Home Technology Mechanical properties and fatigue analysis of rubber concrete under uniaxial compression modified by a combination of mineral admixture
Article Open Access

Mechanical properties and fatigue analysis of rubber concrete under uniaxial compression modified by a combination of mineral admixture

  • Muhammad Akbar , Bilal Ahmed , Wu Qing , Jan Kubica , Ali Zar , Heba Abdou ORCID logo EMAIL logo , Ahmed M. Yosri EMAIL logo and Yasser R. Zaghloul
Published/Copyright: November 14, 2025
Become an author with De Gruyter Brill

Abstract

To understand rubber concrete’s mechanical and fatigue performance under uniaxial compression, a 0 %, 8 %, 15 %, 20 %, and 25 % rubber particle incorporated mineral admixture, combined with 0 %, 4 %, 8 % and 15 % fly ash (FA) and 0 %, 5 %, 10 % and 15 % silica fume (SF), was used to prepare rubber concrete. Mechanical performance and uniaxial compression fatigue tests under constant amplitude cyclic loading were conducted. A damage model for rubber concrete fatigue strain was developed based on Miner’s cumulative damage theory. A reliability analysis of the fatigue life of rubber concrete was conducted using probabilistic statistical methods and experimental data. The distribution characteristics under uniaxial compression with constant amplitude cyclic loading were determined. The results indicate that rubber concrete incorporated with mineral admixture exhibits a significantly longer fatigue life compared to ordinary cement concrete under the same stress levels. Including 8 % fly ash (FA), 10 % silica fume (SF), and 15 % crumb rubber (CR) enhanced the mechanical properties of the concrete, leading to a 7.5 % increase in fatigue life. The incorporation of rubber particles also reduces the range of changes in stress strength factors. The evolution of fatigue strain in rubber concrete follows a three-stage pattern similar to that of conventional concrete, and its fatigue life is consistent with a logarithmic normal distribution. The equation for fatigue strain and damage amount of rubber concrete suggests that adding rubber may increase the fatigue deformation capacity of concrete to some extent, with the degree of improvement being independent of stress level.

Nomenclature

S–N

curve basic estimate of fatigue life

CR

Crumb rubber

SF

silica fume

FA

Fly ash

FL

fatigue life

e

number of cycles

g , h , i

test reflect the material fatigue performance parameter

μ ˆ k = g ˆ / h ˆ , μ ˆ k = 1 / g ˆ ˆ

distribution parameters determined by regression analysis

x k

maximum deviation

R2

coefficient of determination

u

Influence coefficient of rubber content on fatigue strain

t

damage threshold strain

SL

stress level

σ

stress

P and Φ

strictly monotonically

lgV

logarithm of fatigue life

P

cumulative failure probability

M(x)

distribution function

α

inspection Level

I

double-log linear regression

1 Introduction

Concrete is currently the most widely used product worldwide because of the rapid global urban development in construction, which has increased the demand for concrete [1], 2]. In recent years, the rapid advancement of automotive manufacturing has resulted in significant consumption [3], 4], deterioration, and disposal of automobile tyres, leading to a growing global interest in recycling waste tyres [5], 6]. In 2023, about 1.5 billion tons of stone were crushed, valued at more than $24 billion, and it is projected to reach 34.2 billion by 2030, growing at a compound annual globe rate (CAGR) of 4.3 % from 2024 to 2030 in the building industry, a 4 % rise from the previous year’s output of more than 1.5 billion tons [7], 8]. By 2030, the annual production of discarded tyres is expected to exceed 6 billion [9].

Concrete structures endure high-intensity earthquakes, flood-discharged buildings experience significant shocks during flood discharge, and bridge piers are influenced by water flow. These are fatigue loads that must be accounted for in the everyday functioning of structures [10]. Fatigue is a critical consideration in the design of concrete buildings intended to endure high cyclic repeated loads. Fatigue-induced crack propagation is the primary determinant of the service life of concrete structures, since the presence of cracks diminishes both the load-bearing capacity and durability of the structure. Comprehending the development and propagation of fractures under fatigue loading is a fundamental concern in the fatigue damage evaluation of concrete materials and components [11].

The impact of fracture growth throughout the fatigue life on the eventual failure mechanism requires more elucidation. Consequently, it is important to examine the fatigue characteristics of fractured concrete to guarantee the enduring safety and stability of structures [12]. Golewski [13] performed an experimental investigation on the cyclic behaviour of beam-column joints in rubber-concrete frame systems exhibiting comparable compressive strengths. The test findings indicate that rubber-concrete may postpone the formation of fractures in the core region of frame joints. Wang et al. [14] performed bending fatigue experiments on concrete specimens with varying water-cement ratios and rubber contents. The test findings indicate that, in addition to its superior fatigue life, rubber concrete can endure more total and plastic deformation under identical stress conditions. The use of rubber concrete in pavement is thought to diminish both operational and total construction expenses of the project. Xi et al. [15] cast the rubber concrete foundation and the ordinary concrete foundation with equivalent strength, respectively. The findings from extensive testing indicate that the superior ductility, fracture resistance, and fatigue performance of rubber concrete may enhance the safety and longevity of structures. Rubberised concrete is considered a viable alternative to conventional concrete in the marketplace. Currently, researchers primarily examine the impact of rubber content on the deformation capacity and fatigue life of concrete; however, there is a scarcity of studies addressing the propagation mechanism and damage process of interior fractures in rubber concrete subjected to fatigue loading.

Waste tyres accumulate land resources [16], and their combustion harms the environment [17]. Reusing recycled materials in the industry is a key feature of sustainable construction [18]. Study has demonstrated that the impermeability [19], fire [20], lightweight [21], toughness [22], sound absorption and vibration damping [23], crack resistance [24], frost resistance [25], fatigue strength resistance [26], heavy impact resistance, curing temperature [26] freeze-thaw resistance [27], and resistance to repeated loading [28] of concrete can be improved by treating waste tyres into rubber fine aggregate and incorporating it into concrete [29], 30]. This effectively compensates for the deficiencies of ordinary concrete, which include poor impact resistance, fatigue resistance, and slight elastic deformation [31], 32]. The use of rubber concrete in construction is expected to mitigate environmental pollution, provide social benefits, and facilitate the conversion of discarded tires into valuable resources [33], 34].

A substantial amount of research on the fatigue characteristics of concrete has been conducted [35], 36]. Matsushita et al. [37] investigated the fatigue characteristics of concrete by conducting over 103 high-cycle compression fatigue loading experiments. The results indicated that the compression fatigue life of concrete follows a logarithmic normal distribution. Kim et al. [38] utilized 160 cylindrical concrete specimens to evaluate the compressive fatigue performance, revealing that the total strain of the prototype during fatigue failure closely mirrored the strain observed in the descending phase during static load failure. Guo et al. [39] performed tensile and compression fatigue tests on pre-cracked coarse aggregate concrete, employing linear regression on the fatigue strength and life data to derive the S–N curve for concrete fatigue life. Medeiros et al. [40] executed a compression fatigue test on 123 cube specimens, each with a side length of 100 mm. The findings indicate that loading frequency significantly influences the fatigue properties of concrete.

Viswanath et al. [41] examined wind turbine foundations’ fatigue strength and design by conducting axial compression fatigue tests on concrete cylinder samples. Dehdezi et al. [42] discovered that the impact resistance of crumb rubber concrete surpasses that of conventional concrete due to its resistance to crack propagation. Their results indicated that the impact strength increased by 660 % after incorporating 50 % rubber particles by weight. Gupta et al. and Marques et al. [43], 44] examined the reduction in compressive strength and elastic modulus to 23.3 % and 49.2 %, respectively, for the 25 % crumb rubber sample. The study demonstrated that fine aggregates have superior mechanical performance relative to chipped rubber [45]. Liu et al. [31] investigated the partial substitution of coarse aggregate with chipped rubber at varying rubber contents of 5 %, 7.5 %, and 10 % by weight, resulting in a decrease in compressive strength of approximately 10–30 %. The experimental examination of concrete’s fatigue characteristics primarily concentrates on modeling the fatigue S–N curve, fatigue strength, fatigue deformation, and fatigue damage analysis, among other aspects [46]. The investigation of the fatigue performance of rubber concrete mostly focuses on bending fatigue testing. Experimental studies on fatigue performance under uniaxial compression are seldom reported. This article presents an experimental investigation on two phases: the mechanical properties of rubberised concrete, such as compressive strength and flexural strength with mineral admixture as a cementitious material and crumb rubber as a fine aggregate substitute with varying percentages; and a theoretical analysis of rubber concrete’s uniaxial compression fatigue performance. A damage model for the fatigue strain of rubber concrete was established based on Miner’s cumulative damage theory. A reliability study of the fatigue life of rubber concrete was performed using probabilistic statistical approaches and experimental data.

2 Test overview

2.1 Test materials

Cement: To enhance the overall strength of rubberized concrete, it is imperative to supplement the cement grade, as rubber aggregates possess a relatively low strength. Locally produced Ordinary Portland Cement (OPC) type II as per ASTM C136/C136M-19 [47], which is appropriate for general industrial and building structures, was utilized in this investigation, with particle size distribution as shown in Figure 1 (a). The physical, chemical, and mechanical properties of the cement in the substance are detailed in Tables 1 and 2.

Figure 1: 
Particle size distribution: a) Cement. b) FA, c), and d) Grading curves of fine and coarse aggregates according to ASTM C136/C136M-19 grading standards.
Figure 1:

Particle size distribution: a) Cement. b) FA, c), and d) Grading curves of fine and coarse aggregates according to ASTM C136/C136M-19 grading standards.

Table 1:

Physical and chemical properties of cement, fly ash, and silica fume.

Chemical SiO2 CaO Al2O3 Fe2O3 MgO SO3 K2O Na2O Cl TiO2 LOI P. size μm
CEM II 17.5 64.65 5.5 3.21 1.74 2.69 0.8 0.9 0.08 0.32 4.02 ±20
FA 0.85 52.60 0.18 0.07 0.3 0.025 0.4 0.04 0.02 42.8 ±25
SF 94.6 0.27 0.18 0.05 0.4 0.1 0.5 0.1 ±15
Table 2:

Mechanical properties of cement (ASTM C136/C136M-19).

Surface area (cm2/gm) Coagulation time (min) Flexural strength (MPa) Compressive strength (MPa) Specific gravity Soundness (mm)
3450 Initial setting time (min) Final setting time (min) 3-days 28-days 3-days 28-days 3.2 1
100 189 5.0 8.5 24 51.2

Mineral admixture

The mechanical properties of rubber concrete modified by tire content are made with a particle size of 0.07 mm obtained from a sieve of 75 μm, which is employed as a replacement of the sand replacement 0 %, 8 %, and 25 %, silica fume cement at replacement stages of 5 %–15 % by weight of cement. The mechanical properties of fly ash are made with a particle size of 0.045 mm obtained from a sieve of 45 μm, which is employed as a replacement of cement at a replacement of 4 %–16 % by weight of cement. The physical, chemical, and mechanical properties of the cement, fly ash, and silica fume in the substance are detailed in Table 1.

Coarse aggregate: The coarse aggregate is natural stone particles. The particle distribution curve of the coarse aggregate is shown in Figure 1 (d); the aggregate surface is irregular due to the adhered concrete on the aggregate surface. Hence, before it is incorporated into concrete, the coarse aggregate should undergo a process of sieving [11], [12], [13]. As per the aggregate classification standards ASTM C136/C136M-19 [47], it is classified as a lightweight aggregate. In this study [32], the coarse aggregate particle size is graded from 5-20 mm and is divided continuously; the physical properties of coarse aggregate results are presented in Table 3.

Table 3:

Physical properties of coarse aggregate (ASTM C136/C136M-19).

Apparent density (kg/m3) Bulk density (kg/m3)

(loose)
Bulk density (kg/m3) Specific gravity Water absorption (%) Void ratio (%) Finenesss modulus
2450 1250 1452 2.25 4.5 16 8

Fine aggregate: The fine aggregate utilized in this investigation is natural sand sourced from the river region of Pakistan. With a uniformly graded particle size distribution, natural sand is categorized as Zone II sand and medium sand based on its fineness modulus. The results of the physical property analysis of the sand utilized in this investigation are shown in Table 4, following the “ASTM C136/C136M-19 [47].” The rubber utilized in this research is waste-tier rubber. Figure 1(c) shows the particle size distribution of the fine aggregate.

Table 4:

Physical properties of fine aggregate.

Apparent density (kg/m3) Bulk density (kg/m3) Specific gravity Mud content (%) Water absorption (%) Finenesss modulus
2450 1450 2.6 0.25 1.57 3.2

Rubber particles: The mechanical characteristics of rubber concrete, including crumb rubber (CR) with a particle size of 0.35 mm, derived from a 350-μm sieve, are evaluated as a substitute for fine aggregates at replacement levels of 8 %, 15 %, 20 %, and 25 % by weight of sand. Use mesh rubber particles to prepare rubber concrete specimens and conduct mechanical properties and fatigue tests on the cylinders. The rubber aggregate concrete with a fine mesh particle size was selected for the fatigue test investigation. The bulk density is 720 kg/m3. The mechanical properties are shown in Table 5, which is aligned with (ISO), 2018 [48]. The mechanical properties of the rubber particles align with the requirements of the “production line for mechanical preparation of rubber particles from waste tires at room temperature” (ISO, 2018).

Table 5:

Mechanical properties of rubber particles.

Rubber particle size/mesh Average particle size/μm Screen particle size/μm Screening rate / (%) Ash content / (%) Acetone extract / (%) Tensile strength/ MPa Tensile elongation/(%)
Fine 562 600 ≥90 ≤8 ≤8 ≥15 ≥500

2.2 Specimen design

The mix design for ordinary concrete was prepared based on the strength grade of the specimens, following the guidelines outlined in the ASTM C39-20 [49], 50]. A water-to-binder ratio of 0.45 and a sand content of 0.4 were selected. The experimental mix design program of all three rubber concrete groups can be seen in Figure 2. Crumb rubber particles were incorporated as a partial replacement for sand at volumetric replacement levels of 8 %, 15 %, 20 %, and 25 %. Similarly, fly ash (FA) and silica fume (SF) were replaced with cement at 0 %, 4 %, 8 %, and 12 % levels, respectively, 5 %, 10 %, and 15 %, while the crumb rubber content replaced fine aggregate at constant volumes of 10 %, 15 %, 20 %, and 25 %. The dosage of the water-reducing agent was adjusted to account for the increasing content of crumb rubber particles. The detailed mix proportions for the specimens are presented in Table 6.

Figure 2: 
Design of rubber concrete mix, a combination of mineral admixture.
Figure 2:

Design of rubber concrete mix, a combination of mineral admixture.

Table 6:

Specimens mix ratio (kg/m3).

Experiments program Mix ID Cement (kg/m3) Fine aggregate (kg/m3) Coarse aggregate (kg/m3) Water kg (kg/m3) Fly ash (kg/m3) Silica fume (kg/m3) Tire rubber (kg/m3) Water admixture chemical
Experiments program (1) CS-0 300 690 1050 170 0 0 0 9.00
RC-1 300 621 1050 170 0 0 90 9.00
RC-2 300 586.5 1050 170 0 0 103.5 9.00
RC-3 300 552 1050 170 0 0 138 9.00
RC-4 300 517.5 1050 170 0 0 172.5 9.00
Experiments program (2) RC-1 300 621 1050 170 0 0 103.5 9.00
RC-FA 1 288 621 1050 170 12 0 103.5 9.00
RC-FA 2 276 621 1050 170 24 0 103.5 9.00
RC-FA 3 264 621 1050 170 36 0 103.5 9.00
Experiments (3) RC-FASF 1 261 621 1050 170 24 15 103.5 9.00
RC-FASF 2 254 621 1050 170 24 30 103.5 9.00
RC-FASF 3 239 621 1050 170 24 45 103.5 9.00

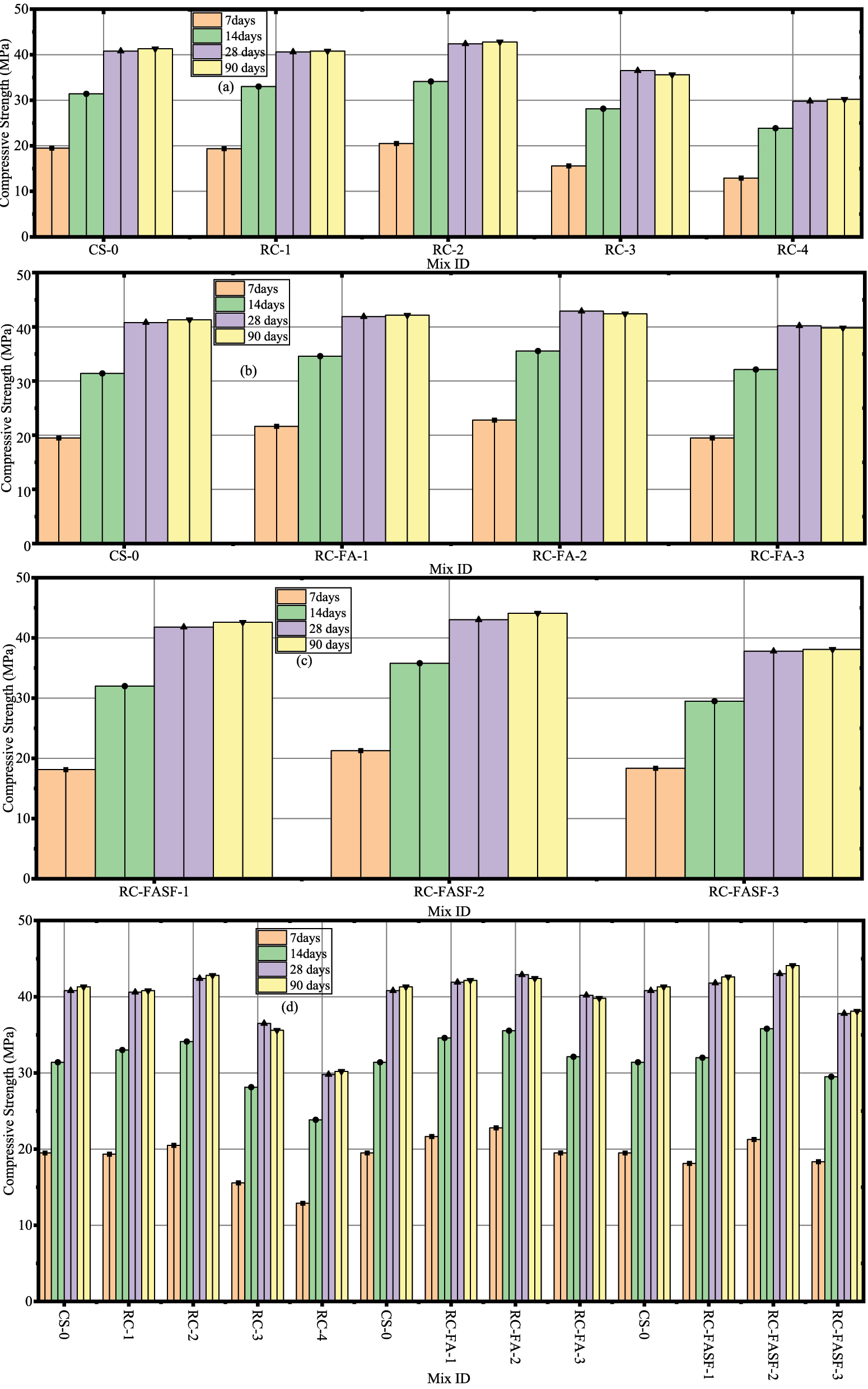
Three major groups of 150 × 300 mm test specimen cylinders were designed, with three cylinders in each group, to test the 7-day, 14-day, 28-day, and 90-day compressive strength better to understand the change of concrete strength with crumb rubber content and minral admixture (Figure 3). Three groups of 150 × 300 mm concrete test cylinders were prepared, with 18 cylinders in each group, of which three specimens were utilized for the split tensile strength test, and compressive strength test [49], 50]. At the beginning of the fatigue test, the test specimens were cured at room temperature in the curing tank. The compressive strength of the test piece at this time was determined as the basis for calculating the stress ratio in the fatigue test. Section 4 explains the fatigue test specimens preparation and instrumentation.

Figure 3: 
Mechanical properties of the concrete.
Figure 3:

Mechanical properties of the concrete.

3 Results and discussion

3.1 Compressive strength of concrete

The compressive strength of concrete was evaluated using varying amounts of fly ash (FA), silica fume (SF), and crumb rubber (CR). Then, the compressive strength of the concrete was compared to a control mix to determine the impact of the combination of mineral admixture materials on the performance of rubberized concrete. Testing was conducted at ages 7, 14, 28, and 90 days. As shown in Figure 4, the increase in strength is primarily due to two factors. The first aspect is the physical effect of SF, which is mainly manifested in the good FA effect and particle filling effect: the Bryan value of SF is greater, indicating that the content of its active ingredients is higher, and its particle size is about 1/100 of the particle size of the cement; compared to the FA, its mixing is less, the heat of hydration is small, and it doesn’t contain the active ingredients such as free silica and calomel components. The SF is highly dispersed, equal to the phenomenon of cement mixed with “low-graded aggregates,” and the cement particles form a good gradation complementary to fill in the cement gap, which improves the densification between rubber aggregate and cement paste, and increases the density between rubber aggregate and cement paste. The second aspect is the chemical effect of FA, and its main chemical component is silica, which can react with calcium hydroxide produced by cement hydration, and convert calcium hydroxide into calcium silicate gel [7], 8], which enhances the strength of the rubberized concrete, and thus improves the strength of rubberized concrete.

Figure 4: 
Compressive strength development of rubber aggregate-based concrete mixtures: (a) Control mixes containing rubber aggregate only, (b) Mixes incorporating fly ash and rubber aggregate, (c) Mixes incorporating fly ash, silica fume, and rubber aggregate, and (d) Combined effects of mineral admixtures on the compressive strength of rubber aggregate-based concrete.
Figure 4:

Compressive strength development of rubber aggregate-based concrete mixtures: (a) Control mixes containing rubber aggregate only, (b) Mixes incorporating fly ash and rubber aggregate, (c) Mixes incorporating fly ash, silica fume, and rubber aggregate, and (d) Combined effects of mineral admixtures on the compressive strength of rubber aggregate-based concrete.

Observing Figure 4, the reason for this change in the strength law is that FA can be evenly distributed among cement particles, thereby preventing the agglomeration of the cement particles and releasing part of the free water to enhance its fluidity. Subject to the combined effect of FA activity effect and micro aggregate effect, the active silica and aluminum trioxide in FA reacted with the cement hydration product calcium hydroxide to generate hydrated calcium silicate and hydrated calcium aluminates, replacing the hexagonal plate-like calcium hydroxide, which reduced the crystal content of rubberized concrete, played an enhanced role in hardening the cement paste, and promoted the late-stage strength of rubberized concrete growth [9], 51]. The incorporation of SF and FA reduced the capillary porosity of concrete, effectively decreasing the number of macropores and reducing the number of harmless pores, while enhancing the interfacial layer. This increased the compressive strength of the concrete.

As shown in Figure 4, the compressive strengths of the control group at 7, 14, 28, and 90 days were 19.49 MPa, 31.4 MPa, 40.8 MPa, and 41.3 MPa, respectively. In contrast, the different percentages of fine aggregate replacement with rubber, mixed as RC1, RC2, RC3, and RC4, by weight at 8 %, 15 %, 20 %, and 25 %, respectively, were compared to the compressive strength of the control group. The maximum compressive strengths of RC-2 specimen rubberized concrete with a 15 % rubber ratio were 20.2 MPa, 32.4 MPa, 41.2 MPa, and 41.8 MPa, after 7, 14, 28, and 90 days, respectively. Compared with the compressive strengths of FA replacement as a cement with different ratios designated as RCFA1, RCFA2, and RCFA3, the difference in weight is 4 %. 8 %, 12 %, and 16 %; incorporating the rubber content of 15 % rubberized concrete, the maximum compressive strengths of RCFA-2 specimen rubberized concrete with a 15 % rubber ratio, and FA 8 %, were 21.1 MPa, 33.1 MPa, 42.1 MPa, and 42.4 MPa, after 7, 14, 28, and 90 days, respectively. The third group, with SF ratios of 5 %, 10 %, and 15 %, was used to compare the compressive strength of the concrete. A third group, RC-FASF-1, FASF-2, and FASF-3, was compared with the control group at 7, 14, 28, and 90-day compressive strengths, respectively. The compressive strengths of concrete after 7, 14, 28, and 90 days increased by 15 %, 8 %, and 10 %, respectively, the maximum compressive strengths of FASF-2 specimen rubberized concrete with a 15 % rubber ratio, and fly ash 8 %, and SF 10 % were 21.4 MPa, 34.1 MPa, 42.8 MPa, and 43.3 MPa, after 7, 14, 28, and 90 days, respectively. The rubber content was 15 %, FA 8 %, and SF 10 %, compared to the control group, which increased by 4 %. This suggests that combining with fly ash and silica fume can significantly improve the compressive strength of rubberized concrete.

3.2 Tensile strength

The tensile strength of the concrete matrix is shown in Figure 5; the tensile strength of rubberized concrete is increased by conventional concrete or mineral admixture, which helps to improve the tensile strength [13]. The increase in splitting tensile strength is attributed to the presence of silica and aluminium trioxide in FA. These substances can undergo chemical reactions with the cement’s hydration products to yield low-calcium hydrated calcium silicate and hydrated calcium aluminate. The resulting mixture is then filled with a rubber content to minimize internal porosity in the concrete [10], 11]. The split tensile strength of rubberized concrete with a fine aggregate replacement ratio of 15 % CR, incorporating 10 % silica fume, and 8 % fly ash replacement cement, is greater than that of the control specimens. The reason for this is that the total amount of cementitious material does not change admixure content, but with the optimize range of the amount of fly ash and silica fume mineral admixture, the cement content decreases, resulting in the presence of a large amount of fly ash, which does not produce a hydration reaction, so the rubberized concrete splitting tensile strength decreases.

Figure 5: 
Split tensile strength of rubber aggregate-based concrete mixtures: (a) Control mixes containing rubber aggregate only, (b) Mixes incorporating fly ash and rubber aggregate, (c) Mixes incorporating fly ash, silica fume, and rubber aggregate, and (d) Combined effects of mineral admixtures on the split tensile strength of rubber aggregate-based concrete.
Figure 5:

Split tensile strength of rubber aggregate-based concrete mixtures: (a) Control mixes containing rubber aggregate only, (b) Mixes incorporating fly ash and rubber aggregate, (c) Mixes incorporating fly ash, silica fume, and rubber aggregate, and (d) Combined effects of mineral admixtures on the split tensile strength of rubber aggregate-based concrete.

As shown in Figure 5, the split tensile strengths of the control group at 7, 14, 28, and 90 days were 1.91 MPa, 3.14 MPa, 3.572 MPa, and 3.817 MPa, respectively. In contrast, the different percentages of fine aggregate replacement with rubber, mixed as RC1, RC2, RC3, and RC4, by weight at 8 %, 15 %, 20 %, and 25 %, respectively, were compared to the split tensile strength of the control group. The maximum split tensile strengths of RC-2 specimen rubberized concrete with a 15 % rubber ratio were 2.02 MPa, 3.43 MPa, 3.7 MPa, and 3.9 MPa, after 7, 14, 28, and 90 days, respectively. Compared with the split tensile strengths of FA replacement as a cement with different ratios designated as RCFA1, RCFA2, and RCFA3, the difference in weight is 4 %. 8 %, 12 %, and 16 %; incorporating with the rubber content of 15 % rubberized concrete, the maximum split tensile strengths of RCFA-2 specimen rubberized concrete with a 15 % rubber ratio, and FA 8 %, were 2.12 MPa, 3.72 MPa, 3.86 MPa, and 4.14 MPa, after 7, 14, 28, and 90 days, respectively. The third group, with SF ratios of 5 %, 10 %, and 15 %, was used to compare the split tensile strength of the concrete. A third group, RC-FASF-1, FASF-2, and FASF-3, was compared with the control group at 7, 14, 28, and 90-day split tensile strengths, respectively. The split tensile strengths of concrete after 7, 14, 28, and 90 days increased by 2 %, 3.5 %, and 5 %, respectively, the maximum split tensile strengths of FASF-2 specimen rubberized concrete with a 15 % rubber ratio, and fly ash 8 %, and SF 10 % were 2.25 MPa, 3.8 MPa, 3.94 MPa, and 4.26 MPa, after 7, 14, 28, and 90 days, respectively. The rubber content was 15 %, fly ash 8 %, and silica fume 10 %, compared to the control group, which increased by 5 %. This suggests that combining fly ash and silica fume with rubber content can significantly improve the split tensile strength of rubberized concrete.

4 Fatigue test

Preparation of the specimens for the fatigue test

Three groups of concrete test beams, each measuring 100 mm × 100 mm × 300 mm, were cast, including three beams per set, with three designated for axial fatigue testing. Initially, the test beams underwent a 28–60 days curing period at room temperature inside a curing tank before fatigue testing. The stress ratio for the fatigue test was determined by testing concrete beams, and the mechanical properties of the concrete cylinder were measured at the same time.

Fatigue test performed and instrumentation

The fatigue performance tests were conducted using a 1000 kN electro-hydraulic servo dynamic fatigue-testing machine, as depicted in Figure 6. Strain gauges, measuring 70 mm and 50 mm, were installed on the specimen’s two vertical side elevations in the axial and transverse directions, respectively. The cylinder specimen was first subjected to a preload at a 1.25 mm/min rate until the specified mean load was achieved. Thereafter, the encoding of the sinusoidal signal was used. The minimum load was set at 10 % of the static uniaxial compressive peak load, equating to a minimum stress level of 0.1. The impact frequency was determined to be 3 Hz, as per the study done by Graf and Brenner [52]. The tests employed a load control method, with stress levels set at 0.6, 0.7, 0.8, and 0.9. Constant amplitude sine wave loading was applied to the specimens. During prolonged loading, zero-point drift could occur, potentially causing the loading head to lose contact with the specimen’s surface and introduce impact loads. To address this, a cycle characteristic value of 0.1 was adopted, defined as p = p min/p mix = 0.1. When selecting the loading frequency, it is generally recognized that fatigue strength is not significantly affected within a frequency range of 60–900 cycles per minute. However, at the lower end of this range, creep effects can reduce the fatigue strength of concrete [52], 53]; consequently, a loading frequency of 3 Hz was chosen for this study.

Figure 6: 
Schematic diagram of the three stages of fatigue crack expansion.
Figure 6:

Schematic diagram of the three stages of fatigue crack expansion.

Prior to initiating the fatigue tests, control specimens were pre-tested to ensure proper operation of the testing equipment and instruments. This involved applying a 10 kN load three times to verify the connectivity of the acquisition system, the loading speed, and compliance with the test specifications. Once confirmed, the fatigue tests began. The specimen was symmetrically aligned based on its geometry to minimize the impact of potential eccentricity between the testing machine and the specimen. The load was incrementally increased from zero to the minimum load, while the strain on both vertical elevations was monitored. If the strain values on both sides were consistent, the load was adjusted to the maximum fatigue load. This maximum load was maintained for 15 s at the average load level before transitioning to cyclic sine wave loading. Each specimen was subjected to a maximum of 2 million cycles. The test was concluded if a specimen failed before reaching this limit or remained undamaged after exceeding 2 million cycles [54].

4.1 Fatigue damage phenomenon

The failure morphology of the prototype under fatigue loading is shown in Figure 6. Undergoing the action of fatigue load, control concrete produces compressive strain on the upper and lower pressure-bearing surfaces perpendicular to the load direction. Due to Poisson’s ratio effect, tensile strains are generated on the four sides parallel to the load direction. When the tensile strain of the concrete reaches the limit value, diagonal cracks perpendicular to the loading surface are generated, about two to three wide, deep, and penetrating; the specimen peels off and falls off, accompanied by a huge, crisp sound, which is a typical brittle failure. The different failure shapes of the sample are shown in Figure 6, in which it can be observed that under the action of fatigue load, the specimen’s shape remains intact after failure, and there is no peeling off or ballast. As the amount of rubber increases, the shape of multiple short and shallow cracks remains more complete, and the plastic deformation performance of concrete is significantly improved, manifesting as a ductile failure, and the sound of the damage becomes dull or even inaudible.

During the mixing and production process of concrete materials, original defects such as holes, bubbles, and microcracks can occur within them. Under the action of load, these weak parts will cause cracks due to stress concentration. Under the fatigue load, the main cracks of the control concrete specimens expand along the weak parts of the cement base, and the damage to the interface between the coarse aggregate and the mortar is almost invisible. After incorporating rubber particles, the specimen’s shape after damage is relatively complete, and the crack resistance is significantly improved. Combining rubber particles improves the crack resistance of concrete and enhances its deformation ability, and the ductile failure characteristics are obvious. With the accumulation of fatigue damage, macroscopic cracks occur in the specimen. The rubber particles currently exhibit an inhibitory effect at the crack tip, but lose their crack-arresting effect on wide and deep cracks. When fatigue failure occurs in rubber concrete, multiple rapid and thin cracks are distributed on the prototype’s surface. In summary, it can be observed that the deformation performance of rubber concrete is more advantageous than that of control concrete specimens. As the rubber proportion increases, the ductile failure characteristics become more prominent.

4.2 Test results

Table 7 shows the fatigue life test outcomes of the specimens under various mineral admixture contents, with rubber contents, and varying stress levels. The fatigue life test results in Table 7 demonstrate considerable variability. The discreteness of concrete fatigue test results is more common. The main reason is that numerous factors affect the fatigue life of concrete, including materials, loading age, loading stress level, etc. The S–N curve can be used to evaluate the fatigue life test results with large discreteness and express the fatigue life characteristics of concrete intuitively and clearly. The S–N curve is only a basic estimate of fatigue life. Combined with the reliability principle, fatigue life can be quantitatively analyzed.

Table 7:

Test results of fatigue life.

Stress level Fatigue life/time
CS-0 (reference mix without tire rubber) 0.6 110747.2 77649.2 66105.75
0.7 47190.3 35199.4 29375.9
0.8 23699.65 14156.9 8511.05
0.9 6100.9 4548.6 2263.85
RC-FASF 1 0.6 106665.05 101401.1 89098.6
0.7 72182.9 64877.4 58683.4
0.8 44200.65 30355.35 19553.85
0.9 6848.55 4635.05 3443.75
RC-FASF 2 0.6 169221.6 154044.4 139356.45
0.7 102379.6 89624.9 84961.35
0.8 59780.65 50621.7 39684.35
0.9 13527.05 10862.3 8056.95
RC-FASF-3 0.6 223484.65 203519.45 183315.8
0.7 127936.5 122068.35 113680.8
0.8 92416.95 86372.1 79025.75
0.9 37690.3 34866.9 32903.25

Table 7 discloses that when the rubber content is constant, the fatigue life of rubber concrete decreases as the loading stress level increases. The reason is that rubber concrete is a stress-sensitive material with the characteristic that the fatigue life plunges as the stress level increases. Under the same stress level, the fatigue life of rubber concrete increases with the rise in the amount of rubber particles, indicating that the unification of rubber particles can conspicuously improve the plastic deformation of ordinary concrete. Compared with control concrete, the average fatigue life of rubber concrete with a dosage of 10–15 % increased by 0.18–1.12 times, 0.85 to 2.35 times, and 1.40 to 7.5 times, respectively, and the rubber concrete with a dosage of 15 % CR, 10 % SF, and 8 % FA, increased the longest fatigue life.

4.3 Fatigue cumulative damage analysis based on maximum strain

The cumulative fatigue damage is only related to the peak strain in the loading history [55]. The relationship between maximum strain and fatigue damage is examined. The maximum strain is used to estimate the cumulative damage of the specimen after fatigue, and the fatigue damage can be analyzed accordingly. Under the fatigue load, the crack growth process of rubber concrete is shown in Figure 6.

The strain data selection process excludes specimens where the fracture intersects with the strain gauge’s position during the test. Choose a representative specimen that exhibits little influence from bias voltage and has comparable strain data on both sides, and then choose the greater value from each side. The maximum fatigue strain E augments with enhancing relative fatigue times and develops in three stages [44], 56]. The first stage is the crack initiation stage, and the fatigue strain grows rapidly, accounting for about 8–12 % of the complete fatigue process, as shown in Figure 6. The crack propagation stage is the next stage, after the first phase. While cracks appear, the fatigue strain development rate progressively becomes steady. The fatigue strain emerges sequentially and develops relatively monotonously, accounting for about 60–70 % of the entire fatigue process, as shown in Figure 7. The tertiary phase is the macroscopic development stage of cracks, with the accumulation of fatigue damage, cracks that are visible to the naked eye generated, and the fatigue strain grows expeditiously, in the end leading to damage, considering for 10–15 % of the whole fatigue action, as shown in Figure 7.

Figure 7: 
Maximum fatigue strain curve.
Figure 7:

Maximum fatigue strain curve.

Figure 7 shows that the higher the mineral admixture and rubber quantity, the greater the fatigue strain in the first and third stages; when the CR, SF, and FA, within the optimum proportion, are constant, the higher the stress level, the greater the strain at the same life cycle ratio. The amount of damage is defined by Miner’s linear cumulative damage theory [57]. Under constant amplitude loading conditions, its expression is:

(1) M = e F L

In the formula: e the number of cycles; FL is the fatigue life.

The development of concrete fatigue damage is not related to the stress amplitude but to the damage state or life cycle ratio. It is assumed that the equation for the fatigue strain of rubber concrete is:

(2) σ = g B 3 h B 2 + i B + u C R + t

In the formula, CR is the rubber content; g,h,i the test reflects the material fatigue performance parameter, u is the influence coefficient of rubber content on fatigue strain; t is the damage threshold strain when concrete is not mixed with rubber.

By performing nonlinear regression on the fatigue damage and strain during the test process, the relationship between fatigue strain and damage amount of rubber concrete can be obtained:

(3) S L = 0.6 , σ = 1950 B 3 2390 B 2 + 935 B + 1030 S L + 560

(4) S L = 0.7 , σ = 2790 B 3 4210 B 2 + 2025 B + 965 S L + 625

(5) S L = 0.8 , σ = 2270 B 3 2850 B 2 + 1415 B + 740 S L + 685

(6) S L = 0.9 , σ = 3788 B 3 4394 B 2 + 1855 B + 865 S L + 760

The correlation coefficients are 0.925, 0.887, 0.905, and 0.892. From the fitting correlation coefficient and fatigue strain curve, it can be concluded that the damage development law of rubber concrete is the same as that of ordinary concrete. By parameter u it can be noticed that adding rubber can enhance the fatigue deformation capacity of concrete to a certain extent, and the degree of improvement has nothing to do with the stress level. Taking the blending of 10 % rubber as an example, the difference in fatigue strain increment under different stress levels is small, with a maximum difference of 7.4 μs from the average value, and the fatigue strain is greater than 1,000 μs. It can be examined that the fatigue effect of rubber on concrete at various stress periods is almost the same degree of strain improvement. The fatigue damage and leftover fatigue life of the specimen can be estimated through fatigue strain, which provides a basis for the fatigue application of rubber concrete.

5 Fatigue life reliability analysis

5.1 Fatigue life distribution

It is predominantly considered to be true that the fatigue life of concrete conforms to the lognormal distribution [58], [59], [60], and its probability density function is:

(7) m r u = 1 2 π ln 10 σ k u exp l g u μ k 2 2 σ k 2

Its cumulative distribution function is:

(8) M r u = P B U u = Φ l g u μ k σ k

The function value proportional to the cumulative distribution function is the cumulative failure probability. It is recognized that the cumulative failure probability is P and Φ It is a strictly monotonically increasing function with an inverse function. Take the inverse functions on both sides of equation (8) Φ−1, and then its corresponding percentile value is:

(9) lg u P B = μ k + Φ 1 p σ k

Make X = lgu PB,W = Φ−1(p), transform equation (9) into the following linear relationship expression:

(10) W = g X + h

It can be seen that if the logarithm of fatigue life lgV random variables with a standard normal distribution X there is a straight connection, indicating that the fatigue life follows the lognormal distribution, where μ ˆ k = g ˆ / h ˆ , μ ˆ k = 1 / g ˆ ˆ , the distribution parameters can be determined by regression analysis of the test data according to Eq. (10). Cumulative failure probability P is estimated using the average rank.

The fatigue life test data in Table 7 were analyzed and processed, and the P – N diagram of the probability model with varying rubber content and assorted stress levels was achieved, as demonstrated in Figure 8.

Figure 8: 
Lognormal distribution of fatigue life.
Figure 8:

Lognormal distribution of fatigue life.

Figure 8 shows that the fatigue life of rubber concrete at various dosages obeys a logarithmic normal distribution, and the fitting effect is good. The distribution parameters of each stress level are shown in Table 8.

Table 8:

Fatigue life distribution parameters.

Serial number SL μ ˆ k σ ˆ k R2
CS-0 0.6 4.69395 0.16625 0.8607
0.7 4.35575 0.14915 0.9158
0.8 3.9653 0.3154 0.95
0.9 3.4409 0.32205 0.8512
RC-FASF 1 0.6 4.66581 0.05766 0.81933
0.7 4.49655 0.06231 0.92907
0.8 4.18035 0.24645 0.92628
0.9 3.44193 0.20925 0.91884
RC-FASF 2 0.6 4.89646 0.05922 0.93906
0.7 4.68684 0.06016 0.8413
0.8 4.4321 0.12596 0.91744
0.9 3.80324 0.15886 0.92496
RC-FASF 3 0.6 5.11584 0.0624 0.95808
0.7 4.9008 0.03744 0.93024
0.8 4.75776 0.04896 0.94656
0.9 4.38528 0.04224 0.9456

5.2 Distribution test

The Kolmogorov test was performed on the fatigue life distribution. The specific method is for random statistics X, its distribution function M(x)unknown X 1,X 2,….,X n to follow M simple random sample drawn from M 0(x)is a given distribution function if H 0:M(x) = M 0(x) through the sample, M(x) the empirical distribution function is:

(11) M n x = 0 , j / N , 1 , x X 1 X i < x X j + 1 x > X N , j = 1 , 2 , , N 1

Calculate statistics D n  = sup <x<+ |F n (x)-F 0(x)|, that is, in each sequence sample x k find the maximum deviation value between the empirical and theoretical distribution functions. If you specify a threshold α (or called the inspection level), it corresponds to a constant D n,α , making P(D n  > D n,α /H 0) = α then when D n  > D n,α negate H 0, otherwise, accept H 0. The investigation findings are illustrated in Table 9.

Table 9:

Kolmogorov test outcomes of fatigue life distribution.

Serial number Stress level Statistics D n observations
CS-0 0.6 0.607
0.7 0.584
0.8 0.592
0.9 0.597
RC-FASF 1 0.6 0.592
0.7 0.614
0.8 0.597
0.9 0.606
RC-FASF 2 0.6 0.595
0.7 0.608
0.8 0.595
0.9 0.595
RC-FASF 3 0.6 0.599
0.7 0.619
0.8 0.595
0.9 0.596

Statistics D n (0.1) the critical value is 0.642. The test data in Table 9 are all less than the critical value, so it is accepted, H 0 that is to say, the fatigue life probability model of rubber concrete is considered to obey the lognormal distribution.

5.3 PSN curve of rubber concrete

The formula for calculating the fatigue life of rubber concrete is obtained from equation (9):

(12) F L p = 10 μ k + Φ 1 p σ k

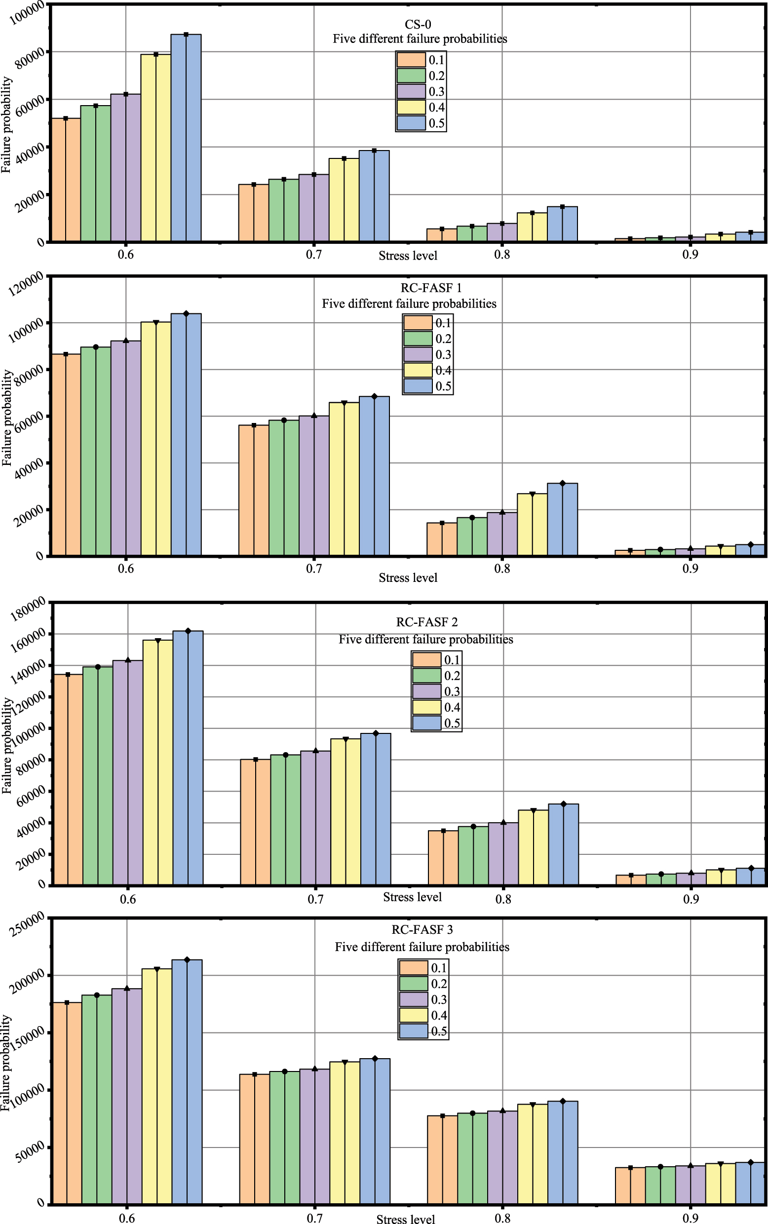
Substitute five different failure probabilities of 0.1, 0.2, 0.3, 0.4, and 0.5 and the distribution parameters corresponding to the concrete rubber content and stress level in Table 8, into equation (12) to obtain the fatigue life under different failure probabilities, such as shown in Figure 9.

Figure 9: 
The fatigue life of rubber concrete under various failure probabilities.
Figure 9:

The fatigue life of rubber concrete under various failure probabilities.

In studying concrete fatigue properties, exponential and power function formulas often express the change rules of its SN and PSN curves [37]. After logarithmic processing, the exponential function model is converted into a single logarithmic form. SIgN, the power function model is transformed into the logarithmic form IgSIgN since the logarithmic equation cannot satisfy the boundary conditions [38], the scope of use is limited, and it is only suitable for the fatigue life of the main part, and extension is not allowed. The logarithmic fatigue equation can satisfy the boundary conditions and better fit the fatigue test results, and its applicable range can be slightly extended. This study uses the double logarithmic fatigue equation for research and analysis. That is, the fatigue life of rubber concrete samples under a certain failure probability N and corresponding stress levels S there is the following expression relationship between:

(13) I g S = A I g N + B

The two SN curves are of greatest concern in fatigue design and engineering applications of concrete structures. One is the probability of failure P = 0.05 when the PSN the curve generated by joining the points under each stress level condition is obtained, thus obtaining N = 2 × 106 the conditional fatigue ultimate strength is the upper limit stress corresponding to the condition. This value makes arrangements for a base for the fatigue design of concrete structures; the other is the failure probability. P = 0.5 when the PSN the curve generated by connecting the points under each stress level condition is obtained, thus obtaining N = 2 × 106 the upper limit stress corresponding to the time is the fatigue ultimate strength. This value is the fatigue ultimate bearing strength of the concrete structure and sets a standard for verification [39]. According to Eq. (13), I double-log linear regression is performed on the data to obtain the failure probability P = 0.5 h IgSIgN linear relationship, as shown in Figure 10.

Figure 10: 
Failure probability P = 0.5 double logarithmic fatigue equation of rubber concrete.
Figure 10:

Failure probability P = 0.5 double logarithmic fatigue equation of rubber concrete.

When the failure probability P = 0.05 Hour:

(14) C S 0 : I g S = 0.135 I g N + 0.452

(15) RC FASF  1 : I g S = 0.137 I g N + 0.478

(16) RC FASF  2 : I g S = 0.144 I g N + 0.537

(17) RC FASF  3 : I g S = 0.153 I g N + 0.652

The correlation coefficients are 0.961, 0.853, 0.841, and 0.845, respectively. The correlation coefficient of rubber concrete is lower than R 2 = 0.9, indicating that the fatigue life data of rubber concrete during the test was relatively discrete. It is generally required to ensure a fatigue life of more than 2 million times under cyclic loading, fatigue life FL = 2 × 106 substituting into Eqs. (14)(17), the fatigue strengths. It can be examined from the above data that compared with ordinary concrete, the fatigue ultimate strength of rubber concrete has been improved. If a certain amount of rubber particles is mixed into a concrete structure subjected to cyclic loads, its fatigue performance will be improved. In this article, the stress cycle eigenvalues are small, rhoequals 0.1. Therefore when the stress level is lower than the ultimate strength of fatigue mentioned above, it is considered that fatigue failure will not occur. This paper presents the fundamental rules governing the change in compressive fatigue life of rubber concrete, addressing the shortcomings of existing research in this field. The number of test samples is insufficient, and the research results still need more experimental research to supplement and improve.

6 Conclusions

This research analyzed the mechanical properties and fatigue behavior of eco-friendly rubberized concrete mixed with recycled coarse aggregate, fly ash, silica fume, and tire rubber. Uniaxial compression fatigue tests were conducted under constant amplitude cyclic loading. Probabilistic statistical methods were used to conduct a reliability analysis of the investigation outcomes of the fatigue life of rubber concrete. The main conclusions are as follows:

  1. The ratio of split tensile strength and compressive strength of rubber concrete with FA, SF, and CR is 8 %, 10 %, and 15 %, respectively, and high strength to 0.95, 1.03, and 1.14 times that of ordinary concrete, respectively. This signifies that rubber concrete has superior anti-cracking performance compared to conventional concrete. The addition of mineral admixture and crumb rubber enhances the toughness of the concrete.

  2. Logarithmic fatigue equations for rubber concrete with varying rubber and mineral admixture compositions have been established at different failure probabilities.

  3. When the stress level is the same, the fatigue life of rubber particle and mineral admixtures concrete is greater than that of control specimens, and the fatigue life increases with the intensification of CR, SF, and FA content. Compared with control concrete, the average fatigue life of rubber concrete with a dosage of 10, 15–25 % increased by 0.18–1.12 times, 0.85 to 2.35 times, and 1.40 to 7.5 times, respectively, and the rubber concrete with a dosage of CR 15 %, SF 10 %, and FA 8 % increased the longest fatigue life.

  4. The changing pattern of fatigue strain of rubber concrete with fatigue life is similar to that of the control concrete specimen, and both conform to the three-stage change pattern. Rubber concrete’s fatigue strain is larger than that of the control concrete specimen’s corresponding value. The equation for fatigue strain and damage amount of rubber concrete indicates that adding rubber can enhance the fatigue deformation capacity of concrete to a certain extent, and the degree of improvement is independent of the stress level.

  5. The fatigue life of rubber particles with mineral admixture in concrete obeys the logarithmic normal distribution. The double logarithmic equation is used to conduct a linear regression investigation on the fatigue life of rubber concrete to obtain the P–S–N curve and calculate the ultimate strength of fatigue. Compared with the control concrete, the fatigue ultimate strength of rubber concrete is improved.


Corresponding authors: Heba Abdou, Department of Interior Design, College of Engineering, Jouf University, Sakaka, 72341, Saudi Arabia, E-mail: ; and Ahmed M. Yosri, Department of Civil Engineering, College of Engineering, Jouf University, Sakaka, 72341, Saudi Arabia, E-mail:

Funding source: This work was funded by The Deanship of Graduate Studies and Scientific Research at Jouf University Under Grant No.

Award Identifier / Grant number: DGSSR-2025-02-01027

Acknowledgments

The author acknowledges this work to the School of Naval Architecture & Ocean Engineering, Jiangsu University of Science and Technology, Zhenjiang, Jiangsu, China, which provides us with experiments and work facilities.

  1. Funding information: This work was funded by the Deanship of Graduate Studies and Scientific Research at Jouf University under grant No. (DGSSR-2025-02-01027).

  2. Author contribution: Conceptual and methodology: Muhammad Akbar, Bilal Ahmed, Wu Qing, and Yasser. R. Zaghloul. Data collection and resources: Muhammad Akbar, Bilal Ahmed, Wu Qing, Jan Kubica, and Ali Zar. Analysis, Validation, and verification: Yasser. R. Zaghloul, Muhammad Akbar, Heba Abdou, and Ahmed. M. Yosri. Writing, reviewing and editing: All authors. All authors have accepted responsibility for the entire content of this manuscript and approved its submission.

  3. Conflict of interest: The authors state no conflict of interest.

  4. Data availability statement: The datasets generated and/or analysed during the current study are available from the corresponding author on reasonable request.

References

1. Azunna, SU, Aziz, FN, Rashid, RS, Bakar, NB. Review on the characteristic properties of crumb rubber concrete. Cleaner Mater 2024;12:100237. https://doi.org/10.1016/j.clema.2024.100237.Search in Google Scholar

2. Baktheer, A, Chudoba, R. Experimental study of the interacting effects of loading rate and temperature on concrete fatigue behavior under compression. Constr Build Mater 2025;458:139466. https://doi.org/10.1016/j.conbuildmat.2024.139466.Search in Google Scholar

3. Moasas, AM, Amin, MN, Khan, K, Ahmad, W, Al-Hashem, MNA, Deifalla, AF, et al.. A worldwide development in the accumulation of waste tires and its utilization in concrete as a sustainable construction material: a review. Case Stud Constr Mater 2022;17:e01677. https://doi.org/10.1016/j.cscm.2022.e01677.Search in Google Scholar

4. Ahmed, S, Elshazli, MT, Zaghlal, M, Alashker, Y, Abdo, A. Improving shear behavior of rubberized concrete beams through sustainable integration of waste tire steel fibers and treated rubber. J Build Eng 2024;96:110649. https://doi.org/10.1016/j.jobe.2024.110649.Search in Google Scholar

5. Meng, X, Wen, W, Feng, F, Liao, J, Zhang, S, Li, L, et al.. Mechanical properties and damage characteristics of modified polyurethane concrete under uniaxial and cyclic compression. Constr Build Mater 2025;458:139633. https://doi.org/10.1016/j.conbuildmat.2024.139633.Search in Google Scholar

6. Voß, S, Schmidt, B, Oettel, V. Fatigue resistance of concrete: influence of time-dependent scattering of compressive strength. Mater Struct 2025;58:1–19.10.1617/s11527-024-02517-5Search in Google Scholar

7. Rashid, K, Yazdanbakhsh, A, Rehman, MU. Sustainable selection of the concrete incorporating recycled tire aggregate to be used as medium to low strength material. J Clean Prod 2019;224:396–410. https://doi.org/10.1016/j.jclepro.2019.03.197.Search in Google Scholar

8. Yuan, C, Qu, S, Bai, W, Guan, J, Xie, Y. Study on the mechanical properties and mesoscopic damage mechanism of recycled aggregate concrete under different dynamic strain rates after freeze-thaw cycles. Case Stud Constr Mater 2025;22:e04182. https://doi.org/10.1016/j.cscm.2024.e04182.Search in Google Scholar

9. Wang, X, Fang, SJ. Comparison of fatigue design code requirements for wind turbine foundations. Spec Publ 2021;348:145–58.Search in Google Scholar

10. Golewski, GL. Investigating the effect of using three pozzolans (including the nanoadditive) in combination on the formation and development of cracks in concretes using non-contact measurement method. Adv. Nano Res 2024;16:217–29.Search in Google Scholar

11. Xi, X, Zheng, Y, Zhuo, J, Zhang, P, Golewski, GL, Du, C. Mechanical properties and hydration mechanism of nano-silica modified alkali-activated thermally activated recycled cement. J Build Eng 2024;98:110998. https://doi.org/10.1016/j.jobe.2024.110998.Search in Google Scholar

12. Golewski, GL. Using digital image correlation to evaluate fracture toughness and crack propagation in the mode I testing of concretes involving fly ash and synthetic nano-SiO2. Mater Res Express 2024;11:095504. https://doi.org/10.1088/2053-1591/ad755e.Search in Google Scholar

13. Wang, L, Zhang, P, Golewski, G, Guan, J. Editorial: fabrication and properties of concrete containing industrial waste. Front Mater 2023;10:1169715. https://doi.org/10.3389/fmats.2023.1169715.Search in Google Scholar

14. Xi, X, Zheng, Y, Zhuo, J, Zhang, P, Golewski, GL, Du, C. Influence of water glass modulus and alkali content on the properties of alkali-activated thermally activated recycled cement. Constr Build Mater 2024;452:138867. https://doi.org/10.1016/j.conbuildmat.2024.138867.Search in Google Scholar

15. Zhang, W, Yu, H, Yin, B, Akbar, A, Liew, KM. Sustainable transformation of end-of-life wind turbine blades: advancing clean energy solutions in civil engineering through recycling and upcycling. J Clean Prod 2023;426:139184. https://doi.org/10.1016/j.jclepro.2023.139184.Search in Google Scholar

16. Ferreira, E, Sotoudeh, P, Svecova, D. Fatigue life of plain concrete subjected to low frequency uniaxial stress reversal loading. Constr Build Mater 2024;411:134247. https://doi.org/10.1016/j.conbuildmat.2023.134247.Search in Google Scholar

17. Liu, S, Wang, X, Li, Y, Liu, Y. Stress-strain relationship of airfoiled-shaped milled-cut steel fiber-reinforced concrete under uniaxial compression: experiments and analytical model. Case Stud Constr Mater 2024;21:e03925. https://doi.org/10.1016/j.cscm.2024.e03925.Search in Google Scholar

18. Kuang, F, Long, Z, Kuang, D, Guo, R, Sun, J. Experimental study on high temperatures performance of rubberized geopolymer mortar. J Build Eng 2023;76:107091. https://doi.org/10.1016/j.jobe.2023.107091.Search in Google Scholar

19. Cheng, S, He, H, Lan, B. Uniaxial compression test and performance analysis of multiscale modified concrete. J Mater Civ Eng 2024;36:04023582. https://doi.org/10.1061/jmcee7.mteng-13688.Search in Google Scholar

20. Kwon, SH, Lee, JS, Koh, K, Kim, HK. Strain softening of high-performance fiber-reinforced cementitious composites in uniaxial compression. Int J Concr Struct Mater 2024;18:17. https://doi.org/10.1186/s40069-023-00658-5.Search in Google Scholar

21. Yolcu, A, Karakoç, MB, Ekinci, E, Özcan, A, Sağır, MA. Effect of binder dosage and the use of waste rubber fiber on the mechanical and durability performance of geopolymer concrete. J Build Eng 2022;61:105162. https://doi.org/10.1016/j.jobe.2022.105162.Search in Google Scholar

22. Zang, R, Xu, B, Bompa, DV, Tam, VW, Garcia-Troncoso, N, Hao, J. Probabilistic fatigue modelling of concrete materials incorporating recycled tyre rubber under flexural loadings. Constr Build Mater 2024;435:136862. https://doi.org/10.1016/j.conbuildmat.2024.136862.Search in Google Scholar

23. Elbialy, S, Ibrahim, W, Mahmoud, S, Ayash, NM, Mamdouh, H. Mechanical characteristics and structural performance of rubberized concrete: experimental and analytical analysis. Case Stud Constr Mater 2024;21:e03727. https://doi.org/10.1016/j.cscm.2024.e03727.Search in Google Scholar

24. Bala, A, Gupta, S. Thermal resistivity, sound absorption and vibration damping of concrete composite doped with waste tire Rubber: a review. Constr Build Mater 2021;299:123939. https://doi.org/10.1016/j.conbuildmat.2021.123939.Search in Google Scholar

25. Akbar, M, Umar, T, Hussain, Z, Pan, H, Ou, G. Effect of human hair fibers on the performance of concrete incorporating high dosage of silica fume. Appl Sci 2023;13:124. https://doi.org/10.3390/app13010124.Search in Google Scholar

26. Zhang, P, Wang, C, Guo, J, Wu, J, Zhang, C. Production of sustainable steel fiber-reinforced rubberized concrete with enhanced mechanical properties: a state-of-the-art review. J Build Eng 2024;91:109735. https://doi.org/10.1016/j.jobe.2024.109735.Search in Google Scholar

27. Abbas, S, Fatima, A, Kazmi, SMS, Munir, MJ, Ali, S, Rizvi, MA. Effect of particle sizes and dosages of rubber waste on the mechanical properties of rubberized concrete composite. Appl Sci 2022;12:8460. https://doi.org/10.3390/app12178460.Search in Google Scholar

28. Zhang, B, Feng, Y, Xie, J, Lai, D, Yu, T, Huang, D. Rubberized geopolymer concrete: dependence of mechanical properties and freeze-thaw resistance on replacement ratio of crumb rubber. Constr Build Mater 2021;310:125248. https://doi.org/10.1016/j.conbuildmat.2021.125248.Search in Google Scholar

29. Zhang, X, Wang, C, Wang, J, Liu, X, Huang, Y, Wang, L, et al.. Experimental study on the compressive fatigue performance of nano-silica modified recycled aggregate concrete. Constr Build Mater 2024;447:138161. https://doi.org/10.1016/j.conbuildmat.2024.138161.Search in Google Scholar

30. Guo, Z, Wang, L, Feng, L, Guo, Y. Research on fatigue performance of composite crumb rubber modified asphalt mixture under freeze thaw cycles. Constr Build Mater 2022;323:126603. https://doi.org/10.1016/j.conbuildmat.2022.126603.Search in Google Scholar

31. Liu, F, Zheng, W, Li, L, Feng, W, Ning, G. Mechanical and fatigue performance of rubber concrete. Constr Build Mater 2013;47:711–19. https://doi.org/10.1016/j.conbuildmat.2013.05.055.Search in Google Scholar

32. Trento, D, Ortega-Lopez, V, Zanini, MA, Faleschini, F. Stress-strain behavior of electric arc furnace slag concrete under uniaxial compression: short-and long-term evaluation. Constr Build Mater 2024;422:135837. https://doi.org/10.1016/j.conbuildmat.2024.135837.Search in Google Scholar

33. Siddiqui, JA, Abdelmongy, M, Akbar, M, Alshammari, TO, Yosri, AM, Ghazouani, N. Optimizing concrete performance: the influence of carbon nanotube dispersion method. Iran J Sci Technol Trans Civ Eng 2025. https://doi.org/10.1007/s40996-025-01993-1.Search in Google Scholar

34. Wang, S, Lv, S, Pan, Q, Wang, P, Deng, W, Zhang, B, et al.. Investigation on strength and fatigue performance of cement-stabilized macadam under three-dimensional stress state at different ages and cement dosages. Constr Build Mater 2024;435:136686. https://doi.org/10.1016/j.conbuildmat.2024.136686.Search in Google Scholar

35. Li, D, Xiao, J, Zhuge, Y, Mills, JE, Senko, H, Ma, X. Experimental study on crumb rubberised concrete (CRC) and reinforced CRC slabs under static and impact loads. Aust J Struct Eng 2020;21:294–306. https://doi.org/10.1080/13287982.2020.1809811.Search in Google Scholar

36. Akbar, M, Hussain, Z, Imran, M, Bhatti, S, Anees, M. Concrete matrix based on marble powder, waste glass sludge, and crumb rubber: pathways towards sustainable concrete. Front Mater 2024;10:1329386. https://doi.org/10.3389/fmats.2023.1329386.Search in Google Scholar

37. Marzec, I, Tejchman, J. Fracture evolution in concrete compressive fatigue experiments based on X-ray micro-CT images. Int J Fatig 2019;122:256–72. https://doi.org/10.1016/j.ijfatigue.2019.02.002.Search in Google Scholar

38. Al-Tayeb, MM, Bakar, BA, Ismail, H, Akil, HM. Impact resistance of concrete with partial replacements of sand and cement by waste rubber. Polym-Plast Technol Eng 2012;51:1230–6. https://doi.org/10.1080/03602559.2012.696767.Search in Google Scholar

39. Zar, A, Hussain, Z, Akbar, M, Rabczuk, T, Lin, Z, Li, S, et al.. Towards vibration-based damage detection of civil engineering structures: overview, challenges, and future prospects. Int J Mech Mater Des 2024;20:591–662. https://doi.org/10.1007/s10999-023-09692-3.Search in Google Scholar

40. Fakhri, M, Saberi, KF. The effect of waste rubber particles and silica fume on the mechanical properties of roller compacted concrete pavement. J Clean Prod 2016;129:521–30. https://doi.org/10.1016/j.jclepro.2016.04.017.Search in Google Scholar

41. Kang, J, Chen, X, Yu, Z, Wang, L. Study on the fatigue life and toughness of recycled aggregate concrete based on basalt fiber. Mater Today Commun 2024;40:109397. https://doi.org/10.1016/j.mtcomm.2024.109397.Search in Google Scholar

42. Kim, JK, Kim, YY. Experimental study of the fatigue behavior of high strength concrete. Cement Concr Res 1996;26:1513–23. https://doi.org/10.1016/0008-8846-96-00151-2.Search in Google Scholar

43. Guo, MM, Feng, ZR, Wang, XJ. Effect of pre-crack on fatigue behaviors of concrete under tension and compression loading. In: Materials Science Forum. Pfaffikon, Switzerland: Trans Tech Publications Ltd; 2016, 873:110–4 pp.10.4028/www.scientific.net/MSF.873.110Search in Google Scholar

44. Medeiros, A, Zhang, X, Ruiz, G, Rena, CY, Velasco, MDSL. Effect of the loading frequency on the compressive fatigue behavior of plain and fiber reinforced concrete. Int J Fatig 2015;70:342–50. https://doi.org/10.1016/j.ijfatigue.2014.08.005.Search in Google Scholar

45. Pacheco-Torres, R, Cerro-Prada, E, Escolano, F, Varela, F. Fatigue performance of waste rubber concrete for rigid road pavements. Constr Build Mater 2018;176:539–48. https://doi.org/10.1016/j.conbuildmat.2018.05.030.Search in Google Scholar

46. Liu, M, Lu, J, Jiang, W, Ming, P. Study on fatigue damage and fatigue crack propagation of rubber concrete. J Build Eng 2023;65:105718. https://doi.org/10.1016/j.jobe.2022.105718.Search in Google Scholar

47. Marques, AM, Correia, JR, De Brito, J. Post-fire residual mechanical properties of concrete made with recycled rubber aggregate. Fire Saf J 2013;58:49–57. https://doi.org/10.1016/j.firesaf.2013.02.002.Search in Google Scholar

48. Akbar, M, Hussain, Z, Huali, P, Imran, M, Thomas, BS. Impact of waste crumb rubber on concrete performance incorporating silica fume and fly ash to make a sustainable low carbon concrete. Struct Eng Mech 2023;85.Search in Google Scholar

49. Ganjian, E, Khorami, M, Maghsoudi, AA. Scrap-tyre-rubber replacement for aggregate and filler in concrete. Constr Build Mater 2009;23:1828–36. https://doi.org/10.1016/j.conbuildmat.2008.09.020.Search in Google Scholar

50. Viswanath, S, Kuchma, DA, LaFave, JM. Experimental investigation of concrete fatigue in axial compression. ACI Struct J 2021;118:263–76.10.14359/51728185Search in Google Scholar

51. Golewski, GL. Determination of fracture mechanic parameters of concretes based on cement matrix enhanced by fly ash and nano-silica. Materials 2024;17:4230. https://doi.org/10.3390/ma17174230.Search in Google Scholar PubMed PubMed Central

52. ASTM C136/C136M-19. Standard test method for sieve analysis of fine and coarse aggregates. West Conshohocken: ASTM International; 2019.Search in Google Scholar

53. Rubber, vulcanized or thermoplastic - Determination of density. Geneva, Switzerland: International Organization for Standardization (ISO); 2018.Search in Google Scholar

54. ASTM. Standard test method for compressive strength of cylindrical concrete specimens. ASTM C39-20. West Conshohocken, PA: ASTM International; 2020.Search in Google Scholar

55. ASTM C78. Standard test method for flexural strength of concrete using simple beam with: ASTM International; 2002.Search in Google Scholar

56. Chen, X, Bu, J, Fan, X, Lu, J, Xu, L. Effect of loading frequency and stress level on low cycle fatigue behavior of plain concrete in direct tension. Constr Build Mater 2017;133:367–75. https://doi.org/10.1016/j.conbuildmat.2016.12.085.Search in Google Scholar

57. Saucedo, L, Rena, CY, Medeiros, A, Zhang, X, Ruiz, G. A probabilistic fatigue model based on the initial distribution to consider frequency effect in plain and fiber reinforced concrete. Int J Fatig 2013;48:308–18. https://doi.org/10.1016/j.ijfatigue.2012.11.013.Search in Google Scholar

58. Xu, J, Fu, Z, Han, Q, Lacidogna, G, Carpinteri, A. Micro-cracking monitoring and fracture evaluation for crumb rubber concrete based on acoustic emission techniques. Struct Health Monit 2018;17:946–58. https://doi.org/10.1177/1475921717730538.Search in Google Scholar

59. Cui, K, Xu, L, Li, X, Hu, X, Huang, L, Deng, F, et al.. Fatigue life analysis of polypropylene fiber reinforced concrete under axial constant-amplitude cyclic compression. J Clean Prod 2021;319:128610. https://doi.org/10.1016/j.jclepro.2021.128610.Search in Google Scholar

60. Hashin, Z, Rotem, A. A cumulative damage theory of fatigue failure. Mater Sci Eng 1978;34:147–60. https://doi.org/10.1016/0025-5416-78-90045-9.Search in Google Scholar

Received: 2025-06-12
Accepted: 2025-10-08
Published Online: 2025-11-14

© 2025 the author(s), published by De Gruyter, Berlin/Boston

This work is licensed under the Creative Commons Attribution 4.0 International License.

Articles in the same Issue

  1. Optimizing rice husk ash for ultra-high-performance concrete: a comprehensive review of mechanical properties, durability, and environmental benefits
  2. Review Articles
  3. Utilization of steel slag in concrete: A review on durability and microstructure analysis
  4. Technical development of modified emulsion asphalt: A review on the preparation, performance, and applications
  5. Recent developments in ultrasonic welding of similar and dissimilar joints of carbon fiber reinforcement thermoplastics with and without interlayer: A state-of-the-art review
  6. Unveiling the crucial factors and coating mitigation of solid particle erosion in steam turbine blade failures: A review
  7. From magnesium oxide, magnesium oxide concrete to magnesium oxide concrete dams
  8. Properties and potential applications of polymer composites containing secondary fillers
  9. A scientometric review on the utilization of copper slag as a substitute constituent of ordinary Portland cement concrete
  10. Advancement of additive manufacturing technology in the development of personalized in vivo and in vitro prosthetic implants
  11. Recent advance of MOFs in Fenton-like reaction
  12. A review of defect formation, detection, and effect on mechanical properties of three-dimensional braided composites
  13. Non-conventional approaches to producing biochars for environmental and energy applications
  14. Review of the development and application of aluminum alloys in the nuclear industry
  15. Advances in the development and characterization of combustible cartridge cases and propellants: Preparation, performance, and future prospects
  16. Recent trends in rubberized and non-rubberized ultra-high performance geopolymer concrete for sustainable construction: A review
  17. Cement-based materials for radiative cooling: Potential, material and structural design, and future prospects
  18. A comprehensive review: The impact of recycling polypropylene fiber on lightweight concrete performance
  19. A comprehensive review of preheating temperature effects on reclaimed asphalt pavement in the hot center plant recycling
  20. Exploring the potential applications of semi-flexible pavement: A comprehensive review
  21. A critical review of alkali-activated metakaolin/blast furnace slag-based cementitious materials: Reaction evolution and mechanism
  22. Dispersibility of graphene-family materials and their impact on the properties of cement-based materials: Application challenges and prospects
  23. Research progress on rubidium and cesium separation and extraction
  24. A step towards sustainable concrete with the utilization of M-sand in concrete production: A review
  25. Studying the effect of nanofillers in civil applications: A review
  26. Studies on the anticorrosive effect of phytochemicals on mild steel, carbon steel, and stainless-steel surfaces in acid and alkali medium: A review
  27. Nanotechnology for calcium aluminate cement: thematic analysis
  28. Towards sustainable concrete pavements: a critical review on fly ash as a supplementary cementitious material
  29. Research Articles
  30. Investigation of the corrosion performance of HVOF-sprayed WC-CoCr coatings applied on offshore hydraulic equipment
  31. A systematic review of metakaolin-based alkali-activated and geopolymer concrete: A step toward green concrete
  32. Evaluation of color matching of three single-shade composites employing simulated 3D printed cavities with different thicknesses using CIELAB and CIEDE2000 color difference formulae
  33. Novel approaches in prediction of tensile strain capacity of engineered cementitious composites using interpretable approaches
  34. Effect of TiB2 particles on the compressive, hardness, and water absorption responses of Kulkual fiber-reinforced epoxy composites
  35. Analyzing the compressive strength, eco-strength, and cost–strength ratio of agro-waste-derived concrete using advanced machine learning methods
  36. Tensile behavior evaluation of two-stage concrete using an innovative model optimization approach
  37. Tailoring the mechanical and degradation properties of 3DP PLA/PCL scaffolds for biomedical applications
  38. Optimizing compressive strength prediction in glass powder-modified concrete: A comprehensive study on silicon dioxide and calcium oxide influence across varied sample dimensions and strength ranges
  39. Experimental study on solid particle erosion of protective aircraft coatings at different impact angles
  40. Compatibility between polyurea resin modifier and asphalt binder based on segregation and rheological parameters
  41. Fe-containing nominal wollastonite (CaSiO3)–Na2O glass-ceramic: Characterization and biocompatibility
  42. Relevance of pore network connectivity in tannin-derived carbons for rapid detection of BTEX traces in indoor air
  43. A life cycle and environmental impact analysis of sustainable concrete incorporating date palm ash and eggshell powder as supplementary cementitious materials
  44. Eco-friendly utilisation of agricultural waste: Assessing mixture performance and physical properties of asphalt modified with peanut husk ash using response surface methodology
  45. Benefits and limitations of N2 addition with Ar as shielding gas on microstructure change and their effect on hardness and corrosion resistance of duplex stainless steel weldments
  46. Effect of selective laser sintering processing parameters on the mechanical properties of peanut shell powder/polyether sulfone composite
  47. Impact and mechanism of improving the UV aging resistance performance of modified asphalt binder
  48. AI-based prediction for the strength, cost, and sustainability of eggshell and date palm ash-blended concrete
  49. Investigating the sulfonated ZnO–PVA membrane for improved MFC performance
  50. Strontium coupling with sulphur in mouse bone apatites
  51. Transforming waste into value: Advancing sustainable construction materials with treated plastic waste and foundry sand in lightweight foamed concrete for a greener future
  52. Evaluating the use of recycled sawdust in porous foam mortar for improved performance
  53. Improvement and predictive modeling of the mechanical performance of waste fire clay blended concrete
  54. Polyvinyl alcohol/alginate/gelatin hydrogel-based CaSiO3 designed for accelerating wound healing
  55. Research on assembly stress and deformation of thin-walled composite material power cabin fairings
  56. Effect of volcanic pumice powder on the properties of fiber-reinforced cement mortars in aggressive environments
  57. Analyzing the compressive performance of lightweight foamcrete and parameter interdependencies using machine intelligence strategies
  58. Selected materials techniques for evaluation of attributes of sourdough bread with Kombucha SCOBY
  59. Establishing strength prediction models for low-carbon rubberized cementitious mortar using advanced AI tools
  60. Investigating the strength performance of 3D printed fiber-reinforced concrete using applicable predictive models
  61. An eco-friendly synthesis of ZnO nanoparticles with jamun seed extract and their multi-applications
  62. The application of convolutional neural networks, LF-NMR, and texture for microparticle analysis in assessing the quality of fruit powders: Case study – blackcurrant powders
  63. Study of feasibility of using copper mining tailings in mortar production
  64. Shear and flexural performance of reinforced concrete beams with recycled concrete aggregates
  65. Advancing GGBS geopolymer concrete with nano-alumina: A study on strength and durability in aggressive environments
  66. Leveraging waste-based additives and machine learning for sustainable mortar development in construction
  67. Study on the modification effects and mechanisms of organic–inorganic composite anti-aging agents on asphalt across multiple scales
  68. Morphological and microstructural analysis of sustainable concrete with crumb rubber and SCMs
  69. Structural, physical, and luminescence properties of sodium–aluminum–zinc borophosphate glass embedded with Nd3+ ions for optical applications
  70. Eco-friendly waste plastic-based mortar incorporating industrial waste powders: Interpretable models for flexural strength
  71. Bioactive potential of marine Aspergillus niger AMG31: Metabolite profiling and green synthesis of copper/zinc oxide nanocomposites – An insight into biomedical applications
  72. Preparation of geopolymer cementitious materials by combining industrial waste and municipal dewatering sludge: Stabilization, microscopic analysis and water seepage
  73. Seismic behavior and shear capacity calculation of a new type of self-centering steel-concrete composite joint
  74. Sustainable utilization of aluminum waste in geopolymer concrete: Influence of alkaline activation on microstructure and mechanical properties
  75. Optimization of oil palm boiler ash waste and zinc oxide as antibacterial fabric coating
  76. Tailoring ZX30 alloy’s microstructural evolution, electrochemical and mechanical behavior via ECAP processing parameters
  77. Comparative study on the effect of natural and synthetic fibers on the production of sustainable concrete
  78. Microemulsion synthesis of zinc-containing mesoporous bioactive silicate glass nanoparticles: In vitro bioactivity and drug release studies
  79. On the interaction of shear bands with nanoparticles in ZrCu-based metallic glass: In situ TEM investigation
  80. Developing low carbon molybdenum tailing self-consolidating concrete: Workability, shrinkage, strength, and pore structure
  81. Experimental and computational analyses of eco-friendly concrete using recycled crushed brick
  82. High-performance WC–Co coatings via HVOF: Mechanical properties of steel surfaces
  83. Mechanical properties and fatigue analysis of rubber concrete under uniaxial compression modified by a combination of mineral admixture
  84. Experimental study of flexural performance of solid wood beams strengthened with CFRP fibers
  85. Eco-friendly green synthesis of silver nanoparticles with Syzygium aromaticum extract: characterization and evaluation against Schistosoma haematobium
  86. Predictive modeling assessment of advanced concrete materials incorporating plastic waste as sand replacement
  87. Self-compacting mortar overlays using expanded polystyrene beads for thermal performance and energy efficiency in buildings
  88. Enhancing frost resistance of alkali-activated slag concrete using surfactants: sodium dodecyl sulfate, sodium abietate, and triterpenoid saponins
  89. Equation-driven strength prediction of GGBS concrete: a symbolic machine learning approach for sustainable development
  90. Empowering 3D printed concrete: discovering the impact of steel fiber reinforcement on mechanical performance
  91. Advanced hybrid machine learning models for estimating chloride penetration resistance of concrete structures for durability assessment: optimization and hyperparameter tuning
  92. Influence of diamine structure on the properties of colorless and transparent polyimides
  93. Post-heating strength prediction in concrete with Wadi Gyada Alkharj fine aggregate using thermal conductivity and ultrasonic pulse velocity
  94. Experimental and RSM-based optimization of sustainable concrete properties using glass powder and rubber fine aggregates as partial replacements
  95. Special Issue on Recent Advancement in Low-carbon Cement-based Materials - Part II
  96. Investigating the effect of locally available volcanic ash on mechanical and microstructure properties of concrete
  97. Flexural performance evaluation using computational tools for plastic-derived mortar modified with blends of industrial waste powders
  98. Foamed geopolymers as low carbon materials for fire-resistant and lightweight applications in construction: A review
  99. Autogenous shrinkage of cementitious composites incorporating red mud
  100. Mechanical, durability, and microstructure analysis of concrete made with metakaolin and copper slag for sustainable construction
  101. Special Issue on AI-Driven Advances for Nano-Enhanced Sustainable Construction Materials
  102. Advanced explainable models for strength evaluation of self-compacting concrete modified with supplementary glass and marble powders
  103. Analyzing the viability of agro-waste for sustainable concrete: Expression-based formulation and validation of predictive models for strength performance
  104. Special Issue on Advanced Materials for Energy Storage and Conversion
  105. Innovative optimization of seashell ash-based lightweight foamed concrete: Enhancing physicomechanical properties through ANN-GA hybrid approach
  106. Production of novel reinforcing rods of waste polyester, polypropylene, and cotton as alternatives to reinforcement steel rods
Downloaded on 29.12.2025 from https://www.degruyterbrill.com/document/doi/10.1515/rams-2025-0171/html
Scroll to top button