Home An exercise-based international polymer syllabus
Article Open Access

An exercise-based international polymer syllabus

  • Rameshwar Adhikari , Patricia Targon Campana , Yvonne Shuen Lann Choo ORCID logo , Marcos Lopes Dias , Claudio G. Dos Santos , Christopher M. Fellows ORCID logo EMAIL logo , Michael Hess , Romain Lucas-Roper , Christine K. Luscombe ORCID logo , Peter E. Mallon , Jan Merna ORCID logo , Marloes Peeters , Tien Thuy Quach , Patrick Théato , Paul D. Topham ORCID logo , Jiří Vohlídal and Michael Walter
Published/Copyright: June 10, 2024

Abstract

The IUPAC Subcommittee on Polymer Education has been pursuing the development of a compact syllabus covering the essential topics required for a tertiary education in polymer science, with numerical and short answer exercises addressing each topic. The primary goal of the document is to provide a framework for a complete course made freely available worldwide so that any educator can implement a professionally-curated course in polymer science for their students without needing expensive textbooks or reliable internet access. An important secondary goal is to popularize the use of approved IUPAC terminology in polymer science by using it consistently throughout the document and providing references to IUPAC source documents. Professor Melissa Chin Han Chan was an active and enthusiastic participant in the project who played a significant role in its design and implementation. The late Professor Richard ‘Dick’ Jones also had a keen interest in the project and had a great influence on its direction and structure. This brief note is dedicated to these two illustrious polymer scientists.

Overview

Education is the foundation for the future. This is true in every sphere of life, and in the sphere of polymer science the authors believe that what is taught today in secondary and tertiary education will help to shape research directions, public policy, and industrial practice in the future. In 2017 a small task group from the IUPAC Subcommittee on Polymer Education submitted a proposal to develop a ‘syllabus’ in polymer science to support educators and learners around the world in understanding polymers and to play a role in shaping their future. The increased awareness and understanding of polymer science is important as we address concerns related to the widespread use and disposal of commodity polymers, in addition to highlighting the many opportunities that polymer materials have for solving many of the global challenges. This project was seen to involve three main objectives: (1) to provide guidance on the core content that should be covered in an undergraduate course on polymer science; (2) to provide curated numerical and short-answer exercises illustrating each of the content topics identified; and (3) to distribute this syllabus and collection of curated exercises as an electronic document freely to the world.

There were two main motivations for this work. The first was to provide quality teaching material for educators in parts of the world without ready access to expensive textbooks. The second was to encourage adoption of IUPAC recommendations for nomenclature and terminology by exposing students to them at a formative stage. The scope of polymer science courses is often understandably driven by local research interests with little consensus between nations or institutions, so there is currently limited consistency in the material covered around the world. Tertiary education in chemical topics is also still typically dependent on costly textbooks – these almost always contain an excessive amount of material impossible to cover in a single course, and in most case present many formulae but provide few examples of their use. The authors have often found the lack of sufficient exercises frustrating in teaching polymer science. In developing nations, limited availability of instruction materials means that texts may be adopted which are not ideal for the purpose. For example, one of our graduate students was taught undergraduate polymer science in an Arabic-speaking country from a Spanish-language textbook as it was readily available on the internet.

IUPAC committees continually strive for terminology and nomenclature for chemical topics that more clearly express fine gradations of meaning, direct users away from errors that might be suggested by alternatives, and allow consistency across materials written by researchers from widely varying backgrounds [1]. Unfortunately, uptake of the recommendations of IUPAC by the broader scientific community is frequently slow, with terms deprecated by IUPAC lingering in textbooks for generations (see, for example, the ‘condensation/addition’ and ‘step growth/chain growth’ dichotomies and the efforts of the IUPAC Polymer Division to make this discussion of polymerization mechanisms logical and consistent [2]). It is hoped that making an attractive document freely available in which IUPAC recommendations are followed throughout will aid in the uptake of these recommendations by emerging polymer scientists and engineers. Since 2018 a task group of the IUPAC Subcommittee on Polymer Education containing polymer scientists from every inhabited continent has been working on the development of the polymer syllabus, with an iteration of content and form to make it more suitable for its intended purpose.

Background and philosophy

The IUPAC Polymer Division was founded in 1967 as the Macromolecular Division and from its earliest days has had an strong interest in polymer education [3, 4]. The Subcommittee on Polymer Education was formally established in 2005 to bring ongoing educational activities under a single umbrella. Production of a textbook was seen as a potential way to gain exposure and acceptance of IUPAC recommendations, with several proposals being made of the years both before and after establishment of the Subcommittee. Most recently a proposal for a textbook focused on polymer characterization was made in 2013. The magnitude of the task involved in textbook preparation meant that none of these proposals ever became a full IUPAC project and no textbook consistent with all IUPAC recommendations exists for polymer science. Over the decades as textbook proposals were made technology moved swiftly, driving changes in pedagogical culture and the educational landscape shifted dramatically to an environment where lumbering traditional textbooks co-exist with a continuously changing horde of rapidly evolving information resources. In the age of Wikipedia, it could be argued that formal education need not bother to provide ‘facts’; but there is an even greater need than before to provide guidance as to what constitute ‘relevant facts’ [5].

While all the information is easily available electronically, and there is no need to carry it around in a brick-like textbook, it is still necessary to have some guidance on what topics, concepts, terms, and models are most significant for a particular field of study. For some time the IUPAC Polymer Division has been preparing and distributing ‘brief guides’ which serve this function for particular aspects of polymer science [1]. These are documents of a few pages which give a high-level overview of the key concepts in a topic, referencing IUPAC source documents which can provide a deeper understanding. These ‘brief guides’ show learners the way through the information wilderness, allowing the learner to hunt and gather additional material to flesh out the knowledge they provide. Thus, the first impetus of the syllabus project was to extend the service provided by the ‘brief guides’ to the whole of a suggested curriculum for an undergraduate course in polymer science. Any educator could then take this and structure their own unique polymer science course around it, drawing in examples relevant to the needs of their own students and going deeper into topics of local importance, but confident that the core material they were covering had been identified as the most important core material for a course in polymer science by a group of international ‘experts’.

To make the syllabus more useful for its intended audience and to encourage its use, it was decided to make it more like a textbook than the ‘brief guides’ are by incorporating exercises suitable for the application of the concepts covered. A paucity of appropriate exercises is always a frustrating feature in a textbook. Thus, every topic in the syllabus is accompanied as appropriate by short answer and numerical exercises which users of the syllabus can do with as they will.

The word ‘international’ in the name of the project is another conscious choice to highlight a goal of the project, which is to produce a document that is truly international in nature. Although English is the only official language of IUPAC and the language of international science, we wished to avoid a document that was unduly influenced by the culture and pedagogical practices of the English-speaking countries, and have sought to draw upon the full breadth of expertise available within the Polymer Division. Contributors to the project work in Brazil, Malaysia, Nepal, Qatar, Russia and South Africa, among others.

A parallel project under development by the IUPAC Subcommittee on Polymer Education is the preparation of a ‘slide deck’ which will address the topics of the syllabus in a form that can be immediately downloaded and presented to students. Our goal ultimately is to provide an entire ‘skeleton’ course in polymer science, curated and free for anyone to use and adapt, to help polymer science educators and learners make the most of the new educational landscape.

Content

The scope and structure of the syllabus are outlined at the beginning of the document. First, we state what we understand to be the importance of knowing something about polymers to a general education in chemistry and materials science. We then give the goal of the document as providing a scaffold around which any educator in the world can build an undergraduate course in polymer science or a senior high school unit in polymer science. The syllabus is divided into 12 sections of a few thousand words each, with each section containing an introductory paragraph giving the context of the section, an overview of the most important things that we believe every chemically-educated person should know about the topic and sample questions and answers. For all terms used where an IUPAC definition exists, references are given to the IUPAC ‘Gold Book’ to give the official formal definitions [6].

The syllabus begins by describing what polymers are and discusses their general properties – the different polymer architectures and concepts applicable to all polymers, such as molar mass distributions. The most important classes of polymers are then introduced, followed by discussion of the main mechanisms for the synthesis of polymers. In these sections key equations for a quantitative understanding of the links between polymer synthesis and polymer properties, such as the Carothers equation, are introduced. After describing what polymers are and how they are made, the syllabus discusses properties of polymers and higher-order structures – polymer blends and polymer colloids. Characterization and naming of polymers are the final topics covered, but as these are relevant to most other sections of the syllabus there are extensive cross-references in the other sections to this final section.

We begin with the question: ‘what is a polymer’? The answer is of course defined by IUPAC: ‘a substance composed of macromolecules’ [7]. We give this answer, link to the IUPAC definition of a chemical substance [6] and immediately proceed to the obvious question posed by this answer, ‘what is a macromolecule?’. The answer to this question on first sight looks unduly complicated, so we take some time to step through it and show the important role played by each part in the definition. As an example of how the Polymer Syllabus is structured – and because we think it is a very important answer for everyone to know – below we will take the reader to the answer we give in the Polymer Syllabus. This should illustrate the guiding principles of brevity, illustration, and reference back to IUPAC source documents.

What is a macromolecule?

The IUPAC definition of a macromolecule is: ‘a molecule of high relative molecular mass, the structure of which essentially comprises the repetition of multiple units derived, either actually or conceptually, from molecules of low relative molecular mass’ [7]. The text discussing this definition in the syllabus is reproduced below. While ‘macromolecule’ seems to just mean ‘big molecule’ from how ‘macro’ is used to form words in English, there are two parts of this definition, both of which are important.

The first is that it is big – ‘of high relative molecular mass’.

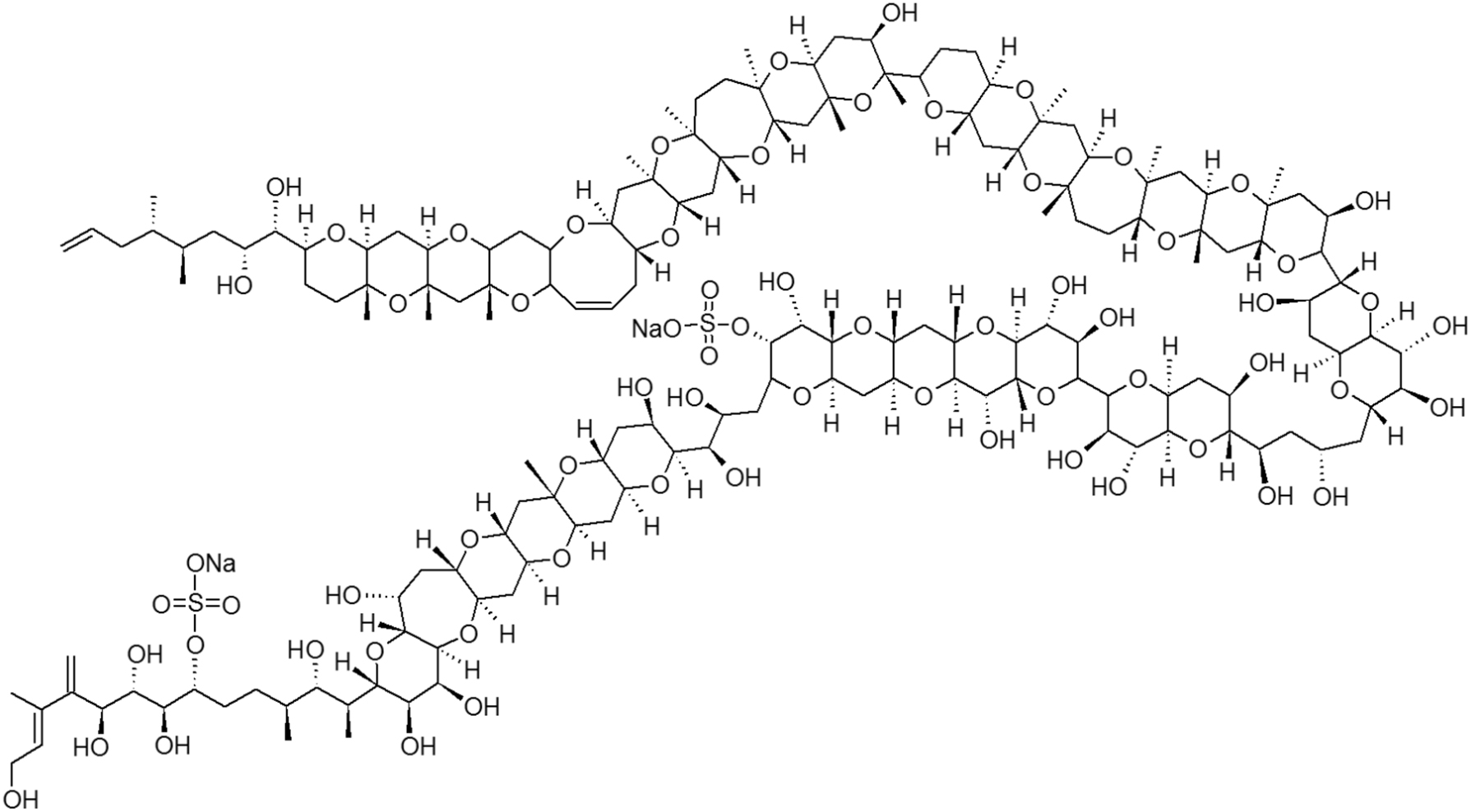
Maitotoxin (Fig. 1), a very poisonous chemical found in some blue-green algae, would however not be considered a macromolecule, and a chunk of maitotoxin solid would not be considered a polymer. This is because of the second part of the definition:

Fig. 1: 
Maitotoxin – NOT a macromolecule.
Fig. 1:

Maitotoxin – NOT a macromolecule.

‘The structure of which essentially comprises the repetition of multiple units’. Thus, a macromolecule has repetition.

So for a macromolecule, unlike maitotoxin, we don’t have to draw out the whole molecule to show that it is big, but can define a part of the molecule that is repeated.

Thus, we can define n-tetracontane as a polymer of methylene, , where n is 40.

We can define poly(oxyethylene) as a polymer of oxyethylene, .

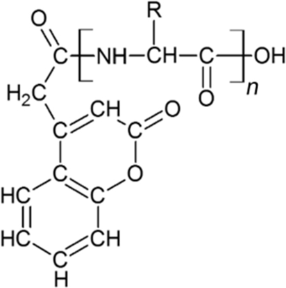
It is not necessary for the multiple units to be identical: for example, a polypeptide is a macromolecule described by the repeating structure below, where R may be any of a large number of different groups.

The word ‘essentially’ in the definition is also significant. It tells us that a macromolecule is not necessarily 100 % comprised of identical repeating units. Since every molecule needs to end eventually, if we change the functional groups on the ends of these three structures to the ones shown below, we would still consider them to be macromolecules:

‘High relative molecular mass’ in the definition is defined in terms of the properties of the molecule; if adding one of the units of low molecular mass of which a macromolecule is made makes no measurable difference to its properties, then it is of ‘high relative molecular mass’.

The ‘actually or conceptually’ in the definition is there to tell us that any of these things are macromolecules, no matter how they were made. A hydrocarbon chain 24 carbon atoms long could have been made by attaching CH2 groups together in sequence, or polymerizing ethene (CH2CH2) molecules, or polymerizing butadiene (CH2CHCHCH2) molecules followed by hydrogenation, or it could conceivably be derived from a string of carbon peeled off the edge of a sheet of graphene.

What is a copolymer?

This is an example of another important question dealt with in the Polymer Syllabus as an illustration of a typical approach we have taken towards mapping out the polymer landscape. Below is a the summary table below, taken from the syllabus giving the different types of copolymer with examples and their IUPAC definitions with their source (Fig. 2).

Fig. 2: 
Types of copolymer.
Fig. 2:

Types of copolymer.

Outlook

It would be valid to ask the question: is a project such as this really relevant in an age of Artificial Intelligence (AI)? We believe that the increasing availability of adaptive systems for synthesizing knowledge into coherent text, like the availability of raw information that came with the advent of the internet a few decades before, makes a project like this even more urgent. AI can only take what is available and reflect the status quo: it cannot follow ‘best practice’ as defined by IUPAC unless this is what the user specifically requests. Using it as a basis for providing educational material in polymer science is a sure recipe for courses exploding outwards in a thousand different directions in terms of their content and focus. If we want polymer scientists around the world to continue to share a common language – to have a common body of knowledge and an understanding of the subject that is transferrable from one environment to another – we need to be proactive in providing educational tools. If we want IUPAC recommendations to be adopted, we cannot just publish technical reports and wait for others to take notice. Every field of knowledge has a tremendous amount of inertia and, to put the problem in chemical language, we can only induce a reaction leading to our desired product by providing an alternative lower-energy pathway. Like the textbook projects that were proposed in previous decades to cover the same ground and did not come to fruition, the IUPAC polymer syllabus project has required an enormous effort. A large number of people have contributed to the project – including a significant contribution by one of the most active and inspiring members of the IUPAC Subcommittee on Polymer Education, our former chair Prof. Melissa Chin Han Chan. However, the project is not yet complete. We are still in the process of finalizing the text and collecting appropriate questions to illustrate each of the key points covered. Our goal is to complete the project during 2025 and make it available to the world, bringing Prof. Chan’s vision to reality. All members of the Subcommittee on Polymer Education are in support of this project and hope to continue to contribute to Prof. Chan’s legacy.


Corresponding author: Christopher M. Fellows, Saline Water Conversion Corporation, Jubail 31951, Saudi Arabia; and School of Science and Technology, The University of New England, Armidale, NSW 2351, Australia, e-mail:
Article note: Issue dedicated to Melissa Chan.

References

[1] R. C. Hiorns, R. J. Boucher, R. Duhlev, K. H. Hellwich, P. Hodge, A. D. Jenkins, R. G. Jones , J. Kahovec , G. Moad , C. K. Ober , D. W. Smith , R. F. T. Stepto, J.-P. Vairon (IUPAC Technical Report). Pure Appl. Chem. 84, 2167 (2023), https://doi.org/10.1351/pac-rep-12-03-05.Search in Google Scholar

[2] C. H. Chan, J. T. Chen, W. S. Farrell, C. M. Fellows, D. J. Keddie, C. K. Luscombe, J. B. Matson, J. Merna, G. Moad, G. T. Russell, P. Théato, P. T. Topham, L. S. Vargas. Polym. Chem. 13, 2262 (2022), https://doi.org/10.1039/d2py00086e.Search in Google Scholar

[3] C. H. Chan, C. M. Fellows, M. Hess, R. C. Hiorns, V. P. Hoven, G. T. Russell, C. G. Dos Santos, A. Šturcová, P. Théato. J. Chem. Educ. 94, 1618 (2017), https://doi.org/10.1021/acs.jchemed.6b00800.Search in Google Scholar

[4] R. G. Jones. Chem. Int. 39(4), 4 (2017), https://doi.org/10.1515/ci-2017-0403.Search in Google Scholar

[5] A.F. Chalmers. What is this Thing Called Science? p. 304, University of Queensland Press, Brisbane, 4th ed. (2013).Search in Google Scholar

[6] IUPAC. In Compendium of Chemical Terminology, (the “Gold Book”), A. D. McNaught, A. Wilkinson (Eds.), Blackwell Scientific Publications, Oxford, UK (2019).Search in Google Scholar

[7] A. D. Jenkins, P. Kratochvíl, R. F. T. Stepto, U. W. Suter. Pure Appl. Chem. 68(12), 2287 (1996), https://doi.org/10.1351/pac199668122287.Search in Google Scholar

Published Online: 2024-06-10
Published in Print: 2024-07-26

© 2024 the author(s), published by De Gruyter, Berlin/Boston

This work is licensed under the Creative Commons Attribution-NonCommercial-NoDerivatives 4.0 International License.

Downloaded on 14.11.2025 from https://www.degruyterbrill.com/document/doi/10.1515/pac-2024-0029/html?lang=en
Scroll to top button