Mechanical reinforcement with enhanced electrical and heat conduction of epoxy resin by polyaniline and graphene nanoplatelets
-
Mou’ad A. Tarawneh
, Sherin Abdelkader Saraireh
, Ruey Shan Chen, Sahrim Hj Ahmad
, Musab A. M. Al-Tarawni , Lih Jiun Yu , Bahia Othman Alsobhi and David Hui
Abstract
In this study, the effects of polyaniline (PANI) incorporation (3 wt% of PANI) and graphene nanoplatelets (GNPs) loading (0.1–0.7 wt%) on the mechanical, thermal, and electrical performance of epoxy matrix were investigated. The incorporation of 0.3 wt% GNPs optimally enhanced the bending strength, bending modulus, tensile strength, tensile modulus, and impact strength (90 MPa, 1422 MPa, 63 MPa, 602 MPa, and 8.29 kJm−2, respectively). At 0.3 wt% GNPs, the hybridization effect optimally enhanced the glass transition behaviour of the epoxy nanocomposites. The electrical and thermal conductivities of epoxy were improved upon the inclusion of PANI, and this increase was further augmented when the GNPs content increased to 0.3 wt%. However, higher GNPs contents deteriorated the mechanical performance and electrical and heat conduction. Field emission scanning electron microscopy showed good filler distribution and effective interactions among the GNPs, PANI, and epoxy components with appropriate compositions.
1 Introduction
Epoxy is a highly valuable thermoset used in a broad variety of applications such as coatings, adhesives, insulators in manufacturing, and as a matrix material in structural composites because of its low cost, good chemical resistance, high adhesive strength, and exceptional performance [1,2]. Nevertheless, cured epoxy easily breaks and cracks and has a minimal conductivity, which restricts its performance. Thus, the incorporation of relatively low percentages of nanoscale particles such as carbon-based fillers and conducting polymers is considered as a promising approach to develop multifunctional epoxy nanocomposites with excellent electrical properties and improved mechanical performance, which can broaden their field of applications in industry such as electronic devices and sensors [3,4].
Graphene nanoplatelets (GNPs) such as nanoscale carbon-based fillers have attracted a great attention because of excellent mechanical properties such as the high Young’s modulus (0.5–1.0 TPa) [5], hardness (∼110–120 GPa) [6], and fracture strength (125 GPa) [7], and high electrical (close to pure copper [6]) and thermal conductivities (∼500 W/mK) [8,9]. Moreover, GNPs are believed to be perfect reinforcing components to alter the properties of polymers because of the large quantity of naturally existing graphite. The 2D quantum confinement of GNPs in the polymeric matrix and high surface area of GNPs makes them unique nanofillers, and in contrast to other carbon nanofillers, they show the enhanced capability in changing most properties [10,11].
Several works in the literature described the reinforcement effect of GNPs, typically on the thermal and electrical properties of epoxy nanocomposites. Based on the research work by Hashim and Jumahat on GNPs/epoxy composites, which were prepared using a combined solution compounding/high-shear milling technique, the inclusion of 0.3 wt% GNPs enhanced the critical stress intensity factor and tensile modulus by approximately 64 and 32%, respectively [12]. Atif et al. reported that the Young’s modulus, tensile strength, fracture toughness, and Charpy impact toughness of nanocomposites filled with 0.3 wt% GNPs increased by 24, 31, 29, and 89%, respectively [13]. In another work, Prolongo et al. studied the effect of different types of GNPs with various thicknesses and lateral dimensions on the mechanical properties and thermal stability of epoxy matrix composites; the results revealed that nanocomposites incorporated with larger and thicker nanoplatelets exhibited lower glass transition temperatures and higher decomposition temperatures and moduli [14]. In addition, Imran and Shivakumar showed the increase in electrical conductivity by nine log cycles, double increment in thermal conductivity, and one-third increment in fracture toughness with the inclusion of 1 wt% GNPs into the epoxy matrix [15].
Polyaniline (PANI) is a conducting polymer in the electrically conducting polymer group and has been well examined because of its properties, such as the stability, simple production process, favourable environmental characteristics, distinctive protonic doping procedure, and low price [16,17]. The blending of epoxy with PANI is a useful process to improve the conductivity of thermosetting composites, and the structure of a continuous PANI network is greatly important in electrically conductive PANI/epoxy composites, as reported by many researchers [18,19]. Several PANI/epoxy composites have been produced for different applications, such as anticorrosion coatings and conducting paints. For example, PANI is a conductive filler material that can be incorporated into a matrix to enhance the anticorrosion effect with only a low loading of 1–3 wt% [20,21]. In a recent study of epoxy/PANI/graphene oxide (GO) hybrid composites, the tensile strength and Young’s modulus of the PANI/GO hybrid filler at 3 wt% in the epoxy nanocomposites were improved by 14.3 and 33.1%, respectively, compared to neat epoxy [22].
In recent years, the research on thermosetting composites that applied a conducting filler and a secondary filler has received much attention from researchers. For instance, Amin et al. prepared epoxy/PANI/multi-walled carbon nanotubes (MWCNTs) nanocomposites in the form of microtubules with a relatively high aspect ratio via in situ oxidative polymerization, and the finding showed that the interconnection among the PANI/nanoparticles at low amount could form obvious conducting pathways and great interaction between PANI/MWCNTs and the epoxy matrix [23]. Wang et al. synthesized the insulated PANI coated CNT (rPANI@CNT)-reduced graphene oxide (rGO) hybrids with different loadings of rPANI@CNT that were introduced into epoxy resin; the researchers found that the dielectric constant at 100 Hz of the rPANI@CNT-rGO (ratio 1:1) epoxy resin composite with 0.75 wt% rPANI@CNT was 210 [24]. Lin et al. reported that the mechanical results showed the increase in initial modulus and ultimate tensile strength for the epoxy composite filled with 0.5 wt% poly(styrenesulfonate) (PSS)-PANI/rGO by approximately 22 and 51%, respectively [25]. Although the inclusion of organic components or inorganic fillers inside the polymer matrix has been proven to improve electrical and dielectric properties, it could destroy the mechanical properties. Thus, a synergistic balance between mechanical and electrical properties can be obtained using combinations of conductive polymers with carbon-based fillers in polymeric matrix composites to improve the charge transfer ability. Polymer nanocomposites with a low loading of conducting filler were reported to achieve excellent conductivity without decreasing the mechanical properties [26].
Numerous works have focused on the synthesis of epoxy nanocomposites reinforced with PANI/rGO through in situ oxidative polymerization and chemical modification of fillers [23,24]. However, the hybridization of PANI/GNPs in developing a conductive epoxy nanocomposite with balanced electrical conductivity and mechanical properties using a simple and direct melt-blending method to achieve high extent of GNP dispersion in epoxy resin at very little nanofiller loading remains limited. In this work, the blending of epoxy with various loadings of GNPs (0.1–0.7 wt%) and a constant amount of PANI (3 wt%) was carried out using a mechanical mixer assisted by the ultrasonication of hybrid fillers, and the mechanical, thermal, and electrical conductivity properties of the samples were studied.
2 Experimental details
2.1 Materials
Epoxy resin comprises a group of bisphenol A and epichlorohydrin with an equivalent weight of 184–190 and a density of 1.16 kg/L, and polyetheramine D-230 as a hardener was supplied from Asachem (Malaysia) Sdn. Bhd. Needle-like PANI black green powder (purity: >99 wt%, yield: 40 wt%, conductivity: 4 W/cm2; average diameter: 8 μm; length: 100 Å; and electrical conductivity: 2.7 S/cm) was supplied by E-TEK Co. Ltd., Korea. The GNPs (purity: >99.5 wt%; diameter: 5–10 nm; thickness: 4–20 nm; density: 0.23 g/cm3, layers: <30; volume resistivity: 4 × 10−4 ohm cm) were supplied by Chengdu Organic Chemicals Co., Ltd. Chinese Academy of Sciences.
2.2 Sample preparation
Six samples with different formulation were prepared as described in Table 1. The schematic diagram of the preparation of epoxy, epoxy/PANI, and epoxy/PANI/GNPs nanocomposites is presented in Figure 1. For the three-component system, the 3 wt% PANI powders were first mixed with different loadings of GNPs; then, the PANI/GNPs mixture was mixed with epoxy with a mechanical stirring machine for 1 h at 750 rpm. To avoid the formation of aggregates, the mixtures were sonicated using a probe sonicator (Model: Hielscher UP400S, 400 watts, 24 kHz) for 3 h. During sonication, the mixture container was held in an ice bath to avoid overheating the suspension so that the temperature was maintained at 40°C. After sonication, the hardener (polyethylene D230) was added into the mixture at a ratio of 3:1, and the mixture was gently stirred for 5 min. Then, the mixture was pumped under vacuum for 10 min to eliminate any trapped air. In the final stage, all samples were cured for 24 h at room temperature and subsequently post-cured for 2 h at 80°C and 1 h at 110°C to stabilize and remove air bubbles.
Epoxy with various compositions of PANI and GNPs loadings
| Sample code | Epoxy (wt%) | PANI (wt%) | GNPs (wt%) |
|---|---|---|---|
| Epoxy | 100.0 | 0 | 0 |
| Epoxy/PANI | 97.0 | 3 | 0 |
| Nanocomposites (NC1) | 96.9 | 3 | 0.1 |
| Nanocomposites (NC2) | 96.7 | 3 | 0.3 |
| Nanocomposites (NC3) | 96.5 | 3 | 0.5 |
| Nanocomposites (NC4) | 96.3 | 3 | 0.7 |

Schematic diagram of the epoxy/PANI/GNPs melt-blending process.
2.3 Characterization
A bending test was performed with a three-point flexural test machine (Testometric M350-10CT model) based on the ASTM D790 standard, a load cell of 1,000 N and a cross-head speed of 1.37 mm/min. The dimensions of the specimens in this study were 127.0 × 12.7 × 3.0 mm3. The values were taken from an average of six samples.
The Izod impact strength test was performed at a load weight of 0.898 kg and a velocity of 3.45 m/s using a Ray–Ran Pendulum Impact System in accordance with ASTM D 256-90b. The sample dimensions were 63.0 × 12.7 × 3.0 mm3. The average value from six replicates was reported for each composition.
Differential scanning calorimetry (DSC) and thermogravimetric analysis (TGA) were run using a Mettler Toledo DSC 882e and a TGA/SDTA851e, respectively, with 15–20 mg of samples. The DSC samples were heated from 30 to 200°C at a rate of 10°C/min and subsequently cooled at the same rate under atmospheric air flow condition. The samples for TGA were tested from 30 to 600°C at a heating rate of 10°C/min.
The electrical conductivity of the samples was measured using a high-frequency response analyser (HFRA Solartron 1256; Schlumberger) from 0.1 Hz to 1 MHz. The sample was inserted between two stainless steel electrodes with a surface contact area of 2 cm2 and subsequently mounted onto the holder. The bulk resistance (R b (Ω)) of the samples was determined from the obtained Cole–Cole plots using Z-View software. The conductivity was determined according to equation (1):
where L denotes the thickness of the sample (cm), and A denotes the effective contact area (cm2) of the electrode and electrolyte.
The thermal conductivities of the samples (one specimen was tested per composite type) were measured using a thermal conductivity analyser (TCA, Nanoflash NETZSCH, model LFA 44712-41). Disc-type samples (with a diameter of 12.7 mm and a thickness of 1 mm) were put in an electric furnace. The thermal conductivity (λ, W m−1 K−1) of the samples, which depends on the thermal diffusivity (α, mm2 s−1), density (ρ, g cm−3), and specific heat capacity (C p, J g−1 K−1), was calculated at various temperatures from 30 to 180°C by the following equations:
where d is the sample thickness (mm), t 1/2 is the time when T/T max reaches 0.5, m is the sample mass, Q is the energy absorbed by the sample, and T max is the maximum rear-side temperature increase. To calculate the heat capacity, pyroceram with the thickness of 12.7 mm was used as reference specimen.
The morphology of the samples was examined using high-resolution field emission scanning electron microscopy (FESEM, model SUPRA 55VP). The fracture surfaces of the impact test specimens were sputter coated with platinum before being studied by FESEM to avoid the charging effect and obtain a clear image.
3 Results and discussion
3.1 Mechanical properties
The bending, tensile, and impact properties of neat epoxy, epoxy/PANI, and GNPs nanocomposites with different filler loadings are presented in Figure 2. In comparison to neat epoxy, the failure of the mechanical properties induced by the PANI component is primarily because of two causes. First, PANI acts as a non-reinforcing filler because of important differences in the crystallinity and polarity from the epoxy polymer; second, micro-voids and clusters form because of the enhanced viscosity of the composite [27].

Mechanical properties of epoxy, epoxy/PANI, and epoxy/PANI/GNPs nanocomposites.
The incorporation of GNPs significantly affected the flexural and tensile properties of nanocomposites, as indicated in Figure 2. The bending strength and bending modulus of pure epoxy improved with a 0.3 wt% loading of GNPs (NC2 nanocomposites) but subsequently gradually decreased with higher contents of GNPs. Compared to pure epoxy, the presented improvements in both bending strength and modulus of the NC2 nanocomposites were 14 and 25%, respectively. These improvements can be ascribed to the strong reinforcement effects of graphene, appropriate compatibility, and excellent interactions of the filler/epoxy matrix interface, which results in an efficient load distribution from the matrix to the filler [1]. However, with an additional increase in GNPs loadings, the bending properties of NC3 (0.5 wt%) and NC4 nanocomposites (0.7 wt%) deteriorated. This result is in agreement with previous studies on GO/epoxy by Chhetri et al. [28] and GNPs/epoxy composites by Shen et al. [29], which showed the optimal enhancement in flexural properties at 0.1 and 0.25 wt%, respectively.
As shown in Figure 2, the tensile properties revealed a trend similar to the flexural properties. Compared to pure epoxy, the tensile strength and modulus of the NC2 nanocomposite increased by 19 and 5%, respectively. These remarkable increases may be because GNPs as physical crosslinking areas limit the movement of the epoxy chains under a load. Similarly, the increase in tensile strength and Young’s modulus of epoxy by 23 and 10% were reported at 0.25 and 0.5 wt% GNPs, respectively, as reported by Shokrieh et al. [30]. Beyond the addition of 0.3 wt% GNPs, the tensile properties deteriorated with increasing GNPs loading. The reason is the nonuniform dispersion and agglomeration of GNPs/PANI at higher contents inside the epoxy matrix, where the packing behaviour of graphene arises from the high aspect ratio and van der Waals forces of GNPs. These agglomerates act as stress concentrators with the weakest areas at the centre points, which reduces the properties of the nanocomposites as described by Pour et al. who reported the lower mechanical strengths when the GO levels were more than 0.5 wt% in epoxy [31].
The strain of epoxy/PANI and NC1, NC2, NC3, and NC4 nanocomposites showed a continuous and significant reduction in Figure 2. This result can be ascribed to the increased rigidity of the epoxy matrix. The inserted GNPs/PANI fillers in the epoxy acted as limitation points for the polymer chain movement, which made the nanocomposites more brittle [32]. Nevertheless, the impact strength in Figure 2 displays the maximum enhancement in the NC2 nanocomposite because the homogeneous dispersion was restricted up to a GNPs concentration of 0.3 wt%. However, at higher GNPs loadings in NC3 and NC4, the significantly decreased impact strength might be because of the fillers agglomeration, which can produce unexpected internal deficiencies such as cracks to result in weaknesses and smaller energy absorption in the epoxy nanocomposite. The toughness enhancement is believed to depend on the stress concentration factor that is related to the size of graphene; for instance, 0.1 wt% GO was optimally obtained in epoxy [33], and 1.5 wt% [34] and 3 wt% GNPs [35] were achieved in TPNR.
3.2 DSC analysis
In this work, DSC was performed to test the thermal properties including measuring the glass transition temperature (T g). T g denotes the temperature range in which the thermoset polymer changes from hard, rigid, or “glass”-like to more flexible, submersible, or “elastic”. Based on Figures 3 and 4, the T g of neat epoxy is located at 53.7°C, and the T g of epoxy/PANI is at 53.4°C. Moreover, the analysis showed that the T g shifted to higher values with the inclusion of GNPs/PANI in the epoxy matrix. The T g of the nanocomposites increased by 1.1 and 3.3°C when the GNP content was 0.1 and 0.3 wt%, respectively. Increasing the weight percentage of GNPs from 0.5 to 0.7 wt% showed that the T g decreased to 54.76 and 54.58°C, respectively, compared to nanocomposites containing 0.3 wt% GNPs. This trend occurs because the GNPs and PANI acted as physical interlocking points in the epoxy matrix, which limited the movement of epoxy chains. Moreover, the reduction in T g might be caused by the decrease in crosslinking density or the extent of curing in the epoxy matrix. The increasing content of GNPs can induce the formation of aggregates that create physical defects, which obstructs the crosslinking of the epoxy matrix with the hardener and decreases the crosslinking density. For instance, Lin et al. found that the addition of PSS-PANI/rGO up to 1 wt% decreased the crosslinking density of epoxy matrix because of the filler agglomeration [25]. The development of aggregates also provides free volume at the interface, which increases the mobility of the segments. The decline in T g of NC3 and NC4, as shown in Figures 3 and 4, could be caused by the restacking of GNPs sheets and PANI, which also form clusters in the matrix.

DSC thermograms of epoxy, epoxy/PANI, and epoxy/PANI/GNPs nanocomposites.

Glass transition temperature of epoxy, epoxy/PANI, and epoxy/PANI/GNPs nanocomposites.
3.3 Thermogravimetric analysis
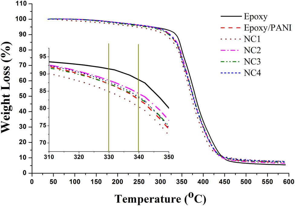
Figure 5 displays the TGA and DTG curves to study the thermal stability of epoxy, epoxy/PANI, and epoxy/PANI/GNPs nanocomposite samples. The TGA data for all studied samples are described in Table 2. All investigated samples show a comparable thermal behaviour to DSC. Figure 5 shows that all samples exhibited a one-step decomposition process. For pure epoxy, the early decomposition began at a T 10% of 336.9°C and initially ended (which was recorded at a weight loss of 90%) at 445.4°C. By adding PANI into epoxy, the decomposition process was accelerated, as presented in the inset image in Figure 5, and the curves shifted to the left side. Moreover, the decomposition temperatures were lower (T 10% = 316.2°C) for the epoxy/PANI composite than those of the pure epoxy (Table 2). This result can be correlated with the initial decomposition of PANI at 153–295°C [36], where the same range of temperature for the pure PANI has been reported by Saritha and Sunil [37]. When GNPs were incorporated into epoxy/PANI, the rate of decomposition changed with the GNP loading. At a lower GNP loading (0.1 wt%) in NC1, the curve shifted to the left, and T 10% decreased to 306.2°C; however, the 90% decomposition point occurred at 462.5°C possibly may be because the nanofiller loading was too low and insufficient to cause a good distribution of GNPs. Interestingly, the TGA curves shifted back to higher temperatures with higher loadings of GNPs. At 0.3–0.7 wt% GNPs, the decomposition process was delayed (compared to that of epoxy/PANI), where T 10% were recorded at 321.1, 318.6, and 321.8°C, respectively, although they were still lower than that of pure epoxy. Thus, a higher thermal resistance occurred, which is a consequence of the effective interaction between GNPs and the epoxy because of the good dispersion and distribution of GNPs. In addition, the improved thermal stability can be correlated with the creation of a carbonaceous char structure during thermal oxidation [38].

TGA thermograms of epoxy, epoxy/PANI, and epoxy/PANI/GNPs nanocomposites.
TGA data of epoxy, epoxy/PANI, and epoxy/PANI/GNPs nanocomposites
| Sample (ID) | T 10% (°C) | T 90% (°C) | Total decomposition mass (%) | Residual mass (%) |
|---|---|---|---|---|
| Epoxy | 336.9 | 445.4 | 94.75 | 5.42 |
| Epoxy/PANI | 316.2 | 449.0 | 92.87 | 7.29 |
| NC1 | 306.2 | 462.5 | 92.45 | 7.67 |
| NC2 | 321.1 | 446.3 | 93.77 | 6.43 |
| NC3 | 318.6 | 450.2 | 93.17 | 7.01 |
| NC4 | 321.8 | 453.5 | 92.56 | 7.60 |
Note: T 10% denotes the temperature where the decomposition showed 10% weight loss, and T 90% denotes the temperature where the decomposition shows 90% weight loss.
The residue contents left after the decomposition process at 450°C are displayed in Table 2. The least amount of residual mass was found in pure epoxy (5.42%). Remarkably, when the GNPs and PANI were incorporated, the increase in residue amounts was 6.43–7.76%. The increased content of residue is ascribed to the existence of the PANI/GNPs, which is retained even after the decomposition of epoxy, which is consistent with the results of Rahnamol and Gopalakrishnan (2020) who incorporated 3 wt% PANI/GO hybrid in epoxy resin [22]. Moreover, GNPs can alter the thermal degradation path at high temperatures and endorse the formation of char from epoxy, as described in the previous study on epoxy/graphene nanosheets [39].
3.4 Electrical conductivity
The electrical conductivity of epoxy/PANI nanocomposites with various loadings of GNPs is presented in Table 3. Neat epoxy exhibited an electrical conductivity of 7.83 × 10−8 S/m, which implies an insulating behaviour; this result is consistent with the literature [40]. For the epoxy/PANI composite, the conductivity improved to 6.05 × 10−7 S/m at a 3 wt% loading. By adding GNPs, the conductivity of the NC1 (0.1 wt% GNPs) nanocomposite increased to 7.39 × 10−5 S/m, and the NC2 (0.3 wt% GNPs) nanocomposites showed a slightly higher conductivity of 8.72 × 10−5 S/m. This could be related to the better GNPs dispersion and interaction linkage of GNPs with epoxy/PANI as observed in Figure 8(d). In this condition, an effective conductive path can be created via GNPs layers with the PANI components to link the gap between GNPs layers and form a suitable percolating network structure in the matrix, which enables the electrons to pass through direct “contacts” between the conductive fillers [41,42,43], as illustrated in Figure 6. However, at higher loadings of GNPs, the electrical conductivity has poor performance. The epoxy nanocomposites with 0.5 wt% GNPs (NC3) and 0.7 wt% GNPs (NC4) had electrical conductivities of 2.44 × 10−5 and 8.09 × 10−6 S/m, respectively. This is possibly because the decreased interaction of the GNPs and PANI, which is caused by their random agglomeration along with a small aspect ratio of unity, makes it difficult in forming conductive networks in the insulating epoxy matrix [44].
Electrical conductivity of epoxy, epoxy/PANI, and epoxy/PANI/GNPs nanocomposites
| Sample code | Electrical conductivity, σ (S/m) |
|---|---|
| Epoxy | 7.83 × 10−8 |
| Epoxy/PANI | 6.05 × 10−7 |
| NC1 | 7.39 × 10−5 |
| NC2 | 8.72 × 10−5 |
| NC3 | 2.44 × 10−5 |
| NC4 | 8.09 × 10−6 |

Schematic diagram of the conductive path inside the epoxy/PANI/GNPs (NC2) nanocomposites.
3.5 Thermal conductivity
The thermal conductivity of epoxy, epoxy/PANI, and NC samples is displayed in Figure 7. The thermal conductivity of all samples increased with increasing temperature from 30 to 120°C. Furthermore, the effect of temperature on the thermal conductivity was insignificant when the testing temperature exceeded 120°C. NC2 had higher thermal conductivity than neat epoxy and the other samples at all measured temperatures. For instance, the increased thermal conductivity of NC2 at 30, 60, 90, and 120°C records for approximately 30, 31.3, 35.3, and 39%, respectively, compared to the pure epoxy. This improvement in thermal conductivity might be because the intrinsic thermal conductivity of the GNPs and PANI is much higher than that of pure epoxy [44]. Another possible reason for the increase in thermal conductivity is the homogeneous dispersion of GNPs/PANI fillers in the epoxy matrix which led to the increased interfacial area and the reduced interfacial thermal resistance of epoxy and GNPs/PANI. Yu et al. [45,46] noted that the low interfacial thermal resistance contributed by GNPs is ascribed to the decreased geometric contribution of phonon scattering at the interfaces. Furthermore, the GNPs/PANI components act as a phonon transport bridge and enable for the complete heat transfer within the epoxy nanocomposite. As observed in Figure 7, the thermal conductivity began to decrease with NC3 and NC4 because of the presence of agglomerated clusters and voids as strong thermal barriers, which significantly decrease the thermal conductivity of the nanocomposites [47,48,49].

Thermal conductivity of epoxy, epoxy/PANI, and epoxy/PANI/GNPs nanocomposites.
3.6 Morphological analysis
To examine the dispersion of hybrid PANI/GNPs in the epoxy matrix, the impact fractured surfaces of pure epoxy, epoxy/PANI, and GNPs filled nanocomposites were analysed. As displayed in Figure 8a, the surface of pure epoxy is smooth with various river patterns because of the extremely brittle type of epoxy. However, Figure 8b shows a relatively rough fractured surface of the epoxy/3 wt% PANI samples with holes, which appear to have a beehive shape. As shown in Figure 8c and d, the GNPs/PANI fillers were uniformly dispersed in the epoxy matrix without showing much agglomeration in the NC1 and NC2 samples. Especially in NC2 nanocomposite, Figure 8d displays a less extreme variation in the microstructure where the smooth/rough phase and distribution of holes are approximately identical in the micrograph. At low magnification, the image of the NC2 nanocomposites in Figure 8d shows the embedment of platelets in the holes or gaps of matrix and this confirms the presence of appropriate interactions and the good compatibility among the GNPs, PANI, and epoxy matrix. In addition, no obvious clusters of filler can be found, and the interactions seem to provide a network-like structure. This observation supports the significant improvement in the properties of the nanocomposites than that of pure epoxy. In the case of NC3 and NC4, as indicated in Figure 8e and f, many agglomerations of GNPs/PANI on the epoxy matrix surface are obvious, and the layered structure of GNPs is clearly visible in the NC3 and NC4 nanocomposites, as indicated by the black arrows. The agglomerates normally delaminate through the fracture process because of the weak adhesion between the fillers and the matrix. These agglomerates have an adverse effect on improving the performance of nanocomposites.

FESEM micrographs of (a) epoxy, (b) epoxy/PANI, (c) NC1, (d) NC2, (e) NC3, and (f) NC4.
According to the FESEM micrographs in Figure 8, a schematic model of the epoxy, epoxy/PANI, and epoxy/PANI/GNPs nanocomposites is presented in Figure 9. As a control sample, the epoxy system that acts as the polymeric matrix is represented by a smooth and one-phase surface. With the inclusion of 3 wt% PANI into the epoxy matrix, the added PANI with a needle-like dimension [50] (as represented by the rectangular shape) is expected to distribute well in the composite. The small amount of GNPs corresponds to an insufficient GNPs–PANI interaction in NC1 where the smooth and rough surfaces were obviously visible in different spot as shown in Figure 8c. In comparison, the distribution and dispersion of the GNPs (flaky GNP is presented by a crooked line) and PANI in the NC2 nanocomposite (which is consistent with Figure 8d) system show good polymer–filler contact because of the π–π interactions and hydrophobic–hydrophobic interactions [49,51], which effectively reinforces impact in the system, as previously highlighted. When the GNPs content is higher, such as in the NC3 and NC4 systems, the GNPs and PANI components experience intracellular localization, which promotes the formation of agglomerates in more clusters. For example, an inhomogeneous dispersion of GNPs is produced because of the increasing amount of GNPs in the system and increasing size of the PANI cluster.

Schematic diagram of epoxy, epoxy/PANI, and epoxy/GNPs/PANI nanocomposites.
4 Conclusions
Epoxy composites filled with both PANI and GNPs were successfully prepared at different GNP loading levels and systematically investigated. The bending strength, bending modulus, tensile strength, and tensile modulus of the NC2 nanocomposites containing 0.3 wt% GNPs were improved by 14, 25, 19, and 8%, respectively, in comparison to those of neat epoxy. Moreover, with the incorporation of fillers in NC2, the T g of the composites was improved by 3.3°C. The presence of GNPs changed the thermal degradation path of epoxy and endorsed the formation of char, where the char residues from the epoxy nanocomposite increased with the GNPs content. The analysis of the complex impedance method revealed that the electrical conductivity was significantly enhanced from 7.83 × 10−8 to 8.72 × 10−5 S/m for NC2, which was significantly higher than those with higher GNPs contents (NC3 and NC4). Furthermore, the GNPs/PANI fillers increased the thermal conductivity of the nanocomposites by 30–39% at a low filler loading of only 0.3 wt% GNPs in the epoxy systems. In summary, the incorporation of PANI/GNPs in the epoxy composite enhanced the mechanical and conductivity properties of the composite. This finding will provide a source for the structural applications of conductive composites.
Acknowledgments
The authors would like to express their gratitude to the Malaysian Government and Universiti Kebangsaan Malaysia (UKM) for the financial supports under the research grants of FRGS/1/2019/TK05/UKM/02/3, UKM-OUP-NBT-29-142/2011, and UKM-OUP-2012-135.
-
Conflict of interest: The authors declare no conflict of interest regarding the publication of this paper.
References
[1] Qi B, Lu S, Xiao X, Pan L, Tan F, Yu J. Enhanced thermal and mechanical properties of epoxy composites by mixing thermotropic liquid crystalline epoxy grafted graphene oxide. Express Polym Lett. 2014;8(7):467–79.10.3144/expresspolymlett.2014.51Search in Google Scholar
[2] Wei J, Vo T, Inam F. Epoxy/graphene nanocomposites – processing and properties: a review. RSC Adv. 2015;5(90):73510–24.10.1039/C5RA13897CSearch in Google Scholar
[3] Gu H, Ma C, Gu J, Guo J, Yan X, Huang J, et al. An overview of multifunctional epoxy nanocomposites. J Mater Chem C. 2016;4(25):5890–906.10.1039/C6TC01210HSearch in Google Scholar
[4] Roy S, Petrova RS, Mitra S. Effect of carbon nanotube (CNT) functionalization in epoxy-CNT composites. Nanotechnol Rev. 2018;7(6):475–85.10.1515/ntrev-2018-0068Search in Google Scholar PubMed PubMed Central
[5] Chen RS, Amran NAM, Ahmad S. Reinforcement effect of nanocomposites with single/hybrid graphene nanoplatelets and magnesium hydroxide. J Therm Anal Calorim. 2019;137(1):79–92.10.1007/s10973-018-7935-ySearch in Google Scholar
[6] Konakov V, Kurapova OY, Solovyeva E, Lomakin I, Archakov IY. Synthesis, structure and mechanical properties of bulk “copper-graphene” composites. Rev Adv Mater Sci. 2018;57(2):151–7.10.1515/rams-2018-0059Search in Google Scholar
[7] Wu Y, Tang B, Liu K, Zeng X, Lu J, Zhang T, et al. Enhanced flexural properties of aramid fiber/epoxy composites by graphene oxide. Nanotechnol Rev. 2019;8(1):484–92.10.1515/ntrev-2019-0043Search in Google Scholar
[8] Ghouri ZK, Motlak M, Afaq S, Barakat NAM, Abdala A. Template-free synthesis of Se-nanorods-rGO nanocomposite for application in supercapacitors. Nanotechnol Rev. 2019;8(1):661–70.10.1515/ntrev-2019-0057Search in Google Scholar
[9] Glukharev AG, Konakov VG. Synthesis and properties of zirconia–graphene composite ceramics: a brief review. Rev Adv Mater Sci. 2018;56(1):124–38.10.1515/rams-2018-0041Search in Google Scholar
[10] Ahmed AK, Atiqullah M, Al-Harthi MA, Abdelaal AF, Pradhan DR. Non-isothermal crystallization of Ziegler Natta i-PP-graphene nanocomposite: DSC and new model prediction. Can J Chem Eng. 2020;98(6):1398–410.10.1002/cjce.23718Search in Google Scholar
[11] Liang J, Du Q. Melt flow and flexural properties of polypropylene composites reinforced with graphene nano-platelets. Int Polym Proc. 2018;33(1):35–41.10.3139/217.3335Search in Google Scholar
[12] Hashim UR, Jumahat A. Improved tensile and fracture toughness properties of graphene nanoplatelets filled epoxy polymer via solvent compounding shear milling method. Mater Res Express. 2018;6(2):025303.10.1088/2053-1591/aaeaf0Search in Google Scholar
[13] Atif R, Shyha I, Inam F. The degradation of mechanical properties due to stress concentration caused by retained acetone in epoxy nanocomposites. RSC Adv. 2016;6(41):34188–97.10.1039/C6RA00739BSearch in Google Scholar
[14] Prolongo SG, Jimenez-Suarez A, Moriche R, Urena A. Graphene nanoplatelets thickness and lateral size influence on the morphology and behavior of epoxy composites. Eur Polym J. 2014;53:292–301.10.1016/j.eurpolymj.2014.01.019Search in Google Scholar
[15] Imran KA, Shivakumar KN. Enhancement of electrical conductivity of epoxy using graphene and determination of their thermo-mechanical properties. J Reinf Plast Compos. 2018;37(2):118–33.10.1177/0731684417736143Search in Google Scholar
[16] Borsoi C, Zattera A, Ferreira C. Effect of cellulose nanowhiskers functionalization with polyaniline for epoxy coatings. Appl Surf Sci. 2016;364:124–32.10.1016/j.apsusc.2015.12.140Search in Google Scholar
[17] Gao XZ, Liu HJ, Cheng F, Chen Y. Thermoresponsive polyaniline nanoparticles: preparation, characterization, and their potential application in waterborne anticorrosion coatings. Chem Eng J. 2016;283:682–91.10.1016/j.cej.2015.08.015Search in Google Scholar
[18] Bhadra J, Alkareem A, Al-Thani N. A review of advances in the preparation and application of polyaniline based thermoset blends and composites. J Polym Res. 2020;27(5):122–42.10.1007/s10965-020-02052-1Search in Google Scholar
[19] Perrin F, Oueiny C. Polyaniline thermoset blends and composites. React Funct Polym. 2017;114:86–103.10.1016/j.reactfunctpolym.2017.03.009Search in Google Scholar
[20] Sakhri A, Perrin F, Aragon E, Lamouric S, Benaboura A. Chlorinated rubber paints for corrosion prevention of mild steel: a comparison between zinc phosphate and polyaniline pigments. Corros Sci. 2010;52(3):901–9.10.1016/j.corsci.2009.11.010Search in Google Scholar
[21] Sathiyanarayanan S, Muthukrishnan S, Venkatachari G. Effects of polyaniline content in chlorrub-based coatings on corrosion protection of steel. J Appl Polym Sci. 2006;102(4):3994–9.10.1002/app.24803Search in Google Scholar
[22] Rahnamol A, Gopalakrishnan J. Improved dielectric and dynamic mechanical properties of epoxy/polyaniline nanorod/in situ reduced graphene oxide hybrid nanocomposites. Polym Compos. 2020;41(8):1–16.10.1002/pc.25592Search in Google Scholar
[23] Imani A, Arabi M, Farzi G. Effect of in-situ oxidative preparation on electrical properties of Epoxy/PANi/MWCNTs nanocomposites. J Mater Sci Mater Electron. 2016;27(10):10364–70.10.1007/s10854-016-5122-0Search in Google Scholar
[24] Wang T, Yuan L, Liang G, Gu A. Polyaniline coated carbon nanotube/graphene “sandwich” hybrid and its high-k epoxy composites with low dielectric loss and percolation threshold. Appl Surf Sci. 2015;359:754–65.10.1016/j.apsusc.2015.10.115Search in Google Scholar
[25] Lin YT, Don TM, Wong CJ, Meng FC, Lin YJ, Lee SY, et al. Improvement of mechanical properties and anticorrosion performance of epoxy coatings by the introduction of polyaniline/graphene composite. Surf Coat Technol. 2019;374:1128–38.10.1016/j.surfcoat.2018.01.050Search in Google Scholar
[26] Harito C, Bavykin DV, Yuliarto B, Dipojono HK, Walsh FC. Polymer nanocomposites having a high filler content: synthesis, structures, properties, and applications. Nanoscale. 2019;11(11):4653–82.10.1039/C9NR00117DSearch in Google Scholar PubMed
[27] Khandelwal V, Sahoo SK, Manik G, Biswas K. Carbon nanotubes and polyaniline filled hybrid epoxy composites: assessing the viscoelastic behavior and mechanical properties. Polym Compos. 2019;40(S2):E1143–50.10.1002/pc.24903Search in Google Scholar
[28] Chhetri S, Adak NC, Samanta P, Mallisetty PK, Murmu NC, Kuila T. Interface engineering for the improvement of mechanical and thermal properties of covalent functionalized graphene/epoxy composites. J Appl Polym Sci. 2018;135(15):46124.10.1002/app.46124Search in Google Scholar
[29] Shen MY, Chang TY, Hsieh TH, Li YL, Chiang CL, Yang H, et al. Mechanical properties and tensile fatigue of graphene nanoplatelets reinforced polymer nanocomposites. J Nanomater. 2013;2013:565401.10.1155/2013/565401Search in Google Scholar
[30] Shokrieh M, Ghoreishi S, Esmkhani M, Zhao Z. Effects of graphene nanoplatelets and graphene nanosheets on fracture toughness of epoxy nanocomposites. Fatigue Fract Eng Mater Struct. 2014;37(10):1116–23.10.1111/ffe.12191Search in Google Scholar
[31] Pour ZS, Ghaemy M. Polymer grafted graphene oxide: for improved dispersion in epoxy resin and enhancement of mechanical properties of nanocomposite. Compos Sci Technol. 2016;136:145–57.10.1016/j.compscitech.2016.10.014Search in Google Scholar
[32] Aradhana R, Mohanty S, Nayak SK. Synergistic effect of polypyrrole and reduced graphene oxide on mechanical, electrical and thermal properties of epoxy adhesives. Polymer. 2019;166:215–28.10.1016/j.polymer.2019.02.006Search in Google Scholar
[33] Wang X, Jin J, Song M. An investigation of the mechanism of graphene toughening epoxy. Carbon. 2013;65:324–33.10.1016/j.carbon.2013.08.032Search in Google Scholar
[34] Chen RS, Ruf MFHM, Shahdan D, Ahmad S. Enhanced mechanical and thermal properties of electrically conductive TPNR/GNP nanocomposites assisted with ultrasonication. PLoS One. 2019;14(9):e0222662.10.1371/journal.pone.0222662Search in Google Scholar PubMed PubMed Central
[35] Yu LJ, Tarawni MA, Ahmad SH, Al-Banawi O, Batiha MA. High performance thermoplastic elastomer (TPE) nanocomposite based on graphene nanoplates (GNPs). World J Eng. 2015;12:437–42.10.1260/1708-5284.12.5.437Search in Google Scholar
[36] Eriev O, Nabiev A, Karimova D, Niezov L, Mukhsinova M. Dehydrochlorination of interpolymer complexes and composites of polyanilines with poly acids. Int Polym Sci Technol. 2011;38(6):27–8.10.1177/0307174X1103800606Search in Google Scholar
[37] Saritha CA, Sunil KN. Polyaniline-coated short nylon fiber/natural rubber conducting composite. Polym Plast Technol Eng. 2011;50(5):443–52.10.1080/03602559.2010.543225Search in Google Scholar
[38] Siročić AP, Rešček A, Ščetar M, Krehula LK, Hrnjak-Murgić Z. Development of low density polyethylene nanocomposites films for packaging. Polym Bull. 2014;71(3):705–17.10.1007/s00289-013-1087-9Search in Google Scholar
[39] Liu S, Yan H, Fang Z, Wang H. Effect of graphene nanosheets on morphology, thermal stability and flame retardancy of epoxy resin. Compos Sci Technol. 2014;90:40–7.10.1016/j.compscitech.2013.10.012Search in Google Scholar
[40] Gojny FH, Wichmann MH, Fiedler B, Bauhofer W, Schulte K. Influence of nano-modification on the mechanical and electrical properties of conventional fibre-reinforced composites. Compos Part A Appl S. 2005;36(11):1525–35.10.1016/j.compositesa.2005.02.007Search in Google Scholar
[41] Al-Saleh MH. Electrical and mechanical properties of graphene/carbon nanotube hybrid nanocomposites. Synth Met. 2015;209:41–6.10.1016/j.synthmet.2015.06.023Search in Google Scholar
[42] Rezvani Moghaddam A, Kamkar M, Ranjbar Z, Sundararaj U, Jannesari A, Ranjbar B. Tuning the network structure of graphene/epoxy nanocomposites by controlling edge/basal localization of functional groups. Ind Eng Chem Res. 2019;58(47):21431–40.10.1021/acs.iecr.9b03607Search in Google Scholar
[43] Taherian R. Experimental and analytical model for the electrical conductivity of polymer-based nanocomposites. Compos Sci Technol. 2016;123:17–31.10.1016/j.compscitech.2015.11.029Search in Google Scholar
[44] He L, Wang H, Zhu H, Gu Y, Li X, Mao X. Thermal properties of PEG/graphene nanoplatelets (GNPs) composite phase change materials with enhanced thermal conductivity and photo-thermal performance. Appl Sci. 2018;8(12):2613.10.3390/app8122613Search in Google Scholar
[45] Yu A, Ramesh P, Itkis ME, Bekyarova E, Haddon RC. Graphite nanoplatelet-epoxy composite thermal interface materials. J Phys Chem C. 2007;111(21):7565–9.10.1021/jp071761sSearch in Google Scholar
[46] Yu ZT, Fang X, Fan LW, Wang X, Xiao YQ, Zeng Y, et al. Increased thermal conductivity of liquid paraffin-based suspensions in the presence of carbon nano-additives of various sizes and shapes. Carbon. 2013;53:277–85.10.1016/j.carbon.2012.10.059Search in Google Scholar
[47] Shahdan D, Chen RS, Ahmad S. Mechanical and thermal properties of toughened polylactic acid/liquid natural rubber/polyaniline nanocomposites reinforced graphene at low loading. Sains Malays. 2020;49(9):2101–11.10.17576/jsm-2020-4909-08Search in Google Scholar
[48] Tarawneh MaA, Saraireh SA, Chen RS, Ahmad SH, Al-Tarawni MAM, Al-Tweissi M, et al. Mechanical, thermal, and conductivity performances of novel thermoplastic natural rubber/graphene nanoplates/polyaniline composites. J Appl Polym Sci. 2020;137(28):48873.10.1002/app.48873Search in Google Scholar
[49] Yang X, Liang C, Ma T, Guo Y, Kong J, Gu J, et al. A review on thermally conductive polymeric composites: classification, measurement, model and equations, mechanism and fabrication methods. Adv Compos Hybrid Mater. 2018;1(2):207–30.10.1007/s42114-018-0031-8Search in Google Scholar
[50] Shahdan D, Chen RS, Ahmad S, Zailan FD, Mat Ali A. Assessment of mechanical performance, thermal stability and water resistance of novel conductive poly(lactic acid)/modified natural rubber blends with low loading of polyaniline. Polym Int. 2018;67(8):1070–80.10.1002/pi.5613Search in Google Scholar
[51] Hu K, Kulkarni DD, Choi I, Tsukruk VV. Graphene-polymer nanocomposites for structural and functional applications. Prog Polym Sci. 2014;39(11):1934–72.10.1016/j.progpolymsci.2014.03.001Search in Google Scholar
© 2020 Mou’ad A. Tarawneh et al., published by De Gruyter
This work is licensed under the Creative Commons Attribution 4.0 International License.
Articles in the same Issue
- Research Articles
- Generalized locally-exact homogenization theory for evaluation of electric conductivity and resistance of multiphase materials
- Enhancing ultra-early strength of sulphoaluminate cement-based materials by incorporating graphene oxide
- Characterization of mechanical properties of epoxy/nanohybrid composites by nanoindentation
- Graphene and CNT impact on heat transfer response of nanocomposite cylinders
- A facile and simple approach to synthesis and characterization of methacrylated graphene oxide nanostructured polyaniline nanocomposites
- Ultrasmall Fe3O4 nanoparticles induce S-phase arrest and inhibit cancer cells proliferation
- Effect of aging on properties and nanoscale precipitates of Cu-Ag-Cr alloy
- Effect of nano-strengthening on the properties and microstructure of recycled concrete
- Stabilizing effect of methylcellulose on the dispersion of multi-walled carbon nanotubes in cementitious composites
- Preparation and electromagnetic properties characterization of reduced graphene oxide/strontium hexaferrite nanocomposites
- Interfacial characteristics of a carbon nanotube-polyimide nanocomposite by molecular dynamics simulation
- Preparation and properties of 3D interconnected CNTs/Cu composites
- On factors affecting surface free energy of carbon black for reinforcing rubber
- Nano-silica modified phenolic resin film: manufacturing and properties
- Experimental study on photocatalytic degradation efficiency of mixed crystal nano-TiO2 concrete
- Halloysite nanotubes in polymer science: purification, characterization, modification and applications
- Cellulose hydrogel skeleton by extrusion 3D printing of solution
- Crack closure and flexural tensile capacity with SMA fibers randomly embedded on tensile side of mortar beams
- An experimental study on one-step and two-step foaming of natural rubber/silica nanocomposites
- Utilization of red mud for producing a high strength binder by composition optimization and nano strengthening
- One-pot synthesis of nano titanium dioxide in supercritical water
- Printability of photo-sensitive nanocomposites using two-photon polymerization
- In situ synthesis of expanded graphite embedded with amorphous carbon-coated aluminum particles as anode materials for lithium-ion batteries
- Effect of nano and micro conductive materials on conductive properties of carbon fiber reinforced concrete
- Tribological performance of nano-diamond composites-dispersed lubricants on commercial cylinder liner mating with CrN piston ring
- Supramolecular ionic polymer/carbon nanotube composite hydrogels with enhanced electromechanical performance
- Genetic mechanisms of deep-water massive sandstones in continental lake basins and their significance in micro–nano reservoir storage systems: A case study of the Yanchang formation in the Ordos Basin
- Effects of nanoparticles on engineering performance of cementitious composites reinforced with PVA fibers
- Band gap manipulation of viscoelastic functionally graded phononic crystal
- Pyrolysis kinetics and mechanical properties of poly(lactic acid)/bamboo particle biocomposites: Effect of particle size distribution
- Manipulating conductive network formation via 3D T-ZnO: A facile approach for a CNT-reinforced nanocomposite
- Microstructure and mechanical properties of WC–Ni multiphase ceramic materials with NiCl2·6H2O as a binder
- Effect of ball milling process on the photocatalytic performance of CdS/TiO2 composite
- Berberine/Ag nanoparticle embedded biomimetic calcium phosphate scaffolds for enhancing antibacterial function
- Effect of annealing heat treatment on microstructure and mechanical properties of nonequiatomic CoCrFeNiMo medium-entropy alloys prepared by hot isostatic pressing
- Corrosion behaviour of multilayer CrN coatings deposited by hybrid HIPIMS after oxidation treatment
- Surface hydrophobicity and oleophilicity of hierarchical metal structures fabricated using ink-based selective laser melting of micro/nanoparticles
- Research on bond–slip performance between pultruded glass fiber-reinforced polymer tube and nano-CaCO3 concrete
- Antibacterial polymer nanofiber-coated and high elastin protein-expressing BMSCs incorporated polypropylene mesh for accelerating healing of female pelvic floor dysfunction
- Effects of Ag contents on the microstructure and SERS performance of self-grown Ag nanoparticles/Mo–Ag alloy films
- A highly sensitive biosensor based on methacrylated graphene oxide-grafted polyaniline for ascorbic acid determination
- Arrangement structure of carbon nanofiber with excellent spectral radiation characteristics
- Effect of different particle sizes of nano-SiO2 on the properties and microstructure of cement paste
- Superior Fe x N electrocatalyst derived from 1,1′-diacetylferrocene for oxygen reduction reaction in alkaline and acidic media
- Facile growth of aluminum oxide thin film by chemical liquid deposition and its application in devices
- Liquid crystallinity and thermal properties of polyhedral oligomeric silsesquioxane/side-chain azobenzene hybrid copolymer
- Laboratory experiment on the nano-TiO2 photocatalytic degradation effect of road surface oil pollution
- Binary carbon-based additives in LiFePO4 cathode with favorable lithium storage
- Conversion of sub-µm calcium carbonate (calcite) particles to hollow hydroxyapatite agglomerates in K2HPO4 solutions
- Exact solutions of bending deflection for single-walled BNNTs based on the classical Euler–Bernoulli beam theory
- Effects of substrate properties and sputtering methods on self-formation of Ag particles on the Ag–Mo(Zr) alloy films
- Enhancing carbonation and chloride resistance of autoclaved concrete by incorporating nano-CaCO3
- Effect of SiO2 aerogels loading on photocatalytic degradation of nitrobenzene using composites with tetrapod-like ZnO
- Radiation-modified wool for adsorption of redox metals and potentially for nanoparticles
- Hydration activity, crystal structural, and electronic properties studies of Ba-doped dicalcium silicate
- Microstructure and mechanical properties of brazing joint of silver-based composite filler metal
- Polymer nanocomposite sunlight spectrum down-converters made by open-air PLD
- Cryogenic milling and formation of nanostructured machined surface of AISI 4340
- Braided composite stent for peripheral vascular applications
- Effect of cinnamon essential oil on morphological, flammability and thermal properties of nanocellulose fibre–reinforced starch biopolymer composites
- Study on influencing factors of photocatalytic performance of CdS/TiO2 nanocomposite concrete
- Improving flexural and dielectric properties of carbon fiber epoxy composite laminates reinforced with carbon nanotubes interlayer using electrospray deposition
- Scalable fabrication of carbon materials based silicon rubber for highly stretchable e-textile sensor
- Degradation modeling of poly-l-lactide acid (PLLA) bioresorbable vascular scaffold within a coronary artery
- Combining Zn0.76Co0.24S with S-doped graphene as high-performance anode materials for lithium- and sodium-ion batteries
- Synthesis of functionalized carbon nanotubes for fluorescent biosensors
- Effect of nano-silica slurry on engineering, X-ray, and γ-ray attenuation characteristics of steel slag high-strength heavyweight concrete
- Incorporation of redox-active polyimide binder into LiFePO4 cathode for high-rate electrochemical energy storage
- Microstructural evolution and properties of Cu–20 wt% Ag alloy wire by multi-pass continuous drawing
- Transparent ultraviolet-shielding composite films made from dispersing pristine zinc oxide nanoparticles in low-density polyethylene
- Microfluidic-assisted synthesis and modelling of monodispersed magnetic nanocomposites for biomedical applications
- Preparation and piezoresistivity of carbon nanotube-coated sand reinforced cement mortar
- Vibrational analysis of an irregular single-walled carbon nanotube incorporating initial stress effects
- Study of the material engineering properties of high-density poly(ethylene)/perlite nanocomposite materials
- Single pulse laser removal of indium tin oxide film on glass and polyethylene terephthalate by nanosecond and femtosecond laser
- Mechanical reinforcement with enhanced electrical and heat conduction of epoxy resin by polyaniline and graphene nanoplatelets
- High-efficiency method for recycling lithium from spent LiFePO4 cathode
- Degradable tough chitosan dressing for skin wound recovery
- Static and dynamic analyses of auxetic hybrid FRC/CNTRC laminated plates
- Review articles
- Carbon nanomaterials enhanced cement-based composites: advances and challenges
- Review on the research progress of cement-based and geopolymer materials modified by graphene and graphene oxide
- Review on modeling and application of chemical mechanical polishing
- Research on the interface properties and strengthening–toughening mechanism of nanocarbon-toughened ceramic matrix composites
- Advances in modelling and analysis of nano structures: a review
- Mechanical properties of nanomaterials: A review
- New generation of oxide-based nanoparticles for the applications in early cancer detection and diagnostics
- A review on the properties, reinforcing effects, and commercialization of nanomaterials for cement-based materials
- Recent development and applications of nanomaterials for cancer immunotherapy
- Advances in biomaterials for adipose tissue reconstruction in plastic surgery
- Advances of graphene- and graphene oxide-modified cementitious materials
- Theories for triboelectric nanogenerators: A comprehensive review
- Nanotechnology of diamondoids for the fabrication of nanostructured systems
- Material advancement in technological development for the 5G wireless communications
- Nanoengineering in biomedicine: Current development and future perspectives
- Recent advances in ocean wave energy harvesting by triboelectric nanogenerator: An overview
- Application of nanoscale zero-valent iron in hexavalent chromium-contaminated soil: A review
- Carbon nanotube–reinforced polymer composite for electromagnetic interference application: A review
- Functionalized layered double hydroxide applied to heavy metal ions absorption: A review
- A new classification method of nanotechnology for design integration in biomaterials
- Finite element analysis of natural fibers composites: A review
- Phase change materials for building construction: An overview of nano-/micro-encapsulation
- Recent advance in surface modification for regulating cell adhesion and behaviors
- Hyaluronic acid as a bioactive component for bone tissue regeneration: Fabrication, modification, properties, and biological functions
- Theoretical calculation of a TiO2-based photocatalyst in the field of water splitting: A review
- Two-photon polymerization nanolithography technology for fabrication of stimulus-responsive micro/nano-structures for biomedical applications
- A review of passive methods in microchannel heat sink application through advanced geometric structure and nanofluids: Current advancements and challenges
- Stress effect on 3D culturing of MC3T3-E1 cells on microporous bovine bone slices
- Progress in magnetic Fe3O4 nanomaterials in magnetic resonance imaging
- Synthesis of graphene: Potential carbon precursors and approaches
- A comprehensive review of the influences of nanoparticles as a fuel additive in an internal combustion engine (ICE)
- Advances in layered double hydroxide-based ternary nanocomposites for photocatalysis of contaminants in water
- Analysis of functionally graded carbon nanotube-reinforced composite structures: A review
- Application of nanomaterials in ultra-high performance concrete: A review
- Therapeutic strategies and potential implications of silver nanoparticles in the management of skin cancer
- Advanced nickel nanoparticles technology: From synthesis to applications
- Cobalt magnetic nanoparticles as theranostics: Conceivable or forgettable?
- Progress in construction of bio-inspired physico-antimicrobial surfaces
- From materials to devices using fused deposition modeling: A state-of-art review
- A review for modified Li composite anode: Principle, preparation and challenge
- Naturally or artificially constructed nanocellulose architectures for epoxy composites: A review
Articles in the same Issue
- Research Articles
- Generalized locally-exact homogenization theory for evaluation of electric conductivity and resistance of multiphase materials
- Enhancing ultra-early strength of sulphoaluminate cement-based materials by incorporating graphene oxide
- Characterization of mechanical properties of epoxy/nanohybrid composites by nanoindentation
- Graphene and CNT impact on heat transfer response of nanocomposite cylinders
- A facile and simple approach to synthesis and characterization of methacrylated graphene oxide nanostructured polyaniline nanocomposites
- Ultrasmall Fe3O4 nanoparticles induce S-phase arrest and inhibit cancer cells proliferation
- Effect of aging on properties and nanoscale precipitates of Cu-Ag-Cr alloy
- Effect of nano-strengthening on the properties and microstructure of recycled concrete
- Stabilizing effect of methylcellulose on the dispersion of multi-walled carbon nanotubes in cementitious composites
- Preparation and electromagnetic properties characterization of reduced graphene oxide/strontium hexaferrite nanocomposites
- Interfacial characteristics of a carbon nanotube-polyimide nanocomposite by molecular dynamics simulation
- Preparation and properties of 3D interconnected CNTs/Cu composites
- On factors affecting surface free energy of carbon black for reinforcing rubber
- Nano-silica modified phenolic resin film: manufacturing and properties
- Experimental study on photocatalytic degradation efficiency of mixed crystal nano-TiO2 concrete
- Halloysite nanotubes in polymer science: purification, characterization, modification and applications
- Cellulose hydrogel skeleton by extrusion 3D printing of solution
- Crack closure and flexural tensile capacity with SMA fibers randomly embedded on tensile side of mortar beams
- An experimental study on one-step and two-step foaming of natural rubber/silica nanocomposites
- Utilization of red mud for producing a high strength binder by composition optimization and nano strengthening
- One-pot synthesis of nano titanium dioxide in supercritical water
- Printability of photo-sensitive nanocomposites using two-photon polymerization
- In situ synthesis of expanded graphite embedded with amorphous carbon-coated aluminum particles as anode materials for lithium-ion batteries
- Effect of nano and micro conductive materials on conductive properties of carbon fiber reinforced concrete
- Tribological performance of nano-diamond composites-dispersed lubricants on commercial cylinder liner mating with CrN piston ring
- Supramolecular ionic polymer/carbon nanotube composite hydrogels with enhanced electromechanical performance
- Genetic mechanisms of deep-water massive sandstones in continental lake basins and their significance in micro–nano reservoir storage systems: A case study of the Yanchang formation in the Ordos Basin
- Effects of nanoparticles on engineering performance of cementitious composites reinforced with PVA fibers
- Band gap manipulation of viscoelastic functionally graded phononic crystal
- Pyrolysis kinetics and mechanical properties of poly(lactic acid)/bamboo particle biocomposites: Effect of particle size distribution
- Manipulating conductive network formation via 3D T-ZnO: A facile approach for a CNT-reinforced nanocomposite
- Microstructure and mechanical properties of WC–Ni multiphase ceramic materials with NiCl2·6H2O as a binder
- Effect of ball milling process on the photocatalytic performance of CdS/TiO2 composite
- Berberine/Ag nanoparticle embedded biomimetic calcium phosphate scaffolds for enhancing antibacterial function
- Effect of annealing heat treatment on microstructure and mechanical properties of nonequiatomic CoCrFeNiMo medium-entropy alloys prepared by hot isostatic pressing
- Corrosion behaviour of multilayer CrN coatings deposited by hybrid HIPIMS after oxidation treatment
- Surface hydrophobicity and oleophilicity of hierarchical metal structures fabricated using ink-based selective laser melting of micro/nanoparticles
- Research on bond–slip performance between pultruded glass fiber-reinforced polymer tube and nano-CaCO3 concrete
- Antibacterial polymer nanofiber-coated and high elastin protein-expressing BMSCs incorporated polypropylene mesh for accelerating healing of female pelvic floor dysfunction
- Effects of Ag contents on the microstructure and SERS performance of self-grown Ag nanoparticles/Mo–Ag alloy films
- A highly sensitive biosensor based on methacrylated graphene oxide-grafted polyaniline for ascorbic acid determination
- Arrangement structure of carbon nanofiber with excellent spectral radiation characteristics
- Effect of different particle sizes of nano-SiO2 on the properties and microstructure of cement paste
- Superior Fe x N electrocatalyst derived from 1,1′-diacetylferrocene for oxygen reduction reaction in alkaline and acidic media
- Facile growth of aluminum oxide thin film by chemical liquid deposition and its application in devices
- Liquid crystallinity and thermal properties of polyhedral oligomeric silsesquioxane/side-chain azobenzene hybrid copolymer
- Laboratory experiment on the nano-TiO2 photocatalytic degradation effect of road surface oil pollution
- Binary carbon-based additives in LiFePO4 cathode with favorable lithium storage
- Conversion of sub-µm calcium carbonate (calcite) particles to hollow hydroxyapatite agglomerates in K2HPO4 solutions
- Exact solutions of bending deflection for single-walled BNNTs based on the classical Euler–Bernoulli beam theory
- Effects of substrate properties and sputtering methods on self-formation of Ag particles on the Ag–Mo(Zr) alloy films
- Enhancing carbonation and chloride resistance of autoclaved concrete by incorporating nano-CaCO3
- Effect of SiO2 aerogels loading on photocatalytic degradation of nitrobenzene using composites with tetrapod-like ZnO
- Radiation-modified wool for adsorption of redox metals and potentially for nanoparticles
- Hydration activity, crystal structural, and electronic properties studies of Ba-doped dicalcium silicate
- Microstructure and mechanical properties of brazing joint of silver-based composite filler metal
- Polymer nanocomposite sunlight spectrum down-converters made by open-air PLD
- Cryogenic milling and formation of nanostructured machined surface of AISI 4340
- Braided composite stent for peripheral vascular applications
- Effect of cinnamon essential oil on morphological, flammability and thermal properties of nanocellulose fibre–reinforced starch biopolymer composites
- Study on influencing factors of photocatalytic performance of CdS/TiO2 nanocomposite concrete
- Improving flexural and dielectric properties of carbon fiber epoxy composite laminates reinforced with carbon nanotubes interlayer using electrospray deposition
- Scalable fabrication of carbon materials based silicon rubber for highly stretchable e-textile sensor
- Degradation modeling of poly-l-lactide acid (PLLA) bioresorbable vascular scaffold within a coronary artery
- Combining Zn0.76Co0.24S with S-doped graphene as high-performance anode materials for lithium- and sodium-ion batteries
- Synthesis of functionalized carbon nanotubes for fluorescent biosensors
- Effect of nano-silica slurry on engineering, X-ray, and γ-ray attenuation characteristics of steel slag high-strength heavyweight concrete
- Incorporation of redox-active polyimide binder into LiFePO4 cathode for high-rate electrochemical energy storage
- Microstructural evolution and properties of Cu–20 wt% Ag alloy wire by multi-pass continuous drawing
- Transparent ultraviolet-shielding composite films made from dispersing pristine zinc oxide nanoparticles in low-density polyethylene
- Microfluidic-assisted synthesis and modelling of monodispersed magnetic nanocomposites for biomedical applications
- Preparation and piezoresistivity of carbon nanotube-coated sand reinforced cement mortar
- Vibrational analysis of an irregular single-walled carbon nanotube incorporating initial stress effects
- Study of the material engineering properties of high-density poly(ethylene)/perlite nanocomposite materials
- Single pulse laser removal of indium tin oxide film on glass and polyethylene terephthalate by nanosecond and femtosecond laser
- Mechanical reinforcement with enhanced electrical and heat conduction of epoxy resin by polyaniline and graphene nanoplatelets
- High-efficiency method for recycling lithium from spent LiFePO4 cathode
- Degradable tough chitosan dressing for skin wound recovery
- Static and dynamic analyses of auxetic hybrid FRC/CNTRC laminated plates
- Review articles
- Carbon nanomaterials enhanced cement-based composites: advances and challenges
- Review on the research progress of cement-based and geopolymer materials modified by graphene and graphene oxide
- Review on modeling and application of chemical mechanical polishing
- Research on the interface properties and strengthening–toughening mechanism of nanocarbon-toughened ceramic matrix composites
- Advances in modelling and analysis of nano structures: a review
- Mechanical properties of nanomaterials: A review
- New generation of oxide-based nanoparticles for the applications in early cancer detection and diagnostics
- A review on the properties, reinforcing effects, and commercialization of nanomaterials for cement-based materials
- Recent development and applications of nanomaterials for cancer immunotherapy
- Advances in biomaterials for adipose tissue reconstruction in plastic surgery
- Advances of graphene- and graphene oxide-modified cementitious materials
- Theories for triboelectric nanogenerators: A comprehensive review
- Nanotechnology of diamondoids for the fabrication of nanostructured systems
- Material advancement in technological development for the 5G wireless communications
- Nanoengineering in biomedicine: Current development and future perspectives
- Recent advances in ocean wave energy harvesting by triboelectric nanogenerator: An overview
- Application of nanoscale zero-valent iron in hexavalent chromium-contaminated soil: A review
- Carbon nanotube–reinforced polymer composite for electromagnetic interference application: A review
- Functionalized layered double hydroxide applied to heavy metal ions absorption: A review
- A new classification method of nanotechnology for design integration in biomaterials
- Finite element analysis of natural fibers composites: A review
- Phase change materials for building construction: An overview of nano-/micro-encapsulation
- Recent advance in surface modification for regulating cell adhesion and behaviors
- Hyaluronic acid as a bioactive component for bone tissue regeneration: Fabrication, modification, properties, and biological functions
- Theoretical calculation of a TiO2-based photocatalyst in the field of water splitting: A review
- Two-photon polymerization nanolithography technology for fabrication of stimulus-responsive micro/nano-structures for biomedical applications
- A review of passive methods in microchannel heat sink application through advanced geometric structure and nanofluids: Current advancements and challenges
- Stress effect on 3D culturing of MC3T3-E1 cells on microporous bovine bone slices
- Progress in magnetic Fe3O4 nanomaterials in magnetic resonance imaging
- Synthesis of graphene: Potential carbon precursors and approaches
- A comprehensive review of the influences of nanoparticles as a fuel additive in an internal combustion engine (ICE)
- Advances in layered double hydroxide-based ternary nanocomposites for photocatalysis of contaminants in water
- Analysis of functionally graded carbon nanotube-reinforced composite structures: A review
- Application of nanomaterials in ultra-high performance concrete: A review
- Therapeutic strategies and potential implications of silver nanoparticles in the management of skin cancer
- Advanced nickel nanoparticles technology: From synthesis to applications
- Cobalt magnetic nanoparticles as theranostics: Conceivable or forgettable?
- Progress in construction of bio-inspired physico-antimicrobial surfaces
- From materials to devices using fused deposition modeling: A state-of-art review
- A review for modified Li composite anode: Principle, preparation and challenge
- Naturally or artificially constructed nanocellulose architectures for epoxy composites: A review