Home Crystal structure of 3-ethyl-1-[(E)-[(2E)-3-phenylprop-2-en-1-ylidene]amino]thiourea, C12H15N3S
Article Open Access

Crystal structure of 3-ethyl-1-[(E)-[(2E)-3-phenylprop-2-en-1-ylidene]amino]thiourea, C12H15N3S

  • Ming Yueh Tan , Sheng Zhou Ho , Kong Wai Tan and Edward R.T. Tiekink ORCID logo EMAIL logo
Published/Copyright: August 21, 2020

Abstract

C12H15N3S, orthorhombic, Pbca (no. 61), a = 11.9612(5) Å, b = 8.1215(3) Å, c = 27.5865(12) Å, V = 2679.83(19) Å3, Z = 8, Rgt(F) = 0.0520, wRref(F2) = 0.1514, T = 293(2) K.

CCDC no.: 2022873

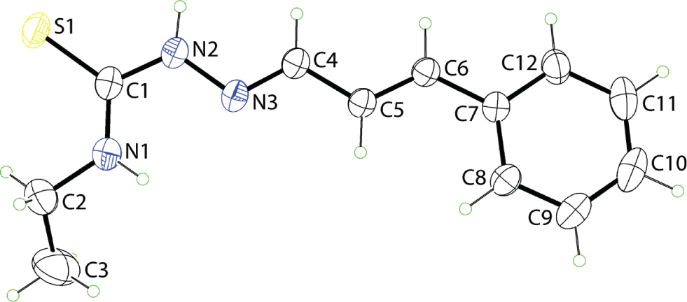
The molecular structure is shown in the figure. Table 1 contains crystallographic data and Table 2 contains the list of the atoms including atomic coordinates and displacement parameters.

Table 1:

Data collection and handling.

Crystal:Colourless slab
Size:0.50 × 0.50 × 0.20 mm
Wavelength:Cu Kα radiation (1.54184 Å)
μ:1.96 mm−1
Diffractometer, scan mode:SuperNova, ω
θmax, completeness:74.2°, 99%
N(hkl)measured, N(hkl)unique, Rint:5668, 2612, 0.024
Criterion for Iobs, N(hkl)gt:Iobs > 2 σ(Iobs), 2077
N(param)refined:153
Programs:CrysAlisPRO [1], SHELX [2], [3], WinGX/ORTEP [4]
Table 2:

Fractional atomic coordinates and isotropic or equivalent isotropic displacement parameters (Å2).

AtomxyzUiso*/Ueq
S10.40769(5)1.07994(8)0.56349(2)0.0808(3)
N10.20400(17)0.9676(3)0.54422(8)0.0840(6)
H1N0.161(2)0.895(3)0.5314(10)0.101*
N20.33773(15)0.9067(2)0.48914(6)0.0625(4)
H2N0.4060(10)0.908(3)0.4787(8)0.075*
N30.25787(14)0.82382(19)0.46276(6)0.0607(4)
C10.30945(17)0.9790(2)0.53135(7)0.0626(5)
C20.1582(3)1.0259(5)0.58985(11)0.1101(10)
H2A0.1979191.1242330.5999230.132*
H2B0.1688470.9424700.6145810.132*
C30.0386(3)1.0632(5)0.58535(17)0.1391(14)
H3A0.0285241.1531140.5631840.209*
H3B0.0091841.0929090.6165220.209*
H3C−0.0001410.9679780.5733910.209*
C40.28904(16)0.7701(2)0.42132(6)0.0570(4)
H40.3620280.7879420.4109510.068*
C50.21236(16)0.6825(2)0.39066(6)0.0551(4)
H50.1412660.6590520.4024280.066*
C60.23898(15)0.6335(2)0.34599(6)0.0557(4)
H60.3105610.6594040.3352620.067*
C70.16775(15)0.5435(2)0.31210(6)0.0541(4)
C80.06033(17)0.4929(2)0.32368(7)0.0636(5)
H80.0305440.5196690.3538070.076*
C9−0.0029(2)0.4039(3)0.29140(10)0.0829(7)
H9−0.0743440.3695780.3000140.099*
C100.0386(3)0.3657(4)0.24700(12)0.1029(9)
H10−0.0044870.3050240.2253430.123*
C110.1430(3)0.4160(4)0.23407(10)0.1037(9)
H110.1705770.3911100.2034160.124*
C120.2087(2)0.5047(3)0.26659(8)0.0773(6)
H120.2801850.5379720.2576930.093*

Source of material

4-Ethyl-3-thiosemicarbazide (1.192 g, 0.01 mol) was dissolved in heated ethanol (50 mL). Cinnamaldehyde (1.50 mL, 0.01 mol) was added into heated ethanolic 4-ethyl-3-thiosemicarbazide while stirring and heating for around 30 mins. The yellow precipitate was filtered, washed with cold ethanol and dried in vacuo. Single crystals were grown at room temperature from the slow evaporation of a mixture of ethanol and acetonitrile (1:2 v/v). Yield: 74%; M. Pt: 446 K. FT-IR (ATR (solid) cm−1): 3317 ν(N—H), 3133 ν(Ar C—H), 3000 ν(=C—H), 2971, 2873 ν(C—H), 1625 ν(C=N), 1545, 1523 ν(Ar C=C), 1084 ν(C=S). 1H NMR (500 MHz, CDCl3): δ 10.00 (s, 1H, N—NH), 7.71 (d, 1H, 4CH), 7.45 (d, 2H, 8CH and 12CH), 7.37–7.30 (m, 4H, C—NH, 9CH, 10CH and 11CH), 6.90 (d, 1H, 6CH), 6.81 (dd, 1H, 5CH), 3.77–3.70 (m, 2H, 2CH2), 1.30 (t, 3H, CH3). 13C{1H} NMR (500 MHz, CDCl3): δ 176.71 (C1), 144.57 (C4), 140.24 (C7), 135.89 (C6), 129.21 (C10), 128.96 (C9 and C11), 127.13 (C8 and C12), 124.39 (C5), 39.40 (CH2), 14.60 (CH3).

Experimental details

The C-bound H atoms were geometrically placed (C—H = 0.93–0.97 Å) and refined as riding with Uiso(H) = 1.2–1.5Ueq(C). The N-bound H atoms were refined with N—H = 0.86 ± 0.01 Å, and with Uiso(H) = 1.2Ueq(N). An extinction correction was applied with the coefficent refining to 0.0055(5).

Comment

Cinnamaldehyde is major component of cinnamon essential oil extracted from a number of cinnamon bark species and along with derivatives is known to exhibit potential biological activities [5], for example, anti-diabetic [6], anti-fungal [7] and anti-microbial activity against various foodborne pathogenic bacteria such as Escherichia coli and Staphylococcus aureus [8]. However, the application of cinnamaldehyde as an anti-microbial agent remains challenging owing to its strong odour and high volatility [9]. The presence of the conjugated double bond in cinnamaldehyde allows for the formation of stable Schiff base compounds after reaction with an amine, chemistry motivated by the desire to decrease the drawbacks associated with cinnamaldehyde’s odour and volatility [10]. In the present report, the synthesis and crystal structure determination of a cinnamaldehyde-based Schiff base compound EtN(H)C(=S)N(H)N=C(H)C(H)=C(H)Ph, (I), is described.

The molecular structure of (I) is shown in the figure (25% displacement ellipsoids) and adopts an extended [all trans] conformation. This is seen in the sequence of C1—N2—N3—C4 [174.56(17)°], N2—N3—C4—C5 [−179.71(15)°], N3—C4—C5—C6 [175.63(17)°] and C4—C5—C6—C7 [179.69(17) Å] torsion angles with the major twist in this part of the molecule observed about the N2—N3 bond. The greatest deviation from planarity in the molecule is observed for the terminal methyl group with the C1—N1—C2—C3 torsion angle being 154.8(3)°. The conformation about each of the C4=N3 [1.279(2) Å] and C5=C6 [1.333(2) Å] double bonds is E. The amide-H atoms lie to either side of the molecule which enables the formation of an intramolecular amide-N—H⋯N(imine) hydrogen bond [N1—H1n⋯N3: H1n⋯N3 = 2.29(3) Å, N1⋯N3 = 2.613(3) Å with angle at H1n = 102(2)°] to close a S(6) loop.

In the crystal of (I), centrosymmetric dimers are formed via amide-N—H⋯S(thione) hydrogen bonds [N2—H2n⋯S1i: H2n⋯S1i = 2.516(15) Å, N2⋯S1i = 3.3752(19) Å with angle at H2n = 171.7(19)° for symmetry operation (i) 1 − x, 2 − y, 1 − z] which lead to the formation of an eight-membered {⋯HNCS}2 synthon. The connections between the aggregates thus formed to form a supramolecular layer in the ab-plane are of the type amide-N—H⋯S(thione) [N1—H1n⋯S1ii: H1n⋯S1ii = 2.83(2) Å, N1⋯S1ii = 3.461(2) Å with the angle at H1n = 132(2)° for (ii) 1 − x, 2 − y, 1 − z] involving the same amide-N—H atom that participates in the intramolecular N—H⋯N hydrogen bond which, therefore, may be considered bifurcated. Additional stability to the layers are provided by a phenyl-C—H⋯S(thione) [C8—H8⋯S1iii: H8⋯S1iii = 2.83 Å, C8⋯S1iii = 3.657(2) Å with angle at H8 = 148° for (iii) −1/2 + x, 3/2 − y, 1 − z] interaction. Despite the phenyl rings projecting to either side of the layers, which stack along the c-axis, no specific interactions between molecules are noted along the c-axis. In order to investigate the nature of the supramolecular association further, the Hirshfeld surfaces were calculated along with the full and delineated two-dimensional fingerprint plots using Crystal Explorer 17 [11] following published procedures [12].

The fingerprint plot delineated into H⋯S/S⋯H contacts show sharp spikes corresponding to the N—H⋯S hydrogen bonds and overall, contribute 14.7% of all contacts to the surface. Reflecting the overall molecular packing, including the nature of the inter-layer region, H⋯H [55.9%] and H⋯C/C⋯H [19.6%] contacts make greater contributions to the surface. The remaining contributions are all small, for example, 3.5% for H⋯N/N⋯H and 2.5% for C⋯C contacts.

Acknowledgements

Sunway University Sdn Bhd is thanked for financial support of this work through Grant No. STR-RCTR-RCCM-001-2019.

References

1. Agilent Technologies. CrysAlisPRO. Agilent Technologies, Santa Clara, CA, USA (2014).Search in Google Scholar

2. Sheldrick, G. M.: A short history of SHELX. Acta Crystallogr. A64 (2008) 112–122.10.1107/S0108767307043930Search in Google Scholar PubMed

3. Sheldrick, G. M.: Crystal structure refinement with SHELXL. Acta Crystallogr. C71 (2015) 3–8.10.1107/S2053229614024218Search in Google Scholar PubMed PubMed Central

4. Farrugia, L. J.: WinGX and ORTEP for Windows: an update. J. Appl. Cryst. 45 (2012) 849–854.10.1107/S0021889812029111Search in Google Scholar

5. Gruenwald, J.; Freder, J.; Armbruester, N.: Cinnamon and Health. Crit. Rev. Food Sci. Nutr. 50 (2010) 822–834.10.1080/10408390902773052Search in Google Scholar PubMed

6. Subash Babu, P.; Prabuseenivasan, S.; Ignacimuthu, S.: Cinnamaldehyde – a potential antidiabetic agent. Phytomedicine 14 (2007) 15–22.10.1016/j.phymed.2006.11.005Search in Google Scholar PubMed

7. Shreaz, S.; Wani, W. A.; Behbehani, J. M.; Raja, V.; Irshad, M.; Karched, M.; Ali, I.; Siddiqi, W. A.; Hun, L. T.: Cinnamaldehyde and its derivatives, a novel class of antifungal agents. Fitoterapia 112 (2016) 116–131.10.1016/j.fitote.2016.05.016Search in Google Scholar PubMed

8. Becerril, R.; Gómez-Lus, R.; Goñi, P.; López, P.; Nerín, C.: Combination of analytical and microbiological techniques to study the antimicrobial activity of a new active food packaging containing cinnamon or oregano against E. coli and S. aureus. Anal. Bioanal. Chem. 388 (2007) 1003–1011.10.1007/s00216-007-1332-xSearch in Google Scholar PubMed

9. Feng, K.; Wen, P.; Yang, H.; Li, N.; Lou, W. Y.; Zong, M. H.; Wu, H.: Enhancement of the antimicrobial activity of cinnamon essential oil-loaded electrospun nanofilm by the incorporation of lysozyme. RSC Adv. 7 (2017) 1572–1580.10.1039/C6RA25977DSearch in Google Scholar

10. Arulmurugan, S.; Kavitha, H. P.; Venkatraman, B. R.: Biological activities of schiff base and its complexes: a review. Rasayan J. Chem. 3 (2010) 385–410.Search in Google Scholar

11. Turner, M. J.; McKinnon, J. J.; Wolff, S. K.; Grimwood, D. J.; Spackman, P. R.; Jayatilaka, D.; Spackman, M. A.: Crystal Explorer v17. The University of Western Australia, Australia (2017).Search in Google Scholar

12. Tan, S. L.; Jotani, M. M.; Tiekink, E. R. T.: Utilizing Hirshfeld surface calculations, non-covalent interaction (NCI) plots and the calculation of interaction energies in the analysis of molecular packing. Acta Crystallogr. E75 (2019) 308–318.10.1107/S2056989019001129Search in Google Scholar PubMed PubMed Central

Received: 2020-07-10
Accepted: 2020-08-12
Published Online: 2020-08-21
Published in Print: 2020-10-27

©2020 Ming Yueh Tan et al., published by De Gruyter, Berlin/Boston

This work is licensed under the Creative Commons Attribution 4.0 International License.

Articles in the same Issue

  1. Frontmatter
  2. Crystal structure of poly[tetraaqua-bis(μ4-5-(4-carboxy-benzylamino)-isophthalato-κ4O,O′:O′′:O′′′)-(μ2-4,4′-di(1H-imidazol-1-yl)-1,1′-biphenyl-κ2N:N′)dicadmium(II)], C25H22N3O8Cd
  3. The crystal structure of 2-(2-(2,3,4,9-tetrahydro-1H-pyrido[3,4-b]indol-2-ium-1-yl)phenoxy)acetate, C19H18N2O3
  4. Crystal structure of poly[aqua-μ2-4,4′-bipyridine-κ2N:N′)-μ2-bis(2-(2-((2,6-dichlorophenyl)amino)phenyl)acetato-κ2O,O′)zinc(II)], C38H28Cl4N4O4Zn
  5. Crystal structure of 1-(2-(1H-indol-3-yl)ethyl)-4-benzyl-3-hydroxy-3,6-diphenylpiperazine-2,5-dione, C33H29N3O3
  6. The crystal structure 2,2′-bipyridine-κ2N,N′-(2-(3-amino-4-chlorobenzoyl)benzoato-κ1O)-(2-(3-amino-4-chlorobenzoyl)benzoato-κ2O,O′)zinc(II) — ethanol (1/1), C40H32Cl2N4O7Zn
  7. Crystal structure of catena-poly[(μ3-2-carboxy-4-(3-carboxy-5-carboxylatophenoxy)benzoato-κ3O:O′:O′′)-bis(μ2-4,4′-bis(pyrid-4-yl)biphenyl-k1N)copper(II)], C60H40N4O9Cu
  8. The crystal structure of dimethylammonium catena-[di(μ-aqua)-bis(μ9-benzene-1,3,5-tricarboxylato)pentalithium], C20H16Li5NO13
  9. Crystal structure of tetraaqua-bis(3,5-di(pyridin-4-yl)-1,2,4-triazol-1-ido-κ1N)nickel(II) dihydrate, C24H28O6N10Ni
  10. The crystal structure of tetrakis(1-methylimidazole-κ1N)-oxido-(sulfato-κ1O)vanadium(IV), C16H24N8O5SV
  11. Crystal structure of methyl 2-(6,11-dioxo-2,3,6,11-tetrahydro-1H-benzo[f]pyrrolo[2,1-a]isoindole-5-carbonyl)benzoate, C24H17NO5
  12. Crystal structure of (E)-N′-(2-hydroxy-4-(2-(piperidin-1-yl)ethoxy)benzylidene) nicotinohydrazide monohydrate, C20H24N4O3 ⋅ H2O
  13. Crystal structure of poly[bis(μ3-(1-(3,5-di(1H-imidazol-1-yl)phenyl)-1H-imidazole-κ3N:N′:N′′)cobalt(II)] dinitrate — N,N-dimethylformamide (1/4), C42H52N18O10Co
  14. The crystal structure bis{hexakis(1-methyl-1H-imidazole-κ1N)cobalt(II)} tetrakis(μ3-oxido)-octakis(μ2-oxido)-tetradecaoxido-octamolybdate(VI), C24H36CoMo4N12O13
  15. Crystal structure of di-μ-nicotinato-κ2N:O; κ2O:N-bis-[aqua-bis(benzyl)(nicotinato-κ2O,O′)tin(IV)], C52H48N4O10Sn2
  16. Crystal structure of dichlorido-bis[2-(2-(3-(pyridin-2-yl)-1H-1,2,4-triazol-5-yl)phenoxy)benzoic acidmanganese(II) monohydrate, C40H30N8O7MnCl2
  17. The crystal structure of benzyl 3β-acetylglycyrrhetate, C39H54O5
  18. Synthesis and crystal structure of (E)-1-benzyl-3-(4-methoxystyryl)quinoxalin-2(1H)-one, C24H20N2O2
  19. Crystal structure of trans-dichloridobis(4-chlorophenyl-κC1)(1,10-phenanthroline-κ2N,N′)tin(IV) dimethylsulphoxide solvate, C26H22Cl4N2OSSn
  20. Crystal structure of phenyl(1,3,4a-triphenyl-4a,5,6,10b-tetrahydro-1H-[1,4]oxazino[2,3-c]quinolin-5-yl)methanone, C36H28N2O2
  21. Crystal structure of (4aS,5S,6aS,6a1S, 10aS)-4a,5,6a,6a1,9,10-hexahydro-7H-4,5-methanocyclobuta[4,5]naphtho[8a,1-b]pyran-6(2H)-one, C15H16O2
  22. Crystal structure of [(Z)-O-isopropyl N-(4-chlorophenyl)thiocarbamato-κS]-(triphenylphosphine-κP)-gold(I), C28H26AuClNOPS
  23. Crystal structure of (μ2-1,1′-bis(diphenylphosphino)ferrocene-P,P′)-bis[(Z)-O-isopropyl N-(4-chlorophenyl)thiocarbamato-S]-di-gold(I) acetonitrile di-solvate, C54H50Au2Cl2FeN2O2P2S2⋅2(C2H3N)
  24. Crystal structure of (6aR,6a1S,10aS)-2,4a,6a,6a1,9,10-hexahydro-7H-4,5-methanocyclobuta[4,5]naphtho[8a,1-b]pyran, C15H16O
  25. Crystal structure of 5,17-diformyl-25,26,27,28-tetrahydroxycalix[4]arene- dichloromethane, C31H26Cl2O6
  26. Crystal structure of 2-tert-butyl 1-methyl 5-{4-[(methoxycarbonyl)amino]phenyl}-2,5-dihydro-1H-pyrrole-1,2-dicarboxylate, C19H24N2O6
  27. Crystal structure of [2-carboxybenzene-1-thiolato-S]-(triethylphosphane-P)-gold(I), C13H20AuO2PS
  28. Synthesis and crystal structure of bis(5-methyl-2-aldehyde-phenolato-κ2O1,O2)copper(II), C16H14CuO4
  29. Crystal structure of poly[triaqua-(di(2,2′-bipyridine-κ2N,N′)-μ4-silanetetrayltetrakis(benzene-4,1-diyl)tetrakis (hydrogen phosphonato)-κ4O:O′:O′′:O′′′) dicadmium(II)], C44H42N4O15P4Cd2Si
  30. Crystal structure of bis[μ2-(N,N-diethylcarbamodithioato-κSSS′)]-bis(triethylphosphine-P)-di-silver(I), C22H50Ag2N2P2S4
  31. Crystal structure of bis[μ2-(pyrrolidine-1-carbodithioato-κSSS′)]-bis(triethylphosphine-κP)disilver(I), C22H46Ag2N2P2S4
  32. Crystal structure of bis[μ2-(N-(2-hydroxyethyl)-N-methylcarbamodithioato-κSSS′)]-bis(triethylphosphine-P)-di-silver(I), C20H46Ag2N2O2P2S4
  33. The crystal structure of (2E,2′E)-,2,2′-bis[1-(2-pyrazinyl)ethylidene]carbonimidic dihydrazide, C13H15N9
  34. The crystal structure of (E)-1-(quinolin-2-ylmethyl)-2-((1-(quinolin-2-ylmethyl)pyridin-2(1H)-ylidene)amino)pyridin-1-ium, C30H25BrN5
  35. Crystal structure of catena-poly[(μ2-1-((benzotriazol-1-yl)methyl)-1H-1,3-imdazole-κ2N:N′)-(1-((benzotriazol-1-yl)methyl)-1H-1,3-imdazole-κ1N)-(methanol-κ1O)mercury(II)] dinitrate, C21H22N12O7Hg
  36. Crystal structure of 1-(6-hydroxy-2-phenylbenzofuran-5-yl)ethan-1-one, C16H12O3
  37. The crystal structure of oxonium hexaquaaluminium disulfate hexahydrate
  38. Crystal structure of catena{(μ2-1,10-phenanthroline-κ4N,N,N′,N′)-(μ2-1,10-phenanthroline-κ3N,N,N′)potassium(I) {[bis(2-hydroxyethyl)iminiumyl](sulfanidyl)methyl}sulfanide hemi(1,10-phenanthroline)}, {C24H16KN4, 0.5(C12H8N2), C5H10NO2S2}
  39. Crystal structure of chlorido-[(N,N-di-isobutyl)dithiocarbamato-κ2S,S′]-di(4-methylbenzyl-κC)tin(IV), C25H36ClNS2Sn
  40. Crystal structure of chlorido-(η5-pentamethylcyclopentadienyl)-(4-chloro-4-pyridyl-2,2′:6′,2′′-terpyridine-κ2N,N′) rhodium(III) hexaflourophosphate, C31H29Cl2F6N3PRh
  41. The crystal structure of catena-poly[bis-(3,5-dinitro-1,2,4-triazolato-κ2N:O)-(μ2-1,4-bis(1-imidazolyl)benzene-κ2N:N′)copper(II)], C16H10CuN14O8
  42. Crystal structure of poly[triaqua-bis(μ3-3,3′-((5-carboxylato-1,3-phenylene)bis(oxy))dibenzoato)-tris(1,10-phenanthroline)cobalt(II)], C78H46N6O20Co3
  43. The crystal structure of 2,4-dihydroxybenzoic acid–nicotinamide–methanol (1/1/1), C15H18N2O6
  44. The crystal structure of aqua{N,N,N′,N′-tetrakis[(1H-benzimidazol-κN3) methyl]cyclohexane-1,2-diamine}lead(II) diacetate–methanol (1/2), C44H54N10O7Pb
  45. Crystal structure of (2-amino-5-bromo-3-iodophenyl)(3-(4-chlorophenyl)oxiran-2-yl)methanone, C15H10BrClINO2
  46. Synthesis and crystal structure of 3-octyl-5,5-diphenylimidazolidine-2,4-dione, C23H28N2O2
  47. Synthesis and crystal structure of 2-azido-N-(4-nitrophenyl)acetamide, C8H7N5O3
  48. Crystal structure of tert-butyl (1S,2R,5R)-2-(hydroxymethyl)-4-(4-methoxyphenyl)-6-oxa-3-azabicyclo[3.1.0]hexane-3-carboxylate, C17H23NO5
  49. Crystal structure of 4-[(4-methoxy-2-nitrophenyl)carbamoyl]butanoic acid, C12H14N2O6
  50. Crystal structure of 3-ethyl-1-[(E)-[(2E)-3-phenylprop-2-en-1-ylidene]amino]thiourea, C12H15N3S
  51. Crystal structure of 4,4′-bipyridin-1,1′-dium poly[bis(μ4-benzene-1,3,5-triyltris(hydrogen phosphonato-κ4O:O′:O′′:O′′′))zinc(II)], C11H11NO9P3Zn
  52. Crystal structure of (μ2-1,1′-bis(diphenylphosphino)butane-κ2P,P′)-bis[(Z)-N-(3-fluorophenyl)-O-methylthiocarbamato-κS]-di-gold(I), C44H42Au2F2N2O2P2S2
  53. Crystal structure of (μ2-1,1′-bis(diphenylphosphino)hexane-κ2P,P′)-bis[(Z)-N-(3-fluorophenyl)-O-methylthiocarbamato-κS]digold(I), C46H46Au2F2N2O2P2S2
  54. Crystal structure of tetrakis (N-(2-hydroxyethyl)-N-isopropylcarbamodithioato-κS,S′)-(μ2(2-(pyridin-4-yl)vinyl)pyridine-κN,N′)dicadmium(II), C36H58Cd2N6O4S8
  55. Crystal structure of 4-(2-(benzo[b]thiophen-2-yl)-3,3,4,4,5,5-hexafluorocyclopent-1-en-1-yl)-1,5-dimethyl-1H-pyrrole-2-carbonitrile, C20H12F6N2S
  56. Crystal structure of bis(octahydrocyclopenta[c]pyrrolium)pentachlorobismuthate(III), (C7NH14)2BiCl5
  57. The crystal structure of diaqua-tris(nitrato-κ2O,O′)-bis(4,4,5,5-tetramethyl-2-(p-pyridyl)imidazoline-1-oxyl 3-oxide-κN)samarium(III), C24H36N9O15Sm
  58. Synthesis and crystal structure of methyl 2-(2-((tert-butoxycarbonyl)amino)phenyl)-2-(4-oxo-4H-chromen-3-yl)acetate, C23H23NO6
  59. Crystal structure of O-hexyl benzoylcarbamothioate, C14H19NO2S
  60. Crystal structure of chlorido-(O-methyl phenylcarbamothioamide-κS)-bis(triphenylphosphane-κP)silver(I), C44H39AgClNOP2S
  61. Crystal structure of chlorido-(O-ethyl phenylcarbamothioamide-κS)-bis(triphenylphosphane-κP)-silver(I), C45H41AgClNOP2S
  62. Crystal structure of 4-[(2-methoxyphenyl)carbamoyl]butanoic acid, C12H15NO4
  63. Crystal structure of ethyl 4-methyl-2-oxo-5-phenyl-1,3,4-oxadiazinane-3-carboxylate, C13H16N2O4
  64. Crystal structure of catena-poly[diaqua(μ2-2-(hydroxymethyl)-1H-imidazole-4,5-dicarboxylato)cadmium(II)], C6H8CdN2O7
  65. Crystal structure of (1S)-N-(chloromethyl)-1-((4S,6aR,8aS, 8bR,9aR)-4-methoxy-6a,8a-dimethyl-1,3,4, 5,6,6a,6b,7,8,8a,9a,10,10a,10b-tetradecahydro-8bH-naphtho[2′,1′:4,5] indeno[1,2-b]oxiren-8b-yl)-N-methylethan-1-amine, C24H46ClNO5
  66. Crystal structure of 4-[(3,5-dichlorophenyl)carbamoyl]butanoic acid, C11H11Cl2NO3
  67. Crystal structure of (2Z)-2-amino-3-[(E)-[(2,4-dihydroxyphenyl)methylidene]-amino]but-2-enedinitrile, C11H8N4O2
  68. Crystal structure of 3-methyl-1-[(E)-(4-phenylbutan-2-ylidene)amino]thiourea, C12H17N3S
  69. Crystal structure of carbonyl{hydridotris[3-phenyl-5-methylpyrazol-1-yl]borato-κ3N,N′N′′}copper(I), C31H28BCuN6O
  70. Crystal structure of ethane-1,2-diylbis(diphenylphosphine oxide) – dihydrogenperoxide (1/2), C26H28O6P2
  71. Crystal structure of 2-(pyridin-2-ylamino)pyridinium chloride dibenzyldichlorostannane, [C10H10N3]Cl, C14H14Cl2Sn
  72. Crystal structure of 4-[(3-methoxyphenyl)carbamoyl]butanoic acid, C12H15NO4
  73. Crystal structure of dichlorido-bis(tri-4-tolylphosphane oxide-κO)-di(4-chlorophenyl-κC)tin(IV), C54H50Cl4O2P2Sn
  74. Crystal structure of dichloridodimethylbis(tri-4-tolylphosphane oxide-κO)-tin(IV), C44H48Cl2O2P2Sn
  75. Crystal structure of chlorido(2-methylquinolin-8-olato-κ2N,O)-bis(4-tolyl-κC)tin(IV), C24H22ClNOSn
  76. Crystal structure of (E)-dichloro(1-chloro-3-methoxyprop-1-en-2-yl)(4-methoxyphenyl)-λ4-tellane, C11H13Cl3O2Te
  77. Crystal structure of bis{N-methyl-N′-[3-(4-methoxyphenyl)-1-methylpropane-1-ylidene]carbamohydrazonothioato}zinc(II), C26H36N6O2S2Zn
  78. Crystal structure of (2-carboxy-4-(3-carboxy-5-carboxylatophenoxy)benzoato-κ2O,O′)bis(1,10-phenantroline-κ2N,N′)cobalt(II), C40H24N4O9Co
  79. The crystal structure of (3S,8R,10R,14R)-17-((2S,5S)-5-(2-hydroxypropan-2-yl)-2-methyltetrahydrofuran-2-yl)-4,4,8,10,14-pentamethyl-12-oxohexadecahydro-1H-cyclopenta[a]phenanthren-3-yl acetate, C32H52O5
  80. Crystal structure of (μ2-1,1′-bis(diphenylphosphino)ferrocene-κ2P,P′)-bis[(Z)N-(3-fluorophenyl)-O-methylthiocarbamato-S]digold(I) chloroform solvate, C50H42Au2F2FeN2O2P2S2, CHCl3
  81. Crystal structure of poly[bis(μ2-1,4-di(1H-imidazol-1-yl)benzene-κ2N:N′)-(μ2-tetraoxidomolybdato(VI)-κ2O:O′)cobalt(II)], C24H20N8O4MoCo
Downloaded on 14.11.2025 from https://www.degruyterbrill.com/document/doi/10.1515/ncrs-2020-0351/html?srsltid=AfmBOorR4BuA4iX5Gi6HDq-8ysmc5z7J6tNyqF2UWj_xZXoAfJL3HsrW
Scroll to top button