Home The crystal structure of 2-(4-methoxynaphthalen-1-yl)-4H-chromen-4-one, C20H14O3
Article Open Access

The crystal structure of 2-(4-methoxynaphthalen-1-yl)-4H-chromen-4-one, C20H14O3

  • Soon Young Shin , Ha-Jin Lee , Jiha Sung and Dongsoo Koh ORCID logo EMAIL logo
Published/Copyright: October 24, 2022

Abstract

C20H14O3, triclinic, P 1 (no. 2), a = 8.3085(10) Å, b = 8.3918(8) Å, c = 12.1359(14) Å, α = 91.691(5)°, β = 107.708(5)°, γ = 113.607(5)°, V = 727.42(14) Å3, Z = 2, R gt (F) = 0.0471, wRref (F 2) = 0.1235, T = 223(2) K.

CCDC no.: 2211996

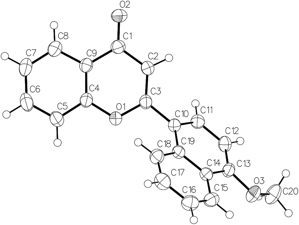
The molecular structure is shown in the figure. Table 1 contains crystallographic data and Table 2 contains the list of the atoms including atomic coordinates and displacement parameters.

Table 1:

Data collection and handling.

Crystal: Yellow block
Size: 0.22 × 0.18 × 0.11 mm
Wavelength: Mo Kα radiation (0.71073 Å)
μ: 0.09 mm−1
Diffractometer, scan mode: PHOTON 100 CMOS, φ and ω
θ max, completeness: 28.6°, >99%
N(hkl)measured, N(hkl)unique, R int: 30,362, 3696, 0.046
Criterion for I obs, N(hkl)gt: I obs > 2 σ(I obs), 2605
N(param)refined: 209
Programs: Bruker [1], SHELX [2, 3], Olex2 [4]
Table 2:

Fractional atomic coordinates and isotropic or equivalent isotropic displacement parameters (Å2).

Atom x y z U iso*/U eq
C1 0.7412 (2) 1.1182 (2) 0.35417 (14) 0.0337 (3)
C2 0.6748 (2) 0.9777 (2) 0.25696 (14) 0.0332 (3)
H2 0.7629 0.9547 0.2341 0.040*
C3 0.4921 (2) 0.8789 (2) 0.19809 (13) 0.0306 (3)
O1 0.35604 (15) 0.90392 (15) 0.22624 (10) 0.0378 (3)
C4 0.4064 (2) 1.0325 (2) 0.31913 (13) 0.0311 (3)
C5 0.2595 (2) 1.0474 (2) 0.34379 (15) 0.0412 (4)
H5 0.1346 0.9717 0.2992 0.049*
C6 0.3008 (3) 1.1747 (3) 0.43452 (16) 0.0451 (4)
H6 0.2032 1.1868 0.4522 0.054*
C7 0.4852 (3) 1.2861 (2) 0.50060 (15) 0.0419 (4)
H7 0.5116 1.3732 0.5623 0.050*
C8 0.6299 (2) 1.2698 (2) 0.47627 (14) 0.0373 (4)
H8 0.7545 1.3450 0.5218 0.045*
C9 0.5918 (2) 1.1410 (2) 0.38363 (13) 0.0302 (3)
O2 0.90816 (17) 1.21270 (18) 0.40833 (11) 0.0505 (4)
C10 0.4128 (2) 0.7363 (2) 0.09618 (13) 0.0301 (3)
C11 0.4745 (2) 0.7693 (2) 0.00315 (14) 0.0338 (4)
H11 0.5706 0.8804 0.0078 0.041*
C12 0.3991 (2) 0.6429 (2) −0.09910 (14) 0.0346 (4)
H12 0.4431 0.6703 −0.1621 0.042*
C13 0.2617 (2) 0.4801 (2) −0.10625 (13) 0.0315 (3)
C14 0.1989 (2) 0.4344 (2) −0.00934 (13) 0.0294 (3)
C15 0.0657 (2) 0.2631 (2) −0.01243 (15) 0.0369 (4)
H15 0.0155 0.1770 −0.0800 0.044*
C16 0.0089 (2) 0.2210 (2) 0.08119 (16) 0.0421 (4)
H16 −0.0788 0.1059 0.0781 0.050*
C17 0.0800 (2) 0.3477 (2) 0.18187 (16) 0.0416 (4)
H17 0.0399 0.3177 0.2461 0.050*
C18 0.2077 (2) 0.5153 (2) 0.18702 (14) 0.0359 (4)
H18 0.2536 0.5997 0.2549 0.043*
C19 0.2726 (2) 0.5645 (2) 0.09243 (13) 0.0289 (3)
O3 0.17446 (17) 0.34911 (15) −0.20199 (10) 0.0414 (3)
C20 0.2105 (3) 0.3948 (3) −0.30710 (15) 0.0524 (5)
H20A 0.1807 0.4929 −0.3278 0.079*
H20B 0.1338 0.2941 −0.3702 0.079*
H20C 0.3416 0.4284 −0.2948 0.079*

Source of material

The title compound of 2-(4-methoxynaphthalen-1-yl)-4H-chromen-4-one was prepared through a two-step reaction of chalcone formation followed by intramolecular oxidative cyclization reaction. To a mixture of 1-(2-hydroxyphenyl)ethanone (272 mg, 2 mmol) and 4-methoxy-1-naphthaldehyde (362 mg, 2 mmol) in 40 mL of ethanol, 3 ml of aq. KOH (50%) was added. The reaction mixture was stirred at room temperature for 24 h. After the completion of reaction, the reaction mixture was poured into crushed ice water (70 ml) and acidified with 3 N HCl (pH = 3) to give precipitations. After cooling to room temperature, the resulting solid was filtered, washed with water and purified form ethanol to afford chalcone intermediate. To a solution of the intermediate chalcone compound (152 mg, 0.5 mmol) in 5 ml of DMSO, catalytic amount of oxidant iodine (I2, 0.2 eq.) was added and mixture was refluxed for 4 h at 415 K. Then the mixture was cooled to room temperature. The reaction mixture was poured in crushed ice water (30 ml) and the resulting solid was separated by filtration and was washed with water. Recrystallization of the solid from ethanol solution gave crystals of title compound.

Experimental details

Data collections and reduction were carried out using the Bruker software APEX2 and SAINT including SADABS [1]. Hydrogen atoms were placed in their geometrically idealized positions and constrained to ride on their parent atoms.

Comment

Cancer cells are known to exhibit relatively higher ROS levels than normal cells, so an increase in ROS in cancer cells has the effect of killing some types of cancer cells. By using this phenomenon to increase ROS in cancer cells, cancer cells can be selectively killed [5, 6]. Piperlongumin derivatives containing α, β-unsaturated carbonyl groups in the scavenge glutathione (GSH) from cancer cells, may cause an increase in intracellular ROS [7], [8], [9]. The α, β-unsaturated carbonyl group play an important role in removing GSH through the Michael addition reaction with the thiol group of GSH. Flavones are compounds containing an α, β-unsaturated carbonyl group in a chromone ring. In order to develop a compound with more effective ROS generating activity, the title flavone compound was synthesized based on our previous studies [10], [11], [12].

In the title compound, the C2=C3 double bond adopts a Z configuration (see the figure), which was defined by the dihedral angle of −0.2(3)° for C1–C2–C3–O1. The naphthlene ring ([C11–C19]; r.m.s. deviations 0.028 Å) is tilted at an angle of 53.2(2)° with respect to the chromone ring ([C1–C3, O1, C4–C9]; r.m.s. deviations 0.007 Å). The methoxy group in naphthlene ring is slightly twisted from the ring [C12–C13–O3–C20 = −9.6(2)°]. Bond lengths and angles are all in the expected ranges [13, 14].

In the crystal, pairs of weak C6–H6···O2 and C17–H17···O2 hydrogen bonds link the molecules into chains propagating along the b-axis direction.


Corresponding author: Dongsoo Koh, Department of Applied Chemistry, Dongduk Women’s University, Seoul 02748, Korea, E-mail:

  1. Author contributions: All the authors have accepted responsibility for the entire content of this submitted manuscript and approved submission.

  2. Research funding: The authors acknowledge financial support from the Basic Science Research Program (award No. NRF-2021R1F1A1052699). S. Y. Shin was supported by the KU Research Professor Program of Konkuk University.

  3. Conflict of interest statement: The authors declare no conflicts of interest regarding this article.

References

1. Bruker. SAINT, APEX2 and SADABS; Bruker AXS Inc.: Madison, WI, USA, 2012.Search in Google Scholar

2. Sheldrick, G. M. SHELXTL – Integrated space-group and crystal-structure determination. Acta Crystallogr. 2015, A71, 3–8.10.1107/S2053273314026370Search in Google Scholar

3. Sheldrick, G. M. Crystal structure refinement with SHELXL. Acta Crystallogr. 2015, C71, 3–8.10.1107/S2053229614024218Search in Google Scholar

4. Dolomanov, O. V., Bourhis, L. J., Gildea, R. J., Howard, J. A. K., Puschmann, H. OLEX2: a complete structure solution, refinement and analysis program. J. Appl. Crystallogr. 2009, 42, 339–341.10.1107/S0021889808042726Search in Google Scholar

5. Raj, L., Ide, T., Gurkar, A., Gurkar, A. U., Foley, M., Schenone, M., Li, X., Tolliday, N. J., Golub, T. R., Carr, S. A., Shamji, A. F., Stern, A. M., Mandinova, A., Schreiber, S. L., Lee, S. W. Selective killing of cancer cells by a small molecule targeting the stress response to ROS. Nature 2011, 475, 231–234.10.1038/nature10167Search in Google Scholar PubMed PubMed Central

6. Perillo, B., Di Donato, M., Pezone, A., Di Zazzo, E., Giovannelli, P., Galasso, G., Castoria, G., Migliaccio, A. ROS in cancer therapy: the bright side of the moon. Exp. Mol. Med. 2020, 52, 192–203.10.1038/s12276-020-0384-2Search in Google Scholar PubMed PubMed Central

7. Adams, D. J., Dai, M., Pellegrino, G., Wagner, B. K., Stern, A. M., Shamji, A. F., Schreiber, S. L. Synthesis, cellular evaluation, and mechanism of action of piperlongumine analogs. Proc. Natl. Acad. Sci. USA 2012, 109, 15115–15120.10.1073/pnas.1212802109Search in Google Scholar PubMed PubMed Central

8. Franco, R., Cidlowski, J. A. Apoptosis and glutathione: beyond an antioxidant. Cell Death Differ. 2009, 16, 1303–1314.10.1038/cdd.2009.107Search in Google Scholar PubMed

9. Shan, F., Shao, Z., Jiang, S., Cheng, Z. Erlotinib induces the human non-small-cell lung cancer cells apoptosis via activating ROS-dependent JNK pathways. Cancer Med. 2016, 5, 3166–3175.10.1002/cam4.881Search in Google Scholar PubMed PubMed Central

10. Shin, S. Y., Jung, E., Lim, Y., Lee, H. J., Rhee, J. H., Yoo, M., Ahn, S., Koh, D. Synthesis, crystal structure, Hirshfeld surface analysis and docking studies of a novel flavone–chalcone hybrid compound demonstrating anticancer effects by generating ROS through glutathione depletion. Crystals 2022, 12, 108.10.3390/cryst12010108Search in Google Scholar

11. Shin, S. Y., Lee, J. M., Lee, M. S., Koh, D., Jung, H., Lim, Y., Lee, Y. H. Targeting cancer cells via the reactive oxygen species-mediated unfolded protein response with a novel synthetic polyphenol conjugate. Clin. Cancer Res. 2014, 20, 4302–4313.10.1158/1078-0432.CCR-14-0424Search in Google Scholar PubMed

12. Lee, K., Lee, D. H., Kim, J.-H., Shin, S. Y., Lee, Y. H., Koh, D. The chalcone derivative HymnPro generates reactive oxygen species through depletion of intracellular glutathione. Appl. Biol. Chem. 2016, 59, 391–396.10.1007/s13765-016-0168-5Search in Google Scholar

13. Sung, J. 6-Methoxy-2-(2-methoxynaphthalen-1-yl)-4H-chromen-4-one. IUCrData 2018, 3, x181277.10.1107/S2414314618012774Search in Google Scholar

14. Ahn, S., Lim, Y., Koh, D. Crystal structure of 2-(2,3-dimethoxynaphthalen-1- yl)-3-hydroxy-6-methoxy-4H-chromen-4-one. Acta Crystallogr. 2015, E71, o842–o843.10.1107/S2056989015018861Search in Google Scholar PubMed PubMed Central

Received: 2022-09-06
Accepted: 2022-10-10
Published Online: 2022-10-24
Published in Print: 2022-12-16

© 2022 the author(s), published by De Gruyter, Berlin/Boston

This work is licensed under the Creative Commons Attribution 4.0 International License.

Articles in the same Issue

  1. Frontmatter
  2. New Crystal Structures
  3. The crystal structure of 1,5-bis(4-chlorophenyl)-3-(3-methylphenyl)pentane- 1,5-dione, C48H40Cl4O4
  4. Crystal structure of (bis(1,10-phenanthroline-κ 2 N,N′))-(3,5-dinitrosalicylato-κ 2 O,O′)nickel(II), C31H18N6NiO7
  5. Crystal structure of {N,N′-bis(4-fluoro-salicylaldehyde)-3,6-dioxa-1,8-diaminooctane-κ4 O,N,N′,O′}zinc(II), C20H20F2N2O4Zn
  6. [5-Bromo-2-(2-(dimethylamino)ethyliminomethyl)phenolato-κ3 N,N′,O]-isothiocyanato-nickel(II), C12H14BrN3NiOS
  7. Crystal structure of 9-bromo-4-(6-methoxypyridin-2-yl)-5,6-dihydrobenzo[h]quinazolin- 2-amine, C18H15BrN4O
  8. The crystal structure of imidazolium nitrate, C3H5O3N3
  9. Crystal structure of diiodido-bis(6,6′-dimethoxy-2,2′-(ethane-1,2-diylbis(nitrilomethanylylidene)) diphenolato)tricadmium(II), C36H36Cd3I2N4O8
  10. Crystal structure of [diaqua-bis(2-((1H-tetrazol-1-yl)methyl)-5-carboxy-1H-imidazole-4-carboxylato-κ2 N,O) manganese(II)] dihydrate, C14H18MnN12O12
  11. Crystal structure of Diaqua[5,5′-dicarboxy-2,2′-(propane-1,3-diyl)bis(1H-imidazole-4-carboxylato-k4 O,O′,N,N′)]iron(II), C13H14FeN4O10
  12. Crystal structure of poly[dimethanol-κ1O-(µ2-(E)-2-((2-oxidobenzylidene)amino)acetato)-(µ3-(E)-2-((2-oxidobenzylidene)amino)acetato)dicadmium(II)], C20H22Cd2N2O8
  13. Crystal structure of N 2,N 6-bis(2-(((E)-quinolin-8-ylmethylene)amino)phenyl)pyridine-2,6-dicarboxamide, C39H27N7O2
  14. An I 6 2 anion in the crystal structure of theophyllinium triiodide monohydrate, C7H11I3N4O3
  15. The crystal structure of poly[6,6′-oxybis(4-(pyridin-1-ium-1-yl)-1,3,5,2,4,6-trioxatriborinan-2-olate)], [B6O9](C5H5N)2
  16. The crystal structure of (carbonato κ2 O,O′)(2-oxopyridin-1(2H)-olato-κN)tris(trimethylphosphine)rhodium(III) water solvate, C15H33NO5P3Rh
  17. The crystal structure of dibromido-bis((RS)-2-(4-chlorophenyl)-2-(1,2,4-triazol-1-ylmethyl)hexanenitrile-κ1 N)zinc(II), C30H34Br2Cl2N8Zn
  18. Synthesis and crystal structure of 3-(((7-hydroxy-3-(4-hydroxy-3,5-dinitrophenyl)-4-oxo-4H-chromen-8-yl)methyl)(nitroso)amino)propanoic acid, C19H14N4O11
  19. The crystal structure of 3-((4-chloro-N-(2-methoxyethyl)benzamido)methyl)phenyl methanesulfonate, C18H20ClNO5S
  20. Crystal structure of di([1,1′:3′,1″-terphenyl]-2′-yl)tellane, C36H26Te
  21. The crystal structure of diaqua-bis(pyrazolo[1,5-a]-pyrimidine-3-carboxylato-κ2 N,O)zinc(II), C14H12N6O6Zn
  22. Crystal structure of N′,N‴-((1E,2E)-1,2-diphenylethane-1,2-diylidene)bis(4-methylbenzohydrazide) – water – methanol (1/1/1), C31H32N4O4
  23. Crystal structure of 3-((2,4-dichlorobenzyl)thio)-5-methyl-7-(trifluoromethyl)-[1,2,4]triazolo [4,3-c]pyrimidine, C14H9Cl2F3N4S
  24. Crystal structure of 3,5,6,7-tetramethoxy-3′,4′-methylenedioxy-flavone, C20H18O8
  25. Crystal structure of catena-poly[(5,5′-dimethyl-2,2′-bipyridine-κ 2 N,N′)-(μ 3-hydrogen-1,1′,1″-(1,3,5-triazine-2,4,6-triyl)tris(piperidine-4-carboxylato)- κ 5 O:O,O′:O″,O‴)-cadmium(II)], C33H40CdN8O6
  26. The crystal structure of 3,5-bis(propan-2-yl)-1H-pyrazol-4-amine, C9H17N3
  27. Crystal structure of [(1,4,7,10-tetraoxacyclododecane-κ 4 O,O′,O″, O‴)-tris(nitrato-κ 2 O,O′)gadolinium(III)], C8H16N3O13Gd
  28. The crystal structure of 2,2′-((pyridine-2,6-diylbis(methylene))bis(sulfanediyl))-bis(4,5-dihydro-1H-imidazol-3-ium) bromide, C13H19Br2N5S2
  29. Crystal structure of E-2-chloro-N′-(1-(5-chloro-2-hydroxyphenyl)propylidene)benzohydrazide, C16H14Cl2N2O2
  30. Crystal structure of 3-(adamantan-1-yl)-4-methyl-5-{[(4-nitrophenyl)methyl]sulfanyl}-4H-1,2,4-triazole, C20H24N4O2S
  31. The crystal structure of dimethanol-κ1O-(5,10,15,20-tetrakis(4-nitrophenyl)porphyrin-21,23-diido-κ4 O,O′,O″,O′″)manganese(III) trans-dicyanido-κ1C-bis(acetylacetonato-κ2 O,O′)ruthenium(III), C58H46N10O14RuMn
  32. The crystal structure of nitroxyl-κ N-{hydridotris(3-trifluoromethyl-5-methylpyrazolyl-1-yl-κN 3)borato}nickel(II), C15H13BF9N7NiO
  33. The crystal structure of [(2,2′-bipyridine-κ2 N,N)-bis(6-phenylpyridine-2-carboxylato- κ2 N,O)nickel(II)] monohydrate, C34H26N4O5Ni
  34. The crystal structure of 5-(2-fluoro-3-methoxyphenyl)-1-(2-fluoro-6-(trifluoromethyl)benzyl)-6-methylpyrimidine-2,4(1H,3H)-dione, C20H15F5N2O3
  35. The crystal structure of ethyl 2,3,5-trifluoro-4-(4-oxo-3,4-dihydropyridin-1(2H)-yl)benzoate, C14H12F3NO3
  36. [2,2′-{Ethane-1,2-diylbis[(azanylylidene)methanylylidene]}bis(3-bromo-2-hydroxyphenyl)]iron(III) nitrate, C20H12Br2CuN2O2
  37. The crystal structure of 1-(2-iodophenyl)-4-phenyl-1H-1,2,3-triazole, C14H10IN3
  38. Synthesis and crystal structure of 2-(2-oxo-2-(thiophen-2-yl)ethyl)-4H-chromen-4-one, C15H10O3S
  39. {6,6′-((1E,1′E)-((2,2-dimethylpropane-1,3-diyl)bis(azaneylylidene))bis(methaneylylidene))bis(2-bromo-4-chlorophenolate)-κ4N,N′,O,O′}copper(II), C19H16Br2Cl2CuN2O2
  40. The crystal structure of N′-[bis(2-hydroxyphenyl)methylidene]pyridine-4-carbohydrazide, C19H15N3O3
  41. Crystal structure of 2-chloro-6-formylphenolato-κ2O,O′-(6,6′-(((2,2-dimethylpropane-1,3-diyl)bis(azaneylylidene))bis(methaneylylidene))bis(2-chlorophenolato)κ4 N,N,O,O′)cobalt(III), C26H22Cl3CoN2O4
  42. The crystal structure of tetrakis(6-phenylpyridine-2-carboxylate-κ 2 N,O)-bis(μ2-6-phenylpyridine-2-carboxylate-κ 2 O:O′)-bis(μ2-6-phenylpyridine-2-carboxylate-κ 3N,O:O)tetralead(II) C48H32N4O8Pb2
  43. The crystal structure of 3,7-dihydroxy-9-methoxy-4a-methyl-4aH-benzo[c] chromene-2,6-dione —dichloromethane (1/1), C16H14Cl2O6
  44. The crystal structure of (Z)-6-(((5-chloro-2-hydroxyphenyl)amino)methylene)- 4-nitrocyclohexa, C13H9ClN2O4
  45. Crystal structure of dichlorido-tetra((E)-(RS)-1-(2,4-dichlorophenyl)-4,4-dimethyl-2-(1,2,4-triazol-1-yl)pent-1-en-3-ol-κ1 N)zinc(II), C60H68O4N12Cl10Zn
  46. The crystal structure of 4-(2-bromoethoxy)-2-hydroxybenzaldehyde, C9H9BrO3
  47. The crystal structure of 5-azido-1-methyl-4-nitroimidazole, C4H4O2N6
  48. Crystal structure of dibromido-tetra((E)-(RS)-1-(2,4-dichlorophenyl)-4,4-dimethyl-2-(1,2,4-triazol-1-yl)pent-1-en-3-ol-κ 1 N)zinc(II), C60H68O4N12Br2Cl8Zn
  49. Crystal structure of tetrasodium-bis(μ 2-oxido)-hexafluoro-didioxo-molybdenum(V), Na2(Mo2O4F6)
  50. Crystal structure of (E)-N′-(2-chloro-6-hydroxybenzylidene)-4- hydroxybenzohydrazide-water (1/1), C14H13Cl1N2O4
  51. Crystal structure of (E)-N-(4-morpholinophenyl)-1-(quinolin-2-yl)methanimine, C20H19N3O
  52. The crystal structure of catena-poly[(1,10-phenanthroline-κ2 N,N′)-(μ3-2-hydroxybenzene-1,3-dicarboxylato-κ5 O,O′:O″,O‴:O‴)cadmium(II)], C20H12CdN2O5
  53. The crystal structure of 2,6-di-tert-butyl-4-(4-(methylthio)benzylidene)cyclohexa-2,5-dien-1-one, C22H28OS
  54. La3.65Mg30Sb1.07 as a disordered derivative of Th2Ni17-type structure
  55. Crystal structure of (E)-N-(4-morpholinophenyl)-1-(quinoxalin-2-yl)methanimine, C19H18N4O
  56. The crystal structure of 2,2′-(1,2-phenylenebis(methylene))bis(1,3-dimethylisothiouronium) bromide, C14H24Br2N4S2
  57. Crystal structure of tetraaqua-bis[4-(1H-1,2,4-triazol-1-yl)benzoato-κ1 N]zinc(II), C18H20ZnN6O8
  58. Crystal structure of bis(tricarbonyl)-{(S)-(tert-butoxycarbonyl)(1-methoxy-1-oxo-3-sulfido-k2 S:S′-propan-2-yl)amido-k2N:N′}diiron(I) (Fe—Fe), C15H15Fe2NO10S
  59. Crystal structure of (E)-3-((4-chlorophenyl)thio)-4-hydroxypent-3-en-2-one, C11H11ClO2S
  60. The crystal structure of (E)-3′,6′-bis(diethylamino)-2-((5-(diethylamino)-2-hydroxybenzylidene)amino)spiro[isoindoline-1,9′-xanthen]-3-one, C39H45N5O3
  61. The crystal structure of 2-(4-methoxynaphthalen-1-yl)-4H-chromen-4-one, C20H14O3
  62. The crystal structure of trans-dichlorido-(ethylenediamine-κ 2 N,N′)-bis(triphenylphosphine-κ 1 P)ruthenium(II), C38H38Cl2N2P2Ru
  63. The double polymeric chain of catena-poly[(μ2-6-bromopyridine-3-carboxylato-κ2 O,O′) (6-bromopyridine-3-carboxylato-κ2 O,O′) (μ2-1,2-bis(4-pyridyl)ethylene-κ2 N:N′)cobalt(II)], C24H16CoBr2N4O4
  64. The crystal structure of tert-butyl 2-(4-(12-bromo [2.2]paracyclophanyl)carbamoyl)pyrrolidine-1-carboxylate, C26H31BrN2O3
  65. The crystal structure of (Z)-2-(2,3-dimethoxybenzylidene)naphtho[1,2-b]furan-3(2H)-one, C21H16O4
  66. Crystal structure of 2-hydroxy-1-tosylindolin-3-yl- 2-naphthoate, C26H21N1S1O5
  67. The crystal structure of 1-methyl-N-(1-methyl-1H-imidazole-2-carbonyl)-1H-imidazole-2-carboxamide, C10H11N5O2
  68. The crystal structure of (E)-2-((5-bromo-2-hydroxybenzylidene)amino)-3′,6′-bis(ethylamino)-2′, 7′-dimethylspiro[isoindoline-1,9′-xanthen]-3-one, C33H31BrN4O3
  69. The crystal structure of dimethanol-5,15-diphenylporphyrin-21,23-diido-κ4 N,Nʹ,Nʺ,Nʹʺ-manganese(III) trans-dicyanido-bis(acetylacetonato-κ2O,Oʹ)ruthenium(III), C46H42N6O6RuMn
  70. Crystal structure of 1,4,8,11-tetraazacyclotetradecane-1,8-diium bis(3,5-dicarboxybenzoate), C28H36N4O12
  71. Bifurcated halogen bonds in the crystal structure of 2,2′-bi(1,8-naphthyridine)—1,4-diiodotetrafluorobenzene (1/1), C22H10F4I2N4
Downloaded on 2.11.2025 from https://www.degruyterbrill.com/document/doi/10.1515/ncrs-2022-0446/html?srsltid=AfmBOoqCrwom_4Oyouumj5nJec-I88ZLiAf99e_3j5nQ02cIZfA3AXKa
Scroll to top button