Abstract
When they work, controlled experiments can efficiently and clearly reveal essential characteristics of the functions and performance of ancient hunting and fighting weapons. However, homogenous target media must be carefully validated to ensure that controlled tests capture the same variables that made weapons effective in their original application. Although homogenous flesh simulants have proven effective for studying firearms, the same simulants cannot be assumed to be effective when testing low-velocity cutting/piercing projectiles, which have significantly different performance characteristics than bullets. We build on past research showing that two flesh simulants that are commonly used by archaeologists, ballistics gelatin and pottery clay, fail to capture how atlatl darts and arrows perform when penetrating biological tissues. In accord with forensic research of knife-thrust attacks, natural and polymeric skin simulants may prove effective in future experiments, but this requires further research.
Consider the hubris of scientific knapping’s undergirding assumption: modern experiments can reveal ancient truths (Clark, 2002, p. 191).
1 Introduction
Archaeology focuses on objects that ancient people produced, used, and discarded in different ways and to accomplish tasks that have few, and sometimes no, parallels in the present. Our field often grapples with the difficulty of making behavioral sense from these objects by doing actualistic research, including holistic ethnoarchaeological studies of living people and more focused experimental studies meant to replicate specific aspects of ancient technology. Regardless of the sophistication and rigor of any kind of actualistic study, though, none of this work informs us directly about the past. Rather, it provides powerful kinds of information that we can compare to patterns in archaeological data (Ascher, 1961; Wylie, 1985). Perhaps the most important issue that we need to consider in arguing from actualistic research to archaeological conclusions is the degree to which a modern observation replicates the ancient conditions we hope to understand (Ascher, 1961; Bamforth, 2010; Calandra, Gneisinger, & Marreiros, 2020; Eren et al., 2016; Lin, Rezek, & Dibble, 2018; Pettigrew, Whittaker, Garnett, & Hashman, 2015; Wylie, 1985). It is neither possible nor necessary for us to replicate ancient conditions exactly, but if we do not consider this issue, we cannot know how our modern work might, or might not, be relevant to the questions we ask.
Many archaeologists have carried out experimental studies of ancient projectile weapons (spears, atlatls and darts, and bows and arrows) and they have done these experiments in many different ways. Understanding the information we can get from the remaining durable parts of projectile weapons (usually stone, antler, bone, or metal points) can be important in understanding such topics as hunting adaptations (Friis-Hansen, 1990; Hughes, 1998; Knecht, 1997), interpreting use-histories through use-wear patterns on points (e.g., Bamforth, 2010; Fischer, Hansen, & Rasmussen, 1984; Kay, 2012; Keeley, 1980), choices about knappable stone raw materials (Loendorf et al., 2018), and adaptations for combat (Loendorf et al., 2018; Lowrey, 1999). This is true even if we recognize that there are domains of archaeological research whose emphasis on projectile points looms far out of proportion to the likely importance of those points in the past (Paleoindian archaeology, for example; Bamforth, 2009). Weapon experiments are important. However, they can be difficult to design, for example, it is not ethically possible to experiment on live targets, and there can be little doubt that ancient hunters and warriors were more skilled in using their weapons than most archaeologists (Milks, 2019).
We can think of all archaeological experiments as occurring on a continuum from more naturalistic to more controlled, corresponding to a continuum from greater external validity (representation of complex past events) to internal validity (improved variable control and repeatability; Eren et al., 2016). It is no new insight to observe that there is an important place for both of these kinds of research in our field (Calandra et al., 2020; Eren et al., 2016; Ferguson, 2010, pp. 2–9; Lin et al., 2018; Pettigrew et al., 2015). However, despite the emphasis in the literature on the importance of addressing differences between realistic past conditions and abstract controlled experiments, it is difficult to find specific comparisons by archaeologists of the effects of different targets on projectile performance (but see Key et al., 2018; Mullen et al., 2023).
It is less difficult to find inferences about the performance of projectiles in the past derived directly from laboratory experiments. For example, Waguespack and others found little variation in the performance of sharpened wood and knapped arrow points penetrating ballistics gelatin and used these data to argue that archaeologists should consider non-functional reasons for the development of knapped points in the past (Waguespack et al., 2009). Similarly, based largely on experiments using pottery clay, Eren and others argue that smaller Folsom points would penetrate deeper than earlier Clovis points and that the latter would likely not perform as well as previously thought for hunting now extinct megafauna (Eren, Bebber, Knell, Story, & Buchanan, 2022; Eren et al., 2021).
Our concern here is with a specific aspect of how we can bridge the chasm between the tidy process of mechanically shooting projectiles in a lab with a constant velocity and fixed trajectory at homogenous targets and the past reality of shooting or throwing projectiles by hand, out of doors, at complex moving targets. We present data from controlled laboratory experiments indicating that choice of target medium has dramatic effects on projectile terminal ballistics and that it is extremely difficult to generalize from one medium to another, and especially to generalize from artificial media like ballistics gel and clay to the real targets for which ancient people designed their projectiles to penetrate.
1.1 What Do Projectile Points Do?
At one level, the answer to this question is obvious: people designed projectiles to disable and kill animals and human beings. The question matters, though, because different kinds of projectiles do this in different ways and different targets impose different limits on how effective a projectile may be (Friis-Hansen, 1990; Knecht, 1997; Tomka, 2013). Bushman arrows are light, shot from low-power bows, and are unlikely on their own to inflict fatal wounds. However, it is the poison applied to the projectile shaft that kills, not the projectile itself (Archer et al., 2020). In stark contrast, Bement (2018) shows that the most effective way to bring a bison down quickly is to drive a projectile through its chest cavity, puncturing both lungs with a projectile designed to remain in the wound and cause a double pneumothorax (collapse of both lungs). Projectiles for combat are often designed specifically to penetrate armor and may be meant to do as much internal damage as possible, to incapacitate a fighter and potentially require other combatants to move or care for their wounded comrade (Clark & Bamforth, 2018; Jones, 2004; Lowrey, 1999; Strickland & Hardy, 2005). The contracting stem arrow point that cut through the Iceman’s subclavian artery and remained in the wound, apparently without its shaft, appears to have been designed in this way (Pernter, Gostner, Vigl, & Rühli, 2007).
Despite the variety of these and other specific problems the people who designed ancient projectiles had to solve, all of the animal and human targets they had in mind were heterogenous, comprised of layers of very different kinds of materials that articulate together to form complex structures. Hunters sometimes used blunt arrows to incapacitate or kill small animals without damaging their skin or meat (Ellis, 1997). More often, though, the essential first problem a projectile needs to solve is cutting through the target’s exterior surface (Ellis, 1997). This is usually skin, generally considered the most resistive soft tissue on the body, and which varies in thickness and specific composition in different locations on the body, in different species, and in some species at different times of a year (Brink, 2008; Fenton, Horsfall, & Carr, 2020; Gilchrist et al., 2008). Once the point has cut an entry, it has to pass/cut through layers of muscle and fat (flesh). Most hunters and warriors target the torso in order to inflict a fatal wound (Friis-Hansen, 1990; Mabbott, Carr, Champion, & Malbon, 2016). If a point enters the torso through the chest, it needs to break or pass between ribs; anywhere in the torso, it ultimately must cut through internal organs. Projectiles were designed to meet these competing needs of cutting performance and durability on impacting soft tissues, various types of armor, and bone, depending on the targets they most frequently encountered (Jones, 2004; Loendorf et al., 2018; Lowrey, 1999; Strickland & Hardy, 2005).
Archaeologists have drawn from models of bullet penetration to consider this issue (Cotterell & Kamminga, 1990; Hughes, 1998). However, bullets crush tissues prior to fracturing through them, cause laceration along a permanent cavity, and devitalize tissues through a substantial release of energy along a temporary cavity (Bartlett & Bissell, 2006; Kneubuehl, 2011). Simplified fluid models of penetration, using variables such as the cross-sectional area and drag coefficient of a projectile (Hughes, 1998), can be applied to bullet wound ballistics with relative success, since at high impact velocities, resistance of the target material is “localized” around the projectile (e.g., within two diameters of a bullet) in many targets (Carlucci & Jacobson, 2018, pp. 377, 599). But none of these characteristics describe how “low velocity” (<250 m/s; Carlucci & Jacobson, 2018) projectiles like darts and arrows defeat the “global” structures in solid materials (such as the matrix of collagen fibers in skin spread over a broader area; Atkins, 2009, pp. 75, 271) using sharp tips and edges that concentrate force into a small area to fracture (cut) efficiently (Anderson, 2018; Nayak et al., 2018) and creating incised wounds that bleed freely (Friis-Hansen, 1990; Wood & Fitzhugh, 2018). To study this type of weapon, we need targets that allow us to study the effects of sharper tips and edges, which are decisive factors in the penetration of piercing/cutting weapons through fibrous skin and underlying tissues (Ankersen, Birkbeck, Thomson, & Vanezis, 1999; Atkins, 2009, p. 229; Gilchrist et al., 2008; Green, 1978; Hainsworth, Delaney, & Rutty, 2008; Jones, Nokes, & Leadbeatter, 1994; Knight, 1975; Nayak et al., 2018, 2019; Nolan, Lawes, Hainsworth, & Rutty, 2012; O’Callaghan et al., 1999).
Experiments with animal carcasses obviously come closest to replicating this kind of target, although the movements and specific composition of a living target must affect projectiles in ways that carcass experiments cannot duplicate. Current literature in this field is primarily concerned with the use of animal tissues as surrogates for humans in ballistic and medical research (e.g., Bartell & Mustoe, 1989; Fenton et al., 2020; Humphrey & Kumaratilake, 2016; Kneubuehl, 2011, pp. 154–156), although variations in living tissues as well as within and between species clearly have the potential to impact archaeological comparisons as well (Mullen et al., 2023), perhaps most notably in the toughness of skin, the space between ribs, and the depth of the body cavity (Friis-Hansen, 1990; Pettigrew, 2021). Carcasses have nevertheless seen extensive use in ballistic, forensic, and medical testing (e.g., Bartell & Mustoe, 1989; Bartlett & Bissell, 2006; Breeze, Carr, Mabbott, Beckett, & Clasper, 2015; Fenton et al., 2020; Humphrey & Kumaratilake, 2016; Kneubuehl, 2011, pp. 154–156; Nicholas & Welsch, 2004), including for validating flesh simulants (Maiden, Fisk, Wachsberger, & Byard, 2015). However, carcasses can be difficult to obtain and experiments using them must be carried out very soon after an animal dies. There are ethical considerations in this as well as logistical problems to solve. Due in part to these complications, many experiments in ancient projectile technology use a variety of commercially available homogenous target media, usually blocks of ballistics gel or pottery clay, as well as a variety of composite organic and synthetic targets. These experiments have been carried out for a variety of reasons, including to assess impact damage to projectile points, skeletal lesions, hafting performance, and penetrating and wounding potential of various types of points (for a table of archaeological terminal ballistics experiments, Pettigrew, 2021, app. C). As we will attempt to show, all of these tested variables can be impacted by target scalability, although experiments to assess penetrating performance and wounding potential are perhaps most affected.
Homogenous targets reduce the number of variables that can affect experimental outcomes and improve repeatability. However, homogenous media do not reproduce the complexity of biological structures (Bartlett & Bissell, 2006; Breeze et al., 2015; Fenton et al., 2020; Humphrey & Kumaratilake, 2016; Maiden et al., 2015; Nicholas & Welsch, 2004), nor were most projectiles designed to attack large masses of muscle, which targets are typically designed to simulate (Mabbott et al., 2016). Furthermore, although ballistics gel and clay are similar in the sense that they are homogeneous viscoelastic materials, they have profoundly different characteristics. Only collagen-based ordnance gelatin, properly formulated, evenly chilled, and calibrated, has been explicitly demonstrated to give comparable penetration as into porcine muscle tissue and then only through an extensive research program for testing high velocity munitions (Maiden et al., 2015; Nicholas & Welsch, 2004). However, a test of arrow and crossbow bolt penetration into 10% collagen-based gel has already shown that this material does not capture the same effects as when these weapons penetrate fresh carcasses; in fact, field points and sharp broadheads can perform very differently in these materials (Karger, Sudhues, Kneubuehl, & Brinkmann, 1998). Clay has seen extensive use in recent archaeological tests at Kent State (Bebber & Eren, 2018; Bebber et al., 2020; Eren et al., 2020; Key et al., 2018; Mika et al., 2020; Mullen, 2021; Mullen et al., 2021, 2023; Sitton, Stenzel, Buchanan, Eren, & Story, 2022; Sitton, Story, Buchanan, & Eren, 2020; Werner et al., 2019), as well as limited use in firearm and knife testing (Bartlett & Bissell, 2006; Key et al., 2018; Kneubuehl, 2011; Nayak et al., 2019). However, research over decades indicates that the inconsistency of clay between batches, its completely different flow behavior and higher density than muscle, and its unresponsiveness to sharper cutting tips and edges makes it a dubious simulant for investigating either knives or firearms (Ankersen, Birkbeck, Thomson, & Vanezis, 1998; Kneubuehl, 2011, pp. 173, 177). Skin simulants (e.g., leather and rubber) have seen use outside of archaeology for testing knife-thrusting for the forensic investigation of crime scenes (Ankersen et al., 1999; Gilchrist et al., 2008; Hainsworth et al., 2008). Such simulants may be appropriate for testing cutting tips on darts and arrows as well, but we will demonstrate, as these other authors have, that skin simulants come with their own challenges in designing repeatable and comparable experiments (for a review, see Fenton et al., 2020).
Target simulants can be useful as relative measures of weapon efficacy for comparison with theoretical or mathematical models (Kneubuehl, 2011, p. 183), but first we must demonstrate that a simulant is scalable to the materials ancient weapons were meant to target (sensu Janzon, Schantz, & Seeman, 1988; Jussila, 2004; Jussila, Leppäniemi, Paronen, & Kulomäki, 2005). In other words, we need to demonstrate that target simulants measure the same characteristics that made weapons effective in their original application. For piercing/cutting weapons, scalability considers such factors as the hardness of a target, which can blunt or break a weapon tip or edge, and the coefficients of forces of friction between the material and the surface of the penetrator vs force of fracturing through a solid material (i.e., fracture resistance, or toughness; Atkins, 2009, pp. 216, 282; Lara & Massé, 2000; Nayak et al., 2019). When target materials are chosen that fail to reproduce these and other characteristics, they can lead to erroneous test results for modeling weapon performance, or for creating analogs of impact damaged weapons, skeletal trauma, or wounds (Bartlett & Bissell, 2006; Jussila et al., 2005; Maiden et al., 2015; Nayak et al., 2019). Target scalability is thus a prerequisite for achieving any degree of external validity in projectile experiments, either for drawing conclusions about past behaviors directly from controlled experiments, or for comparing results with other experiments. Does shooting a dart or arrow into media like clay and gel produce results that are comparable to shooting the same projectile into an animal? And are the results of experiments carried out on these media comparable to one another? We address these issues here using an experimental program in which one of us shot a variety of projectiles into gel, clay, and skin simulant targets.
2 Methods
The experiments we describe began as an attempt to test an effect we noticed in naturalistic carcass experiments, where various material types of knapped dart points were statistically significant predictors of deceleration and force penetrating the skin (Pettigrew, 2021, pp. 98–104). Given the small sample sizes and variability in the targets and projectiles, this effect required further investigation in a controlled setting. However, initial controlled testing resulted in surprising and problematic discrepancies between target media that prompted a more thorough investigation of target scalability. As a result, our research program evolved over the course of testing (a typical outcome of scientific research programs; Chang, 2004; Gooding, 1990), transitioning from naturalistic experiments, to a series of evolving controlled experiments, and back to a naturalistic experiment. Below, we focus primarily on reporting the methods and results of the controlled experiments using 22 projectile points, 3 of which were also used in the naturalistic experiments and were reproduced in controlled media (Table 1). We will first describe the experiments and then the arsenal we used.
Armatures paired with main shafts and the targets they were tested on
N shots in simulants | ||||||||
---|---|---|---|---|---|---|---|---|
Type | ID | Description | Main shaft | Total mass (g) | Bison | Uncovered Perma-Gel | Pottery clay | Skin sims |
A5 foreshafts | 157 | Chert side-notched arrow point | A5 | 26 | 1 | 5 | 10 | 3 |
186 | Zwickey Eskimo broadhead | A5 | 30 | 1 | 5 | 10 | 3 | |
BPg | Blunt point | A5 | 30 | 1 | ||||
Scottsbluff | 191-208 | stone and glass Scottsbluff dart points | B1 | 124 | 60 | 60 | 199 | |
Screw-in arrow | FPs | Field point | B1 | 127 | 10 | 10 | ||
BH1-3 | Stinger Killer Bee 2-blade straight edge broadheads | B1 | 123 | 13 | 20 | 26 | ||
Glue-on arrow | FPg | Field point | B2 | 28 | 10 | |||
BPg | Blunt point | B2 | 28 | 1 | 10 | 1 | ||
186 | Zwickey Eskimo broadhead | B2 | 28 | 10 |
2.1 Bison Carcass Experiments
The bison experiments were part of a naturalistic experimental program developed by one of us (Pettigrew) that deploys atlatls and darts, bows and arrows, and skilled human users against fresh carcasses. However, it addresses many of the observational complications in this type of experiment by filming projectiles in slow motion, with one camera set beside the shooter to capture characteristics of flight and impact, including precise impact location, orientation of the stone point on impact, and skewness of the shaft, and a second camera set to the side of the carcass to calculate velocity and deceleration during penetration. Locations of impacts are marked, impacts to bone noted, and the skeletons cleaned for analysis.
All animals in these experiments were raised for consumption and sold to us by ranchers who dispatched them humanely immediately prior to the experiment. Afterwards, they were butchered and the meat salvaged. Following university procedures, we consulted the IACUC committee at the University of Colorado Boulder who advised us that this protocol did not require IACUC approval, as the experimenters themselves do not engage with living animals (Althea Lantron, email correspondence, 2019). The naturalistic experiments resulted in a large database for terminal ballistic and use-wear analysis (Pettigrew, 2015, 2021), only a small sample of which we use for comparative purposes here.
2.2 Controlled Experiments
The controlled experiment relied on a crossbow constructed of a large steel prod made by Alchem Inc., lashed to an oak stock and drawn with an archery trigger attached to a hand-crank winch (Figure 1). The end of the crossbow was situated 95 cm from the target face to allow room for the bolt to clear the stock. A small wooden table of particle wood with a bamboo vernier was built to hold blocks of clay and gel so their centers were aligned with the leveled crossbow; this table included a backboard to prevent the blocks from compressing or shifting backward from impacts. For testing ballistics gel, a lid attached to the backboard rested on top of the blocks to improve penetration consistency, as the gel gripped the smooth vernier and reduced variable compression parallel to the bolt’s trajectory between the top and bottom of the block. For shots into clay, two clay blocks were lain on the table oriented lengthwise and pressed firmly together to form a homogenous target. Finally, a rigid wooden stand was constructed with long boards running to the wall to consistently position the skin simulants 30 cm in front of a gel block, which merely served to catch the bolt (Figure 1).

The layout of the controlled experiments, shooting pottery clay (top), Perma-Gel with a tooling leather cover (bottom left), leather bolted to the stand (bottom center), and leather glued to a frame and clamped to the stand (bottom right).
2.2.1 Armatures
Hafted armatures (Figure 2; Table 2) include the following:
15 stone and glass Scottsbluff dart points knapped by John Whittaker, which were assigned identifier numbers (191–208) in a database of more than 240 experimental points for use primarily in carcass experiments. These were hafted to 12.7 mm diameter oak dowel foreshafts using Titebond hide glue and backstrap sinew coated in several layers of shellac to smooth and solidify the haft. Complete foreshafts were equally weighted to 30 ± 0.2 g by gluing lead weights into holes drilled in the dowels.
Screw-in archery points included one field point (FPs) and three broadheads (BH1–3), mounted using 3 Rivers aluminum adapters. Adapters were glued to the main shaft B2 and to two equally weighted 12.7 mm diameter oak dowel foreshafts for use with main shaft B1.
Glue-on archery points (FPg, BPg, and 186) were mounted directly to the main shaft B2 using hot melt glue for easy removal.
Foreshafts for cane arrow A5 included an 8 mm diameter green ash (Fraxinus pennsylvanica) foreshaft with a Burlington chert point (157) knapped by John Whittaker and hafted with sinew and hide glue, a 9.4 mm diameter oak dowel foreshaft carrying the Zwickey two-blade broadhead (186), and a 9.4 mm diameter oak dowel foreshaft carrying a blunt point (BPg). The latter two are the same armatures from the “Glue-on” group.

Projectiles used in the experiments.
Variables of armatures: edge angles (degrees), TCSP (mm), TCSA, and SA (mm2) all measured from 3D models
Arm. | m (g) | TCSA | TCSP | SA | MeanEdge | MeanEdgeSD | TCSAtip | TCSPtip | SAtip | Material |
---|---|---|---|---|---|---|---|---|---|---|
191 | 10.2 | 104 | 47 | 1,596 | 48.2 | 9 | 1.4 | 4.8 | 3.7 | BAgate |
192 | 12.9 | 138 | 50 | 1,886 | 58.1 | 9.7 | 2.7 | 7.0 | 5.2 | Burlington |
193 | 11.1 | 103 | 46 | 1,591 | 54.6 | 9.1 | 1.1 | 4.4 | 2.9 | Burlington |
194 | 7.9 | 87 | 41 | 1,456 | 56.4 | 9.6 | 2.3 | 6.1 | 4.7 | Burlington |
198 | 21.2 | 179 | 69 | 2,817 | 46.8 | 4.4 | 1.4 | 5.0 | 3.5 | Glass |
199 | 20.5 | 187 | 72 | 2,640 | 51.1 | 7.2 | 2.5 | 6.9 | 5.0 | Glass |
200 | 19.5 | 168 | 69 | 2,489 | 49.1 | 7.3 | 2.3 | 6.7 | 4.7 | Glass |
201 | 18.6 | 168 | 70 | 2,956 | 50.5 | 8.6 | 2.3 | 6.8 | 4.9 | Obsidian |
202 | 17.1 | 159 | 67 | 2,862 | 70.9 | 10.9 | 3.1 | 8.0 | 6.2 | Obsidian |
203 | 13.9 | 146 | 64 | 2,429 | 43.5 | 8.8 | 2.4 | 6.7 | 5.0 | Obsidian |
204 | 14.4 | 144 | 61 | 2,291 | 51.5 | 6.4 | 1.1 | 4.6 | 3.1 | Obsidian |
205 | 16.7 | 153 | 57 | 2,582 | 55.4 | 7 | 3.1 | 7.3 | 5.6 | Obsidian |
206 | 18.4 | 157 | 62 | 2,654 | 40.5 | 8 | 1.6 | 5.9 | 4.3 | Mozarkite |
207 | 18.5 | 182 | 67 | 2,472 | 66.1 | 8.8 | 2.3 | 6.7 | 4.7 | Mozarkite |
208 | 18.7 | 171 | 65 | 2,162 | 56.5 | 10 | 2.1 | 6.6 | 5.0 | Mozarkite |
186 | 8.1 | 93 | 64 | 2,266 | Steel | |||||
157 | 3 | 92 | 39 | 1,233 | Steel | |||||
BH1–3 | 6.5 | 74 | 52 | 1,429 | Steel | |||||
FPs | 8.1 | 59 | 27 | 465 | Steel | |||||
FPg | 8.1 | 64 | 28 | 876 | Steel | |||||
BPg | 8.1 | 64 | 28 | 889 | Steel |
Analyses of morphological aspects of knapped points that affect their ability to penetrate have emphasized tip cross-sectional area (TCSA), tip cross-sectional perimeter (TCSP; Eren et al., 2022; Grady & Churchill, 2023; Hughes, 1998; Mika et al., 2020; Salem & Churchill, 2016; Sisk & Shea, 2009, 2011; Sitton et al., 2020), and tip and edge sharpness (Ahler & Geib, 2000; Friis-Hansen, 1990; Hughes, 1998). To measure these variables here, scaled 3D models of all armatures were created using photogrammetry (meshing in Agisoft Metashape and processing in Meshmixer). A thin coating of marking chalk mixed with water improved the meshing of shiny surfaces (Figure 3; Porter, Roussel, & Soressi, 2016). Given methods of measuring deceleration that will be described in Section 2.2.5, the 3d models of Scottsbluff points were trimmed above the hafts using a 90° plane cut in Meshmixer, while arrow armatures were trimmed at the base of the armature, or directly below the haft in the case of armature 157. This allowed accurate TCSA/P measurements in ParaView and computation of surface areas in Meshlab.

Left: showcasing the accuracy of a photogrammetry model after applying a thin coating of chalk. The dotted line on the model indicates where Scottsbluff models were trimmed for measuring TCSA/P and SA. Right: the agreement between a 1 mm tip macrophotogrammetry model and 100× microphotograph of the same tip.
In an attempt to capture variables of sharpness, edge angles were also measured on the 3D models of Scottsbluff points using the stand-alone program described by Valletta, Smilansky, Goring-Morris, and Grosman (2020; h1 was adjusted between 1.7 and 3 to measure within ∼2 mm of the edge and measures from both edges averaged). Finally, researchers have attempted a variety of ways to measure the sharpness of tool tips that puncture/cut, including TCSA/P measured 1 mm from the tip (Anderson, 2018; Hainsworth et al., 2008; O’Callaghan et al., 1999). Knapped stone armatures present a special challenge due to their highly irregular tip shapes. To resolve this, we generated detailed tip models using macrophotogrammetry (Galantucci, Guerra, & Lavecchia, 2018), trimmed them to 1 mm long models in Meshmixer (Figure 3), and measured TCSA/Ptip in ParaView and tip surface areas (SAtip) by computing geometric measures in Meshlab and subtracting TCSAtip (Table 2; for further description of these methods, see Pettigrew, 2021, app. A).
2.2.2 Main Shafts
Main shafts (Figure 2) included the following:
A single 745 mm long river cane arrow shaft (A5).
Two identical bolts (B1.1 and B1.2 [hereafter referenced as B1]) comprised of 12.7 mm diameter oak dowels with 306 mm long, 13.4 mm diameter brass “sleeves,” which simulated river cane atlatl darts (specifically, main shaft D5; Pettigrew, 2021).
Two identical bolts (B2.1 and B2.2 [hereafter referenced as B2]) constructed of 9.5 mm diameter poplar dowels that simulated arrows.
2.2.3 Targets
2.2.3.1 Flesh Simulants
The experiments tested two types of common flesh simulants: Perma-Gel, a synthetic paraffin-based ballistics gelatin designed as a reusable alternative to 10% collagen-based ordnance gelatin (the company that produced Perma-Gel has dissolved but a similar product is made by Clear Ballistics LLC) and low-fire pottery clay.
Perma-Gel blocks were purchased in 2014 and used in a brief series of penetration trials (Pettigrew, 2015). Since then, the gel was stored in a plastic tub and kept in garages. One advantage claimed for synthetic ballistics gelatin is its high material stability despite temperature changes (Forensics Source, 2020). The tests involved two blocks used sequentially during test days with one being shot while the other melted in an electric roaster oven at 120°C. Each block was recast five times over the course of the experiments, but penetration remained highly consistent. The cooled blocks measure 39 cm × 29 cm × 12 cm. Temperature in the room was consistently 24°C, but the internal temperature of the blocks dropped gradually after melting the day prior, leading to deeper penetration in preliminary tests. Formal testing proceeded once the internal temperature fell below 28°C.
Pottery clay has seen use in several recent experiments at Kent State (Eren et al., 2020, p. 8). For the experiments in this study, four 11 kg blocks of pottery clay were purchased from Rocky Mountain Clay in Denver. This shop produces over 30 different clays that we were told vary dramatically in aspects such as density and viscosity. Key et al. (2018) report only that they used a low-fire pottery clay, so we chose a relatively soft, low-fire clay without grog (Red Rock Red Smooth). Although Rocky Mountain Clay does not give out specific formulas for commercial reasons, they did inform us that all pottery clays are approximately 25% each of ball clay, fireclay, silica, and flux (Lynn Williams, personal communication, 2021). The clay was kept in plastic bags when not in use to reduce moisture loss and reformed after each round of shooting by tossing several times on a countertop.
2.2.3.2 Skin Simulants
Five materials were tested as skin simulants, all of which met the criteria of easily obtainable and affordable (Fenton et al., 2020): 1.6 mm and 3.4 mm thick A60 nitrile rubber, 1.6 mm thick cowhide upholstery leather (sensu Jussila et al., 2005), and 1.8–2.1 mm and 3.2–3.6 mm thick vegetable tanned cowhide tooling leathers. The 1.6 mm nitrile rubber gave very little penetration resistance and did not enter formal testing. The smooth surfaces of leather and rubber adhered well to the Perma-Gel face and where necessary PVC-LMF film (kitchen wrap) held the top and bottom of the simulant in place. Placing a skin simulant over a ballistics gel backing has definite advantages in that this solves the problem of maintaining even tension in the simulant and produces a target that is more representative of skin interconnected with underlying tissue, mimicking both the strength of skin and the load distributing effect of flesh (Ankersen et al., 1999). However, as the underlying gel introduces additional and possibly unwanted effects, skin simulants for measuring knife thrusting force are also tested in isolation without a backing (Ankersen et al., 1999; Gilchrist et al., 2008). On the wooden stand, tooling leathers were tested without a backing in two configurations: (1) by attaching 10 cm × 30.5 cm strips with six bolts and (2) by gluing the strips to separate wooden frames using Titebond hide glue and clamping them in place (Figure 1).
2.2.4 Shooting Protocol
A constant draw length of 55 cm on the crossbow produced a typical but somewhat fast atlatl dart velocity with main shaft B1 (mean value = 28.65 m/s, std dev = 0.25, N = 341) and a moderate arrow velocity with main shaft B2 (mean value = 36.22 m/s, std dev = 0.33, N = 29; Whittaker, Pettigrew, & Grohsmeyer, 2017). The only exception to this draw length occurred when shooting arrow shaft A5 paired with armatures 186 and 157, when we attempted to reproduce velocities of shots on the bison (Table 3). To reduce the effects of edge attrition on shots through skin simulants, the controlled shooting of Scottsbluff armatures and A5 arrow points began with Perma-Gel, followed by skin simulants with and without a Perma-Gel backing, and finally pottery clay.
Velocities of replicated shots with arrow shaft A5
186 (Zwickey) | 157 (Chert) | ||
---|---|---|---|
V i (m/s) | V i (m/s) | ||
Bison | 37.6 | 39.4 | |
Controlled | Mean value | 37.9 | 38.9 |
Std dev | 0.31 | 0.39 | |
Min | 37.2 | 38.4 | |
Max | 38.6 | 39.6 | |
n | 18 | 18 |
2.2.5 Data Recording
After each shot, a small piece of electrical tape was placed on the shaft at the exterior of the target, the bolt was extracted, and penetration measured from the tip of the projectile to the edge of the tape to the nearest mm with a ruler.
Most but not all shots into flesh simulants (gel and clay) included in the following analysis are accompanied by high-speed videos, while all shots through skin simulants are. We used a Kron Technologies Chronos 1.4 high-speed camera connected to a nearby computer to film impacts orthogonal to the shooting line. Orthogonality was checked using a 1 cm grid aligned to tiles in front of the target and viewed through the camera (sensu P. S. L. Anderson, LaCosse, & Pankow, 2016). The camera recorded video in 640 × 240 pixels resolution at 8810.57 frames/s. Velocity was measured using the open-source Tracker program (https://physlets.org/tracker/); videos were calibrated to 5 or 10 cm scales painted on the main shaft and the video frame rate, while the Autotracker operation automatically placed markers over a small target (red dot) painted on the main shaft. To smooth the velocity readings, the step sequence in Clip Settings was increased to five frames, with the final frame in a sequence capturing the precise moment after a Scottsbluff armature distal to the haft or the complete length of a steel broadhead entered the simulant (Figure 4). Markers were then carefully adjusted and velocities recorded for the moments prior to impact (initial velocity, V i) and after penetration (final velocity, V f). These data were entered in a Microsoft Access database where penetration duration (PENtime = PENlength/V i) and acceleration (a = (V i − V f)/PENtime) were calculated. Some error in deceleration (–a) can be expected given the high sensitivity of V f to precise marker placement over this short event.

Screen captures of Tracker during analysis of penetration into 3 mm tooling leather over Perma-Gel. Top: the moment immediately before the haft enters the simulant is selected as the final frame of an increased step sequence. Bottom: the step sequence is increased to five frames and velocity markers are carefully centered over the target (red dot).
Across a range of stone-tipped projectiles and carcasses, kinetic energy (KE = 1/2 m*v 2) is the most statistically significant predictor of penetration depth, followed by the resistance force (F = m*a) as armatures cut through outer skin and tissues (Pettigrew, 2021, pp. 94–115). These two measures provide a way of comparing projectiles across the naturalistic and controlled experiments that we report below.
We performed the statistical analysis in JMP (SAS Institute Inc., 2022). Mean comparison tests used a two-tailed significance level of 0.05 and we consider effects significant at the p ≤ 0.05 level.
3 Results
The results reported here include data derived from both naturalistic experiments using bison carcasses and controlled experiments using ballistics gel, pottery clay, and skin simulants. Table 1 lists the points we used, the shafts we mounted them on, and the targets we tested them against. Because the performance of projectiles in settings that replicate as closely as possible those in which they were designed to perform is the only meaningful baseline for assessing the results of controlled archaeological weapons experiments, we begin with the results of experiments on fresh bison carcasses that involved points that we also used in controlled experiments.
3.1 Bison Carcass Results
On the first bison, a 23-year-old female, arrow shaft A5 carrying the Zwickey broadhead (186) and shot by Pettigrew with a Cherokee-style black locust (Robinia pseudoacacia) flatbow excised a 50 mm long by 6 mm wide sliver from the edge of the 8th rib and continued penetrating 745 mm through the thorax. However, the arrow stopped when the fletching hit the exterior of the carcass and the foreshaft carrying 186, having penetrated 295 mm through intercostal skin on the opposite side, continued flying out of the main shaft and landed in grass ∼5 m beyond the carcass. This is not surprising, given that hunting arrows tipped with thin steel points can pass completely through deer and even historically through bison (Brink, 2008, pp. 246–247; Friis-Hansen, 1990). Similarly, the same shaft (A5) carrying a side-notched knapped stone point (157) and shot by Pettigrew with the same bow struck intercostal skin of the same bison and penetrated 383 mm into the thorax without encountering bone or penetrating through the opposite side.
These performances are corroborated by other shots with points that we did not reuse in the controlled portion of this project, including small, knapped chert arrow points that penetrated 300, 337, and 310 mm through soft tissues of the bison’s thorax and larger knapped lanceolate dart points, including one made from obsidian that penetrated 720 mm through the abdomen immediately behind the thorax (Pettigrew, 2021, pp. 94–115). Shots with rivercane atlatl darts carrying knapped points averaged 457 mm penetration through soft tissues of the bison’s torso and carried comparable kinetic energy to the controlled shots with the Scottsbluff points on main shaft B1 (Table 4). Similar results occurred using atlatl darts on the second bison, a 2-year-old bull, which presented a tougher target than the cow, as indicated by larger average impact forces and shallower overall penetration (Pettigrew & Dust, 2022). Despite this, shots with river cane darts, most of which carried lanceolate Cody, Clovis, Folsom, and Agate Basin points, still penetrated on average 425 mm through soft tissues of the torso and produced substantial wounds.
Comparing kinetic energy (KE) and Penetration (PEN) in the naturalistic and controlled experiments
Main shaft | Cane arrow shaft (A5) | Bolt: simulation arrow (B2) | Bolt: simulation dart (B1) | Rivercane atlatl darts | |||||
---|---|---|---|---|---|---|---|---|---|
Armature | 186 | 157 | 186 | BPg | FPg | Scottsbluff | Various knapped | ||
Bison cow | KE (J) | Mean value | 20.8 | 20.4 | 47.3 | ||||
Std dev | 15.7 | ||||||||
Min | 32.5 | ||||||||
Max | 67.6 | ||||||||
n | 1 | 1 | 6 | ||||||
PEN (mm) | Mean value | 745 | 385 | 457 | |||||
Std dev | 156.0 | ||||||||
Min | 300 | ||||||||
Max | 720 | ||||||||
n | 1 | 1 | 6 | ||||||
Bison bull | KE (J) | Mean value | 21.4 | 65 | |||||
Std dev | 15.5 | ||||||||
Min | 44.8 | ||||||||
Max | 85.2 | ||||||||
n | 1 | 11 | |||||||
PEN (mm) | Mean value | 0 | 425 | ||||||
Std dev | 162.2 | ||||||||
Min | 164 | ||||||||
Max | 645 | ||||||||
n | 1 | 11 | |||||||
Perma-Gel (uncovered) | KE (J) | Mean value | 21.1 | 19.9 | 18.6 | 51 | |||
Std dev | 0.7 | 0.6 | 0.8 | ||||||
Min | 20.3 | 19.4 | 49.3 | ||||||
Max | 21.9 | 20.3 | 52.7 | ||||||
n | 5 | 5 | 1 | 46 | |||||
PEN (mm) | Mean value | 75 | 113 | 0 | 136 | ||||
Std dev | 0.6 | 1.1 | 12.9 | ||||||
Min | 75 | 111 | 117 | ||||||
Max | 76 | 114 | 165 | ||||||
n | 5 | 5 | 1 | 60 | |||||
Pottery clay | KE (J) | Mean value | 21.1 | 19.9 | 18.4 | 18.5 | 18.4 | 50.2 | |
Std dev | 0.2 | 0.3 | 0.3 | 0.2 | 0.5 | 0.8 | |||
Min | 20.8 | 19.6 | 18.1 | 18.3 | 17.7 | 47.7 | |||
Max | 21.4 | 20.3 | 19.1 | 18.9 | 19.1 | 51.8 | |||
n | 10 | 10 | 9 | 10 | 10 | 56 | |||
PEN (mm) | Mean value | 189 | 282 | 187 | 454 | 360 | 319 | ||
Std dev | 5.8 | 13.4 | 8.6 | 22.8 | 48.2 | 32.8 | |||
Min | 176 | 265 | 175 | 418 | 282 | 257 | |||
Max | 196 | 312 | 205 | 490 | 425 | 403 | |||
n | 10 | 10 | 10 | 10 | 10 | 60 |
These successes contrast with the result of a single attempt made to penetrate the bison bull with the blunt point (BPg) on arrow shaft A5, again shot by Pettigrew using a Cherokee style black locust bow. Unsurprisingly, the blunt shaft did not penetrate the hide and the arrow fell directly to the ground by the carcass. We conducted this experiment after obtaining surprising results in our controlled experiments (described in Section 3.2.2.2), in order to confirm the obvious: ancient people hunted with blunt points but used them in order to kill small prey without damaging hides and meat (Ellis, 1997).
3.2 Controlled Results
3.2.1 Variables Affecting Penetration of Knapped Dart Points
Experiments described under this section consider only the knapped stone and glass Scottsbluff dart points (191–208, Figure 2) mounted on main shaft B1 and shot into all target simulants tested in this study.
3.2.1.1 In Perma-Gel and Pottery Clay
We tabulated four shots with each Scottsbluff point into uncovered gel and clay, resulting in 60 shots in each medium. In Figure 5, TCSA/P and surface area (SA), accurately measured through 3D models, are statistically significant predictors of penetration for these shots. However, TCSP provides the strongest predictor in gel, while SA is a marginally better predictor in clay. Additionally, as in the carcass experiments, deceleration, as the armature penetrates the outer target up to the haft (as shown in Figure 4), is a statistically significant predictor in both media, although Perma-Gel provides a far more consistent target than clay, resulting in stronger fits between all of these variables. Air pockets possibly left in the clay blocks from reforming and pressing them together may have resulted in some of these inconsistencies, and deeper penetration was found to result from impacts within ca. 4 cm from the outside of the blocks or adjacent to other shots. However, Table 4 shows how mean penetration into Perma-Gel was far shallower than the penetration of atlatl darts in fresh bison carcasses, and a “pullback effect” noted by Ryckman, Powell, and Lew (2012), in which armatures reverse direction 30–40 mm from peak penetration in Perma-Gel, was also noted in the high speed video.

TCSA/P, surface area (SA), and deceleration (a) of Scottsbluff points fitted against their penetration in clay and gel.
More troublingly, Figure 6 shows inconsistencies in both deceleration and penetration between armature material categories in clay and gel. For example, Mozarkite decelerated less rapidly than glass in clay, but glass decelerated less rapidly than Mozarkite in gel. Two-way ANOVA tests revealed statistically significant interactions between the effects of armature material and target type on both penetration and deceleration in these media (Table 5).

Scottsbluff armature materials fitted against deceleration (a) and penetration (PEN) in uncovered clay and gel. Means and standard deviations accompany each group.
Results of two-way ANOVA tests comparing the effects of interactions between clay and gel targets and Scottsbluff armature materials on penetration and deceleration
df | SS | MS | F | p | |
---|---|---|---|---|---|
Response = Penetration | |||||
Material | 4 | 39954.72 | 9988.7 | 41.6186 | <0.0001 |
Target | 1 | 810982.05 | 810982 | 3379.02 | <0.0001 |
Material * Target | 4 | 6775.75 | 1693.9 | 7.0579 | <0.0001 |
Response = Deceleration | |||||
Material | 4 | 960543.92 | 240,136 | 36.444 | <0.0001 |
Target | 1 | 254239.03 | 254,239 | 38.5843 | <0.0001 |
Material * Target | 4 | 190336.85 | 47584.2 | 7.2216 | <0.0001 |
3.2.1.2 In Skin Simulants
The Scottsbluff points were shot once each through upholstery leather, 3 mm nitrile rubber, and 2 mm tooling leather over a Perma-Gel backing, and this process was repeated over three rounds. The armatures were then shot twice into more resistive 3 mm tooling leather over gel. This program was designed to smooth any effects from edge attrition. However, given the problems to be described, a final experiment involved shooting each armature three more times through unbacked 2 mm tooling leather. Some exceptions occurred due to measuring errors, or in one instance, corruption of a video file. As a result, some armatures had to be shot more than once during a round of shooting (Table 6).
Comparing penetration (PEN, mm) and deceleration (a, –m/s2) of the Scottsbluff armatures in various targets
Backing | Skin sim | Skin sim config. | Scottsbluff armatures | ||||||||||||||||
---|---|---|---|---|---|---|---|---|---|---|---|---|---|---|---|---|---|---|---|
191 | 192 | 193 | 194 | 198 | 199 | 200 | 201 | 202 | 203 | 204 | 205 | 206 | 207 | 208 | |||||
Pottery clay | N/A | PEN (mm) | Mean value | 375 | 346 | 368 | 349 | 296 | 314 | 303 | 305 | 285 | 305 | 300 | 314 | 298 | 316 | 307 | |
Std dev | 23 | 27 | 21 | 32 | 16 | 31 | 15 | 25 | 19 | 25 | 14 | 14 | 17 | 20 | 12 | ||||
n | 4 | 4 | 4 | 4 | 4 | 4 | 4 | 4 | 4 | 4 | 4 | 4 | 4 | 4 | 4 | ||||
a (m/s2) | Mean value | −625 | −563 | −508 | −491 | −769 | −715 | −705 | −675 | −686 | −572 | −692 | −705 | −816 | −900 | −784 | |||
Std dev | 93 | 103 | 97 | 120 | 79 | 58 | 123 | 141 | 88 | 115 | 114 | 80 | 70 | 78 | 34 | ||||
n | 4 | 4 | 4 | 3 | 4 | 4 | 3 | 4 | 4 | 4 | 3 | 4 | 4 | 4 | 3 | ||||
Perma-Gel | N/A | PEN | Mean value | 156 | 151 | 151 | 162 | 121 | 121 | 124 | 129 | 129 | 134 | 137 | 138 | 134 | 125 | 134 | |
Std dev | 5 | 2 | 4 | 3 | 1 | 1 | 2 | 1 | 3 | 2 | 5 | 3 | 2 | 6 | 3 | ||||
n | 4 | 4 | 4 | 4 | 4 | 4 | 4 | 4 | 4 | 4 | 4 | 4 | 4 | 4 | 4 | ||||
a | Mean value | −435 | −409 | −455 | −372 | −666 | −726 | −774 | −683 | −669 | −550 | −600 | −644 | −649 | −554 | −564 | |||
Std dev | 32.9 | 63.1 | 56.3 | 25.5 | 34.0 | 37.0 | 59.5 | 40.5 | 51.3 | 18.4 | 39.7 | 58.7 | 24.3 | 9.2 | 56.1 | ||||
n | 3 | 3 | 4 | 3 | 3 | 3 | 3 | 3 | 3 | 2 | 3 | 4 | 4 | 2 | 3 | ||||
Uphols-tery leather | PEN | Mean value | 159 | 153 | 156 | 166 | 123 | 114 | 119 | 131 | 133 | 132 | 142 | 138 | 130 | 120 | 128 | ||
Std dev | 1 | 3 | 2 | 6 | 3 | 4 | 4 | 6 | 4 | 3 | 3 | 3 | 3 | 6 | 8 | ||||
n | 2 | 2 | 2 | 3 | 2 | 2 | 2 | 2 | 2 | 2 | 2 | 2 | 2 | 2 | 2 | ||||
a | Mean value | −541 | −816 | −629 | −492 | −595 | −737 | −805 | −571 | −619 | −574 | −590 | −657 | −910 | −1,200 | −847 | |||
Std dev | — | — | — | 98 | — | — | — | — | — | — | — | — | — | — | — | ||||
n | 1 | 1 | 1 | 2 | 1 | 1 | 1 | 1 | 1 | 1 | 1 | 1 | 1 | 1 | 1 | ||||
2 mm tooling leather | PEN | Mean value | 141 | 134 | 137 | 138 | 111 | 101 | 110 | 116 | 119 | 121 | 129 | 126 | 120 | 106 | 114 | ||
Std dev | 5 | 4 | 7 | 8 | 2 | 4 | 5 | 8 | 5 | 4 | 2 | 3 | 5 | 5 | 3 | ||||
n | 4 | 4 | 4 | 5 | 4 | 5 | 4 | 4 | 5 | 4 | 4 | 4 | 4 | 4 | 5 | ||||
a | Mean value | −984 | −1,345 | −1,151 | −1,065 | −1,187 | −1,612 | −1,263 | −1,441 | −1,306 | −1,124 | −903 | −1,253 | −1,432 | −2,111 | −1,645 | |||
Std dev | 85 | 201 | 105 | 153 | 150 | 372 | 154 | 72 | 246 | 102 | 62 | 95 | 80 | 278 | 370 | ||||
n | 3 | 3 | 3 | 3 | 3 | 4 | 3 | 3 | 4 | 3 | 3 | 3 | 3 | 3 | 2 | ||||
3 mm nitrile rubber | PEN | Mean value | 151 | 139 | 145 | 159 | 120 | 112 | 114 | 122 | 126 | 125 | 133 | 131 | 128 | 106 | 122 | ||
Std dev | 1 | 1 | 5 | 2 | 3 | 7 | 6 | 3 | 7 | 4 | 1 | 1 | 2 | 8 | 11 | ||||
n | 2 | 2 | 3 | 2 | 2 | 2 | 2 | 2 | 2 | 2 | 2 | 2 | 2 | 2 | 2 | ||||
a | Mean value | −1,171 | −1,400 | −1,186 | −872 | −1,385 | −1,442 | −1,379 | −1,310 | −1,262 | −1,147 | −1,035 | −1,233 | −1,585 | −2,453 | −1,465 | |||
Std dev | — | — | 29 | — | — | — | — | — | — | — | — | — | — | — | — | ||||
n | 1 | 1 | 2 | 1 | 1 | 1 | 1 | 1 | 1 | 1 | 1 | 1 | 1 | 1 | 1 | ||||
3 mm tooling leather | PEN | Mean value | 120 | 110 | 116 | 122 | 98 | 94 | 96 | 103 | 104 | 101 | 113 | 104 | 96 | 87 | 95 | ||
Std dev | 4.2 | 1.4 | 0.7 | 1.4 | 3.0 | 3.2 | 1.7 | 2.8 | 4.2 | 3.5 | 7.8 | 7.8 | 8.5 | 7.9 | 17.0 | ||||
n | 2 | 2 | 2 | 2 | 3 | 3 | 3 | 2 | 2 | 2 | 2 | 2 | 2 | 3 | 2 | ||||
a | Mean value | −1,822 | −2,385 | −2,318 | −2,430 | −2,116 | −2,293 | −2,077 | −2,415 | −2,397 | −2,353 | −1,813 | −2,395 | −2,733 | −3,684 | −2,650 | |||
Std dev | 110 | 351 | 125 | 365 | 384 | 172 | 237 | 182 | 237 | 350 | 322 | 390 | 407 | 1,193 | 362 | ||||
n | 2 | 2 | 2 | 2 | 3 | 3 | 3 | 2 | 2 | 2 | 2 | 2 | 2 | 2 | 2 | ||||
N/A | 2 mm tooling leather | Bolted | a | Mean value | −982 | −1,411 | −1,141 | −1,144 | −843 | −1,979 | −1,063 | −1,071 | −1,624 | −1,168 | −735 | −1,086 | −1,695 | −1,920 | −1,338 |
Std dev | — | — | — | — | — | — | — | — | — | — | — | — | — | — | 305 | ||||
n | 1 | 1 | 1 | 1 | 1 | 1 | 1 | 1 | 1 | 1 | 1 | 1 | 1 | 1 | 2 | ||||
Glued | a | Mean value | −530 | −812 | −759 | −764 | −395 | −598 | −469 | −514 | −593 | −556 | −438 | −557 | −668 | −984 | −742 | ||
Std dev | 50 | 39 | 75 | 20 | 27 | 168 | 74 | 102 | 78 | 4 | 46 | 81 | 60 | 278 | 42 | ||||
n | 2 | 2 | 2 | 2 | 2 | 2 | 2 | 3 | 2 | 2 | 2 | 2 | 2 | 2 | 2 |
First, we consider shots in skin simulants with a Perma-Gel backing. Due to discrepancies that occurred in measuring penetration depth through skin simulants into the gel (treated further in Section 3.2.2.1), we focus here only on deceleration as the armatures cut through the outer target up to the haft. The results presented in Figure 7 demonstrate how deceleration can change significantly when different skin simulants are applied. Without a skin simulant covering the gel, glass and obsidian decelerate more rapidly than coarser-grained materials like Burlington and Mozarkite, probably due mainly to their larger TCSP (Section 3.2.1.1). However, increasingly resistive skin simulants change this pattern. In 3 mm tooling leather, glass points now demonstrate reduced mean deceleration relative to Burlington and Mozarkite. Troublingly, Figure 7 shows how each gel/skin simulant combination measures slightly different aspects of armature efficacy. Also, leather is not internally consistent and may vary in properties of deformation and failure within and between samples (Fenton et al., 2020), which likely produced some of the variance in shots through it.

Deceleration (a) of Scottsbluff armatures in skin simulants over Perma-Gel.
We next consider shots through 2 mm tooling leather on the wooden stand with no backing (Figure 8). In the bolted configuration on the stand, the leather is less evenly taut across the strip, resulting in more variable deceleration and more rapid deceleration in wider armatures (a likely result of variable elastic deformation absorbing energy and increasing the surface area of the cut; Atkins, 2009). One low outlier in glass nicked the stand and knocked a small chip out of the edge (armature 199). Finally, gluing a new strip evenly to a frame and clamping the frame to the stand resulted in consistent deceleration with considerably different results than over gel. Here the new sample of 2 mm leather was less resistive than the prior sample used in the bolted configuration, but the results show that glass armatures experienced less rapid deceleration than Burlington or Mozarkite despite having the largest TCSA/P. We chose not to draw this experiment out further due to errors that might result from variability in leather and the currently uncharacterized effects of increasing edge attrition, especially in less durable glass points (Loendorf et al., 2018).

Deceleration (a) of Scottsbluff armatures through 2 mm leather in three configurations: over a Perma-Gel backing, bolted to the stand, and glued to a frame.
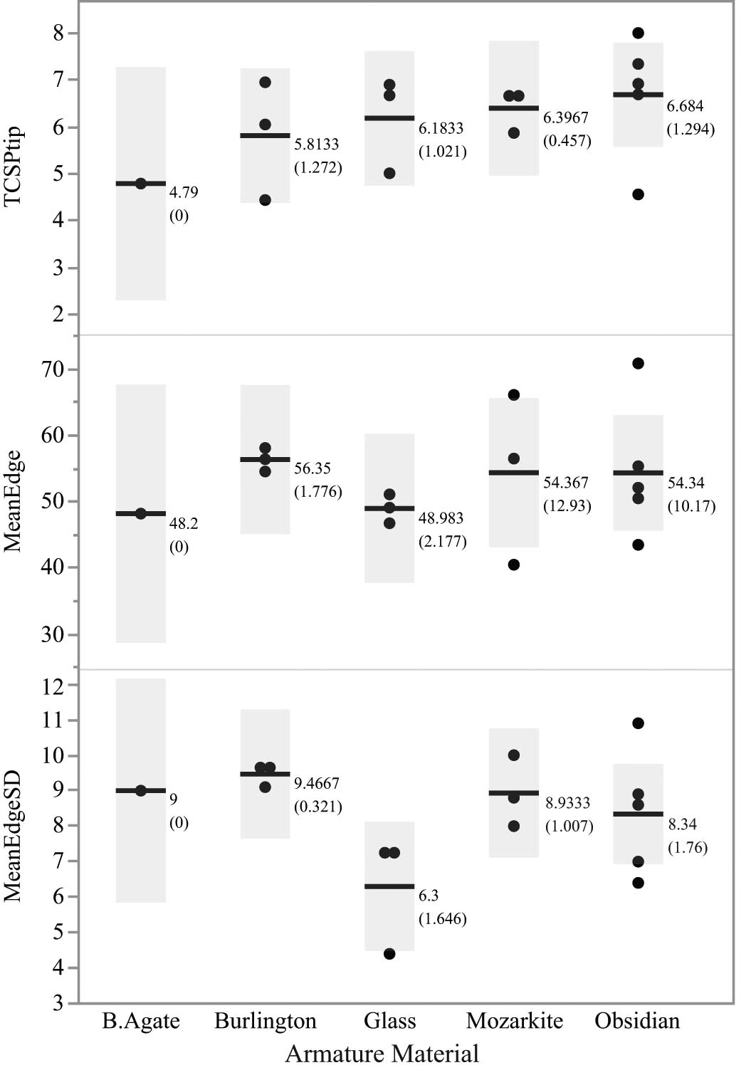
Clearly missing from these results are absolute measurements of edge sharpness (Atkins, 2009, pp. 221–243). The macroscopic measurements we attempted on 3D models (Section 2.2.1; Table 2) cannot explain the variance in deceleration across material types given the overlaps that occur in them, especially between Mozarkite, glass, and obsidian (Figure 9). The high outlier in Mozarkite MeanEdge represents the least efficient armature tested (armature 207), but some obsidian armatures also had obtuse edges and tips, and this is not reflected in their deceleration through leather relative to Mozarkite. This suggests that edge sharpness cannot be measured solely by macroscopic edge angles (see also Valletta et al., 2020), and that further attempts to measure absolute sharpness are needed (e.g., Key et al., 2022; Stemp, Macdonald, & Gleason, 2019).

A comparison of 1 mm tip TCSP, mean edge angles, and edge angle standard deviations measured from 3D models of the Scottsbluff dart points by material. Mean values and standard deviations accompany each group.
3.2.2 Measuring the Relative Impact of Armature Sharpness
Having found that the variables affecting penetration of knapped points in Perma-Gel and clay were at odds with their deceleration through skin simulants, we set out to test whether Perma-Gel and clay capture the effects of sharper tips and edges. We performed the following experiments using the modern screw-in and glue-on arrow points on main shafts B1 and B2.
3.2.2.1 In Covered and Uncovered Perma-Gel
In Table 7, we compare shots into Perma-Gel with and without skin simulant covers using the screw-in broadheads (BH1–3) and field point (FPs), which were mounted on the short tapered foreshaft in main shaft B1. Days 1 and 2 represent a formal sharpness/dullness experiment in these various media. For comparison, we present select shots with these armatures that were performed prior to the formal test.
Effect of sharpness in Perma-Gel with and without skin simulant covers
Broadhead dullness/sharpness in Perma-Gel | ||||||
---|---|---|---|---|---|---|
Day | Arm. | Edge | TargetCover | PEN (mm) | V i (m/s) | a (m/s2) |
FPs | N/A | N/A | 149 | 28.8 | −340 | |
FPs | N/A | 149 | 29.0 | −340 | ||
FPs | N/A | 143 | 28.7 | −273 | ||
FPS | N/A | 151 | 29.0 | −247 | ||
FPs | 3 mm tooling leather | 120 | 28.8 | −2,273 | ||
FPs | 3 mm tooling leather | 118 | 28.9 | −1,867 | ||
BH1 | Sharp | N/A | 158 | 28.5 | −280 | |
BH2 | N/A | 160 | 28.8 | −240 | ||
BH3 | N/A | 157 | 28.6 | −260 | ||
1 | BH1 | Sharp | N/A | 165 | 28.8 | −187 |
BH1 | 3 mm tooling leather | 145 | 28.5 | −1,100 | ||
BH1 | Dull | N/A | 156 | 28.8 | −200 | |
BH1 | 3 mm tooling leather | 143 | 28.7 | −1,400 | ||
BH1 | Duller | N/A | 157 | 28.8 | −220 | |
BH1 | 3 mm tooling leather | 145 | 28.3 | −1,587 | ||
BH2 | Sharp | N/A | 160 | 28.3 | −313 | |
BH2 | 3 mm tooling leather | 146 | 28.6 | −1,060 | ||
BH2 | Dull | N/A | 155 | 28.6 | −313 | |
BH2 | 3 mm tooling leather | 145 | 28.2 | −2,387 | ||
2 | BH1 | Dull | N/A | 153 | 28.4 | −240 |
BH1 | N/A | 155 | 28.2 | −237 | ||
BH3 | Sharp | N/A | 153 | 28.2 | −200 | |
BH3 | N/A | 155 | 28.2 | −307 | ||
BH1 | Dull | 3 mm nitrile rubber | 165 | 28.3 | −827 | |
BH1 | 3 mm nitrile rubber | 162 | 28.6 | −867 | ||
BH3 | Sharp | 3 mm nitrile rubber | 162 | 28.4 | −693 | |
BH3 | 3 mm nitrile rubber | 155 | 28.1 | −633 | ||
BH1 | Dull | 2 mm tooling leather | 155 | 28.5 | −1,000 | |
BH1 | 2 mm tooling leather | 151 | 28.3 | −920 | ||
BH3 | Sharp | 2 mm tooling leather | 148 | 28.4 | −560 | |
BH3 | 2 mm tooling leather | 147 | 28.5 | −487 | ||
BH1 | Dull | Upholstery leather | 169 | 28.5 | −753 | |
BH1 | Upholstery leather | 174 | 28.5 | −813 | ||
BH1 | Upholstery leather | 173 | 28.6 | −780 | ||
BH1 | Upholstery leather | 170 | 28.1 | −680 | ||
BH1 | Upholstery leather | 172 | 28.4 | −700 | ||
BH3 | Sharp | Upholstery leather | 158 | 28.4 | −327 | |
BH3 | Upholstery leather | 163 | 28.3 | −420 | ||
BH3 | Upholstery leather | 166 | 28.5 | −380 | ||
BH3 | Upholstery leather | 166 | 28.4 | −367 |
On day 1 of the formal test, two broadheads (BH1 and BH2) were shot into uncovered gel, then into 3 mm tooling leather covering the gel. The edges and tips were then ground by hand 5 strokes straight down on a rough grit sharpening stone (the armature oriented orthogonal to the stone) and shot again. This process was repeated a second time for BH1 (note that more rapid deceleration of BH2 shown in Table 7 was partially a result of the leather coming away slightly from the gel, an effect that warranted careful attention to setup). On day 2, BH3 (still very sharp) and BH1 (now thoroughly dull; Figure 10), were shot several more times into gel and skin simulant covers.

The factory sharp BH3 (top) and dulled BH1 (bottom) and the moment of penetration of the respective broadheads through upholstery leather into Perma-Gel. The arrow indicates leather being pulled into the gel backing.
This brief experiment produced surprising results (Table 7). The most rapid deceleration occurred when shooting the dull broadheads and field point through 3 mm leather over gel, and the shallowest penetration occurred when shooting the field point through 3 mm leather over gel. But oddly, the deepest penetration occurred when shooting the dull broadhead through upholstery leather into gel, which slightly outperformed the sharp broadhead penetrating the same media. The smaller hole in upholstery leather made by the dull broadhead seems to have pulled the leather further into the gel and reduced friction on the trailing shaft at the exterior of the target (Figure 10).
Moreover, despite substantial differences in deceleration between the sharp and dull broadheads through skin simulants, when these points were shot into Perma-Gel with no skin simulant covering, average penetration of the dull (mean value = 155 mm, std dev = 1.4) and sharp (mean value = 158 mm, std dev = 1.2) broadheads was not substantially different, and a paired t-test found no statistically significant difference between these mean values (t [10] = 1.6646, p = 0.1270).
3.2.2.2 In Pottery Clay
Next we performed a similar experiment in clay. BH3 and BH1 and the screw-in field point (FPs) were fitted with the aluminum adapter to the longer oak dowel foreshaft in main shaft B1 to improve retrievability after penetrating more deeply into clay. Despite more variable overall penetration than shots into gel, 10 shots with each armature resulted in consistent penetration (BH1 [dull] mean value = 282 mm, std dev = 10.1; BH3 [sharp] mean value = 278 mm, std dev = 8.6; and FPs mean value = 284 mm, std dev = 14.1). A One-Way ANOVA found no statistically significant difference between these mean values (F(2, 27) = 1.9259, p = 0.1652).
A second experiment in clay was inspired by a discovery made by Ankersen and others (1998) that a completely blunt (non-beveled) knife tip can experience less resistance penetrating a sulfur-based modeling clay (Roma Plastilina) than a beveled sharp one (Ankersen et al., 1998). This experiment involved shooting the three glue-on arrow points (BPg, FPg, and 186) ten times each on main shaft B2. In this experiment, the Zwickey broadhead (186) achieved the shallowest penetration of the three armatures, while on its debut shot the blunt point (BPg) penetrated completely through the target and struck the backboard. The clay target was lengthened (forming a ca. 60 cm × 15 cm × 15 cm block) to accommodate more shots with this point. Overall, the blunt point created a larger hole in the clay (ca. 1 cm wider than the shaft) and averaged 142% deeper penetration than the broadhead (Figure 11).

Penetration of glue-on archery points and chert point 157 in three target media. Shots with 186 on shafts B2 and A5 are pooled. Mean values and standard deviations accompany each group.
3.2.3 Comparing Shots on Bison
In this section, we describe replicated shots with two cutting arrow points (157 and 186) and one blunt arrow point (BPg) that were each shot once on arrow shaft A5 at bison carcasses, (Table 8). These three shots were chosen because they were characterized by straight arrow flight in the high-speed video, did not strike prior wound channels, and had dramatically different outcomes (Section 3.1).
Comparing replicated arrow shots in bison and unbacked leather
186 (Zwickey) | 157 (Chert) | BPg (blunt) | |||
---|---|---|---|---|---|
Bison thorax | PEN (mm) | 745 | 383 | 0 | |
Unbacked 2 mm Tooling Leather | a (m/s2) | Mean value | −992 | −3,651 | −46,362 |
Std dev | 15.6 | 170.4 | |||
Min | −1,006 | −3,755 | |||
Max | −975 | −3,455 | |||
F (N) | Mean value | 29 | 96 | 1,303 | |
Std dev | 0.5 | 4.5 | |||
Min | 29 | 91 | |||
Max | 30 | 98 | |||
n | 3 | 3 | 1 |
3.2.3.1 Against Perma-Gel and clay
Arrow points 186 and 157 were shot five times each on shaft A5 into uncovered gel and 10 times each into clay. As can be seen from Figure 11, both points penetrated significantly less deeply into gel than through the bison, but the stone point penetrated more deeply than the broadhead, the opposite of the result in the bison. In clay, a similar result was obtained, the stone point penetrated more deeply than the broadhead but 26% less deeply than through the bison.
Prior to this small test, we had already shot the blunt point (BPg) on main shaft B2 at uncovered gel on a previous day, but the bolt bounced ca. 3 m off the target and landed behind the experimenter. As a precaution we did not attempt to shoot it into gel again. We have already reported how the blunt point achieved surprising penetration into clay relative to the broadhead (Section 3.2.2.2).
3.2.3.2 Against Unbacked Leather
To minimize possible effects of edge attrition, the chert point (157) and broadhead (186) were shot just three times each on shaft A5 through a single strip of 2 mm tooling leather glued to a frame and clamped to the wooden stand. Neither point had been altered after their single shot through a bison and the broadhead still felt sharp despite hitting the edge of a rib. Final velocity (V f) was measured the moment after the base of the broadhead and the sinew wrappings below the chert point entered the simulant.
Despite a larger TCSP (Table 3), the broadhead decelerated significantly less rapidly penetrating the leather than the chert point. This resulted from significantly less force when the broadhead cut through the leather (Table 9). The blunt point (BPg) mounted on shaft B2 had been shot at 2 mm leather glued to a frame and clamped to the stand on a prior day, but unsurprisingly, it failed to penetrate and instead dented the leather, broke the frame, and fell directly to the ground by the target, as it later did when impacting the bison. To preserve our target, we did not attempt to shoot BPg again on shaft A5 at the leather.
Results of a penetration test with various cutting points (broadheads and a medieval crescent) and field points on arrows and bolts in different targets (after Karger et al., 1998, Table 2)
Karger et al. (1998) | ||||||
---|---|---|---|---|---|---|
Cutting points | Field points | |||||
PEN (mm) | Gel | Soap | Soft tissue | Gel | Soap | Soft tissue |
Mean value | 264 | 160 | 410 | 328 | 156 | 238 |
Std dev | 51 | 56 | 104 | 74 | 51 | 79 |
Min | 190 | 90 | 290 | 235 | 110 | 170 |
Max | 325 | 230 | 600 | 400 | 230 | 370 |
n | 11 | 10 | 7 | 10 | 9 | 8 |
4 Synthesis
We recognize that we do not have perfectly parallel sets of observation and particularly that our naturalistic experiments did not include the full variety of points used in our controlled experiments. Furthermore, we do not claim to have exhausted the range of potential target media or even that we can generalize our results to every variety of either ballistics gel or clay. However, our purpose here is to provide a preliminary assessment of the effects of different artificial target media on the outcome of archaeological projectile experiments, and we do claim that these results have broad and meaningful implications for the design and interpretation of such experiments.
First, both Perma-Gel and pottery clay confirm the importance of TCSA/P to penetration as captured in previous controlled experiments in ballistics gel, target foam, and pottery clay (Grady & Churchill, 2023; Sisk & Shea, 2009; Sitton et al., 2020), although surface area was slightly more significant than TCSP in clay in our data. However, a blunt arrow point will penetrate surprisingly deeply into clay, much deeper than a sharp broadhead. That same point, though, will fail to penetrate Perma-Gel. Furthermore, points knapped from different raw material can perform differently in gel and clay, leading to potential discrepancies in interpretations drawn from these two media. Significantly, neither medium effectively captures the effects of sharper tips and edges (see also, Grady & Churchill, 2023). Replicated arrow shots performed very differently in these media than in bison carcasses.
In skin simulants, the caveat remains that the variables of armature efficacy are codependent on the properties of the simulant, the interface between the skin simulant and backing material, precisely how the skin simulant is attached to a frame with no backing, and with inconsistencies in and between samples of natural materials (leather). Both leather and rubber have properties that may problematize direct comparisons with skin (Fenton et al., 2020). Unlike leather, nitrile rubber is an internally consistent material, improving reproducibility, but rubber showed less sensitivity to armature sharpness and likely a higher coefficient of friction than leather (Lara & Massé, 2000). Significant problems arose shooting through skin simulants with a Perma-Gel backing: very dull armatures can decelerate more rapidly through the skin simulant but still penetrate deeper than sharp ones into the backing, and measuring deceleration through the skin simulant also captures interaction with the backing.
Measuring deceleration through 2 mm tooling leather glued to a frame and clamped to the stand with no backing gave results most similar to shots in carcasses, validating three replicated arrow shots on bison as well as the tendency of finer-grained knapped armatures to experience less rapid deceleration relative to coarser-grained materials penetrating skin (Pettigrew, 2021, pp. 96–104). The same knapped armatures and modern arrow points shot into clay and gel exhibited very different behaviors in tooling leathers. In these latter media, TCSA/P have little explanatory power for the armatures we tested.
5 Discussion
Controlled experiments are important because their design makes it possible to efficiently and unambiguously identify the variables that create particular experimental results. Our experiments indicate unambiguously that using different target media can produce different results, often dramatically, even when we shot the same points into them, that these results are not readily comparable across media, and that two widely used flesh simulants, pottery clay and synthetic ballistics gel, do not substitute directly for the kinds of targets people designed darts and arrows to penetrate.
The efficacy of any weapon or cutting tool is dependent, in part, on the specific material properties of the target or worked material (Atkins, 2009; Carlucci & Jacobson, 2018; Kneubuehl, 2011; Nayak et al., 2018). For example, collagen fibers in the dermis layer give skin its toughness and resistivity to cuts and punctures (Atkins, 2009, pp. 260–280; Fenton et al., 2020). These fibers stretch and align under load, becoming increasingly stiff and resistive before finally fracturing. Once a fracture is initiated, resistance to cutting drops considerably as an efficient slice-push action of an angled knife or projectile tip widens the cut (Atkins, 2009; Knight, 1975). Sharper tips and edges on knives are found to dramatically reduce the force necessary to penetrate skin, while higher velocity can also reduce thrusting and cutting forces (Ankersen et al., 1998; Atkins, 2009, p. 224; Gilchrist et al., 2008; Hainsworth et al., 2008; Knight, 1975; Nayak et al., 2018, 2019).
Collagen gels, made by rendering collagen proteins from elements such as skin, tendon, and bone through hot water acid extraction, can mimic the density and viscosity of flesh when properly formulated and calibrated, although original structures like nerves, arteries, and collagen fibers do not survive the rendering (Maiden et al., 2015). This creates ongoing challenges for extrapolating results of firearms experiments in homogenous gel blocks to heterogenous structures in bodies (Bartlett & Bissell, 2006; Nicholas & Welsch, 2004). Perhaps it is no surprise, then, that ballistics gelatin does not scale to animal tissues when testing low velocity cutting/piercing weapons, which behave very differently from bullets (Section 1.1).
Part of the reason for the shallow penetration we record in gel may be due to specific properties of the synthetic gel we tested. Mabbott (2015) found that penetration of bullets into Perma-Gel diverged from 10% collagen-based ordnance gel at velocities below ca. 375 m/s, with significantly reduced penetration below 200 m/s. Significantly, however, our results parallel those of Karger et al. (1998), who shot various arrows and crossbow bolts into 10% collagen-based ordnance gel, ballistics soap, and fresh pig carcasses. Arrows with cutting points (a medieval crescent and modern broadheads) penetrated 40–150% more deeply through carcasses than through gel, while field points penetrated 30–40% more deeply through gel than through carcasses. Soap produced the shallowest overall penetration, independent of the point tested (Karger et al., 1998). Mullen et al. (2023) raise concerns about the statistical strength of this experiment, given that some armature/weapon/target combinations are only represented by one or two shots. However, retabulating these data into shots with cutting vs field points supports the described differences in penetration depth (Table 9), and a two-way ANOVA finds that the interaction between target and point type for these shots is statistically significant (Table 10).
Results of a two-way ANOVA test comparing the effects of interactions between cutting armatures and field points on penetration in gel, soap, and pig carcasses (after Karger et al., 1998, Table 2)
Response = Penetration | |||||
---|---|---|---|---|---|
df | Sum of sq | Mean sq | F | p | |
Armature | 1 | 186.9248 | 186.925 | 3.91 | 0.0536 |
Target | 2 | 2,837.45 | 1,418.73 | 29.676 | <0.0001 |
Armature * Target | 2 | 1,239.9 | 619.95 | 12.968 | <0.0001 |
Going further, an experiment that shot lanceolate points of bone, knapped obsidian, and bone fitted with obsidian microblades into synthetic ballistics gelatin and a fresh caribou carcass recorded the deepest overall penetration (mean value = 355 mm, std dev = 121.3, n = 16) with the knapped obsidian points in the soft tissues of the caribou and the shallowest overall penetration (mean value = 101.5 mm, std dev = 11.5, n = 10) also with the knapped obsidian points in gel (Wood & Fitzhugh, 2018, Tables 3 and 5). In the experiment described by Key et al. (2018), a field point penetrated deeper in pottery clay than in store-bought meat, while ground stone points penetrated similarly in clay and meat. However, rather than proving the scalability of clay as the authors suggest, this brief experiment parallels our findings and the findings of Karger et al. (1998), showing that smaller points with less surface area tend to penetrate better in clay (see also Sitton et al., 2022), but the same point attributes do not determine penetration in meat.
More recently, Mullen et al. (2023; Mullen, 2021) used an Instron tester to measure peak loads and deflection curves for two points, a Stinger two-blade broadhead and a ground stone point, pressed into pottery clay, meat, and 10 and 20% synthetic ballistics gel. They recorded different forces in these media, but found that the stone point consistently experienced higher force than the broadhead and concluded that measuring relative penetrating ability could be performed with any of the four media. However, the authors note some caveats, including the use of static rather than dynamic loading and shallow penetration necessitated by their test arrangement, and we would add the limitation of testing just two armatures that differed in multiple respects. As the stone point in this experiment (as well as those tested by Key et al., 2018) were ground on rough 30 and 60 grit lapidary wheels (Mullen, 2021, p. 26), it is not clear how differential edge sharpness between the stone and steel points affected cutting resistance in meat, relative to greater friction on the larger stone point in gel and clay. Importantly, increasing velocity can change target resistivity in different ways depending on the properties of the tool and target, meaning that static or quasi-static loading rates should be avoided for simulating dynamic loading events (Atkins, 2009; Carlucci & Jacobson, 2018; Fenton et al., 2020; Nayak et al., 2019). This makes it challenging to know how the results could vary with increased friction in some materials and improved cutting in others at higher velocity (Atkins, 2009).
Although Roma Plastilina, a sulfur based modeling clay, has seen prior use in knife cutting and stabbing experiments, Ankersen et al. (1998) demonstrated that a completely blunt (non-beveled) knife tip experienced less resistance than a sharp one penetrating this material. The authors reasoned that this was due to the blunt tool pushing clay aside, while increased friction bonding occurred on the blade flanks of the sharp tool (Ankersen et al., 1998). Roma Plastilina has since been replaced as a backing material for standard tests of stab-protective armor (Nayak et al., 2019). In our experiments, a blunt arrow point, specifically designed not to penetrate the skin, could penetrate 140% more deeply than a sharp broadhead in pottery clay. Reduced friction on the trailing shaft from the blunt point pushing material aside (creating a hole ca. 1 cm wider than the shaft) may have produced this effect. Clay has seen some use in firearms testing, although it is much denser than flesh, it has completely different flow behavior, and is highly variable between batches, making it a “very unsuitable medium” (Kneubuehl, 2011, pp. 173–177).
Combined with our own results, these findings suggest that none of these materials (clay, ballistics gel [collagen-based or synthetic], or ballistics soap) are appropriate flesh simulants for experiments with low velocity piercing/cutting projectiles. This is primarily due to the different forces of friction vs fracture toughness when penetrating these materials relative to leather or soft tissues (Atkins, 2009, p. 278; Grady & Churchill, 2023; Lara & Massé, 2000; Nayak et al., 2019), along with other material properties, such as differences in density and flow behavior (Kneubuehl, 2011). Furthermore, the same points shot using the same crossbow into clay can perform very differently when shot into gel, as can points made from different raw materials, highlighting probable differences in friction bonding on different surfaces. Although we have not evaluated archery target foam, which has seen some use in archaeological weapons testing, it also seems problematic given the remarkably shallow penetration achieved (Sisk & Shea, 2009; but see Carr & Wainwright, 2011). Ballisticians with bow hunting experience recently gave an excellent critique of experiments using gel and archery target foam for testing hunting broadheads, namely due to the remarkably higher friction that occurs in these materials relative to hunted prey (The Hunting Public, 2022).
6 Some Implications
Target scalability can problematize a number of implications derived from past archaeological experiments. Waguespack et al. (2009) shot arrows tipped with sharpened wood and knapped points into ballistics gel, sometimes with a caribou hide “draped” over the target, but they recorded only slightly deeper penetration for the knapped points and concluded that other, non-functional reasons (such as costly signaling) may be behind the development of knapped points (Waguespack et al., 2009; for a prior critique of this experiment, see Clarkson, 2016). Homogenous targets have also been used to validate metrics of stone armature performance, most notably TCSA/P (Grady & Churchill, 2023; Sisk & Shea, 2009; Sitton et al., 2020), and this has been used to argue that smaller Paleoindian dart points and later arrow points would tend to penetrate better (Eren et al., 2022; Mika et al., 2020). Experiments with ground stone points in clay have also been combined with various other experimental results in ballistics gel, various composite targets, and carcasses to argue that Clovis points would be less impressive than previously thought for hunting Pleistocene megafauna (Eren et al., 2021).
While we agree with Waguespack and others that projectiles often held special significance for their makers (e.g., Wiessner, 1983), our results imply that evidence supporting this does not include their poor performance penetrating ballistics gel, even with leather draped over the target. It should be clear that using data on penetration performance derived from clay and gel simply cannot be assumed to apply to other targets, and doing so to conclude that armatures with smaller TCSA/P perform better overlooks important attributes of ancient projectiles that pierce/cut through biological tissues, such as the importance of sharp tips and edges, variable kinetic energy within weapon technologies, and the general purpose of a hunting armature, to incise a sufficiently large opening through skin and a sufficiently large wound for a given size of prey (Clarkson, 2016; Friis-Hansen, 1990; Hughes, 1998; Pettigrew, 2021; Tomka, 2013; Wood & Fitzhugh, 2018). Finally, we achieved deeper mean penetration with knapped Scottsbluff points in clay than the mean (186 mm) or even max (286 mm) in the study by Eren and others (2020). This may have resulted from using a different type of clay, or more likely, the fact that the average kinetic energy of our bolts (mean value = 50 J; Table 4) was greater than theirs (mean value = 36 J; Eren et al., 2020, calculated from Tables 1 and 2). Significantly greater kinetic energy can be achieved with an atlatl (>100 J), meeting the recommendations for hunting very large animals (Pettigrew, 2021, pp. 117–121). But more to our point here, both clay and ballistics gel can overestimate the penetration of some dart and arrow armatures through bodies and underestimate the penetration of others, in some cases dramatically. The contrast between our results shooting the same points into bison and pottery clay leaves little doubt that arguments about Clovis hunting based on experiments using this medium are untenable (c.f., Eren et al., 2021). We draw, perhaps unfairly, on these specific examples, which could be joined by many others in archaeological weapons testing.
We should also mention that experiments to produce analogous skeletal lesions or impact wear by setting bone samples into a non-scalable flesh simulant may produce inconsistent results with the archaeological record, given that different impact forces may occur within the simulant relative to biological tissues. This is analogous to firearm wound ballistics, where problems with the scalability of gel to different organ tissues raises concerns about how physicians treat gunshot wounds (Bartlett & Bissell, 2006). The impact of target scalability on archaeological use-wear and skeletal trauma requires future consideration.
7 Concluding Remarks
We view our results from two perspectives. First, we unhesitatingly recognize that these experiments demonstrate mainly that extant homogenous flesh simulants fail to capture the characteristics that allow low-velocity piercing/cutting projectiles to penetrate prey, although they also suggest that some form of stand-alone skin simulant may provide an accessible solution with further testing. Second, recognizing this problem underscores an issue that has broad importance: without being able to scale results among different targets it is not possible to argue plausibly from experimental results to archaeological reality.
The results we report here point the way towards a number of the issues we need to understand to solve this problem. For instance, finer-grained stones and glass seem to correlate with reduced force of resistance penetrating skin and leather, but we have not attempted an absolute measure of sharpness or to treat the effect of surface roughness across armature materials, and our best relative measure of sharpness, unbacked 2 mm tooling leather, is an internally inconsistent medium and requires further assessment of its scalability to skin in vivo.
Despite these issues, these experiments serve to reinforce what dedicated ballisticians already know: ultimately, the efficacy of weapons must be measured relative to the specific circumstances of their application, one of the most important variables being the specific properties of the target. Using a single (especially non-scalable) homogenous target and assuming that all else remains equal can produce highly erroneous results and tells us nothing about the human past.
Abbreviations
- BAgate
-
Brazilian Agate
- SA
-
surface area
- TCSA
-
tip cross-sectional area
- TCSP
-
tip cross-sectional perimeter
Acknowledgements
We thank the University of Colorado Boulder Museum for purchasing the first bison, and our backers who funded the second bison (https://dx.doi.org/10.18258/26783), for the realistic experiments. We also thank members of the lead author’s doctoral committee, John Whittaker, Robert Hitchcock, Gerardo Gutierrez, and Scott Ortman, for feedback on an earlier version of this article.
-
Funding information: The Colorado Archaeological Society funded the construction of the crossbow used in the controlled experiments through the Alice B. Hamilton Scholarship Fund. Publication of this article was funded in part by the University of Colorado Boulder Libraries Open Access Fund.
-
Author contributions: Both authors contributed substantially to this work. D.B.P performed experiments, analyzed data, and wrote an initial version of the text. D.B.B. contributed to the interpretation of the results and the final written text.
-
Conflict of interest: The authors state no conflict of interest.
-
Data availability statement: The datasets generated during and/or analysed during the current study are available from the corresponding author on reasonable request.
References
Ahler, S. A., & Geib, P. R. (2000). Why flute? Folsom point design and adaptation. Journal of Archaeological Science, 27(9), 799–820. doi: 10.1006/jasc.1999.0503.Search in Google Scholar
Anderson, P. S. L., LaCosse, J., & Pankow, M. (2016). Point of impact: The effect of size and speed on puncture mechanics. Interface Focus, 6: 20150111. doi: 10.1098/rsfs.2015.0111.Search in Google Scholar
Anderson, P. S. L. (2018). Making a point: Shared mechanics underlying the diversity of biological puncture. Journal of Experimental Biology, 221(22), 1–12. doi: 10.1242/jeb.187294.Search in Google Scholar
Ankersen, J., Birkbeck, A., Thomson, R., & Vanezis, P. (1998). The effect of knife blade profile on penetration force in flesh simulants. Technology, Law and Insurance, 3(2), 125–128. doi: 10.1080/135993798349523.Search in Google Scholar
Ankersen, J., Birkbeck, A. E., Thomson, R. D., & Vanezis, P. (1999). Puncture resistance and tensile strength of skin simulants. Proceedings of the Institution of Mechanical Engineers, Part H: Journal of Engineering in Medicine, 213(6), 493–501. doi: 10.1243/0954411991535103.Search in Google Scholar
Archer, C., Campbell, I., Cheyne, F., Meng, A. L. J., Senanszky, C., Mamalis, D., … Alam, P. (2020). The mechanical and material designs of composite Ju|’hoansi arrowheads. Journal of Composite Sciences, 4(139), 1–11.10.3390/jcs4030139Search in Google Scholar
Ascher, R. (1961). Analogy in Archaeological Interpretation. Southwestern Journal of Anthropology, 17(4), 317–325.10.1086/soutjanth.17.4.3628943Search in Google Scholar
Atkins, A. (2009). The science and engineering of cutting: The mechanics and processes of separating, scratching and puncturing biomaterials, metals and non-metals. Amsterdam: Elsevier/Butterworth-Heinemann.Search in Google Scholar
Bamforth, D. B. (2009). Projectile points, people, and Plains Paleoindian perambulations. Journal of Anthropological Archaeology, 28(2), 142–157. doi: 10.1016/j.jaa.2009.01.002.Search in Google Scholar
Bamforth, D. B. (2010). Conducting experimental research as a basis for microwear analysis. In J. R. Ferguson (Ed.), Designing experimental research in archaeology: Examining technology through production and use (pp. 93–109). Boulder: University Press of Colorado.Search in Google Scholar
Bartell, T. H., & Mustoe, T. A. (1989). Animal models of human tissue expansion. Plastic and Reconstructive Surgery, 83(4), 681–686.10.1097/00006534-198904000-00014Search in Google Scholar
Bartlett, C. S., & Bissell, B. T. (2006). Common misconceptions and controversies regarding ballistics and gunshot wounds. Techniques in Orthopaedics, 21(3), 190–199. doi: 10.1097/01.bto.0000240269.28361.17.Search in Google Scholar
Bebber, M. R., & Eren, M. I. (2018). Toward a functional understanding of the North American Old Copper Culture “technomic devolution.” Journal of Archaeological Science, 98, 34–44. doi: 10.1016/j.jas.2018.08.001.Search in Google Scholar
Bebber, M. R., Wilson, M., Kramer, A., Meindl, R. S., Buchanan, B., & Eren, M. I. (2020). The non-invention of the ceramic arrowhead in world archaeology. Journal of Archaeological Science: Reports, 31, 102283. doi: 10.1016/j.jasrep.2020.102283.Search in Google Scholar
Bement, L. C. (2018). Bison’s Achilles’ Heel: Paleoindian hunters and bison physiology. PaleoAmerica, 4(4), 340–343. doi: 10.1080/20555563.2019.1574513.Search in Google Scholar
Breeze, J., Carr, D. J., Mabbott, A., Beckett, S., & Clasper, J. C. (2015). Refrigeration and freezing of porcine tissue does not affect the retardation of fragment simulating projectiles. Journal of Forensic and Legal Medicine, 32, 77–83. doi: 10.1016/j.jflm.2015.03.003.Search in Google Scholar
Brink, J. (2008). Imagining Head-Smashed-In: Aboriginal buffalo hunting on the northern Plains. Edmonton: AU Press.10.15215/aupress/9781897425046.01Search in Google Scholar
Calandra, I., Gneisinger, W., & Marreiros, J. (2020). A versatile mechanized setup for controlled experiments in archeology. STAR: Science & Technology of Archaeological Research, 6(1), 30–40. doi: 10.1080/20548923.2020.1757899.Search in Google Scholar
Carlucci, D. E., & Jacobson, S. S. (2018). Ballistics: Theory and design of guns and ammunition (3rd ed.). Boca Raton: Taylor & Francis.10.1201/b22201-1Search in Google Scholar
Carr, D. J., & Wainwright, A. (2011). Variability of simulants used in recreating stab events. Forensic Science International, 210(1), 42–46. doi: 10.1016/j.forsciint.2011.01.032.Search in Google Scholar
Chang, H. (2004). Inventing temperature: Measurement and scientific progress. Oxford, New York: Oxford University Press.10.1093/0195171276.001.0001Search in Google Scholar
Clark, A. J., & Bamforth, D. B. (2018). Archaeological perspectives on warfare on the Great Plains. Louisville: University Press of Colorado.10.5876/9781607326700Search in Google Scholar
Clark, J. E. (2002). Failure as Truth: An Autopsy of Crabtree s Folsom Experiments. In J. E. Clark & M. B. Collins (Eds.),Folsom Technology and Lifeways, (pp. 191–208. New York: Routledge.10.4324/9781315428338-12Search in Google Scholar
Clarkson, C. (2016). Testing archaeological approaches to determining past projectile delivery systems using ethnographic and experimental data. In R. Iovita & K. Sano (Eds.), Multidisciplinary approaches to the study of Stone age weaponry (pp. 189–201). Dordrecht: Springer Science & Business Media.10.1007/978-94-017-7602-8_13Search in Google Scholar
Cotterell, B., & Kamminga, J. (1990). Mechanics of pre-industrial technology: An introduction to the mechanics of ancient and traditional material culture. New York: Cambridge University Press.Search in Google Scholar
Ellis, C. J. (1997). Factors influencing the use of stone projectile tips. In H. Knecht (Ed.), Projectile technology (pp. 37–74). Boston: Springer US. doi: 10.1007/978-1-4899-1851-2_2.Search in Google Scholar
Eren, M. I., Bebber, M. R., Knell, E. J., Story, B., & Buchanan, B. (2022). Plains Paleoindian Projectile Point Penetration Potential. Journal of Anthropological Research, 78(1), 84–112. doi: 10.1086/717831.Search in Google Scholar
Eren, M. I., Lycett, S. J., Patten, R. J., Buchanan, B., Pargeter, J., & O’Brien, M. J. (2016). Test, model, and method validation: The role of experimental stone artifact replication in hypothesis-driven archaeology. Ethnoarchaeology, 8(2), 103–136. doi: 10.1080/19442890.2016.1213972.Search in Google Scholar
Eren, M. I., Meltzer, D. J., Story, B., Buchanan, B., Yeager, D., & Bebber, M. R. (2021). On the efficacy of Clovis fluted points for hunting proboscideans. Journal of Archaeological Science: Reports, 39, 103166. doi: 10.1016/j.jasrep.2021.103166.Search in Google Scholar
Eren, M. I., Story, B., Perrone, A., Bebber, M., Hamilton, M., Walker, R., & Buchanan, B. (2020). North American clovis point form and performance: An experimental assessment of penetration depth. Lithic Technology, 45(4), 263–282. doi: 10.1080/01977261.2020.1794358.Search in Google Scholar
Fenton, L. A., Horsfall, I., & Carr, D. J. (2020). Skin and skin simulants. Australian Journal of Forensic Sciences, 52(1), 96–106. doi: 10.1080/00450618.2018.1450896.Search in Google Scholar
Ferguson, J. R. (2010). Designing experimental research in archaeology: Examining technology through production and use. Boulder, Colorado: University Press of Colorado.Search in Google Scholar
Fischer, A., Hansen, P. V., & Rasmussen, P. (1984). Macro and micro wear traces on lithic projectile points: Experimental results and prehistoric examples. Journal of Danish Archaeology, 3(1), 19–46.10.1080/0108464X.1984.10589910Search in Google Scholar
Forensics Source. (2020). Perma-Gel Technical Note [Electronic Document]. Retrieved August 2, 2021, from https://cdn.shopify.com/s/files/1/0345/3937/2589/files/1005752Technical_Note_-_Perma-Gel.pdf.Search in Google Scholar
Friis-Hansen, J. (1990). Mesolithic cutting arrows: Functional analysis of arrows used in the hunting of large game. Antiquity, 64(244), 494–504.10.1017/S0003598X0007839XSearch in Google Scholar
Galantucci, L. M., Guerra, M. G., & Lavecchia, F. (2018). Photogrammetry applied to small and micro scaled objects: A review. In J. Ni, V. D. Majstorovic, & D. Djurdjanovic (Eds.), Proceedings of 3rd International Conference on the Industry 4.0 Model for Advanced Manufacturing (pp. 57–77). Cham: Springer International Publishing. doi: 10.1007/978-3-319-89563-5_4.Search in Google Scholar
Gilchrist, M. D., Keenan, S., Curtis, M., Cassidy, M., Byrne, G., & Destrade, M. (2008). Measuring knife stab penetration into skin simulant using a novel biaxial tension device. Forensic Science International, 177(1), 52–65. doi: 10.1016/j.forsciint.2007.10.010.Search in Google Scholar
Gooding, D. C. (1990). Experiment and the making of meaning: Human agency in scientific observation and experiment. Dordrecht: Kluwer Academic.10.1007/978-94-009-0707-2Search in Google Scholar
Grady, J. H., & Churchill, S. E. (2023). Projectile point morphology and penetration performance. Journal of Archaeological Science: Reports, 48, 103893. doi: 10.1016/j.jasrep.2023.103893.Search in Google Scholar
Green, M. A. (1978). Stab wound dynamics—A recording technique for use in medico-legal investigations. Journal of the Forensic Science Society, 18(3), 161–163. doi: 10.1016/S0015-7368(78)71196-5.Search in Google Scholar
Hainsworth, S. V., Delaney, R. J., & Rutty, G. N. (2008). How sharp is sharp? Towards quantification of the sharpness and penetration ability of kitchen knives used in stabbings. International Journal of Legal Medicine, 122(4), 281–291. doi: 10.1007/s00414-007-0202-6.Search in Google Scholar
Hughes, S. S. (1998). Getting to the point: Evolutionary change in prehistoric weaponry. Journal of Archaeological Method and Theory, 5(4), 345–408.10.1007/BF02428421Search in Google Scholar
Humphrey, C., & Kumaratilake, J. (2016). Ballistics and anatomical modelling – A review. Legal Medicine, 23, 21–29. doi: 10.1016/j.legalmed.2016.09.002.Search in Google Scholar
Janzon, B., Schantz, B., & Seeman, T. (1988). Scale effects in ballistic wounding. Journal of Trauma and Acute Care Surgery, 28(1), S29–S32.10.1097/00005373-198801001-00008Search in Google Scholar
Jones, D. E. (2004). Native North American armor, shields, and fortifications. Austin: University of Texas Press.10.7560/702097Search in Google Scholar
Jones, S., Nokes, L., & Leadbeatter, S. (1994). The mechanics of stab wounding. Forensic Science International, 67(1), 59–63. doi: 10.1016/0379-0738(94)90413-8.Search in Google Scholar
Jussila, J. (2004). Preparing ballistic gelatine—Review and proposal for a standard method. Forensic Science International, 141(2), 91–98. doi: 10.1016/j.forsciint.2003.11.036.Search in Google Scholar
Jussila, J., Leppäniemi, A., Paronen, M., & Kulomäki, E. (2005). Ballistic skin simulant. Forensic Science International, 150(1), 63–71. doi: 10.1016/j.forsciint.2004.06.039.Search in Google Scholar
Karger, B., Sudhues, H., Kneubuehl, B. P., & Brinkmann, B. (1998). Experimental arrow wounds: Ballistics and traumatology. Journal of Trauma and Acute Care Surgery, 45(3), 495–501.10.1097/00005373-199809000-00011Search in Google Scholar
Kay, M. (2012). Point use-wear analysis and technological structure. In M. D. Mitchell (Ed.), Agate basin archaeology at Beacon Island, North Dakota (pp. 155–168). Broomfield, Colorado: Paleocultural Research Group.Search in Google Scholar
Keeley, L. H. (1980). Experimental determination of stone tool uses. Chicago and London: University of Chicago Press.Search in Google Scholar
Key, A., Bartkowiak, T., Macdonald, D. A., Mietlinski, P., Gapinski, B., de la Torre, I., & Stemp, W. J. (2022). Quantifying edge sharpness on stone flakes: Comparing mechanical and micro-geometric definitions across multiple raw materials from Olduvai Gorge (Tanzania). Journal of Archaeological Method and Theory. doi: 10.1007/s10816-022-09596-0.Search in Google Scholar
Key, A., Young, J., Fisch, M. R., Chaney, M. E., Kramer, A., & Eren, M. I. (2018). Comparing the use of meat and clay during cutting and projectile research. Engineering Fracture Mechanics, 192, 163–175. doi: 10.1016/j.engfracmech.2018.02.010.Search in Google Scholar
Knecht, H. (1997). Projectile technology. New York: Plenum Press.10.1007/978-1-4899-1851-2Search in Google Scholar
Kneubuehl, B. (Ed.). (2011). Wound ballistics: Basics and applications. Berlin Heidelberg: Springer-Verlag. doi: 10.1007/978-3-642-20356-5.Search in Google Scholar
Knight, B. (1975). The dynamics of stab wounds. Forensic Science, 6(3), 249–255. doi: 10.1016/0300-9432(75)90017-5.Search in Google Scholar
Lara, J., & Massé, S. (2000). Evaluating the cutting resistance of protective clothing materials. In K. Kuklane & I. Holmér (Eds.), Proceedings of NOKOBETEF 6 and 1st European Conference on Protective Clothing (pp. 145–149). Stockholm, Sweden: National Institute for Working Life.Search in Google Scholar
Lin, S. C., Rezek, Z., & Dibble, H. L. (2018). Experimental design and experimental inference in stone artifact archaeology. Journal of Archaeological Method and Theory, 25(3), 663–688. doi: 10.1007/s10816-017-9351-1.Search in Google Scholar
Loendorf, C., Blikre, L., Bryce, W. D., Oliver, T. J., Denoyer, A., & Wermers, G. (2018). Raw material impact strength and flaked stone projectile point performance. Journal of Archaeological Science, 90, 50–61. doi: 10.1016/j.jas.2017.12.003.Search in Google Scholar
Lowrey, N. S. (1999). An ethnoarchaeological inquiry into the functional relationship between projectile point and armor technologies of the northwest coast. North American Archaeologist, 20(1), 47–73. doi: 10.2190/YG4T-2YG1-0NWP-HTCA.Search in Google Scholar
Mabbott, A. J. (2015). The overmatching of UK police body armour. (PhD dissertation). Cranfield University, Cranfield, UK. CERES. http://dspace.lib.cranfield.ac.uk/handle/1826/10515.Search in Google Scholar
Mabbott, A. J., Carr, D. J., Champion, S., & Malbon, C. (2016). Comparison of porcine thorax to gelatine blocks for wound ballistics studies. International Journal of Legal Medicine, 130(5), 1353–1362. doi: 10.1007/s00414-015-1309-9.Search in Google Scholar
Maiden, N. R., Fisk, W., Wachsberger, C., & Byard, R. W. (2015). Ballistics ordnance gelatine – How different concentrations, temperatures and curing times affect calibration results. Journal of Forensic and Legal Medicine, 34, 145–150. doi: 10.1016/j.jflm.2015.05.019.Search in Google Scholar
Mika, A., Flood, K., Norris, J. D., Wilson, M., Key, A., Buchanan, B., … Eren, M. I. (2020). Miniaturization optimized weapon killing power during the social stress of late pre-contact North America (AD 600-1600). PLOS ONE, 15(3), e0230348. doi: 10.1371/journal.pone.0230348.Search in Google Scholar
Milks, A. (2019). Skills shortage: A critical evaluation of the use of human participants in early spear experiments. EXARC Journal, 2019(2), 1–11.Search in Google Scholar
Mullen, D. (2021). Comparison of maximum forces required to penetrate ten and twenty percent ballistics gelatin, meat, and clay to assess variation between target media in arrow penetration studies. (M.A. Thesis). Anthropology Department, Kent State University. ProQuest (2543753883). Retrieved from ProQuest. (2543753883).Search in Google Scholar
Mullen, D., Matney, T., Morrison, A., Fisch, M., Buchanan, B., & Bebber, M. R. (2021). Experimental assessment of Neo-Assyrian bronze arrowhead penetration: An initial study comparing bilobate versus trilobate morphologies. Journal of Archaeological Science: Reports, 35, 102765. doi: 10.1016/j.jasrep.2020.102765.Search in Google Scholar
Mullen, D., Sitton, J., Story, B., Buchanan, B., Walker, R. S., Eren, M. I., & Bebber, M. R. (2023). Comparison of four ballistic and thrusting target materials: An experimental and Bayesian approach using static testing of stone and steel arrow tips. Archaeometry, 1–17. doi: 10.1111/arcm.12868.Search in Google Scholar
Nayak, R., Crouch, I., Kanesalingam, S., Ding, J., Tan, P., Lee, B., … Wang, L. (2018). Body armor for stab and spike protection, Part 1: Scientific literature review. Textile Research Journal, 88(7), 812–832. doi: 10.1177/0040517517690623.Search in Google Scholar
Nayak, R., Crouch, I., Kanesalingam, S., Wang, L., Ding, J., Tan, P., … Padhye, R. (2019). Body armor for stab and spike protection, Part 2: A review of test methods. Textile Research Journal, 89(16), 3411–3430. doi: 10.1177/0040517518811942.Search in Google Scholar
Nicholas, N. C., & Welsch, J. R. (2004). Institute for non-lethal defense technologies report: Ballistic Gelatin. Fort Belvoir, VA: Defense Technical Information Center. doi: 10.21236/ADA446543.Search in Google Scholar
Nolan, G., Lawes, S., Hainsworth, S., & Rutty, G. (2012). A study considering the force required for broken glass bottles to penetrate a skin simulant. International Journal of Legal Medicine, 126(1), 19–25. doi: 10.1007/s00414-011-0556-7.Search in Google Scholar
O’Callaghan, P. T., Jones, M. D., James, D. S., Leadbeatter, S., Holt, C. A., & Nokes, L. D. M. (1999). Dynamics of stab wounds: Force required for penetration of various cadaveric human tissues. Forensic Science International, 104(2), 173–178. doi: 10.1016/S0379-0738(99)00115-2.Search in Google Scholar
Pernter, P., Gostner, P., Vigl, E. E., & Rühli, F. J. (2007). Radiologic proof for the Iceman’s cause of death (ca. 5’300 BP). Journal of Archaeological Science, 34(11), 1784–1786. doi: 10.1016/j.jas.2006.12.019.Search in Google Scholar
Pettigrew, D. B. (2015). The Ballistics of Archaic North American Atlatls and Darts. (Master’s thesis). Anthropology Department, University of Arkansas, Fayetteville, Arkansas ProQuest (1587110). https://search.proquest.com/docview/1679469298/abstract/8B5DA24101844E4EPQ/1.Search in Google Scholar
Pettigrew, D. B. (2021). The origins and evolution of pre-industrial hunting weapons: Ongoing challenges and recent developments. (Ph.D.). Anthropology Department, University of Colorado Boulder, Boulder, Colorado, ProQuest (28861751). https://www.proquest.com/docview/2619532514/abstract/20DD12428FC54836PQ/1.Search in Google Scholar
Pettigrew, D. B., & Dust, D. (2022). Understanding the terminal ballistics of Stone Age hunting projectiles [Electronic Document]. doi: 10.18258/26783.Search in Google Scholar
Pettigrew, D. B., Whittaker, J. C., Garnett, J., & Hashman, P. (2015). How atlatl darts behave: Beveled points and the relevance of controlled experiments. American Antiquity, 80(3), 590–601. doi: 10.7183/0002-7316.80.3.590.Search in Google Scholar
Porter, S. T., Roussel, M., & Soressi, M. (2016). A simple photogrammetry rig for the reliable creation of 3D artifact models in the field: Lithic examples from the early Upper Paleolithic Sequence of Les Cottés (France). Advances in Archaeological Practice, 4(1), 71–86. doi: 10.7183/2326-3768.4.1.71.Search in Google Scholar
Ryckman, R. A., Powell, D. A., & Lew, A. (2012). Ballistic penetration of Perma-Gel. AIP Conference Proceedings, 1426(1), 143–148. doi: 10.1063/1.3686241.Search in Google Scholar
Salem, P. E., & Churchill, S. E. (2016). Penetration, tissue damage, and lethality of wood-versus lithic-tipped projectiles. In Multidisciplinary approaches to the study of Stone Age weaponry (pp. 203–212). Dordrecht: Springer Science + Business Media.10.1007/978-94-017-7602-8_14Search in Google Scholar
SAS Institute Inc. (2022). JMP, version 15 [Electronic Document]. Retrieved October 26, 2022, from https://www.jmp.com/.Search in Google Scholar
Sisk, M. L., & Shea, J. J. (2009). Experimental use and quantitative performance analysis of triangular flakes (Levallois points) used as arrowheads. Journal of Archaeological Science, 36(9), 2039–2047. doi: 10.1016/j.jas.2009.05.023.Search in Google Scholar
Sisk, M. L., & Shea, J. J. (2011). The African origin of complex projectile technology: An analysis using tip cross-sectional area and perimeter. International Journal of Evolutionary Biology, 2011, 1–8. doi: 10.4061/2011/968012.Search in Google Scholar
Sitton, J., Stenzel, C., Buchanan, B., Eren, M. I., & Story, B. (2022). Static penetration assessment of stone weapon tip geometry metrics and comparison of static penetration required energy to dynamic penetration depths. Archaeometry, 65, 463–479. doi: 10.1111/arcm.12841.Search in Google Scholar
Sitton, J., Story, B., Buchanan, B., & Eren, M. I. (2020). Tip cross-sectional geometry predicts the penetration depth of stone-tipped projectiles. Scientific Reports, 10(1), 13289. doi: 10.1038/s41598-020-70264-y.Search in Google Scholar
Stemp, W. J., Macdonald, D. A., & Gleason, M. A. (2019). Testing imaging confocal microscopy, laser scanning confocal microscopy, and focus variation microscopy for microscale measurement of edge cross-sections and calculation of edge curvature on stone tools: Preliminary results. Journal of Archaeological Science: Reports, 24, 513–525. doi: 10.1016/j.jasrep.2019.02.010.Search in Google Scholar
Strickland, M. J., & Hardy, R. (2005). The great warbow: From Hastings to the Mary Rose, Sutton.Search in Google Scholar
The Hunting Public (Director). (2022). Arrow Penetration Test!!! (Joel Maxfield Arrow Study). https://www.youtube.com/watch? v=HbyY14BERwY.Search in Google Scholar
Tomka, S. A. (2013). The adoption of the bow and arrow: A model based on experimental performance characteristics. American Antiquity, 78(3), 553–569.10.7183/0002-7316.78.3.553Search in Google Scholar
Valletta, F., Smilansky, U., Goring-Morris, A. N., & Grosman, L. (2020). On measuring the mean edge angle of lithic tools based on 3-D models – a case study from the southern Levantine Epipalaeolithic. Archaeological and Anthropological Sciences, 12(2), 49. doi: 10.1007/s12520-019-00954-w.Search in Google Scholar
Waguespack, N. M., Surovell, T. A., Denoyer, A., Dallow, A., Savage, A., Hyneman, J., & Tapster, D. (2009). Making a point: Wood- versus stone-tipped projectiles. Antiquity, 83(321), 786–800. doi: 10.1017/S0003598X00098999.Search in Google Scholar
Werner, A., Kramer, A., Reedy, C., Bebber, M. R., Pargeter, J., & Eren, M. I. (2019). Experimental assessment of proximal-lateral edge grinding on haft damage using replicated Late Pleistocene (Clovis) stone projectile points. Archaeological and Anthropological Sciences, 11(11), 5833–5849. doi: 10.1007/s12520-017-0594-2.Search in Google Scholar
Whittaker, J. C., Pettigrew, D. B., & Grohsmeyer, R. J. (2017). Atlatl dart velocity: Accurate measurements and implications for paleoindian and archaic archaeology. PaleoAmerica, 3(2), 161–181. doi: 10.1080/20555563.2017.1301133.Search in Google Scholar
Wiessner, P. (1983). Style and social information in Kalahari San projectile points. American Antiquity, 48(2), 253–276. JSTOR. doi: 10.2307/280450.Search in Google Scholar
Wood, J., & Fitzhugh, B. (2018). Wound ballistics: The prey specific implications of penetrating trauma injuries from osseous, flaked stone, and composite inset microblade projectiles during the Pleistocene/Holocene transition, Alaska U.S.A. Journal of Archaeological Science, 91, 104–117. doi: 10.1016/j.jas.2017.10.006.Search in Google Scholar
Wylie, A. (1985). The reaction against analogy. In M. B. Schiffer (Ed.), Advances in archaeological method and theory (pp. 63–111). San Diego: Academic Press. doi: 10.1016/B978-0-12-003108-5.50008-7.Search in Google Scholar
© 2023 the author(s), published by De Gruyter
This work is licensed under the Creative Commons Attribution 4.0 International License.
Articles in the same Issue
- Regular Articles
- A 2D Geometric Morphometric Assessment of Chrono-Cultural Trends in Osseous Barbed Points of the European Final Palaeolithic and Early Mesolithic
- Wealth Consumption, Sociopolitical Organization, and Change: A Perspective from Burial Analysis on the Middle Bronze Age in the Carpathian Basin
- Everything Has a Role to Play: Reconstruction of Vessel Function From Early Copper Age Graves in the Upper Tisza Region (Eastern Hungary)
- Urban Success and Urban Adaptation Over the Long Run
- Exploring Hypotheses on Early Holocene Caspian Seafaring Through Personal Ornaments: A Study of Changing Styles and Symbols in Western Central Asia
- Victims of Heritage Crimes: Aspects of Legal and Socio-Economic Justice
- On the (Non-)Scalability of Target Media for Evaluating the Performance of Ancient Projectile Weapons
- Small Houses of the Dead: A Model of Collective Funerary Activity in the Chalcolithic Tombs of Southwestern Iberia. La Orden-Seminario Site (Huelva, Spain)
- Bigger Fish to Fry: Evidence (or Lack of) for Fish Consumption in Ancient Syracuse (Sicily)
- Terminal Ballistics of Stone-Tipped Atlatl Darts and Arrows: Results From Exploratory Naturalistic Experiments
- First Archaeological Record of the Torture and Mutilation of Indigenous Mapuche During the “War of Arauco,” Sixteenth Century
- The Story of the Architectural Documentation of Hagia Sophia’s Hypogeum
- Iconographic Trends in Roman Imperial Coinage in the Context of Societal Changes in the Second and Third Centuries CE: A Small-Scale Test of the Affluence Hypothesis
- Circular Economy in the Roman Period and the Early Middle Ages – Methods of Analysis for a Future Agenda
- New Insights Into the Water Management System at Tetzcotzinco, Mexico
- How Linguistic Data Can Inform Archaeological Investigations: An Australian Pilot Study Around Combustion Features
- Leadership in the Emergent Baekje State: State Formation in Central-Western Korea (ca. 200–400 CE)
- Middle Bronze Age Settlement in Czeladź Wielka – The Next Step Toward Determining the Habitation Model, Chronology, and Pottery of the Silesian-Greater Poland Tumulus Culture
- On Class and Elitism in Archaeology
- Archaeology of the Late Local Landscapes of the Hualfín Valley (Catamarca, Argentina): A Political Perspective from Cerro Colorado of La Ciénaga de Abajo
- Review Article
- The State of the Debate: Nuragic Metal Trade in the Bronze Age and Early Iron Age
- A Review of Malta’s Pre-Temple Neolithic Pottery Wares
- Commentary Article
- Paradise Found or Common Sense Lost? Göbekli Tepe’s Last Decade as a Pre-Farming Cult Centre
- Special Issue Published in Cooperation with Meso’2020 – Tenth International Conference on the Mesolithic in Europe, edited by Thomas Perrin, Benjamin Marquebielle, Sylvie Philibert, and Nicolas Valdeyron - Part II
- The Time of the Last Hunters: Chronocultural Aspects of Early Holocene Societies in the Western Mediterranean
- Fishing Nets and String at the Final Mesolithic and Early Neolithic Site of Zamostje 2, Sergiev Posad (Russia)
- Investigating the Early-to-Late Mesolithic Transition in Northeastern Italy: A Multifaceted Regional Perspective
- Socioeconomic, Technological, and Cultural Adaptation of the Mesolithic Population in Central-Eastern Cantabria (Spain) in the Early and Middle Holocene
- From Coastal Sites to Elevated Hinterland Locations in the Mesolithic – Discussing Human–Woodland Interaction in the Oslo Fjord Region, Southeast Norway
- Exploitation of Osseous Materials During the Mesolithic in the Iron Gates
- Motorways of Prehistory? Boats, Rivers and Moving in Mesolithic Ireland
- Environment and Plant Use at La Tourasse (South-West France) at the Late Glacial–Holocene Transition
- Stylistic Study of the Late Mesolithic Industries in Western France: Combined Principal Coordinate Analysis and Use-Wear Analysis
- Mesolithic Occupations During the Boreal Climatic Fluctuations at La Baume de Monthiver (Var, France)
- Pressure Flakers of Late Neolithic Forest Hunter-Gatherer-Fishers of Eastern Europe and Their Remote Counterparts
- The Site Groß Fredenwalde, NE-Germany, and the Early Cemeteries of Northern Europe
- Special Issue on Archaeology of Migration: Moving Beyond Historical Paradigms, edited by Catharine Judson & Hagit Nol
- The Blurry Third Millennium. “Neolithisation” in a Norwegian Context
- Movement or Diaspora? Understanding a Multigenerational Puebloan and Ndee Community on the Central Great Plains
- Human Mobility and the Spread of Innovations – Case Studies from Neolithic Central and Southeast Europe
- The Thule Migration: A Culture in a Hurry?
- The Transformation of Domes in Medieval Chinese Mosques: From Immigrant Muslims to Local Followers
- Landscapes of Movement Along the (Pre)Historical Libyan Sea: Keys for a Socio-Ecological History
- Arab Migration During Early Islam: The Seventh to Eighth Century AD from an Archaeological Perspective
- Special Issue on Ancient Cultural Routes: Past Transportations Infrastructures as a Two-Way Interaction Between Society and Environment, edited by Francesca Fulminante, Francesca Mazzilli & Franziska Engelbogen
- The Impact of Transportation on Pottery Industries in Roman Britain
- The Role of the Road in Settling a Mountainous Region
- An Example of Geographic Network Analysis: The Case Study of the Fortore Valley (Molise and Apulia, Italy)
- Water, Communication, Sight, and the Location of Fortifications on the Strata Diocletiana (Syria) in Late Antiquity
- Transport, Interaction, and Connectivity
- Special Issue on Scales of Interaction in the Bronze and Iron Age Central Mediterranean, edited by Emily Holt & Davide Schirru
- Tracing Mobility Patterns of Buried Species of the Late Iron Age Funerary Staggered Turriform of Son Ferrer (Calvià, Spain)
- Approaching Interaction in Iron Age Sardinia: Multi-Scalar Survey Evidence from the Sinis Archaeological Project and the Progetto S’Urachi
- From the Atlantic to the Mediterranean and Back: Sardinia, Iberia, and the Transfer of Knowledge in Late Bronze Age Networks
- Special Issue on Bricks Under the Scope: Microscopic and Macroscopic Approaches to the Study of Earthen Architecture, edited by Marta Lorenzon, Moritz Kinzel, & Benjamín Cutillas-Victoria
- Earthen Architecture in Nordic Countries: Future Directions
- Earthen Architecture and Craft Practices of Early Iron Age Ramparts: Geoarchaeological Analysis of Villares de la Encarnación, South-Eastern Iberia
- Earthen Architecture in Southern Algeria: An Assessment of Social Values and the Impact of Industrial Building Practices
- Studying the Use of Earth in Early Architecture of Southwest and Central Asia
- Roof Tiles and Bricks of the Etruscan Domus dei Dolia (Vetulonia, Italy): An Archaeological and Archaeometric Study of Construction Materials
- The Building Blocks of Circular Economies: Rethinking Prehistoric Turf Architecture Through Archaeological and Architectural Analysis
- Undecorated Roman-Period Roof Tiles – An Old Material Providing New Results
- Turf Building in Iceland – Past, Present, and Future
- Special Issue on Past Sounds: New Perspectives in the Field of Archaeoacoustics, edited by Margarita Díaz-Andreu & Neemias Santos da Rosa
- Employing Psychoacoustics in Sensory Archaeology: Developments at the Ancient Sanctuary of Zeus on Mount Lykaion
- One, Two, Three! Can Everybody Hear Me? Acoustics of Roman Contiones. Case Studies of the Capitoline Hill and the Temple of Bellona in Rome
- Ringing Tone and Drumming Sages in the Crevice Cave of Pirunkirkko, Koli, Finland
- Music and Storytelling at Rock Art Sites? The Archaeoacoustics of the Urkosh Area (Russian Altai)
- Listening in Sacred Spaces: The Sanctuary of Poseidonia and Selinunte’s Main Urban Sanctuary
- Presenting Archaeoacoustics Results Using Multimedia and VR Technologies
- Special Issue on Reconsidering the Chaîne Opératoire: Towards a Multifaceted Approach to the Archaeology of Techniques, edited by Marie-Elise Porqueddu, Claudia Sciuto & Anaïs Lamesa
- Reconsidering the Chaîne Opératoire: At the Crossroad Between People and Materials
- Materiality of Plaster Vessels: The Problem of Southwest Asian Neolithic White Ware
- The Chaîne Opératoire Approach for Interpreting Personal Ornament Production: Marble Beads in Copper Age Tuscany (Italy)
- Seriality and Individualization: Carving the Fluted Sarcophagi from Hierapolis of Phrygia
- Making Vessels for the Dead: Pottery-Making Practices, Chaîne Opératoire and the Use of Grog (Crushed Sherds) as a Technological and Cultural Choice during Late and Inca Periods in the Northwestern Argentine Region (Southern Andes)
- An Invention Shading Light to the Socio-History of Bonneuil Quarry Basin: The Roadheaders with Rotating Drill Bits
- The Ugly Duckling: Understanding the Making of an Early Copper Age Atypical Ceramic Vessel from the Great Hungarian Plain
- Synopsis of a Treasure. A Transdisciplinary Study of Medieval Gold Workings Biographies
- Identification of Ceramic Traditions on the Prehistoric Mines of Gavà (Barcelona, Spain)
Articles in the same Issue
- Regular Articles
- A 2D Geometric Morphometric Assessment of Chrono-Cultural Trends in Osseous Barbed Points of the European Final Palaeolithic and Early Mesolithic
- Wealth Consumption, Sociopolitical Organization, and Change: A Perspective from Burial Analysis on the Middle Bronze Age in the Carpathian Basin
- Everything Has a Role to Play: Reconstruction of Vessel Function From Early Copper Age Graves in the Upper Tisza Region (Eastern Hungary)
- Urban Success and Urban Adaptation Over the Long Run
- Exploring Hypotheses on Early Holocene Caspian Seafaring Through Personal Ornaments: A Study of Changing Styles and Symbols in Western Central Asia
- Victims of Heritage Crimes: Aspects of Legal and Socio-Economic Justice
- On the (Non-)Scalability of Target Media for Evaluating the Performance of Ancient Projectile Weapons
- Small Houses of the Dead: A Model of Collective Funerary Activity in the Chalcolithic Tombs of Southwestern Iberia. La Orden-Seminario Site (Huelva, Spain)
- Bigger Fish to Fry: Evidence (or Lack of) for Fish Consumption in Ancient Syracuse (Sicily)
- Terminal Ballistics of Stone-Tipped Atlatl Darts and Arrows: Results From Exploratory Naturalistic Experiments
- First Archaeological Record of the Torture and Mutilation of Indigenous Mapuche During the “War of Arauco,” Sixteenth Century
- The Story of the Architectural Documentation of Hagia Sophia’s Hypogeum
- Iconographic Trends in Roman Imperial Coinage in the Context of Societal Changes in the Second and Third Centuries CE: A Small-Scale Test of the Affluence Hypothesis
- Circular Economy in the Roman Period and the Early Middle Ages – Methods of Analysis for a Future Agenda
- New Insights Into the Water Management System at Tetzcotzinco, Mexico
- How Linguistic Data Can Inform Archaeological Investigations: An Australian Pilot Study Around Combustion Features
- Leadership in the Emergent Baekje State: State Formation in Central-Western Korea (ca. 200–400 CE)
- Middle Bronze Age Settlement in Czeladź Wielka – The Next Step Toward Determining the Habitation Model, Chronology, and Pottery of the Silesian-Greater Poland Tumulus Culture
- On Class and Elitism in Archaeology
- Archaeology of the Late Local Landscapes of the Hualfín Valley (Catamarca, Argentina): A Political Perspective from Cerro Colorado of La Ciénaga de Abajo
- Review Article
- The State of the Debate: Nuragic Metal Trade in the Bronze Age and Early Iron Age
- A Review of Malta’s Pre-Temple Neolithic Pottery Wares
- Commentary Article
- Paradise Found or Common Sense Lost? Göbekli Tepe’s Last Decade as a Pre-Farming Cult Centre
- Special Issue Published in Cooperation with Meso’2020 – Tenth International Conference on the Mesolithic in Europe, edited by Thomas Perrin, Benjamin Marquebielle, Sylvie Philibert, and Nicolas Valdeyron - Part II
- The Time of the Last Hunters: Chronocultural Aspects of Early Holocene Societies in the Western Mediterranean
- Fishing Nets and String at the Final Mesolithic and Early Neolithic Site of Zamostje 2, Sergiev Posad (Russia)
- Investigating the Early-to-Late Mesolithic Transition in Northeastern Italy: A Multifaceted Regional Perspective
- Socioeconomic, Technological, and Cultural Adaptation of the Mesolithic Population in Central-Eastern Cantabria (Spain) in the Early and Middle Holocene
- From Coastal Sites to Elevated Hinterland Locations in the Mesolithic – Discussing Human–Woodland Interaction in the Oslo Fjord Region, Southeast Norway
- Exploitation of Osseous Materials During the Mesolithic in the Iron Gates
- Motorways of Prehistory? Boats, Rivers and Moving in Mesolithic Ireland
- Environment and Plant Use at La Tourasse (South-West France) at the Late Glacial–Holocene Transition
- Stylistic Study of the Late Mesolithic Industries in Western France: Combined Principal Coordinate Analysis and Use-Wear Analysis
- Mesolithic Occupations During the Boreal Climatic Fluctuations at La Baume de Monthiver (Var, France)
- Pressure Flakers of Late Neolithic Forest Hunter-Gatherer-Fishers of Eastern Europe and Their Remote Counterparts
- The Site Groß Fredenwalde, NE-Germany, and the Early Cemeteries of Northern Europe
- Special Issue on Archaeology of Migration: Moving Beyond Historical Paradigms, edited by Catharine Judson & Hagit Nol
- The Blurry Third Millennium. “Neolithisation” in a Norwegian Context
- Movement or Diaspora? Understanding a Multigenerational Puebloan and Ndee Community on the Central Great Plains
- Human Mobility and the Spread of Innovations – Case Studies from Neolithic Central and Southeast Europe
- The Thule Migration: A Culture in a Hurry?
- The Transformation of Domes in Medieval Chinese Mosques: From Immigrant Muslims to Local Followers
- Landscapes of Movement Along the (Pre)Historical Libyan Sea: Keys for a Socio-Ecological History
- Arab Migration During Early Islam: The Seventh to Eighth Century AD from an Archaeological Perspective
- Special Issue on Ancient Cultural Routes: Past Transportations Infrastructures as a Two-Way Interaction Between Society and Environment, edited by Francesca Fulminante, Francesca Mazzilli & Franziska Engelbogen
- The Impact of Transportation on Pottery Industries in Roman Britain
- The Role of the Road in Settling a Mountainous Region
- An Example of Geographic Network Analysis: The Case Study of the Fortore Valley (Molise and Apulia, Italy)
- Water, Communication, Sight, and the Location of Fortifications on the Strata Diocletiana (Syria) in Late Antiquity
- Transport, Interaction, and Connectivity
- Special Issue on Scales of Interaction in the Bronze and Iron Age Central Mediterranean, edited by Emily Holt & Davide Schirru
- Tracing Mobility Patterns of Buried Species of the Late Iron Age Funerary Staggered Turriform of Son Ferrer (Calvià, Spain)
- Approaching Interaction in Iron Age Sardinia: Multi-Scalar Survey Evidence from the Sinis Archaeological Project and the Progetto S’Urachi
- From the Atlantic to the Mediterranean and Back: Sardinia, Iberia, and the Transfer of Knowledge in Late Bronze Age Networks
- Special Issue on Bricks Under the Scope: Microscopic and Macroscopic Approaches to the Study of Earthen Architecture, edited by Marta Lorenzon, Moritz Kinzel, & Benjamín Cutillas-Victoria
- Earthen Architecture in Nordic Countries: Future Directions
- Earthen Architecture and Craft Practices of Early Iron Age Ramparts: Geoarchaeological Analysis of Villares de la Encarnación, South-Eastern Iberia
- Earthen Architecture in Southern Algeria: An Assessment of Social Values and the Impact of Industrial Building Practices
- Studying the Use of Earth in Early Architecture of Southwest and Central Asia
- Roof Tiles and Bricks of the Etruscan Domus dei Dolia (Vetulonia, Italy): An Archaeological and Archaeometric Study of Construction Materials
- The Building Blocks of Circular Economies: Rethinking Prehistoric Turf Architecture Through Archaeological and Architectural Analysis
- Undecorated Roman-Period Roof Tiles – An Old Material Providing New Results
- Turf Building in Iceland – Past, Present, and Future
- Special Issue on Past Sounds: New Perspectives in the Field of Archaeoacoustics, edited by Margarita Díaz-Andreu & Neemias Santos da Rosa
- Employing Psychoacoustics in Sensory Archaeology: Developments at the Ancient Sanctuary of Zeus on Mount Lykaion
- One, Two, Three! Can Everybody Hear Me? Acoustics of Roman Contiones. Case Studies of the Capitoline Hill and the Temple of Bellona in Rome
- Ringing Tone and Drumming Sages in the Crevice Cave of Pirunkirkko, Koli, Finland
- Music and Storytelling at Rock Art Sites? The Archaeoacoustics of the Urkosh Area (Russian Altai)
- Listening in Sacred Spaces: The Sanctuary of Poseidonia and Selinunte’s Main Urban Sanctuary
- Presenting Archaeoacoustics Results Using Multimedia and VR Technologies
- Special Issue on Reconsidering the Chaîne Opératoire: Towards a Multifaceted Approach to the Archaeology of Techniques, edited by Marie-Elise Porqueddu, Claudia Sciuto & Anaïs Lamesa
- Reconsidering the Chaîne Opératoire: At the Crossroad Between People and Materials
- Materiality of Plaster Vessels: The Problem of Southwest Asian Neolithic White Ware
- The Chaîne Opératoire Approach for Interpreting Personal Ornament Production: Marble Beads in Copper Age Tuscany (Italy)
- Seriality and Individualization: Carving the Fluted Sarcophagi from Hierapolis of Phrygia
- Making Vessels for the Dead: Pottery-Making Practices, Chaîne Opératoire and the Use of Grog (Crushed Sherds) as a Technological and Cultural Choice during Late and Inca Periods in the Northwestern Argentine Region (Southern Andes)
- An Invention Shading Light to the Socio-History of Bonneuil Quarry Basin: The Roadheaders with Rotating Drill Bits
- The Ugly Duckling: Understanding the Making of an Early Copper Age Atypical Ceramic Vessel from the Great Hungarian Plain
- Synopsis of a Treasure. A Transdisciplinary Study of Medieval Gold Workings Biographies
- Identification of Ceramic Traditions on the Prehistoric Mines of Gavà (Barcelona, Spain)