Abstract
C25H30Cl4N6O6, triclinic,
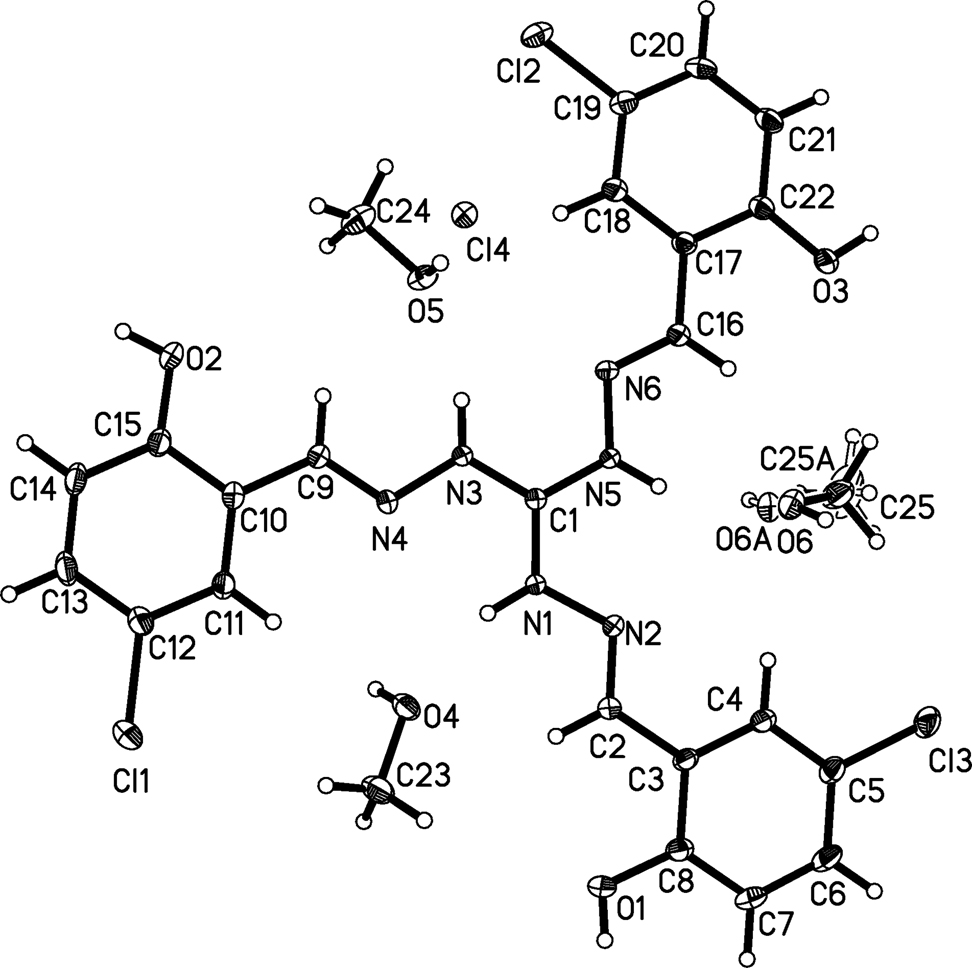
Table 1 contains crystallographic data and Table 2 contains the list of the atoms including atomic coordinates and displacement parameters.

Data collection and handling.
| Crystal: | Pink block |
| Size: | 0.31 × 0.15 × 0.12 mm |
| Wavelength: | Cu Kα radiation (1.54184 Å) |
| μ: | 4.09 mm−1 |
| Diffractometer, scan mode: | XtaLAB Synergy R, ω |
| θ max, completeness: | 77.3°, >99% |
| N(hkl)measured, N(hkl)unique, R int: | 18,336, 5986, 0.020 |
| Criterion for I obs, N(hkl)gt: | I obs > 2σ(I obs), 5692 |
| N(param)refined: | 400 |
| Programs: | CrysAlisPRO [1], Olex2 [2], SHELX [3, 4] |
Fractional atomic coordinates and isotropic or equivalent isotropic displacement parameters (Å2).
| Atom | x | y | z | U iso*/U eq |
|---|---|---|---|---|
| Cl1 | 0.66164 (5) | 0.18556 (3) | 0.12521 (3) | 0.04561 (11) |
| Cl2 | −0.09921 (4) | 0.99436 (3) | 0.20952 (3) | 0.04146 (10) |
| Cl3 | 0.77613 (4) | 0.96687 (3) | 0.94730 (2) | 0.04106 (10) |
| O1 | 0.88354 (11) | 0.52448 (9) | 0.67899 (7) | 0.0360 (2) |
| H1 | 0.951147 | 0.498117 | 0.707228 | 0.054* |
| O2 | 0.26637 (12) | 0.47623 (9) | −0.01314 (7) | 0.0367 (2) |
| H2 | 0.237084 | 0.449433 | −0.074334 | 0.055* |
| O3 | 0.23621 (11) | 1.17478 (8) | 0.61925 (7) | 0.0321 (2) |
| H3 | 0.202833 | 1.231584 | 0.652679 | 0.048* |
| N1 | 0.54046 (12) | 0.65597 (9) | 0.46849 (7) | 0.0250 (2) |
| H1A | 0.561322 | 0.588724 | 0.433015 | 0.030* |
| N2 | 0.59646 (11) | 0.70307 (9) | 0.56865 (7) | 0.0242 (2) |
| N3 | 0.40530 (11) | 0.68274 (9) | 0.33138 (7) | 0.0238 (2) |
| H3A | 0.349003 | 0.722790 | 0.303578 | 0.029* |
| N4 | 0.44751 (11) | 0.58122 (9) | 0.27617 (7) | 0.0242 (2) |
| N5 | 0.41405 (12) | 0.81334 (9) | 0.48564 (7) | 0.0249 (2) |
| H5 | 0.447451 | 0.838692 | 0.549540 | 0.030* |
| N6 | 0.31906 (11) | 0.87128 (9) | 0.44088 (7) | 0.0240 (2) |
| C1 | 0.45322 (13) | 0.71731 (10) | 0.42812 (8) | 0.0217 (2) |
| C2 | 0.68857 (14) | 0.64710 (11) | 0.60325 (9) | 0.0262 (2) |
| H2A | 0.709754 | 0.576569 | 0.560963 | 0.031* |
| C3 | 0.76136 (13) | 0.69054 (11) | 0.70701 (9) | 0.0252 (2) |
| C4 | 0.73543 (14) | 0.79538 (11) | 0.77063 (9) | 0.0272 (3) |
| H4 | 0.667221 | 0.838575 | 0.747037 | 0.033* |
| C5 | 0.80885 (15) | 0.83617 (12) | 0.86769 (9) | 0.0302 (3) |
| C6 | 0.90966 (16) | 0.77488 (13) | 0.90348 (10) | 0.0363 (3) |
| H6 | 0.960310 | 0.804427 | 0.970474 | 0.044* |
| C7 | 0.93604 (15) | 0.67087 (13) | 0.84138 (10) | 0.0346 (3) |
| H7 | 1.004783 | 0.628599 | 0.865735 | 0.041* |
| C8 | 0.86217 (14) | 0.62765 (12) | 0.74305 (10) | 0.0281 (3) |
| C9 | 0.39335 (14) | 0.54939 (11) | 0.18402 (9) | 0.0257 (2) |
| H9 | 0.332087 | 0.596329 | 0.159111 | 0.031* |
| C10 | 0.42423 (14) | 0.44201 (11) | 0.11654 (9) | 0.0260 (2) |
| C11 | 0.51707 (14) | 0.37243 (11) | 0.14974 (9) | 0.0279 (3) |
| H11 | 0.562633 | 0.394950 | 0.217312 | 0.033* |
| C12 | 0.54232 (16) | 0.27096 (12) | 0.08405 (10) | 0.0326 (3) |
| C13 | 0.47444 (18) | 0.23478 (13) | −0.01452 (10) | 0.0381 (3) |
| H13 | 0.491472 | 0.163695 | −0.058655 | 0.046* |
| C14 | 0.38191 (17) | 0.30248 (13) | −0.04833 (10) | 0.0354 (3) |
| H14 | 0.335284 | 0.277986 | −0.115869 | 0.042* |
| C15 | 0.35678 (15) | 0.40682 (12) | 0.01657 (9) | 0.0289 (3) |
| C16 | 0.28616 (14) | 0.96367 (11) | 0.49841 (9) | 0.0257 (2) |
| H16 | 0.329460 | 0.989287 | 0.566521 | 0.031* |
| C17 | 0.18291 (13) | 1.03014 (11) | 0.46062 (9) | 0.0248 (2) |
| C18 | 0.10420 (14) | 0.98776 (11) | 0.36259 (9) | 0.0277 (3) |
| H18 | 0.121806 | 0.917093 | 0.318264 | 0.033* |
| C19 | 0.00126 (14) | 1.04895 (12) | 0.33078 (10) | 0.0295 (3) |
| C20 | −0.02548 (15) | 1.15270 (12) | 0.39405 (11) | 0.0327 (3) |
| H20 | −0.096956 | 1.193809 | 0.371023 | 0.039* |
| C21 | 0.05215 (15) | 1.19622 (12) | 0.49080 (10) | 0.0312 (3) |
| H21 | 0.034503 | 1.267657 | 0.534124 | 0.037* |
| C22 | 0.15622 (14) | 1.13545 (11) | 0.52481 (9) | 0.0259 (2) |
| Cl4 | −0.13211 (3) | 0.60410 (3) | 0.24272 (2) | 0.03116 (9) |
| O4 | 0.72925 (13) | 0.50240 (9) | 0.39093 (8) | 0.0394 (2) |
| H4A | 0.764360 | 0.524568 | 0.348195 | 0.059* |
| C23 | 0.7849 (2) | 0.40109 (15) | 0.40234 (13) | 0.0447 (4) |
| H23A | 0.728822 | 0.327590 | 0.349158 | 0.067* |
| H23B | 0.773275 | 0.392190 | 0.465238 | 0.067* |
| H23C | 0.891222 | 0.413050 | 0.400547 | 0.067* |
| O5 | 0.16415 (11) | 0.72976 (10) | 0.20877 (7) | 0.0384 (2) |
| H5A | 0.087527 | 0.701953 | 0.225399 | 0.058* |
| C24 | 0.1235 (2) | 0.73236 (18) | 0.11198 (12) | 0.0506 (4) |
| H24A | 0.051216 | 0.657412 | 0.071530 | 0.076* |
| H24B | 0.212972 | 0.738943 | 0.084972 | 0.076* |
| H24C | 0.078095 | 0.802526 | 0.112483 | 0.076* |
| O6a | 0.44043 (16) | 0.91932 (12) | 0.69584 (9) | 0.0378 (4) |
| H6Aa | 0.401499 | 0.891210 | 0.734590 | 0.057* |
| C25a | 0.5144 (6) | 1.0382 (5) | 0.7439 (4) | 0.0496 (14) |
| H25Aa | 0.581853 | 1.063958 | 0.705485 | 0.074* |
| H25Ba | 0.572862 | 1.044965 | 0.808221 | 0.074* |
| H25Ca | 0.441286 | 1.090370 | 0.752128 | 0.074* |
| O6Ab | 0.5538 (5) | 0.9895 (4) | 0.6780 (3) | 0.0375 (14) |
| H6AAb | 0.610989 | 1.031171 | 0.655511 | 0.056* |
| C25Ab | 0.523 (3) | 1.057 (2) | 0.7509 (19) | 0.072 (7) |
| H25Db | 0.485257 | 1.123396 | 0.734595 | 0.108* |
| H25Eb | 0.613737 | 1.090115 | 0.803708 | 0.108* |
| H25Fb | 0.446680 | 1.010026 | 0.772157 | 0.108* |
-
aOccupancy: 0.776 (3), bOccupancy: 0.224 (3).
Source of material
5-Chlorosalicylaldehyde (4.69 g, 0.01 mol) was placed in 15 mL ethanol at room temperature, then added into triaminoguanidine hydrochloride (1.40 g, 0.01 mol) solution containing 10 mL water and 8 mL ethanol. The mixture was heated and stirred at 65 °C for 3 h, and finally cooled to room temperature, Then remove the sediment was removed and the obtained filtrate stands for three days to precipitate light pink block crystals.
Experimental details
The crystal data collection was done on a XtaLAB Synergy R, HyPix diffractometer [1]. Using Olex2 [2], the structure was solved with the SHELXT [3] structure solution program and refined with the SHELXL [4] refinement package. All H-atoms were placed geometrically and refined using a riding model with common isotropic displacement factors U iso(H) = 1.2 or 1.5 U eq (parent C-atom).
Comment
As a good building block, triaminoguanidinium chloride and its derivatives are widely used in coordination chemistry [5, 6]. In addition, because triaminoguanidinium chloride contains rich N atoms and has good biological activity, it is also used in the research field of energetic materials [7] and biomedicine [8]. As far as we know, there are four reported structures of salts containing a triaminoguanidine-based Schiff base cation [10], [11], [12], [13]. We synthesized the title compound on the basis of previous studies.
The asymmetric units of the title compound include one [C22H18Cl3N6O3]+ cation, one Cl− anion and three solvent methanol molecules (see the figure). They are connected by O–H⋯Cl and N–H⋯O weak intermolecular hydrogen bonds, which makes the structure of the whole compound more stable. In the title compound, the bond lengths of N2=C2, N4=C9 and N6=C16 are 1.279 (2), 1.279(2) and 1.280(2) Å respectively. They are basically consistent with the reported C=N (1.279 Å) [9] double bond lengths of similar structures. Other bond lengths and bond angles are also within the normal range.
Funding source: Henan University
Award Identifier / Grant number: 135100001
Acknowledgments
The authors would like to thank the financial supports from the Henan University of Science and Technology Distinguished Professor Open Fund (Grant No. 135100001).
-
Author contributions: All the authors have accepted responsibility for the entire content of this submitted manuscript and approved submission.
-
Research funding: Henan University of Science and Technology Distinguished Professor Open Fund (Grant No. 135100001).
-
Conflict of interest statement: The authors declare no conflicts of interest regarding this article.
References
1. Oxford Diffraction Ltd. CrysAlisPRO (Version 1.171.41.121a); Rigaku Oxford Diffraction: England, 2021.Search in Google Scholar
2. Dolomanov, O. V., Bourhis, L. J., Gildea, R. J., Howard, J. A. K., Puschmann, H. OLEX2: a complete structure solution, refinement and analysis program. J. Appl. Crystallogr. 2009, 42, 339–341; https://doi.org/10.1107/s0021889808042726.Search in Google Scholar
3. Sheldrick, G. M. SHELXTL – Integrated space-group and crystal-structure determination. Acta Crystallogr. 2015, A71, 3–8; https://doi.org/10.1107/s2053273314026370.Search in Google Scholar PubMed PubMed Central
4. Sheldrick, G. M. Crystal structure refinement with SHELXL. Acta Crystallogr. 2015, C71, 3–8; https://doi.org/10.1107/s2053229614024218.Search in Google Scholar
5. Plaul, D., Bohme, M., Ostrovsky, S., Tomkowicz, Z., Gorls, H., Haase, W., Plass, W. Modeling spin interactions in a triangular cobalt(II) complex with triaminoguanidine ligand framework: synthesis, structure, and magnetic properties. Inorg. Chem. 2018, 57, 106–119; https://doi.org/10.1021/acs.inorgchem.7b02229.Search in Google Scholar PubMed
6. Zharkouskaya, A., Gorls, H., Vaughan, G., Plass, W. A new three-dimensional Cu(II) coordination polymer with triaminoguanidin building blocks. Inorg. Chem. Commun. 2005, 8, 1145–1148; https://doi.org/10.1016/j.inoche.2005.09.025.Search in Google Scholar
7. Yan, Q. L., Cohen, A., Chinnam, A. K., Petrutik, N., Shlomovich, A., Burstein, L., Gozin, M. A layered 2D triaminoguanidine-glyoxal polymer and its transition metal complexes as novel insensitive energetic nanomaterials. J. Mater. Chem. A 2016, 4, 18401–18408; https://doi.org/10.1039/c6ta08041c.Search in Google Scholar
8. Muthusamy, S., Zhu, D. W., Rajalakshmi, K., Zhu, W. H., Wang, S. J., Lee, K. B., Zhao, L. Successive detection of zinc ion and citrate using a Schiff base chemosensor for enhanced prostate cancer diagnosis in biosystems. ACS Appl. Bio Mater. 2011, 4, 1932–1941.10.1021/acsabm.0c01568Search in Google Scholar PubMed
9. Müller, I. M., Möller, D. A New ligand for the formation of triangular building blocks in supramolecular chemistry. Eur. J. Inorg. Chem. 2005, 2, 257–263.10.1002/ejic.200400526Search in Google Scholar
10. Müller, I. M., Möller, D., Schalley, C. A. Rational design of tightly closed coordination tetrahedra that are stable in the solid state, in solution, and in the gas phase. Angew. Chem. Int. Ed. 2005, 44, 480–484.10.1002/anie.200461800Search in Google Scholar PubMed
11. Singh, H., Devi, M., Jena, N., Iqbal, M. M., Nailwal, Y., De Sarkar, A., Pal, S. K. Proton-triggered fluorescence switching in self-exfoliated ionic covalent organic nanosheets for applications in selective detection of anions. ACS Appl. Mater. Interfaces 2020, 12, 13248–13255; https://doi.org/10.1021/acsami.9b20743.Search in Google Scholar PubMed
12. Mitra, S., Kandambeth, S., Biswal, B. P., Khayum, M. A., Choudhury, C. K., Mehta, M., Kaur, G., Banerjee, S., Prabhune, A., Verma, S., Roy, S., Kharu, U. K., Banerjee, R. Self-exfoliated guanidinium-based ionic covalent organic nanosheets (iCONs). J. Am. Chem. Soc. 2016, 138, 2823–2828; https://doi.org/10.1021/jacs.5b13533.Search in Google Scholar PubMed
13. Jia, A. Q., Zhou, W. Y., Wu, S. M., Shi, H. T., Zhang, Q. F. Cis-dioxo-molybdenum(VI) complexes with diaminoguanidinium and triaminoguanidinium Schiff bases and their catalytic application for epoxidation of cyclohexene. ChemistrySelect 2020, 5, 11085–11095; https://doi.org/10.1002/slct.202002938.Search in Google Scholar
© 2022 the author(s), published by De Gruyter, Berlin/Boston
This work is licensed under the Creative Commons Attribution 4.0 International License.
Articles in the same Issue
- Frontmatter
- New Crystal Structures
- The crystal structure of 3-(1-(2-((5-methylthiophen-2-yl)methylene)hydrazinyl)ethylidene)chroman-2,4-dione, C17H14N2O3S
- Crystal structure of chlorido-(η 6-toluene)(5,5′-dimethyl-2,2′-bipyridine-κ2 N,N′)ruthenium(II) hexafluoridophosphate(V) ─ acetone (1/1) C22H26ClN2ORuPF6
- Crystal structure of 4-(((2-(3-(1-(3-(3-cyanophenyl)-6-oxopyridazin-1(6H)-yl)ethyl)phenyl) pyrimidin-5-yl)oxy)methyl)-1-methylpiperidin-1-ium chloride monohydrate, C30H33N6O2Cl
- The crystal structure of 2-chloro-N-((2-chlorophenyl)carbamoyl)nicotinamide, C13H9Cl2N3O2
- Crystal structure of 9-(t-butyl)-3,11-dihydro-6H-pyrazolo [1,5-a]pyrrolo[3′,2′:5,6]pyrido[4,3-d]pyrimidin-6-one hemihydrate, C30H32N10O3
- Crystal structure of di-μ2-hydroxido-tetrakis(6-methylpyridine-2-carboxylato-k2 N,O) diiron(III) trihydrate C28H32Fe2N4O13
- Crystal structure of catena-poly[qua-(μ2-2-aminoisophthalat-κ3 O,O′:O′′)(1,10-phenanthroline-κ2 N,N′)manganese(II)] C20H15MnN3O5
- Crystal structure of poly[(bis(isothiocyano)-bis(μ 2-(E)-N′-(pyridin-4-ylmethylene)isonicotinohydrazide))iron(II) – methanol – 1,4-dioxane (1/2/2), C36H44FeN10O8S2
- Crystal structure of (E)-N′-(1-(5-chloro-2-hydroxyphenyl)propylidene)-4-hydroxybenzohydrazide, C16H15ClN2O3
- Crystal structure of bis(μ2-benzoato-k2O:O′)-bis(μ2-benzoato-k3O,O′:O′)dinitrato-k2O,O′-bis(phenanthroline-k2 N,N′)dierbium(III), C52H36Er2N6O14
- Crystal structure of 4-ethyl-2-{[(4-nitrophenyl)methyl]sulfanyl}-6-oxo-1,6-dihydropyrimidine-5-carbonitrile, C14H12N4O3S
- Synthesis and crystal structure of 1-((3R,10S,13R,17S)-10,13-dimethyl-3- (phenylamino)hexadecahydro-1H-cyclopenta[α] phenanthren-17-yl)ethan-1-one, C27H39NO
- Crystal structre of 1,4-bis(bromomethyl)-2,3,5,6-tetramethylbenzene, C12H16Br2
- Crystal structure of 2-(adamantan-1-yl)-5-(3,5-dinitrophenyl)-1,3,4-oxadiazole, C18H18N4O5
- Crystal structure of (E)-N′-benzylidene-4-nitrobenzohydrazide – methanol (1/1), C15H15N3O4
- The crystal structure of 3-(2-bromophenyl)-1,5-di-p-tolylpentane-1,5-dione, C25H23BrO2
- Crystal structure of catena-poly[(μ 2-4,4′-bipyridine-κ2 N:N′)-bis(4-bromobenzoato-κ1 O)zinc(II)], C24H16Br2N2O4Zn
- Crystal structure of 1,1′-(1,2-ethanediyl)bis(pyridin-1-ium) bis(1,2-dicyanoethene-1,2-dithiolato-κ2 S:S)zinc(II), C20H14N6ZnS4
- Crystal structure of pentacarbonyl-(μ2-propane-1,3-dithiolato-κ4 S:S,S′:S′)-(diphenyl(o-tolyl)phosphine-κ1 P)diiron (Fe-Fe), C27H23Fe2O5PS2
- The crystal structure of the cocrystal 4-hydroxy-3,5-dimethoxybenzoic acid–pyrazine-2-carboxamide(1/1), C14H15N3O6
- The crystal structure of dichlorido-bis((RS)-2-(4-chlorophenyl)-2-(1,2,4-triazol-1-ylmethyl)hexanenitrile-κ1 N)zinc(II), C30H34Cl4N8Zn
- Crystal structure of the cocrystal 2,4,6-triamino-1,3,5-triazine – 1H-isoindole-1,3(2H)-dione – methanol (1/1/1), C12H15N7O3
- The crystal structure of methyl 4-((3,5-di-tert-butyl-4-oxocyclohexa-2,5-dien-1-ylidene)methyl) benzoate, C23H28O3
- Crystal structure of (poly[µ2-(1H-pyrazol-1-yl)methyl]-1H-benzotriazole-κ 2 N:N)-(nitrato-κ 2 O:O′) silver(I), C9H8AgN7O3
- Crystal structure of tetraaqua-bis[4-(1H-1,2,4-triazol-1-yl)benzoato-k1 N]cadmium(II), C18H20CdN6O8
- The crystal structure of diaqua-bis(pyrazolo[1,5-a]pyrimidine-3-carboxylato-κ2N,O)nickel(II) dihydrate, C14H16N6O8Ni
- Crystal structure of poly[μ2-aqua-aqua-(μ2-1,3-di(1H-imidazol-1-yl)propane-κ2 N:N′)-(μ2-4,4′-(1H-1,2,4-triazole-3,5-diyl)dibenzoato-κ2 O:O′)-(μ4-4,4′-(1H-1,2,4-triazole-3,5-diyl)dibenzoato-κ5 O,O′:O″:O′″:O′″)dicobalt(II)] – water – dimethylformamide (1/1/1) C44H43N11O12Co2
- Crystal structure of N-((Z)-amino(((E)-amino(phenylamino)methylene) amino)methylene)benzenaminium chloride – benzo[f]isoquinolino[3,4-b][1,8]naphthyridine – tetrahydrofurane (1/2/2), C60H54ClN11O2
- The crystal structure of Chrysosplenol D, C18H16O8
- Crystal structure of poly[deca aqua-bis(μ 4-2-(triazol-1-yl)-benzene-1,3,5-tricarboxylato)- bis(μ 5-2-(triazol-1-yl)-benzene-1,3-dicarboxylato-5-carboxyl acid) pentamanganese(II)] dihydrate, C44H42Mn5N12O36
- Synthesis and crystal structure of (E)-1-(4-(((E)-3-(tert-butyl)-2-hydroxybenzylidene)amino)phenyl)ethan-1-one O-methyl oxime, C20H24N2O2
- The crystal structure of 4,4′-dichloro-6,6′-dimethoxy-2,2′,3,3′,5,5′- hexanitroazobenzene, C14H6N8O14Cl2
- Crystal structure of N 2,N 4-dimesitylpentane-2,4-diamine, C23H34N2
- Crystal structure of (1,4,7,10,13,16-hexaoxacyclooctadecane-κ 6O6)potassium(2-methylphenylamino)ethyl-2-methylphenylamide ammoniate (1/3.5), [K(18-crown-6)](o-CH3C6H4)NH(CH2)2N(o-CH3C6H4) 3.5 NH3, C28H53.5KN5.5O6
- The crystal structure of N′,N″,2-tris((E)-5-chloro-2-hydroxybenzylidene)hydrazine-1-carbohydrazonhydrazide hydrochloride – methanol (1/3), C25H30Cl4N6O6
- Crystal structure of (E)-7-bromo-2-(3,5-dimethoxybenzylidene)-3,4-dihydronaphthalen-1(2H)-one, C19H17BrO3
- Crystal structure of (E)-N′-(1-(5-chloro-2-hydroxyphenyl) ethylidene)-4-hydroxybenzohydrazide, C15H13ClN2O3
- {2-(((2-aminoethyl)imino)methyl)-6-bromophenolato-κ3 N,N′,O}iron(III) nitrate, C18H20Br2FeN5O5
- Crystal structure of 2-(tert-pentyl)anthracene-9,10-dione, C19H18O2
- Crystal structure of 5,5′-(1,4-phenylene)bis(1H-imidazol-3-ium) bis(2-(2-(carboxymethyl)phenyl)acetate), C32H30N4O8
- Crystal structure of N 2,N 6-bis(2-(((E)-naphthalen-1-ylmethylene)amino)phenyl)pyridine-2,6-dicarboxamide, C41H29N5O2
- The crystal structure of 3-amino-1,2,4-triazolium 2,4,5-trinitroimidazolate, C5H5O6N9
- Hydrogen bonded dimers in the crystal structure of 2-chloro-N-(phenylcarbamoyl)nicotinamide, C26H20Cl2N6O4
- The crystal structure of 4,4′-bipyridine-5,6,7-trihydroxy-2-phenyl-4H-chromen-4-one-water(1/2/2), C40H32N2O12
- Crystal structure of N,N'-bis(4-fluoro-salicylaldehyde)-3,6-dioxa-1,8-diaminooctane, C20H22F2N2O4
- Crystal structure of 3-(1,3-dinitropropan-2-yl)-4H-chromen-4-one, C12H10N2O6
- The crystal structure of (4-(2-bromoethoxy)-phenyl)(phenyl)methanone, C15H13BrO2
- Crystal structure of (E)-7-bromo-2-(4-methoxybenzylidene)-3,4-dihydronaphthalen-1(2H)-one, C18H15BrO2
- Crystal structure of dichlorido-tetrakis((E)-(RS)-1-(2,4-dichlorophenyl)-4,4-dimethyl-2-(1,2,4-triazol-1-yl)pent-1-en-3-ol-κ 1 N)cadmium(II), C60H68O4N12Cl10Cd
- Crystal structure of diaqua-diphenanthroline-κ2 N,N′-bis(μ2-2-carboxy-3,4,5,6-tetrafluorobenzoato-κ2 O:O′)-bis(μ2-tetrafluorophthalato-κ3 O,O′:O′)didysprosium(III) – phenanthroline (1/2), C80H38Dy2F16N8O18
- Crystal structure of bis(μ2-2-oxido-2-phenylacetato-κ3 O,O′:O′)-bis(N-oxido-benzamide-κ2 O,O′)-bis(propan-2-olato-κ1 O)dititanium(IV), C36H38N2O12Ti2
- Crystal structure of poly[diaqua-(μ2-1H-benzo[d][1,2,3]triazole-5-carboxylato-κ2 O:O′)(μ2-oxalato-κ4O,O:O″,O′″)europium(III)] monohydrate, C9H10N3O9Eu
- Crystal structure of bis((N-methyl-2-oxyethyl)amine)-bis(μ 2-N,N,N-tris(2-oxoethyl)amine)-bis(isopropoxy)-bis(μ 3-oxo)tetratitanium(IV)– isopropanol (1/2), C34H76N4O16Ti4
- Synthesis and crystal structure of ethyl 4-((4-iodobenzyl)amino)benzoate, C16H16INO2
- Crystal structure of (Z)-2-(tert-butyl)-5-((5-(tert- butyl)-2H-pyrrol-2-ylidene)(mesityl)methyl)-1H-pyrrole, C26H34N2
- Crystal structure of dimethylammonium poly[μ4-1,1′-(1,4- phenylenebis(methylene))bis(1H-pyrazole-3,5-dicarboxylato-κ6 N,O:O′:N′,O″:O‴) manganese(II)], C22H26MnN6O8
Articles in the same Issue
- Frontmatter
- New Crystal Structures
- The crystal structure of 3-(1-(2-((5-methylthiophen-2-yl)methylene)hydrazinyl)ethylidene)chroman-2,4-dione, C17H14N2O3S
- Crystal structure of chlorido-(η 6-toluene)(5,5′-dimethyl-2,2′-bipyridine-κ2 N,N′)ruthenium(II) hexafluoridophosphate(V) ─ acetone (1/1) C22H26ClN2ORuPF6
- Crystal structure of 4-(((2-(3-(1-(3-(3-cyanophenyl)-6-oxopyridazin-1(6H)-yl)ethyl)phenyl) pyrimidin-5-yl)oxy)methyl)-1-methylpiperidin-1-ium chloride monohydrate, C30H33N6O2Cl
- The crystal structure of 2-chloro-N-((2-chlorophenyl)carbamoyl)nicotinamide, C13H9Cl2N3O2
- Crystal structure of 9-(t-butyl)-3,11-dihydro-6H-pyrazolo [1,5-a]pyrrolo[3′,2′:5,6]pyrido[4,3-d]pyrimidin-6-one hemihydrate, C30H32N10O3
- Crystal structure of di-μ2-hydroxido-tetrakis(6-methylpyridine-2-carboxylato-k2 N,O) diiron(III) trihydrate C28H32Fe2N4O13
- Crystal structure of catena-poly[qua-(μ2-2-aminoisophthalat-κ3 O,O′:O′′)(1,10-phenanthroline-κ2 N,N′)manganese(II)] C20H15MnN3O5
- Crystal structure of poly[(bis(isothiocyano)-bis(μ 2-(E)-N′-(pyridin-4-ylmethylene)isonicotinohydrazide))iron(II) – methanol – 1,4-dioxane (1/2/2), C36H44FeN10O8S2
- Crystal structure of (E)-N′-(1-(5-chloro-2-hydroxyphenyl)propylidene)-4-hydroxybenzohydrazide, C16H15ClN2O3
- Crystal structure of bis(μ2-benzoato-k2O:O′)-bis(μ2-benzoato-k3O,O′:O′)dinitrato-k2O,O′-bis(phenanthroline-k2 N,N′)dierbium(III), C52H36Er2N6O14
- Crystal structure of 4-ethyl-2-{[(4-nitrophenyl)methyl]sulfanyl}-6-oxo-1,6-dihydropyrimidine-5-carbonitrile, C14H12N4O3S
- Synthesis and crystal structure of 1-((3R,10S,13R,17S)-10,13-dimethyl-3- (phenylamino)hexadecahydro-1H-cyclopenta[α] phenanthren-17-yl)ethan-1-one, C27H39NO
- Crystal structre of 1,4-bis(bromomethyl)-2,3,5,6-tetramethylbenzene, C12H16Br2
- Crystal structure of 2-(adamantan-1-yl)-5-(3,5-dinitrophenyl)-1,3,4-oxadiazole, C18H18N4O5
- Crystal structure of (E)-N′-benzylidene-4-nitrobenzohydrazide – methanol (1/1), C15H15N3O4
- The crystal structure of 3-(2-bromophenyl)-1,5-di-p-tolylpentane-1,5-dione, C25H23BrO2
- Crystal structure of catena-poly[(μ 2-4,4′-bipyridine-κ2 N:N′)-bis(4-bromobenzoato-κ1 O)zinc(II)], C24H16Br2N2O4Zn
- Crystal structure of 1,1′-(1,2-ethanediyl)bis(pyridin-1-ium) bis(1,2-dicyanoethene-1,2-dithiolato-κ2 S:S)zinc(II), C20H14N6ZnS4
- Crystal structure of pentacarbonyl-(μ2-propane-1,3-dithiolato-κ4 S:S,S′:S′)-(diphenyl(o-tolyl)phosphine-κ1 P)diiron (Fe-Fe), C27H23Fe2O5PS2
- The crystal structure of the cocrystal 4-hydroxy-3,5-dimethoxybenzoic acid–pyrazine-2-carboxamide(1/1), C14H15N3O6
- The crystal structure of dichlorido-bis((RS)-2-(4-chlorophenyl)-2-(1,2,4-triazol-1-ylmethyl)hexanenitrile-κ1 N)zinc(II), C30H34Cl4N8Zn
- Crystal structure of the cocrystal 2,4,6-triamino-1,3,5-triazine – 1H-isoindole-1,3(2H)-dione – methanol (1/1/1), C12H15N7O3
- The crystal structure of methyl 4-((3,5-di-tert-butyl-4-oxocyclohexa-2,5-dien-1-ylidene)methyl) benzoate, C23H28O3
- Crystal structure of (poly[µ2-(1H-pyrazol-1-yl)methyl]-1H-benzotriazole-κ 2 N:N)-(nitrato-κ 2 O:O′) silver(I), C9H8AgN7O3
- Crystal structure of tetraaqua-bis[4-(1H-1,2,4-triazol-1-yl)benzoato-k1 N]cadmium(II), C18H20CdN6O8
- The crystal structure of diaqua-bis(pyrazolo[1,5-a]pyrimidine-3-carboxylato-κ2N,O)nickel(II) dihydrate, C14H16N6O8Ni
- Crystal structure of poly[μ2-aqua-aqua-(μ2-1,3-di(1H-imidazol-1-yl)propane-κ2 N:N′)-(μ2-4,4′-(1H-1,2,4-triazole-3,5-diyl)dibenzoato-κ2 O:O′)-(μ4-4,4′-(1H-1,2,4-triazole-3,5-diyl)dibenzoato-κ5 O,O′:O″:O′″:O′″)dicobalt(II)] – water – dimethylformamide (1/1/1) C44H43N11O12Co2
- Crystal structure of N-((Z)-amino(((E)-amino(phenylamino)methylene) amino)methylene)benzenaminium chloride – benzo[f]isoquinolino[3,4-b][1,8]naphthyridine – tetrahydrofurane (1/2/2), C60H54ClN11O2
- The crystal structure of Chrysosplenol D, C18H16O8
- Crystal structure of poly[deca aqua-bis(μ 4-2-(triazol-1-yl)-benzene-1,3,5-tricarboxylato)- bis(μ 5-2-(triazol-1-yl)-benzene-1,3-dicarboxylato-5-carboxyl acid) pentamanganese(II)] dihydrate, C44H42Mn5N12O36
- Synthesis and crystal structure of (E)-1-(4-(((E)-3-(tert-butyl)-2-hydroxybenzylidene)amino)phenyl)ethan-1-one O-methyl oxime, C20H24N2O2
- The crystal structure of 4,4′-dichloro-6,6′-dimethoxy-2,2′,3,3′,5,5′- hexanitroazobenzene, C14H6N8O14Cl2
- Crystal structure of N 2,N 4-dimesitylpentane-2,4-diamine, C23H34N2
- Crystal structure of (1,4,7,10,13,16-hexaoxacyclooctadecane-κ 6O6)potassium(2-methylphenylamino)ethyl-2-methylphenylamide ammoniate (1/3.5), [K(18-crown-6)](o-CH3C6H4)NH(CH2)2N(o-CH3C6H4) 3.5 NH3, C28H53.5KN5.5O6
- The crystal structure of N′,N″,2-tris((E)-5-chloro-2-hydroxybenzylidene)hydrazine-1-carbohydrazonhydrazide hydrochloride – methanol (1/3), C25H30Cl4N6O6
- Crystal structure of (E)-7-bromo-2-(3,5-dimethoxybenzylidene)-3,4-dihydronaphthalen-1(2H)-one, C19H17BrO3
- Crystal structure of (E)-N′-(1-(5-chloro-2-hydroxyphenyl) ethylidene)-4-hydroxybenzohydrazide, C15H13ClN2O3
- {2-(((2-aminoethyl)imino)methyl)-6-bromophenolato-κ3 N,N′,O}iron(III) nitrate, C18H20Br2FeN5O5
- Crystal structure of 2-(tert-pentyl)anthracene-9,10-dione, C19H18O2
- Crystal structure of 5,5′-(1,4-phenylene)bis(1H-imidazol-3-ium) bis(2-(2-(carboxymethyl)phenyl)acetate), C32H30N4O8
- Crystal structure of N 2,N 6-bis(2-(((E)-naphthalen-1-ylmethylene)amino)phenyl)pyridine-2,6-dicarboxamide, C41H29N5O2
- The crystal structure of 3-amino-1,2,4-triazolium 2,4,5-trinitroimidazolate, C5H5O6N9
- Hydrogen bonded dimers in the crystal structure of 2-chloro-N-(phenylcarbamoyl)nicotinamide, C26H20Cl2N6O4
- The crystal structure of 4,4′-bipyridine-5,6,7-trihydroxy-2-phenyl-4H-chromen-4-one-water(1/2/2), C40H32N2O12
- Crystal structure of N,N'-bis(4-fluoro-salicylaldehyde)-3,6-dioxa-1,8-diaminooctane, C20H22F2N2O4
- Crystal structure of 3-(1,3-dinitropropan-2-yl)-4H-chromen-4-one, C12H10N2O6
- The crystal structure of (4-(2-bromoethoxy)-phenyl)(phenyl)methanone, C15H13BrO2
- Crystal structure of (E)-7-bromo-2-(4-methoxybenzylidene)-3,4-dihydronaphthalen-1(2H)-one, C18H15BrO2
- Crystal structure of dichlorido-tetrakis((E)-(RS)-1-(2,4-dichlorophenyl)-4,4-dimethyl-2-(1,2,4-triazol-1-yl)pent-1-en-3-ol-κ 1 N)cadmium(II), C60H68O4N12Cl10Cd
- Crystal structure of diaqua-diphenanthroline-κ2 N,N′-bis(μ2-2-carboxy-3,4,5,6-tetrafluorobenzoato-κ2 O:O′)-bis(μ2-tetrafluorophthalato-κ3 O,O′:O′)didysprosium(III) – phenanthroline (1/2), C80H38Dy2F16N8O18
- Crystal structure of bis(μ2-2-oxido-2-phenylacetato-κ3 O,O′:O′)-bis(N-oxido-benzamide-κ2 O,O′)-bis(propan-2-olato-κ1 O)dititanium(IV), C36H38N2O12Ti2
- Crystal structure of poly[diaqua-(μ2-1H-benzo[d][1,2,3]triazole-5-carboxylato-κ2 O:O′)(μ2-oxalato-κ4O,O:O″,O′″)europium(III)] monohydrate, C9H10N3O9Eu
- Crystal structure of bis((N-methyl-2-oxyethyl)amine)-bis(μ 2-N,N,N-tris(2-oxoethyl)amine)-bis(isopropoxy)-bis(μ 3-oxo)tetratitanium(IV)– isopropanol (1/2), C34H76N4O16Ti4
- Synthesis and crystal structure of ethyl 4-((4-iodobenzyl)amino)benzoate, C16H16INO2
- Crystal structure of (Z)-2-(tert-butyl)-5-((5-(tert- butyl)-2H-pyrrol-2-ylidene)(mesityl)methyl)-1H-pyrrole, C26H34N2
- Crystal structure of dimethylammonium poly[μ4-1,1′-(1,4- phenylenebis(methylene))bis(1H-pyrazole-3,5-dicarboxylato-κ6 N,O:O′:N′,O″:O‴) manganese(II)], C22H26MnN6O8