Abstract
C16H12N4O2S, triclinic, P1̄ (no. 2), a = 7.249(2) Å, b = 8.265(3) Å, c = 12.786(4) Å, α = 82.449(11)°, β = 75.210(10)°, γ = 83.977(11)°, V = 732.3(4) Å3, Z = 2, Rgt(F) = 0.0669, wRref(F2) = 0.1726, T = 173.15 K.

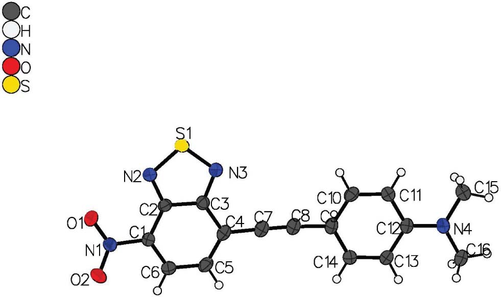
The molecular structure is shown in the figure. Table 1 contains crystallographic data and Table 2 contains the list of the atoms including atomic coordinates and displacement parameters.
Data collection and handling.
| Crystal: | Black plate |
| Size: | 0.21 × 0.13 × 0.05 mm |
| Wavelength: | Mo Kα radiation (0.71073 Å) |
| μ: | 0.24 mm−1 |
| Diffractometer, scan mode: | Saturn724+, φ and ω |
| θmax, completeness: | 26.4°, 99% |
| N(hkl)measured, N(hkl)unique, Rint: | 5799, 2934, 0.042 |
| Criterion for Iobs, N(hkl)gt: | Iobs > 2 σ(Iobs), 2472 |
| N(param)refined: | 210 |
| Programs: | CrystalClear [1], Olex2 [2], SHELX [3], [4] |
Fractional atomic coordinates and isotropic or equivalent isotropic displacement parameters (Å2).
| Atom | x | y | z | Uiso*/Ueq |
|---|---|---|---|---|
| S1 | 0.93964(14) | 0.23550(11) | 0.50555(7) | 0.0384(3) |
| O1 | 1.0952(4) | −0.1625(3) | 0.7334(2) | 0.0425(7) |
| O2 | 0.9728(4) | −0.1677(3) | 0.9057(2) | 0.0466(7) |
| N1 | 1.0055(4) | −0.0977(3) | 0.8120(2) | 0.0297(6) |
| N2 | 0.9868(4) | 0.0910(3) | 0.5953(2) | 0.0323(7) |
| N3 | 0.8498(4) | 0.3801(3) | 0.5814(2) | 0.0337(7) |
| N4 | 0.3081(4) | 1.3577(3) | 0.7563(2) | 0.0366(7) |
| C2 | 0.9299(4) | 0.1519(4) | 0.6911(2) | 0.0257(7) |
| C12 | 0.3868(5) | 1.1996(4) | 0.7561(3) | 0.0281(7) |
| C1 | 0.9328(4) | 0.0725(4) | 0.7967(3) | 0.0266(7) |
| C4 | 0.7824(5) | 0.4054(4) | 0.7773(3) | 0.0294(7) |
| C3 | 0.8515(5) | 0.3181(4) | 0.6832(3) | 0.0272(7) |
| C7 | 0.7072(5) | 0.5716(4) | 0.7659(3) | 0.0326(8) |
| C6 | 0.8642(5) | 0.1558(4) | 0.8860(3) | 0.0309(7) |
| H6 | 0.864831 | 0.101175 | 0.956123 | 0.037* |
| C9 | 0.5523(5) | 0.8731(4) | 0.7562(3) | 0.0303(7) |
| C11 | 0.4621(5) | 1.1277(4) | 0.6580(3) | 0.0316(7) |
| H11 | 0.457294 | 1.189834 | 0.590661 | 0.038* |
| C14 | 0.4757(5) | 0.9428(4) | 0.8531(3) | 0.0305(7) |
| H14 | 0.479979 | 0.879611 | 0.920267 | 0.037* |
| C13 | 0.3938(5) | 1.1014(4) | 0.8539(3) | 0.0320(7) |
| H13 | 0.341472 | 1.144765 | 0.921344 | 0.038* |
| C16 | 0.2487(5) | 1.4337(4) | 0.8575(3) | 0.0354(8) |
| H16A | 0.155679 | 1.367805 | 0.910815 | 0.053* |
| H16B | 0.189991 | 1.544123 | 0.843645 | 0.053* |
| H16C | 0.360592 | 1.440124 | 0.886149 | 0.053* |
| C5 | 0.7925(5) | 0.3207(4) | 0.8763(3) | 0.0324(8) |
| H5 | 0.749620 | 0.375393 | 0.940044 | 0.039* |
| C10 | 0.5420(5) | 0.9693(4) | 0.6586(3) | 0.0317(8) |
| H10 | 0.591228 | 0.924074 | 0.591566 | 0.038* |
| C8 | 0.6377(5) | 0.7094(4) | 0.7583(3) | 0.0334(8) |
| C15 | 0.3180(6) | 1.4627(4) | 0.6552(3) | 0.0408(9) |
| H15A | 0.452211 | 1.476864 | 0.617918 | 0.061* |
| H15B | 0.251511 | 1.569607 | 0.670751 | 0.061* |
| H15C | 0.256922 | 1.412620 | 0.608591 | 0.061* |
Source of material
The title compound was obtained by the Sonogashira cross-coupling reaction of 4-ethynyl-N,N-dimethylbenzenamine and 4-bromo-7-nitrobenzo[c][1,2,5]thiadiazole with PdCl2(PPh3)2 and CuI under an argon flow at room temperature. The compound was purified by SiO2 chromatography with CH2Cl2/petroleum ether (1/2, v/v).
Single crystals suitable for X-ray diffraction were obtained by crystallization of the title compound from dichloromethane and n-hexane.
Experimental details
The hydrogen atoms were placed with common isotropic displacement factors Uiso(H) = 1.2 times Ueq(C, aromatic ring). The final refinement succeeded using geometrical restraints, with C—H = 0.95 Å.
Comment
Push-pull chromophores with strong electron donors connected by π-conjugated spacers to strong electron acceptors have been studied due to their high optoelectronic susceptibility and architectural flexibility and structural feature [5], [6], [7], [8], [9]. 2,1,3-Benzothiadiazole is an important building block of optoelectronic devices due to its large reduction potential and electron affinity [9], [10], [11], [12], [13]. A mount of molecular materials containing this unit as electron-accepting moiety are widely exploited for their applications in nonlinear optics [14], [15], [16]. This molecule is linked through phenylethynyl conjugated bridges with N,N-dimethylbenzenamine as the donor and nitrobenzothiadiazole as the acceptor and has great potential for developing controlled nonlinear optical materials. A view on the structure of the title molecule is shown in the figure. The unit cell contains one molecule of the title compound, which is synthesized under controlled conditions with Sonogashira cross-coupling reaction.
Acknowledgements
This work was supported by the research funds of longyan university (LB2018016), Youth Talented Scholars Plan in Universities of Fujian Province, Young and Middle-aged Teacher in Science Research of Fujian Province (No. JAT190732) and Science and Technology Program of Longyan (No. LY2018LYF8007).
References
1. Rigaku. CrystalClear. Rigaku Corporation, Tokyo, Japan (2007).Search in Google Scholar
2. Dolomanov, O. V.; Bourhis, L. J.; Gildea, R. J.; Howard, J. A. K.; Puschmann, H.: OLEX2: a complete structure solution, refinement and analysis program. J. Appl. Crystallogr. 42 (2009) 339–341.10.1107/S0021889808042726Search in Google Scholar
3. Sheldrick, G. M.: SHELXT – Integrated space-group and crystal-structure determination. Acta Crystallogr. A71 (2015) 3–8.10.1107/S2053273314026370Search in Google Scholar PubMed PubMed Central
4. Sheldrick, G. M.: Crystal structure refinement with SHELX. Acta Crystallogr. C71 (2015) 3–8.10.1107/S2053229614024218Search in Google Scholar PubMed PubMed Central
5. Chen, S. H.; Chen, N.; Yan, Y. L.; Liu, T. F.; Yu, Y. W.; Li, Y. J.; Liu, H. B.; Zhao, Y. S.; Li, Y. L.: Controlling growth of molecular crystal aggregates for efficient optical waveguides. Chem. Commun. 48 (2012) 9011–9013.10.1039/c2cc32501bSearch in Google Scholar PubMed
6. Qian, H.; Cousins, M. E.; Horak, E. H.; Wakefield, A.; Liptak, M. D.; Aprahamian, I.: Suppression of Kasha’s rule as a mechanism for fluorescent molecular rotors and aggregation-induced emission. Nat. Chem. 9 (2017) 83–87.10.1038/nchem.2612Search in Google Scholar PubMed
7. Xu, J.; Zheng, H.; Liu, H.; Zhou, C.; Zhao, Y.; Li, Y.; Li, Y.: Crystal hierarchical supramolecular architectures from 1-D precursor single-crystal seeds. J. Phys. Chem. C 114 (2010) 2925–2931.10.1021/jp911595mSearch in Google Scholar
8. Chen, S. H.; Qin, Z. H.; Liu, T. F.; Wu, X. Z.; Li, Y. J.; Liu, H. B.; Song, Y. L.; Li, Y. L.: Aggregation-induced emission on benzothiadiazole dyads with large third-order optical nonlinearity. Phys. Chem. Chem. Phys. 15 (2013) 12660–12666.10.1039/c3cp51273hSearch in Google Scholar PubMed
9. Yang, J.; Chen, S.: Crystal structure of 2-(4-(dimethylamino)phenyl)-10-methylacridin-9(10H)-one, C22H20N2O. Z. Kristallogr. NCS 234 (2019) 187–188.10.1515/ncrs-2018-0310Search in Google Scholar
10. Xu, J.; Liu, X.; Lv, J.; Zhu, M.; Huang, C.; Zhou, W.; Yin, X.; Liu, H.; Li, Y.; Ye, H.: Morphology transition and aggregation-induced emission of an intramolecular charge-transfer compound. Langmuir 24 (2008) 4231–4237.10.1021/la703662wSearch in Google Scholar PubMed
11. Xiong, J.; Wang, K.; Yao, Z.; Zou, B.; Xu, J.; Bu, X.-H.: Multi-stimuli-responsive fluorescence switching from a pyridine-functionalized tetraphenylethene AIEgen. ACS Appl. Mater. Interfaces 10 (2018) 5819–5827.10.1021/acsami.7b18718Search in Google Scholar PubMed
12. Chen, S.; Yang, J.: Crystal structure of 2-bromo-7-(4-(dimethylamino)phenyl)-10-methylacridin-9(10H)-one, C22H19BrN2O. Z. Kristallogr. NCS 234 (2019) 71–72.10.1515/ncrs-2018-0180Search in Google Scholar
13. Xu, J.; Semin, S.; Cremers, J.; Wang, L.; Savoini, M.; Fron, E.; Coutino, E.; Chervy, T.; Wang, C.; Li, Y.: Controlling microsized polymorphic architectures with distinct linear and nonlinear optical properties. Adv. Opt. Mater. 3 (2015) 948–956.10.1002/adom.201400637Search in Google Scholar
14. Chen, Y. C.; Lam, J. W. Y.; Kwok, R. T. K.; Liu, B.; Tang, B. Z.: Aggregation-induced emission: fundamental understanding and future developments. Mater. Horiz. 6 (2019) 428–433.10.1039/C8MH01331DSearch in Google Scholar
15. Chen, S.; Qin, Z.; Liu, T.; Wu, X.; Li, Y.; Liu, H.; Song, Y.; Li, Y.: Aggregation-induced emission on benzothiadiazole dyads with large third-order optical nonlinearity. Phys. Chem. Chem. Phys. 15 (2013) 12660–12666.10.1039/c3cp51273hSearch in Google Scholar PubMed
16. Ju, C.; Zhou, Y.; Semin, S.; Yang, G.; Tinnemans, P.; Duan, Y.; Feng, Y.; Rasing, T.; Xu, J.: Solvent dependent linear and nonlinear optical properties of triphenylamine unit incorporated difluoroboron β-diketonate complexes. Dyes Pigm. 162 (2019) 776–785.10.1016/j.dyepig.2018.11.002Search in Google Scholar
©2020 Chen Songhua et al., published by De Gruyter, Berlin/Boston
This work is licensed under the Creative Commons Attribution 4.0 International License.
Articles in the same Issue
- Frontmatter
- Crystal structure of isopimara-7,15-dien-3-one, C20H30O
- Crystal structure of bis(6-aminopyridine-2-carboxylato-κ2O,N)-copper(II), C12H10O6N4Cu
- Crystal structure of 5,6-diphenyldibenzo[c, g]chrysene, C38H24
- Poly[bis(dimethylformamide-κO)-(μ8-5,5′′-dicarboxy-[1,1′:4′,1′′-terphenyl]-2′,3,3′′,5′-tetracarboxylato-κ8O:O1:O2:O3:O4:O5:O6:O7)dizinc(II)] — dimethylformamide (1/2), C18H19N2O8Zn
- The crystal structure of poly[bis(N,N-dimethylformamide-κ1O)(μ4- 2′,5,5′,5′′-tetracarboxy-[1,1′:4′,1′′-terphenyl]-3,3′′-dicarboxylato-κ4O:O′:O′′:O′′′)manganese(II)] — N,N-dimethylformamide (1/2), C36H40N4O16Mn
- Crystal structure of N,N-dimethyl-4-((7-nitrobenzo[c][1,2,5]thiadiazol-4-yl)ethynyl)aniline, C16H12N4O2S
- The crystal structure of 8a-methoxy 8a-methoxy-1,5,8a,9a-tetrahydro-4H-8,9-dioxa-3a1λ4-aza-8aλ4, C18H14BNO3
- Crystal structure of poly[diaqua-(μ2-5-isopropoxyisophthalato-κ2O:O′)-(μ2-(1,3-bis(3,5-di(1H-imidazol-1-yl)pyridine))-κ2N:N′)cobalt(II)] monohydrate, C22H25N5O8Co
- The crystal structure of acetoximium 1′-hydroxy-1H,1H′-5,5′-bitetrazole-1-olate monohydrate, C5H11N9O4
- Crystal structure of 3-(2-ethoxy-2-oxoethyl)-1-vinyl-1H-imidazol-3-ium hexafluoridophosphate(V), C9H13F6N2O2P
- The crystal structure of catena-poly[(μ2-4-(benzo[d]imidazol-2-yl)benzenecarboxylato-κ2N,O)-(μ2-4-(benzo[d]imidazol-2-yl)benzenecarboxylato-κ3N,O:O′)cadmium(II)]dihydrate, C28H22CdN4O6
- Enzyme-mediated synthesis and crystal structure of (2R,4S)-hydroxyketamine, C13H16ClNO2
- The crystal structure of bis(isothiocyanato-κ1N)-(methanol-κ1O)-[2-morpholine-4-yl-4,6-di(pyrazol-1-yl)-1,3,5-triazine-κ3N,N′,N′′] manganese(II), C16H18MnN10O2S2
- Crystal structure of bis{5-chloro-2-(((4-trifluoromethyl)imino)methyl)phenolato-κ2N,O}copper(II), C28H16Cl2CuF6N2O2
- Crystal structure of bis(1,3-phenylenedimethanaminium) bis(triiodide) tetraiodide – water (1/2) , C8H16I5N2O
- Crystal structure and anti-inflammatory activity of (3E,5E)-3,5-bis(2-fluorobenzylidene)-1-((4-fluorophenyl)sulfonyl)piperidin-4-one, C25H18F3NO3S
- The crystal structure of bis{3-(diphenylphosphaneyl)propanoato-κ2O,P}platinum(II) dihydrate, C30H28O6P2Pt
- The crystal structure of (E)-2-(4-((4-fluorobenzyl)oxy)styryl)-4,6-dimethoxybenzaldehyde, C24H21FO4
- Crystal structure of bis[3-methoxy-N-(1-(pyrazin-2-yl)ethylidene)benzohydrazonato-κ3O,N,N′]nickel(II), C28H26N8O4Ni
- Crystal structure of 1-(2-(pyridin-2-yl)-5-(pyridin-3-yl)-1,3,4-oxadiazol-3(2H)-yl)ethan-1-one, C14H12N4O2
- Synthesis and crystal structure of 3-N-acetyl-5-(pyridin-3-yl)-2-(quinolin-2-yl)-1,3,4-oxadiazoline, C18H14N4O2
- Crystal structure of 2-methyl-1H-perimidine, C12H10N2
- Crystal structure of (E)-2-(5,5-dimethyl-3-(4-((7-nitrobenzo[c][1,2,5]oxadiazol-4-yl)oxy)styryl)cyclohex-2-en-1-ylidene)malononitrile, C25H19N5O4
- Structural elucidation of 1-(3-acetyl-2,6-dihydroxy-4-methoxyphenyl)-4,5-dihydroxy-2-methylanthracene-9,10-dione isolated from Bulbine latifolia (L.) Wild, C24H18O8
- Crystal structure of 3-cinnamoyl-4-hydroxybenzoic acid, C16H12O4
- The crystal structure of poly[bis(μ4-2,3-pyridinedicarboxylato)-(μ2-oxalyl dihydrazide)-dicadmium(II) dihydrate], C16H16O12N6Cd2
- Synthesis and crystal structure of 1-{4-[(3-bromo-2-hydroxy-benzylidene)amino]phenyl}ethanone, C15H12BrNO2
- Synthesis and crystal structure of 1-{4-[(2-bromo-6-hydroxy-benzylidene)amino]phenyl}ethanone, C15H12BrNO2
- Crystal structure of (4-aminobenzoato-κ2O,O′)-[5,5,7,12,12,14-hexamethyl-1,4,8,11-tetraazacyclotetradecane-κ4N,N′,N′′,N′′′]nickel(II) perchlorate monohydrate, C23H44ClN5NiO7
- Crystal structure of 1-{4-[(4-fluoro-2-hydroxy-benzylidene)amino]phenyl}ethanone, C15H12FNO2
- Preparation and crystal structure of a non-symmetrical vanadium(II) dimer: tri-μ2-bromido-(hydrogen-tris(3-isopropyl-4-bromopyrazol-1-yl)borato-κ3N,N′,N′′)-tris(tetrahydrofuran-κO)divanadium(II) – tetrahydrofuran (1/1), C34H57BBr6N6O4V2
- Crystal structure of bis{2-(((4-(1-(hydroxyl-imino)ethyl)phenyl)imino)methyl)phenolato-κ2N,O}cobalt(II), C30H26CoN4O4
- Crystal structure of 3-((3-nitrophenyl)sulfonamido)propanoic acid — 4,4′-bipyridine (1/1), C19H18N4O6S
- Crystal structure of cyclo[diaqua-bis(μ2-3′,5-dicarboxy-[1,1′-biphenyl]-3,4′-dicarboxylato-κ4O,O′:O′′,O′′′)-bis(4,4′-bis(pyrid-4-yl)biphenyl-K1N)dicadmium(II)], C76H52Cd2N4O18
- Crystal structure of 1-(adamantan-1-yl)-3-aminothiourea, C11H19N3S
- Crystal structure of catena-poly[triaqua-(μ2-1,4-di(pyridin-4-yl)benzene-κ2N:N′)-(3′,5-dicarboxy-[1,1′-biphenyl]-3,4′-dicarboxylato-κO)nickel(II)], C32H26N2O11Ni
- Crystal structure of catena-poly[aqua-(μ4-4,4′-(pyridine-3,5-diyl)dibenzoato-κ4O,O′:O′′:O′′′)zinc(II)], C19H13NO5Zn
- Crystal structure of 4-(4′-(pyridin-4-yl)-[1,1′-biphenyl]-4-yl)pyridin-1-ium 2-carboxy-4-(3,5-dicarboxyphenoxy)benzoate hydrate, C38H28N2O10
- Crystal structure of 3-[(triisopropylsilanyl)-ethynyl]-6a,12a-dihydro-1H-1,4-diaza-benzo[α]anthracene-2,7,12-trione, C27H28N2O3Si
- Crystal structure of [(bis(1,10-phenanthroline-κ2N,N′)-(2-carboxy-4-(3-carboxy-5-carboxylatophenoxy)benzoato-κ2O:O′))nickel(II) monohydrate, (1,10-phenanthroline-κ2N:N′)-(μ2-(5-(3′,4′-dicarboxylphenoxy)-isophthalate-κ2O:O′))nickel(II)], C40H24N4O9Ni ⋅ H2O
- Crystal structure of 4-(3-(pyridin-3-yl)ureido)benzoic acid — adipic acid (2/1), C16H16N3O5
- Crystal structure of poly[bis{μ2-5-carboxy-4′-methyl-[1,1′-biphenyl]-3-carboxylato-κ2O:O′}-{μ2-4,4′-bipyridine-κ2N:N′}]cobalt(II), C40H30N2O8Co
- Crystal structure of aqua-(2,2′-bipyridine-κ2N,N′)(((3-nitrophenyl)sulfonyl)glycine-κ2N,O)copper(II) dihydrate, C18H20CuN4O9S
- Crystal structure of bis{2-bromo-6-(((4-(1-(methoxyimino)ethyl)phenyl)imino)methyl)phenolato-κ2N,O}copper(II), C32H28Br2CuN4O4
- Crystal structure of bis(2-(2-((2,6-dichlorophenyl)amino)phenyl)acetato-κ2O,O′)-(1,10-phenanthroline-κ2N,N′)zinc(II), C40H28Cl4N4O4Zn
- Crystal structure of 2-(3,6-dimethyl-2,3-dihydro-4H-benzo[b][1,4]oxazin-4-yl)-2-oxoethyl acetate, C14H17NO4
- Crystal structure of poly[dibromido-bis(μ2-1,6-di(1H-imidazol-1-yl)hexane-κ2N:N′)cadmium(II)], C24H36Br2N8Cd
- Synthesis and crystal structure of ((6R,7S)-3-ethyl-6-phenyl-6,7-dihydro-5H-[1,2,4]triazolo[3,4-b][1,3,4]thiadiazin-7-yl)(phenyl)methanone hemihydrate, 2(C19H18N4OS) ⋅ H2O
- Crystal structure of 2-(5-(pyridin-3-yl)-4-(pyridin-4-yl)-4H-1,2,4-triazol-3-yl)pyridine, C17H12N6
- The crystal structure of N-((1E,2E)-1,3-bis(4-fluorophenyl)but-2-en-1-ylidene)-4-methylbenzenesulfonamide, C23H19F2NO2S
- Crystal structure of diacetato-κ1O-diethanol-κ1O-bis(μ2-2-(((2-hydroxyethyl)imino)methyl)-5-methoxyphenolato-κ4O,N,O′:O′′)dinickel(II), C28H42Ni2N2O12
- The crystal structure of catena-poly[chlorido-(μ2-1,4-bis(pyridin-3-yl-methoxy)benzene-κ2N:N′)copper(II)], C18H16ClN2O2Cu
- N′,N′′′-(((ethane-1,2-diylbis(oxy))bis(2,1-phenylene))bis(methaneylylidene))bis(2-hydroxybenzohydrazide)nickel(II), C30H24N4NiO6
- Crystal structure of (E)-3′,6′-bis(ethylamino)-2′,7′-dimethyl-2-(2-((quinolin-2-ylmethylene)amino)ethyl)spiro[isoindoline-1,9′-xanthen]-3-one, C38H37N5O2
- Crystal structure of 4,4′-di(1H-imidazol-1-yl)-1,1′-biphenyl-1-ium 5,3′,5′-tricarboxy-[1,10-biphenyl]-2-carboxylate, C25H17N2O8
- The crystal structure of 1-carboxy-2-(1H-indol-3-yl)-N,N,N-trimethylethan-1-ammonium chloride, C14H19N2O2Cl
- The crystal structure of 5-bromo-2-fluoronicotinic acid monohydrate, C6H5BrFNO3
- Crystal structure of ethyl 3-(trifluoromethyl)-1H-pyrazole-4-carboxylate, C7H7F3N2O2
- Crystal structure of tetrakis(1H-benzo[d]imidazol-3-ium) bis(μ5-phenylphosphonato)-pentakis(μ2-oxido)-decaoxo-penta-molybdenum dihydrate, C40H42Mo5N8O23P2
- Structure of 7-(3,3,4,4,5,5-hexafluoro-2-(2-methylbenzo[b]thiophen-3-yl)cyclopent-1-en-1-yl)-8-methylquinoline, C24H15F6NS
- Crystal structure of monocarbonyl[2-((cyclopentylmethylene)amino)-5-methylphenolato-κ2N,O] (tricyclohexylphosphine)rhodium(I), C32H48NO2PRh
- The crystal structure of fac-tricarbonyl(1,10-phenanthroline-κ2N,N′)-(pyrazole-κN)rhenium(I)nitrate, C18H12O3N4Re
- Crystal structure of poly[diaqua-bis(μ2-4-(3-(pyridin-3-yl)-1H-1,2,4-triazol-5-yl)benzoato-κ2N:O)nickel(II)], C28H22O6N8Ni
- Crystal structure of 4,4′-bis(pyridin-1-ium-4-yl)biphenyl poly[bis(μ2-4,4′-bis(pyrid-4-yl)biphenyl-K2N:N′)-tetrakis(μ4-4′-methyl-[1,1′-biphenyl]-3,5-dicarboxylato-K4O,O′:O′′:O′′′)-bis[[μ2-1,1′-biphenyl]-3-carboxyl-5-carboxylato-K2O:O′]tetracobalt(II)]— [1,1′-biphenyl]-3,5-dicarboxylic acid (1/2), C93H68N3O16Co2
- The crystal structure of 4a-formyl-1,2,3,4,4a,5,6,6a,6b,7,8,8a,9,10,11,12,12a,12b,13,14b-icosahydro-1-2-6a,6b,9,9,12a-heptamethylpicen-10-yl acetate, C32H50O3
- Crystal structure of 3,3′-(1,2-phenylenebis(methylene))bis(1-methyl-1H-imidazol-3-ium) bis(hexafluoridophosphate), C16H20F12N4P2
- Crystal structure of catena-poly[diaqua-(μ2-tartrato-κ4O,O′:O′′,O′′′)zinc(II)], C4H8O8Zn
- The crystal structure of (6aR,6bS,8aS,8bR,9S,11aS,12aS,12bS)-10-(4-acetoxy-3-methylbutyl)-6a,8a,9-trimethyl-3,4,5,6,6a,6b,7,8,8a,8b,9,10,11a,12,12a,12b-hexadecahydro-1H-naphtho[2′,1′:4,5]indeno[2,1-b]furan-4-yl acetate, C31H48O5
- Crystal structure of 4,4′-(oxybis(methylene))bis(bromobenzene), C14H12Br2O
- Crystal structure of (N,N-dimethylsulphoxide)-[N-(3-ethoxy-2-(oxide)benzylidene)-3-methoxybenzenecarbohydrazonato-κ3N,O,O′]-dioxo-molybdenum(VI), C19H22MoN2O7S
- Crystal structure of dichlorido-bis(dimethyl sulphoxide-κO)-bis(4-methylbenzyl-κC1)tin(IV), C20H30Cl2O2S2Sn
- Crystal structure of (E)-2-amino-N′-(2-hydroxy-4-(2-(piperidin-1-yl)ethoxy)benzylidene)benzohydrazide monohydrate, C21H26N4O3 ⋅ H2O
- Crystal structure of chloridotris(4-chlorophenyl)(dimethyl sulfoxide-κO)tin(IV), C20H18Cl4OSSn
- Crystal structure of catena{di-aqua-sodium-[N-(hydroxyethyl), N-isopropyl-dithiocarbamato]}n, [C6H16NNaO2S2]n
- Crystal structure of 2,2,4,4,6,6-hexakis(4-chlorophenyl)-1,3,5,2,4,6-trithiatristanninane, C36H24Cl6S3Sn3
- Crystal structure of 6-methoxy-3-(5-(3-methoxyphenyl)-1,3,4-oxadiazol-2-yl)-4H-chromen-4-one-methanol (1/1), C20H18N2O6
- Crystal structure of hexanedihydrazide, C6H14N4O2
- Crystal structure of tert-butyl 2-(hydroxymethyl)-5-{4-[(methoxycarbonyl)amino]phenyl}-2,5-dihydro-1H-pyrrole-1-carboxylate, C18H24N2O5
- Crystal structure of [(Z)-O-isopropyl N-(4-nitrophenyl)thiocarbamato-κS]-(triphenylphosphine-κP)-gold(I), C28H26AuN2O3PS
- Crystal structure of [O-ethyl N-(4-nitrophenyl)thiocarbamato-κS](tri-4-tolylphosphine-κP)gold(I) tetrahydrofuran solvate, C30H30AuN2O3PS, C4H8O
Articles in the same Issue
- Frontmatter
- Crystal structure of isopimara-7,15-dien-3-one, C20H30O
- Crystal structure of bis(6-aminopyridine-2-carboxylato-κ2O,N)-copper(II), C12H10O6N4Cu
- Crystal structure of 5,6-diphenyldibenzo[c, g]chrysene, C38H24
- Poly[bis(dimethylformamide-κO)-(μ8-5,5′′-dicarboxy-[1,1′:4′,1′′-terphenyl]-2′,3,3′′,5′-tetracarboxylato-κ8O:O1:O2:O3:O4:O5:O6:O7)dizinc(II)] — dimethylformamide (1/2), C18H19N2O8Zn
- The crystal structure of poly[bis(N,N-dimethylformamide-κ1O)(μ4- 2′,5,5′,5′′-tetracarboxy-[1,1′:4′,1′′-terphenyl]-3,3′′-dicarboxylato-κ4O:O′:O′′:O′′′)manganese(II)] — N,N-dimethylformamide (1/2), C36H40N4O16Mn
- Crystal structure of N,N-dimethyl-4-((7-nitrobenzo[c][1,2,5]thiadiazol-4-yl)ethynyl)aniline, C16H12N4O2S
- The crystal structure of 8a-methoxy 8a-methoxy-1,5,8a,9a-tetrahydro-4H-8,9-dioxa-3a1λ4-aza-8aλ4, C18H14BNO3
- Crystal structure of poly[diaqua-(μ2-5-isopropoxyisophthalato-κ2O:O′)-(μ2-(1,3-bis(3,5-di(1H-imidazol-1-yl)pyridine))-κ2N:N′)cobalt(II)] monohydrate, C22H25N5O8Co
- The crystal structure of acetoximium 1′-hydroxy-1H,1H′-5,5′-bitetrazole-1-olate monohydrate, C5H11N9O4
- Crystal structure of 3-(2-ethoxy-2-oxoethyl)-1-vinyl-1H-imidazol-3-ium hexafluoridophosphate(V), C9H13F6N2O2P
- The crystal structure of catena-poly[(μ2-4-(benzo[d]imidazol-2-yl)benzenecarboxylato-κ2N,O)-(μ2-4-(benzo[d]imidazol-2-yl)benzenecarboxylato-κ3N,O:O′)cadmium(II)]dihydrate, C28H22CdN4O6
- Enzyme-mediated synthesis and crystal structure of (2R,4S)-hydroxyketamine, C13H16ClNO2
- The crystal structure of bis(isothiocyanato-κ1N)-(methanol-κ1O)-[2-morpholine-4-yl-4,6-di(pyrazol-1-yl)-1,3,5-triazine-κ3N,N′,N′′] manganese(II), C16H18MnN10O2S2
- Crystal structure of bis{5-chloro-2-(((4-trifluoromethyl)imino)methyl)phenolato-κ2N,O}copper(II), C28H16Cl2CuF6N2O2
- Crystal structure of bis(1,3-phenylenedimethanaminium) bis(triiodide) tetraiodide – water (1/2) , C8H16I5N2O
- Crystal structure and anti-inflammatory activity of (3E,5E)-3,5-bis(2-fluorobenzylidene)-1-((4-fluorophenyl)sulfonyl)piperidin-4-one, C25H18F3NO3S
- The crystal structure of bis{3-(diphenylphosphaneyl)propanoato-κ2O,P}platinum(II) dihydrate, C30H28O6P2Pt
- The crystal structure of (E)-2-(4-((4-fluorobenzyl)oxy)styryl)-4,6-dimethoxybenzaldehyde, C24H21FO4
- Crystal structure of bis[3-methoxy-N-(1-(pyrazin-2-yl)ethylidene)benzohydrazonato-κ3O,N,N′]nickel(II), C28H26N8O4Ni
- Crystal structure of 1-(2-(pyridin-2-yl)-5-(pyridin-3-yl)-1,3,4-oxadiazol-3(2H)-yl)ethan-1-one, C14H12N4O2
- Synthesis and crystal structure of 3-N-acetyl-5-(pyridin-3-yl)-2-(quinolin-2-yl)-1,3,4-oxadiazoline, C18H14N4O2
- Crystal structure of 2-methyl-1H-perimidine, C12H10N2
- Crystal structure of (E)-2-(5,5-dimethyl-3-(4-((7-nitrobenzo[c][1,2,5]oxadiazol-4-yl)oxy)styryl)cyclohex-2-en-1-ylidene)malononitrile, C25H19N5O4
- Structural elucidation of 1-(3-acetyl-2,6-dihydroxy-4-methoxyphenyl)-4,5-dihydroxy-2-methylanthracene-9,10-dione isolated from Bulbine latifolia (L.) Wild, C24H18O8
- Crystal structure of 3-cinnamoyl-4-hydroxybenzoic acid, C16H12O4
- The crystal structure of poly[bis(μ4-2,3-pyridinedicarboxylato)-(μ2-oxalyl dihydrazide)-dicadmium(II) dihydrate], C16H16O12N6Cd2
- Synthesis and crystal structure of 1-{4-[(3-bromo-2-hydroxy-benzylidene)amino]phenyl}ethanone, C15H12BrNO2
- Synthesis and crystal structure of 1-{4-[(2-bromo-6-hydroxy-benzylidene)amino]phenyl}ethanone, C15H12BrNO2
- Crystal structure of (4-aminobenzoato-κ2O,O′)-[5,5,7,12,12,14-hexamethyl-1,4,8,11-tetraazacyclotetradecane-κ4N,N′,N′′,N′′′]nickel(II) perchlorate monohydrate, C23H44ClN5NiO7
- Crystal structure of 1-{4-[(4-fluoro-2-hydroxy-benzylidene)amino]phenyl}ethanone, C15H12FNO2
- Preparation and crystal structure of a non-symmetrical vanadium(II) dimer: tri-μ2-bromido-(hydrogen-tris(3-isopropyl-4-bromopyrazol-1-yl)borato-κ3N,N′,N′′)-tris(tetrahydrofuran-κO)divanadium(II) – tetrahydrofuran (1/1), C34H57BBr6N6O4V2
- Crystal structure of bis{2-(((4-(1-(hydroxyl-imino)ethyl)phenyl)imino)methyl)phenolato-κ2N,O}cobalt(II), C30H26CoN4O4
- Crystal structure of 3-((3-nitrophenyl)sulfonamido)propanoic acid — 4,4′-bipyridine (1/1), C19H18N4O6S
- Crystal structure of cyclo[diaqua-bis(μ2-3′,5-dicarboxy-[1,1′-biphenyl]-3,4′-dicarboxylato-κ4O,O′:O′′,O′′′)-bis(4,4′-bis(pyrid-4-yl)biphenyl-K1N)dicadmium(II)], C76H52Cd2N4O18
- Crystal structure of 1-(adamantan-1-yl)-3-aminothiourea, C11H19N3S
- Crystal structure of catena-poly[triaqua-(μ2-1,4-di(pyridin-4-yl)benzene-κ2N:N′)-(3′,5-dicarboxy-[1,1′-biphenyl]-3,4′-dicarboxylato-κO)nickel(II)], C32H26N2O11Ni
- Crystal structure of catena-poly[aqua-(μ4-4,4′-(pyridine-3,5-diyl)dibenzoato-κ4O,O′:O′′:O′′′)zinc(II)], C19H13NO5Zn
- Crystal structure of 4-(4′-(pyridin-4-yl)-[1,1′-biphenyl]-4-yl)pyridin-1-ium 2-carboxy-4-(3,5-dicarboxyphenoxy)benzoate hydrate, C38H28N2O10
- Crystal structure of 3-[(triisopropylsilanyl)-ethynyl]-6a,12a-dihydro-1H-1,4-diaza-benzo[α]anthracene-2,7,12-trione, C27H28N2O3Si
- Crystal structure of [(bis(1,10-phenanthroline-κ2N,N′)-(2-carboxy-4-(3-carboxy-5-carboxylatophenoxy)benzoato-κ2O:O′))nickel(II) monohydrate, (1,10-phenanthroline-κ2N:N′)-(μ2-(5-(3′,4′-dicarboxylphenoxy)-isophthalate-κ2O:O′))nickel(II)], C40H24N4O9Ni ⋅ H2O
- Crystal structure of 4-(3-(pyridin-3-yl)ureido)benzoic acid — adipic acid (2/1), C16H16N3O5
- Crystal structure of poly[bis{μ2-5-carboxy-4′-methyl-[1,1′-biphenyl]-3-carboxylato-κ2O:O′}-{μ2-4,4′-bipyridine-κ2N:N′}]cobalt(II), C40H30N2O8Co
- Crystal structure of aqua-(2,2′-bipyridine-κ2N,N′)(((3-nitrophenyl)sulfonyl)glycine-κ2N,O)copper(II) dihydrate, C18H20CuN4O9S
- Crystal structure of bis{2-bromo-6-(((4-(1-(methoxyimino)ethyl)phenyl)imino)methyl)phenolato-κ2N,O}copper(II), C32H28Br2CuN4O4
- Crystal structure of bis(2-(2-((2,6-dichlorophenyl)amino)phenyl)acetato-κ2O,O′)-(1,10-phenanthroline-κ2N,N′)zinc(II), C40H28Cl4N4O4Zn
- Crystal structure of 2-(3,6-dimethyl-2,3-dihydro-4H-benzo[b][1,4]oxazin-4-yl)-2-oxoethyl acetate, C14H17NO4
- Crystal structure of poly[dibromido-bis(μ2-1,6-di(1H-imidazol-1-yl)hexane-κ2N:N′)cadmium(II)], C24H36Br2N8Cd
- Synthesis and crystal structure of ((6R,7S)-3-ethyl-6-phenyl-6,7-dihydro-5H-[1,2,4]triazolo[3,4-b][1,3,4]thiadiazin-7-yl)(phenyl)methanone hemihydrate, 2(C19H18N4OS) ⋅ H2O
- Crystal structure of 2-(5-(pyridin-3-yl)-4-(pyridin-4-yl)-4H-1,2,4-triazol-3-yl)pyridine, C17H12N6
- The crystal structure of N-((1E,2E)-1,3-bis(4-fluorophenyl)but-2-en-1-ylidene)-4-methylbenzenesulfonamide, C23H19F2NO2S
- Crystal structure of diacetato-κ1O-diethanol-κ1O-bis(μ2-2-(((2-hydroxyethyl)imino)methyl)-5-methoxyphenolato-κ4O,N,O′:O′′)dinickel(II), C28H42Ni2N2O12
- The crystal structure of catena-poly[chlorido-(μ2-1,4-bis(pyridin-3-yl-methoxy)benzene-κ2N:N′)copper(II)], C18H16ClN2O2Cu
- N′,N′′′-(((ethane-1,2-diylbis(oxy))bis(2,1-phenylene))bis(methaneylylidene))bis(2-hydroxybenzohydrazide)nickel(II), C30H24N4NiO6
- Crystal structure of (E)-3′,6′-bis(ethylamino)-2′,7′-dimethyl-2-(2-((quinolin-2-ylmethylene)amino)ethyl)spiro[isoindoline-1,9′-xanthen]-3-one, C38H37N5O2
- Crystal structure of 4,4′-di(1H-imidazol-1-yl)-1,1′-biphenyl-1-ium 5,3′,5′-tricarboxy-[1,10-biphenyl]-2-carboxylate, C25H17N2O8
- The crystal structure of 1-carboxy-2-(1H-indol-3-yl)-N,N,N-trimethylethan-1-ammonium chloride, C14H19N2O2Cl
- The crystal structure of 5-bromo-2-fluoronicotinic acid monohydrate, C6H5BrFNO3
- Crystal structure of ethyl 3-(trifluoromethyl)-1H-pyrazole-4-carboxylate, C7H7F3N2O2
- Crystal structure of tetrakis(1H-benzo[d]imidazol-3-ium) bis(μ5-phenylphosphonato)-pentakis(μ2-oxido)-decaoxo-penta-molybdenum dihydrate, C40H42Mo5N8O23P2
- Structure of 7-(3,3,4,4,5,5-hexafluoro-2-(2-methylbenzo[b]thiophen-3-yl)cyclopent-1-en-1-yl)-8-methylquinoline, C24H15F6NS
- Crystal structure of monocarbonyl[2-((cyclopentylmethylene)amino)-5-methylphenolato-κ2N,O] (tricyclohexylphosphine)rhodium(I), C32H48NO2PRh
- The crystal structure of fac-tricarbonyl(1,10-phenanthroline-κ2N,N′)-(pyrazole-κN)rhenium(I)nitrate, C18H12O3N4Re
- Crystal structure of poly[diaqua-bis(μ2-4-(3-(pyridin-3-yl)-1H-1,2,4-triazol-5-yl)benzoato-κ2N:O)nickel(II)], C28H22O6N8Ni
- Crystal structure of 4,4′-bis(pyridin-1-ium-4-yl)biphenyl poly[bis(μ2-4,4′-bis(pyrid-4-yl)biphenyl-K2N:N′)-tetrakis(μ4-4′-methyl-[1,1′-biphenyl]-3,5-dicarboxylato-K4O,O′:O′′:O′′′)-bis[[μ2-1,1′-biphenyl]-3-carboxyl-5-carboxylato-K2O:O′]tetracobalt(II)]— [1,1′-biphenyl]-3,5-dicarboxylic acid (1/2), C93H68N3O16Co2
- The crystal structure of 4a-formyl-1,2,3,4,4a,5,6,6a,6b,7,8,8a,9,10,11,12,12a,12b,13,14b-icosahydro-1-2-6a,6b,9,9,12a-heptamethylpicen-10-yl acetate, C32H50O3
- Crystal structure of 3,3′-(1,2-phenylenebis(methylene))bis(1-methyl-1H-imidazol-3-ium) bis(hexafluoridophosphate), C16H20F12N4P2
- Crystal structure of catena-poly[diaqua-(μ2-tartrato-κ4O,O′:O′′,O′′′)zinc(II)], C4H8O8Zn
- The crystal structure of (6aR,6bS,8aS,8bR,9S,11aS,12aS,12bS)-10-(4-acetoxy-3-methylbutyl)-6a,8a,9-trimethyl-3,4,5,6,6a,6b,7,8,8a,8b,9,10,11a,12,12a,12b-hexadecahydro-1H-naphtho[2′,1′:4,5]indeno[2,1-b]furan-4-yl acetate, C31H48O5
- Crystal structure of 4,4′-(oxybis(methylene))bis(bromobenzene), C14H12Br2O
- Crystal structure of (N,N-dimethylsulphoxide)-[N-(3-ethoxy-2-(oxide)benzylidene)-3-methoxybenzenecarbohydrazonato-κ3N,O,O′]-dioxo-molybdenum(VI), C19H22MoN2O7S
- Crystal structure of dichlorido-bis(dimethyl sulphoxide-κO)-bis(4-methylbenzyl-κC1)tin(IV), C20H30Cl2O2S2Sn
- Crystal structure of (E)-2-amino-N′-(2-hydroxy-4-(2-(piperidin-1-yl)ethoxy)benzylidene)benzohydrazide monohydrate, C21H26N4O3 ⋅ H2O
- Crystal structure of chloridotris(4-chlorophenyl)(dimethyl sulfoxide-κO)tin(IV), C20H18Cl4OSSn
- Crystal structure of catena{di-aqua-sodium-[N-(hydroxyethyl), N-isopropyl-dithiocarbamato]}n, [C6H16NNaO2S2]n
- Crystal structure of 2,2,4,4,6,6-hexakis(4-chlorophenyl)-1,3,5,2,4,6-trithiatristanninane, C36H24Cl6S3Sn3
- Crystal structure of 6-methoxy-3-(5-(3-methoxyphenyl)-1,3,4-oxadiazol-2-yl)-4H-chromen-4-one-methanol (1/1), C20H18N2O6
- Crystal structure of hexanedihydrazide, C6H14N4O2
- Crystal structure of tert-butyl 2-(hydroxymethyl)-5-{4-[(methoxycarbonyl)amino]phenyl}-2,5-dihydro-1H-pyrrole-1-carboxylate, C18H24N2O5
- Crystal structure of [(Z)-O-isopropyl N-(4-nitrophenyl)thiocarbamato-κS]-(triphenylphosphine-κP)-gold(I), C28H26AuN2O3PS
- Crystal structure of [O-ethyl N-(4-nitrophenyl)thiocarbamato-κS](tri-4-tolylphosphine-κP)gold(I) tetrahydrofuran solvate, C30H30AuN2O3PS, C4H8O