Abstract
Merocyanine dyes belong to the class of neutral polymethine dyes, where one terminal component is typically found in cyanine dyes and the second obtained from an active methylene compound. The different electron acceptor/donator abilities of the two terminal components have a marked impact on the electronic structure of a merocyanine dye and its equilibrium structure and electronic spectra. Their first technical application was spectral sensitization in silver halide photography. Today they have numerous of applications in textile dyeing and as membrane potential sensitive fluorescent dyes.
1 Fundamentals
To introduce a concept of importance when considering the influences on the spectra of merocyanine dyes, this chapter will open by examining the case of N,N-dimethylformamide (DMF) as a simple model for such colorants. Usually the structural formula that has been used for DMF is 1N. In the formalism of the Valence Bond (VB) theory the electronic structure of molecules can be described by a linear combination of contributing structures to the so-called resonance hybrid. Linus Pauling postulated that the charge-separated contributing structure 1S with a nitrogen-carbon double bond instead a single bond contributes significantly to the electronic structure of the ground state [1]. Pauling estimated that the non-charge-separated contributing structure 1N contributes 60% and 1S contributes 40% to the electronic ground state. This results in a value of pNC = 0.4 for the VB-π bond order of the NC bond. Pauling’s prediction was later experimentally confirmed in the early days of dynamic NMR spectroscopy. In the H NMR spectrum of DMF at room temperature two methyl signals are observed. From this it can be concluded that the two methyl groups are differently shielded. With increasing temperature these two signals broaden and on continuing rise in the temperature further the two peaks become a narrow peak, exactly between the two peaks at room temperature. The reason is that the NC bond has a high proportion of double bond character, which causes a hindered internal rotation of the amide group at room temperature. With increasing temperature the rotation barrier is overcome and the rate at which the methyl groups exchange their positions is so high that they can no longer be distinguished on the NMR time scale [2]. The free activation enthalpy of the internal rotation of the amide group is of ΔG ‡ = 20.4–22.4 kcal mol–1.
For the neutral polymethine dyes [3], where one terminal component is typically found in cyanine dyes and the second obtained from an active methylene compound, like e.g. 2, 3, Frances M. Hamer suggested the term merocyanine (μεροσ = part) dyes [4].
Based on the term streptocyanine dyes [3, 5,6,7] for cyanine dyes with two open-chain R2N groups (R = H, alkyl, aryl) like e.g. 4, the open-chain merocyanines 5 are called streptomerocyanine dyes [3, 8], which are the simplest model compounds for merocyanines.
Due to their electronic structure, merocyanine dyes are classified as neutral polymethine dyes [3, 5,6,7,8,9]. As cyanine dyes they are characterised by an odd number 2n + 3 of π-centres and 2n + 4 π-electrons (where n is the number of vinylene groups –CH = CH–). Therefore, one would expect them to show the characteristic feature of cyanine dyes like narrow absorption bands in the electronic spectrum, increasing molar absorption coefficient with increasing n and each additional vinyl group in the polymethine chain giving a bathochromic shift of the 0–0 vibronic transition of about 100 nm (the so-called vinylene shift) [5,6,7,8,9,10,11,12].
The streptocyanines 4 confirm these predictions perfectly (Table 1), with exception when n = 6. The reason for falling ε max in this case is the dye’s existence as a complex mixture of geometric isomers.
Absorption maxima λ max (nm) and molar absorption coefficients ε max (10–3 M–1 cm–1) of the streptocyanines 4 and the streptomerocyanines 5 in dependence on the number of vinylene groups n in dichloromethane [13].
4 | 5 | |||
---|---|---|---|---|
n | λ max | ε max | λ max | ε max |
1 | 312 | 64.5 | 283 | 37 |
2 | 416 | 119.5 | 361 | 51 |
3 | 519 | 207 | 421 | 56 |
4 | 625 | 295 | 462 | 65 |
5 | 734 | 353 | 491 | 68 |
6 | 848 | (220) | 512 | 72 |
However, the streptomerocyanines 5 in no way meet both predictions (Table 1). There is a much smaller increasing molar absorption coefficient than in the case 4 with increasing n and no vinylene shift of λ max.
The probably most well-known merocyanine is Brooker´s Merocyanine 6 with λ max = 605 nm, ε max = 154 · 103 M–1 cm–1 in pyridine and λ max = 444 nm, ε max = 54· 103 M–1 cm–1) in water [14]. Leslie G. S. Brooker et al. interpreted the electronic spectra of the merocyanines in terms of the VB theory with the assumption that the electronic structure of merocyanines can be described as a resonance hybrid between a non-charge-separated contributing structure 6N and charge-separated contributing structure 6S [15, 16]. Each contributing structure has a special electronic energy E el(N) and E el(S), respectively. In the 2 × 2 matrix representation of the electronic Hamiltonian E el(N) – E and E el(S) – E represent the diagonal matrix elements and the off-diagonal matrix element β is the electronic interaction matrix element between N and S. Solving the 2 × 2 matrix gives two electronic Eigenvalues E [17]. In other words, the linear combination of the two contributing structures causes a splitting between them (Figure 1).

VB interaction diagram of the non-charge-separated contributing structure N and the charge-separated contributing structure S with (a) exact equivalent electronic energies E el(S) = E el(N) and different electronic energies (b) E el(S) > E el(N) and c) E el(S) < E el(N) with the resulting electronic transition energy ΔE from the electronic ground state E el(S 0) to the first electronic excited state E el(S 1).
Then it is assumed that the lowest electronic Eigenvalue corresponds to the electronic energy of the ground state E el(S 0) while the second provides the energy of the first electronic excited state E el(S 1). The energy difference ΔE from the electronic ground state E el(S 0) to the first electronic excited state E el(S 1) is the electronic transition energy [16, 17]:
Brooker assumed that β in eq. (1) is a constant. In a symmetrical polymethine dye the two principal contributing structures have the same electronic energy, resulting in ΔE = 2β. This provides the lowest possible electronic transition energy. Brooker called the electronic states of a molecule, described by linear combination of two contributing structures of exact equivalent electronic energy the isoenergetic point (Figure 1(a)) [16].
In an unsymmetrical dye the two contributing structures have different electronic energies. With increasing difference between E el(N) and E el(S) ΔE increases, which shall cause a hypsochromic effect (Figure 1(b) and Figure 1(c)). Furthermore, Brooker assumed, that polar solvents stabilize S, whereas N remains unaffected and, therefore, E el(S) is lowered and so polar solvents causes a bathochromic effect in the case E el(S) > E el(N) (Figure 1(b)). Vice versa, in the case E el(S) < E el(N) polar solvents lead to a hypsochromic effect (Figure 1(c)).
Already in 1963 John N. Murrell wrote regarding this model: “This is an elegant explanation but it sounds too simple to be true.” [18] Systematic experimental studies suggested that this model is indeed too simple [17, 19].
Theodor Förster suggested that the Eigenfunctions of the electronic ground state ψ(S 0) [eq. (2)] and first electronic excited state ψ(S 1) [eq. (3)] can be approximated as a linear combination of the wavefunctions of the two contributing structures ψ N and ψ S [20]. The degree of mixing of N and S is determined by c 2.
Seth R. Marder et al. built on this model and called the resonance hybrid where the two contributing structures contribute equally (c 2 = 0.5) the cyanine limit, in which it is assumed that the equilibrium geometry R e in the ground electronic state S 0 [R e(S 0)] and R e in the first excited electronic state S 1 [R e(S 1)] are equal [21, 22].
The region c 2 < 0.5 was called „before the cyanine limit“ and c 2 > 0.5 „beyond the cyanine limit“ [21, 22]. From this model it follows, as c 2 moves away from c 2 = 0.5 the equilibrium geometries in S 0 and in S 1 differ increasingly in dependence on the deviation to c 2 = 0.5.
As a simplified measure of R e(S 0) bond length alternation (BLA) in the electronic ground state was introduced [21, 22]. BLA is estimated as the average of the absolute difference between adjacent carbon–carbon equilibrium bond lengths in a polymethine chain. So, the equilibrium geometry in the ground electronic state of polyatomic molecules is transferred to a simplified parameter in a diatomic molecule. Hence the value is BLA = 0 at the theoretical cyanine limit [c 2 = 0.5 in eq. (2)].
Of course, the solution of the 2 × 2 matrix representation of the electronic Hamiltonian gives the same results like eq. (1). In Brooker´s model β in eq. (1) is a constant. Marder et al. set β = –t and (different to Brooker´s model) it is said the electronic interaction matrix element between N and S – t depends on c 2. In the two cases c 2 = 0 and c 2 = 1 the value of – t = 0 and ΔE is given by the difference E el(S) – E el(N).
The wavefunctions of the two contributing structures ψ N and ψ S are purely electronic and so the wavefunctions of the two molecular states ψ(S 0) and ψ(S 1), are purely electronic too. Consequently, as in Brooker’s model in this model ΔE is the purely electronic transition energy. However, in molecules there are no pure electronic transitions!
Only in single atoms are there pure electronic transitions. Atoms do not rotate and vibrate and therefore, the spectral bandwidth is narrow in atomic absorption spectroscopy. In contrast to atoms molecules rotate, nuclei vibrate and transitions between electronic states are connected with simultaneous transitions between rotational and vibrational states. Therefore, absorption bands in molecular spectroscopy are broader than those encountered in atomic spectroscopy. The shapes of the former are mainly determined by the spacing and intensity distribution of the vibrational sub-bands.
In both models the pure electronic value ΔE is used and correlated with the easily measured absorption maxima λ
max as experimental comparative values. However, the λ
max value is nothing more than the intensity maximum in an electronic spectrum. It corresponds to the vibronic (vibrational-electronic) transition with the highest Franck-Condon factor [
![Figure 2:
Two diagrams providing the effect of different equilibrium geometry in the electronic ground S
0 [R
e(S
0)] and first excited state S
1 [R
e(S
1)] on the vibronic sub-bands transition intensities of diatomic molecules. The adiabatic potential energy surfaces of S
0 and S
1 are modelled by the quantum harmonic oscillator, its vibrational eigenfunctions assuming equal vibrational frequency in S
0 and S
1 and the relative transition intensities [
S
00
,
1
v
2
{\rm{S}}_{{\rm{00{, } 1v}}}^{\rm{2}}
] in dependence on the differences of R
e(S
0) and R
e(S
1) [12, 23, 24].](/document/doi/10.1515/psr-2020-0145/asset/graphic/j_psr-2020-0145_fig_002.jpg)
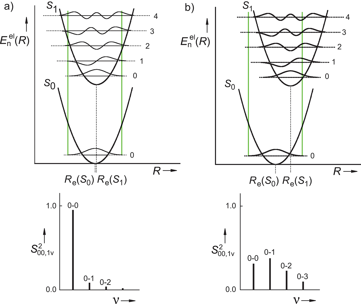
Two diagrams providing the effect of different equilibrium geometry in the electronic ground S
0 [R
e(S
0)] and first excited state S
1 [R
e(S
1)] on the vibronic sub-bands transition intensities of diatomic molecules. The adiabatic potential energy surfaces of S
0 and S
1 are modelled by the quantum harmonic oscillator, its vibrational eigenfunctions assuming equal vibrational frequency in S
0 and S
1 and the relative transition intensities [
The spacing of sub-bands in polymethine dye spectra is primarily determined by a dominant symmetric vibration associated with its polymethine chain and the observed intensities of these sub-bands can be explained in terms of this dominant vibration by the Franck–Condon principle for diatomic molecules [24].
At the cyanine limit, where it is assumed that R e in S 0 and S 1 are equal [R e(S 1) = R e(S 0)] the only vibronic transition will obviously be the 0–0 vibronic transition [12, 23,24,25]. That does not correspond to experimental reality. The S 0 → S 1 electronic transition in polymethine dyes can be ascribed mainly to an electronic transition from the highest occupied molecular orbital (HOMO) to the lowest unoccupied molecular orbital (LUMO). The HOMO has bonding character whereas the LUMO has antibonding character. It therefore follows that R e(S 1) is basically greater than R e(S 0). The difference R e(S 1) – R e(S 0) depends on the electronic structure in S 1 and S 0.
If the difference between equilibrium geometries is relatively low [R e(S 1) ≩ R e(S 0)] as in symmetric cyanine dyes the absorption intensity is largely concentrated in the 0–0 vibronic transition (Figure 2(a)) [10, 12, 23]. Already different terminal heterocyclic groups in unsymmetrical cyanine dyes cause an unsymmetrical electronic structure in S 1 and S 0. This leads to increasing differences R e(S 1) > R e(S 0) which cause an intensification of higher 0-v vibronic transitions (Figure 2(b)) [26]. If the change of the equilibrium geometries is much larger in unsymmetrical cyanine dyes [R e(S 1) ≫ R e(S 0)] the absorption curve does not exhibit a vibrational fine structure [26], as it is the case in most spectra of merocyanine dyes. In general, if the spectra do not show a vibrational structure, it is not clear which underlying vibronic transitions is represented by the λ max values. Obviously, neither the effects of structural changes nor solvents on the electronic spectra of merocyanine dyes can be accounted for by the simple pure electronic model with two contributing structures.
It is very important not to consider the pure electronic transitions only, but the effects of the changes in equilibrium geometry S 1 and S 0 on the distribution of the spacing and intensity of the vibrational sub-bands. Therefore, the Förster model with the linear combination of the two wavefunctions ψ N and ψ S [20] should be used only in combination with the Franck-Condon principle for diatomic molecules [12, 23, 24].
This shall be illustrated with Figure 3. The spectra of 4,4´-dimethylpyrido-trimethincyanine show a clear vibrational structure in dichloromethane (DCM) and in MeOH and λ max corresponds to the 0–0 vibronic sub-band. The spectrum of the iso-π-electronic Brooker´s Merocyanine exhibits in DCM a clear vibrational structure and also here λ max is represented by the 0–0 sub-band (Figure 3(a)). However, in MeOH the vibrational structure disappears and λ max is substantially hypsochromic shifted (Figure 3(b)).

Normalized absorption spectra of Brooker’s Merocyanine and the iso-π-electronic 4,4´-Dimethylpyrido-trimethincyanine (a) in DCM and (b) in MeOH.
Both contributing structures for 4,4´-dimethylpyrido-trimethincyanine have the same two terminal components with the same electron acceptor/donor abilities and so there is a small solvatochromic effect on the 0–0 transition only. In 6 the two terminal components have different electron acceptor/donator abilities and, therefore, already in DCM there is a change of R e from S 0 to S 1 [R e(S 1) > R e(S 0)], so λ max is represented by the 0–0 sub-band, but the intensity of the 0–1 sub-band is substantial higher. Within the Förster model it follows, that the polar solvent MeOH moves c 2 to c 2 ≫ 0.5 with the result of a big change of R e from S 0 to S 1 [R e(S 1) ≫ R e(S 0)] the absorption curve does not exhibit a vibrational fine structure and λ max is substantially hypsochromic shifted (Figure 3(b)).
Increasing the electron donor ability of the terminal phenolate component by substitution of two t-Bu groups as in 7, leads to a more symmetric electronic structure and spectra with a clear vibrational structure in all aprotic solvents and in most alcohols [17, 27, 28].
A similar effect can be achieved by replacing oxygen in the streptomerocyanine 5 with malodinitrile as in 8 (Table 2).
Absorption maxima λ max (nm) and molar absorption coefficient ε max (10–3 M–1 cm–1) of the streptomerocyanines 8 in dependence on the number of vinylene groups n in EtOH [29].
n | λ max | ε max |
---|---|---|
1 | 372 | 93 |
2 | 473 | 260 |
3 | 579 | 470 |
4 | 670 | 520 |
The crystal structures of 5 (n = 3) BLA = 5.8 pm and of 8 (n = 3) BLA = 0.5 pm provide direct evidence for decreased BLA in 8 in comparison with 5 [21].
NMR investigations and related quantum chemical calculations on a number of cyanines, merocyanines and polyenes have revealed that there is an almost linear correlation between the 3 J(H,H) coupling constants for trans vicinal protons in the polymethine chain and the carbon–carbon equilibrium bond lengths [28,29,30,31,32,33,34]. Accordingly, the degree of bond length alternation in solution can be estimated by the absolute difference ΔJ of the 3 J(H,H) coupling constants between adjacent vinylene groups. For illustration, for 5 (n = 1) is the value ΔJ = 4.8 Hz in CDCl3 [30], whereas for 8 (n = 1) is ΔJ = 1.0 Hz in [D6]DMSO [31]. For comparison, for 4 (n = 2) is ΔJ = 0.6 Hz in CDCl3 and ΔJ = 0.8 Hz in [D6]DMSO.
To transfer the structural influence in polyatomic molecules to the Franck-Condon principle for diatomic molecules the BLA (ΔJ) in the electronic ground state can be used. The small BLA and ΔJ in the streptomerocyanines 8 are clear experimental evidence, that the differences between carbon–carbon equilibrium bond lengths in the polymethine chain are small. From eqs. (2) and (3) it follows that the difference R e(S 1) – R e(S 0) is small and it is highly likely λ max values represent the 0–0 vibronic transition energy. So, the streptomerocyanines 8 reflect the above discussed structure influences on λ max and ε max in an excellent manner and all spectra of compounds n > 0 exhibit a clear vibrational structure [31].
Vice versa, the great BLA and ΔJ in the streptomerocyanines 5 are clear experimental evidence, that the differences between carbon–carbon equilibrium bond lengths in the polymethine chain are great. With increasing BLA (ΔJ) R e(S 0) and R e(S 1) differ increasingly and it is highly likely λ max values represent another 0–v vibronic transition. In addition, all spectra of series 5 exhibit no fine structure [13].
In summary, merocyanines fall within the polymethine dye class, but whoever discusses their absorption spectra should pay attention to fine structure of the absorption bands.
2 History of the merocyanine dyes
The first merocyanine dye 9 was synthesized by John D. Kendall at the photographic company Ilford by the reaction of rhodanic acid with 3-ethyl-2-methylthio-benzthiazolium [35].
As mentioned already Hamer suggested the term merocyanine [4]. Also here, silver halide photography was the driving force to make further developments in the field of merocyanine dyes. A short time later Hamer and Brooker presented a lot of new merocyanines based on components from cyanine dye chemistry and open-chain or cyclic keto-methylene compounds like e.g. acetylacetone, barbituric acids, cyanoacetamides, cyanoacetates, hydantoin, isoxazolones, malodinitrile, malonates, pyrazolones, thiohydantoin, thio-oxazolidinediones and thiazolinones [4,5,6,7, 36].
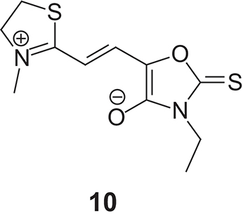
For illustration only, one of the most successful and widely used merocyanines in black and white materials was the green sensitizer 10 (Sto 749).
Later merocyanines for textile dyeing and other applications were developed. Since completely different technical requirements were demanded of them, e.g. fastness, they were constructed from new components.
3 General synthetic routes to merocyanine dyes
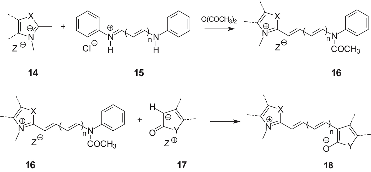
The first merocyanine dye 9 was prepared from the reaction between rhodanic acid with 3-ethyl-2-methylthio-benzthiazolium [35]. It is the general way to synthesize zeromethine merocyanines 13 using heterocyclic quaternary salt 11 with a leaving group R and the anions of keto-methylene compounds 12 (Figure 4) [4,5,6,7, 36].

Reaction scheme.
To obtain the vinylogues of the zeromethine merocyanines 18 a 2-methyl heterocyclic quaternary salt 14 reacts with diphenylformamidine hydrochloride 15 (n = 0), malondialdehyde dianil hydrochloride 15b (n = 1) or glutacondialdehyde dianil hydrochloride 15c (n = 2) to the intermediate 16 with β-acetanilido vinyl groups (sometimes β-anilino vinyl groups). groups. Then the intermediate 16 is condensed with anions of keto-methylene compounds 17 to the merocyanines 18 (Figure 5) [4,5,6,7, 36].

Reaction scheme.
Commercially used are only zeromethine 13, dimethine 18 (n = 0) and tetramethine 18 (n = 1) merocyanines. Dyes with longer polymethine chain 18 (n > 1) are of less technical importance due to their low stability.
Especially for the synthesis of dimethine dyes based on 1-alkyl-2,3,3-trimethylindolenine the corresponding aldehyde (Fischer´s aldehyde) is used. So, e.g. 3 is synthesized by the reaction of 2-(1,3,3-trimethylindolin-2-ylidene)acetaldehyde with 1-phenyl-3-methylpyrazol-5-one.
4 Commercial uses of merocyanine dyes
The first and main technical application of merocyanine dyes was in silver halide photography as spectral sensitizers [37,38,39].
Zeromethine merocyanines like 9, 19 and 20 are suitable blue sensitizers in the region 450–500 nm. The carboxyl groups in 19 and 20 increase the water solubility, preventing residual coloration after processing.
Dimethine merocyanine like e.g. 2, 10 and 21 are used as green sensitizers in the region 500–600 nm.
As red sensitizers in the region 600–700 nm tetramethine and trinuclear merocyanines 22 are used. In all cases the function of the carboxyl groups is to increase the water solubility, preventing residual coloration after processing.
Due to their low light fastness and thermal stability merocyanines like 2, 6, 7, 9, 10, 19–22 are not suitable for textile dyeing. To improve these properties derivatives of N-akyl-1,8-naphtholactam were introduced. By condensation of N-ethyl-1,8-naphtholactam with malodinitrile the yellow dye 23 is obtained. The reaction of the corresponding methylene-ω-aldehyde with ethyl cyanoacetate gives the dimethine merocyanine dye 24. The extension of the polymethine chain by a vinyl group leads to a red color of 24.
The dimethinemerocyanine 25 is obtained by condensation of Fischer´s aldehyde with ethyl cyanoacetate and gives a stable yellow dye. Substitution with a carboxylate group at the 5-position of the indoline heterocycle produces a very lightfast dye.
Textile dyeing is not the main field of application of merocyanine dyes, however the samples 23–26 illustrate how dyes, developed for use in another technology, provide suggestions for the development of new textile dyes with higher demands on fastness properties.
In the 1990s the field of nonlinear optics (NLO) was inflated with too much hype [21, 22, 40], followed by an abrupt decline. Due to the low light fastness and thermal stability of the functional colorants developed for this field there was no real technical application. Nevertheless, this area of research stimulated many new and interesting dye syntheses [40, 41] like e.g. 27 and 28.
Merocyanine 540 29 was among the first fluorescent dyes to determine membrane potentials in eukaryotic cells and prokaryotic bacteria [42].
However, its use for this application has declined with the advent of superior probes and its extreme phototoxicity. Irradiation of Merocyanine 540 29 produces both singlet oxygen and other reactive oxygen species, including oxygen radicals. Therefore, it is now more commonly used as a photosensitizer in photodynamic therapy.
References
1. Pauling L. The nature of the chemical bond. 3rd ed. Ithaca: Cornell University Press, 1960:281–2.Search in Google Scholar
2. Friebolin H. Basic one- and two-dimensional NMR spectroscopy. 4th ed. Weinheim: Wiley-VCH, 2005.10.1055/s-2005-867116Search in Google Scholar
3. Mustroph H. Polymethine dyes. Phys Sci Rev. 2020;5. DOI:10.1515/psr-2019-0084.Search in Google Scholar
4. Hamer FM, Winton BS. A Trimethincyanine; a trimethinoxonol and some compounds related to trimethinoxonols; some di- and tetra-methinmerocyanines. J Chem Soc. 1949;1126.10.1039/jr9490001126Search in Google Scholar
5. Berneth H. Methine dyes and pigments. In: Elvers B, editor. Ullmann’s encyclopedia of industrial chemistry. Weinheim: Wiley-VCH, 2012.Search in Google Scholar
6. Berlin L, Riester O. Methoden zur Herstellung von Cyaninen (Polymethinen). In: Müller E, editor. Methoden der organischen Chemie (Houben-Weyl). vol. 5/1d. Stuttgart: Thieme, 1972:231–98.Search in Google Scholar
7. Hamer FM. The cyanine dyes and related compounds. In: Weissberger A, editor. The chemistry of heterocyclic compounds. vol. 18. New York: Interscience, 1964.10.1002/9780470186794Search in Google Scholar
8. Tyutyulkov N, Fabian J, Mehlhorn A, Dietz F, Tadjer A. Polymethine dyes – structure and properties. Sofia: St Kliment Ohridski University Press, 1991.Search in Google Scholar
9. Griffiths J. Colour and constitution of organic molecules. London: Academic Press; 1976.Search in Google Scholar
10. Mustroph H. Cyanine dyes. Phys Sci Rev. 2020;5. DOI:10.1515/psr-2020-0145.Search in Google Scholar
11. Hallas G. Effects of extended conjugation in some basic dyes. J Soc Dyers Colour. 1970;86:237.10.1111/j.1478-4408.1970.tb02953.xSearch in Google Scholar
12. Mustroph H, Ernst S, Senns B, Towns AD. Molecular electronic spectroscopy: from often neglected fundamental principles to limitations of state- of-the-art computational methods. Color Technol. 2015;131:9.10.1111/cote.12120Search in Google Scholar
13. Malhotra SS, Whiting MC. Researches on polyenes. Part VII. The preparation and electronic absorption spectra of homologous series of simple cyanines, merocyanines, and oxonols. J Chem Soc. 1960;3812.10.1039/jr9600003812Search in Google Scholar
14. Brooker LG, Keyes GH, Heseltine DW. Color and constitution. XI. Anhydronium bases of p-hydroxystyryl dyes as solvent polarity indicators. J Am Chem Soc. 1951;73:5350.10.1021/ja01155a097Search in Google Scholar
15. Brooker LG, Keyes GH, Sprague RH, VanDyke RH, VanLare E, VanZandt G, et al. Color and constitution. X. Absorption of the merocyanines. J Am Chem Soc. 1951;73:5332.10.1021/ja01155a096Search in Google Scholar
16. Brooker LG. Some recent developments in the chemistry of photographic sensitizing dyes. Experientia Suppl. 1955;2:229.Search in Google Scholar
17. Mustroph H, Reiner K, Senns B, Mistol J, Ernst S, Keil D, et al. The effects of substituents and solvents on the ground-state π-electronic structure and electronic absorption spectra of a series of model merocyanine dyes and their theoretical interpretation. Chem Eur J. 2012;18:8140.10.1002/chem.201101830Search in Google Scholar PubMed
18. Murrell JN. The theory of the electronic spectra of organic molecules. London: Methuen, 1963:86.Search in Google Scholar
19. Mustroph H, Mistol J, Senns B, Keil D, Findeisen M, Hennig L. Relationship between the molecular structure of merocyanine dyes and the vibrational fine structure of their electronic absorption spectra. Angew Chem Int Ed. 2009;48:8773.10.1002/anie.200902687Search in Google Scholar PubMed
20. Förster T. Farbe und Konstitution organischer Verbindungen vom Standpunkt der modernen physikalischen Theorie. Z Elektrochem. 1938;45:548.Search in Google Scholar
21. Marder SR, Perry JW, Tiemann BG, German CB, Gilmour S, Biddle SL, et al. Direct observation of reduced bond length alternation in donor/scceptor polyenes. J Am Chem Soc. 1993;115:2524.10.1021/ja00059a067Search in Google Scholar
22. Marder SR, Gorman CB, Tiemann BG, Cheng L-T. Stronger acceptors can diminish nonlinear optical response in simple donor-acceptor polyenes. J Am Chem Soc. 1993;115:3006.10.1021/ja00060a071Search in Google Scholar
23. Mustroph H. Dyes: quantum chemical calculation of electronic spectra. Phys Sci Rev. 2019;4. DOI:10.1515/psr-2019-0040.Search in Google Scholar
24. Mustroph H, Towns A. Fine structure in electronic spectra of cyanine dyes: are sub-bands largely determined by a dominant vibration or a collection of singly-excited vibrations? Chem Phys Chem. 2018;19:1016.10.1002/cphc.201701300Search in Google Scholar PubMed PubMed Central
25. Mustroph H, Reiner K, Mistol J, Ernst S, Keil D, Hennig L. Relationship between the molecular structure of cyanine dyes and the vibrational fine structure of their electronic absorption spectra. Chem Phys Chem. 2009;10:835.10.1002/cphc.200800755Search in Google Scholar PubMed
26. Mustroph H, Reiner K, Senns B. Bond length alternation in unsymmetrical cyanine dyes and its influence on the vibrational structure of their electronic absorption spectra. Color Technol. 2017;133:469.10.1111/cote.12303Search in Google Scholar
27. Catalán J, Mena E, Meutermans W, Elguero J. Solvatochromism of a typical merocyanine: stilbazolium betaine and its 2,6-di-tert-butyl derivative. J Phys Chem. 1992;96:3614.10.1021/j100188a013Search in Google Scholar
28. Morley JO, Morley RM, Fitton AL. Spectroscopic studies on Brooker’s merocyanine. J Am Chem Soc. 1998;120:11479.10.1021/ja982302vSearch in Google Scholar
29. Scheibe G, Seiffert W, Hohlneicher G, Jutz C, Springer HJ. Trans-Protonenkopplungskonstanten und C–C-Abstände bei Cyaninen, Merocyaninen und Olefinen. Tetrahedron Lett. 1966;5053.10.1016/S0040-4039(00)90326-5Search in Google Scholar
30. Radeglia R, Dähne S. Lösungsmittelinduzierte Elektronenverschiebungen in einfachen Merocyanin-Farbstoffen. J Mol Struct. 1970;5:399.10.1016/0022-2860(70)80045-XSearch in Google Scholar
31. Scheibe P, Schneider S, Dörr F, Daltrozzo E. Spektroskopische Untersuchungen an Merocyaninen I. UV- und NMR-Spektren von malodinitril-substituierten vinylogen Säureamiden. Ber Bunsenges Phys Chem. 1976;80:630.10.1002/bbpc.19760800711Search in Google Scholar
32. Wähnert M, Dähne S, Radeglia R. The effect of solvents on the electronic structure of symmetrical polymethinecyanines – 1 H- and 13 C-NMR spectroscopic investigations. Adv Mol Relax Interact Processes. 1977;11:263.10.1016/0378-4487(77)80039-3Search in Google Scholar
33. Blanchard-Desce M, Alain V, Bedworth PV, Marder SR, Fort A, Runser C, et al. Large quadratic hyperpolarizabilities with donor-acceptor polyenes exhibiting optimum bond length alternation: correlation between structure and hyperpolarizability. Chem Eur J. 1997;3:1091.10.1002/chem.19970030717Search in Google Scholar
34. Morley JO, Morley RM, Docherty R, Charlton MH. Fundamental studies on Brooker’s merocyanine. J Am Chem Soc. 1997;119:10192.10.1021/ja971477mSearch in Google Scholar
35. Kendall JD. GB 426 718. 3 Oct 1933.Search in Google Scholar
36. Brooker LG, Keyes GH, Sprague RH, VanDyke RH, VanLare E, VanZandt G, et al. Studies in the Cyanine dye series. XI. The merocyanines. J Am Chem Soc. 1951;73:5326.10.1021/ja01155a095Search in Google Scholar
37. James TH, editor. The theory of the photographic process. 4th ed. New York: Macmillan, 1977.Search in Google Scholar
38. Keller K, Kampfer H, Matejec R, Lapp O, Krafft W, Frenken H, et al. Photography. In: Elvers B, editor. Ullmann’s encyclopedia of industrial chemistry. Weinheim: Wiley-VCH, 2000.10.1002/14356007.a20_001Search in Google Scholar
39. Fujita S. Organic chemistry in photography. Berlin: Springer, 2004.10.1007/978-3-662-09130-2Search in Google Scholar
40. Würthner F, Wortmann R, Meerholz K. Chromophore design for photorefractive organic materials. Chem Phys Chem. 2002;3:17.10.1002/1439-7641(20020118)3:1<17::AID-CPHC17>3.0.CO;2-NSearch in Google Scholar
41. Würthner F. DMF in acetic anhydride: a useful reagent for multiple-component syntheses of merocyanine dyes. Synthesis. 1999;2103.10.1055/s-1999-3635Search in Google Scholar
42. Waggoner AS. Dye indicators of membrane potential. Annu Rev Biophys Bioeng. 1979;8:47.10.1146/annurev.bb.08.060179.000403Search in Google Scholar PubMed
© 2020 Mustroph, published by De Gruyter
This work is licensed under the Creative Commons Attribution-NonCommercial-NoDerivatives 4.0 International License.