Home Technology Soliton, stability, multistability, and diverse tools for identifying chaos in a nonlinear model with two modified methods
Article Open Access

Soliton, stability, multistability, and diverse tools for identifying chaos in a nonlinear model with two modified methods

  • Tarmizi Usman ORCID logo , Noor Alam , Mohammad Safi Ullah ORCID logo EMAIL logo , Miguel Vivas-Cortez ORCID logo EMAIL logo , Muhammad Abbas and Shailendra Singh ORCID logo
Published/Copyright: January 14, 2026
Become an author with De Gruyter Brill

Abstract

This research employs two analytical techniques, the modified Kudrynshov and the modified alternative G G -expansion method, to investigate the soliton solutions of the well-known Zoomeron (Z) model, which arises in plasma physics, nonlinear optics, and fluid dynamics. This yields various soliton outcomes with distinct dynamic patterns, including bright solitons, localized waves, singular breather waves, kink and anti-kink patterns, and multi-breather waveforms. We attach three-dimensional, density, and two-dimensional curves to highlight the visual dynamics pattern of the outcomes. After that, we investigate equilibrium points in different scenarios to verify their stability. We also present phase portraits and various chaos assessment tools, such as return maps, Lyapunov exponents, strange attractors, and multistability, to confirm the presence of chaotic patterns in the proposed model. The results of this research will have significant implications for the future of advanced non-linear phenomena.

1 Introduction

Solitons are distinct waves that do not dissipate or disperse their energy as they propagate through a system [1], 2]. They keep their amplitude and shape as they move through it. These fascinating phenomena arise from the delicate interaction between nonlinearity and dispersion. Many investigators have studied and seen them in various fields, like fluid science, optical fibers, and plasma physics [3], [4], [5], [6]. Accordingly, soliton solutions are quite appealing in nonlinear dynamics [7], [8], [9]. The Z model [10], the Hirota-Maccari framework [11], the generalized KP nonlinear problem [12], the fractional KFG model [13], and other well-known nonlinear models [14], 15] all show that these soliton outcomes are possible. To solve these systems, different techniques exist and provide soliton outcomes. These techniques enclose the expansion method with the G G + G + A -technique [16], the Darboux transformations technique [17], the Lie group technique [18], the modified alternative G G -expansion algorithm [19], the novel Kudryashov scheme [20], Kudryashov algorithm [21], the 1 G -approach [22], 23], the modified Kudryashov technique [24], 25], and the references therein [26], [27], [28], [29], [30], [31], [32], [33]. The main objective of this study is to examine optical soliton solutions within the nonlinear Zoomeron framework. This goal is pursued by employing two modified approaches: the modified Kudryashov technique and the modified alternative G G -expansion algorithm.

There are many ways to get accurate soliton solutions in the literature. These include the unified solver procedure [34], the extended F-expansion process [35], the new Jacobian elliptic function scheme [36], and the improved modified extended tanh-function [37].

The remaining investigation is outlined below: The graphical abstract is included in Figure 1. Section 2 includes the description of the employed analytical processes, the modified alternative G G -expansion algorithm and the modified Kudryashov technique. Section 3 showcases the soliton solutions for the proposed system. In addition, Section 4 provides an analysis of the observed graphics. The stability analysis of the equilibrium points is illustrated in Section 5. Section 6 highlights chaotic events using different approaches for identifying chaos. Moreover, the novelty of this paper is discussed in Section 7. Section 8 describes the limitations of the employed analytical techniques. Lastly, Section 9 encapsulates the conclusions drawn from this study.

Figure 1: 
Graphical abstract.
Figure 1:

Graphical abstract.

To the best of the author’s knowledge, the modified alternative G G -expansion algorithm and the modified Kudryashov technique are the first-time use of the Zoomeron equation. This new application paves the way for additional investigation into nonlinear dynamics and provides fresh perspectives on the analytical feasibility of optics, plasma physics, and fluid dynamics models. The found solutions, which are defined using Jacobi elliptic functions, extend the range of precise solutions beyond what was previously possible using classical methods. Thus, our work improved the structural complexity and physical significance of nonlinear wave equations by developing a unique symbolic and computational method for their analysis.

2 Analytical methods

Step 1: Consider the following nonlinear system

(1) Ω v , v x , v y , v t , v x t , v y t , = 0 ,

with the polynomial Ω of the wave function v x , y , t .

Step 2: Assume the next linear transformation

(2) v t , x , y = X ϑ , ϑ = x + l y μ t ,

where μ and l provide velocity and number of waves, respectively. Using Eq. (2) in Eq. (3), we obtain the subsequent ordinary differential structure of X ϑ

(3) Θ X , X , X , = 0 .

2.1 Modified alternative G G -expansion algorithm

Step 3: Consider the soliton outcome of Eq. (1) with its generalized Riccati equation, which can be written in the form [19]

(4) X ϑ = i = 0 K A i G G i , A K 0 ,

(5) G = L + M G + N G 2 .

The relation is obtained from Eq. (5) as

Family 1: When 4LNM 2 > 0 and MN ≠ 0 (or LN ≠ 0)

G 1 t , x , y = 1 2 N M + 4 L N M 2 × tan ϑ 4 L N M 2 2 ,

G 2 t , x , y = 1 2 N M + 4 L N M 2 × cot ϑ 4 L N M 2 2 ,

G 3 t , x , y = 1 2 N M + 4 L N M 2 tan 4 L N M 2 ϑ ± sec 4 L N M 2 ϑ ,

G 4 t , x , y = 1 2 N M + 4 L N M 2 cot 4 L N M 2 ϑ ± csc 4 L N M 2 ϑ ,

G 5 t , x , y = 1 4 N 2 M + 4 L N M 2 tan 4 L N M 2 4 ϑ cot 4 L N M 2 ϑ 4 ,

G 6 t , x , y = 1 2 N M + A 2 B 2 4 L N M 2 A 4 L N M 2 cos 4 L N M 2 ϑ A sin 4 L N M 2 ϑ ) + B ,

G 7 t , x , y = 1 2 N M + A 2 B 2 4 L N M 2 + A 4 L N M 2 cos 4 L N M 2 ϑ A sin 4 L N M 2 ϑ ) + B ,

where A, B ≠ 0 correspond to the relation A 2B 2 > 0.

G 8 t , x , y = 2 L cos 4 L N M 2 ϑ 2 4 L N M 2 sin 4 L N M 2 ϑ 2 + M cos 4 L N M 2 ϑ 2 ,

G 9 t , x , y = 2 L sin 4 L N M 2 ϑ 2 M sin 4 L N M 2 ϑ 2 + 4 L N M 2 cos 4 L N M 2 ϑ 2 ,

G 10 t , x , y = 2 L cos 4 L N M 2 ϑ 4 L N M 2 sin 4 L N M 2 ϑ + M cos 4 L N M 2 ϑ ± 4 L N M 2 ,

G 11 t , x , y = 2 L sin 4 L N M 2 ϑ M sin 4 L N M 2 ) ϑ + 4 L N M 2 cos 4 L N M 2 ϑ ± 4 L N M 2 ,

G 12 t , x , y = 4 L sin 4 L N M 2 ϑ 4 cos 4 L N M 2 ϑ 4 2 M sin 1 4 4 L N M 2 ϑ cos 4 L N M 2 ϑ 4 + 2 4 L N M 2 co s 2 4 L N M 2 ϑ 4 4 L N M 2 ,

Family 2: When 4LN − M 2 < 0 and MN ≠ 0 (or N ≠ 0)

G 13 t , x , y = 1 2 N M + M 2 4 L N tanh M 2 4 L N ϑ 2 ,

G 14 t , x , y = 1 2 N M + M 2 4 L N coth M 2 4 L N ϑ 2 ,

G 15 t , x , y = 1 2 N M + M 2 4 L N tanh M 2 4 L N ϑ ± i s e c h M 2 4 L N ϑ ,

G 16 t , x , y = 1 2 N M + M 2 4 L N coth M 2 4 L N ϑ ± csch M 2 4 L N ϑ ,

G 17 t , x , y = 1 4 N 2 M + M 2 4 L N tanh M 2 4 L N 4 ϑ + coth M 2 4 L N ϑ 4 ,

G 18 t , x , y = 1 2 N M + A 2 + B 2 M 2 4 L N A M 2 4 L N cosh M 2 4 L N ϑ A sinh M 2 4 L N ϑ + B ,

G 19 t , x , y = 1 2 N M + B 2 A 2 M 2 4 L N + A M 2 4 L N cosh M 2 4 L N ϑ A sinh M 2 4 L N ϑ + B ,

where A 2 − B 2 < 0 with A, B ≠ 0.

G 20 t , x , y = 2 L cosh M 2 4 L N ϑ 2 M 2 4 L N sinh M 2 4 L N ϑ 2 M cosh M 2 4 L N ϑ 2 ,

G 21 t , x , y = 2 L sinh M 2 4 L N ϑ 2 M sinh M 2 4 L N ϑ 2 + M 2 4 L N cosh M 2 4 L N ϑ 2 ,

G 22 t , x , y = 2 L cosh M 2 4 L N ϑ M 2 4 L N sinh M 2 4 L N ϑ M cosh M 2 4 L N ϑ ± M 2 4 L N ,

G 23 t , x , y = 2 L sinh M 2 4 L N ϑ M sinh M 2 4 L N ϑ + M 2 4 L N cosh M 2 4 L N ϑ ± M 2 4 L N ,

G 24 t , x , y = 4 L sinh M 2 4 L N ϑ 4 cosh M 2 4 L N ϑ 4 2 M sinh M 2 4 L N ϑ 4 cosh M 2 4 L N ϑ 4 + 2 M 2 4 L N cos h 2 M 2 4 L N ϑ 4 M 2 4 L N ,

Family 3: When L = 0 and MN ≠ 0

G 25 t , x , y = d M N d + cosh M ϑ sinh M ϑ ,

G 26 t , x , y = cosh M ϑ + sinh M ϑ M d + cosh M ϑ + sinh M ϑ N ,

for the free parameter d.

Family 4: For N ≠ 0 and L = M = 0 (or N ≠ 0)

G 27 t , x , y = 1 N ϑ + E ,

with an arbitrary constant E.

Step 4: A balancing technique is applied to obtain the value of K described in Eq. (4), which expresses the delicate balance between the highest-order derivatives with the highest degrees of the nonlinear term for Eq. (3).

Step 5: The result obtained by putting the value of K in Eq. (4) with Eq. (3) and Eq. (5), we get a polynomial of G ϑ . Then all coefficients of the same power of this polynomial will be taken as zero, giving a set of algebraic equations.

Step 6: Solving the system of algebraic equations obtained in Step 5 gives the initial parameter values of Eq. (3).

2.2 Modified Kudryashov method

Step 3: The initial hypothesis with the ancillary equation of Eq. (1) is written as [24], 25]

(6) X ϑ = i = 0 K A i G i ,

(7) G ϑ = G 2 ϑ G ϑ l n a ,

with scalars a ≠ 1. The relation is found in Eq. (7) as

(8) G ϑ = 1 1 + L a ϑ ,

with a real number L.

Step 4: A balancing technique is applied to obtain the value of K described in Eq. (6), which expresses the delicate balance between the highest-order derivatives with the highest degrees of the nonlinear term for Eq. (3).

Step 5: The result obtained by putting the value of K in Eq. (6) with Eq. (3) and Eq. (7), we get a polynomial of G ϑ . Then all coefficients of the same power of this polynomial will be taken as zero, giving a set of algebraic equations.

Step 6: Solving the system of algebraic equations obtained in Step 5 gives the initial parameter values of Eq. (3).

3 Soliton solutions of the Zoomeron model

The (2 + 1)-D Z model takes the following structure:

(9) v x y v t t v x y v x x + 2 v 2 x t = 0 .

Here, the magnitude of the wave is represented by v t , x , y . This model denotes incognito evolution, frequently encountered in laser optics, fluids, and mathematical physics [38]. By employing a linear transformation t , x , y = X ϑ , with ϑ = x + ly − μt that μ and l provide velocity and number of waves, respectively, the mentioned nonlinear structure Eq. (9) simplifies the ensuing ordinary differential equation structure:

(10) l μ 2 1 X 2 μ X 3 q X = 0 .

Here, the integration constant is denoted as q, and the prime notation signifies differentiation with respect to the variable ϑ.

3.1 Applications of the modified alternative G G -expansion algorithm to the Z model

Taking K = 1, when X 3 and X″ are balanced. Subsequently, we have the next truncated sequences as

(11) X ϑ = A 0 + A 1 L G 1 + M + N G .

Now, insert Eq. (11) in Eq. (10) and take the coefficient of G i , i = −1, 0, 1 to zero, then the subsequent results are obtained

(12) L = L , M = 0 , N = q 4 μ A 1 2 L , μ = μ , l = μ A 1 2 μ 2 1 , A 0 = 0 , A 1 = A 1 ,

(13) L = 0 , M = ± 2 μ q A 1 μ , N = N , μ = μ , q = q , l = A 1 2 μ μ 2 1 , A 0 = 2 μ q 2 μ , A 1 = A 1 .

Now, Eqs. (11) and (12) with the transformation v t , x , y = X ϑ , ϑ = x + ly − μt provide the next exact outcomes of the Z model:

  1. When 4 L N M 2 > 0 and M N 0 (or L N 0 )

v 1 t , x , y = A 1 L 1 2 N M + 4 L N M 2 tan × ϑ 4 L N M 2 2 1 + N 1 2 N M + 4 L N M 2 tan × ϑ 4 L N M 2 2 ,

v 2 t , x , y = A 1 L 1 2 N M + 4 L N M 2 cot × ϑ 4 L N M 2 2 1 + N 1 2 N M + 4 L N M 2 cot × ϑ 4 L N M 2 2 ,

v 3 t , x , y = A 1 L 1 2 N M + 4 L N M 2 × tan 4 L N M 2 ϑ ± sec 4 L N M 2 ϑ 1 + N 1 2 N M + 4 L N M 2 × tan 4 L N M 2 ϑ ± sec 4 L N M 2 ϑ ,

v 4 t , x , y = A 1 L 1 2 N M + 4 L N M 2 cot 4 L N M 2 ϑ ± csc 4 L N M 2 ϑ 1 + N 1 2 N M + 4 L N M 2 cot 4 L N M 2 ϑ ± csc 4 L N M 2 ϑ ,

v 5 t , x , y = A 1 L 1 4 N 2 M + 4 L N M 2 tan 4 L N M 2 4 ϑ cot 4 L N M 2 ϑ 4 1 + N 1 4 N 2 M + 4 L N M 2 tan 4 L N M 2 4 ϑ cot 4 L N M 2 ϑ ϑ 4 ,

v 6 t , x , y = A 1 L 1 2 N M + A 2 B 2 4 L N M 2 A 4 L N M 2 cos 4 L N M 2 ϑ A sin 4 L N M 2 ϑ + B 1 + N 1 2 N M + A 2 B 2 4 L N M 2 A 4 L N M 2 cos 4 L N M 2 ϑ A sin 4 L N M 2 ϑ + B ,

v 7 t , x , y = A 1 L 1 2 N M + A 2 B 2 4 L N M 2 + A 4 L N M 2 cos 4 L N M 2 ϑ A sin 4 L N M 2 ϑ + B 1 + N 1 2 N M + A 2 B 2 4 L N M 2 + A 4 L N M 2 cos 4 L N M 2 ϑ A sin 4 L N M 2 ϑ + B ,

where A, B ≠ 0 correspond to the relation A 2 − B 2 > 0 and ϑ = x + ly − μt with M = 0 , N = q 4 μ A 1 2 L , and l = μ A 1 2 μ 2 1 .

v 8 t , x , y = A 1 L 2 L cos 4 L N M 2 ϑ 2 4 L N M 2 sin 4 L N M 2 v 2 + M cos 4 L N M 2 ϑ 2 1 + N 2 L cos 4 L N M 2 ϑ 2 4 L N M 2 sin 4 L N M 2 ϑ 2 + M cos 4 L N M 2 ϑ 2 ,

v 9 t , x , y = A 1 L 2 L sin 4 L N M 2 ϑ 2 M sin 4 L N M 2 v 2 + 4 L N M 2 cos 4 L N M 2 ϑ 2 1 + N 2 L sin 4 L N M 2 ϑ 2 M sin 4 L N M 2 ϑ 2 + 4 L N M 2 cos 4 L N M 2 ϑ 2 ,

v 10 t , x , y = A 1 L 2 L cos 4 L N M 2 ϑ 4 L N M 2 sin 4 L N M 2 ϑ + M cos 4 L N M 2 ϑ ± 4 L N M 2 1

+ N 2 L cos 4 L N M 2 ϑ 4 L N M 2 sin 4 L N M 2 ϑ + M cos 4 L N M 2 ϑ ± 4 L N M 2 ,

v 11 t , x , y = A 1 L 2 L sin 4 L N M 2 ϑ M sin 4 L N M 2 ϑ + 4 L N M 2 cos 4 L N M 2 ϑ ± 4 L N M 2 1

+ N 2 L sin 4 L N M 2 ϑ M sin 4 L N M 2 ϑ + 4 L N M 2 cos 4 L N M 2 ϑ ± 4 L N M 2 ,

v 12 t , x , y = A 1 L 4 L sin 4 L N M 2 ϑ 4 cos 4 L N M 2 v 4 2 M sin 4 L N M 2 v 4 cos 4 L N M 2 v 4 + 2 4 L N M 2 co s 2 4 L N M 2 v 4 4 L N M 2 1

+ N 4 L sin 4 L N M 2 ϑ 4 cos 4 L N M 2 ϑ 4 2 M sin 4 L N M 2 v 4 cos 4 L N M 2 ϑ 4 + 2 4 L N M 2 co s 2 4 L N M 2 v 4 4 L N M 2 ,

where ϑ = x + ly − μt with M = 0 , N = q 4 μ A 1 2 L , and l = μ A 1 2 μ 2 1 .

  1. When 4 L N M 2 < 0 and M N 0 or L N 0

v 13 t , x , y = A 1 L 1 2 N M + M 2 4 L N tanh M 2 4 L N ϑ 2 1 + N 1 2 N M + M 2 4 L N tanh M 2 4 L N ϑ 2 ,

v 14 t , x , y = A 1 L 1 2 N M + M 2 4 L N coth M 2 4 L N ϑ 2 1 + N 1 2 N M + M 2 4 L N coth M 2 4 L N ϑ 2 ,

v 15 t , x , y = A 1 L 1 2 N M + M 2 4 L N tanh M 2 4 L N ϑ ± i s e c h M 2 4 L N ϑ 1 + N 1 2 N M + M 2 4 L N tanh M 2 4 L N ϑ ± i s e c h M 2 4 L N ϑ ,

v 16 t , x , y = A 1 L 1 2 N M + M 2 4 L N coth M 2 4 L N ϑ ± csch M 2 4 L N ϑ 1 + N 1 2 N M + M 2 4 L N coth M 2 4 L N ϑ ± csch M 2 4 L N ϑ ,

v 17 t , x , y = A 1 L 1 4 N 2 M + M 2 4 L N tanh M 2 4 L N 4 ϑ + coth M 2 4 L N ϑ 4 1 + N 1 4 N 2 M + M 2 4 L N tanh M 2 4 L N 4 ϑ + coth M 2 4 L N ϑ 4 ,

v 18 t , x , y = A 1 L 1 2 N M + A 2 + B 2 M 2 4 L N A M 2 4 L N cosh M 2 4 L N ϑ A sinh M 2 4 L N ϑ + B 1 + N 1 2 N M + A 2 + B 2 M 2 4 L N A M 2 4 L N cosh M 2 4 L N ϑ A sinh M 2 4 L N ϑ ) + B ,

v 19 t , x , y = A 1 L 1 2 N M + B 2 A 2 M 2 4 L N + A M 2 4 L N cosh M 2 4 L N ϑ A sinh M 2 4 L N ϑ + B 1 + N 1 2 N M + B 2 A 2 M 2 4 L N + A M 2 4 L N cosh M 2 4 L N ϑ A sinh M 2 4 L N ϑ ) + B ,

where A, B ≠ 0 correspond to the relation A 2 − B 2 < 0 and ϑ = x + ly − μt with M = 0 , N = q 4 μ A 1 2 L , and l = μ A 1 2 μ 2 1 .

v 20 t , x , y = A 1 L 2 L cosh M 2 4 L N ϑ 2 M 2 4 L N sinh M 2 4 L N ϑ 2 M cosh M 2 4 L N ϑ 2 1 + N 2 L cosh M 2 4 L N ϑ 2 M 2 4 L N sinh M 2 4 L N ϑ 2 M cosh M 2 4 L N ϑ 2 ,

v 21 t , x , y = A 1 L 2 L sinh M 2 4 L N 2 M sinh M 2 4 L N ϑ 2 + M 2 4 L N cosh M 2 4 L N ϑ 2 1 + N 2 L sinh M 2 4 L N ϑ 2 M sinh M 2 4 L N ϑ 2 + M 2 4 L N cosh M 2 4 L N ϑ 2 ,

v 22 t , x , y = A 1 L 2 L cosh M 2 4 L N ϑ M 2 4 L N sinh M 2 4 L N ϑ M c o s h M 2 4 L N ϑ ± M 2 4 L N 1 + N 2 L cosh M 2 4 L N ϑ M 2 4 L N sinh M 2 4 L N ϑ M cosh M 2 4 L N ϑ ± M 2 4 L N ,

v 23 t , x , y = A 1 L 2 L sinh M 2 4 L N ϑ M s i n h M 2 4 L N ϑ + M 2 4 L N cosh M 2 4 L N ϑ ± M 2 4 L N 1 + N 2 L sinh M 2 4 L N ϑ M sinh M 2 4 L N ϑ + M 2 4 L N cosh M 2 4 L N ϑ ± M 2 4 L N ,

v 24 t , x , y = A 1 L 4 L sinh M 2 4 L N ϑ 4 cosh M 2 4 L N ϑ 4 2 M sinh M 2 4 L N ϑ 4 cosh M 2 4 L N v 4 + 2 M 2 4 L N cosh 2 M 2 4 L N ϑ 4 M 2 4 L N 1 + N 4 L sinh M 2 4 L N ϑ 4 cosh M 2 4 L N ϑ 4 ϑ 2 M sinh M 2 4 L N ϑ 4 cosh M 2 4 L N v 4 + 2 M 2 4 L N cosh 2 M 2 4 L N ϑ 4 M 2 4 L N ,

where ϑ = x + ly − μ with M = 0 , N = q 4 μ A 1 2 L , and l = μ A 1 2 μ 2 1 .

Here Eqs. (11) and (13) with the transformation v t , x , y = X ϑ , ϑ = x + ly − μt provide the exact outcomes of the Z equation:

  1. When 4 L N M 2 > 0 and M N 0 (or L N 0 )

v 25 t , x , y = 2 μ q 2 μ + A 1 ± 2 μ q A 1 μ + 1 2 M + 4 L N M 2 tan ϑ 4 L N M 2 2 ,

v 26 t , x , y = 2 μ q 2 μ + A 1 ± 2 μ q A 1 μ 1 2 M + 4 L N M 2 cot 4 L N M 2 2 ,

v 27 x , y , t = 2 μ q 2 μ + A 1 ± 2 μ q A 1 μ + 1 2 M + 4 L N M 2 tan 4 L N M 2 ϑ ± sec 4 L N M 2 ϑ

v 28 t , x , y = 2 μ q 2 μ + A 1 ± 2 μ q A 1 μ + 1 2 M + 4 L N M 2 cot 4 L N M 2 ϑ ± csc 4 L N M 2 ϑ ,

v 29 t , x , y = 2 μ q 2 μ + A 1 ± 2 μ q A 1 μ + 1 4 2 M + 4 L N M 2 tan 4 L N M 2 4 ϑ cot 4 L N M 2 ϑ ϑ 4 ,

v 30 t , x , y = 2 μ q 2 μ + A 1 ± 2 μ q A 1 μ + 1 2 M + A 2 B 2 4 L N M 2 A 4 L N M 2 cos 4 L N M 2 ϑ Asin 4 L N M 2 ϑ + B ,

v 31 t , x , y = 2 μ q 2 μ + A 1 ± 2 μ q A 1 μ + 1 2 M + A 2 B 2 4 L N M 2 + A 4 L N M 2 cos 4 L N M 2 ϑ Asin 4 L N M 2 ϑ + B ,

where ϑ = x + ly − μt with l = A 1 2 μ μ 2 1 .

  1. When 4 L N M 2 < 0 , M N 0 (or L N 0 )

v 32 t , x , y = 2 μ q 2 μ + A 1 ± 2 μ q A 1 μ + N 1 2 N M + M 2 4 L N tanh M 2 4 L N ϑ 2 ,

v 33 t , x , y = 2 μ q 2 μ + A 1 ± 2 μ q A 1 μ + N 1 2 N M + M 2 4 L N coth M 2 4 L N ϑ 2 ,

v 34 t , x , y = 2 μ q 2 μ + A 1 ± 2 μ q A 1 μ + N 1 2 N M + M 2 4 L N tanh M 2 4 L N ϑ ± i s e c h M 2 4 L N ϑ ,

v 35 t , x , y = 2 μ q 2 μ + A 1 ± 2 μ q A 1 μ + N 1 2 N M + M 2 4 L N coth M 2 4 L N ϑ ± csch M 2 4 L N ϑ ,

v 36 t , x , y = 2 μ q 2 μ + A 1 ± 2 μ q A 1 μ + N 1 4 N 2 M + M 2 4 L N tanh M 2 4 L N 4 ϑ + coth M 2 4 L N ϑ 4 ,

v 37 t , x , y = 2 μ q 2 μ + A 1 ± 2 μ q A 1 μ + N 1 2 N M + A 2 + B 2 M 2 4 L N A M 2 4 L N cosh M 2 4 L N ϑ A sinh M 2 4 L N ϑ + B ,

v 38 t , x , y = 2 μ q 2 μ + A 1 ± 2 μ q A 1 μ + N 1 2 N M + B 2 A 2 M 2 4 L N + A M 2 4 L N cosh M 2 4 L N ϑ A sinh M 2 4 L N ϑ + B ,

where A, B ≠ 0 correspond to the relation A 2 − B 2 < 0 and ϑ = x + ly − μt with l = A 1 2 μ μ 2 1

  1. When L = 0 and M N 0

v 39 t , x , y = 2 μ q 2 μ + A 1 ± 2 μ μ A μ μ + N M d N d + cosh M ϑ sinh M ϑ ,

v 40 t , x , y = 2 μ q 2 μ + A 1 ± 2 μ q A 1 μ + N M cosh M ϑ + sinh M ϑ N d + cosh M ϑ + sinh M ϑ ,

with an arbitrary constant d and ϑ = x + ly − μt for l = A 1 2 μ μ 2 1

  1. When N 0 and L = M = 0 (or L N 0 )

v 41 t , x , y = 2 μ q 2 μ + A 1 ± 2 μ q A 1 μ + N 1 N ϑ + E ,

with an arbitrary constant E and ϑ = x + ly − μt for l = A 1 2 μ μ 2 1 .

3.2 Applications of the modified Kudryashov method to the Z model

For K = 1, when X 3 and X″ are balanced. Subsequently, the primary hypothesis Eq. (6) is written as

(14) X ϑ = A 0 + A 1 G .

By plugging Eqs. (7) and (14) into Eq. (10), then take the coefficients of G 0, G, G 2, and G 3 to 0, we get

(15) l = ± 3 2 μ q + q ln a 2 μ 2 1 , A 0 = ± 2 μ q 2 μ , A 1 = 2 μ q q ± 2 μ q .

Now, taking Eqs. (14) and (15) with the transformation v t , x , y = X ϑ , ϑ = x + ly − μt, then the exact outcome of the Z equation is:

v 42 t , x , y = ± 2 μ q 2 μ ± 2 μ q q 2 μ q 1 + L a ϑ ,

where ϑ = x + ly − μt with l = ± 3 2 μ q + q ln a 2 μ 2 1 , A 0 = ± 2 μ q 2 μ , A 1 = 2 μ q q ± 2 μ q .

4 Figure analysis

The described methods generate various wave solitons in distinct patterns, including kink and anti-kink shapes, bright solitons, localized waves, singular breathers, and multiple breathers.

For y = 0, L = 1, M = 0, μ = 2, A 1 = 1, and q = 6, the curve of a b s V 15 indicates bright soliton, drawn in Figure 2(c, f, g) whereas R e V 15 and I m V 15 represent two types of localized waves, which are shown in Figure 2(a, b, d, e, g). In addition, for y = 0, L = 5, μ = 2, q = 1, and a = 2, the solution R e V 42 depicts a kink wave (refer to Figure 3(a, d)), but I m V 42 and a b s V 42 yield anti-kink waves, discovered in Figure 3(b, c, e, f).

Figure 2: 
These six patterns represent the profile of v
15 for L = 1, M = 0, μ = 2, A
1 = 1, q = 6. The above (a–c) curves depict 3D and (d–f) curves indicate 2D plots.
Figure 2:

These six patterns represent the profile of v 15 for L = 1, M = 0, μ = 2, A 1 = 1, q = 6. The above (a–c) curves depict 3D and (d–f) curves indicate 2D plots.

Figure 3: 
These six formations represent the profile of v
42 for L = 5, μ = 2, q = 1, a = 2. The above (a–c) curves depict the 3D, and (d–f) curves indicate 2D plots.
Figure 3:

These six formations represent the profile of v 42 for L = 5, μ = 2, q = 1, a = 2. The above (a–c) curves depict the 3D, and (d–f) curves indicate 2D plots.

Furthermore, A breather wave with a singularity can be found in Figure 4(a–c) for the outcome V 14 for q = 1, y = 0, L = 1, M = 0, μ = 2, A 1 = 1. Lastly, in Figure 5(a–c), V 7 indicates multiple bright-dark breather waves for y = 0, L = 1, M = 0, μ = 2, A 1 = 1, q = −1.

Figure 4: 
These three views (a–c) represent the profile of v
14 for L = 1, M = 0, μ = 2, A
1 = 1, q = 1. (a) Represents 3D view, (b) depicts density view, and (c) indicates 2D plot.
Figure 4:

These three views (a–c) represent the profile of v 14 for L = 1, M = 0, μ = 2, A 1 = 1, q = 1. (a) Represents 3D view, (b) depicts density view, and (c) indicates 2D plot.

Figure 5: 
These three forms represent the profile of v
7 for L = 1, M = 0, μ = 2, A
1 = 1, q = −1. The above (a) depicts the 3D plot, (b) indicates density plot, and (c) indicates 2D plot.
Figure 5:

These three forms represent the profile of v 7 for L = 1, M = 0, μ = 2, A 1 = 1, q = −1. The above (a) depicts the 3D plot, (b) indicates density plot, and (c) indicates 2D plot.

5 Stability analysis for the equilibrium points

For the suggested equation, assume that X′ = Y to explain the phase plane. The alternative form of Eq. (10) in a first-order differential system can be described as follows [39]:

(16) d X d ϑ = Y = g X , Y d Y d ϑ = q μ 2 1 l X + 2 μ μ 2 1 l X 3 = h X , Y ,

which is the phase plan for the optical outcomes of the Zoomeron model. Equation (10) or (16) derives from the Hamiltonian equation

(17) H X , Y = Y 2 2 q 2 l μ 2 1 X 2 μ 2 l μ 2 1 X 4 ,

by consuming the Hamilton canonical form X = H Y and Y = H X .

For q = 0, Eq. (16) gives an equilibrium state as X * , Y * = 0,0 . Conversely, for q ≠ 0, Eq. (16) gives three equilibrium points such as 0,0 , q 2 μ , 0 and q 2 μ , 0 , where μ ≠ 0.

We know that the Jacobian expression is

J X , Y = f , g X , Y = g Y g Y h X h Y X * , Y * = 0 1 q l μ 2 1 + 6 μ l μ 2 1 X 2 0 .

The characteristic equation of J corresponds to J λ I 2 × 2 = 0 , which implies λ 2 t r J λ + det J = 0 . Consequently,

(18) λ 2 q μ 2 1 l 6 μ μ 2 1 l X 2 = 0 .

Instance 1: Stability at 0,0

For 0 , 0 , the characteristic roots of Eq. (18) are λ 1 = q μ 2 1 l and λ 2 = q μ 2 1 l . For q μ 2 1 l > 0 , the real, reverse sign is represented by these eigenvalues. The position 0,0 is thus an unstable saddle (refer to Figures 7 and 9). For q l μ 2 1 < 0 , the eigenvalues are λ 1 = i q μ 2 1 l and λ 2 = i q μ 2 1 l (imaginary) and provided the balance point is a stable center (refer to Figures 6 and 8). Thus, for varying parameter values, the equilibrium state 0,0 transforms from an unstable saddle to a stable center.

Figure 6: 
Phase pictures and corresponding outcome of (16) for l = 8/3, q = −4, μ = 2.
Figure 6:

Phase pictures and corresponding outcome of (16) for l = 8/3, q = −4, μ = 2.

Figure 7: 
Phase representations and corresponding outcome of (16) for l = −8/3, q = −4, μ = 2.
Figure 7:

Phase representations and corresponding outcome of (16) for l = −8/3, q = −4, μ = 2.

Figure 8: 
Phase plots and corresponding outcome of (16) for 


l
=
−


2


3


,


μ
=
q
=
2


$l=-\frac{2}{3},  \mu =q=2$



.
Figure 8:

Phase plots and corresponding outcome of (16) for  l = 2 3 , μ = q = 2 .

Figure 9: 
Phase profile and corresponding outcome of (16) forl = 2/3, μ = 2, q = 2.
Figure 9:

Phase profile and corresponding outcome of (16) forl = 2/3, μ = 2, q = 2.

Instance 2: Stability at ± q 2 μ , 0

Here, the roots of Eq. (18) are λ 1 = i 2 q l μ 2 1 and λ 2 = i 2 q l μ 2 1 . For 2 q l μ 2 1 > 0 , the eigenvalues λ 1 = i 2 q l μ 2 1 and λ 2 = i 2 q l μ 2 1 are imaginary, and accordingly, the positions ± q 2 μ , 0 are stable centers (displayed in Figure 7). Again, for 2 q μ 2 1 l < 0 , the eigenvalues λ 1 = 2 q μ 2 1 l and λ 2 = 2 q μ 2 1 l are the reverse sign and real. Hence, the points ± q 2 μ , 0 are unstable saddle points (shown in Figure 6). Following the first scenario, stability shifts from stable centers to unstable saddles at the balance points ± q 2 μ , 0 with varying parameter values.

6 Chaotic events using different approaches for identifying chaos

To analyze the chaotic phenomena [40] of the governing model, we add a perturbed term A cos B ϑ in Eq. (16) reads

(19) d X d ϑ = Y = g X , Y d Y d ϑ = q μ 2 1 l X + 2 μ μ 2 1 l X 3 = h X , Y ,

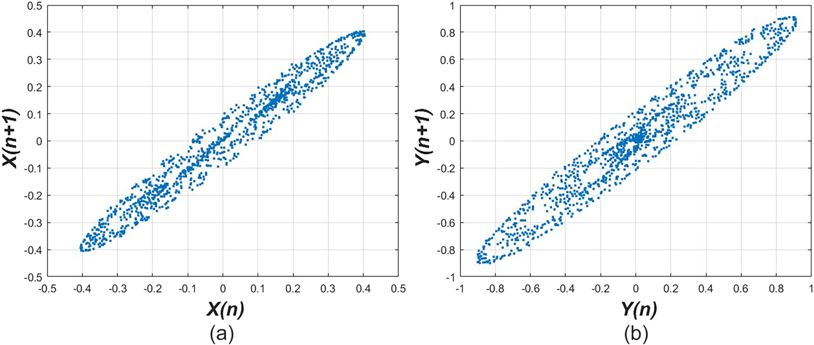
where r = q l μ 2 1 and s = 2 μ l μ 2 1 . A corresponds to the intensity, and B signifies the perturbation frequency. The numerical description of Lyapunov exponents is useful for studying stability and chaos in dynamic systems. However, success requires a thorough comprehension of dynamics and accurate data interpretation. The Lyapunov exponent is one of the most important tools for determining if a system is chaotic. When the exponent is positive, adjacent orbits exhibit exponential divergences, a sign of chaos. If the exponent is negative, it indicates stability as nearby trajectories rapidly converge. Computation of such exponential concepts is important for understanding nonlinear dynamics. We get the Lyapunov exponents of the system using suitable choices. The system has a complex, chaotic structure with a positive Lyapunov exponent, as seen in Figure 10. Table 1 provides an overview of the Lyapunov exponent iterative procedure. Figure 11 illustrates the movement of the return images for the state indicators in the system under consideration. Two subplots in the graphic provide an extensive analysis of how the system behaves from a time series standpoint. Figure 11(a) displays the structure of the return map of X n . This graphic shows the connection between consecutive values of X n and X n + 1 . The dispersion of points around a diagonal line shows a roughly linear or somewhat chaotic connection between consecutive states of X. Figure 11(b) illustrates a similar case for the state variable Y. Figure 12 shows the structure of Eq. (19) in terms of bifurcation plots for three parameters: r, s, and A. When r is negative, Figure 12a exhibits a stable character; when r is positive, it exhibits a chaotic character. Figure 12b displays the chaotic character of both the positive and negative versions of s. Figure 12c shows steady behavior for small values of A, but it shifts toward chaotic patterns for high values of A. Assuming delay locations, Figure 13 shows the strange attractor plot of structure Eq. (19) for the state variable X. In this case, we take the delay at 8. The non-repeating orbits in the picture exhibit chaotic behavior, illuminating a complex looped arrangement. Figure 14 displays the strange attractor plot of structure Eq. (19) for the state variable Y, which shows where delays happen. In this case, we take the delay at 8. The non-repeating orbits in the picture exhibit chaotic movements, illuminating a complex cyclic design. Now, we illustrate the presence of multistability of Eq. 19 . The proposed system displays a sustainable ability to express multistability when it experiences perturbation. It shows various simultaneous dynamical patterns: periodic, quasi-periodic, and chaotic patterns, depending on different initial conditions and some definite parameters. The 2D phase plot and Poincaré plot of multistability are displayed in Figure 15 which represent how the model replies differently for the various values of the initial conditions. By taking 0.1 , 0.55 as an initial value, the graphs show chaotic waves that are drawn with blue color. On the other hand, the red and green curves also represent chaotic patterns for the initial values 0.12 , 0.1 and 0.4 , 0.3 , respectively.

Figure 10: 
Demonstration of Lyapunov exponent profile for Eq. (19) where q = 2.3, m = 1.5, l = −0.8, A = 1.3, B = 3.6 with the initial state 




−
0.12
,

0.02




$\left(-0.12, 0.02\right)$



.
Figure 10:

Demonstration of Lyapunov exponent profile for Eq. (19) where q = 2.3, m = 1.5, l = −0.8, A = 1.3, B = 3.6 with the initial state 0.12 , 0.02 .

Table 1:

An overview of the successive Lyapunov exponent procedure.

Time λ 1 λ 2 λ 3
10 6.0429 −6.0377 0.0000
20 6.0178 −6.0074 0.0000
30 5.9858 −5.9704 0.0000
40 5.9632 −5.9428 0.0000
50 5.942 −5.9165 0.0000
60 5.9332 −5.9028 0.0000
70 5.9329 −5.8975 0.0000
80 5.9415 −5.9013 0.0000
90 5.9586 −5.9136 0.0000
100 5.9756 −5.9259 0.0000
Figure 11: 
Demonstration of return map profile for Eq. (19) where, q = 2.3, m = 1.5, l = −0.8, A = 1.3, B = 3.6 with initial state 




−
0.12
,

0.02




$\left(-0.12, 0.02\right)$



.
Figure 11:

Demonstration of return map profile for Eq. (19) where, q = 2.3, m = 1.5, l = −0.8, A = 1.3, B = 3.6 with initial state 0.12 , 0.02 .

Figure 12: 
Demonstration of bifurcation profile for Eq. (19) where q = 2.3, m = 1.5, l = −0.8, A = 1.3, B = 3.48 with the initial state 




−
0.12
,

0.02




$\left(-0.12, 0.02\right)$



.
Figure 12:

Demonstration of bifurcation profile for Eq. (19) where q = 2.3, m = 1.5, l = −0.8, A = 1.3, B = 3.48 with the initial state 0.12 , 0.02 .

Figure 13: 
Demonstration of the strange attractor profile for Eq. (19), where q = 2.3, m = 1.5, l = −0.8, A = 1.3, B = 3.6 with the initial state 




−
0.12
,

0.02




$\left(-0.12, 0.02\right)$



.
Figure 13:

Demonstration of the strange attractor profile for Eq. (19), where q = 2.3, m = 1.5, l = −0.8, A = 1.3, B = 3.6 with the initial state 0.12 , 0.02 .

Figure 14: 
Demonstration of the strange attractor plot for Eq. (19), where q = 2.3, m = 1.5, l = −0.8, A = 1.3, B = 3.6 with the initial state 




−
0.12
,

0.02




$\left(-0.12, 0.02\right)$



.
Figure 14:

Demonstration of the strange attractor plot for Eq. (19), where q = 2.3, m = 1.5, l = −0.8, A = 1.3, B = 3.6 with the initial state 0.12 , 0.02 .

Figure 15: 
Demonstration of 2D phase plot and Poincaré plot of multistability for Eq. (19), where q = 2.3, m = 1.5, l = −0.8, A = 1.3, B = 3.6 with the initial state 




−
0.12
,

0.02




$\left(-0.12, 0.02\right)$



.
Figure 15:

Demonstration of 2D phase plot and Poincaré plot of multistability for Eq. (19), where q = 2.3, m = 1.5, l = −0.8, A = 1.3, B = 3.6 with the initial state 0.12 , 0.02 .

7 Novelty of the results

The uniqueness of this work is discussed in this part. Three recently published papers are considered to prove the novelty of this work [41], [42], [43]. Abubakar and Asif used the ϕ 6-model expansion method to solve the Z model and obtain topological solutions [41]. In addition, Kalim and his co-author utilized the extended hyperbolic function process and the unified procedure in the governing framework, obtaining kink waveforms, periodic shapes, and dark solitons [42]. Moreover, Zhao and Tianyong provided some dynamic designs: breather wave and dark soliton by applying the bifurcation technique and the generalized G G -expansion scheme on the mentioned model [43].

The outcomes of this work reveal some unique dynamical patterns, including bright solitons, kink and anti-kink waveforms, singular breathers, and multiple breathers. Additionally, stability analysis for equilibrium points and diverse approaches for identifying chaos were discussed in this study. Thus, this work offers some unique and finer outcomes than the abovementioned papers.

To clearly understand, Table 2 highlights the comparison of our study with Batool et al.’s [44] and Motsepa et al.’s [45] work.

Table 2:

Comparison of our discoveries with Batool et al.’s [44] and Motsepa et al.’s [45] research.

Aspect Our investigation Batool et al.’s [44] work Motsepa et al.’s [45] work
Studied model Zoomeron model Zoomeron model Zoomeron model
Executed procedure The modified Kudrynshov and the modified alternative G G -expansion processes are executed to achieve soliton solutions The extended G G 2 -expansion process is executed to achieve soliton solutions The Lie symmetries are applied to obtain group-invariant solutions
Categories of solutions Hyperbolic, trigonometric, logarithmic, exponential, and rational solutions with bright solitons, localized waves, singular breather waves, kink and anti-kink patterns, and multi-breather waveforms. Hyperbolic, trigonometric, and rational solutions with some kink and singular solutions. Exponential and Jacobi-type solutions.
Stability of equilibrium points Investigate the stability of equilibrium points Not studied the equilibrium points Not studied the equilibrium points
Chaos detecting processes Return maps, Lyapunov exponents, strange attractors, and multistability to confirm the presence of chaotic patterns in the suggested model. Not analyzed the Chaotic nature Not analyzed the Chaotic nature
Graph type Three-dimensional, density, and two-dimensional curves with imaginary, real, and absolute values of the solutions Used only 3D and contour plots. Not used any types of plots.
Area of investigation Highlights diverse domains, including soliton dynamics, attractors, fractal dimensions, chaos theory, and multistability analysis. Discussed only soliton phenomena. Discussed only group-invariant solutions.

8 Limitations of the employed analytical techniques

This research employs two analytical techniques, which offer important details about the diverse dynamics of solitons in hyperbolic, trigonometric, logarithmic, exponential, and rational solutions within the Zoomeron model. These solutions include bright solitons, localized waves, singular breather waves, kink and anti-kink patterns, and multi-breather waveforms. However, these two methods possess some limitations. Our employed methods need proper variable transformation and the balance rule. It requires a particular initial solution, an auxiliary equation, and parameter values. The methods provide only limited analytical solutions, which must be verified numerically. These two techniques do not describe multi-soliton interactions, stability, bifurcations, chaotic nature, and other dynamical behaviors. Additionally, by applying these two processes, we obtain a system of algebraic equations that requires solving using computational software like Maple, Mathematica, etc., and in some specific cases, this software cannot solve it.

9 Conclusions

In this paper, the modified alternatives G G -expansion algorithm and the Modified Kudryashov technique have successfully formulated the first-ever method to control the Zoomeron model. This study yields a variety of wave solitons, namely bright solitons, localized waves, kink shapes, anti-kink waveforms, singular breathers, and multiple breathers. A mathematical package draws the outcomes’ 3D, 2D, and density plots. Some unique shapes can be found in these results, which differ from the previously published study on this model. The stability analysis for the equilibrium points and multistability analysis are studied for the first time for this model, and phase portraits, periodic, quasi-periodic, and chaotic patterns are obtained. In summary, we can expect that by applying this solution, researchers can enrich their understanding of nonlinear fields in the future.


Corresponding authors: Mohammad Safi Ullah, Department of Mathematics, Comilla University, Cumilla, 3506, Bangladesh, E-mail: ; and Miguel Vivas-Cortez, Faculty of Exact, Natural and Environmental Sciences Pontificia Universidad Católica del Ecuador FRACTAL (Fractional Research in Analysis, Convexity and Their Applications Laboratory), Av. 12 de Octubre 1076, y Roca, Apartado, Quito, 17-01-2184, Ecuador, E-mail:

Acknowledgments

Thanks to the editor and anonymous reviewers for their procedural support.

  1. Funding information: The authors state no funding is involved.

  2. Author contributions: Tarmizi Usman: Methodology, software, wrote the original draft; Noor Alam: Methodology, Software, wrote the original draft; Mohammad Safi Ullah: conceptualization, supervision, validation; Miguel Vivas-Cortez: writing– review and editing, resources, acquisition, Muhammad Abbas: resources, writing– review and editing, formal analysis; Shailendra Singh: writing– review and editing, visualization, investigation, formal analysis. All authors have accepted responsibility for the entire content of this manuscript and approved its submission.

  3. Conflict of interest: The authors state no conflict of interest.

  4. Data availability statement: All data generated or analyzed during this study are included in this published article.

References

1. Mostafa, M, Ullah, MS. Soliton outcomes and dynamical properties of the fractional Phi-4 equation. AIP Adv 2025;15:015105. https://doi.org/10.1063/5.0245261.Search in Google Scholar

2. Seadawy, AR, Bilal, M, Younis, M, Rizvi, STR, Althobaiti, S, Makhlouf, MM. Analytical mathematical approaches for the double-chain model of DNA by a novel computational technique. Chaos Solitons Fract 2021;144:110669. https://doi.org/10.1016/j.chaos.2021.110669.Search in Google Scholar

3. Roshid, MM, Rahman, MM, Roshid, HO, Bashar, MH. A variety of soliton solutions of time M-fractional: Non-linear models via a unified technique. PLoS One 2024;19:e0300321. https://doi.org/10.1371/journal.pone.0300321.Search in Google Scholar PubMed PubMed Central

4. Baskonus, HM, Guirao, JLG, Kumar, A, Causanilles, FSV, Bermudez, GR. Regarding new traveling wave solutions for the mathematical model arising in telecommunications. Adv Math Phys 2021;2021:5554280–11. https://doi.org/10.1155/2021/5554280.Search in Google Scholar

5. Bishop, AR. Solitons in condensed matter physics. Phys Scr 1979;20:409–23. https://doi.org/10.1088/0031-8949/20/3-4/016.Search in Google Scholar

6. Alam, N, Poddar, S, Karim, ME, Hasan, MS, Lorenzini, G. Transient MHD radiative fluid flow over an inclined porous plate with thermal and mass diffusion: an EFDM numerical approach. Math Mod Eng Prob 2021;8:739–49. https://doi.org/10.18280/mmep.080508.Search in Google Scholar

7. Seadawy, AR, Arshad, M, Lu, D. The weakly nonlinear wave propagation theory for the Kelvin-Helmholtz instability in magnetohydrodynamics flows. Chaos Solitons Fract 2020;139:110141. https://doi.org/10.1016/j.chaos.2020.110141.Search in Google Scholar

8. Ma, WX, Lee, JH. A transformed rational function method and exact solutions to the 3+1 dimensional Jimbo–Miwa equation. Chaos Solitons Fract 2009;42:1356–63. https://doi.org/10.1016/j.chaos.2009.03.043.Search in Google Scholar

9. Shukla, VK, Joshi, MC, Mishra, PK, Xu, C. Adaptive fixed-time difference synchronization for different classes of chaotic dynamical systems. Phy Scri 2024;99:095264. https://doi.org/10.1088/1402-4896/ad6ec4.Search in Google Scholar

10. Mahmud, AA, Tanriverdi, T, Muhamad, KA. Exact traveling wave solutions for (2+1)-dimensional Konopelchenko-Dubrovsky equation by using the hyperbolic trigonometric functions methods. Int J Math Comput Eng 2023;1:11–24. https://doi.org/10.2478/ijmce-2023-0002.Search in Google Scholar

11. Alam, N, Ma, WX, Ullah, MS, Seadawy, AR, Akter, M. Exploration of soliton structures in the Hirota–Maccari system with stability analysis. Mod Phys Lett B 2025;39:2450481. https://doi.org/10.1142/s0217984924504815.Search in Google Scholar

12. Zhang, H, Manafian, J, Singh, G, Ilhan, OA, Zekiy, AO. N-lump and interaction solutions of localized waves to the (2 + 1)-dimensional generalized KP equation. Results Phys 2021;25:104168. https://doi.org/10.1016/j.rinp.2021.104168.Search in Google Scholar

13. Alam, N, Ullah, MS, Nofal, TA, Ahmed, HM, Ahmed, KK, AL-Nahhas, MA. Novel dynamics of the fractional KFG equation through the unified and unified solver schemes with stability and multistability analysis. Nonlin Eng 2024;13:20240034. https://doi.org/10.1515/nleng-2024-0034.Search in Google Scholar

14. Lin, J, Xu, C, Xu, Y, Zhao, Y, Pang, Y, Liu, Z, et al.. Bifurcation and controller design in a 3D delayed predator-prey model. AIMS Math 2024;9:33891–929. https://doi.org/10.3934/math.20241617.Search in Google Scholar

15. Ullah, MS, Seadawy, AR, Ali, MZ, Roshid, HO. Optical soliton solutions to the Fokas–Lenells model applying the φ6-model expansion approach. Opt Quant Electron 2023;55:495. https://doi.org/10.1007/s11082-023-04771-3.Search in Google Scholar

16. Ullah, MS, Baleanu, D, Ali, MZ, Roshid, HO. Novel dynamics of the Zoomeron model via different analytical methods. Chaos Solitons Fract 2023;174:113856. https://doi.org/10.1016/j.chaos.2023.113856.Search in Google Scholar

17. Ma, WX. A novel kind of reduced integrable matrix mKdV equations and their binary Darboux transformations. Mod Phys Lett B 2022;36:22500944. https://doi.org/10.1142/s0217984922500944.Search in Google Scholar

18. Kumar, S, Nisar, KS, Kumar, A. A (2+1)-dimensional generalized Hirota–Satsuma–Ito equations: lie symmetry analysis, invariant solutions and dynamics of soliton solutions. Results Phys 2021;28:104621. https://doi.org/10.1016/j.rinp.2021.104621.Search in Google Scholar

19. Akbar, MA, Ali, NHM, Din, STM. The modified alternative G′/G-expansion method to nonlinear evolution equation: application to the (1+1)-dimensional Drinfel’d-Sokolov-Wilson equation. Spri Plus 2013;2:327.10.1186/2193-1801-2-327Search in Google Scholar PubMed PubMed Central

20. Hosseini, K, Alizadeh, F, Hinçal, E, Kaymakamzade, B, Dehingia, K, Osman, MS. A generalized nonlinear Schrödinger equation with logarithmic nonlinearity and its Gaussian solitary wave. Opt Quant Electron 2024;56:929.10.1007/s11082-024-06831-8Search in Google Scholar

21. Lu, J. New exact solutions for Kudryashov–Sinelshchikov equation. Adv Differ Equ 2018;2018:374. https://doi.org/10.1186/s13662-018-1769-6.Search in Google Scholar

22. Nguyen, AT, Nikan, O, Avazzadeh, Z. Traveling wave solutions of the nonlinear Gilson–Pickering equation in crystal lattice theory. J Ocean Eng Sci 2024;9:40–9. https://doi.org/10.1016/j.joes.2022.06.009.Search in Google Scholar

23. Demiray, S, Ünsal, O, Bekir, A. New exact solutions for Boussinesq type equations by using G′/G,1/G and 1/G-expansion methods. Acta Phys Polo A 2014;125:1093–8.10.12693/APhysPolA.125.1093Search in Google Scholar

24. Shukla, VK, Joshi, MC, Mishra, PK, Xu, C. Mechanical analysis and function matrix projective synchronization of El-Nino chaotic system. Phy Scri 2024;100:015255. https://doi.org/10.1088/1402-4896/ad9c28.Search in Google Scholar

25. San, S, Altunay, R. Application of the generalized Kudryashov method to various physical models. Appl Math Inf Sci Lett 2021;8:7–13.Search in Google Scholar

26. Alam, N, Akbar, A, Ullah, MS, Mostafa, M. Dynamic waveforms of the new Hamiltonian amplitude model using three different analytic techniques. Indian J Phys 2025;99:2125–32. https://doi.org/10.1007/s12648-024-03426-7.Search in Google Scholar

27. Khan, A, Saifullah, S, Ahmad, S, Khan, MA, Rahman, M. Dynamical properties and new optical soliton solutions of a generalized nonlinear Schrödinger equation. Eur Phys J Plus 2023;138:1059. https://doi.org/10.1140/epjp/s13360-023-04697-5.Search in Google Scholar

28. Cui, Q, Xu, C, Xu, Y, Ou, W, Pang, Y, Liu, Z, et al.. Bifurcation and controller design of 5D BAM neural networks with time delay. Int J Numer Model: Electron Net Dev Field 2024;37:e3316. https://doi.org/10.1002/jnm.3316.Search in Google Scholar

29. Khaliq, S, Ullah, A, Ahmad, S, Akgül, A, Yusuf, A, Sulaiman, TA. Some novel analytical solutions of a new extented (2+1)-dimensional Boussinesq equation using a novel method. J Ocean Eng Sci 2022;10:19.10.1016/j.joes.2022.04.010Search in Google Scholar

30. Zhoa, Y, Xu, C, Xu, Y, Lin, J, Pang, Y, Liu, Z, et al.. Mathematical exploration on control of bifurcation for a 3D predator-prey model with delay. AIMS Math 2024;9:29883–915. https://doi.org/10.3934/math.20241445.Search in Google Scholar

31. Ganie, AH, AlBaidani, MM, Wazwaz, AM, Ma, WX, Shamima, U, Ullah, MS. Soliton dynamics and chaotic analysis of the Biswas–Arshed model. Opt Quant Electron 2024;56:1379. https://doi.org/10.1007/s11082-024-07291-w.Search in Google Scholar

32. Khaliq, S, Ahmad, S, Ullah, A, Ahmad, H, Saifullah, S, Nofal, TA. New waves solutions of the (2+1)-dimensional generalized Hirota–Satsuma–Ito equation using a novel expansion method. Results Phys 2023;50:106450. https://doi.org/10.1016/j.rinp.2023.106450.Search in Google Scholar

33. Ganie, AH, Rahaman, MS, Aladsani, FA, Ullah, MS. Bifurcation, chaos, and soliton analysis of the Manakov equation. Nonlin Dyn 2025;113:9807–21. https://doi.org/10.1007/s11071-024-10829-y.Search in Google Scholar

34. Khalifa, AS, Badra, NM, Ahmed, HM, Rabie, WB. Retrieval of optical solitons in fiber Bragg gratings for high-order coupled system with arbitrary refractive index. Optik 2023;287:171116. https://doi.org/10.1016/j.ijleo.2023.171116.Search in Google Scholar

35. Roshid, MM, Rahman, MM. Bifurcation analysis, modulation instability and optical soliton solutions and their wave propagation insights to the variable coefficient nonlinear Schrödinger equation with Kerr law nonlinearity. Nonlin Dyn 2024;112:16355–77. https://doi.org/10.1007/s11071-024-09872-6.Search in Google Scholar

36. Roshid, MM, Abdalla, M, Osman, MS. Dynamical analysis of Jacobian elliptic function soliton solutions, and chaotic behavior with defective tools of the stochastic PNLSE equation with multiplicative white noise. Chaos Solitons Fract 2025;201:117288. https://doi.org/10.1016/j.chaos.2025.117288.Search in Google Scholar

37. Almheidat, M, Alqudah, M, Alderremy, AA, Elamin, M, Mahmoud, EE, Ahmad, S. Lie-bäcklund symmetry, soliton solutions, chaotic structure and its characteristics of the extended (3 + 1) dimensional Kairat-II model. Nonlin Dyn 2025;113:2635–51. https://doi.org/10.1007/s11071-024-10325-3.Search in Google Scholar

38. Islam, SMR, Khan, K, Akbar, MA. Optical soliton solutions, bifurcation, and stability analysis of the Chen-Lee-Liu model. Results Phys 2023;51:106620. https://doi.org/10.1016/j.rinp.2023.106620.Search in Google Scholar

39. Riaz, MB, Jhangeer, A, Duraihem, FZ, Martinovic, J. Analyzing dynamics: lie symmetry approach to bifurcation, chaos, multistability, and solitons in extended (3 + 1)-dimensional wave equation. Symmetry 2024;16:608. https://doi.org/10.3390/sym16050608.Search in Google Scholar

40. Alam, N, Ullah, MS, Manafian, J, Mahmoud, KH, Alsubaie, AS, Ahmed, HM, et al.. Bifurcation analysis, chaotic behaviors, and explicit solutions for a fractional two-mode Nizhnik-Novikov-Veselov equation in mathematical physics. AIMS Math 2025;10:4558–78. https://doi.org/10.3934/math.2025211.Search in Google Scholar

41. Isah, MA, Yokus, A. Nonlinear dispersion dynamics of optical solitons of Zoomeron equation with new φ6-model expansion approach. J Vibrat Test Syst Dyn 2024;8:2–25.10.5890/JVTSD.2024.09.002Search in Google Scholar

42. Tariq, KU, Liu, JG, Nisar, S. Study of explicit travelling wave solutions of nonlinear (2 + 1)-dimensional Zoomeron model in mathematical physics. J Nonlin Comp Data Sci 2024;25:109–24. https://doi.org/10.1515/jncds-2023-0068.Search in Google Scholar

43. Li, Z, Han, T. Bifurcation and exact solutions for the (2 + 1)-dimensional conformable time-fractional Zoomeron equation. Adv Differ Equ 2020;2020:1–13.10.1186/s13662-020-03119-5Search in Google Scholar

44. Batool, F, Akram, G, Sadaf, M, Mehmood, U. Dynamics investigation and solitons Formation for (2 + 1) -dimensional zoomeron equation and foam drainage equation. J Nonlin Math Phy 2023;30:628–45.10.1007/s44198-022-00097-ySearch in Google Scholar

45. Motsepa, T, Khalique, CM, Gandarias, ML. Symmetry analysis and conservation laws of the Zoomeron equation. Symmetry 2017;9:27. https://doi.org/10.3390/sym9020027.Search in Google Scholar

Received: 2025-06-21
Accepted: 2025-10-21
Published Online: 2026-01-14

© 2026 the author(s), published by De Gruyter, Berlin/Boston

This work is licensed under the Creative Commons Attribution 4.0 International License.

Downloaded on 20.1.2026 from https://www.degruyterbrill.com/document/doi/10.1515/nleng-2025-0180/html
Scroll to top button