. Pianzola (2012) “Voting Advice Applications and Party Choice: Evidence from Smartvote Users in Switzerland,” International Journal of Electronic Governance, 5:367–387.10.1504/IJEG.2012.051303Search in Google Scholar
Livingstone, S. and T. Markham (2008) “The Contribution of Media Consumption to Civic Participation,” The British Journal of Sociology, 59:351–371.10.1111/j.1468-4446.2008.00197.xSearch in Google Scholar
Lupia, A. and M. D. McCubbins (1998) The Democratic Dilemma: Can citizens Learn what they Need to Know? Cambridge: Cambridge University Press.Search in Google Scholar
Mahéo, V. A. (2016) “The Impact of Voting Advice Applications on Electoral Preferences: A Field Experiment in the 2014 Quebec Election,” Policy & Internet, 8:391–411.10.1002/poi3.138Search in Google Scholar
Mahéo, V. A. (2017) “Information Campaigns and (Under) Privileged Citizens: An Experiment on the Differential Effects of a Voting Advice Application,” Political Communication, 34:511–529.10.1080/10584609.2017.1282560Search in Google Scholar
Mair, P. (2008) “The Challenge to Party Government,” West European Politics, 31:211–234.10.1080/01402380701835033Search in Google Scholar
Marschall, S. (2011) “Wahlen, Wähler, Wahl-O-Mat,” Aus Politik und Zeitgeschichte, 4:40–46.Search in Google Scholar
Marschall, S. (2014) “Profiling Users.” In: (Garzia D. and S. Marschall eds.) Matching Voters with Parties and Candidates. Voting Advice Applications in a Comparative Perspective. Colchester: ECPR Press, pp. 93–104.Search in Google Scholar
Marschall, S. and C. K. Schmidt (2010) “The Impact of Voting Indicators: the Case of the German Wahl-O-Mat.” In: (Cedroni L. and D. Garzia eds.) Voting Advice Applications in Europe: The state of the art. Napoli: ScriptaWeb, pp. 61–86.Search in Google Scholar
Marschall, S. and M. Schultze (2012) “Voting Advice Applications and their Effect on Voter Turnout: The Case of the German Wahl–O–Mat,” International Journal of Electronic Governance, 5:349–366.10.1504/IJEG.2012.051314Search in Google Scholar
McLeod, J. M., D. A. Scheufele and P. Moy (1999) “Community, Communication, and Participation: The Role of Mass Media and Interpersonal Discussion in Local Political Participation,” Political Communication, 16:315–336.10.1080/105846099198659Search in Google Scholar
Milbrath, L. W. and M. L. Goel (1977) Political Participation. 2nd ed. Chicago: Rand McNally.Search in Google Scholar
Norris, P. (1996) “Does Television Erode Social Capital? A Reply to Putnam,” Political Science and Politics, 29:473–480.10.1017/S104909650004511XSearch in Google Scholar
Norris, P. (2012) “‘To them that Hath…’. News Media and Knowledge Gaps,” Zeitschrift für vergleichende Politikwissenschaft, 6:71–98.10.1007/s12286-012-0130-9Search in Google Scholar
O’Toole, T., M. Lister, D. Marsh, S. Jones and A. McDonagh (2003) “Tuning Out or Left Out? Participation and Non-Participation Among Young People,” Contemporary politics, 9(1):45–61.10.1080/1356977032000072477Search in Google Scholar
Revelle, W. and M. W. Revelle (2015) “Package ‘psych.’” The Comprehensive R Archive Network.Search in Google Scholar
Schultze, M. (2014) “Effects of Voting Advice Applications (vaas) on Political Knowledge about Party Positions,” Policy & Internet, 6:46–68.10.1002/1944-2866.POI352Search in Google Scholar
Shah, D. V. and D. A. Scheufele (2006) Explicating Opinion Leadership: Nonpolitical Dispositions, Information Consumption, and Civic Participation,” Political Communication, 23:1–22.10.1080/10584600500476932Search in Google Scholar
Shah, D., N. Kwak and R. L. Holbert (2001) “’Connecting’ and ‘Disconnecting’ with Civic Life: Patterns of Internet use and the Production of Social Capital,” Political Communication, 18:141–162.10.1080/105846001750322952Search in Google Scholar
Shah, D. V., J. Cho, W. P. Eveland Jr and N. Kwak (2005) “Information and Expression in a Digital Age: Modeling Internet Effects on Civic Participation,” Communication Research, 32:531–565.10.1177/0093650205279209Search in Google Scholar
Skoric, M. M., Q. Zhu, D. Goh and N. Pang (2016) “Social Media and Citizen Engagement: A Meta-Analytic Review,” New Media and Society, 18:1817–1839.10.1177/1461444815616221Search in Google Scholar
Sotirovic, M. and J. M. McLeod (2001) “Values, Communication Behavior, and Political Participation,” Political Communication, 18:273–301.10.1080/10584600152400347Search in Google Scholar
Stokes, G. (2006) “Critical Theories of Deliberative Democracy and the Problem of Citizenship.” In: The Search for Deliberative Democracy in China. Palgrave Macmillan, New York, pp. 53–73.10.1057/9780312376154_4Search in Google Scholar
Teorell, J., M. Torcal and J. R. Montero (2007) “Political Participation: Mapping the Terrain.” In: (van Deth J., J. R. Montero and A. Westholm eds.) Citizenship and Involvement in European Democracies: A Comparative Perspective. London: Routledge, pp. 334–357.Search in Google Scholar
Van Aelst, P., J. Strömbäck, T. Aalberg and F. Esser (2017) “Political Communication in a High-Choice Media Environment: A Challenge for Democracy?” ANNALS 41:3–27.10.1080/23808985.2017.1288551Search in Google Scholar
Van Biezen, I., P. Mair and T. Poguntke (2012) “Going, Going,… Gone? The Decline of Party Membership in Contemporary Europe”. European Journal of Political Research, 51(1):24–56.10.1111/j.1475-6765.2011.01995.xSearch in Google Scholar
Van Deth, J. W. (2001) “Studying Political Participation: Towards a Theory of Everything.” In: Joint Sessions of Workshops of the European Consortium for Political Research, Grenoble, pp. 6–11.Search in Google Scholar
Van de Pol, J., B. Holleman, N. Kamoen, A. Krouwel and C. De Vreese (2014) “Beyond Young, Highly Educated Males: A Typology of VAA Users,” Journal of Information Technology & Politics, 11(4):397–411.10.1080/19331681.2014.958794Search in Google Scholar
Vassil, K. (2011) Role of Self Selection in Estimating the Effects of Voting Advice Applications Empirical Evidence on the basis of Swiss Smartvote Data. Unpublished doctoral dissertation.Search in Google Scholar
Verba, S. and N. H. Nie (1987) Participation in America: Political Democracy and Social Equality. University of Chicago Press.Search in Google Scholar
Verba, S., N. H. Nie and J. O. Kim (1987) Participation and Political Equality: A Seven-Nation Comparison. University of Chicago Press.Search in Google Scholar
Verba, S., K. L. Schlozman and H. E. Brady (1995) Voice and Equality: Civic voluntarism in American Politics. Cambridge: Harvard University Press.10.2307/j.ctv1pnc1k7Search in Google Scholar
Walgrave, S., P. Van Aelst and M. Nuytemans (2008) “‘Do the Vote Test’: The Electoral Effects of a Popular Vote Advice Application at the 2004 Belgian Elections,” Acta Politica, 43:50–70.10.1057/palgrave.ap.5500209Search in Google Scholar
Wall, M., A. Krouwel and T. Vitiello (2014) “Do Voters Follow the Recommendations of Voter Advice Application Websites? A Study of the Effects of Kieskompas. nl on its Users’ Vote Choices in the 2010 Dutch Legislative Elections,” Party Politics, 20:416–428.10.1177/1354068811436054Search in Google Scholar
Westle, B., C. Begemann and A. Rütter (2015) “The ‘Wahl-O-Mat’ in the Course of the German Federal Election 2013–Effects of a German VAA on Users’ Election-Relevant Political Knowledge,” ZPol Zeitschrift für Politikwissenschaft, 24:389–426.10.5771/1430-6387-2014-4-389Search in Google Scholar
Supplementary Material
The online version of this article offers supplementary material (https://doi.org/10.1515/spp-2018-0008).
©2019 Walter de Gruyter GmbH, Berlin/Boston
Articles in the same Issue
- Frontmatter
- Articles
- VAAs Users’ Voting Behavior and the Role of Partisanship. Evidence from the 2014 Belgian Federal Elections
- The Impact of VAAs on (non-Voting) Aspects of Political Participation: Insights from Panel Data Collected During the 2017 German Federal Elections Campaign
- Validating and Improving Voting Advice Applications: Estimating Party Positions Using Candidate Surveys
- The Impact of Voting Advice Applications on Electoral Turnout: Evidence from Greece
Articles in the same Issue
- Frontmatter
- Articles
- VAAs Users’ Voting Behavior and the Role of Partisanship. Evidence from the 2014 Belgian Federal Elections
- The Impact of VAAs on (non-Voting) Aspects of Political Participation: Insights from Panel Data Collected During the 2017 German Federal Elections Campaign
- Validating and Improving Voting Advice Applications: Estimating Party Positions Using Candidate Surveys
- The Impact of Voting Advice Applications on Electoral Turnout: Evidence from Greece