Startseite Naturwissenschaften A comprehensive review of the influences of nanoparticles as a fuel additive in an internal combustion engine (ICE)
Artikel Open Access

A comprehensive review of the influences of nanoparticles as a fuel additive in an internal combustion engine (ICE)

  • Siti Nurul Akmal Yusof EMAIL logo , Nor Azwadi Che Sidik EMAIL logo , Yutaka Asako , Wan Mohd. Arif Aziz Japar , Saiful Bahri Mohamed und Nura Mu’az Muhammad
Veröffentlicht/Copyright: 24. Dezember 2020
Veröffentlichen auch Sie bei De Gruyter Brill

Abstract

Nanofluid is a colloidal mixture consisting of nano-sized particles dispersed in a liquid medium. It improves heat transfer properties and promotes high energy efficiency in a wide spectrum of engineering applications. In recent years, particularly in the automotive industry, the addition of nanofluid in diesel/biodiesel as an additive for ICE has become an attractive approach to promote enhanced combustion efficiency and emission reduction due to their superior thermophysical properties. Many researchers have previously demonstrated that the addition of nanoparticles in diesel/biodiesel fuel improved the overall engine combustion characteristics. As a whole, this study aims to summarize the recent research findings related to the effect of nanoparticles on the fuel properties and engine combustion efficiency. Furthermore, different types of additive blended with varying fuel properties are also compared and discussed. Lastly, the advantages and prospects of using nanofluid as an additive fuel are summarized for future research opportunities.

1 Introduction

Global warming is expected to be the biggest challenge of the twenty-first century. The average temperature of the Earth increased by about 0.4–0.8°C in the past 10 decades [1,2]. Recently, the scientists from the Intergovernmental Panel on Climate Change have estimated that the average global temperatures will continue to rise by 1.4–5.8°C by the year 2100 [3]. Carbon dioxide (CO2), water vapour, methane (CH4), sulphur dioxide (SO2), chlorofluorocarbon, and nitrogen dioxide (NOx) are well known as the major contributors to the greenhouse effects.

Recently, many researchers have focused on developing a wide spectrum of renewable energies including oxygenated fuels, biofuel (n-butanol), fuel cell, and solar technologies to reduce the consumption of fossil fuels and control the emission of greenhouse gases (GHGs) to the atmosphere [4,5,6,7]. One of the most effective methods in controlling the emission of GHGs is to reduce the emission of CO2 by reducing fossil fuel consumption [8,9,10,11]. CO2 is directly related to the carbon content of the fuel and the amount of fuel consumption [11]. The production and combustion of transportation fuels also release CH4 and nitrous oxide (N2O) other than CO2 which contributed to the emission of GHGs. Other than using clean fuel alternatives, novel automotive engines with post-combustion emission control devices should be developed to reduce the GHG emissions and improve the efficiency of energy systems [12,13,14]. The application of biodiesel engine in transportation and power generation sectors has shown development in the past decades, and the latest research development trend is seeking a novel ICE with low emission [15,16,17], energy savings [18,19], and high-efficiency performance [20,21,22].

Biodiesel engines have an excellent reputation for low fuel consumption, high reliability, and high durability due to their high thermal brake performance, high compression ratio, and lower air-fuel mix [19,23,24]. However, both diesel and biodiesel fuels have their respective limitations in producing a higher NOx, which leads to poor combustion performance [25,26,27]. Thus, to overcome these limitations, the addition of fuel additives is gaining much attention to improve the oxidation characteristics of biodiesel. The blending of diesel/biodiesel with fuel additives could improve combustion performance and reduce GHG emissions effectively. Nanofluid is a potential fuel-additive candidate and the pioneer researcher who suggested it was Choi [28]. Nanofluid is a two-phase colloidal mixture consisting of nano-sized particles (nanoparticles) dispersing in a base liquid. Nanoparticles are generally known as particles with sizes approximately between 1 and 100 nm. Rheological behaviour and thermophysical properties of the base fluid would be significantly affected when nanoparticles are dispersed into the base fluid.

This study presents recent research findings of the properties of nanoparticles as an additive in diesel/biodiesel fuels. The present study compares the combustion performance and emission characteristics of ICEs with different types of diesel/biodiesel-nanoparticle blends. Currently, metal oxides like cerium oxide (CeO2), aluminium oxide (Al2O3), copper oxide (CuO), silver oxide (Ag2O), iron oxide (Fe2O3), titanium oxide (TiO2), silicon (Si), zinc oxide (ZnO), and magnesium (Mg) and non-metal oxides like carbon nanotubes (CNTs), multiwall CNTs (MWCNTs), graphene oxide (GO), etc. are among the most widely used fuel-additive nanoparticles in diesel/biodiesel fuel.

The concentration of nanoparticles required for a stable dispersion is also considered in this article. It is well known that the use of different types of nanoparticles in different diesel/biodiesel mixtures can yield different results. For example, it will affect the engine performances, including brake-specific fuel consumption (BSFC), brake power (BP), brake heat efficiency (BTE), engine torque, and toxic gas emissions including CO, NOx, and particulate matter (PM). To the best of the author’s knowledge, very few review papers were published on the fuel consumption and combustion performance of diesel/biodiesel with the addition of nanoparticle-based fuel additives in an ICE.

Hence, the authors aim to provide an extensive review by comparing the combustion, emission, and performance characteristics of the nanofuel additives diesel/biodiesel blends. First, the renewable energies to control GHGs were briefed in the introduction section. This was followed by a brief review of the stability of nanoparticles in a base fluid. Third, reports the effect of different types of additives blended on the fuel properties and engine performance using the most widely used nanoparticles. That is, metal oxides, such as CeO2, Al2O3, CuO, Ag2O, Fe2O3, TiO2, Si, ZnO, and Mg, and non-metal oxides, such as CNT, MWCNT, and GO, were reviewed as potential additives in fuels. The research works of literature were sourced from Elsevier’s’ ScienceDirect, Google Scholar, and ISI Web of Science. For sourcing information, many keywords have been used. The keywords include nanoparticles, ICE, diesel/biodiesel, fuel properties, combustion efficiency, and emission control. In identifying the possible articles, more than two of the keywords were used. The select literature included peer-reviewed studies, which contributed significantly to the field of study. Elsevier’s Mendeley reference management programme was also used to gather references from the selected articles. All of the findings obtained from these articles are presented in a tabular form. As a whole, this review article will help the researchers from the nanotechnology field and industrial engine manufacturers to gather a quick report on the emission issues and engine performance of different diesel/biodiesel fuel blends.

2 Stability of nanoparticles in a base fluid

Generally, nanofluid has high surface energy owing to its large surface area, which tends to promote agglomeration and form micro-sized particles before deposition. For both scientific and practical applications, a stable and homogeneous nanofluid suspension is a crucial phenomenon. Stability plays a vital role in the production of nanofluid as it will affect its performance as a heat carrier and thermophysical properties. To promote a better stability of nanoparticles in a base fluid, many methods have been reported in the literature including ultrasonication, surface modification, the addition of surfactants, and pH control.

From the literature, several previous studies investigated the effectiveness of ultrasonic dispersion in promoting and improving the stability of nanoparticles. A study by Hong et al. [29] reported that the stability of nanofluids can be enhanced with longer sonication time. From their results, it was revealed that prolonging the sonication time helps to reduce the agglomeration of particles. Amrollahi et al. [30] reported similar observations in their experiments. Both studies agreed that longer sonication times improved the stability of nanoparticles. In 2012, Ruan and Jacobi [31] reported that the ultrasonic method could effectively break down the particle agglomerates and promote a stable and better dispersion of nanoparticles in the base fluids. Based on their results, the thermal thermophysical properties of MWCNT-ethylene glycol nanofluid were found to be highly dependent on the sonification time.

Similar conceptual work was also carried out by Chung et al. [32]. By using two different ultrasonic dispersion methods of horn and bath, the effectiveness of both ultrasonic methods in dispersing the ZnO nanoparticles in the water medium was compared. From the findings, the ultrasonic horn method was found to be more effective in achieving a faster reduction rate, smaller colloidal particle size, and higher sedimentation rates. Unfortunately, the optimum sonication time varied for different types of nanoparticles and base fluids. A study on the homogeneous dispersion of nanoparticles in nanofluids was performed by Hwang et al. [33]. A stable colloidal mixture consisting of both CB and Ag nanoparticles was prepared from a two-step method using a stirrer, ultrasonic bath, ultrasonic disruptor, and high-pressure homogenizer. Sodium dodecyl sulfate (SDS) and oleic acid were used as the surfactants to improve the colloidal stability. From the results, the nanoparticles’ colloidal prepared from the high-pressure homogenizer possessed the highest stability. With the use of a high-pressure homogenizer, the agglomerated particles can easily break off and separate.

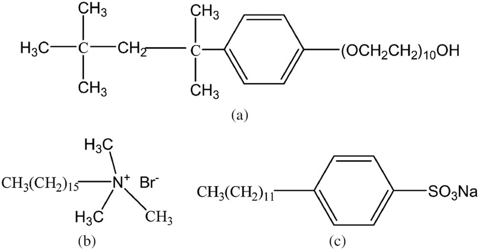
Surfactants are the chemical compounds added to nanoparticles, which help to reduce the surface tension of the nanofluid and increase the absorption of particles. Some literature discussed the use of surfactants for a slower deposition rate; however, in some cases, the proper type of surfactants should be applied to the particles. In the literature, only a few types of surfactant such as hexadecyltrimethylammonium bromide/cetyl trimethyl ammonium bromide (CTAB) [34,35,36,37], sodium dodecylbenzene sulfonate (SDBS) [34,38,39], SDS [35,40,41], polyoxyethylene(10)nonylphenyl ether (TX-10) [34], polyvinyl chloride-polyvinyl pyrrolidone (PVP) [38,41,42], salt and oleic acid [33], dodecyltrimethylammonium bromide [39], gum Arabic [35,40], etc. were reported and used in different types of nanofluids. Li et al. [34] prepared the nanofluids from Cu–H2O with and without the addition of dispersant. Different types of surfactants including TX-10 (a non-ionic surfactant), CTAB (a cationic surfactant), and SDBS (an anionic surfactant) were used to modify the surface functionality of 0.1% Cu–H2O nanoparticles. The chemical structure of the surfactant can be seen in Figure 1. From the results, it was found out that the optimum concentrations of TX-10, CTAB, and SDBS in yielding better stability for 0.1% copper nano-suspension were 0.43%, 0.05%, and 0.07%, respectively. Li et al. [39] also reported similar observations in their experiments.

Figure 1 
               Chemical structures of surfactants: (a) TX-10; (b) CATB; (c) SDBS [34].
Figure 1

Chemical structures of surfactants: (a) TX-10; (b) CATB; (c) SDBS [34].

In 2018, Nema et al. [37] used CTAB to prepare Al2O3 nanoparticles as a nanofuel additive. They performed the study in a dual-blend biodiesel-fuelled compression-ignition (CI) engine using Al2O3 nanoparticles. The Al2O3 nanoparticles were found to be stable and well dispersed in the base fluid.

Sahooli et al. [42] incorporated a PVP surfactant to prepare a stable CuO/water nanofluid. The nanofluid was prepared from different pH values and PVP concentrations. Based on their findings, the CuO/water nanofluid had excellent colloidal stability with the optimum pH and PVP concentration of 8 and 0.095, respectively. Xia et al. [41] investigated the colloidal stability of Al2O3 in de-ionized water using PVP. In their study, the effect of PVP and SDS on the thermal conductivity of the Al2O3/de-ionized water nanofluid was investigated and PVP demonstrated a better dispersion and stability performance than SDS. The optimal concentration ratio of surfactant mass fraction and particle volume fraction were found at the highest thermal conductivity of the nanofluid, where the ratio was partly associated with the particle size, and it decreased with the increase in particle volume fraction. The addition of surfactant is widely adopted to improve the dispersion of nanoparticles in a base fluid and to minimize the coagulation/agglomeration of particles. Figure 2 shows the influence of surfactants on the thermal conductivity of Al2O3/de-ionized water nanofluids with different particle sizes.

Figure 2 
               Influence of (a) SDS and (b) PVP concentration on the thermal conductivity of Al2O3/de-ionized nanofluids with different particle size under room temperature [41].
Figure 2

Influence of (a) SDS and (b) PVP concentration on the thermal conductivity of Al2O3/de-ionized nanofluids with different particle size under room temperature [41].

However, the addition of surfactants can cause some problems including the function of this method in improving the stability of nanofluids, which cannot be applied to nanofluids operating under high temperatures due to the possible bond breakdown between the surfactant and nanoparticles [43,44]. Chen et al. [45] studied the stability and thermal conductivity properties of CNT nanofluids stabilized by a cationic Gemini surfactant. From their finding, it was concluded that a high concentration of surfactants did not improve the thermal conductivity of nanofluids. Besides, the addition of surfactants increased the thermal resistance of the nanoparticle in the base fluids, which led to a poor thermal conductivity performance [43].

3 Effect of nanoparticles on fuel properties

The fuel properties are one of the significant factors that determine the quality of the fuel mixing and combustion process. Recently, the addition of nanoparticles has been considered as an advantageous approach in enhancing the fuel properties. Numerous researchers have tested fuel properties by adding different types of nanoparticles in various diesel/biodiesel fuels [37,46,47,48,49,50,51,52,53,54,55,56]. Furthermore, the quality of the fuel mixing and combustion process was evaluated by studying their effects on different features including kinematic viscosity, caloric value, flash point, density, number of cetane, etc. Table 1 compares the physical properties of diesel/biodiesel blend with and without nano-additives.

Table 1

Comparison between fuel properties of nanoparticles doped in diesel/biodiesel

Authors Base fuel Nanoparticles Fuel properties
Viscosity (cSt) Flashpoint (°C) Calorific value (MJ/kg) Density (kg/m3) Cetane No.
1 Praveena et al. [46] Grapeseed oil biodiesel (GSO) 4.06 39.07 55
CeO2 100 4.47 38.76 57
ZnO 100 4.42 38.9 59
2 Praveena et al. [47] GSO biodiesel 4.06 39.07 845 55
ZnO 50 4.40 38.78 849 58
ZnO 100 4.42 38.9 850 59
CeO2 50 4.45 38.55 852 56
CeO2 100 4.47 38.76 853 57
3 Karthikeyan et al. [48] GSO biodiesel 5.554 38 37.02 841
CeO2 50 5.556 39 38.38 843
CeO2 100 5.559 39 38.96 846
4 Ang et al. [49] Diesel fuel 4.56 48.58 841 56.0
Al2O3 25 3.70 48.20 853 55.4
Al2O3 50 3.81 49.32 856 55.3
Al2O3 100 4.12 49.77 873 55.4
CNT 25 3.99 49.09 841 54.7
CNT 50 3.86 50.18 846 54.8
CNT 100 3.83 51.27 850 54.9
SiO2 25 4.26 47.31 845 55.0
SiO2 50 3.98 47.78 835 55.2
SiO2 100 4.26 48.60 836 55.7
5 Gumus et al. [50] Diesel fuel 3.6 60 833.5 53.8
CuO 50 3.5 66 834.1 54.5
Al2O3 50 3.5 68 834.3 54.4
6 Sahoo and Jain [51] Diesel fuel 3.6 60 42 833
CuO 3.5 66 42.43 834.1
7 Rolvin et al. [52] Diesel fuel 2.981 51 41.794 697.2
TiO2 3.165 72 42.042 700.2
8 Devarajan et al. [53] Palm stearin biodiesel 4.28 140 37.51 844
AgO 5 3.86 134 38.35 804
AgO 10 3.71 132 38.54 797
9 Perumal and Ilangkumaran [54] Pongamia biodiesel 3.02 69 43.68 824
CuO 50 4.79 67 43.78 835
CuO 100 4.85 66 43.82 846
10 Sajin et al. [55] Mango seed biodiesel 3.8 165 38.125 880 58
ZnO (20 nm) 3.7 168 38.25 820 58
ZnO (40 nm) 3.6 171 38.75 790 59
11 Lenin et al. [56] Diesel fuel 2.7 48
MnO 2.53 44
CuO 2.24 40
12 Tewari et al. [57] Honge oil methyl ester 5.6 170 36.016
CNT25 5.7 166 34.56
CNT50 5.8 164 35.1
13 Narasiman et al. [58] Sardine oil methyl ester (SOME) 4.5 58 37.405 890 45
CeO2 25 ppm 5.6 191 45.365 894 56
14 Sathiyamoorthi et al. [59] Neem oil biodiesel 3.74 65 41.9 828 43.5
CeO2 50 ppm 3.71 66 41.94 830 43.7
15 Gharehghani et al. [60] Diesel–biodiesel fuel blend 2.9 82 44.572
7% water 3.92 74 42.488
CeO2 90 ppm 3.88 77 42.382
16 Annamalai et al. [61] Lemongrass oil emulsion fuel 4.6 55 37 905 48
5% water 4.67 74 35.8 906 46.3
CeO2 30 ppm 4.99 67 36.2 916.4 48.8
17 Nanthagopal et al. [62] Calophyllum inophyllum biodiesel 4.72 122 38 868.6 52
ZnO 50 ppm 4.76 123 37.02 871.1 54
ZnO 100 ppm 4.78 126 37.32 872.4 56
TiO2 50 ppm 4.73 123 37.12 869.2 53
TiO2 100 ppm 4.75 124 37.54 870.4 55
18 Anchupogu et al. [63] Calophyllum inophyllum biodiesel 3.56 69 40.92 843.3 53.85
Al2O3 40 ppm 3.64 64 41.435 858 54.58
18 Nithya et al. [64] Canola biodiesel 4.8 915 42
TiO2 300 ppm 3.4 840 56
19 Najafi [65] Diesel–biodiesel fuel blend 4.24 45.72 835 46
Ag 40 ppm 4.36 46.44 854.7 47
Ag 80 ppm 4.4 46.68 855.3 48
Ag 120 ppm 4.49 46.92 858.8 50
CNT 40 ppm 4.74 47.12 879.9 57
CNT 80 ppm 4.82 48.02 884.3 59
CNT 120 ppm 4.91 48.68 891.6 61

An experimental investigation of NOx reduction in a grapeseed oil biodiesel-fuelled CI engine was performed by Praveena et al. [46,47]. From their study, two different types of nano-additives, namely, CeO2 and ZnO, were used to test the physical properties of the fuel under the American Society for Testing and Materials (ASTM) code. The calorific value of ZnO was found to be higher than that of CeO2. The low calorific values of CeO2 caused an increase in BSFC. No significant effect was found in the density, pour, cloud points, and kinematic viscosity due to the addition of CeO2 nanoparticles in the grapeseed oil biodiesel fuel. The experimental results were in good agreement with that obtained by Karthikeyan et al. [48] who also investigated the addition of CeO2 (50 and 100 nm) nanoparticles in a grapeseed oil biodiesel fuel. However, there was a slight improvement in the flashpoint and calorific value between Praveena [46,47] and Karthikeyan [48]. As a result, the addition of CeO2 nanoparticles’ additive exhibited a significant improvement in the performance of and a reduction in harmful emissions as compared to the B20 (20% biodiesel + 80% diesel).

Ang et al. [49] prepared the diesel fuel blends by using Al2O3, CNT, and SiO2 nanoparticles with dosing levels of 25, 50, and 100 ppm. The physical fuel properties were tested with the engine loads of 0%, 25%, 50%, 75%, and 100% using ASTM code under a constant engine speed of 1,800 rpm. It was observed that the addition of Al2O3 nanoparticles increased the density and calorific value of the blend with a viscosity reduction in DA25 (diesel fuel 1 kg + Al2O3 25 mg). As expected, a significant increment in the viscosity was observed when the concentration of nanoparticles increased. On the contrary, the addition of CNT did not affect the fuel density substantially and showed a reduction in viscosity due to the lubricity of carbon atoms. Yet, the calorific value was found to be increased due to the higher carbon content. Meanwhile, the SiO2 blends displayed a lower fuel density with no significant change in the calorific value as compared to diesel fuel with a lower viscosity characteristic.

In a different study, Rolvin et al. [52] prepared the diesel fuel blend from TiO2 nanoparticles with a dosing level of 500 ppm. The results demonstrated that the addition of nanoparticles to the base fuel improved the fuel properties including fire point, viscosity, density, and calorific value. Gumus et al. [50] and Sahoo and Jain [51] also concluded that the nanoparticle additives possessed better fuel characteristics like flash point and calorific value. A lower BSFC was attributed to the higher calorific value [62].

From an experimental investigation performed by Sajin et al. [55], the influence of the size of ZnO nanoparticles on the physical properties of mango seed biodiesel was investigated. From the results, the biodiesel blended with 40 nm ZnO nanoparticles had a higher calorific value and cetane value and the addition of nanoparticles in the biodiesel promoted better combustion performance.

4 Effects of metal oxide nanoparticles as additives in diesel/biodiesel fuel on the performance, combustion, and emission characteristics

The main purposes of adding nanoparticles into the diesel/biodiesel fuel are to promote a high surface-to-volume ratio and increase the number of reactive surfaces. It allows the nanoparticles to act as an effective chemical catalyst which improves the mixing pattern of fuel with air and the fuel combustion performance, subsequently leading to a fully combusted chemical catalyst.

4.1 CeO2

CeO2 can be served as an oxygen buffer to simultaneously induce the oxidation of hydrocarbons (HCs) and reduction of nitrogen oxide emission [66,67]. Several studies and reviews have explored the effects of CeO2 nanofuel additives on the performance, combustion, and emission characteristics of CI engine.

In 2015, Narasiman et al. [58] investigated the effects of CeO2 nanoparticle’s additive in diesel and sardine oil methyl ester (SOME). The mass fracture of nanoparticles used was 25 ppm. Throughout the experiments, a single four-stroke diesel engine was used at different loads under a constant speed. From the test, it was revealed that the nanoparticles could be used as an additive in diesel and biodiesel to induce complete fuel combustion and significantly improve the exhaust emissions.

Sathiyamoorthi et al. [59] investigated the performance, emission, and combustion characteristics of a single cylinder with two modified fuel blends: BN20 (biodiesel from neem oil) and CeO2 nanoparticle’s additive blended in BN20. Ultrasonicator was used to mix CeO2 nano-additives with BN20 to promote better colloidal stability. The addition of nanoparticle additives promoted a higher BSFC and BTE as compared to the standard diesel fuel. The emissions of NOx, smoke, HC, and CO were found to significantly decrease after the nanoparticle’s additive was added into the BN20 fuel. Experimental results also revealed that a higher amount of cylinder pressure and heat were released when CeO2 nanoparticles were added into BN20 fuel.

A significant study by Gharehghani et al. [60] included the effect of water and CeO2 nanoparticles on engine performance, combustion, and emission characteristics of diesel/biodiesel fuels. The influence of water and nano-additive in diesel/biodiesel fuel was found to improve the overall combustion quality. The experimental results were in good agreement with that obtained by Khalife et al. [68] and Mei et al. [69].

Sathiyamoorthi et al. [70] conducted a novel study to evaluate the performance, combustion, and emission characteristics of neat lemongrass oil biodiesel. The entire research was performed in the diesel engine using emulsified LGO25 (75% diesel volume and 25% lemongrass oil volume), a mixture of CeO2-emulsified LGO25, and a mixture of diethyl ether (DEE)-emulsified LGO25 with an exhaust gas recirculation (EGR). All of the nanofluid blends were compared to the standard diesel and LGO25 fuel. From the results, a significant improvement in NOx and smoke emission was observed in the mixture of DEE-emulsified LGO25 and EGR. The NOx and smoke emissions were found to be reduced by 30.72 and 11.2%, respectively. In the context of HC and CO emissions, both were reduced by 18.18 and 33.31%, respectively, whereas the BTE and BSFC increased by 2.87 and 10.8%, respectively. The combustion characteristics such as cylinder pressure and heat release rate increased by 4.46 and 3.29%, respectively, as compared to the emulsified LGO25. These findings are in line with those found in the literature and the nano-additive was demonstrated as an oxygen buffer to promote a better combustion and emission control efficiency [71].

Pandey et al. [72,73] investigated the effect of CeO2 nanoparticles on the combustion performance and emission of Karanja oil biodiesel. From the results, Karanja oil biodiesel with 5 wt% of nano-additive demonstrated enhanced engine performance with a substantial reduction in particulate emissions including lower emissions of NOx (14–25%) and PM as compared to diesel fuel. Besides, the addition of nano-additive to Karanja oil biodiesel caused a slower heat release rate as compared to the standard diesel. It possessed a higher cetane number than diesel [66] and thus had a shorter delay in the ignition as compared to petrol. Apart from that, their results were in good agreement with that reported by Babu and Praneeth [74].

Ananda et al. [75] demonstrated the emission reduction of an ethanol–gasoline blend using CeO2 nanoparticles as a fuel additive. From the results, the thermal brake performance of nanoparticle mixtures was found to be improved. In the CO emission test, the CO2, HC, and NOx emissions reduced significantly with a substantial increment in O2 concentration in all blends. From the combustion analysis, the gas pressure of nanoparticle blends was higher as compared to that of the pristine fuel.

Recently, Janakiraman et al. [76] examined the combustion performance and emissions of CeO2, ZrO2, and TiO2 as nanoparticle additives. It was observed that the HC of TiO2, CeO2, and ZrO2 blended with B20 (20% Garcinia gummi-gutta biodiesel + 80% diesel) were lower than the neat B20 by 6.39, 3.99, and 5.64%, respectively, under maximum load condition. Furthermore, B20 blend with TiO2 had a better combustion efficiency, lower CO, unburned HC (UBHC), smoke, and diesel fuel combustion. The addition of nanoparticles into the blends was found to contribute a declining trend in the HC emissions due to the high availability of oxygen content and lower activation energy discharged by the nanoparticles [55,69,7780]. All the nanoparticle blends exhibited a lower brake specific energy consumption (BSEC) as compared to B100 by 23.42, 22.11, and 19.8%, under the maximum load condition. The reduction of fuel blends in BSEF is shown in Figure 3. The study from Senthil and Ramesh [80] evaluated the effect of ginger grass oil biodiesel on the performance, combustion, and emission characteristics using CeO2 as a fuel additive. It was found out that the HC content increased with a higher concentration of ginger grass oil in the blends.

Figure 3 
                  The BSEC for fuel blends with nanoparticles [76].
Figure 3

The BSEC for fuel blends with nanoparticles [76].

Thangavelu et al. [81] explored the potential of CeO2 nanoparticles as a fuel additive in a four-stroke single-cylinder water-cooled compression ignition engine with the volumetric proportions of 5, 10, 15, and 20%. From the study, a significant reduction in the emission of HC by 3%, smoke by 7.7%, and CO by 1.33% was found as compared to that of the conventional diesel. It was concluded that B5D85 + CeO2 (100 ppm) fuel blend had the best fuel ratio for a CI engine due to the high engine efficiency, low particle emission, and better combustion. Thus, it can be served as a suitable alternative fuel for the CI engine.

CeO2 nanoparticles and iron dope (10 and 20% iron) were added into the waste cooking oil biodiesel–diesel blend in the study by Hawi et al. [82]. From the results, the NOx emission was reduced by 15.7% with no significant change in the HC emissions. At the same time, CO emission was reduced by 24.6% for B30 and 15.4% for B30 with nano-additives. From low to medium loads, a lower BSFC was found for the B30 fuel mixture with 10% FeCeO2 nanoparticles and comparable to D100 at high loads. In contrast, BTE improved with an increase in engine load. Akram et al. [83] also conducted a study using waste cooking oil diesel/biodiesel. However, in their research, the emission reduction potential in CO, NOx, and UBHC was investigated using different concentrations of CeO2 nanoparticles and Ce0.5Co0.5 nanocomposite oxide under full engine load. It was found that CO, NOx, and UBHC emissions reduced by 18.27, 6.57, and 23.46%, respectively, when CeO2 (100 ppm) was used. On the contrary, when Ce0.5Co0.5 nanocomposite oxide (100 ppm) was used, CO, NOx, and UBHC emissions reduced by 24.18, 13.96, and 40.74%, respectively. It was observed that the addition of CeO2 nanoparticles led to an increase in the viscosity index of the biodiesel owing to the high catalytic activity [84,85].

Table 2 summarizes the effect of CeO2 nanoparticles in diesel/biodiesel fuel on the performance, combustion, and emission characteristics of the ICE with some undiscussed research works.

Table 2

Summary of CeO2 nanoparticle studies as an additive in diesel/biodiesel fuel

Authors Base fuel Nanoparticles Mass fraction of nanoparticles
1 Praveena et al. [46] Grapeseed oil biodiesel CeO2 and ZnO 100 ppm
Engine performance: BTE of CeO2 and ZnO increased by 1.4 and 1.71% from 28.8. BSFC of CeO2 decreased to 0.30 kg/kW h and BSFC of ZnO reduced to 0.29 kg/kW h
Harmful emission: NOx emissions of CeO2 and ZnO were reduced by 74.16 and 80.06%, respectively
2 Praveena et al. [47] Grapeseed oil biodiesel CeO2 and ZnO 50 and 100 ppm
Engine performance: Improved BTE. Reduced BTE by 29.34 and 29.23% for GSBD ZnO100 and GSBD CeO2100. BSFC improved to 0.31 kg kW−1 h−1
Harmful emission: NOx, HC, and CO emissions reduced
3 Karthikeyan et al. [48] GSO biodiesel CeO2 50 and 100 ppm
Engine performance: Higher BTE and lower BSFC
Harmful emission: Reduction in harmful emission
4 Narasiman et al. [58] SOME biodiesel and diesel CeO2 25 ppm
Engine performance: Lower BTE than B20
Harmful emission: Increase in NOx emission and a significant decrease in HC emission
5 Sathiyamoorthi et al. [59] Neem oil biodiesel CeO2 50 ppm
Engine performance: Higher BTE and BSFC as compared to B20
Harmful emission: NOx, Smoke, HC, and CO emissions significantly reduced
6 Gharehghani et al. [60] Diesel–biodiesel fuel (B5) CeO2 90 ppm
Engine performance: BTE for B5W7m (B5 containing 7% water and nanoparticle) was increased by more than 13.5 and 6% compared to B5W7 and B5. BSFC was reduced by 8 and 23%
Harmful emission: CO emission for B5W7m reduced by 42 and 3% as compared to B5W7 and B5, respectively
7 Khalife et al. [68] Biodiesel/diesel fuel blend (B5) CeO2 90 ppm
Engine performance: BSFC reduced by 16%. BTE was increased by 11%
Harmful emission: CO, HC, and NOx emissions reduced by 51, 45, and 27%, respectively, as compared to those of neat biodiesel/diesel fuel
8 Mei et al. [69] Diesel CeO2 50 and 100 ppm
Engine performance: Higher BTE and slight decreased in BSFC
Harmful emission: Harmful pollutants including HC, CO, and NOx decreased
9 Sathiyamoorthi et al. [70] Neat lemongrass oil biodiesel CeO2 50 ppm
Engine performance: Higher BTE and BSFC as compared to B20
Harmful emission: NOx, Smoke, HC, and CO emissions significantly reduced
10 Annamalai et al. [61] Neat lemongrass oil biodiesel CeO2 30 ppm
Engine performance: Higher BTE and lower BSFC
Harmful emission: UBHC and CO emission reduced by 35.5 and 16.03%. NOx reduced by 24.8 and 20.3% and smoke by 6.4 and 19.8% as compared to neat LGO and neat diesel fuel
11 Pandey et al. [72] Karanja oil biodiesel CeO2 30, 40, 45, 50, and 80 ppm
Engine performance: Lower BSFC
Harmful emission: Lower CO, CO2, HC, and NOx emission
12 Pandey et al. [73] Karanja oil biodiesel CeO2 30, 40, 45, 50, and 80 ppm
Engine performance: Lower BSFC
Harmful emission: Lower CO, CO2, HC, and NOx emission
13 Babu and Praneeth [74] Karanja biodiesel CeO2
Engine performance: Improvement in BTE
Harmful emission: Lower emissions
14 Ananda et al. [75] Ethanol–gasoline blend CeO2 100, 150, and 200 mg
Engine performance: Improvement in BTE
Harmful emission: Lower emissions
15 Janakiraman et al. [76] Garcinia gummi-gutta biodiesel CeO2, ZrO2, TiO2 25 ppm
Engine performance: Higher BTE and lower BSEF
Harmful emission: Lower CO, lower NOx, and smoke emissions
16 Senthil and Ramesh [80] Ginger grass oil CeO2 30 ppm
Engine performance: Higher BTE and lower BSFC
Harmful emission: Lower CO2, HC, and NOx emission. All samples have lower CO emission except for B10, which was higher at lower load and then decreased at maximum load
17 Thangavelu et al. [81] Waste tyre oil CeO2 100 ppm
Engine performance: Improvement in BTE
Harmful emission: Reduced emissions for HC, CO, and smoke by 3, 1.33, and 7.7%, respectively
18 Hawi et al. [82] Waste cooking oil biodiesel CeO2 90 ppm
Engine performance: Improved BSFC and BTE under low to medium loads
Harmful emission: NOx emission reduced up to 15.4%. No significant effect on HC emissions
19 Akram et al. [83] Waste cooking oil biodiesel CeO2 and Ce0.5Co0.5 100 ppm
Engine performance: Not mentioned
Harmful emission: CO, NOx, and UBHC emissions reduced by 18.27, 6.57, and 23.46%, respectively, for CeO2 and 24.18, 13.96, and 40.74%, respectively, for Ce0.5Co0.5
20 Selvan et al. [86] Diesterol fuel CeO2 and CNT 25,50, and 100 ppm
Engine performance: Lower BSFC and higher BTE
Harmful emission: The addition of E20 + CERIA 50 + CNT 50 increased CO emission to 22.2% and reduced the hydrocarbon and smoke emission to 7.2% and 47.6%, respectively, as compared to diesterol fuel

4.2 Al2O3

In the following section, the effect of Al2O3 nanoparticles as a fuel additive in diesel/biodiesel blend on the engine performance, combustion, and emission characteristics of the ICE are reviewed and discussed. Nassir and Shahad [87] attempted to examine the impact of Al2O3 and TiO2 nanoparticles on the combustion phasing of diesel fuel. The addition of nanoparticles improved the fuel properties. For instance, the cetane number enhanced from 51.6 to 54.3 with the addition of 150 ppm Al2O3 nanoparticles. The effect of nanoparticles on the delay time and fractioning of heat release (premix and diffusion) was noticeable. From the results, the delay period decreased with higher nanoparticle concentration. The effect of Al2O3 nanoparticles on viscosity, temperatures, and the cetane number was more prominent than the effect of TiO2. Nevertheless, TiO2 nanoparticles contributed to the most significant reduction in the delay period, which can be attributed to the higher viscosity of Al2O3.

Sathiamurthi et al. [88] added 50 nm Al2O3 nanoparticles into the diesel fuel and evaluated the combustion performance and emission characteristics of the diesel blend in a four-stroke, single-cylinder diesel engine under different load conditions and fuel blends (0.5 g and 1 g of 50 nm Al2O3 nanoparticles were blended into 1 L of diesel fuel). The results obtained were similar to the study done by Venkatesan and Kadiresh [89] even though they used a smaller size of nanoparticles (40 nm) and different fuel rate (1 and 1.5 g/L). These results indicate that particle size has a significant effect on ignition and combustion. The smaller particle sizes showed a greater intensity of reaction. Furthermore, the addition of nanoparticle was found to improve the combustion characteristics and enhanced the surface to volume ratio. Thus, the burning efficiency of the test fuels was promoted as more diesel fuels reacted with the oxidizer. From the results, a significant increase in BTE and a considerable reduction in the NOx and UBHC contents of all loads were observed as compared to pure diesel fuel. This could be due to the improved combustion characteristics of nanoparticles and the enhanced air mixing ratio.

Basha [90] also studied the combustion performance of diesel fuel blend with Al2O3 nanoparticles. The result of the analysis revealed that a significant increase in BTE and a marginal reduction in harmful pollutants including NOx, CO, and smoke were observed with the diesel fuel blend in contrast to the pure diesel fuel. The addition of Al2O3 nanoparticles in diesel fuels boosted the combustion efficiency of the diesel engine. However, many research works are still ongoing to capture potential nanoparticles released from the exhaust to avoid environmental pollution. Kao et al. [91] conducted an experimental investigation in a single-cylinder horizontal diesel engine using Al2O3 additive diesel fuel with different percentages of water (3–6%). A significant reduction in the BSFC and harmful pollutants was observed. The addition of Al2O3 nanoparticles to the diesel fuel provided a large surface area for interaction between water molecules and fuel particles. Due to the high surface activity of the water molecules, hydrogen atom decomposes from the water during combustion which promotes complete combustion.

Gumus et al. [50] carried out a study to investigate the influence of Al2O3 and CuO nanoparticles in diesel fuel. The nanoparticle fuel blends were prepared from a concentration level of 50 ppm before comparing the performance, combustion, and emission characteristics of the blends with standard diesel fuel. The testing was conducted between 1,200 and 3,600 rpm with an interval of 250 rpm. Based on their findings, the BSFC of nanoparticle fuel blend was lower than that of diesel fuel. The BSFC of CuO and Al2O3 additives decreased by up to 0.5 and 1.2%, respectively. With the addition of Al2O3 to pure diesel, CO, HC, and NOx emissions reduced up to 11, 13, and 6%, respectively. On the contrary, the CO, HC, and NOx emissions of CuO additive reduced up to 5, 8, and 2%, respectively. The presence of excess oxygen and nanoparticles in diesel fuels improved the fuel properties and combustion efficiency, which led to lower BSFC and harmful emissions [92,93].

In another study, Ang et al. [49] demonstrated a significant reduction in BSFC and higher BTE in the diesel fuel blends with Al2O3, CNT, and SiO2 nanoparticles. As compared to Al2O3, and SiO2 blend, the CNT blend exhibited the highest emission reduction of 19.8% with a 100 ppm of CNT blends with pure diesel (DC100) under 25% engine load. Similarly, the CNT blend also had the highest reduction in BTE. From the findings of Selvan et al. [88], CNT blends also demonstrated an improvement in BSFC. These results can be ascribed to the higher calorific value of CNT which led to a substantial reduction in BSFC and BTE. However, the findings are in contrast with the results obtained by Raju et al. [94] who investigated the effect of different dosing levels of Al2O3 and CNT nanoparticles in novel tamarind seed methyl ester (TSME) biodiesel for diesel engine applications. As compared to other samples, the TSME biodiesel with a dosing level of 60 ppm Al2O3 nanoparticles exhibited better diesel engine characteristics with a lower BSFC value. This can be explained by the oxygen content of Al2O3 in TSME biodiesel. Besides, the addition of nanoparticles showed a remarkable improvement in exhaust emissions except for NOx. The NOx emission was found to be higher in the fuel blend of Al2O3 nanoparticles with a dosing level of 60 ppm and lower than the B20 fuel blends. The most significant observation from this study was the engine combustion characteristics of TSME biodiesel with nano-additive demonstrated a remarkable improvement in exhaust emission as compared with B20 fuel blends.

Balasubramanian et al. [95] investigated the influence of Al2O3 nanoparticles in lemongrass oil biodiesel in a single-cylinder diesel engine. Different concentrations of nanoparticle additive (10, 20, and 30 ppm) were prepared and blended in the lemongrass oil biodiesel using an ultrasonicator. The best engine combustion performance and exhaust emissions were obtained under the dosing level of 20 ppm. For the same concentration level of Al2O3 nanoparticles, BTE was significantly improved by 11.5% as compared to the neat biodiesel. All emissions like HC, CO, NOx, and smoke emission decreased by 40, 6, 31, and 39%, respectively, as compared to the neat biodiesel. It is worth noting that the addition of Al2O3 nanoparticle in the lemongrass oil biodiesel improved engine combustion performance and reduced the harmful emission owing to the lower NOx emission and better combustion characteristics.

Recently, Soudagar et al. [96] studied the potential use of Al2O3 nanoparticles as a fuel additive in Honge oil methyl ester (HOME20) biodiesel using different dosing levels of 20, 40, and 60 ppm. Based on their experiments, HOME20 fuel blend with a nanoparticle concentration level of 40 ppm demonstrated a better engine combustion performance as compared to that of 20 and 60 ppm. For the dosing level of 40 ppm, BTE was found to be increased by 10.57% with a reduction in BSFC by 11.65%. Furthermore, HC, CO, and smoke emission reduced by 26.72, 48.43, and 22.84%, respectively. Conversely, the NOx emission increased by 11.27%.

Table 3 summarized all of the above-mentioned experimental studies with some other undiscussed research works.

Table 3

Summary of Al2O3 nanoparticles studies as an additive in diesel/biodiesel fuel

Authors Base fuel Nanoparticles Mass fraction of nanoparticles
1 Sathiamurthi et al. [88] Diesel fuel Al2O3 0.5 and 1 g/L
Engine performance: Higher BTE
Harmful emission: Reduction in NOx and UBHC contents of all loads
2 Venkatesan and Kadiresh [89] Diesel fuel Al2O3 1 and 1.5 g/L
Engine performance: Higher BTE
Harmful emission: Reduction in NOx and UBHC contents of all loads
3 Basha [90] Diesel fuel Al2O3 25, 50, and 100 ppm
Engine performance: Higher BTE
Harmful emission: Reduction in NOx, CO, and smoke emissions
4 Gumus et al. [50] Diesel fuel Al2O3 and CuO 50 ppm
Engine performance: Lower BSFC. Al2O3 and CuO reduced by 0.5 and 1.2%, respectively
Harmful emission: CO, UHC, and NOx reduced by 11, 13, and 6% for Al2O3 and 5, 8, and 2%, respectively, for CuO
5 Ang et al. [49] Diesel fuel Al2O3, CNT, SiO2 25, 50, and 100 ppm
Engine performance: Lower BSFC. Higher BTE for all cases (CNT blends improved the BSFC by 19.85%
Harmful emission: HC emissions of Al2O3 and SiO2 blends were 1.76 times lower and no change in NOx. NOx emissions of CNT improved by 4.48% with an increase in CO, CO2, and HC emissions
6 Raju et al. [94] Tamarind seed methyl ester Al2O3 and CNT 30 and 60 ppm
Engine performance: Lower BSFC and higher BTE
Harmful emission: A significant reduction in smoke, HC, and CO emissions. A higher NOx for Al2O3 with 60 ppm
7 Balasubramanian et al. [95] Lemongrass oil biodiesel Al2O3 10, 20, and 30 ppm
Engine performance: Higher BTE and lower BSFC
Harmful emission: HC and CO emissions reduced by 40% and 6%. NOx and smoke emissions decreased by 31% and 39% as compared to pure biodiesel
8 Soudagar et al. [96] Honge oil methyl ester Al2O3 90 ppm
Engine performance: BTE improved by 10.57%, while BSFC decreased by 11.65%
Harmful emission: CO emission reduced by 42 and 3% as compared to B5W7 and B5, respectively
9 Anchupogu et al. [63] Calophyllum inophyllum biodiesel Al2O3 40 ppm
Engine performance: Higher BTE and lower BSFC with an increase in brake power for all the fuel samples
Harmful emission: CO, HC, NOx, and smoke emissions reduced by 6.09, 12.24%, 7.76, and 6.2%, respectively
10 Mahalingam and Ganesan [97] Rubber seed oil Al2O3 10, 15, and 20 ppm
Engine performance: Maximum BTE (10 ppm) was achieved under full load. For the case of 15 and 20 ppm, BTE decreased. BSFC decreased with a higher engine load
Harmful emission: 20 ppm had a higher CO emission (0.35%). NOx emission for 10 ppm was higher when compared to the other samples
11 Shaafi and Velraj [98] Soybean biodiesel Al2O3 100 ppm
Engine performance: Higher BTE and lower BSFC under a higher engine load
Harmful emission: Remarkable reduction in harmful emissions. Observed a small increase in NOx emission with nano-additive
12 Prabu and Anand [85] Jatropha biodiesel Al2O3 and CeO2 10, 30, and 60 ppm
Engine performance: BTE and BSFC were almost similar to neat diesel
Harmful emission: Lower NOx, CO, UHC, and smoke opacity
13 Ramesh et al. [99] Poultry litter oil methyl ester Al2O3 30 ppm
Engine performance: Higher BTE
Harmful emission: Lower CO, UBHC, and NOx emissions
14 Sivakumar [100] Pongamia methylester Al2O3 50 and 100 ppm
Engine performance: 100 ppm exhibited a better BTE and BSFC under maximum load
Harmful emission: Lower HC, CO, and smoke emissions for both ppm
15 Syed Aalam et al. [101] Zizipus jujube methyl ester blended fuel Al2O3 25 and 50 ppm
Engine performance: BSFC values of 25 ppm were nearly the same as pure diesel fuel. BSFC value decreased by about 6% for 50 ppm. BTE increased; 50 ppm showed a maximum increase (2.5%) when compared to 25 ppm
Harmful emission: Lower HC, CO, and smoke emissions with a slight increase in NOx emission
16 Mehta et al. [102] Petrodiesel Al2O3, FeO2, and B2O3
Engine performance: Reduced by 7% in BSFC with Al2O3. Increase in BTE by 9, 4, and 2% for Al2O3, FeO2, and B2O3, respectively, as compared to diesel under higher loads
Harmful emission: CO emission reduced by 25–40% in CO (vol%), HC emission reduced by 8 and 4% for Al2O3 and FeO2, respectively. NOx emission increased by 5 and 3% for Al2O3 and FeO2, respectively

4.3 TiO2

Recently, Kumar et al. [103] investigated the influence of TiO2 nanoparticles on the performance, emission, and combustion characteristics of waste orange peel oil biodiesel with the dosing levels between 50 and 100 ppm. From the findings, the addition of nanoparticles with the dosing levels of 50 and 100 ppm promoted the BTE for about 1.4% and 3.0%, respectively, under maximum break power. However, pure diesel fuel showed maximum efficiency as compared with other testing samples. Also, they observed a significant reduction in smoke (24.2%), NOx (9.7%), CO (18.4%), and HC (16.0%) for the sample with a dosing level of 100 ppm. Overall, orange oil biodiesel nano-emulsions (OOMEs) with TiO2 additive had better engine combustion performance as compared to neat biodiesel due to the improvement in the cylinder peak pressure, heat release rate, and combustion emissions. Furthermore, TiO2 nano-additives produce hydrogen from water, which can be attributed to its catalytic photoelectric effect [104,105] and its ability to activate molecular bonds in the water–diesel emulsion [106].

In another recent study, Senthil et al. [107] evaluated the influence of two different dosing levels of TiO2 nanoparticles on the emission behaviour of diesel fuel in four-stroke, single-cylinder, CI engine. Under the dosing levels of 50 and 100 ppm, the addition of TiO2 nanoparticles improved the calorific values by 0.4 and 0.68%, respectively. Likewise, the flashpoint of the biodiesel was also enhanced by 4.4 and 6.67% under the dosing level of 50 and 100 ppm, respectively. The addition of TiO2 to diesel fuel also caused a significant reduction in CO, HC, NOx, and smoke emissions. These findings are consistent with the conclusions of previous studies [52,62,108].

Karthikeyan and Viswanath [109] studied the effect of TiO2 nanoparticle on the combustion performance and emission characteristics of tamanu biodiesel in a two-cylinder diesel engine under a constant speed of 2,000 rpm. All emissions such as HC, CO, NOx, and smoke were found to be lower. The concentration level of 100 ppm produced the best combustion performance among other concentrations.

The influence of TiO2 nanoparticles in Calophyllum inophyllum biodiesel on the properties of fuel combustion features, engine performance, and emissions was studied by Praveen et al. [110]. They found that the kinematic viscosity, calorific value, and cetane number of the biodiesel increased with the addition of TiO2 nanoparticles as compared to the biodiesel. Higher cetane numbers improved the BTE owing to the higher oxygen quantity. The NOx and HC emissions reduced with the addition of nanoparticles as compared to the neat biodiesel. Similar findings were also reported by the previous researcher who studied the influence of TiO2 nanoparticles in Calophyllum inophyllum biodiesel [62].

Nanthagopal et al. [62] carried out the experiment using two different types of nanoparticles, namely, TiO2 and ZnO; 50 and 100 ppm of each nanoparticle were blended into the biodiesel using an ultrasonicator. It was reported that a higher BTE was observed in the biodiesel with the addition of TiO2 and ZnO nanoparticles as compared to pure biodiesel. For biodiesel fuel doped with 100 ppm of TiO2 nanoparticles, BTE increased by 17% as compared to that of pure biodiesel. Balasubramanian et al. [111] also observed a similar result when Mimusops elengi methyl ester (MEME) biodiesel was doped with TiO2 nanoparticle. This effect was due to the function of TiO2 nanoparticles as oxygen buffers and fuel boosters, which resulted in complete combustion and higher thermal efficiency.

El-Seesy et al. [112] carried out the experimental investigations to evaluate the combustion performance and emission characteristics of different fuel mixtures with varying percentages of n-hexane (5, 10, and 15% by volume) and dosing levels of TiO2 nanoparticles (25 and 50 ppm). All of the mixtures were tested in a diesel engine under different engine loads and at a constant speed of 2,000 rpm. It was found out that by adding TiO2 nanoparticles in jojoba biodiesel–diesel–n-hexane mixture J30D5H (30% JME + 65% D100 + 5% n-hexane), the BTE increased up to 15% as compared to the J30D5H fuel blend. A significant reduction in BSFC up to 12% was also observed in the J30D5H nanoparticle’s fuel blend. This can be credited to the beneficial presence of the nanoparticles which enhanced the combustion and mixing process. Furthermore, the NOx emission was observed to be higher when the nanoparticles were blended with J30D5H biodiesel. Surprisingly, the addition of n-hexane and n-pentane enhanced the BTE and reduced the harmful emissions [113].

Table 4 summarizes the effect of TiO2 nanoparticles on the performance, combustion, and emission characteristics of diesel/biodiesel fuel with some other undiscussed research works.

Table 4

Summary of TiO2 nanoparticles as an additive in diesel/biodiesel fuel

Authors Base fuel Nanoparticles Mass fraction of nanoparticles
1 Kumar et al. [103] OOME biodiesel TiO2 50 and 100 ppm
Engine performance: For 50 and 100 ppm, BTE increased by 1.6 and 3.0%, respectively, under maximum load condition. Lower BSFC
Harmful emission: A reduction in Co, HC, and smoke emission. NOx showed an increasing trend with the addition of nanoparticle
2 Senthil et al. [107] Diesel fuel TiO2 50 and 100 ppm
Engine performance: —
Harmful emission: For 50 and 100 ppm, HC emissions reduced by 1.7 and 2.3%, respectively. Likewise, for 50 and 100 ppm, NOx emissions decreased by 3.7 and 4.1%, respectively. CO and smoke opacity also decreased
3 Yuvarajan et al. [108] Mustard oil methyl ester TiO2 100 and 200 ppm
Engine performance: —
Harmful emission: Lower HC, CO, and smoke emissions. NOx emissions were higher than diesel under all load conditions
4 Karthikeyan and Viswanath [109] Tamanu biodiesel TiO2 25, 50, 75, and 100 ppm
Engine performance: —
Harmful emission: CO, NOx, and smoke emissions reduced
5 Anchupogu et al. [110] Calophyllum inophyllum biodiesel TiO2 40 ppm
Engine performance: Higher BTE and heat release
Harmful emission: CO and HC decreased by 23 and 12%, respectively. Smoke emission also decreased
6 Nanthagopal et al. [62] Calophyllum inophyllum biodiesel TiO2 and ZnO 50 and 100 ppm
Engine performance: Higher BTE with increasing engine load. Lower BSFC
Harmful emission: Lower HC, CO, CO2, NOx, and smoke emissions
7 Balasubramanian et al. [111] MEME biodiesel TiO2 25, 50, 75, and 100 ppm
Engine performance: Higher BTE in 25 ppm
Harmful emission: Lower HC and smoke emissions. NOx emission rose marginally
8 Manigandan et al. [114] Corn methyl ester biodiesel TiO2 100, 200, and 300 ppm
Engine performance: Higher BP and BTE. Lower BSFC
Harmful emission: Lower CO, HC, and smoke emissions. Lower NOx and particulate emission
9 Sundararajan and Anand [115] Plastic diesel oil TiO2 20 ppm
Engine performance: Higher BTE and lower BSFC. Improved combustion efficiency
Harmful emission: Lower NOx emissions
10 El-Seesy et al. [112] J30D5H blended biodiesel TiO2 25 and 50 ppm
Engine performance: BSFC reduced by 12%, while BTE increased by 15%
Harmful emission: CO and UHC emissions decreased by 20 and 50%, respectively. However, there was an increase in NOx by 15%
11 Örs et al. [116] Waste cooking oil biodiesel TiO2
Engine performance: Increased the maximum cylinder pressure and heat release rate values. Higher BTE. Lower BSFC
Harmful emission: Lower CO, HC, and smoke opacity emission. Higher CO2 and NO emissions
12 Kandasamy and Jabaraj [117] Cottonseed oil methyl ester TiO2 20 and 40 ppm
Engine performance: Improved combustion efficiency
Harmful emission: Lower exhaust gas emissions
13 Nithya et al. [64] Canola biodiesel TiO2 300 ppm
Engine performance: —
Harmful emission: NOx reduced by 5%. CO, HC, and smoke opacity emissions reduced to 32, 30, and 52%, respectively
14 Pandian et al. [118] Mustard oil biodiesel TiO2 100, 200, and 300 ppm
Engine performance:
Harmful emission: Significant reduction in HC, CO, NOx, and smoke emission. The dosing level of 300 ppm produced the best performance
15 Prabhu et al. [119] Neem oil biodiesel TiO2 250 and 500 ppm
Engine performance: BTE increased, and BSFC decreased
Harmful emission: Lower CO, HC, and smoke emissions. However, a slight increase was observed in NOx for the dosing level of 250 ppm as compared with B20 and 500 ppm. Overall, 250 ppm produced the best performance

4.4 Other metal oxides nanoparticles

The effects of other metal oxide nanoparticles as an additive on the performance, combustion, and emission characteristics in the ICE are presented in this section and listed in Table 5. Recently, Mehregan and Moghiman [120] added 25 and 50 ppm Mn2O3 and Co3O4, respectively, into the waste frying oil biodiesel which contained 20% wastes frying oil biodiesel and 80% ultralow sulphur diesel and urea-selective catalytic reduction (SCR) system. A reduction in NOx emissions was reported from the nanoparticle fuel blend. Co3O4 with the dosing level of 50 ppm demonstrated remarkable thermal properties.

Table 5

Summary of other metal oxides nanoparticles as an additive in diesel/biodiesel fuel

Authors Base fuel Nanoparticles Mass fraction of nanoparticles
1 Mehregan and Moghiman [120] Waste frying oil biodiesel Mn2O3 and Co3O4 25 and 50 ppm
Engine performance: —
Harmful emission: Reduced NOx emissions. Co3O4 with 50 ppm produced better results
2 Vedagiri et al. [121] GOME biodiesel ZnO 100 ppm
Engine performance: Higher BTE and lower BSFC
Harmful emission: Lower smoke emissions, HC, CO, and NOx
3 Amirabedia et al. [122] gasoline fuelled Mn2O3 and Co3O4 10 and 20 ppm
Engine performance: Higher BTE and BP. Lower BSFC
Harmful emission: Lower CO, UHC, and NOx emission. Higher CO2 emission. Gasoline – 10% of ethanol – 20 ppm Mn2O3 produced better results
4 Amirabedi et al. [123] Gasoline fuelled Mn2O3 10 and 20 ppm
Engine performance: Higher BTE and BP. Lower BSFC reduced
Harmful emission: Lower CO, UHC, and NOx emission. Higher CO2 emission
5 Devarajan et al. [53] Palm stearin biodiesel AgO 5 and 10 ppm
Engine performance: Higher BTE and lower BSFC
Harmful emission: HC and CO emissions were reduced by up to 8.8 and 11.9%, respectively. NOx and smoke emissions were also reduced
6 Tamilvanan et al. [124] CISO biodiesel Cu 30 ppm
Engine performance: Higher BTE and lower BSFC
Harmful emission: HC, NOx, and O2 emissions reduced. However, CO2 emission increased
7 Venu and Appavu [125] Jatropha seed oil biodiesel Zr 25 ppm
Engine performance: Lower BSFC and higher BTE
Harmful emission: Reduction in HC, CO emissions, and smoke opacity. But a slight increase in NOx and CO2 emissions
8 Yogaraj et al. [126] Jatropha biodiesel Ag–TiO2 30 ppm
Engine performance: A marginal increase of 3.3% at maximum load in BTE. Higher BP and lower BSFC
Harmful emission: Decreased UBHC by 12%, CO by 14% at a maximum load
9 Kalaimurugan et al. [127] NOMAD blended CuO2 25, 50, 75, and 100 ppm
Engine performance: Higher BTE and EGT. Lower BSFC
Harmful emission: Lower CO, HC, and smoke emissions. Higher NOx emission. The concentration level of 100 ppm produced better results
10 Kalaimurugan et al. [128] NOMAD blended RuO2 25, 50, 75, and 100 ppm
Engine performance: Lower BSFC. Higher BTE
Harmful emission: Emits less CO and HC emissions. Unfortunately, a higher amount of NOx emissions was observed compared to B20
11 Srinidhi et al. [129] Azadirachta indica biodiesel NiO 25, 50, 75, and 100 ppm
Engine performance: Higher BTE. Lower BSFC
Harmful emission: Lower HC and CO emissions. Higher NOx emission
12 Perumal and Ilangkumaran [54] Pongamia methyl ester biodiesel CuO2 50 and 100 ppm
Engine performance: Higher BTE. Lower BSFC
Harmful emission: Lower CO, HC, NOx, and smoke emissions
13 Prabakaran and Vijayabalan [130] Diesohol blends ZnO 100, 200, and 300 ppm
Engine performance: Higher BTE
Harmful emission: Lower CO, HC, and NOx emissions
14 Prabakaran and Udhoji [131] Diesel–biodiesel–ethanol blends ZnO 250 ppm
Engine performance: Higher BTE. Lower BSFC
Harmful emission: Lower CO, NOx, and smoke emissions. A slight reduction in HC emission
15 Gangwar et al. [132] Diesel fuel Cu–Zn alloy 100 and 200 ppm
Engine performance: Higher BTE. Lower BSFC
Harmful emission: Lower CO, UBHC, CO2, and NOx emissions under full load. 200 ppm of nanoparticles produced better results

Recently Vedagiri et al. [121] investigated the influence of different open burning chamber geometries on the performance, combustion, and emission of CI engines by adding ZnO nanoparticles into grapeseed oil methyl ester (GOME) biodiesel as a fuel additive. With the addition of ZnO nanoparticles, the BTE was found to be increased from 28.17 to 29.3%, and BSFC decreased slightly from 0.3258 to 0.3128 kg/kWh. A significant reduction in NOx, HC, and CO emissions was also observed. Overall, the toroidal combustion chamber produced a better combustion performance as compared to the other combustion chambers.

Amirabedia et al. [122] and Amirabedi et al. [123] blended two different types of nanoparticles into the spark-ignition (SI) gasoline along with ethanol. An ultrasonicator was used to blend 10 ppm Mn2O3 and 20 ppm Co3O4 nanoparticles into the gasoline–ethanol fuel. From the results, it was observed that higher BP values were obtained with increasing dosing levels of nanoparticles. For the dosing levels of 10 and 20 ppm Mn2O3, the BP values increased by 14.38 and 19.56%, respectively. Meanwhile, the BP values of 10 and 20 ppm Co3O4 increased by 7.96 and 11.5%, respectively. Furthermore, a reduction in CO and UHC emissions was observed with an increase in CO2 when ethanol was mixed with the nanoparticles. From the results, the gasoline–ethanol fuel blend with 20 ppm Mn2O3 nanoparticles produced the best combustion and emission performances. These findings are consistent with the previous study by Ananda et al. [75], where the addition of ethanol and nanoparticle additives in gasoline fuel improved engine performance and exhaust emissions.

Devarajan et al. [53] investigated the effect of different mass fractions of AgO nano-additive (5 and 10 ppm) and particle sizes (10 and 20 nm) on the performance, emission, and combustion behaviour of palm stearin biodiesel. At peak load conditions, a higher BTE value and a low BSFC emission were obtained from the biodiesel fuel blend with nanoparticles with a particle size of 20 nm and a concentration level of 10 ppm. The addition of AgO nanoparticles to the biodiesel reduced the harmful emission. It was observed that the biodiesel fuel with 10 ppm of 20 nm AgO nanoparticles exhibited the best engine performance. As compared to biodiesel, the in-cylinder pressure reduced by 2.2% and the net heat release rate value improved by 4.7%.

Tamilvanan et al. [124] investigated the performance, combustion, and emission behaviours of Calophyllum inophyllum seed oil (CISO) biodiesel with 30 ppm Cu additives in a single-cylinder diesel engine under varying loads. At all loads, a higher BTE value was obtained from the biodiesel blend with Cu as compared to that without additive. However, the BTE value was slightly lower than diesel. The reduction in BTE value in biodiesel can be ascribed to the lower heat of combustion. The addition of Cu nanoparticles in biodiesel fuel blends increased the combustion properties of the engine and reduced the emissions significantly.

Venu and Appavu [125] added Zr nanoparticles into the jatropha biodiesel for the CI engine. It was pointed out that the BSFC value of jatropha biodiesel with Zr nanoparticles was the lowest, and the BTE value was the highest as compared to diesel and biodiesel without Zr nanoparticles. A significant reduction in HC, CO, and smoke emissions was observed with a slight increase in NOx and CO2 emissions. Some similarities can be found between this work and the work of Yogaraj et al. [126] who used Ag–TiO2 nanoparticle as the fuel additive. By adding the additives, incomplete combustion led to lower BSFC, CO2, and HC emissions. However, a higher NOx emission was observed in all cases.

The effect of adding CuO nano-additives to the Neochloris oleoabundans methyl ester diesel (NOMED) blend was investigated by Kalaimurugan et al. [127]. A month later, the same authors published the work using RuO2 nanoparticles, whose fuel properties were very similar to that of CuO nanoparticles [128] except for the difference in the cetane index value. The cetane index of RuO2 and CuO was 52 and 55, respectively. The fuel test was performed using different concentration levels between 25 and 100 ppm under varying load conditions. From the results, both 100 ppm nanoparticles promoted a lower BTE, BSFC, and exhaust emissions.

Srinidhi et al. [129] studied the CI performance of NiO nanoparticles in Azadirachta indica biodiesel at different injection timings and dosing levels from 25 to 100 ppm. Three types of injection timing were prepared including 23, 19, and 27°bTDC (before top dead centre). As a result, the increase in fuel injection timing and the presence of nanoparticles improved the overall engine performance and reduced the release of harmful emissions from the engine.

The blending of CuO nanoparticles in pongamia biodiesel fuel has undergone different engine operation characteristics in a single-stroke four-cylinder engine. By using a 10-mL Span80 surfactant and an ultrasonicator, 50 and 100 ppm CuO nanoparticles were mixed with the pongamia biodiesel to obtain different biodiesel blends. For the dosing level of 100 ppm, the engine performance and maximum emission reduction enhanced [54]. Higher cetane number and oxygen content improved the BTE value with a reduction in HC, CO, and smoke emissions [130133].

4.5 Non-metal oxide nanoparticles

Aside from metal oxide nanoparticles, non-metal oxide nanoparticles also demonstrated excellent properties [133148] in enhancing the performance, combustion, and emission characteristics of an ICE. Table 6 summarized all of the recent findings from previous studies.

Table 6

Summary of non-metal oxides nanoparticles as an additive in diesel/biodiesel fuel

Authors Base fuel Nanoparticles Mass fraction of nanoparticles
1 Soudagar et al. [134] DSOME biodiesel GO 20, 40, and 60 ppm
Engine performance: BTE improved by 11.56%. BSFC reduced by 8.34%
Harmful emission: UBHC, smoke, CO2, NOx reduced by 21.68, 24.88, 38.662, and 5.62%, respectively
2 Mei et al. [135] Neat diesel CNT and MoO3 50 and 100 ppm
Engine performance: Higher BTE. Lower BSFC
Harmful emission: All the emissions were decreased. CNT produced better results as compared to MoO3
3 Hosseinzadeh et al. [136] Waste cooking oil Carbon 38, 75, and 150 µM
Engine performance: Higher BP and BTE. Lower BSFC
Harmful emission: HC, CO, and NOx emission reduced under full load
4 Sivathanu and Anantham [137] Waste fishing net oil MWCNT
Engine performance: BTE increased by 3.83% and BSFC decreased by 3.87%
Harmful emission: Reduction in CO, UHC, NO, and smoke by 25, 9.09, 5.25, and 14.81%. A slight increase in CO2 emission by 17.39%
5 Sulochana and Bhatti [138] Waste fry oil methyl ester MWCNT 25 and 50 ppm
Engine performance: Higher BTE
Harmful emission: Lower CO, HC, and NOx emissions
6 El-Seesy et al. [139] Jatropha methyl ester GO, GNP and MWCNT 50 ppm
Engine performance: BTE increased by 25% and BSFC decreased by 35%
Harmful emission: Reduction in CO, UHC, NO, and smoke emissions by 55, 50, 45, and 14.81%, respectively
7 Sandeep et al. [140] Honge oil methyl ester CNT 50 ppm
Engine performance: Higher BTE and lower BSFC
Harmful emission: Lower HC emission. Higher NOx emission
8 Basha [141] Jatropha methyl ester CNT 50 ppm
Engine performance: Higher BTE
Harmful emission: Harmful pollutants decreased
9 Hosseini et al. [142] Waste cooking oil CNT 30,60, and 90 ppm
Engine performance: Increase in power (3.67%), BTE (8.12%), and EGT (5.57%)
Harmful emission: CO, UHC, and soot exhaust emission reduced with an increase in NOx emission
10 El-Seesy et al. [143] Jatropha methyl ester GO 25, 50, 75, and 100 ppm
Engine performance: BTE, peak cylinder pressure, rate of pressure, and heat release rate enhanced by 17, 8, 6, and 6%, respectively
Harmful emission: CO, UHC, and NOx emissions decreases by 60, 50, and 15%, respectively; 50 ppm dosing level produced better results
11 El-Seesy et al. [144] Jatropha methyl ester GNPS 25, 50, 75, and 100 ppm
Engine performance: Increased in BTE (25%) and reduced in BSFC (20%). Peak cylinder pressure, rate of pressure, and heat release rate increased by 6, 5, and 5%, respectively.
Harmful emission: A remarkable decrease in CO, UHC, and NOx emissions by 60, 50, and 40%, respectively. The dosing level of 50 ppm produced better results.
12 Hariram et al. [145] Jojoba biodiesel MWCNT 50, 100, 1 and 150 ppm
Engine performance: Higher BTE and lower BSFC
Harmful emission: Lower CO2 and smoke emission. Higher NOx emission. The dosing level of 100 ppm produced better results
13 El-Seesy et al. [146] Jojoba methyl ester MWCNT 10, 20, 30, 40, and 50 ppm.
Engine performance: Higher peak pressure
Harmful emission: Lower NOx, UHC, and CO emissions. The dosing level of 40 ppm produced better results

In one of the most recent works, Soudagar et al. [134] investigated the influences of GO nanoparticles on the performance and emissions of a CI engine fuelled with dairy scum oil (DSOME) biodiesel using dosing levels of 20, 40, and 60 ppm under constant speed and varying BP and load conditions. GO is known as a nanoparticle with ultrahigh strength, good hydrophilicity, and dispersibility [147]. From the results, it was revealed that the net heat release and BTE values improved with an increasing amount of GO nano-additives in the fuel blends. Furthermore, the addition of GO nanoparticles in the biodiesel enhanced engine performance and emission characteristics. El-Seesy et al. [139,143] showed similar results on the performance and emissions of CI engine fuelled by Jatropha methyl ester biodiesel nanoparticle blend with GO nanoparticles. The addition of GO nanoparticles in the base fuel enhanced the combustion characteristics and reduced the exhaust emissions including CO, NOx, SO2, CO2, and smoke. It also improved the overall engine performance parameters such as BTE and BP with a reduction in the BSFC values (as shown in Figure 4). Such superior performance can be attributed to the high surface area to volume ratio of the mixture, which promoted a better fuel–air mixing pattern during the combustion process.

Figure 4 
                  The reduction percentage of the BSFC, NOx, CO, and UHC emissions under different engine loads [143].
Figure 4

The reduction percentage of the BSFC, NOx, CO, and UHC emissions under different engine loads [143].

Mei et al. [135] compared the combustion and emission of a standard rail diesel blended with non-metallic and metallic oxide nanoparticles. CNT and MoO3 nanoparticles were used as the fuel additives in the study. All CNT diesel blend and MoO3 diesel blend were found to achieve high efficiencies in fuel economy, combustion, and emissions as compared to pure diesel. This is because CNT nanoparticles possessed excellent thermal conductivity and surface deficits [148], while MoO3 owned superior catalytic oxidation performance. Based on the findings, it was observed that CNT offered superior combustion efficiency and better ability to reduce exhaust emissions as compared to MoO3 diesel blend.

Sivathanu and Anantham [137] studied the capability of MWCNT as a fuel additive in improving the performance, emission, and combustion behaviour of diesel engine fuelled with waste fishing oil. As compared with neat biodiesel fuel, the addition of MWCNT in biodiesel promoted a lower exhaust emission and a shorter ignition delay. Under 100% load, BTE increased by 3.83%. On the contrary, the BSFC value by 3.87% with the presence of MWCNT. The findings also showed a substantial decrease in engine exhaust emissions including CO, UHC, NO, and smoke by 25, 9.09, 5.25, and 14.81%, respectively. At the same time, a slight increase by 17.39% in CO2 emission was also observed. These results are in good agreement with the findings of Sulochana and Bhatti [138] and El-Seesy et al. [146].

Sandeep et al. [140] studied the ability of CNT as a fuel additive in improving diesel engine performance using HOME. As compared to pure biodiesel at full load, the addition of CNT enhanced the BTE value by 2.24% and reduced the BSFC by 20.68%. Besides, a remarkable reduction in harmful emissions was also observed.

Basha [141] investigated the combustion performance of pristine biodiesel and biodiesel emulsions blended with CNT and DEE in IC engines. The experimental results showed that the biodiesel emulsion fuel with CNT and DEE showed better efficiency, emission, and combustion characteristics in contrast to pure diesel and biodiesel. The BTE value of CNT + DEE fuel increased by 3.5%. Besides, NOx and smoke emissions were reduced by 445 ppm and 35%, respectively, when compared with the pure diesel. The study also found out that the addition of 50 ppm of CNT and 50 mL of DEE to emulsified biodiesel fuel could reduce the delay in ignition. This is owing to higher cetane number of DEE.

Hosseini et al. [142] investigated the performance and emission characteristics of mixed diesel B5 and B10 with the addition of CNT. Different concentrations of 30, 60, and 90 ppm CNT nanoparticles were added into diesel. The findings revealed that the power, BTE, and EGT of all CNT fuel blends improved by 3.67, 8.12, and 5.57%, respectively. At the same time, biodiesel blends with CNT nanoparticle additive exhibited a significant reduction in BSFC. In terms of emission characteristics, it was found out that the CO, UHC, and soot emission of the diesel biodiesel mixture reduced with an increase in NOx emission.

Hariram et al. [145] added MWCNT nanoparticles into the Jojoba biodiesel and the addition of 50, 100, and 150 ppm MWCNT nanoparticles reduced the ignition delay period. The BTE values of all concentration levels were found to be increased, while the BSFC reduced. The concentration level of 100 ppm MWCNT nanoparticles produced better combustion characteristics and engine performance as well as low harmful emissions.

El-Seesy et al. [146] studied the effect of different concentrations of MWCNT (1–50 ppm) into the jojoba methyl ester diesel under different load conditions and engine speeds. The experimental analysis revealed that the addition of MWCNT nanoparticles improved the performance and emission characteristics. The BTE value increased upon the addition of MWCNT nanoparticle up to 16% in the biodiesel blend. At the same time, the BSFC performance decreased by 15%. By adding the MWCNTs into the biodiesel blend, the emissions of NOx, UHC, and CO significantly reduced. With the nanoparticle’s concentration of 20 ppm, the NOx, CO, and UHC emissions decreased by 35%, 50%, and 60%, respectively Overall, the concentration level of 50 ppm produced better combustion characteristics and engine performance as well as low harmful emissions.

5 Conclusion

In this article, a recent review of the effects of nanofluid as a fuel additive in diesel/biodiesel is presented. The application of nanofluid biodiesel blend in the ICE can serve as a potential approach in reducing GHG emissions and improving engine efficiency. Many previous studies demonstrated that nanoparticles can be used to enhance the fuel properties, engine performance, fuel combustion, and exhaust emission. Fuel properties are one of the most significant factors that determine the engine performance and combustion quality. The summary of this review article is listed as follows.

  • – The addition of nanoparticles plays a vital role in promoting better combustion quality. With the addition of nanoparticles to the diesel/biodiesel, it can improve the fuel properties such as kinematic viscosity, caloric value, flash point, density, and cetane number, leading to complete combustion. The increase in BTE is due to the catalytic activity and improvement in fuel properties. In contrast, a low calorific value will increase BSFC. In short, a higher calorific value will promote a lower BSFC and higher BTE.

  • – Fuel properties such as kinematic viscosity, caloric value, flash point, density, and cetane number also depend on the type of biodiesel, type of nanoparticle and its size, and the amount of dosing level. This may have a varied effect on the combustion and emission characteristics.

  • – Increasing the dosing level of nanoparticles can greatly enhance the engine performance and emission characteristics, excessive number of nanoparticles will lead to unburned fuel–air mixture during the combustion process.

  • – The addition of ethanol and nanoparticles in gasoline fuel can also improve engine performance and exhaust emissions.

  • – Among the above nanoparticles, aluminium is the best metal candidate, while CNT is used for non-metal nanoparticles. This is owing to their presence of excess oxygen quantity, and the positive effects of nanoparticles on the fuel properties (i.e. highest calorific value) of diesel/biodiesel blended could reportedly increase in combustion efficiency, leading to reduced BSFC and harmful emissions.

As a whole, the addition of nanoparticles in diesel/biodiesel plays a significant role in improving the fuel properties and enhancing the performance of the CI engine as well as reducing the exhaust emissions.

6 Current challenges and recommendations

From authors’ review, most of the results are favourable, because the addition of nanoparticles in the diesel/biodiesel can enhance the performance of CI engine and reduce the harmful emissions (HC, CO, smoke, and NOx emissions) causing the global air pollution. This literature review reveals that most of the experiments conducted showed a remarkable improvement in producing a lower exhaust emission.

Moreover, there are contradictory observations by researchers regarding the engine performance such as BTE, BSFC, peak pressure, and emissions characteristics such as HC, CO, smoke, and NOx emissions as noted in the literature. Among them, few researchers reported that NOx emission release was higher with the addition of additives. The discrepancy occurred due to the different types of biodiesel, types of nanoparticles and its size, and also its volume concentration. The particle size is one of the important key factors that affect the combustion quality. Further study is therefore needed to overcome this discrepancy by considering the source of vegetable oils and different types of nanoparticles and its size by varying the dosing level of nanoparticles.

Acknowledgements

The authors would like to express their appreciation to Universiti Teknologi Malaysia and the Ministry of Education for providing the financial support for this work through FRGS-MSRA research grant (Vote No: 5F273) and LRGS (Vote No: 4L891).

  1. Conflict of interest: The authors declare no conflict of interest regarding the publication of this paper.

References

[1] Bhatti JS, Apps MJ, Lal R, Price MA. Anthropogenic changes and the global carbon cycle. Climate change managed ecosystems. Boca Raton, FL: CRC Press; 2006. p. 71–92.10.1201/9781420037791.ch4Suche in Google Scholar

[2] Trabalka JR, Reichle DE, editors. The changing carbon cycle: A global analysis. New York: Springer Sci Bus Media; 2013 Mar 9.10.1007/978-1-4757-1915-4Suche in Google Scholar

[3] IPCC. Climate change 2014: Synthesis report. Core Writing Team, Pachauri RK, Meyer LA, (eds.). Contribution of working groups I, II and III to the fifth assessment report of the intergovernmental panel on climate change. Geneva, Switzerland: IPCC; 2014.Suche in Google Scholar

[4] Uyumaz A. An experimental investigation into combustion and performance characteristics of an HCCI gasoline engine fueled with n-heptane, isopropanol and n-butanol fuel blends at different inlet air temperatures. Energ Convers Manage. 2015;98:199–207.10.1016/j.enconman.2015.03.043Suche in Google Scholar

[5] He BQ, Liu MB, Zhao H. Comparison of combustion characteristics of n-butanol/ethanol–gasoline blends in a HCCI engine. Energ Convers Manage. 2015;95:101–9.10.1016/j.enconman.2015.02.019Suche in Google Scholar

[6] Kahveci EE, Taymaz I. Experimental study on performance evaluation of PEM fuel cell by coating bipolar plate with materials having different contact angle. Fuel. 2019;253:1274–81.10.1016/j.fuel.2019.05.110Suche in Google Scholar

[7] Taymaz I, Benli M. Emissions and fuel economy for a hybrid vehicle. Fuel. 2014;115:812–7.10.1016/j.fuel.2013.04.045Suche in Google Scholar

[8] Yusof SN, Manap A, Afandi NM, Salim M, Misran H. Mechanical and wear properties of aluminum coating prepared by cold spraying. AIP conference proceedings (vol. 1669, no. 1, p. 020044). Melville, NY: AIP Publishing LLC; 2015 Jul 22.10.1063/1.4919182Suche in Google Scholar

[9] Ghassemieh E. Materials in automotive application, state of the art and prospects. New trends and developments in automotive industry. InTech. 2011;365–94.10.5772/13286Suche in Google Scholar

[10] Davies J, Grant M, Venezia J, Aamidor J. Greenhouse gas emissions of the US transportation sector: Trends, uncertainties, and methodological improvements. Transp Res Rec. 2007;2017(1):41–6.10.3141/2017-06Suche in Google Scholar

[11] Shaheen SA, Lipman TE. Reducing greenhouse emissions and fuel consumption: Sustainable approaches for surface transportation. IATSS Res. 2007;31(1):6–20.10.1016/S0386-1112(14)60179-5Suche in Google Scholar

[12] Yusof SN, Asako Y, Faghri M, Tan LK, bin Che Sidik NA. Numerical analysis for irreversible processes in a piston-cylinder system. Int J Heat Mass Transf. 2018;124:1097–106.10.1016/j.ijheatmasstransfer.2018.04.008Suche in Google Scholar

[13] Yusof SN, Asako Y, Ken TL, Sidik NA. Piston surface pressure of piston-cylinder system with finite piston speed. J Adv Res Fluid Mech Therm Sci. 2018;44(1):55–65.Suche in Google Scholar

[14] Yusof SN, Asako Y, Faghri M, Tan LK, bin Che Sidik NA, bin Aziz Japar WM. Numerical analysis of irreversible processes in a piston-cylinder system using LB1S turbulence model. Int J Heat Mass Transf. 2019;136:730–9.10.1016/j.ijheatmasstransfer.2019.03.007Suche in Google Scholar

[15] Giakoumis EG. A statistical investigation of biodiesel effects on regulated exhaust emissions during transient cycles. Appl Energ. 2012;98:273–91.10.1016/j.apenergy.2012.03.037Suche in Google Scholar

[16] Karim GA, Khan MO. Examination of effective rates of combustion heat release in a dual-fuel engine. J Mech Eng Sci. 1968;10(1):13–23.10.1243/JMES_JOUR_1968_010_004_02Suche in Google Scholar

[17] Kumar BR, Saravanan S. Effects of iso-butanol/diesel and n-pentanol/diesel blends on performance and emissions of a DI diesel engine under premixed LTC (low temperature combustion) mode. Fuel. 2016;170:49–59.10.1016/j.fuel.2015.12.029Suche in Google Scholar

[18] Mwangi JK, Lee WJ, Chang YC, Chen CY, Wang LC. An overview: Energy saving and pollution reduction by using green fuel blends in diesel engines. Appl Energ. 2015;159:214–36.10.1016/j.apenergy.2015.08.084Suche in Google Scholar

[19] Jiaqiang E, Liu G, Zhang Z, Han D, Chen J, Wei K, et al. Effect analysis on cold starting performance enhancement of a diesel engine fueled with biodiesel fuel based on an improved thermodynamic model. Appl Energ. 2019;243:321–35.10.1016/j.apenergy.2019.03.204Suche in Google Scholar

[20] Jiaqiang E, Liu T, Yang W, Deng Y, Gong J. A skeletal mechanism modeling on soot emission characteristics for biodiesel surrogates with varying fatty acid methyl esters proportion. Appl Energ. 2016;181:322–31.10.1016/j.apenergy.2016.08.090Suche in Google Scholar

[21] Wu G, Lu Z, Xu X, Pan W, Wu W, Li J, et al. Numerical investigation of aeroacoustics damping performance of a Helmholtz resonator: Effects of geometry, grazing and bias flow. Aerosp Sci Technol. 2019;86:191–203.10.1016/j.ast.2019.01.007Suche in Google Scholar

[22] Pedrozo VB, May I, Guan W, Zhao H. High efficiency ethanol-diesel dual-fuel combustion: A comparison against conventional diesel combustion from low to full engine load. Fuel. 2018;230:440–51.10.1016/j.fuel.2018.05.034Suche in Google Scholar

[23] Ghaffarzadeh S, Toosi AN, Hosseini V. An experimental study on low temperature combustion in a light duty engine fueled with diesel/CNG and biodiesel/CNG. Fuel. 2020;262:116495.10.1016/j.fuel.2019.116495Suche in Google Scholar

[24] Yesilyurt MK, Aydin M. Experimental investigation on the performance, combustion and exhaust emission characteristics of a compression-ignition engine fueled with cottonseed oil biodiesel/diethyl ether/diesel fuel blends. Energ Convers Manage. 2020;205:112355.10.1016/j.enconman.2019.112355Suche in Google Scholar

[25] Devarajan Y, Madhavan VR. Emission analysis on the influence of ferrofluid on rice bran biodiesel. J Chil Chem Soc. 2017;62(4):3703–7.10.4067/s0717-97072017000403703Suche in Google Scholar

[26] Radhakrishnan S, Munuswamy DB, Devarajan Y, Mahalingam A. Performance, emission and combustion study on neat biodiesel and water blends fuelled research diesel engine. Heat Mass Transf. 2019;55(4):1229–37.10.1007/s00231-018-2509-xSuche in Google Scholar

[27] Saravanan S, Nagarajan G. Comparison of influencing factors of diesel with crude rice bran oil methyl ester in multi response optimization of NOx emission. Ain Shams Eng J. 2014;5(4):1241–8.10.1016/j.asej.2014.07.003Suche in Google Scholar

[28] Choi SU, Eastman JA. Enhancing thermal conductivity of fluids with nanoparticles, No. ANL/MSD/CP-84938; CONF-951135-29. IL, USA: Argonne National Lab; 1995.Suche in Google Scholar

[29] Hong KS, Hong TK, Yang HS. Thermal conductivity of Fe nanofluids depending on the cluster size of nanoparticles. Appl Phys Lett. 2006;88(3):031901.10.1063/1.2166199Suche in Google Scholar

[30] Amrollahi A, Hamidi AA, Rashidi AM. The effects of temperature, volume fraction and vibration time on the thermo-physical properties of a carbon nanotube suspension (carbon nanofluid). Nanotechnol. 2008;19(31):315701.10.1088/0957-4484/19/31/315701Suche in Google Scholar PubMed

[31] Ruan B, Jacobi AM. Ultrasonication effects on thermal and rheological properties of carbon nanotube suspensions. Nanoscale Res Lett. 2012;7(1):1–4.10.1186/1556-276X-7-127Suche in Google Scholar PubMed PubMed Central

[32] Chung SJ, Leonard JP, Nettleship I, Lee JK, Soong Y, Martello DV, et al. Characterization of ZnO nanoparticle suspension in water: Effectiveness of ultrasonic dispersion. Powder Technol. 2009;194(1–2):75–80.10.1016/j.powtec.2009.03.025Suche in Google Scholar

[33] Hwang Y, Lee JK, Lee JK, Jeong YM, Cheong SI, Ahn YC, et al. Production and dispersion stability of nanoparticles in nanofluids. Powder Technol. 2008;186(2):145–53.10.1016/j.powtec.2007.11.020Suche in Google Scholar

[34] Li X, Zhu D, Wang X. Evaluation on dispersion behavior of the aqueous copper nano-suspensions. J Colloid Interf Sci. 2007;310(2):456–63.10.1016/j.jcis.2007.02.067Suche in Google Scholar PubMed

[35] Shanbedi M, Heris SZ, Maskooki A. Experimental investigation of stability and thermophysical properties of carbon nanotubes suspension in the presence of different surfactants. J Therm Anal Calorim. 2015;120(2):1193–201.10.1007/s10973-015-4404-8Suche in Google Scholar

[36] Aalam CS, Saravanan CG. Effects of nano metal oxide blended Mahua biodiesel on CRDI diesel engine. Ain Shams Eng J. 2017;8(4):689–96.10.1016/j.asej.2015.09.013Suche in Google Scholar

[37] Nema VK, Singh A. Emission reduction in a dual blend biodiesel fuelled CI engine using nano-fuel additives. Mater Today Proc. 2018;5(9):20754–9.10.1016/j.matpr.2018.06.461Suche in Google Scholar

[38] Tang QY, Shafiq I, Chan YC, Wong NB, Cheung R. Study of the dispersion and electrical properties of carbon nanotubes treated by surfactants in dimethylacetamide. J Nanosci Nanotechol. 2010;10(8):4967–74.10.1166/jnn.2010.2224Suche in Google Scholar PubMed

[39] Li XF, Zhu DS, Wang XJ, Wang N, Gao JW, Li H. Thermal conductivity enhancement dependent pH and chemical surfactant for Cu–H2O nanofluids. Thermochim Acta. 2008;469(1–2):98–103.10.1016/j.tca.2008.01.008Suche in Google Scholar

[40] Bandyopadhyaya R, Nativ-Roth E, Regev O, Yerushalmi-Rozen R. Stabilization of individual carbon nanotubes in aqueous solutions. Nano Lett. 2002;2(1):25–8.10.1021/nl010065fSuche in Google Scholar

[41] Xia G, Jiang H, Liu R, Zhai Y. Effects of surfactant on the stability and thermal conductivity of Al2O3/de-ionized water nanofluids. Int J Therm Sci. 2014;84:118–24.10.1016/j.ijthermalsci.2014.05.004Suche in Google Scholar

[42] Sahooli M, Sabbaghi S, Shariaty Niassar M. Preparation of CuO/water nanofluids using polyvinylpyrolidone and a survey on its stability and thermal conductivity. Int J Nanosci Nanotechnol. 2012;8(1):27–34.10.1166/jon.2012.1014Suche in Google Scholar

[43] Yu W, Xie H. A review on nanofluids: Preparation, stability mechanisms, and applications. J Nanomater. 2012;2012:435873.10.1155/2012/435873Suche in Google Scholar

[44] Chen L, Xie H, Li Y, Yu W. Nanofluids containing carbon nanotubes treated by mechanochemical reaction. Thermochim Acta. 2008;477(1–2):21–4.10.1016/j.tca.2008.08.001Suche in Google Scholar

[45] Chen L, Xie H. Properties of carbon nanotube nanofluids stabilized by cationic gemini surfactant. Thermochim Acta. 2010;506(1–2):62–6.10.1016/j.tca.2010.04.016Suche in Google Scholar

[46] Vedagiri P, Martin LJ, Varuvel EG, Subramanian T. Experimental study on NOx reduction in a grapeseed oil biodiesel-fueled CI engine using nanoemulsions and SCR retrofitment. Env Sci Pollut Res. 2020;27:29703–18.10.1007/s11356-019-06097-8Suche in Google Scholar PubMed

[47] Praveena V, Martin ML, Geo VE. Experimental characterization of CI engine performance, combustion and emission parameters using various metal oxide nanoemulsion of grapeseed oil methyl ester. J Therm Anal Calorim. 2020;139(6):3441–56.10.1007/s10973-019-08722-7Suche in Google Scholar

[48] Karthikeyan S, Elengo A, Prathima A. Performance, combustion and emission characteristics of a marine engine running on grape seed oil biodiesel blends with nano additive. Indian J Geo-Mar Sci. 2014;43:12.Suche in Google Scholar

[49] Chen AF, Adzmi MA, Adam A, Othman MF, Kamaruzzaman MK, Mrwan AG. Combustion characteristics, engine performances and emissions of a diesel engine using nanoparticle-diesel fuel blends with aluminium oxide, carbon nanotubes and silicon oxide. Energ Convers Manage. 2018;171:461–77.10.1016/j.enconman.2018.06.004Suche in Google Scholar

[50] Gumus S, Ozcan H, Ozbey M, Topaloglu B. Aluminum oxide and copper oxide nanodiesel fuel properties and usage in a compression ignition engine. Fuel. 2016;163:80–7.10.1016/j.fuel.2015.09.048Suche in Google Scholar

[51] Sahoo RR, Jain A. Experimental analysis of nanofuel additives with magnetic fuel conditioning for diesel engine performance and emissions. Fuel. 2019;236:365–72.10.1016/j.fuel.2018.09.027Suche in Google Scholar

[52] D’Silva R, Binu KG, Bhat T. Performance and Emission characteristics of a CI Engine fuelled with diesel and TiO2 nanoparticles as fuel additive. Mater Today Proc. 2015;2(4–5):3728–35.10.1016/j.matpr.2015.07.162Suche in Google Scholar

[53] Devarajan Y, Munuswamy DB, Mahalingam A. Investigation on behavior of diesel engine performance, emission, and combustion characteristics using nano-additive in neat biodiesel. Heat Mass Transf. 2019;55(6):1641–50.10.1007/s00231-018-02537-2Suche in Google Scholar

[54] Perumal V, Ilangkumaran M. The influence of copper oxide nano particle added pongamia methyl ester biodiesel on the performance, combustion and emission of a diesel engine. Fuel. 2018;232:791–802.10.1016/j.fuel.2018.04.129Suche in Google Scholar

[55] Sajin JB, Pillai GO, Kesavapillai M, Varghese S. Effect of nanoparticle on emission and performance characteristics of biodiesel. Int J Ambient Energy. 2019;1–7.10.1080/01430750.2019.1611650Suche in Google Scholar

[56] Lenin MA, Swaminathan MR, Kumaresan G. Performance and emission characteristics of a DI diesel engine with a nanofuel additive. Fuel. 2013;109:362–5.10.1016/j.fuel.2013.03.042Suche in Google Scholar

[57] Tewari P, Doijode E, Banapurmath NR, Yaliwal VS. Experimental investigations on a diesel engine fuelled with multiwalled carbon nanotubes blended biodiesel fuels. Int J Emerg Technol Adv Eng. 2013;3(3):72–6.10.18245/ijaet.59113Suche in Google Scholar

[58] Narasiman, Jeyakumar, Mani. Experimental investigation of DI diesel engine performance with oxygenated additive and SOME biodiesel. J Therm Sci Technol. 2015;10(1):JTST0014.10.1299/jtst.2015jtst0014Suche in Google Scholar

[59] Sathiyamoorthi R, Puviyarasan M, Bhuvanesh BK, Joshua DB. Effect of CeO2 nano additive on performance and emission characteristics of diesel engine fuelled by neem oil-biodiesel. Int J Chem Sci. 2016;14:473–84.Suche in Google Scholar

[60] Gharehghani A, Asiaei S, Khalife E, Najafi B, Tabatabaei M. Simultaneous reduction of CO and NOx emissions as well as fuel consumption by using water and nano particles in diesel–biodiesel blend. J Clean Prod. 2019;210:1164–70.10.1016/j.jclepro.2018.10.338Suche in Google Scholar

[61] Annamalai M, Dhinesh B, Nanthagopal K, SivaramaKrishnan P, Lalvani JI, Parthasarathy M, et al. An assessment on performance, combustion and emission behavior of a diesel engine powered by ceria nanoparticle blended emulsified biofuel. Energ Convers Manage. 2016;123:372–80.10.1016/j.enconman.2016.06.062Suche in Google Scholar

[62] Nanthagopal K, Ashok B, Tamilarasu A, Johny A, Mohan A. Influence on the effect of zinc oxide and titanium dioxide nanoparticles as an additive with Calophyllum inophyllum methyl ester in a CI engine. Energ Convers Manage. 2017;146:8–19.10.1016/j.enconman.2017.05.021Suche in Google Scholar

[63] Anchupogu P, Rao LN, Banavathu B. Effect of alumina nano additives into biodiesel-diesel blends on the combustion performance and emission characteristics of a diesel engine with exhaust gas recirculation. Env Sci Pollut Res. 2018;25(23):23294–306.10.1007/s11356-018-2366-7Suche in Google Scholar PubMed

[64] Nithya S, Manigandan S, Gunasekar P, Devipriya J, Saravanan WS. The effect of engine emission on canola biodiesel blends with TiO2. Int J Ambient Energy. 2019;40(8):838–41.10.1080/01430750.2017.1421583Suche in Google Scholar

[65] Najafi G. Diesel engine combustion characteristics using nano-particles in biodiesel-diesel blends. Fuel. 2018;212:668–78.10.1016/j.fuel.2017.10.001Suche in Google Scholar

[66] Miyamoto N, Hou Z, Harada A, Ogawa H, Murayama T. Characteristics of diesel soot suppression with soluble fuel additives. SAE Trans. 1987;96:792–8.10.4271/871612Suche in Google Scholar

[67] Younis A, Chu D, Li S. Cerium oxide nanostructures and their applications. Funct Nanomater. 2016;53–68.10.5772/65937Suche in Google Scholar

[68] Khalife E, Tabatabaei M, Najafi B, Mirsalim SM, Gharehghani A, Mohammadi P, et al. A novel emulsion fuel containing aqueous nano cerium oxide additive in diesel–biodiesel blends to improve diesel engines performance and reduce exhaust emissions: Part I – Experimental analysis. Fuel. 2017;207:741–50.10.1016/j.fuel.2017.06.033Suche in Google Scholar

[69] Mei D, Li X, Wu Q, Sun P. Role of cerium oxide nanoparticles as diesel additives in combustion efficiency improvements and emission reduction. J Energy Eng. 2016;142(4):04015050.10.1061/(ASCE)EY.1943-7897.0000329Suche in Google Scholar

[70] Sathiyamoorthi R, Sankaranarayanan G, Pitchandi K. Combined effect of nanoemulsion and EGR on combustion and emission characteristics of neat lemongrass oil (LGO)-DEE-diesel blend fuelled diesel engine. Appl Therm Eng. 2017;112:1421–32.10.1016/j.applthermaleng.2016.10.179Suche in Google Scholar

[71] Sajith V, Sobhan CB, Peterson GP. Experimental investigations on the effects of cerium oxide nanoparticle fuel additives on biodiesel. Adv Mech Eng. 2010;2:581407.10.1155/2010/581407Suche in Google Scholar

[72] Pandey AK, Nandgaonkar M, Pandey U, Suresh S, Varghese A. The effect of cerium oxide nano particles fuel additive on performance and emission of karanja biodiesel fueled compression ignition military 585kW heavy duty diesel engine. SAE Technical Paper; 2018.10.4271/2018-01-1818Suche in Google Scholar

[73] Pandey AK, Nandgaonkar M, Pandey U, Suresh S. Experimental investigation of the effect of karanja oil biodiesel with cerium oxide nano particle fuel additive on lubricating oil tribology and engine wear in a heavy duty 38.8 L, 780 HP Military CIDI Diesel Engine. SAE Technical Paper. 2018.10.4271/2018-01-1753Suche in Google Scholar

[74] Narendiranath BT, Praneeth VS. Effect of an additive in karanja biodiesel blends on the performance and emission characteristics of diesel engines. Int J Mech Eng Technol. 2018;9(4):837–46.Suche in Google Scholar

[75] Ananda Srinivasan C, Saravanan CG, Gopalakrishnan M. Emission reduction on ethanol–gasoline blend using cerium oxide nanoparticles as fuel additive. Part Sci Technol. 2018;36(5):628–35.10.1080/02726351.2017.1287791Suche in Google Scholar

[76] Janakiraman S, Lakshmanan T, Chandran V, Subramani L. Comparative behavior of various nano additives in a DIESEL engine powered by novel Garcinia gummi-gutta biodiesel. J Clean Prod. 2020;245:118940.10.1016/j.jclepro.2019.118940Suche in Google Scholar

[77] Fu P, Bai X, Yi W, Li Z, Li Y, Wang L. Assessment on performance, combustion and emission characteristics of diesel engine fuelled with corn stalk pyrolysis bio-oil/diesel emulsions with Ce0. 7Zr0. 3O2 nanoadditive. Fuel Process Technol. 2017;167:474–83.10.1016/j.fuproc.2017.07.032Suche in Google Scholar

[78] Saraee HS, Jafarmadar S, Taghavifar H, Ashrafi SJ. Reduction of emissions and fuel consumption in a compression ignition engine using nanoparticles. Int J Environ Sci Technol. 2015;12(7):2245–52.10.1007/s13762-015-0759-4Suche in Google Scholar

[79] Devendiran DK, Amirtham VA. A review on preparation, characterization, properties and applications of nanofluids. Renew Sust Energ Rev. 2016;60:21–40.10.1016/j.rser.2016.01.055Suche in Google Scholar

[80] Senthil Kumar J, Ramesh Bapu BR. Cerium oxide nano additive impact of VCR diesel engine characteristics by using Ginger grass oil blended with diesel. Int J Ambient Energy. 2019;1–6.10.1080/01430750.2019.1653975Suche in Google Scholar

[81] Thangavelu SK, Arthanarisamy M. Experimental investigation on engine performance, emission, and combustion characteristics of a DI CI engine using tyre pyrolysis oil and diesel blends doped with nanoparticles. Env Prog Sust Energy. 2020;39(2):e13321.10.1002/ep.13321Suche in Google Scholar

[82] Hawi M, Elwardany A, Ismail M, Ahmed M. Experimental investigation on performance of a compression ignition engine fueled with waste cooking oil biodiesel–diesel blend enhanced with iron-doped cerium oxide nanoparticles. Energies. 2019;12(5):798.10.3390/en12050798Suche in Google Scholar

[83] Akram S, Mumtaz MW, Danish M, Mukhtar H, Irfan A, Raza SA, et al. Impact of cerium oxide and cerium composite oxide as nano additives on the gaseous exhaust emission profile of waste cooking oil based biodiesel at full engine load conditions. Renew Energ. 2019;143:898–905.10.1016/j.renene.2019.05.025Suche in Google Scholar

[84] Vairamuthu G, Sundarapandian S, Kailasanathan C, Thangagiri B. Experimental investigation on the effects of cerium oxide nanoparticle on Calophyllum inophyllum (Punnai) biodiesel blended with diesel fuel in DI diesel engine modified by nozzle geometry. J Energy Inst. 2016;89(4):668–82.10.1016/j.joei.2015.05.005Suche in Google Scholar

[85] Prabu A, Anand RB. Emission control strategy by adding alumina and cerium oxide nano particle in biodiesel. J Energy Inst. 2016;89(3):366–72.10.1016/j.joei.2015.03.003Suche in Google Scholar

[86] Selvan VA, Anand RB, Udayakumar M. Effect of cerium oxide nanoparticles and carbon nanotubes as fuel-borne additives in diesterol blends on the performance, combustion and emission characteristics of a variable compression ratio engine. Fuel. 2014;130:160–7.10.1016/j.fuel.2014.04.034Suche in Google Scholar

[87] Nassir AK, Haroun AKS. Experimental study of effect of nanoparticles addition on combustion phasing in diesel engine. Int J Mech Mechatron Eng. 2018;18(1):87–97.Suche in Google Scholar

[88] Sathiamurthi P, Vinith KSK, Sivakumar A. Performance and emission test in CI engine using magnetic fuel conditioning with nano additives. Int J Rec Technol Eng. 2019;8(3):7823–6.10.35940/ijrte.C6213.098319Suche in Google Scholar

[89] Venkatesan SP, Kadiresh PN. Influence of aluminum oxide nanoparticle additive on performance and exhaust emissions of diesel engine. Int J Appl Eng Res. 2015;10(3):5741–9.Suche in Google Scholar

[90] Basha JS. An experimental analysis of a diesel engine using alumina nanoparticles blended diesel fuel. SAE Technical Paper; 2014.Suche in Google Scholar

[91] Kao MJ, Ting CC, Lin BF, Tsung TT. Aqueous aluminum nanofluid combustion in diesel fuel. J Test Eval. 2008;36(2):186–90.10.1520/JTE100579Suche in Google Scholar

[92] Reddy BV, Maity SR, Pandey KM. Characterization of spray formed Al-alloys – A review. Rev Adv Mater Sci. 2019;58(1):147–58.10.1515/rams-2019-0013Suche in Google Scholar

[93] Nayak SK, Pattanaik BP. Experimental investigation on performance and emission characteristics of a diesel engine fuelled with mahua biodiesel using additive. Energy Procedia. 2014;54:569–79.10.1016/j.egypro.2014.07.298Suche in Google Scholar

[94] Raju VD, Kishore PS, Nanthagopal K, Ashok B. An experimental study on the effect of nanoparticles with novel tamarind seed methyl ester for diesel engine applications. Energ Convers Manage. 2018;164:655–66.10.1016/j.enconman.2018.03.032Suche in Google Scholar

[95] Balasubramanian D, Venugopal IP, Viswanathan K. Characteristics investigation on Di diesel engine with nano-particles as an additive in lemon grass oil. SAE Technical Paper; 2019.10.4271/2019-28-0081Suche in Google Scholar

[96] Soudagar ME, Nik-Ghazali NN, Kalam MA, Badruddin IA, Banapurmath NR, Ali MA, et al. An investigation on the influence of aluminium oxide nano-additive and honge oil methyl ester on engine performance, combustion and emission characteristics. Renew Energ. 2020;146:2291–307.10.1016/j.renene.2019.08.025Suche in Google Scholar

[97] Mahalingam S, Ganesan S. Effect of nano-fuel additive on performance and emission characteristics of the diesel engine using biodiesel blends with diesel fuel. Int J Ambient Energy. 2020;41(3):316–21.10.1080/01430750.2018.1437566Suche in Google Scholar

[98] Shaafi T, Velraj R. Influence of alumina nanoparticles, ethanol and isopropanol blend as additive with diesel–soybean biodiesel blend fuel: Combustion, engine performance and emissions. Renew Energ. 2015;80:655–63.10.1016/j.renene.2015.02.042Suche in Google Scholar

[99] Ramesh DK, Kumar JD, Kumar SH, Namith V, Jambagi PB, Sharath S. Study on effects of alumina nanoparticles as additive with poultry litter biodiesel on performance, combustion and emission characteristic of diesel engine. Mater Today Proc. 2018;5(1):1114–20.10.1016/j.matpr.2017.11.190Suche in Google Scholar

[100] Sivakumar M, Sundaram NS, Thasthagir MH. Effect of aluminium oxide nanoparticles blended pongamia methyl ester on performance, combustion and emission characteristics of diesel engine. Renew Energ. 2018;116:518–26.10.1016/j.renene.2017.10.002Suche in Google Scholar

[101] Aalam CS, Saravanan CG, Kannan M. Experimental investigations on a CRDI system assisted diesel engine fuelled with aluminium oxide nanoparticles blended biodiesel. Alex Eng J. 2015;54(3):351–8.10.1016/j.aej.2015.04.009Suche in Google Scholar

[102] Mehta RN, Chakraborty M, Parikh PA. Nanofuels: Combustion, engine performance and emissions. Fuel. 2014;120:91–7.10.1016/j.fuel.2013.12.008Suche in Google Scholar

[103] Kumar AM, Kannan M, Nataraj G. A study on performance, emission and combustion characteristics of diesel engine powered by nano-emulsion of waste orange peel oil biodiesel. Renew Energ. 2020;146:1781–95.10.1016/j.renene.2019.06.168Suche in Google Scholar

[104] Typek J, Guskos N, Zolnierkiewicz G, Pilarska M, Guskos A, Kusiak-Nejman E, et al. Magnetic properties of TiO2/graphitic carbon nanocomposites. Rev Adv Mater Sci. 2019;58(1):107–22.10.1515/rams-2019-0009Suche in Google Scholar

[105] Yousefian R, Emadoddin E, Baharnezhad S. Manufacturing of the aluminum metal-matrix composite reinforced with micro-and nanoparticles of TIO2 through accumulative roll bonding process (ARB). Rev Adv Mater Sci. 2018;55(1):1.10.1515/rams-2018-0022Suche in Google Scholar

[106] Ichikawa S. Photoelectrocatalytic production of hydrogen from natural seawater under sunlight. Int J Hydrog Energ. 1997;22(7):675–8.10.1016/S0360-3199(96)00236-4Suche in Google Scholar

[107] Senthil Kumar J, Ramesh Bapu BR, Gugan R. Emission examination on nanoparticle blended diesel in constant speed diesel engine. Pet Sci Technol. 2020;38(2):98–105.10.1080/10916466.2019.1683579Suche in Google Scholar

[108] Yuvarajan D, Babu MD, BeemKumar N, Kishore PA. Experimental investigation on the influence of titanium dioxide nanofluid on emission pattern of biodiesel in a diesel engine. Atmos Pollut Res. 2018;9(1):47–52.10.1016/j.apr.2017.06.003Suche in Google Scholar

[109] Karthikeyan P, Viswanath G. Effect of titanium oxide nanoparticles in tamanu biodiesel operated in a two cylinder diesel engine. Mater Today Proc. 2020;22:776–80.10.1016/j.matpr.2019.10.138Suche in Google Scholar

[110] Praveen A, Rao GL, Balakrishna B. Performance and emission characteristics of a diesel engine using Calophyllum inophyllum biodiesel blends with TiO2 nanoadditives and EGR. Egyptian. J Pet. 2018;27(4):731–8.10.1016/j.ejpe.2017.10.008Suche in Google Scholar

[111] Balasubramanian D, Lawrence KR. Influence on the effect of titanium dioxide nanoparticles as an additive with Mimusops elengi methyl ester in a CI engine. Env Sci Pollut Res. 2019;26(16):16493–502.10.1007/s11356-019-04826-7Suche in Google Scholar PubMed

[112] El-Seesy AI, Hassan H, Dawood A, Attia AM, Kosaka H, Ookawara S. Investigation of the impact of adding titanium dioxide to jojoba biodiesel-diesel-n-hexane mixture on the performance and emission characteristics of a diesel engine. Internal combustion engine division fall technical conference (vol. 51982, p. V001T02A006). American Society of Mechanical Engineers; 2018 Nov 4.10.1115/ICEF2018-9647Suche in Google Scholar

[113] Balamurugan T, Nalini R. Experimental investigation on the effect of alkanes blending on performance, combustion and emission characteristics of four-stroke diesel engine. Int J Ambient Energy. 2016;37(2):192–200.10.1080/01430750.2014.915887Suche in Google Scholar

[114] Manigandan S, Gunasekar P, Devipriya J, Nithya S. Emission and injection characteristics of corn biodiesel blends in diesel engine. Fuel. 2019;235:723–35.10.1016/j.fuel.2018.08.071Suche in Google Scholar

[115] Sundararajan NK, Ammal AR. Improvement studies on emission and combustion characteristics of DICI engine fuelled with colloidal emulsion of diesel distillate of plastic oil, TiO2 nanoparticles and water. Env Sci Pollut Res. 2018;25(12):11595–613.10.1007/s11356-018-1380-0Suche in Google Scholar PubMed

[116] Örs I, Sarıkoç S, Atabani AE, Ünalan S, Akansu SO. The effects on performance, combustion and emission characteristics of DICI engine fuelled with TiO2 nanoparticles addition in diesel/biodiesel/n-butanol blends. Fuel. 2018;234:177–88.10.1016/j.fuel.2018.07.024Suche in Google Scholar

[117] Kandasamy A, Jabaraj DB. Performance and emission characteristics of CI engine using biodiesel (cotton seed oil) blends with titanium oxide. J Veh Struct Syst. 2017;9(4):217–20.10.4273/ijvss.9.4.03Suche in Google Scholar

[118] Pandian AK, Munuswamy DB, Radhakrishana S, Ramakrishnan RB, Nagappan B, Devarajan Y. Influence of an oxygenated additive on emission of an engine fueled with neat biodiesel. Pet Sci. 2017;14(4):791–7.10.1007/s12182-017-0186-xSuche in Google Scholar

[119] Prabhu L, Kumar SS, Andrerson A, Rajan K. Investigation on performance and emission analysis of TIO2 nanoparticle as an additive for bio-diesel blends. J Chem Pharm Sci Spec. 2015;7:408–12.Suche in Google Scholar

[120] Mehregan M, Moghiman M. Experimental investigation of the distinct effects of nanoparticles addition and urea-SCR after-treatment system on NOx emissions in a blended-biodiesel fueled internal combustion engine. Fuel. 2020;262:116609.10.1016/j.fuel.2019.116609Suche in Google Scholar

[121] Vedagiri P, Martin LJ, Varuvel EG. Characterization study on performance, combustion and emission of nano additive blends of grapeseed oil methyl ester fuelled CI engine with various piston bowl geometries. Heat Mass Transf. 2020;56(3):715–26.10.1007/s00231-019-02740-9Suche in Google Scholar

[122] Amirabedia M, Jafarmadar S, Khalilarya S, Kheyrollahi J. Experimental comparison the effect of Mn2O3 and Co3O4 nano additives on the performance and emission of SI gasoline fueled with mixture of ethanol and gasoline. Int J Eng. 2019;32(5):769–76.10.5829/ije.2019.32.05b.19Suche in Google Scholar

[123] Amirabedi M, Jafarmadar S, Khalilarya S. Experimental investigation the effect of Mn2O3 nanoparticle on the performance and emission of SI gasoline fueled with mixture of ethanol and gasoline. Appl Therm Eng. 2019;149:512–9.10.1016/j.applthermaleng.2018.12.058Suche in Google Scholar

[124] Tamilvanan A, Balamurugan K, Vijayakumar M. Effects of nano-copper additive on performance, combustion and emission characteristics of Calophyllum inophyllum biodiesel in CI engine. J Therm Anal Calorim. 2019;136(1):317–30.10.1007/s10973-018-7743-4Suche in Google Scholar

[125] Venu H, Appavu P. Experimental studies on the influence of zirconium nanoparticle on biodiesel–diesel fuel blend in CI engine. Int J Ambient Energy. 2019;1–7.10.1080/01430750.2019.1611653Suche in Google Scholar

[126] Yogaraj D, Mohamed Iqbal S, Gokulakrishna R, Meikandan M. Performance test and emission characteristics of diesel engine with alternate fuel blends and nano additives. Int J Ambient Energy. 2019;1–5.10.1080/01430750.2018.1562978Suche in Google Scholar

[127] Kalaimurugan K, Karthikeyan S, Periyasamy M, Mahendran G, Dharmaprabhakaran T. Experimental studies on the influence of copper oxide nanoparticle on biodiesel-diesel fuel blend in CI engine. Energ Source Part A Recov Util Environ Effects. 2019;1–6.10.1080/15567036.2019.1679290Suche in Google Scholar

[128] Kalaimurugan K, Karthikeyan S, Periyasamy M, Mahendran G, Dharmaprabhakaran T. Performance, emission and combustion characteristics of RuO2 nanoparticles addition with neochloris oleoabundans algae biodiesel on CI engine. Energ Source Part A Recov Util Environ Effects. 2019;1–15.10.1080/15567036.2019.1694102Suche in Google Scholar

[129] Srinidhi C, Madhusudhan A, Channapattana SV. Effect of NiO nanoparticles on performance and emission characteristics at various injection timings using biodiesel-diesel blends. Fuel. 2019;235:185–93.10.1016/j.fuel.2018.07.067Suche in Google Scholar

[130] Prabakaran B, Vijayabalan P. Influence of zinc oxide nano particles on performance, combustion and emission characteristics of butanol-diesel-ethanol blends in DI CI engine influence of zinc oxide nano particles on performance, combustion and emission characteristics of butanol-die. IOP Conf Series Mater Sci Eng (vol. 377, p. 012069); 2018 Jun.10.1088/1757-899X/377/1/012069Suche in Google Scholar

[131] Prabakaran B, Udhoji A. Experimental investigation into effects of addition of zinc oxide on performance, combustion and emission characteristics of diesel-biodiesel-ethanol blends in CI engine. Alex Eng J. 2016;55(4):3355–62.10.1016/j.aej.2016.08.022Suche in Google Scholar

[132] Gangwar A, Bhardawaj A, Singh R, Kumar N. Enhancement in performance and emission characteristics of diesel engine by adding alloy nanoparticle. SAE Technical Paper; 2016 Oct 17.10.4271/2016-01-2249Suche in Google Scholar

[133] Zhang X, Zhang Y, Tian B, Song K, Liu P, Jia Y, et al. Review of nano-phase effects in high strength and conductivity copper alloys. Nanotechnol Rev. 2019;8(1):383–95.10.1515/ntrev-2019-0034Suche in Google Scholar

[134] Soudagar ME, Nik-Ghazali NN, Kalam MA, Badruddin IA, Banapurmath NR, Khan TY, et al. The effects of graphene oxide nanoparticle additive stably dispersed in dairy scum oil biodiesel-diesel fuel blend on CI engine: Performance, emission and combustion characteristics. Fuel. 2019;257:116015.10.1016/j.fuel.2019.116015Suche in Google Scholar

[135] Mei D, Zuo L, Adu-Mensah D, Li X, Yuan Y. Combustion characteristics and emissions of a common rail diesel engine using nanoparticle-diesel blends with carbon nanotube and molybdenum trioxide. Appl Therm Eng. 2019;162:114238.10.1016/j.applthermaleng.2019.114238Suche in Google Scholar

[136] Hosseinzadeh-Bandbafha H, Khalife E, Tabatabaei M, Aghbashlo M, Khanali M, Mohammadi P, et al. Effects of aqueous carbon nanoparticles as a novel nanoadditive in water-emulsified diesel/biodiesel blends on performance and emissions parameters of a diesel engine. Energ Convers Manage. 2019;196:1153–66.10.1016/j.enconman.2019.06.077Suche in Google Scholar

[137] Sivathanu N, Valai Anantham N. Impact of multi-walled carbon nanotubes with waste fishing net oil on performance, emission and combustion characteristics of a diesel engine. Env Technol. 2019;1–2.10.1080/09593330.2019.1617356Suche in Google Scholar PubMed

[138] Sulochana G, Bhatti SK. Performance, emission and combustion characteristics of a twin cylinder 4 stroke diesel engine using nano-tubes blended waste fry oil methyl ester. Mater Today Proc. 2019;18:75–84.10.1016/j.matpr.2019.06.279Suche in Google Scholar

[139] El-Seesy AI, Hassan H. Investigation of the effect of adding graphene oxide, graphene nanoplatelet, and multiwalled carbon nanotube additives with n-butanol-Jatropha methyl ester on a diesel engine performance. Renew Energ. 2019;132:558–74.10.1016/j.renene.2018.08.026Suche in Google Scholar

[140] Sandeep K, Rajashekhar CR, Karthik SR. Experimental studies on effect of nano particle blended biodiesel combustion on performance and emission of CI engine. MS&E. 2018;376(1):012019.10.1088/1757-899X/376/1/012019Suche in Google Scholar

[141] Basha JS. Impact of carbon nanotubes and Di-ethyl ether as additives with biodiesel emulsion fuels in a diesel engine – An experimental investigation. J Energy Inst. 2018;91(2):289–303.10.1016/j.joei.2016.11.006Suche in Google Scholar

[142] Hosseini SH, Taghizadeh-Alisaraei A, Ghobadian B, Abbaszadeh-Mayvan A. Performance and emission characteristics of a CI engine fuelled with carbon nanotubes and diesel-biodiesel blends. Renew Energ. 2017;111:201–13.10.1016/j.renene.2017.04.013Suche in Google Scholar

[143] EL-Seesy AI, Hassan H, Ookawara SJ. Performance, combustion, and emission characteristics of a diesel engine fueled with Jatropha methyl ester and graphene oxide additives. Energ Convers Manage. 2018;166:674–86.10.1016/j.enconman.2018.04.049Suche in Google Scholar

[144] El-Seesy AI, Hassan H, Ookawara S. Effects of graphene nanoplatelet addition to jatropha biodiesel–diesel mixture on the performance and emission characteristics of a diesel engine. Energy. 2018;147:1129–52.10.1016/j.energy.2018.01.108Suche in Google Scholar

[145] Hariram V, Udhayakumar V, Karthick P, Andrews A, Arunraja A, Seralathan S, et al. Effect of carbon nanotubes on oxygenated jojoba biodiesel-diesel blends in direct injection CI engines. Int J Veh Struct Syst. 2018;10:6.10.4273/ijvss.10.6.11Suche in Google Scholar

[146] El-Seesy AI, Abdel-Rahman AK, Bady M, Ookawara SJ. Performance, combustion, and emission characteristics of a diesel engine fueled by biodiesel-diesel mixtures with multi-walled carbon nanotubes additives. Energ Convers Manage. 2017;135:373–9.10.1016/j.enconman.2016.12.090Suche in Google Scholar

[147] Guo K, Miao H, Liu L, Zhou J, Liu M. Effect of graphene oxide on chloride penetration resistance of recycled concrete. Nanotechnol Rev. 2019;8(1):681–9.10.1515/ntrev-2019-0059Suche in Google Scholar

[148] Power AC, Gorey B, Chandra S, Chapman J. Carbon nanomaterials and their application to electrochemical sensors: A review. Nanotechnol Rev. 2018;7(1):19–41.10.1515/ntrev-2017-0160Suche in Google Scholar

Received: 2020-08-17
Revised: 2020-11-26
Accepted: 2020-12-06
Published Online: 2020-12-24

© 2020 Siti Nurul Akmal Yusof et al., published by De Gruyter

This work is licensed under the Creative Commons Attribution 4.0 International License.

Artikel in diesem Heft

  1. Research Articles
  2. Generalized locally-exact homogenization theory for evaluation of electric conductivity and resistance of multiphase materials
  3. Enhancing ultra-early strength of sulphoaluminate cement-based materials by incorporating graphene oxide
  4. Characterization of mechanical properties of epoxy/nanohybrid composites by nanoindentation
  5. Graphene and CNT impact on heat transfer response of nanocomposite cylinders
  6. A facile and simple approach to synthesis and characterization of methacrylated graphene oxide nanostructured polyaniline nanocomposites
  7. Ultrasmall Fe3O4 nanoparticles induce S-phase arrest and inhibit cancer cells proliferation
  8. Effect of aging on properties and nanoscale precipitates of Cu-Ag-Cr alloy
  9. Effect of nano-strengthening on the properties and microstructure of recycled concrete
  10. Stabilizing effect of methylcellulose on the dispersion of multi-walled carbon nanotubes in cementitious composites
  11. Preparation and electromagnetic properties characterization of reduced graphene oxide/strontium hexaferrite nanocomposites
  12. Interfacial characteristics of a carbon nanotube-polyimide nanocomposite by molecular dynamics simulation
  13. Preparation and properties of 3D interconnected CNTs/Cu composites
  14. On factors affecting surface free energy of carbon black for reinforcing rubber
  15. Nano-silica modified phenolic resin film: manufacturing and properties
  16. Experimental study on photocatalytic degradation efficiency of mixed crystal nano-TiO2 concrete
  17. Halloysite nanotubes in polymer science: purification, characterization, modification and applications
  18. Cellulose hydrogel skeleton by extrusion 3D printing of solution
  19. Crack closure and flexural tensile capacity with SMA fibers randomly embedded on tensile side of mortar beams
  20. An experimental study on one-step and two-step foaming of natural rubber/silica nanocomposites
  21. Utilization of red mud for producing a high strength binder by composition optimization and nano strengthening
  22. One-pot synthesis of nano titanium dioxide in supercritical water
  23. Printability of photo-sensitive nanocomposites using two-photon polymerization
  24. In situ synthesis of expanded graphite embedded with amorphous carbon-coated aluminum particles as anode materials for lithium-ion batteries
  25. Effect of nano and micro conductive materials on conductive properties of carbon fiber reinforced concrete
  26. Tribological performance of nano-diamond composites-dispersed lubricants on commercial cylinder liner mating with CrN piston ring
  27. Supramolecular ionic polymer/carbon nanotube composite hydrogels with enhanced electromechanical performance
  28. Genetic mechanisms of deep-water massive sandstones in continental lake basins and their significance in micro–nano reservoir storage systems: A case study of the Yanchang formation in the Ordos Basin
  29. Effects of nanoparticles on engineering performance of cementitious composites reinforced with PVA fibers
  30. Band gap manipulation of viscoelastic functionally graded phononic crystal
  31. Pyrolysis kinetics and mechanical properties of poly(lactic acid)/bamboo particle biocomposites: Effect of particle size distribution
  32. Manipulating conductive network formation via 3D T-ZnO: A facile approach for a CNT-reinforced nanocomposite
  33. Microstructure and mechanical properties of WC–Ni multiphase ceramic materials with NiCl2·6H2O as a binder
  34. Effect of ball milling process on the photocatalytic performance of CdS/TiO2 composite
  35. Berberine/Ag nanoparticle embedded biomimetic calcium phosphate scaffolds for enhancing antibacterial function
  36. Effect of annealing heat treatment on microstructure and mechanical properties of nonequiatomic CoCrFeNiMo medium-entropy alloys prepared by hot isostatic pressing
  37. Corrosion behaviour of multilayer CrN coatings deposited by hybrid HIPIMS after oxidation treatment
  38. Surface hydrophobicity and oleophilicity of hierarchical metal structures fabricated using ink-based selective laser melting of micro/nanoparticles
  39. Research on bond–slip performance between pultruded glass fiber-reinforced polymer tube and nano-CaCO3 concrete
  40. Antibacterial polymer nanofiber-coated and high elastin protein-expressing BMSCs incorporated polypropylene mesh for accelerating healing of female pelvic floor dysfunction
  41. Effects of Ag contents on the microstructure and SERS performance of self-grown Ag nanoparticles/Mo–Ag alloy films
  42. A highly sensitive biosensor based on methacrylated graphene oxide-grafted polyaniline for ascorbic acid determination
  43. Arrangement structure of carbon nanofiber with excellent spectral radiation characteristics
  44. Effect of different particle sizes of nano-SiO2 on the properties and microstructure of cement paste
  45. Superior Fe x N electrocatalyst derived from 1,1′-diacetylferrocene for oxygen reduction reaction in alkaline and acidic media
  46. Facile growth of aluminum oxide thin film by chemical liquid deposition and its application in devices
  47. Liquid crystallinity and thermal properties of polyhedral oligomeric silsesquioxane/side-chain azobenzene hybrid copolymer
  48. Laboratory experiment on the nano-TiO2 photocatalytic degradation effect of road surface oil pollution
  49. Binary carbon-based additives in LiFePO4 cathode with favorable lithium storage
  50. Conversion of sub-µm calcium carbonate (calcite) particles to hollow hydroxyapatite agglomerates in K2HPO4 solutions
  51. Exact solutions of bending deflection for single-walled BNNTs based on the classical Euler–Bernoulli beam theory
  52. Effects of substrate properties and sputtering methods on self-formation of Ag particles on the Ag–Mo(Zr) alloy films
  53. Enhancing carbonation and chloride resistance of autoclaved concrete by incorporating nano-CaCO3
  54. Effect of SiO2 aerogels loading on photocatalytic degradation of nitrobenzene using composites with tetrapod-like ZnO
  55. Radiation-modified wool for adsorption of redox metals and potentially for nanoparticles
  56. Hydration activity, crystal structural, and electronic properties studies of Ba-doped dicalcium silicate
  57. Microstructure and mechanical properties of brazing joint of silver-based composite filler metal
  58. Polymer nanocomposite sunlight spectrum down-converters made by open-air PLD
  59. Cryogenic milling and formation of nanostructured machined surface of AISI 4340
  60. Braided composite stent for peripheral vascular applications
  61. Effect of cinnamon essential oil on morphological, flammability and thermal properties of nanocellulose fibre–reinforced starch biopolymer composites
  62. Study on influencing factors of photocatalytic performance of CdS/TiO2 nanocomposite concrete
  63. Improving flexural and dielectric properties of carbon fiber epoxy composite laminates reinforced with carbon nanotubes interlayer using electrospray deposition
  64. Scalable fabrication of carbon materials based silicon rubber for highly stretchable e-textile sensor
  65. Degradation modeling of poly-l-lactide acid (PLLA) bioresorbable vascular scaffold within a coronary artery
  66. Combining Zn0.76Co0.24S with S-doped graphene as high-performance anode materials for lithium- and sodium-ion batteries
  67. Synthesis of functionalized carbon nanotubes for fluorescent biosensors
  68. Effect of nano-silica slurry on engineering, X-ray, and γ-ray attenuation characteristics of steel slag high-strength heavyweight concrete
  69. Incorporation of redox-active polyimide binder into LiFePO4 cathode for high-rate electrochemical energy storage
  70. Microstructural evolution and properties of Cu–20 wt% Ag alloy wire by multi-pass continuous drawing
  71. Transparent ultraviolet-shielding composite films made from dispersing pristine zinc oxide nanoparticles in low-density polyethylene
  72. Microfluidic-assisted synthesis and modelling of monodispersed magnetic nanocomposites for biomedical applications
  73. Preparation and piezoresistivity of carbon nanotube-coated sand reinforced cement mortar
  74. Vibrational analysis of an irregular single-walled carbon nanotube incorporating initial stress effects
  75. Study of the material engineering properties of high-density poly(ethylene)/perlite nanocomposite materials
  76. Single pulse laser removal of indium tin oxide film on glass and polyethylene terephthalate by nanosecond and femtosecond laser
  77. Mechanical reinforcement with enhanced electrical and heat conduction of epoxy resin by polyaniline and graphene nanoplatelets
  78. High-efficiency method for recycling lithium from spent LiFePO4 cathode
  79. Degradable tough chitosan dressing for skin wound recovery
  80. Static and dynamic analyses of auxetic hybrid FRC/CNTRC laminated plates
  81. Review articles
  82. Carbon nanomaterials enhanced cement-based composites: advances and challenges
  83. Review on the research progress of cement-based and geopolymer materials modified by graphene and graphene oxide
  84. Review on modeling and application of chemical mechanical polishing
  85. Research on the interface properties and strengthening–toughening mechanism of nanocarbon-toughened ceramic matrix composites
  86. Advances in modelling and analysis of nano structures: a review
  87. Mechanical properties of nanomaterials: A review
  88. New generation of oxide-based nanoparticles for the applications in early cancer detection and diagnostics
  89. A review on the properties, reinforcing effects, and commercialization of nanomaterials for cement-based materials
  90. Recent development and applications of nanomaterials for cancer immunotherapy
  91. Advances in biomaterials for adipose tissue reconstruction in plastic surgery
  92. Advances of graphene- and graphene oxide-modified cementitious materials
  93. Theories for triboelectric nanogenerators: A comprehensive review
  94. Nanotechnology of diamondoids for the fabrication of nanostructured systems
  95. Material advancement in technological development for the 5G wireless communications
  96. Nanoengineering in biomedicine: Current development and future perspectives
  97. Recent advances in ocean wave energy harvesting by triboelectric nanogenerator: An overview
  98. Application of nanoscale zero-valent iron in hexavalent chromium-contaminated soil: A review
  99. Carbon nanotube–reinforced polymer composite for electromagnetic interference application: A review
  100. Functionalized layered double hydroxide applied to heavy metal ions absorption: A review
  101. A new classification method of nanotechnology for design integration in biomaterials
  102. Finite element analysis of natural fibers composites: A review
  103. Phase change materials for building construction: An overview of nano-/micro-encapsulation
  104. Recent advance in surface modification for regulating cell adhesion and behaviors
  105. Hyaluronic acid as a bioactive component for bone tissue regeneration: Fabrication, modification, properties, and biological functions
  106. Theoretical calculation of a TiO2-based photocatalyst in the field of water splitting: A review
  107. Two-photon polymerization nanolithography technology for fabrication of stimulus-responsive micro/nano-structures for biomedical applications
  108. A review of passive methods in microchannel heat sink application through advanced geometric structure and nanofluids: Current advancements and challenges
  109. Stress effect on 3D culturing of MC3T3-E1 cells on microporous bovine bone slices
  110. Progress in magnetic Fe3O4 nanomaterials in magnetic resonance imaging
  111. Synthesis of graphene: Potential carbon precursors and approaches
  112. A comprehensive review of the influences of nanoparticles as a fuel additive in an internal combustion engine (ICE)
  113. Advances in layered double hydroxide-based ternary nanocomposites for photocatalysis of contaminants in water
  114. Analysis of functionally graded carbon nanotube-reinforced composite structures: A review
  115. Application of nanomaterials in ultra-high performance concrete: A review
  116. Therapeutic strategies and potential implications of silver nanoparticles in the management of skin cancer
  117. Advanced nickel nanoparticles technology: From synthesis to applications
  118. Cobalt magnetic nanoparticles as theranostics: Conceivable or forgettable?
  119. Progress in construction of bio-inspired physico-antimicrobial surfaces
  120. From materials to devices using fused deposition modeling: A state-of-art review
  121. A review for modified Li composite anode: Principle, preparation and challenge
  122. Naturally or artificially constructed nanocellulose architectures for epoxy composites: A review
Heruntergeladen am 21.1.2026 von https://www.degruyterbrill.com/document/doi/10.1515/ntrev-2020-0104/html
Button zum nach oben scrollen